Spandidos Publications Logo
  • About
    • About Spandidos
    • Aims and Scopes
    • Abstracting and Indexing
    • Editorial Policies
    • Reprints and Permissions
    • Job Opportunities
    • Terms and Conditions
    • Contact
  • Journals
    • All Journals
    • Oncology Letters
      • Oncology Letters
      • Information for Authors
      • Editorial Policies
      • Editorial Board
      • Aims and Scope
      • Abstracting and Indexing
      • Bibliographic Information
      • Archive
    • International Journal of Oncology
      • International Journal of Oncology
      • Information for Authors
      • Editorial Policies
      • Editorial Board
      • Aims and Scope
      • Abstracting and Indexing
      • Bibliographic Information
      • Archive
    • Molecular and Clinical Oncology
      • Molecular and Clinical Oncology
      • Information for Authors
      • Editorial Policies
      • Editorial Board
      • Aims and Scope
      • Abstracting and Indexing
      • Bibliographic Information
      • Archive
    • Experimental and Therapeutic Medicine
      • Experimental and Therapeutic Medicine
      • Information for Authors
      • Editorial Policies
      • Editorial Board
      • Aims and Scope
      • Abstracting and Indexing
      • Bibliographic Information
      • Archive
    • International Journal of Molecular Medicine
      • International Journal of Molecular Medicine
      • Information for Authors
      • Editorial Policies
      • Editorial Board
      • Aims and Scope
      • Abstracting and Indexing
      • Bibliographic Information
      • Archive
    • Biomedical Reports
      • Biomedical Reports
      • Information for Authors
      • Editorial Policies
      • Editorial Board
      • Aims and Scope
      • Abstracting and Indexing
      • Bibliographic Information
      • Archive
    • Oncology Reports
      • Oncology Reports
      • Information for Authors
      • Editorial Policies
      • Editorial Board
      • Aims and Scope
      • Abstracting and Indexing
      • Bibliographic Information
      • Archive
    • Molecular Medicine Reports
      • Molecular Medicine Reports
      • Information for Authors
      • Editorial Policies
      • Editorial Board
      • Aims and Scope
      • Abstracting and Indexing
      • Bibliographic Information
      • Archive
    • World Academy of Sciences Journal
      • World Academy of Sciences Journal
      • Information for Authors
      • Editorial Policies
      • Editorial Board
      • Aims and Scope
      • Abstracting and Indexing
      • Bibliographic Information
      • Archive
    • International Journal of Functional Nutrition
      • International Journal of Functional Nutrition
      • Information for Authors
      • Editorial Policies
      • Editorial Board
      • Aims and Scope
      • Abstracting and Indexing
      • Bibliographic Information
      • Archive
    • International Journal of Epigenetics
      • International Journal of Epigenetics
      • Information for Authors
      • Editorial Policies
      • Editorial Board
      • Aims and Scope
      • Abstracting and Indexing
      • Bibliographic Information
      • Archive
    • Medicine International
      • Medicine International
      • Information for Authors
      • Editorial Policies
      • Editorial Board
      • Aims and Scope
      • Abstracting and Indexing
      • Bibliographic Information
      • Archive
  • Articles
  • Information
    • Information for Authors
    • Information for Reviewers
    • Information for Librarians
    • Information for Advertisers
    • Conferences
  • Language Editing
Spandidos Publications Logo
  • About
    • About Spandidos
    • Aims and Scopes
    • Abstracting and Indexing
    • Editorial Policies
    • Reprints and Permissions
    • Job Opportunities
    • Terms and Conditions
    • Contact
  • Journals
    • All Journals
    • Biomedical Reports
      • Information for Authors
      • Editorial Policies
      • Editorial Board
      • Aims and Scope
      • Abstracting and Indexing
      • Bibliographic Information
      • Archive
    • Experimental and Therapeutic Medicine
      • Information for Authors
      • Editorial Policies
      • Editorial Board
      • Aims and Scope
      • Abstracting and Indexing
      • Bibliographic Information
      • Archive
    • International Journal of Epigenetics
      • Information for Authors
      • Editorial Policies
      • Editorial Board
      • Aims and Scope
      • Abstracting and Indexing
      • Bibliographic Information
      • Archive
    • International Journal of Functional Nutrition
      • Information for Authors
      • Editorial Policies
      • Editorial Board
      • Aims and Scope
      • Abstracting and Indexing
      • Bibliographic Information
      • Archive
    • International Journal of Molecular Medicine
      • Information for Authors
      • Editorial Policies
      • Editorial Board
      • Aims and Scope
      • Abstracting and Indexing
      • Bibliographic Information
      • Archive
    • International Journal of Oncology
      • Information for Authors
      • Editorial Policies
      • Editorial Board
      • Aims and Scope
      • Abstracting and Indexing
      • Bibliographic Information
      • Archive
    • Medicine International
      • Information for Authors
      • Editorial Policies
      • Editorial Board
      • Aims and Scope
      • Abstracting and Indexing
      • Bibliographic Information
      • Archive
    • Molecular and Clinical Oncology
      • Information for Authors
      • Editorial Policies
      • Editorial Board
      • Aims and Scope
      • Abstracting and Indexing
      • Bibliographic Information
      • Archive
    • Molecular Medicine Reports
      • Information for Authors
      • Editorial Policies
      • Editorial Board
      • Aims and Scope
      • Abstracting and Indexing
      • Bibliographic Information
      • Archive
    • Oncology Letters
      • Information for Authors
      • Editorial Policies
      • Editorial Board
      • Aims and Scope
      • Abstracting and Indexing
      • Bibliographic Information
      • Archive
    • Oncology Reports
      • Information for Authors
      • Editorial Policies
      • Editorial Board
      • Aims and Scope
      • Abstracting and Indexing
      • Bibliographic Information
      • Archive
    • World Academy of Sciences Journal
      • Information for Authors
      • Editorial Policies
      • Editorial Board
      • Aims and Scope
      • Abstracting and Indexing
      • Bibliographic Information
      • Archive
  • Articles
  • Information
    • For Authors
    • For Reviewers
    • For Librarians
    • For Advertisers
    • Conferences
  • Language Editing
Login Register Submit
  • This site uses cookies
  • You can change your cookie settings at any time by following the instructions in our Cookie Policy. To find out more, you may read our Privacy Policy.

    I agree
Search articles by DOI, keyword, author or affiliation
Search
Advanced Search
presentation
Experimental and Therapeutic Medicine
Join Editorial Board Propose a Special Issue
Print ISSN: 1792-0981 Online ISSN: 1792-1015
Journal Cover
July-2019 Volume 18 Issue 1

Full Size Image

Sign up for eToc alerts
Recommend to Library

Journals

International Journal of Molecular Medicine

International Journal of Molecular Medicine

International Journal of Molecular Medicine is an international journal devoted to molecular mechanisms of human disease.

International Journal of Oncology

International Journal of Oncology

International Journal of Oncology is an international journal devoted to oncology research and cancer treatment.

Molecular Medicine Reports

Molecular Medicine Reports

Covers molecular medicine topics such as pharmacology, pathology, genetics, neuroscience, infectious diseases, molecular cardiology, and molecular surgery.

Oncology Reports

Oncology Reports

Oncology Reports is an international journal devoted to fundamental and applied research in Oncology.

Experimental and Therapeutic Medicine

Experimental and Therapeutic Medicine

Experimental and Therapeutic Medicine is an international journal devoted to laboratory and clinical medicine.

Oncology Letters

Oncology Letters

Oncology Letters is an international journal devoted to Experimental and Clinical Oncology.

Biomedical Reports

Biomedical Reports

Explores a wide range of biological and medical fields, including pharmacology, genetics, microbiology, neuroscience, and molecular cardiology.

Molecular and Clinical Oncology

Molecular and Clinical Oncology

International journal addressing all aspects of oncology research, from tumorigenesis and oncogenes to chemotherapy and metastasis.

World Academy of Sciences Journal

World Academy of Sciences Journal

Multidisciplinary open-access journal spanning biochemistry, genetics, neuroscience, environmental health, and synthetic biology.

International Journal of Functional Nutrition

International Journal of Functional Nutrition

Open-access journal combining biochemistry, pharmacology, immunology, and genetics to advance health through functional nutrition.

International Journal of Epigenetics

International Journal of Epigenetics

Publishes open-access research on using epigenetics to advance understanding and treatment of human disease.

Medicine International

Medicine International

An International Open Access Journal Devoted to General Medicine.

Journal Cover
July-2019 Volume 18 Issue 1

Full Size Image

Sign up for eToc alerts
Recommend to Library

  • Article
  • Citations
    • Cite This Article
    • Download Citation
    • Create Citation Alert
    • Remove Citation Alert
    • Cited By
  • Similar Articles
    • Related Articles (in Spandidos Publications)
    • Similar Articles (Google Scholar)
    • Similar Articles (PubMed)
  • Download PDF
  • Download XML
  • View XML
Article

Efficacy of long‑term treatment with tenofovir in Chinese nucleos(t)ide‑naïve chronic hepatitis B patients regardless of baseline viral load

  • Authors:
    • Jie Luo
    • Xu You
    • Yutian Chong
    • Yuankai Wu
    • Jiao Gong
    • Yusheng Jie
    • Xinhua Li
    • Sujuan Xi
    • Zhiwei Zhang
    • Yufeng Zhang
    • Dongying Xie
    • Zhanyi Li
    • Xiangyong Li
  • View Affiliations / Copyright

    Affiliations: Department of Hepatology, The Third Affiliated Hospital of Shenzhen University, Shenzhen Luohu People's Hospital, Shenzhen, Guangdong 518000, P.R. China, Department of Clinical Laboratory, The Third Affiliated Hospital of Southern Medical University, Guangzhou, Guangdong 510630, P.R. China, Department of Infectious Diseases, The Third Affiliated Hospital of Sun Yat‑sen University, Guangzhou, Guangdong 510630, P.R. China, Department of Clinical Laboratory, The Third Affiliated Hospital of Sun Yat‑sen University, Guangzhou, Guangdong 510630, P.R. China
  • Pages: 260-268
    |
    Published online on: May 6, 2019
       https://doi.org/10.3892/etm.2019.7547
  • Expand metrics +
Metrics: Total Views: 0 (Spandidos Publications: | PMC Statistics: )
Metrics: Total PDF Downloads: 0 (Spandidos Publications: | PMC Statistics: )
Cited By (CrossRef): 0 citations Loading Articles...

This article is mentioned in:



Abstract

The aim of the present study was to analyze the efficacy and safety of tenofovir (TDF) treatment for up to 5 years in nucleos(t)ide‑naïve chronic hepatitis B (CHB) patients, particularly those with a high viral load, a in real‑life scenario. A total of 144 nucleos(t)ide‑naïve CHB patients who received TDF monotherapy for at least 3 months were retrospectively analyzed. The primary endpoint measure was the achievement of virological response (VR; undetectable serum HBV DNA, <100 IU/ml). The secondary endpoints were alanine aminotransferase (ALT) normalization (ALT < upper limit of normal), hepatitis B e antigen (HBeAg) seroconversion and safety. The median follow‑up period was 120 weeks (range, 12‑264 weeks). In total, 144, 130, 114, 78, 67, 40 and 13 patients were followed up for at least 12, 24, 48, 96, 144, 192 and 240 weeks, respectively. An incremental trend was observed in the rate of VR: 73.1, 91.3, 98.1, 100, 100 and 100% of the patients exhibited VR at 24, 48, 96, 144, 192 and 240 weeks, respectively. Furthermore, 29 patients with hepatitis B virus (HBV) DNA ≥8 log10 IU/ml at baseline achieved VR during the follow‑up period. The proportions of patients achieving normal ALT levels were 72.1, 78.6, 91.2, 95, 96 and 100%, at 24, 48, 96, 144, 192 and 240 weeks, respectively. The rate of HBeAg loss reached 35.6% at week 240. Among the 130 patients, HBV DNA was detectable [partial VR (PVR)] in 35 patients at 24 weeks of follow‑up, and 30 of those 35 patients (85.7%) required >24 weeks of further TDF therapy to achieve VR. No serious adverse events were reported. In conclusion, long‑term TDF treatment of nucleos(t)ide‑naïve chronic hepatitis B patients, regardless of high viral load at baseline, was effective and safe in a real‑life scenario. Adjustment of TDF monotherapy may be unnecessary in nucleos(t)ide‑naïve patients with PVR at 24 weeks.

Introduction

Chronic hepatitis B (CHB) is a major health problem worldwide. In China, although the prevalence of hepatitis B virus (HBV) infection in the general population was reduced to 7.2% by 2006, it was estimated that there were ~93 million people who were chronic HBV surface antigen (HBsAg) carriers, of which ~20 million were patients with chronic hepatitis B (1,2). Furthermore, in 2014, a seroepidemiological survey of HBV infection among people aged 1–29 in China revealed that the detection rates of HBsAg in people aged 1–4, 5–14 and 15–29 years were 0.32%, 0.94% and 4.38% respectively (2). Most patients with CHB require long-term therapy. The primary goal of CHB treatment is to reduce the risk of chronic liver disease and the associated complications, and improve the quality of life and survival (2).

Anti-viral therapy, which aims to reduce the HBV DNA levels as much as possible, is key in the management of CHB. In this regard, nucleos(t)ide analogues (NAs) are commonly used to treat CHB patients. Tenofovir disoproxil fumarate (TDF) and entecavir (ETV) are the most potent HBV inhibitors and have a high genetic barrier to resistance (3,4). According to current guidelines, they are the recommended first-line therapeutic agents for CHB (5–7). Compared to adefovir, TDF displayed superior virological and biochemical outcomes in NA-naïve patients in a randomized controlled trial (3). TDF is able to sustain its suppressive effects on HBV replication without the occurrence of drug-resistant mutants after up to 8 years of continuous therapy (8). Furthermore, TDF has been reported to be efficacious and safe for CHB patients with multi-drug resistance (9). Another study reported that TDF is effective for achieving complete viral suppression in HBeAg-positive, NA-naïve CHB patients with HBV DNA levels of >6 log10 IU/ml (10,11).

However, in real life, an increasing number of patients are experiencing treatment failure with different NA treatment regimens due to poor compliance or/and financial barriers. Lovett et al (12) observed the long-term treatment outcomes of tenofovir therapy in treatment-naïve and -experienced CHB patients in a real-world Australian population. They observed that the rates of complete virological suppression (defined as plasma HBV DNA levels <20 IU/ml) were 70, 87 and 100% at 12, 24 and 36 months, respectively. However, they did not perform any hierarchical analysis according to baseline HBV DNA levels. Furthermore, currently available data on virological response (VR) to long-term continuous TDF therapy in patients with a high viral load and partial VR (PVR) in the clinical setting are limited. Therefore, the present study was performed to provide objective real-life data for the clinical use of TDF.

The aims of the present retrospective study were to i) evaluate the long-term efficacy of TDF treatment in NA-naïve CHB patients with a high viral load in real life and ii) assess the efficacy of continuous TDF therapy in patients who failed to achieve VR at 24 weeks.

Patients and methods

Study population

The present retrospective study was performed using the data of consecutive patients encountered at the Department of Infectious Diseases of The Third Affiliated Hospital of Sun Yat-sen University (Guangzhou, China) between February 2012 and July 2017. All CHB patients were diagnosed on the basis of the Guidelines for the Prevention and Treatment for Chronic Hepatitis B (2015) (9) and were treated with TDF 300 mg/day monotherapy. All of the patients were followed up once at least every 3 months to collect their serum samples. The patients were carefully examined at each follow-up visit and requested to report any adverse events. The study protocol conformed to the ethical guidelines of the Declaration of Helsinki and was approved by the Ethics Committee of the Third Affiliated Hospital of Sun Yat-sen University (Guangzhou, China). Informed consent was obtained from each patient involved in the follow-up study.

The inclusion criteria were as follows: Age, 18–65 years; presence of detectable hepatitis B surface antigen (HBsAg) levels for 6 months; HBV DNA levels >2,000 IU/ml; alanine aminotransferase (ALT) levels >2 upper limit of normal; duration of TDF monotherapy, at least 12 weeks. Patients were excluded if they had HIV or other hepatitis virus infections, or evidence of alcoholic hepatitis, autoimmune hepatitis or drug-induced liver disease. Pregnant and breast-feeding women were also excluded.

Among the 166 patients treated with TDF at 300 mg/day, 22 were excluded for the following reasons: Duration of TDF monotherapy for <12 months (n=14), incomplete data at baseline (n=3) and prevention of mother-to-child transmission (n=5). A total of 144 patients were eligible for this analysis. A flowchart depicting the patient enrollment process is provided in Fig. 1.

Figure 1.

Flow chart of the patient enrolment for the present study. TDF, tenofovir disoproxil fumarate; CHB, chronic hepatitis B; HBeAg, hepatitis B e antigen.

Laboratory measurements

Routine hematologic analysis, serologic analysis and assessments of hepatobiliary enzymes, HBV DNA, hepatic synthetic function, creatine kinase, blood urea nitrogen, creatinine and blood lactate were performed at baseline and every 3–6 months thereafter. A 2-ml blood sample was collected at each follow-up examination for future assessment. The diagnosis of cirrhosis was based on the results of histological or ultrasound examinations.

Definitions of response

VR was defined as undetectable serum HBV DNA levels (<100 IU/ml). PVR was defined as a decrease in HBV DNA level by >2.0 log10 IU/ml, but detectable HBV DNA in a real-time PCR assay (≥100 IU/ml) at 24 weeks of TDF treatment (11). Virological breakthrough was defined as a >1 log10 IU/ml increase in serum HBV DNA levels from the nadir in two consecutive measurements. Virological relapse was defined as serum HBV DNA levels of >2,000 IU/ml in two tests with a 1-month interval after withdrawing the anti-viral drug in patients who experienced VR. An ALT level of 5–40 U/l was considered normal.

Clinical endpoints

The primary endpoint measures were the proportions of patients achieving VR at 12, 24 and 48 weeks (year 1), 96 weeks (year 2), 144 weeks (year 3), 192 weeks (year 4) and 240 weeks (year 5). The secondary endpoints were HBeAg loss and seroconversion, and ALT normalization.

Assay methods

Liver function assessments and other biochemical assays were performed using automated techniques. Serum HBV DNA levels were measured using a real-time quantitative PCR assay (DAAN Gene Co., Ltd) with a lower detection limit of 100 IU/ml. The HBsAg (cat. no. 11820532122), HBsAb (cat. no. 11820524122), HBeAg (cat. no. 11820583122) and HBeAb (cat. no. 11820613122) were measured using commercially available chemiluminescence assay kits purchased from Roche Diagnostic Systems.

Statistical analysis

Data were analyzed using the SPSS software package version 19.0 (IBM Corp.). Quantitative data were expressed as the mean ± standard deviation. Categorical data were presented as counts and percentages. HBV DNA levels were presented as log-transformed values. Student's t-test was used for quantitative data. Pearson's chi-square and Fisher's exact tests were used for categorical variables. The associations between sex, age, presence of cirrhosis, interferon experience, baseline HBV DNA, baseline HBeAg status, baseline ALT level and end of follow-up of virological suppression and PVR to TDF monotherapy were tested using Cox proportional hazards regression analysis. The cumulative rates of complete viral suppression were analyzed using the Kaplan-Meier method. A two-tailed P<0.05 was considered to indicate a statistically significant difference.

Results

Baseline characteristics of patients

In total, 144 patients were included in the present study, of whom 106 were HBeAg-positive and 38 were HBeAg-negative. Overall, 55.6% of the patients (n=80) were male, and 25 patients (17.4%) had cirrhosis. Five patients had undergone interferon therapy: 2 had been treated with pegylated interferon and the other 3 had received conventional interferon. One patient received treatment <3 months due to poor compliance, and 3 patients finally exhibited virological relapse after cessation of interferon therapy. One patient did not continue interferon therapy due to side effects and switched to TDF. The 144 patients enrolled had good compliance and took medication on time, Although 19 patients were not followed up every three months, these patients were followed up at intervals of 4 or 6 months. At each follow-up time-point, the clinicians communicated with the patients by telephone, and patients were urged to visit a doctor and receive timely education to improve treatment adherence. The mean HBV DNA level in the cohort was 6.7 log10 IU/ml. The mean patient age was 34 years and the median follow-up period for the whole study population was 120 weeks (range, 12–264) weeks. The baseline characteristics of the study population are presented in Table I.

Table I.

Characteristics of patients at baseline.

Table I.

Characteristics of patients at baseline.

ParameterTotal (n=144)HBeAg-positive (n=106)HBeAg-negative (n=38)P-value
Male gender (%)80 (55.6)52 (49.1)28 (73.7)0.032
Age (years)34±733±638±90.005
Follow-up (weeks)  120 (12–264)  144 (12–264)  90 (12–240)0.363
Presence of cirrhosis (%)25 (17.4)7 (6.6)18 (47.4)<0.001
Interferon experience5 (3.5)3 (2.8)2 (5.3)0.781
ALT (U/l)   172.5±276.6   169.0±175.2   182.5±456.50.967
HBV DNA (log10 IU/ml)   6.7±1.5   7.1±1.3   5.6±1.5<0.001

[i] Values are expressed as the mean ± standard deviation, n (%) or median (range). ALT, alanine aminotransferase (normal range, 5–40 U/l); HBV DNA, hepatitis B virus DNA (normal range, <100 IU/ml); HBeAg, hepatitis B e antigen.

VR

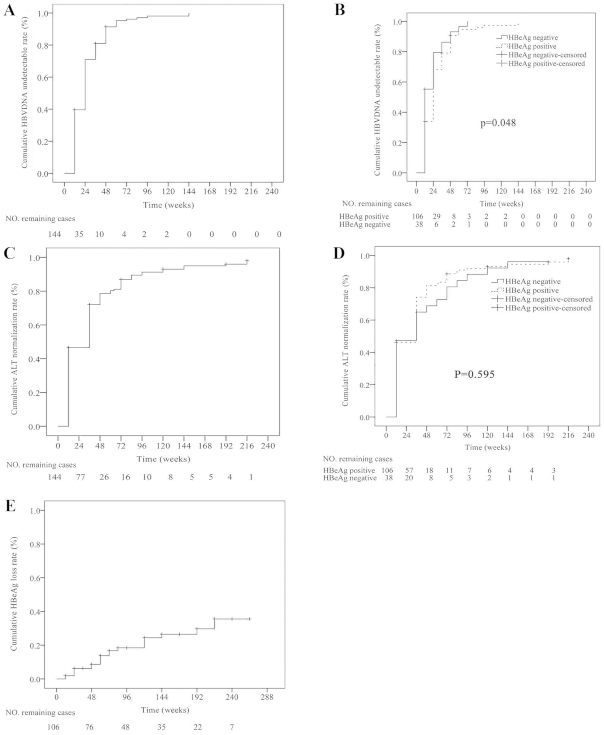
To analyze the suppression of HBV DNA, a Kaplan-Meier plot was used to visualize the cumulative probability of achieving complete viral suppression at each follow-up time-point (Fig. 2). The cumulative probability of achieving VR at 24, 48, 96, 144, 192 and 240 weeks was 71, 91.3, 98.1, 100, 100 and 100%, respectively. A transient elevation of the viral load was observed in 6 patients, which had an elevation of HBV DNA levels by <1 log10 IU/ml. However, in the subsequent second test, the HBV DNA level dropped below the detection limit. Among these patients, HBV DNA levels in one case rose from below the limit of detection at 36 weeks to 205 U/l at 48 weeks, HBV DNA levels in four cases increased respectively from below the limit of detection at 60 weeks to 591, 656, 787 and 574 IU/ml at 72 weeks, and HBV DNA levels in one case rose from below the limit of detection at 84 weeks to 839 U/l at 96 weeks. The proportion of patients exhibiting undetectable HBV DNA levels at 144 weeks of treatment was higher among patients with HBeAg-negative status at baseline than among those with HBeAg-positive status (Fig. 2). Cox regression analysis demonstrated that the baseline HBV DNA level was a significant predictor of VR (P=0.012; Table II). The VR rate was also compared between patients with baseline HBV DNA levels of ≥8 vs. <8 log10 IU/ml at different time-points. The characteristics of patients stratified by their baseline HBV DNA levels are presented in Table III. The 29 patients with HBV DNA levels of ≥8 log10 IU/ml at baseline achieved VR during the follow-up period. However, the cumulative VR rate was higher in patients with baseline HBV DNA levels of <8 log10 IU/ml than in those with baseline HBV DNA levels of ≥8 log10 IU/ml (P<0.01; Fig. 3). When patients were divided into groups with HBV DNA levels of ≥6 and <6 log10 IU/ml, the VR was revealed to be different between the two groups (P<0.05).

Figure 2.

Efficacy of tenofovir disoproxil fumarate treatment in CHB patients. (A) Cumulative HBV DNA undetectable rate and (B) comparison of cumulative HBV DNA undetectable rate compared between HBeAg-positive and -negative patients (P<0.05). (C) Cumulative ALT normalization rate and (D) comparison of cumulative ALT normalization rate compared between HBeAg-positive and -negative patients (P>0.05). (E) Cumulative HBeAg loss rate in HBeAg-positive CHB patients at baseline. HBeAg, hepatitis B e antigen; ALT, alanine aminotransferase.

Figure 3.

Cumulative HBV DNA undetectable rate in TDF-treated CHB patients with different baseline HBV DNA levels. (A) The cumulative HBV DNA undetectable rate was higher than in TDF-treated CHB patients with baseline HBV DNA <8 log10 IU/ml than in those with baseline HBV DNA ≥8 log10 IU/ml (P<0.01). (B) The cumulative HBV DNA undetectable rate was higher in TDF-treated CHB patients with baseline HBV DNA <6 log10 IU/ml than in those with baseline HBV DNA ≥6 log10 IU/ml (P=0.049). TDF, tenofovir disoproxil fumarate; CHB, chronic hepatitis B; HBV, hepatitis B virus.

Table II.

Cox regression analysis for identification of independent variables predictive of virological response.

Table II.

Cox regression analysis for identification of independent variables predictive of virological response.

Univariate analysisMultivariate analysis


VariablesHazard ratio (95% CI)P-valueHazard ratio (95% CI)P-value
Sex (males vs. females)0.915 (0.644–1.301)0.621
Age (years)1.011 (0.987–1.036)0.378
Presence of cirrhosis1.099 (0.686–1758)0.695
History of interferon treatment prior to TDF1.692 (0.687–4.166)0.252
HBeAg state at baseline (positive vs. negative)0.739 (0.497–1.099)0.135
ALT (U/l)1.000 (1.000–1.001)0.103
HBV DNA at baseline (log10 IU/ml)0.866 (0.770–0.974)0.0160.808 (0.685–0.954)0.012

[i] ALT, alanine aminotransferase; HBV DNA, hepatitis B virus DNA; HBeAg, hepatitis B e antigen.

Table III.

Characteristics of patients at baseline stratified by HBV DNA level.

Table III.

Characteristics of patients at baseline stratified by HBV DNA level.

ParameterHBV DNA ≥8 log10 IU/ml (n=29)HBV DNA <8 log10 IU/ml (n=115)P-value
Male gender (%)20 (69)  60 (52.2)0.104
Age (years)32±635±70.502
Presence of cirrhosis (%)  1 (3.4)  24 (20.9)0.027
Interferon experienced  0 (0.0)  5 (4.3)0.583
HBeAg-positive (%)  29 (100)77 (67)<0.001
ALT (U/l)156.6±172.0176.6±278.80.722
HBV DNA at baseline (log10 IU/ml)8.3±0.26.3±1.3<0.001

[i] Values are expressed as the mean ± standard deviation or n (%). ALT, alanine aminotransferase; HBV DNA, hepatitis B virus DNA; HBeAg, hepatitis B e antigen.

Factors predictive of PVR at 24 weeks

The baseline demographics and disease characteristics of those patients who exhibited a PVR at week 24 are summarized in Table IV. Cox regression analysis demonstrated that baseline HBV DNA levels and VR at 12 weeks were significant predictors of PVR (P=0.002; Table V). A total of 35 cases (26.9%) exhibited a PVR at 24 weeks. With continued therapy, 21 patients (60%) with PVR at 24 weeks achieved VR at 48 weeks. At 96 weeks, 28 patients (80%) had achieved VR. Another 2 patients achieved VR at 144 weeks, with HBV DNA remaining at a low level (<3 log10 IU/ml) prior to that. The remaining 5 patients did not achieve VR at the end of the study as the samples were detected only every three months, however, they were still included in the follow-up study.

Table IV.

Baseline demographics of patients who exhibited a VR or PVR at 24 weeks.

Table IV.

Baseline demographics of patients who exhibited a VR or PVR at 24 weeks.

ParameterTotal (n=130)VR (n=95)PVR (n=35)P-value
Male gender (%)72 (55.4)53 (55.8)19 (54.3)0.878
Age (years)34.1±6.734.1±6.834.0±6.60.771
Presence of cirrhosis (%)20 (15.4)14 (14.7)  6 (17.1)0.736
Interferon experienced4 (3.1)4 (4.2)0 (0.0)0.218
HBeAg-positive98 (75.4)68 (71.6)30 (85.7)0.097
ALT (U/l)175.9±287.6202.7±325.5103.4±116.50.052
HBV DNA at baseline (log10 IU/ml)6.7±1.46.5±1.47.3±1.40.652

[i] Values are expressed as the mean ± standard deviation or n (%). ALT, alanine aminotransferase; HBV DNA, hepatitis B virus DNA; HBeAg, hepatitis B e antigen; PVR, partial virological response.

Table V.

Cox analyses of host and viral factors associated with undetectable levels of HBV DNA at 24 weeks.

Table V.

Cox analyses of host and viral factors associated with undetectable levels of HBV DNA at 24 weeks.

Univariate analysisMultivariate analysis


VariablesHazard ratio (95% CI)P-valueHazard ratio (95% CI)P-value
Sex (males vs. females)0.936 (0.624–1.404)0.750
Age (years)1.002 (0.974–1.031)0.888
Presence of cirrhosis0.913 (0.518–1.610)0.754
Interferon experienced0.715 (0.457–1.118)0.404
HBeAg status at baseline (positive vs. negative)1.532 (0.562–4.172)0.141
ALT (U/l)1.000 (1.000–1.001)0.112
HBV DNA at baseline (log 10 IU/ml)0.853 (0.747–0.975)0.0200.760 (0.641–0.901)0.002

[i] ALT, alanine aminotransferase; HBV DNA, hepatitis B virus DNA; HBeAg, hepatitis B e antigen

Biochemical response

The proportions of patients who exhibited ALT normalization at 24, 48, 96, 144, 192 and 240 weeks were 72.1, 78.6, 91.2, 95, 96 and 100%, respectively. These proportions were not significantly different between patients with HBeAg-positive and HBeAg-negative status at baseline (P=0.595; Fig. 2).

Serological response

The proportion of patients who were HBeAg-positive at baseline and exhibited HBeAg loss at 24, 48, 96, 144, 192 and 240 weeks was 6.2, 8.6, 18.4, 26.5, 29.7 and 35.6%, respectively (Fig. 2). Furthermore, 2 patients achieved HBeAg seroconversion at week 48 and 60, respectively. In addition, 1 patient exhibited HBsAg loss at 120 weeks and the HBsAg titer at baseline was 160.5 IU/ml, lower than that of HBeAg-positive patients.

Safety

No severe adverse events were reported during the present study. Transient elevations in creatine kinase levels were detected in 42 patients. All of them exhibited no muscle pain during the follow-up period. Of note, those patients performed a great deal of physical exercise. After they reduced the amount of exercise, creatine kinase was restored to normal. Serum creatinine level and estimated creatinine clearance were evaluated. Estimated creatinine clearance was calculated using the Modification of Diet in Renal Disease formula (13). The creatinine levels in a subset of 141 patients with an available baseline creatinine level were analyzed. A slightly elevated creatinine level (153 µmol/l) at week 12 was observed in one patient, but this reverted to the normal range (31.6–116 µmol/l) at 36 weeks. This patient took part in long-distance running and physical exercise at the gymnasium prior to the examination. After the patient was instructed to stop exercising, the level of creatinine gradually returned to normal. The median estimated glomerular filtration rate (eGFR) at baseline and at 48, 96, 144, 192 and 240 weeks was 131.96, 122.66, 119.35, 121.25, 113.93 and 117.43 ml/min/1.73m2, respectively (Table VI). The eGFR decreased slightly from baseline to 240 weeks, but did not reach <90 ml/min/1.73 m2. Serum calcium levels were normal in all patients throughout the study period. Serum phosphorus levels decreased slightly among 3 patients, but after another 12 weeks' follow-up with continuous TDF administration, they reverted to the normal range (0.74–1.52 mmol/l).

Table VI.

Change in eGFR in tenofovir treatment-naïve chronic hepatitis B patients.

Table VI.

Change in eGFR in tenofovir treatment-naïve chronic hepatitis B patients.

Time (weeks)eGFR (ml/min/1.73 m2)
Baseline131.96 (58.51–292.75)
48122.66 (73.49–200.86)
96119.35 (80.79–203.08)
144121.25 (79.43–193.43)
192113.93 (80.9–196.32)
240117.43 (88.41–214.3)

[i] Values are expressed as the median (range). eGFR, estimated glomerular filtration rate (normal range, >90 ml/min/1.73 m2).

Discussion

TDF is an oral NA and a potent and selective inhibitor of HBV DNA polymerase/reverse transcriptase in vitro. The safety and efficacy of TDF in the treatment of chronic HBV infection have been confirmed in phase 3 clinical trials that enrolled patients with HBeAg-positive and HBeAg-negative CHB, respectively (3,10). In the present study, the cumulative VR rate in TDF-naïve patients gradually increased throughout the treatment for up to 5 years in real life. Within the cohort, >95% of the patients had undetectable HBV DNA levels after 96 weeks, all patients had undetectable HBV DNA levels after 144 weeks, and another 13 patients who were followed up until 240 weeks achieved complete VR. This result further confirmed the potent effectiveness of TDF in inhibiting HBV in real life.

Long-term treatment of CHB with TDF monotherapy has been reported to maintain effective suppression of HBV DNA over 8 years, with no evidence of TDF resistance or accumulation of polymorphic or conserved site changes (8). Therefore, TDF is recommended as the first-line therapeutic agent for CHB in clinical practice guidelines. In a previous study, the cumulative rate of VR in TDF-naïve CHB patients with a high viral load (HBV DNA level ≥6 log10 IU/ml) at 24 months was 92.8 and 98.2% in HBeAg-positive and HBeAg-negative patients, respectively (14). In another study, 7–24% of patients receiving TDF monotherapy for 48 weeks were reported to exhibit PVR (15). A 3-year, prospective, real-world study in France demonstrated VR in 90% of the patients after 12 weeks, irrespective of HBeAg status, age or prior treatment history (16). Another real-world study from Australia reported sustained complete virological suppression (defined as plasma HBV DNA level <20 IU/ml) in 70% of subjects (29/44) at 12 months, 87% (26/30) at 24 months and 100% (18/18) at 36 months (12). In the present study, the cumulative rate of complete VR (defined as plasma HBV DNA level <100 IU/ml) at 24, 48, 96 and 144 weeks was determined as 71, 91.3 98.1 and 100%. This result appears to be superior to the VR obtained in the Australian study (12). This may be due to the high lower detection limit of the HBV DNA undetectable status applied in the present study. The results of the current study, obtained in the clinical practice setting, are similar to results previously reported in clinical trials.

In the present study, a transient elevation of the viral load was observed in 6 patients, comprising an elevation of the HBV DNA level by <1 log. However, in the subsequent second test, the HBV DNA level dropped below the detection limit. These patients had good medication adherence, and the transient elevation of viral load did not manifest as antiviral drug resistance. Hongthanakorn et al (17) also observed this virological breakthrough (VBT) phenomenon, which is defined as a >1 log10 IU/ml increase in serum HBV DNA levels from the nadir in two consecutive measurements (18), VBT is common in patients with chronic hepatitis B receiving nucleos(t)ide analogue treatment, but not all VBTs are due to drug resistance. The accountability of other reasons except for medication adherence is worth further exploration.

In the present study, a Cox regression analysis indicated that a high HBV DNA level at baseline was an independent factor influencing VR (P<0.05). When the patients were divided into two groups according to the baseline HBV DNA level (≥8 and <8 log10 IU/ml), the rate of VR was significantly different between the two groups (P<0.05). However, with continued treatment, the VR rate in each group had reached 100% after 144 weeks. At present, there is no clear definition of high viral load, and certain studies regard HBV DNA levels of ≥6 log10 IU/ml as indicative of high viral load (11). Therefore, in the present study, HBV DNA levels of ≥6 and ≥8 log10 IU/ml were considered for assessment. The patients were divided into two groups based on baseline HBV DNA levels of ≥6 or <6 log10 IU/ml and it was observed that the VR was different between the two groups (P<0.05). This result provides further evidence that TDF is highly effective for CHB patients with a high viral load. A previous study by our group has demonstrated that TDF and ETV rapidly inhibit HBV DNA replication in HBeAg-positive CHB patients with high HBV DNA levels (19). However, another study demonstrated that TDF is superior to ETV in achieving complete viral suppression in HBeAg-positive CHB patients with high HBV DNA levels (HBV DNA level >6 log10 IU/ml), with no significant difference in viral suppression in HBeAg-negative patients (11). These results provide a reference for the selection of anti-viral drugs in patients with chronic HBV with a high viral load.

Previous studies reported that high baseline HBV DNA and HBeAg positivity are independent risk factors for PVR (20,21). In the present study, the e-antigen state at baseline appeared to have no effect on the VR at 24 weeks in TDF-treated patients, as indicated by Cox univariate and multivariate logistic regression analysis. There may be several reasons for this observation. First, the overall sample size of the present study was relatively small, and the proportion of HBeAg-negative patients in the overall population was <27%. Furthermore, the mean value of HBV DNA at baseline was similar to that of HBeAg-negative and HBeAg-positive patients.

The presence of PVR, particularly to treatment with lamivudine, telbivudine and adefovir, is linked to the high risk of resistance to long-term anti-HBV treatment in these patients (22). Conversely, for drugs with a high resistance barrier, including ETV and TDF, PVR is associated with a lower risk of resistance to long-term monotherapy. A previous study by our group suggests that adjustment of ETV monotherapy may not be required in NA-naïve patients with a PVR at 1 year if no resistance to ETV has occurred by then; most patients achieved VR if therapy was continued beyond 1 year (23).

In the present study, 35 cases (26.9%) achieved a PVR at 24 weeks. With continued therapy, 21 patients (60%) with a PVR at 24 weeks achieved VR at 48 weeks. After 3 years, >80% of the patients had achieved VR. No virological breakthroughs were observed during this process. A Korean study reported that 127 out of 177 patients with PVR (71.8%) achieved VR during continuous prolonged TDF therapy (20). It also suggested that the vast majority of CHB patients with PVR achieved VR through prolonged TDF therapy, and it was unnecessary to urgently implement salvage therapy for TDF-naïve CHB patients with PVR.

In addition to undetectable HBV DNA levels, the disappearance of HBsAg and even the emergence of HBsAb are ideal treatment goals for CHB patients. In the present study, only one patient exhibited loss of HBsAg, and no serum conversion occurred. Among the HBeAg-positive patients at baseline, 20 patients achieved HBeAg loss until 192 weeks. Of those 20 patients, 2 achieved HBeAg seroconversion at weeks 48 and 60. The proportion of patients exhibiting HBeAg loss in the present study was lower than that reported previously (35.6 vs. 45.0%) by Marcellin et al (16). Novel drugs and strategies should be developed to achieve the goal of HBsAg seroconversion after VR, which remains a challenge.

No severe adverse events were reported in the present study. The serum phosphorus levels decreased slightly in 3 patients and were restored to the normal range without discontinuation of the treatment. The eGFR decreased slightly from baseline to 144 weeks, but always remained >90 ml/min/1.73 m2. Until 144 weeks, the eGFR subsequently stabilized gradually. Tsai et al (24) reported that the eGFR decreased significantly in the TDF group after a mean of 17 months of treatment, while Wang et al (25) observed that the eGFR decreased in patients with TDF treatment within 12 weeks. López Centeno et al (26) indicated no significant differences in terms of renal safety between CHB patients treated with ETV and TDF. Another study reported no significant differences in the eGFR in either the ETV- or TDF-treated patients with compensated cirrhosis or decompensated cirrhosis at week 96 (27). However, adverse events, including Fanconi syndrome, asthenia, hypophosphatemia and abdominal pain, have been reported to be associated with TDF (12). Therefore, regular follow-up examination is important and treatment decisions should be based on individualized assessments of each patient.

A relevant limitation of the present study is the small sample size. It is regrettable that resistance was not evaluated in patients with PVR at 24 weeks. In the majority of patients, quantitative analysis of HBsAg was not detected.

In conclusion, long-term treatment with TDF for up to 5 years significantly reduced HBV DNA levels in CHB patients, regardless of high viral load at baseline. Adjustment of TDF monotherapy in NA-naïve patients with PVR at 24 weeks may not be required, and most patients achieved VR if therapy was continued.

Acknowledgements

Not applicable.

Funding

This project was supported by the Natural Science Foundation of Guangdong (grant nos. 2014A030313146, 2016A030313250 and 2016A030313302), the Tianhe District Science and Technology Project (grant no. 201504KW032) and the Jiangxi Science and Technology Project (grant no. 20151BBG70163).

Availability of data and materials

The datasets used and/or analyzed during the present study are available from the corresponding author on reasonable request.

Authors' contributions

JL, XYL and XY wrote the manuscript. YC, JL, XYL and ZL designed the study. JL, XY, ZL, XYL, YW, JG, YJ, XHL, SX, ZZ, YZ and DX collected the patient data. JL, XY, ZL and XYL analyzed the data and revised the manuscript. All authors read and approved the final manuscript.

Ethical approval and consent to participate

The present study was approved by the Ethics Committee of the Third Affiliated Hospital of Sun Yat-sen University (Guangdong, China). Written informed consent was obtained from all patients.

Patient consent for publication

Not applicable.

Competing interests

The authors declare that they have no competing interests.

Glossary

Abbreviations

Abbreviations:

CHB

chronic hepatitis B

PVR

partial virological response

TDF

tenofovir disoproxil fumarate

ETV

entecavir

NAs

nucleos(t)ide analogues

References

1 

Wang FS, Fan JG, Zhang Z, Gao B and Wang HY: The global burden of liver disease: The major impact of China. Hepatology. 60:2099–2108. 2014. View Article : Google Scholar : PubMed/NCBI

2 

Chinese Society of Hepatology and Chinese Society of Infectious Diseases, Chinese Medical Association, . The Guideline of Prevention and Treatment for Chronic Hepatitis B (2015 Version). J Clin Hepatol. 31:1941–1960. 2015.

3 

Marcellin P, Heathcote EJ, Buti M, Gane E, de Man RA, Krastev Z, Gemanidis G, Lee SS, Flisiak R, Kaita K, et al: Tenofovir disoproxil fumarate versus adefovir dipivoxil for chronic hepatitis B. N Engl J Med. 359:2442–2455. 2008. View Article : Google Scholar : PubMed/NCBI

4 

Buti M, Tsai N, Petersen J, Flisiak R, Gurel S, Krastev Z, Aguilar Schall R, Flaherty JF, Martins EB, Charuworn P, et al: Seven-year Efficacy and safety of treatment with tenofovir disoproxil fumarate for chronic hepatitis B virus infection. Dig Dis Sci. 60:1457–1464. 2015. View Article : Google Scholar : PubMed/NCBI

5 

Sarin SK, Kumar M, Lau GK, Abbas Z, Chan HL, Chen CJ, Chen DS, Chen HL, Chen PJ, Chien RN, et al: Asian-Pacifc clinical practice guide-lines on the management of hepatitis B: A 2015 update. Hepatol Int. 10:1–98. 2016. View Article : Google Scholar : PubMed/NCBI

6 

Terrault NA, Bzowej NH, Chang KM, Hwang JP, Jonas MM, Murad MH; American Association for the Study of Liver Diseases, ; et al: AASLD guidelines for treatment of chronic hepatitis B. Hepatology. 63:261–283. 2016. View Article : Google Scholar : PubMed/NCBI

7 

Lampertco P, Maini M and Papatheodoridis G: Optimal management of hepatitis B virus infection-EASL special conference. J Hepatol. 63:1238–1253. 2015. View Article : Google Scholar : PubMed/NCBI

8 

Liu Y, Corsa AC, But M, Cathcart AL, Flaherty JF, Miller MD, Kitrinos KM, Marcelin P and Gane EJ: No detectable resistance to tenofovir disoproxil fumarate in HBeAg+ and HBeAg−patents with chronic hepatts B afer 8 years of treatment. J Viral Hepat. 24:68–74. 2016. View Article : Google Scholar : PubMed/NCBI

9 

Lim YS, Lee YS, Gwak GY, Byun KS, Kim YJ, Choi J, An J, Lee HC, Yoo BC and Kwon SY: Monotherapy with tenofovir disoproxil fumarate for multiple drug-resistant chronic hepatitis B: 3-year trial. Hepatology. 66:772–783. 2017. View Article : Google Scholar : PubMed/NCBI

10 

Gordon SC, Krastev Z, Horban A, Petersen J, Sperl J, Dinh P, Martins EB, Yee LJ, Flaherty JF, Kitrinos KM, et al: Efficacy of tenofovir disoproxil fumarate at 240 weeks in patients with chronic hepatitis B with high baseline viral load. Hepatology. 58:505–513. 2013. View Article : Google Scholar : PubMed/NCBI

11 

Gao L, Trinh HN, Li J and Nguyen MH: Tenofovir is superior to entecavir for achieving complete viral suppression in HBeAg-positive chronic hepatitis B patients with high HBV DNA. Aliment Pharmacol Ther. 39:629–637. 2014. View Article : Google Scholar : PubMed/NCBI

12 

Lovett GC, Nguyen T, Iser DM, Holmes JA, Chen R, Demediuk B, Shaw G, Bell SJ, Desmond PV and Thompson AJ: Efficacy and safety of tenofovir in chronic hepatitis B: Australian real world experience. World J Hepatol. 9:48–56. 2017. View Article : Google Scholar : PubMed/NCBI

13 

Ma YC, Zuo L, Chen JH, Luo Q, Yu XQ, Li Y, Xu JS, Huang SM, Wang LN, Huang W, et al: Modified glomerular filtration rate estimating equation for Chinese patients with chronic kidney disease. J Am Soc Nephrol. 17:2937–2944. 2006. View Article : Google Scholar : PubMed/NCBI

14 

Wu IT, Hu TH, Hung CH, Lu SN, Wang JH, Lee CM and Chen CH: Comparison of the efficacy and safety of entecavir and tenofovir in nucleos(t)ide analogue-naive chronic hepatitis B patients with high viraemia: A retrospective cohort study. Clin Microbiol Infect. 23:464–469. 2017. View Article : Google Scholar : PubMed/NCBI

15 

Lampertico P: Partial virological response to nucleos(t)ide analogues in naïve patients with chronic hepatitis B: From guidelines to field practice. J Hepatol. 50:644–647. 2009. View Article : Google Scholar : PubMed/NCBI

16 

Marcellin P, Zoulim F, Hezode C, Causse X, Roche B, Truchi R, Pauwel A, Ouzan D, Dumortier J, Pageaux GP, et al: Effectiveness and safety of tenofovir disoproxil fumarate in chronic Hepatitis B: A 3-year, prospective, real-world study in France. Dig Dis Sci. 61:3072–3083. 2016. View Article : Google Scholar : PubMed/NCBI

17 

Hongthanakorn C, Chotiyaputta W, Oberhelman K, Fontana RJ, Marrero JA, Licari T and Lok AS: Virological breakthrough and resistance in patients with chronic hepatitis B receiving nucleos(t)ide analogues in clinical practice. Hepatology. 53:1854–1863. 2011. View Article : Google Scholar : PubMed/NCBI

18 

European Association For The Study Of The Liver. Electronic address, . easloffice@easloffice.eu; European Association for the Study of the Liver: EASL 2017 Clinical Practice Guidelines on the management of hepatitis B virus infection. J Hepatol. 67:370–398. 2017. View Article : Google Scholar : PubMed/NCBI

19 

Shi H, Huang M, Lin GL, Li X, Wu Y, Jie Y and Chong Y: Efficacy comparison of tenofovir and entecavir in HBeAg-positive chronic hepatitis B patients with high HBV DNA. Biomed Res Int. 2016:67250732016. View Article : Google Scholar : PubMed/NCBI

20 

Du Jeong I, Jung SW, Park BR, Lee Bu, Park JH, Kim BG, Bang SJ, Shin JW and Park NH: Clinical course of partial virologic response with prolonged Tenofovir therapy in Nuclos(t)ides-naive patients with chronic hepatitis B. Dig Dis Sci. 62:2908–2914. 2017. View Article : Google Scholar : PubMed/NCBI

21 

Zoutendijk R, Reijnders JG, Brown A, Zoulim F, Mutimer D, Deterding K, Petersen J, Hofmann WP, Buti M, Santantonio T, et al: Entecavir treatment for chronic hepatitis B: Adaptation is not needed for the majority of naive patients with a partial virological response. Hepatology. 54:443–451. 2011. View Article : Google Scholar : PubMed/NCBI

22 

European Association for the Study of the Liver, . EASL clinical practice guide-lines: Management of chronic hepatitis B. J Hepatol. 50:227–242. 2009. View Article : Google Scholar : PubMed/NCBI

23 

Luo J, Li X, Wu Y, Lin G, Pang Y, Zhang X, Ao Y, Du Z, Zhao Z and Chong Y: Efficacy of entecavir treatment for up to 5 years in Nucleos(t)ide-naïve chronic hepatitis B patients in real life. Int J Med Sci. 10:427–433. 2013. View Article : Google Scholar : PubMed/NCBI

24 

Tsai MC, Chen CH, Tseng PL, Hung CH, Chiu KW, Wang JH, Lu SN, Lee CM, Chang KC, Yen YH, et al: Comparison of renal safety and efficacy of telbivudine, entecavir and tenofovir treatment in chronic hepatitis B patients: Real world experience. Clin Microbiol Infect. 22:95.e1–e7. 2016. View Article : Google Scholar

25 

Wang HM, Hung CH, Lee CM, Lu SN, Wang JH, Yen YH, Kee KM, Chang KC, Tseeng PL, Hu TH and Chen CH: Three-year efficacy and safety of tenofovir in nucleos(t)ide analog-naïve and nucleos(t)ide analog-experienced chronic hepatitis B patients. J Gastroenterol Hepatol. 31:1307–1314. 2016. View Article : Google Scholar : PubMed/NCBI

26 

López Centeno B, Collado Borrell R, Pérez Encinas M, Gutierrez Garcia ML and Sanmartin Fenollera P: Comparison of the effectiveness and renal safety of tenofovir versus entecavir in patients with chronic hepatitis B. Farm Hosp. 40:279–286. 2016.PubMed/NCBI

27 

Park J, Jung KS, Lee HW, Kim BK, Kim SU, Kim DY, Ahn SH, Han KH and Park JY: Effects of entecavir and tenofovir on renal function in patients with hepatitis B virus-related compensated and decompensated cirrhosis. Gut Liver. 11:828–834. 2017. View Article : Google Scholar : PubMed/NCBI

Related Articles

  • Abstract
  • View
  • Download
  • Twitter
Copy and paste a formatted citation
Spandidos Publications style
Luo J, You X, Chong Y, Wu Y, Gong J, Jie Y, Li X, Xi S, Zhang Z, Zhang Y, Zhang Y, et al: Efficacy of long‑term treatment with tenofovir in Chinese nucleos(t)ide‑naïve chronic hepatitis B patients regardless of baseline viral load. Exp Ther Med 18: 260-268, 2019.
APA
Luo, J., You, X., Chong, Y., Wu, Y., Gong, J., Jie, Y. ... Li, X. (2019). Efficacy of long‑term treatment with tenofovir in Chinese nucleos(t)ide‑naïve chronic hepatitis B patients regardless of baseline viral load. Experimental and Therapeutic Medicine, 18, 260-268. https://doi.org/10.3892/etm.2019.7547
MLA
Luo, J., You, X., Chong, Y., Wu, Y., Gong, J., Jie, Y., Li, X., Xi, S., Zhang, Z., Zhang, Y., Xie, D., Li, Z., Li, X."Efficacy of long‑term treatment with tenofovir in Chinese nucleos(t)ide‑naïve chronic hepatitis B patients regardless of baseline viral load". Experimental and Therapeutic Medicine 18.1 (2019): 260-268.
Chicago
Luo, J., You, X., Chong, Y., Wu, Y., Gong, J., Jie, Y., Li, X., Xi, S., Zhang, Z., Zhang, Y., Xie, D., Li, Z., Li, X."Efficacy of long‑term treatment with tenofovir in Chinese nucleos(t)ide‑naïve chronic hepatitis B patients regardless of baseline viral load". Experimental and Therapeutic Medicine 18, no. 1 (2019): 260-268. https://doi.org/10.3892/etm.2019.7547
Copy and paste a formatted citation
x
Spandidos Publications style
Luo J, You X, Chong Y, Wu Y, Gong J, Jie Y, Li X, Xi S, Zhang Z, Zhang Y, Zhang Y, et al: Efficacy of long‑term treatment with tenofovir in Chinese nucleos(t)ide‑naïve chronic hepatitis B patients regardless of baseline viral load. Exp Ther Med 18: 260-268, 2019.
APA
Luo, J., You, X., Chong, Y., Wu, Y., Gong, J., Jie, Y. ... Li, X. (2019). Efficacy of long‑term treatment with tenofovir in Chinese nucleos(t)ide‑naïve chronic hepatitis B patients regardless of baseline viral load. Experimental and Therapeutic Medicine, 18, 260-268. https://doi.org/10.3892/etm.2019.7547
MLA
Luo, J., You, X., Chong, Y., Wu, Y., Gong, J., Jie, Y., Li, X., Xi, S., Zhang, Z., Zhang, Y., Xie, D., Li, Z., Li, X."Efficacy of long‑term treatment with tenofovir in Chinese nucleos(t)ide‑naïve chronic hepatitis B patients regardless of baseline viral load". Experimental and Therapeutic Medicine 18.1 (2019): 260-268.
Chicago
Luo, J., You, X., Chong, Y., Wu, Y., Gong, J., Jie, Y., Li, X., Xi, S., Zhang, Z., Zhang, Y., Xie, D., Li, Z., Li, X."Efficacy of long‑term treatment with tenofovir in Chinese nucleos(t)ide‑naïve chronic hepatitis B patients regardless of baseline viral load". Experimental and Therapeutic Medicine 18, no. 1 (2019): 260-268. https://doi.org/10.3892/etm.2019.7547
Follow us
  • Twitter
  • LinkedIn
  • Facebook
About
  • Spandidos Publications
  • Careers
  • Cookie Policy
  • Privacy Policy
How can we help?
  • Help
  • Live Chat
  • Contact
  • Email to our Support Team