Spandidos Publications Logo
  • About
    • About Spandidos
    • Aims and Scopes
    • Abstracting and Indexing
    • Editorial Policies
    • Reprints and Permissions
    • Job Opportunities
    • Terms and Conditions
    • Contact
  • Journals
    • All Journals
    • Oncology Letters
      • Oncology Letters
      • Information for Authors
      • Editorial Policies
      • Editorial Board
      • Aims and Scope
      • Abstracting and Indexing
      • Bibliographic Information
      • Archive
    • International Journal of Oncology
      • International Journal of Oncology
      • Information for Authors
      • Editorial Policies
      • Editorial Board
      • Aims and Scope
      • Abstracting and Indexing
      • Bibliographic Information
      • Archive
    • Molecular and Clinical Oncology
      • Molecular and Clinical Oncology
      • Information for Authors
      • Editorial Policies
      • Editorial Board
      • Aims and Scope
      • Abstracting and Indexing
      • Bibliographic Information
      • Archive
    • Experimental and Therapeutic Medicine
      • Experimental and Therapeutic Medicine
      • Information for Authors
      • Editorial Policies
      • Editorial Board
      • Aims and Scope
      • Abstracting and Indexing
      • Bibliographic Information
      • Archive
    • International Journal of Molecular Medicine
      • International Journal of Molecular Medicine
      • Information for Authors
      • Editorial Policies
      • Editorial Board
      • Aims and Scope
      • Abstracting and Indexing
      • Bibliographic Information
      • Archive
    • Biomedical Reports
      • Biomedical Reports
      • Information for Authors
      • Editorial Policies
      • Editorial Board
      • Aims and Scope
      • Abstracting and Indexing
      • Bibliographic Information
      • Archive
    • Oncology Reports
      • Oncology Reports
      • Information for Authors
      • Editorial Policies
      • Editorial Board
      • Aims and Scope
      • Abstracting and Indexing
      • Bibliographic Information
      • Archive
    • Molecular Medicine Reports
      • Molecular Medicine Reports
      • Information for Authors
      • Editorial Policies
      • Editorial Board
      • Aims and Scope
      • Abstracting and Indexing
      • Bibliographic Information
      • Archive
    • World Academy of Sciences Journal
      • World Academy of Sciences Journal
      • Information for Authors
      • Editorial Policies
      • Editorial Board
      • Aims and Scope
      • Abstracting and Indexing
      • Bibliographic Information
      • Archive
    • International Journal of Functional Nutrition
      • International Journal of Functional Nutrition
      • Information for Authors
      • Editorial Policies
      • Editorial Board
      • Aims and Scope
      • Abstracting and Indexing
      • Bibliographic Information
      • Archive
    • International Journal of Epigenetics
      • International Journal of Epigenetics
      • Information for Authors
      • Editorial Policies
      • Editorial Board
      • Aims and Scope
      • Abstracting and Indexing
      • Bibliographic Information
      • Archive
    • Medicine International
      • Medicine International
      • Information for Authors
      • Editorial Policies
      • Editorial Board
      • Aims and Scope
      • Abstracting and Indexing
      • Bibliographic Information
      • Archive
  • Articles
  • Information
    • Information for Authors
    • Information for Reviewers
    • Information for Librarians
    • Information for Advertisers
    • Conferences
  • Language Editing
Spandidos Publications Logo
  • About
    • About Spandidos
    • Aims and Scopes
    • Abstracting and Indexing
    • Editorial Policies
    • Reprints and Permissions
    • Job Opportunities
    • Terms and Conditions
    • Contact
  • Journals
    • All Journals
    • Biomedical Reports
      • Information for Authors
      • Editorial Policies
      • Editorial Board
      • Aims and Scope
      • Abstracting and Indexing
      • Bibliographic Information
      • Archive
    • Experimental and Therapeutic Medicine
      • Information for Authors
      • Editorial Policies
      • Editorial Board
      • Aims and Scope
      • Abstracting and Indexing
      • Bibliographic Information
      • Archive
    • International Journal of Epigenetics
      • Information for Authors
      • Editorial Policies
      • Editorial Board
      • Aims and Scope
      • Abstracting and Indexing
      • Bibliographic Information
      • Archive
    • International Journal of Functional Nutrition
      • Information for Authors
      • Editorial Policies
      • Editorial Board
      • Aims and Scope
      • Abstracting and Indexing
      • Bibliographic Information
      • Archive
    • International Journal of Molecular Medicine
      • Information for Authors
      • Editorial Policies
      • Editorial Board
      • Aims and Scope
      • Abstracting and Indexing
      • Bibliographic Information
      • Archive
    • International Journal of Oncology
      • Information for Authors
      • Editorial Policies
      • Editorial Board
      • Aims and Scope
      • Abstracting and Indexing
      • Bibliographic Information
      • Archive
    • Medicine International
      • Information for Authors
      • Editorial Policies
      • Editorial Board
      • Aims and Scope
      • Abstracting and Indexing
      • Bibliographic Information
      • Archive
    • Molecular and Clinical Oncology
      • Information for Authors
      • Editorial Policies
      • Editorial Board
      • Aims and Scope
      • Abstracting and Indexing
      • Bibliographic Information
      • Archive
    • Molecular Medicine Reports
      • Information for Authors
      • Editorial Policies
      • Editorial Board
      • Aims and Scope
      • Abstracting and Indexing
      • Bibliographic Information
      • Archive
    • Oncology Letters
      • Information for Authors
      • Editorial Policies
      • Editorial Board
      • Aims and Scope
      • Abstracting and Indexing
      • Bibliographic Information
      • Archive
    • Oncology Reports
      • Information for Authors
      • Editorial Policies
      • Editorial Board
      • Aims and Scope
      • Abstracting and Indexing
      • Bibliographic Information
      • Archive
    • World Academy of Sciences Journal
      • Information for Authors
      • Editorial Policies
      • Editorial Board
      • Aims and Scope
      • Abstracting and Indexing
      • Bibliographic Information
      • Archive
  • Articles
  • Information
    • For Authors
    • For Reviewers
    • For Librarians
    • For Advertisers
    • Conferences
  • Language Editing
Login Register Submit
  • This site uses cookies
  • You can change your cookie settings at any time by following the instructions in our Cookie Policy. To find out more, you may read our Privacy Policy.

    I agree
Search articles by DOI, keyword, author or affiliation
Search
Advanced Search
presentation
Experimental and Therapeutic Medicine
Join Editorial Board Propose a Special Issue
Print ISSN: 1792-0981 Online ISSN: 1792-1015
Journal Cover
February-2019 Volume 17 Issue 2

Full Size Image

Sign up for eToc alerts
Recommend to Library

Journals

International Journal of Molecular Medicine

International Journal of Molecular Medicine

International Journal of Molecular Medicine is an international journal devoted to molecular mechanisms of human disease.

International Journal of Oncology

International Journal of Oncology

International Journal of Oncology is an international journal devoted to oncology research and cancer treatment.

Molecular Medicine Reports

Molecular Medicine Reports

Covers molecular medicine topics such as pharmacology, pathology, genetics, neuroscience, infectious diseases, molecular cardiology, and molecular surgery.

Oncology Reports

Oncology Reports

Oncology Reports is an international journal devoted to fundamental and applied research in Oncology.

Experimental and Therapeutic Medicine

Experimental and Therapeutic Medicine

Experimental and Therapeutic Medicine is an international journal devoted to laboratory and clinical medicine.

Oncology Letters

Oncology Letters

Oncology Letters is an international journal devoted to Experimental and Clinical Oncology.

Biomedical Reports

Biomedical Reports

Explores a wide range of biological and medical fields, including pharmacology, genetics, microbiology, neuroscience, and molecular cardiology.

Molecular and Clinical Oncology

Molecular and Clinical Oncology

International journal addressing all aspects of oncology research, from tumorigenesis and oncogenes to chemotherapy and metastasis.

World Academy of Sciences Journal

World Academy of Sciences Journal

Multidisciplinary open-access journal spanning biochemistry, genetics, neuroscience, environmental health, and synthetic biology.

International Journal of Functional Nutrition

International Journal of Functional Nutrition

Open-access journal combining biochemistry, pharmacology, immunology, and genetics to advance health through functional nutrition.

International Journal of Epigenetics

International Journal of Epigenetics

Publishes open-access research on using epigenetics to advance understanding and treatment of human disease.

Medicine International

Medicine International

An International Open Access Journal Devoted to General Medicine.

Journal Cover
February-2019 Volume 17 Issue 2

Full Size Image

Sign up for eToc alerts
Recommend to Library

  • Article
  • Citations
    • Cite This Article
    • Download Citation
    • Create Citation Alert
    • Remove Citation Alert
    • Cited By
  • Similar Articles
    • Related Articles (in Spandidos Publications)
    • Similar Articles (Google Scholar)
    • Similar Articles (PubMed)
  • Download PDF
  • Download XML
  • View XML
Article Open Access

Effects of liver function, insulin resistance and inflammatory factors on vascular endothelial dilation function and prognosis of coronary heart disease patients complicated with NAFLD

  • Authors:
    • Bin Wang
    • Fang Li
    • Jingjing Guo
    • Changmei Wang
    • Dashuai Xu
    • Congcong Li
  • View Affiliations / Copyright

    Affiliations: Department of Geriatrics, Jinan Central Hospital, Shandong University, Jinan, Shandong 250013, P.R. China
  • Pages: 1306-1311
    |
    Published online on: December 4, 2018
       https://doi.org/10.3892/etm.2018.7043
  • Expand metrics +
Metrics: Total Views: 0 (Spandidos Publications: | PMC Statistics: )
Metrics: Total PDF Downloads: 0 (Spandidos Publications: | PMC Statistics: )
Cited By (CrossRef): 0 citations Loading Articles...

This article is mentioned in:



Abstract

Effects of liver function, insulin resistance (IR) and inflammatory factors on vascular endothelial dilation function and prognosis of coronary heart disease (CHD) patients complicated with non‑alcoholic fatty liver disease (NAFLD) were investigated. A total of 80 patients with CHD treated in Jinan Central Hospital from October 2016 to July 2017 were randomly enrolled and divided into the NAFLD group (n=41) and the simple CHD group (n=39). The IR, the vascular endothelial dilation function and the related inflammatory factors were also detected, followed by statistical analysis. The level of high‑sensitivity C‑reactive protein (hs‑CRP), serum total bilirubin and alanine aminotransferase (ALT) levels and body mass index in the NAFLD group was decreased and the expression of tumor necrosis factor‑α was increased compared with that in the simple CHD group (P<0.05). There was a linearly positive correlation between ALT and brachial artery diameter in the NAFLD group (r=0.311, P<0.05). There was a correlation between homeostasis model assessment‑IR (HOMA‑IR) and HOMA‑β indexes and brachial artery diameter, hs‑CRP and brachial artery diameter in both groups (r=‑0.128, r=0.219, P<0.05). The HOMA indexes in the NAFLD group were increased compared with those in the simple CHD group (P<0.01). There were significant differences in the intima‑media thickness, number of carotid plaques and detection rate of carotid plaques (P<0.05). The risk of cardiovascular events within 10 years in the NAFLD group was increased compared with that in the simple CHD group. The differences of incidence of cardiovascular diseases (CVD)s were statistically significant (P<0.05). Therefore, The changes in liver function indexes, IR and related inflammatory factors in CHD patients complicated with NAFLD significantly affect the vascular endothelial dilation function, which also have some effects on the occurrence of CVDs.

Introduction

Non-alcoholic fatty liver disease (NAFLD) has been thought to be a benign disease, which is often associated with the central obesity, insulin resistance (IR) and metabolic syndrome. However, studies showed that (1,2) NAFLD is a chronic disease, including benign lesions and significant liver damage, such as the lobular inflammation, ballooning degeneration of liver cells, liver fibrosis and cirrhosis (3). According to statistics, more than 30% of adults in the United States and other Western countries suffer from NAFLD (4), and the morbidity rate of those NAFLD patients with diabetes mellitus (DM) and transaminase is not included (5–7). NAFLD often occurs in patients with obesity and type 2 DM (T2DM), and its incidence rate is 57% in patients with obesity and 70% in patients with T2DM (4,8). In addition to hepatic complications, the risk of cardiac metabolic complications, such as T2DM and cardiovascular disease (CVD), is also increased in NAFLD patients (4,9). Coronary heart disease (CHD) is a common complication. The incidence of NAFLD combined with CHD is increasing gradually. It affects the digestive system and cardiovascular system including the liver, kidney and heart. The factors that cause CHD complicated NAFLD are various, influenced by external environment and diet habits, and are related to genetic factors of family (6). At present, there are few reports on the treatment of complications, mainly in the combination of diet control and cardiovascular drugs. The prognosis is poor, with easy relapse, and the treatment effect is not satisfactory (7). Endothelial dysfunction is an independent predictor of prognosis of CHD, including endothelium derived vasodilation, endothelium derived vasoconstrictor function generation, inflammatory and immune responses to reactive oxygen and nitrogen activation. In this study, the effects of liver function, IR and inflammatory factors on vascular endothelial dilation function and prognosis of CHD patients complicated with NAFLD were investigated.

Patients and methods

General materials

A total of 80 patients with CHD treated in Jinan Central Hospital (Jinan, China) from October 2016 to July 2017 were randomly enrolled, including 42 males and 38 females aged 52.5±8.8 years on average. The diagnostic criteria of CHD: i) typical angina pectoris or suspected angina pectoris and oral nitroglycerin remission within 5 min; ii) hypertensive history with left ventricular enlargement and aortic node calcification by X-ray, left ventricular high voltage by ECG; iii) patients with old myocardial infarction, myocardial infarction graphics by ECG, except those with suspected myocardial infarction graphics caused by other causes; iv) left axis deviation, left precordial lead with ST-T change by ECG; and v) left axis deviation is not more than 30°, with A2>P2 or apical systolic murmur, and it cannot be explained by other reasons. All patients were divided into the NAFLD group (n=41), including 21 males and 20 females aged 49.6±8.3 years on average, and the simple CHD group (n=39), including 20 males and 19 females aged 50.2±9.0 years on average according to whether they were complicated with NAFLD. There were no statistically significant differences in the sex and age between the two groups (P>0.05). The diagnosis of NAFLD met the diagnostic criteria in the Guidelines for the Diagnosis and Treatment of NAFLD (revised in 2010). The exclusion criteria i) standard: alcohol and other clear liver injury caused by serious liver disease, such as fatty liver, hepatitis, hepatocirrhosis, liver cancer, and liver ascites; ii) diabetics; iii) other organs with obvious inflammation; and iv) patients with mental disorders who cannot cooperate with the study. The study was approved by the Ethics Committee of Jinan Central Hospital and informed consents were signed by the patients or guardians.

Research methods
Determination of laboratory indexes

The height and weight of all subjects were measured, the body mass index (BMI) was calculated, and the venous blood was drawn to detect the fasting blood glucose (FBG), liver functions [alanine aminotransferase (ALT), aspartate aminotransferase (AST) and total bilirubin (TBIL)] and triglyceride (TG).

IR assessment

The fasting insulin (FINS) was detected using the full-automatic biochemical detector; IR was evaluated using the homeostasis model assessment-IR (HOMA-IR): HOMA-IR = (FINS × FBG)/22.5; the islet β-cell basic function was expressed as the insulin secretion index (HOMA-β): HOMA-β = 20 × FINS/(FBG-3.5).

Determination of vascular endothelial dilation function

LOGIQ-500 color ultrasound and 7.0 linear array probe (GE Healthcare, Chicago, IL, USA) with the detection depth of 4 cm was used to detect the brachial artery diameter under resting state after oral administration of nitroglycerin to reflect the blood flow changes caused by the vascular reactive hyperemia (vascular endothelium-dependent dilation function, FMV). The ultrasonic scanning of brachial artery was performed to measure the diameter of vessel in the three cases: i) in rest state, namely resting for at least 10 min; ii) after the reactive hyperemia test (vascular compression and expansion caused by inflation and deflation of cuff of sphygmomanometer), namely after the cuff compression to 250 mmHg or after discharge of cuff; and iii) after the sublingual administration of anti-angina doses of nitroglycerin (vascular endothelium-independent dilation function), namely after the sublingual administration of 400 µg nitroglycerin after resting. The ultrasonic scanning cycle is 15–60 sec before the cuff discharge.

Determination of related inflammatory factors

The tumor necrosis factor-α (TNF-α), high-sensitivity C-reactive protein (hs-CRP) and nitric oxide (NO) levels were detected via enzyme-linked immunosorbent assay (ELISA). The serum NO content was detected using the Griess reagent staining method; after standardized test, hs-CRP was detected using the LX-20 full-automatic biochemical analyzer manufactured by Beckman Coulter, Inc. (Brea, CA, USA); TNF-α was detected via ELISA using the microplate reader (the kit was from R&D Systems, Inc., Minneapolis, MN, USA). The reagents were placed in the constant temperature water bath until it reached the room temperature, and the experiment was performed in strict accordance with the instructions of the kit. After reagent preparation and sample loading, the plate was washed with ZM X-988B full-automatic plate washer 3 times; the optical density (OD) value at 450 nm was detected using the an-thos2010 full-automatic microplate reader (Bio-Rad Laboratories, Inc., Hercules, USA); the standard curve was drawn using the computer software; OD value of the sample = OD value measured - OD value of the blank control; TNF-α concentration of the corresponding sample was checked in the OD value curve of the standard sample.

Incidence of CVDs

The incidence of CVDs within 10 years was summarized and the incidence rates were scored using the Framingham equation, prospective cardiovascular Munster study (PROCAM) and National Cholesterol Education Program Adult Treatment Expert Panel III (NCEP-ATPIII) score. Framingham equation includes the sex, age, DM, hypertension, smoking, total cholesterol and high-density lipoprotein (HDL) cholesterol, and electrocardiogram of left ventricular hypertrophy (Y/N); PROCAM is based on the sex, age, blood pressure, smoking, total cholesterol and low-density lipoprotein cholesterol, TG, family history of myocardial infarction, DM and angina; ATPIII score is based on the sex, age, basal blood pressure, DM, smoking, total cholesterol and HDL cholesterol, and family history of early-onset CVDs.

Statistical analysis

Statistical Product and Service Solutions (SPSS) v.19.0 software (SPSS, Inc., Chicago, IL, USA) was used for data processing. Measurement data are presented as (mean ± standard deviation); Chi-square test was used for the enumeration data, and the t-test was used for the intergroup comparison. Pearsons correlation analysis was performed for the correlation analysis. P<0.05 was considered to indicate a statistically significant difference.

Results

Comparison of serum TNF-α and hs-CRP between the two groups

The level of hs-CRP and TNF-α in the NAFLD group was significantly increased compared with that in the simple CHD group (P<0.05; Fig. 1).

Figure 1.

Comparison of serum TNF-α and hs-CRP between the groups. TNF-α, tumor necrosis factor-α; hs-CRP, high-sensitivity C-reactive protein; CHD, coronary heart disease; NAFLD, non-alcoholic fatty liver disease. *P<0.05.

Comparison of general conditions and liver function between the two groups

The results of comparisons of BMI and liver function between the two groups showed that the serum TBIL and ALT levels and BMI in the NAFLD group were significantly higher than those in the simple CHD group, and the differences were statistically significant (P<0.05; Fig. 2A-C). There was no statistically significant difference in the serum AST level between the two groups (P>0.05; Fig. 2A-D).

Figure 2.

Comparison of general conditions and liver function between the two groups: (A-C) the serum TBIL and ALT levels and BMI in the NAFLD group were significantly higher than those in the simple CHD group, and the differences were statistically significant (*P<0.05). (D) There was no statistically significant difference in the serum AST level between the two groups (P>0.05). TBIL, total bilirubin; ALT, alanine aminotransferase; BMI, body mass index; NAFLD, non-alcoholic fatty liver disease; CHD, coronary heart disease; AST, aspartate aminotransferase.

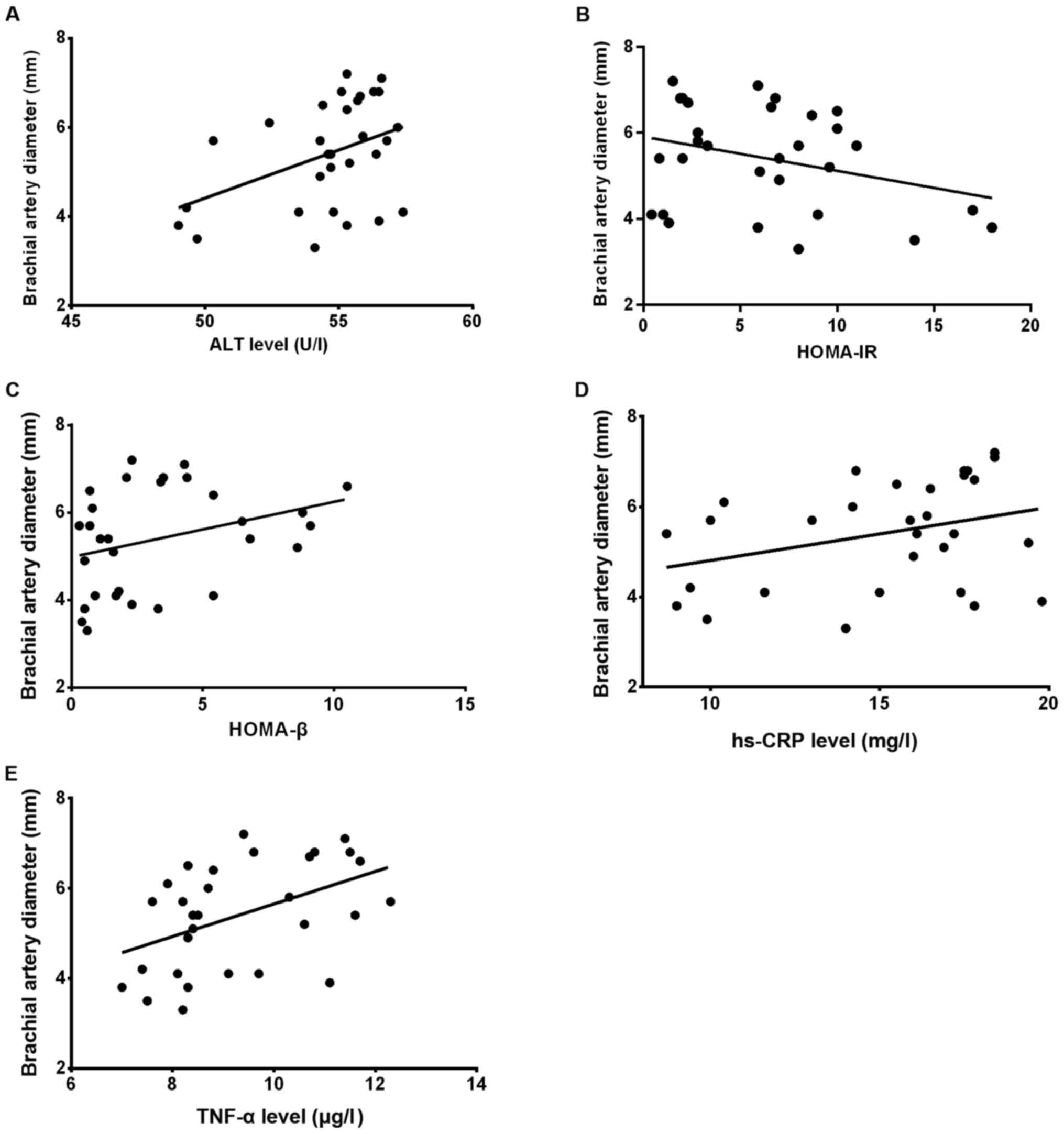
Correlation between liver function (ALT) and vascular endothelial dilation function

The Pearsons correlation analysis revealed that there was a linearly positive correlation between ALT and brachial artery diameter in the NAFLD group (r=0.311, P<0.05); there was a statistically significant difference in the correlation between HOMA-IR and HOMA-β indexes and brachial artery diameter in the groups (r=−0.128, r=0.219, P<0.05); there was also a statistically significant difference in the correlation between hs-CRP and brachial artery diameter in the groups (r=−0.312, P<0.05), but TNF-α had no correlation with brachial artery diameter, and the difference was not statistically significant (r=3.286, P>0.05; Fig. 3A-E).

Figure 3.

(A) Correlation analysis between serum ALT and brachial artery diameter in the NAFLD group showed that there was a statistically significant difference (r=0.311, P<0.05). (B and C) There was a statistically significant difference in the correlation between HOMA-IR and HOMA-β indexes and brachial artery diameter in both groups (r=−0.128, r=0.219, P<0.05). (D and E) There was a statistically significant difference in the correlation between hs-CRP and brachial artery diameter in both groups (r=−0.312, P<0.05); TNF-α had no correlation with brachial artery diameter, and the difference was not statistically significant (r=3.286, P>0.05). ALT, alanine aminotransferase; NAFLD, non-alcoholic fatty liver disease; HOMA-IR, homeostasis model assessment-insulin resistance; hs-CRP, high-sensitivity C-reactive protein; TNF-α, tumor necrosis factor-α.

Comparison of islet function and vascular endothelial dilation function between the two groups

The HOMA-IR and HOMA-β indexes in the NAFLD group were obviously decreased compared with those in the simple CHD group, and the differences were statistically significant (P<0.01), but FBG had no statistically significant difference between the two groups (P>0.05; Table I).

Table I.

Comparison of islet function between the two groups.

Table I.

Comparison of islet function between the two groups.

GroupsFBG (mmol/l)HOMA-IRHOMA-βFMV (mm)
NAFLD group7.9±3.84.0±3.226.2±18.33.36±0.62
Simple CHD group8.3±3.42.6±3.519.8±10.14.27±0.54
t1.163.864.213.48
P-value0.162<0.0010.0010.062

[i] FBG, fasting blood glucose; HOMA-IR, homeostasis model assessment-insulin resistance.

Correlation between serum NO and ALT levels

The Pearsons correlation analysis of serum ALT and NO levels revealed that there was a linearly negative correlation between them (r=−0.325, P<0.05; Fig. 4).

Figure 4.

Correlation between serum NO and ALT levels. NO, nitric oxide; ALT, alanine aminotransferase.

Comparison of intima-media thickness (IMT), number of carotid plaques and detection rate of carotid plaques between the two groups

There were significant differences in the IMT, number of carotid plaques and detection rate of carotid plaques between the two groups (P<0.05; Table II).

Table II.

Comparisons of IMT, number of carotid plaques and detection rate of carotid plaques between the two groups.

Table II.

Comparisons of IMT, number of carotid plaques and detection rate of carotid plaques between the two groups.

GroupsnIMT (mm)Number of carotid plaquesDetection rate of carotid plaques (%)
NAFLD group411.21±0.0521.3±1.5272.2%
Simple CHD group390.29±0.031.30±1.5655.4%
P-value 0.0410.0320.028

[i] IMT, intima-media thickness; NAFLD, non-alcoholic fatty liver disease; CHD, coronary heart disease.

Prognoses of the two groups

The incidence rate of CVDs within 10 years was divided into very low (<1%), low (1–3%), moderate (4–6%), high (7–10%) and very high (>10%). The risk of cardiovascular events within 10 years in the NAFLD group was slightly increased compared with that in the simple CHD group. According to the Framingham equation, PROCAM and NCEP-ATPIII score, the differences were statistically significant between the two groups (P<0.05; Table III).

Table III.

Comparison of cardiovascular risk between the two groups.

Table III.

Comparison of cardiovascular risk between the two groups.

Framingham scorePROCAM scoreATPIII score



Risk of cardiovascular events within 10 yearsNAFLD groupSimple CHD groupNAFLD groupSimple CHD groupNAFLD groupSimple CHD group
Median, %(IQR)1.2 (5.1)3.7 (6.7)0.5 (1.1)0.8 (2.2)<1.0 (2.5)1.5 (4.0)
<1%431357375429
1–3%214236332540
4–6%18120131411
7–10%72374710
>10%1110013010
P-value0.0170.0450.129

[i] IQR and percentage of each risk are used for data in both groups. IQR, interquartile range; NAFLD, non-alcoholic fatty liver disease; CHD, coronary heart disease; PROCAM, prospective cardiovascular Munster; ATPIII, Adult Treatment Expert Panel III.

Discussion

NAFLD is a clinically pathological syndrome characterized by parenchymal liver cells and fat accumulation in the absence of excessive drinking. The main pathological feature of CHD is coronary atherosclerosis, and it mainly occurs in the middle-aged and elderly people, which may be caused by genetic and environmental factors. Abnormal lipid metabolism is often considered to be the main factors of increased blood lipids, and hyperlipidemia is also considered as the common cause of CHD and NAFLD. The clinical diagnosis rate of CHD complicated with NAFLD is very high. Recently it is confirmed that NAFLD is very closely related to the incidence of CHD (10,11). The pathogenesis of NAFLD and CHD is mainly systemic chronic inflammation, gradually enhanced oxidative stress and vascular endothelial dysfunction (12). In addition, several studies have shown that IR refers to the fact that the tissues and organs can not produce normal physiological and biological reactions to a certain amount of insulin, which is the common metabolic defect of many metabolic diseases and considered as an idiopathic feature of NAFLD (13,14), even for subjects without obesity (15). Compared with simple CHD patients, CHD patients complicated with NAFLD will produce IR, cause the release of cytokines and a series of inflammatory reactions, promote the release of serum APN, TNF-α, hs-CRP and other factors and increase the mitochondrial oxidative burden of liver cells. A large number of activated oxygen-free radicals bind to the corresponding factors to form peroxides, manifested as coronary atherosclerosis. In addition, CHD patients complicated with NAFLD suffer from vascular endothelial dilation dysfunction, IR and abnormal liver function to some extent, significantly slowing down the blood vessel velocity combined with the common role of inflammatory factors, which is manifested directly as platelet aggregation, thus affecting the vascular endothelial dilation function and prognosis (16).

The results of comparisons of BMI and liver function between the two groups showed that the serum TBIL and ALT levels and BMI in the NAFLD group were significantly higher than those in the simple CHD group, and the differences were statistically significant; there was no statistically significant difference in the serum AST level between the two groups. The Pearsons correlation analysis revealed that there was a linearly positive correlation between ALT and brachial artery diameter in the NAFLD group (r=0.311, P<0.05). The HOMA-IR and HOMA-β indexes in the NAFLD group were obviously increased compared with those in the simple CHD group, and the differences were statistically significant (P<0.01); but the FBG had no statistically significant difference between the two groups (P>0.05). Moreover, the base value of carotid diameter (Do) had no statistically significant difference between the two groups (P>0.05), and it was significantly decreased in the NAFLD group compared with that in the simple CHD group. There were significant differences in the IMT, number of carotid plaques and detection rate of carotid plaques between the two groups (P<0.05). There was a statistically significant difference in the correlation between HOMA-IR and HOMA-β indexes and brachial artery diameter in both groups (r=−0.128, r=0.219, P<0.05). There was also a statistically significant difference in the correlation between hs-CRP and brachial artery diameter in the groups (r=−0.312, P<0.05), but TNF-α had no correlation with brachial artery diameter, and the difference was not statistically significant (r=3.286, P>0.05). Epidemiological data show that the mortality of CVD is significantly increased in patients diagnosed with NAFLD (17). Similarly, a recent study showed that compared with the control group, the average IMT and plaque detection rate are higher in NAFLD patients with carotid atherosclerotic, which is consistent with this study. The risk of cardiovascular events within 10 years in the NAFLD group was slightly increased compared with that in the simple CHD group. According to the Framingham equation, PROCAM and NCEP-ATPIII score, the differences were statistically significant between the two groups (P<0.05). The results of this study showed that the level of hs-CRP and TNF-α in the NAFLD group was significantly increased compared with that in the simple CHD group (P<0.05), suggesting that TNF-α and hs-CRP are of great significance in the occurrence and development of CHD complicated with NAFLD. Lomonaco et al (18) found that the serum TNF-α level is an independent predictor for the acute myocardial infarction and death of CHD patients. Some scholars have proposed (19) that TNF-α is related to the formation of atherosclerosis in CHD patients, which mainly acts on the endothelial cells to produce the platelet-derived growth factor and promote the smooth muscle cell migration and proliferation, ultimately leading to the endothelial cell dysfunction and intima thickening, so it is involved in the occurrence and development of atherosclerosis.

Pearsons correlation analysis of serum ALT and NO levels showed that there was a linearly positive correlation between them (r=0.325, P<0.05). The serum NO is considered to be an important index of endothelial function; its correlation with the vascular endothelial dilatation function is not clearly reported yet, but the NO content is decreased with the increase of serum ALT level in NAFLD patients (20). Therefore, the changes in liver function indexes, IR and related inflammatory factors in CHD patients complicated with NAFLD significantly affect the vascular endothelial dilation function, which also have some effects on the occurrence of CVDs.

Acknowledgements

Not applicable.

Funding

No funding was received.

Availability of data and materials

The datasets used and/or analyzed during the current study are available from the corresponding author on reasonable request.

Authors' contributions

BW wrote the manuscript. BW and FL performed ELISA. JG and CW worked on IR assessment. DX and CL were responsible for statistical analysis. All authors read and approved the final manuscript.

Ethics approval and consent to participate

The study was approved by the Ethics Committee of Jinan Central Hospital (Jinan, China) and signed informed consents were obtained by the patients or guardians.

Patient consent for publication

Not applicable.

Competing interests

The authors declare that they have no competing interests.

References

1 

Szczepaniak LS, Babcock EE, Schick F, Dobbins RL, Garg A, Burns DK, McGarry JD and Stein DT: Measurement of intracellular triglyceride stores by H spectroscopy: validation in vivo. Am J Physiol. 276:E977–E989. 1999.PubMed/NCBI

2 

Browning JD, Szczepaniak LS, Dobbins R, Nuremberg P, Horton JD, Cohen JC, Grundy SM and Hobbs HH: Prevalence of hepatic steatosis in an urban population in the United States: Impact of ethnicity. Hepatology. 40:1387–1395. 2004. View Article : Google Scholar : PubMed/NCBI

3 

Day CP: Pathogenesis of steatohepatitis. Best Pract Res Clin Gastroenterol. 16:663–678. 2002. View Article : Google Scholar : PubMed/NCBI

4 

Chalasani N, Younossi Z, Lavine JE, Diehl AM, Brunt EM, Cusi K, Charlton M and Sanyal AJ: American Gastroenterological Association; American Association for the Study of Liver Diseases; American College of Gastroenterologyh: The diagnosis and management of non-alcoholic fatty liver disease: practice guideline by the American Gastroenterological Association, American Association for the Study of Liver Diseases, and American College of Gastroenterology. Gastroenterology. 142:1592–1609. 2012. View Article : Google Scholar : PubMed/NCBI

5 

Fracanzani AL, Valenti L, Bugianesi E, Andreoletti M, Colli A, Vanni E, Bertelli C, Fatta E, Bignamini D, Marchesini G, et al: Risk of severe liver disease in nonalcoholic fatty liver disease with normal aminotransferase levels: a role for insulin resistance and diabetes. Hepatology. 48:792–798. 2008. View Article : Google Scholar : PubMed/NCBI

6 

Kotronen A, Juurinen L, Hakkarainen A, Westerbacka J, Cornér A, Bergholm R and Yki-Järvinen H: Liver fat is increased in type 2 diabetic patients and underestimated by serum alanine aminotransferase compared with equally obese nondiabetic subjects. Diabetes Care. 31:165–169. 2008. View Article : Google Scholar : PubMed/NCBI

7 

Gastaldelli A, Cusi K, Pettiti M, Hardies J, Miyazaki Y, Berria R, Buzzigoli E, Sironi AM, Cersosimo E, Ferrannini E, et al: Relationship between hepatic/visceral fat and hepatic insulin resistance in nondiabetic and type 2 diabetic subjects. Gastroenterology. 133:496–506. 2007. View Article : Google Scholar : PubMed/NCBI

8 

Bellentani S, Saccoccio G, Masutti F, Crocè LS, Brandi G, Sasso F, Cristanini G and Tiribelli C: Prevalence of and risk factors for hepatic steatosis in Northern Italy. Ann Intern Med. 132:112–117. 2000. View Article : Google Scholar : PubMed/NCBI

9 

Bhatia LS, Curzen NP, Calder PC and Byrne CD: Non-alcoholic fatty liver disease: a new and important cardiovascular risk factor? Eur Heart J. 33:1190–1200. 2012. View Article : Google Scholar : PubMed/NCBI

10 

Sunny NE, Parks EJ, Browning JD and Burgess SC: Excessive hepatic mitochondrial TCA cycle and gluconeogenesis in humans with nonalcoholic fatty liver disease. Cell Metab. 14:804–810. 2011. View Article : Google Scholar : PubMed/NCBI

11 

Souza MR, Diniz MF, Medeiros-Filho JE and Araújo MS: Metabolic syndrome and risk factors for non-alcoholic fatty liver disease. Arq Gastroenterol. 49:89–96. 2012. View Article : Google Scholar : PubMed/NCBI

12 

Chapman MJ, Ginsberg HN, Amarenco P, Andreotti F, Borén J, Catapano AL, Descamps OS, Fisher E, Kovanen PT, Kuivenhoven JA, et al: European Atherosclerosis Society Consensus Panel: Triglyceride-rich lipoproteins and high-density lipoprotein cholesterol in patients at high risk of cardiovascular disease: evidence and guidance for management. Eur Heart J. 32:1345–1361. 2011. View Article : Google Scholar : PubMed/NCBI

13 

Sanyal AJ, Campbell-Sargent C, Mirshahi F, Rizzo WB, Contos MJ, Sterling RK, Luketic VA, Shiffman ML and Clore JN: Nonalcoholic steatohepatitis: Association of insulin resistance and mitochondrial abnormalities. Gastroenterology. 120:1183–1192. 2001. View Article : Google Scholar : PubMed/NCBI

14 

Yki-Järvinen H: Liver fat in the pathogenesis of insulin resistance and type 2 diabetes. Dig Dis. 28:203–209. 2010. View Article : Google Scholar : PubMed/NCBI

15 

Fabbrini E, Magkos F, Mohammed BS, Pietka T, Abumrad NA, Patterson BW, Okunade A and Klein S: Intrahepatic fat, not visceral fat, is linked with metabolic complications of obesity. Proc Natl Acad Sci USA. 106:15430–15435. 2009. View Article : Google Scholar : PubMed/NCBI

16 

Bugianesi E, Gastaldelli A, Vanni E, Gambino R, Cassader M, Baldi S, Ponti V, Pagano G, Ferrannini E and Rizzetto M: Insulin resistance in non-diabetic patients with non-alcoholic fatty liver disease: sites and mechanisms. Diabetologia. 48:634–642. 2005. View Article : Google Scholar : PubMed/NCBI

17 

Wald D, Teucher B, Dinkel J, Kaaks R, Delorme S, Boeing H, Seidensaal K, Meinzer HP and Heimann T: Automatic quantification of subcutaneous and visceral adipose tissue from whole-body magnetic resonance images suitable for large cohort studies. J Magn Reson Imaging. 36:1421–1434. 2012. View Article : Google Scholar : PubMed/NCBI

18 

Lomonaco R, Ortiz-Lopez C, Orsak B, Webb A, Hardies J, Darland C, Finch J, Gastaldelli A, Harrison S, Tio F, et al: Effect of adipose tissue insulin resistance on metabolic parameters and liver histology in obese patients with nonalcoholic fatty liver disease. Hepatology. 55:1389–1397. 2012. View Article : Google Scholar : PubMed/NCBI

19 

Machado MV, Ferreira DM, Castro RE, Silvestre AR, Evangelista T, Coutinho J, Carepa F, Costa A, Rodrigues CM and Cortez-Pinto H: Liver and muscle in morbid obesity: the interplay of fatty liver and insulin resistance. PLoS One. 7:e317382012. View Article : Google Scholar : PubMed/NCBI

20 

Gastaldelli A: Role of beta-cell dysfunction, ectopic fat accumulation and insulin resistance in the pathogenesis of type 2 diabetes mellitus. Diabetes Res Clin Pract. 93 Suppl 1:S60–S65. 2011. View Article : Google Scholar : PubMed/NCBI

Related Articles

  • Abstract
  • View
  • Download
  • Twitter
Copy and paste a formatted citation
Spandidos Publications style
Wang B, Li F, Guo J, Wang C, Xu D and Li C: Effects of liver function, insulin resistance and inflammatory factors on vascular endothelial dilation function and prognosis of coronary heart disease patients complicated with NAFLD. Exp Ther Med 17: 1306-1311, 2019.
APA
Wang, B., Li, F., Guo, J., Wang, C., Xu, D., & Li, C. (2019). Effects of liver function, insulin resistance and inflammatory factors on vascular endothelial dilation function and prognosis of coronary heart disease patients complicated with NAFLD. Experimental and Therapeutic Medicine, 17, 1306-1311. https://doi.org/10.3892/etm.2018.7043
MLA
Wang, B., Li, F., Guo, J., Wang, C., Xu, D., Li, C."Effects of liver function, insulin resistance and inflammatory factors on vascular endothelial dilation function and prognosis of coronary heart disease patients complicated with NAFLD". Experimental and Therapeutic Medicine 17.2 (2019): 1306-1311.
Chicago
Wang, B., Li, F., Guo, J., Wang, C., Xu, D., Li, C."Effects of liver function, insulin resistance and inflammatory factors on vascular endothelial dilation function and prognosis of coronary heart disease patients complicated with NAFLD". Experimental and Therapeutic Medicine 17, no. 2 (2019): 1306-1311. https://doi.org/10.3892/etm.2018.7043
Copy and paste a formatted citation
x
Spandidos Publications style
Wang B, Li F, Guo J, Wang C, Xu D and Li C: Effects of liver function, insulin resistance and inflammatory factors on vascular endothelial dilation function and prognosis of coronary heart disease patients complicated with NAFLD. Exp Ther Med 17: 1306-1311, 2019.
APA
Wang, B., Li, F., Guo, J., Wang, C., Xu, D., & Li, C. (2019). Effects of liver function, insulin resistance and inflammatory factors on vascular endothelial dilation function and prognosis of coronary heart disease patients complicated with NAFLD. Experimental and Therapeutic Medicine, 17, 1306-1311. https://doi.org/10.3892/etm.2018.7043
MLA
Wang, B., Li, F., Guo, J., Wang, C., Xu, D., Li, C."Effects of liver function, insulin resistance and inflammatory factors on vascular endothelial dilation function and prognosis of coronary heart disease patients complicated with NAFLD". Experimental and Therapeutic Medicine 17.2 (2019): 1306-1311.
Chicago
Wang, B., Li, F., Guo, J., Wang, C., Xu, D., Li, C."Effects of liver function, insulin resistance and inflammatory factors on vascular endothelial dilation function and prognosis of coronary heart disease patients complicated with NAFLD". Experimental and Therapeutic Medicine 17, no. 2 (2019): 1306-1311. https://doi.org/10.3892/etm.2018.7043
Follow us
  • Twitter
  • LinkedIn
  • Facebook
About
  • Spandidos Publications
  • Careers
  • Cookie Policy
  • Privacy Policy
How can we help?
  • Help
  • Live Chat
  • Contact
  • Email to our Support Team