Spandidos Publications Logo
  • About
    • About Spandidos
    • Aims and Scopes
    • Abstracting and Indexing
    • Editorial Policies
    • Reprints and Permissions
    • Job Opportunities
    • Terms and Conditions
    • Contact
  • Journals
    • All Journals
    • Oncology Letters
      • Oncology Letters
      • Information for Authors
      • Editorial Policies
      • Editorial Board
      • Aims and Scope
      • Abstracting and Indexing
      • Bibliographic Information
      • Archive
    • International Journal of Oncology
      • International Journal of Oncology
      • Information for Authors
      • Editorial Policies
      • Editorial Board
      • Aims and Scope
      • Abstracting and Indexing
      • Bibliographic Information
      • Archive
    • Molecular and Clinical Oncology
      • Molecular and Clinical Oncology
      • Information for Authors
      • Editorial Policies
      • Editorial Board
      • Aims and Scope
      • Abstracting and Indexing
      • Bibliographic Information
      • Archive
    • Experimental and Therapeutic Medicine
      • Experimental and Therapeutic Medicine
      • Information for Authors
      • Editorial Policies
      • Editorial Board
      • Aims and Scope
      • Abstracting and Indexing
      • Bibliographic Information
      • Archive
    • International Journal of Molecular Medicine
      • International Journal of Molecular Medicine
      • Information for Authors
      • Editorial Policies
      • Editorial Board
      • Aims and Scope
      • Abstracting and Indexing
      • Bibliographic Information
      • Archive
    • Biomedical Reports
      • Biomedical Reports
      • Information for Authors
      • Editorial Policies
      • Editorial Board
      • Aims and Scope
      • Abstracting and Indexing
      • Bibliographic Information
      • Archive
    • Oncology Reports
      • Oncology Reports
      • Information for Authors
      • Editorial Policies
      • Editorial Board
      • Aims and Scope
      • Abstracting and Indexing
      • Bibliographic Information
      • Archive
    • Molecular Medicine Reports
      • Molecular Medicine Reports
      • Information for Authors
      • Editorial Policies
      • Editorial Board
      • Aims and Scope
      • Abstracting and Indexing
      • Bibliographic Information
      • Archive
    • World Academy of Sciences Journal
      • World Academy of Sciences Journal
      • Information for Authors
      • Editorial Policies
      • Editorial Board
      • Aims and Scope
      • Abstracting and Indexing
      • Bibliographic Information
      • Archive
    • International Journal of Functional Nutrition
      • International Journal of Functional Nutrition
      • Information for Authors
      • Editorial Policies
      • Editorial Board
      • Aims and Scope
      • Abstracting and Indexing
      • Bibliographic Information
      • Archive
    • International Journal of Epigenetics
      • International Journal of Epigenetics
      • Information for Authors
      • Editorial Policies
      • Editorial Board
      • Aims and Scope
      • Abstracting and Indexing
      • Bibliographic Information
      • Archive
    • Medicine International
      • Medicine International
      • Information for Authors
      • Editorial Policies
      • Editorial Board
      • Aims and Scope
      • Abstracting and Indexing
      • Bibliographic Information
      • Archive
  • Articles
  • Information
    • Information for Authors
    • Information for Reviewers
    • Information for Librarians
    • Information for Advertisers
    • Conferences
  • Language Editing
Spandidos Publications Logo
  • About
    • About Spandidos
    • Aims and Scopes
    • Abstracting and Indexing
    • Editorial Policies
    • Reprints and Permissions
    • Job Opportunities
    • Terms and Conditions
    • Contact
  • Journals
    • All Journals
    • Biomedical Reports
      • Information for Authors
      • Editorial Policies
      • Editorial Board
      • Aims and Scope
      • Abstracting and Indexing
      • Bibliographic Information
      • Archive
    • Experimental and Therapeutic Medicine
      • Information for Authors
      • Editorial Policies
      • Editorial Board
      • Aims and Scope
      • Abstracting and Indexing
      • Bibliographic Information
      • Archive
    • International Journal of Epigenetics
      • Information for Authors
      • Editorial Policies
      • Editorial Board
      • Aims and Scope
      • Abstracting and Indexing
      • Bibliographic Information
      • Archive
    • International Journal of Functional Nutrition
      • Information for Authors
      • Editorial Policies
      • Editorial Board
      • Aims and Scope
      • Abstracting and Indexing
      • Bibliographic Information
      • Archive
    • International Journal of Molecular Medicine
      • Information for Authors
      • Editorial Policies
      • Editorial Board
      • Aims and Scope
      • Abstracting and Indexing
      • Bibliographic Information
      • Archive
    • International Journal of Oncology
      • Information for Authors
      • Editorial Policies
      • Editorial Board
      • Aims and Scope
      • Abstracting and Indexing
      • Bibliographic Information
      • Archive
    • Medicine International
      • Information for Authors
      • Editorial Policies
      • Editorial Board
      • Aims and Scope
      • Abstracting and Indexing
      • Bibliographic Information
      • Archive
    • Molecular and Clinical Oncology
      • Information for Authors
      • Editorial Policies
      • Editorial Board
      • Aims and Scope
      • Abstracting and Indexing
      • Bibliographic Information
      • Archive
    • Molecular Medicine Reports
      • Information for Authors
      • Editorial Policies
      • Editorial Board
      • Aims and Scope
      • Abstracting and Indexing
      • Bibliographic Information
      • Archive
    • Oncology Letters
      • Information for Authors
      • Editorial Policies
      • Editorial Board
      • Aims and Scope
      • Abstracting and Indexing
      • Bibliographic Information
      • Archive
    • Oncology Reports
      • Information for Authors
      • Editorial Policies
      • Editorial Board
      • Aims and Scope
      • Abstracting and Indexing
      • Bibliographic Information
      • Archive
    • World Academy of Sciences Journal
      • Information for Authors
      • Editorial Policies
      • Editorial Board
      • Aims and Scope
      • Abstracting and Indexing
      • Bibliographic Information
      • Archive
  • Articles
  • Information
    • For Authors
    • For Reviewers
    • For Librarians
    • For Advertisers
    • Conferences
  • Language Editing
Login Register Submit
  • This site uses cookies
  • You can change your cookie settings at any time by following the instructions in our Cookie Policy. To find out more, you may read our Privacy Policy.

    I agree
Search articles by DOI, keyword, author or affiliation
Search
Advanced Search
presentation
Experimental and Therapeutic Medicine
Join Editorial Board Propose a Special Issue
Print ISSN: 1792-0981 Online ISSN: 1792-1015
Journal Cover
July-2019 Volume 18 Issue 1

Full Size Image

Sign up for eToc alerts
Recommend to Library

Journals

International Journal of Molecular Medicine

International Journal of Molecular Medicine

International Journal of Molecular Medicine is an international journal devoted to molecular mechanisms of human disease.

International Journal of Oncology

International Journal of Oncology

International Journal of Oncology is an international journal devoted to oncology research and cancer treatment.

Molecular Medicine Reports

Molecular Medicine Reports

Covers molecular medicine topics such as pharmacology, pathology, genetics, neuroscience, infectious diseases, molecular cardiology, and molecular surgery.

Oncology Reports

Oncology Reports

Oncology Reports is an international journal devoted to fundamental and applied research in Oncology.

Experimental and Therapeutic Medicine

Experimental and Therapeutic Medicine

Experimental and Therapeutic Medicine is an international journal devoted to laboratory and clinical medicine.

Oncology Letters

Oncology Letters

Oncology Letters is an international journal devoted to Experimental and Clinical Oncology.

Biomedical Reports

Biomedical Reports

Explores a wide range of biological and medical fields, including pharmacology, genetics, microbiology, neuroscience, and molecular cardiology.

Molecular and Clinical Oncology

Molecular and Clinical Oncology

International journal addressing all aspects of oncology research, from tumorigenesis and oncogenes to chemotherapy and metastasis.

World Academy of Sciences Journal

World Academy of Sciences Journal

Multidisciplinary open-access journal spanning biochemistry, genetics, neuroscience, environmental health, and synthetic biology.

International Journal of Functional Nutrition

International Journal of Functional Nutrition

Open-access journal combining biochemistry, pharmacology, immunology, and genetics to advance health through functional nutrition.

International Journal of Epigenetics

International Journal of Epigenetics

Publishes open-access research on using epigenetics to advance understanding and treatment of human disease.

Medicine International

Medicine International

An International Open Access Journal Devoted to General Medicine.

Journal Cover
July-2019 Volume 18 Issue 1

Full Size Image

Sign up for eToc alerts
Recommend to Library

  • Article
  • Citations
    • Cite This Article
    • Download Citation
    • Create Citation Alert
    • Remove Citation Alert
    • Cited By
  • Similar Articles
    • Related Articles (in Spandidos Publications)
    • Similar Articles (Google Scholar)
    • Similar Articles (PubMed)
  • Download PDF
  • Download XML
  • View XML
Article

Aged garlic extract ameliorates fatty liver and insulin resistance and improves the gut microbiota profile in a mouse model of insulin resistance

  • Authors:
    • Toshio Maeda
    • Satomi Miki
    • Naoaki Morihara
    • Yoshiyuki Kagawa
  • View Affiliations / Copyright

    Affiliations: Department of Clinical Pharmaceutics and Pharmacy Practice, Graduate School of Pharmaceutical Sciences, University of Shizuoka, Shizuoka 422‑8526, Japan, Central Research Institute, Wakunaga Pharmaceutical Co., Ltd., Akitakata, Hiroshima 739‑1195, Japan
  • Pages: 857-866
    |
    Published online on: June 3, 2019
       https://doi.org/10.3892/etm.2019.7636
  • Expand metrics +
Metrics: Total Views: 0 (Spandidos Publications: | PMC Statistics: )
Metrics: Total PDF Downloads: 0 (Spandidos Publications: | PMC Statistics: )
Cited By (CrossRef): 0 citations Loading Articles...

This article is mentioned in:



Abstract

Aged garlic extract (AGE) produced by the aging process has various beneficial pharmacological effects. In this study, the effects of AGE on fatty liver, insulin resistance and intestinal microbiota were compared between ddY‑H mice, an insulin resistance mouse, and ddY‑L mice, normal mice. Mice were fed an AGE‑supplemented diet (4% w/w) for 7 weeks. The administration of AGE had no effect on the body weight and dietary intake of both types of mice. In the ddY‑H mice, the serum levels of glucose and insulin were increased and glucose tolerance was impaired; however, the administration of AGE ameliorated these abnormal conditions. AGE did not have these effects in ddY‑L mice. Triglyceride (TG) accumulation in the liver and fat absorption from the digestive tract were increased in the ddY‑H mice; however, the administration of AGE reduced this increase. On the other hand, AGE exerted no such effects in the ddY‑L mice. In addition, the gut microbiota has been shown to be closely associated with obesity, diabetes, dyslipidemia and non‑alcoholic fatty liver disease in human and animal models. The bacterial composition of the gut microbiota in the feces of the ddY‑H mice did not differ from that of the ddY‑L mice at 5 weeks of age; however, it was altered in the mice at 9 and 12 weeks of age even when the mice were fed a standard diet. In the ddY‑H mice, the relative presence of Lactobacillales was increased, while that of Bifidobacterium, Clostridium cluster XVIII and Prevotella was decreased. The alteration of the bacterial composition in the ddY‑H mice was reversed by the administration of AGE; however, this effect of AGE was not observed in the ddY‑L mice. On the whole, the findings of this study indicate that AGE improves abnormal fat accumulation and insulin resistance, and also alters the intestinal flora in ddY‑H mice, suggesting the possibility that these effects of AGE may be related.

Introduction

Non-alcoholic fatty liver disease (NAFLD) is one of the most prevalent liver diseases worldwide. NAFLD involves the abnormal accumulation of triglycerides (TG) in hepatocytes (1). NAFLD progresses through non-alcoholic steatohepatitis (NASH) to cirrhosis and hepatocellular carcinoma. NAFLD is considered to be a hepatic manifestation of metabolic syndrome (2–4) and is closely linked to hepatic insulin resistance and abnormal glucose metabolism (5,6). Epidemiological studies have demonstrated that NAFLD is associated with the development of type II diabetes (T2D) and that the improvement of NAFLD will result in a decreased risk of developing T2D (7). Therefore, NAFLD and T2D appear to be closely associated. A recent study demonstrated that the activation of transcription factor 3 is a key molecule linking NAFLD to impaired glucose homeostasis in Zucker diabetic fatty rats and in patients with NAFLD (8).

In recent years, a number of studies have revealed that the gut microbiota can be a potential contributor to the risk of obesity (9), diabetes (10), dyslipidemia (11) and NAFLD (12,13) in humans and animal models. The perturbation of the gut microbiota composition has been observed in patients suffering from NAFLD (14). The quantities of the gut microbiota differ significantly between patients with T2D and healthy individuals (15). It has been demonstrated that a high-fat diet, which induces NAFLD and insulin resistance, can cause imbalances in the gut microbiota composition of mice and that germ-free animals are protected from the deleterious effect of a high-fat diet (16,17). In rats fed a high-fat diet, an imbalance of the gut microbiota has been shown to be markedly associated with the progression of NAFLD (18). Probiotics (Lactobacillus rhamnosus, Lactobacillus acidophilus and Bifidobacterium bifidum) have been shown to modulate the gut microbiota and improve insulin sensitivity in mice fed a high-fat diet (16). Therefore, the manipulation of the gut microbiome by probiotics or prebiotics is an important means with which to prevent and treat NAFLD and insulin resistance in patients, as well as in rodent models (14,16,19).

Garlic (Allium sativum L.) has been known as a medicinal food due to its various biological effects, such as antioxidant (20), anti-inflammatory (21), antimicrobial (22), antithrombotic (23) and antitumor effects (24). Aged garlic extract (AGE) is prepared through extraction and aging in a water-ethanol mixture for >10 months at room temperature (25). By this process, the majority of the molecules responsible for the harsh and irritating flavors which are typical of fresh raw garlic (i.e., allicin) are converted into more stable compounds, such as S-allylcysteine (SAC) and S-allylmercaptocysteine (SAMC), which are recognized as potent antioxidants (26). As regards the anti-diabetic and anti-obesity effects, some studies have demonstrated the beneficial effects of AGE in improving lipid profiles and insulin sensitivity in animals and humans (25,27). AGE and its individual components have been shown to exert a protective effect against experimental hepatic injuries (28–30). It has been reported that SAC improves NAFLD in rats with T2D via the regulation of hepatic lipogenesis and glucose metabolism (31). On the other hand, some evidence for the beneficial effects of AGE on the gut microbiota has been reported in animals and humans. A previous study demonstrated that 3 months of AGE supplementation in humans improved the gut microbiota, as evidenced by greater microbial richness and diversity with a marked increase in Lactobacillus and Clostridium species (32).

Numerous animal models of NAFLD and diabetes, which are classified into genetic models and nutritional models, have been reported to date. As nutritional models, rodents fed a high-fat diet (33) have been reported. db/db mice (34), ob/ob mice (35), KK-Ay mice (36) and the others are known as genetic models. However, in these models, apart from being fed a high-fat diet (16), an association of a perturbation of the gut microbiota with fatty liver and metabolic abnormalities, such as obesity, insulin resistance, dyslipidemia and altered adipokine profiles, as observed in patients with NAFLD has not been shown. We previously succeeded in isolating and breeding spontaneous insulin-resistant mice and healthy control mice, termed ddY-H and ddY-L mice, respectively (37). In ddY-H mice, hepatic steatosis with obesity, insulin resistance, hyperglycemia and altered adipokine profiles are observed even when the mice are fed a standard diet containing 13% energy from fat and 61% carbohydrates, but not so in ddY-L mice (37–40). The prevailing hypothesis is that hepatic steatosis develops as a result of the increased absorption of fat from the intestines and the increased uptake of fatty acids into hepatic cells via the increased expression of peroxisome proliferator-activated receptor γ (PPARγ) (39). The age-dependent onset of insulin resistance with hyperinsulinemia in ddY-H mice may be attributed to the decreases in the mRNA expression and proteins of insulin receptor, insulin receptor substrate (IRS)-1 and IRS-2 in adipose tissue (40).

The effects of AGE on abnormal fatty acid metabolism and insulin resistance related to the gut microbiota in an animal genetic model with NAFLD have not yet been studied, at least to the best of our knowledge. Thus, in the present study, the effects of AGE on fatty liver, insulin resistance and the gut microbiota, and their possible association was investigated by feeding an AGE-supplemented diet to ddY-H mice, an animal model with NAFLD and insulin resistance.

Materials and methods

Diet supplemented with AGE

Standard chow pellets (CLEA Rodent Diet CE-2, CLEA Japan, Inc.) supplemented with or without 4% (w/w) AGE were provided by Wakunaga Pharmaceutical Co., Ltd.

Experimental design

A total of 16 male ddY-H mice and 16 male ddY-L mice (both 6 weeks old) derived from our own colony were used. The mice were divided into 2 groups, namely the AGE group and control group, with 8 mice in each group. The body weights of the ddY-H mice and ddY-L mice were 39.78±1.82 and 31.40±2.61, respectively. They were housed at 22°C to 24°C with 50 to 60% humidity under artificial lighting conditions with a 12-h light/dark cycle and maintained with free access to the diet supplemented with or without 4% (w/w) AGE and water ad libitum from 6 to 13 weeks of age. At 13 weeks of age, fecal sample collection for microbiota analysis, and a glucose tolerance test, the measurement of TG absorption from the intestines and the evaluation of various metabolic parameters were carried out. Animal care and experiments were performed in accordance with the guidelines for the care and use of laboratory animals of the University of Shizuoka, and animal experiments were reviewed and approved by the Animal and Ethics Review Committee of University of Shizuoka (no. 136004).

Treatment with antibacterial drugs

The ddY-H and ddY-L mice from our colony were fed standard chow pellets (CLEA Rodent Diet CE-2, CLEA Japan, Inc.) as described above. Anti-bacterial drugs (10 mg/kg ampicillin, 10 mg/kg erythromycin, 5 mg/kg metronidazole and 10 mg/kg neomycin) were orally administered to the mice from 6 to 13 weeks of age as previously described (41) prior to the glucose tolerance test and the measurement of hepatic TG levels. The anti-bacterial drugs were purchased from Tokyo Chemical Industry Co., Ltd.

Body mass index (BMI)

BMI was calculated according to the following formula: Body weight (g)/body length2 (cm2), as previously described (38).

Fecal sample collection and microbiota analysis

The mice were moved to new cages at 09:00 and fresh fecal samples were collected for 30 min. DNA extraction, polymerase chain reaction and terminal restriction fragment length polymorphism (T-RFLP) analysis for the composition of the microbiota were carried out at Techno Suruga Laboratory Co., Ltd. As previously described by Nagashima et al (42,43). Briefly, the fecal sample was suspended in a solution containing 100 mM Tris-HCl (pH 9.0) and 40 mM EDTA after washing 3 times with sterile distilled water, then beaten in the presence of glass beads using a mini-bead beater (BioSpec Products). Thereafter, DNA was extracted from the bead-treated suspension using benzyl chloride and was purified using a GFX PCR DNA and Gel Band Purification kit (Amersham Biosciences). PCR of DNA was performed with a model thermal cycler (Applied Biosystems) in a reaction mixture containing HotStarTaq DNA polymerase (Qiagen) and primers, 5′ HEX-labeled 516f and 1510r. The products were digested with Bs/I for 1 h and then fractionated using an ABI PRISM 310 Genetic Analyzer (Applied Biosystems). The length and peak area of terminal restriction fragments (T-RFs) in the electropherogra ms were determined using genotype software GeneMapper (Applied Biosystems). The T-RFs were divided into 29 operational taxonomic units (OTUs). The OTUs were quantified as the percentage of individual OTU area per the total OTU area under the curve (AUC). In addition, the presence of Bifidobacterium was evaluated by anaerobical cultivation on selective BS agar plate and real-time PCR. Briefly, the cultivation was carried out as follows: 0.2 g feces were washed with saline and then vigorously stirred in 10 ml saline. Following centrifugation at 1,000 × g for 20 min at 4°C, the supernatant was applied on a BS agar plate (Nissui Pharmaceutical Co., Ltd.) and the plate was anaerobically incubated at 37°C for 4 days. After the incubation, each plate was examined for bacterial colonies. For quantitative PCR, DNA was extracted from feces by using MORA-EXTRACT (Kyokuto Pharmaceutical Industrial Co., Ltd,). Quantitative PCR with the specific primers and SYBR®Premix ExTaq GC (Takara Bio Inc.) was carried out using an Applied Biosystems 7500 Real-Time PCR System (Life Technologies). The thernocycling conditions were as follows: Initial denaturation at 95°C for 30 sec followed by 40 cycles of denaturation at 95°C for 10 sec, annealing at 58°C for 30 sec and extension at 72°C for 30 sec. The final extension was conducted at 72°C for 1 min. The primers used were as follows: The forward primer of 5′-TCGCGTCCGGTGTGAAAG-3′ and the reverse primer of 5′-CCACATCCAGCATCCAC-3′ for Bifidobacterium as a target gene and the forward primer of 5′-CCTACGGGAGGCAGCAG and the reverse primer of 5′CCACATCCAGCATCCAC-3′ for 16S rDNA as control gene. Relative gene expression was quantified by using the 2−ΔΔCq method (44).

Measurement of serum glucose and insulin levels

Blood was obtained following a 12 h-fast (21:00-09:00). The serum glucose, insulin and leptin levels were determined using the Glucose CII Test Wako (Wako Pure Chemical Industries, Ltd.) and the Mouse Insulin ELISA kit (Morinaga Institute of Biological Sciences, Inc.), respectively. The insulin sensitivity index and insulin resistance index were assessed by the glucose and insulin levels in the following manner: Glucose (mg/dl)/insulin (ng/dl) and glucose (mg/dl) × insulin (ng/ml)/100, respectively (37).

Glucose tolerance test

The mice were fasted for 4 h (09:00-13:00) and were orally administered glucose (3 g/kg). A total of 20 µl of blood was collected from the caudal vein of each mouse after 0, 30, 60 and 120 min. Serum glucose levels were measured, and the AUC of the time-glucose concentration was calculated (37).

Measurement of TG contents in serum and liver

All mice were sacrificed to obtain serum and livers at 13:00 following a 4-h fast. Serum TG levels were measured using the Triglyceride E-Test (Wako Pure Chemical Industries, Ltd.). For the determination of hepatic TG levels, TG in 0.2 g liver was extracted by 4 ml of 2-propanol and the aliquot of the filtrate was measured using the Triglyceride E-Test (Wako Pure Chemical Industries, Ltd.) (39).

Measurement of fat absorption from the intestines

To evaluate fat absorption from the intestines, olive oil (10 ml/kg body weight) was orally administered to the mice. After 1, 2, 4 and 6 h, 20 µl of blood were collected from the caudal vein of each mouse and serum TG concentrations were measured as described above. The area of increased TG concentration after olive oil loading in the serum TG concentration-time curve was calculated for the evaluation of TG absorption, as previously described (39).

Statistical analysis

All data are expressed as the means ± SD. One-way analysis of variance (ANOVA) was used to compare the means among different groups, and Tukey's test was used in the post hoc multiple comparison. A value of P<0.05 was considered to indicate a statistically significant difference.

Results

Effect of AGE on dietary intake, body weight and BMI

ddY-H mice exhibit the age-dependent onset of metabolic abnormalities, such as obesity, insulin resistance, hyperglycemia and an altered adipokine profile accompanied by a fatty liver when the mice are fed a standard diet (37–40). These changes are similar to those observed in patients with NAFLD. In this study, in order to examine the effects of AGE on insulin resistance and fatty liver in ddY-H mice, the mice were fed a standard diet supplemented with or without 4% (w/w) AGE for 7 weeks. The intake of the control diet in the ddY-H mice during the experimental period was 15% greater than that in the ddY-L mice during the experimental period. However, AGE supplementation had no effect on dietary intake in either the ddY-H or ddY-L mice throughout the experimental period (Table I). The body weight of the ddY-H mice was significantly greater than that of the ddY-L mice at the starting time (6 weeks of age) and throughout the experimental period. However, AGE supplementation did not influence the body weight of either of the types of mice (Fig. 1). At 13 weeks of age, the BMI of the ddY-H mice was significantly greater than that of the ddY-L mice. AGE supplementation also did not influence the BMI in both types of mice (Table I). Thus, although obesity was observed in the ddY-H mice, AGE did not affect dietary intake, body weight and BMI in both types of mice.

Figure 1.

Effects of AGE on body weight in ddY-H mice and ddY-L mice. Each value represents the means ± SD for 8 mice. **P<0.01 vs. ddY-L/Control. AGE, aged garlic extract.

Table I.

Effect of AGE on dietary intake in ddY-H mice and ddY-L mice.

Table I.

Effect of AGE on dietary intake in ddY-H mice and ddY-L mice.

ParametersddY-H/ControlddY-H/AGEddY-L/ControlddY-L/AGE
Dietary intake 316.54±30.41a316.13±30.70276.82±29.45274.83±28.71
BMI 0.46±0.056a0.45±0.0510.37±0.0360.036±0.029

{ label (or @symbol) needed for fn[@id='tfn1-etm-0-0-7636'] } Mice were fed a standard diet with and without 4% AGE for 7 weeks. Dietary intake of each mouse (g/49 days) during the experimental period was measured. BMI of each mouse after feeding for 7 weeks was measured as described in the Materials and methods. Each value represents the means ± SD of 8 mice.

a P<0.01vs. ddY-L/Control. AGE, aged garlic extract.

Ameliorative effect of AGE on insulin resistance in ddY-H mice

The serum levels of glucose and insulin after AGE-feeding for 7 weeks are presented in Table II. The serum glucose levels in the ddY-H mice were 44% higher than those in the ddY-L mice. The administration of AGE significantly reduced the serum glucose levels in the ddY-H mice. Glucose tolerance tests revealed that the glucose tolerance of the ddY-H mice was impaired and that the administration of AGE partly improved the impairment of glucose metabolism (Fig. 2). In addition, the serum insulin levels of the ddY-H mice were significantly increased 5.1-fold compared with those of the ddY-L mice. The elevated serum levels of insulin were partly improved by the administration of AGE to the ddY-H mice (Table II). The insulin sensitivity index and insulin resistance index were evaluated by the serum levels of glucose and insulin measured following a 12-h fast. In the ddY-H mice, the insulin sensitivity index was decreased and the insulin resistance index was significantly increased by comparison with those of the ddY-L mice. The administration of AGE treatment significantly, but partly improved the impairment in the ddY-H mice (Table II). These data suggested that the administration of AGE may ameliorate, at least in part, insulin resistance in ddY-H mice. Since AGE did not influence the serum levels of glucose and insulin (Table II), as well as glucose tolerance (Fig. 2) in the ddY-L mice, the effects of AGE may be limited to abnormal conditions.

Figure 2.

Effect of AGE on oral glucose tolerance test. Mice were fed a standard diet with or without 4% AGE (w/w) for 7 weeks. Mice were orally administered glucose (3 g/kg BW) after a 4-h fast, and serum glucose level was measured at the indicated time points. (A and B) Alterations of the serum glucose level and the AUC, respectively. Each symbol and column represents mean for 8 mice. **P<0.01 vs. ddY-L/Control; ##P<0.01 vs. ddY-H/Control. AGE, aged garlic extract; AUC, area under the curve; BW, body weight.

Table II.

Effect of AGE on serum levels of glucose, triglyceride and insulin in ddY-H and ddY-L mice.

Table II.

Effect of AGE on serum levels of glucose, triglyceride and insulin in ddY-H and ddY-L mice.

ParametersddY-H/ControlddY-H/AGEddY-L/ControlddY-L/AGE
Glucose (mg/dl) 167±25.6a 146±23.3b116±8.6124±10.5
Triglycerides (mg/dl) 211±20.6a 208±20.6b155±11.3159±20.6
Insulin (ng/ml) 11.8±3.93a6.6±2.41b2.3±1.142.5±1.41
Insulin sensitivity index 14.2±2.23a 22.1±2.56b50.4±4.5649.6±6.78
Insulin resistance index 19.7±2.31a 9.6±1.96b2.7±1.073.1±1.56

{ label (or @symbol) needed for fn[@id='tfn3-etm-0-0-7636'] } Mice were fed the standard diet with and without 4% AGE for 7 weeks and blood was withdrawn after 12-h fast. Each value represents the means ± SD of 8 mice.

a P<0.01 vs. ddY-L/Control

b P<0.01 vs. ddY-H/Control. AGE, aged garlic extract.

Ameliorative effect of AGE on lipid metabolism in ddY-H mice

The effects of AGE on lipid metabolism were examined. The ddY-H mice exhibited a significant elevation in the serum levels of TG by 36% compared with the ddY-L mice. The administration of AGE had no marked effect on the serum TG levels in either the ddY-H or ddY-L mice (Table II). However, AGE suppressed the massive accumulation of hepatic TG by 47% in the ddY-H mice (Fig. 3). On the other hand, the administration of AGE did not affect the TG content in the livers of the ddY-L mice (Fig. 3).

Figure 3.

Hepatic TG content in mice. Each column represents the hepatic TG content of mice fed the diets for 7 weeks. Each column represents the means ± SD for 8 mice. **P<0.01 vs. ddY-L/Control; ##P<0.01 vs. ddY-H/Control. AGE, aged garlic extract; TG, triglycerides.

The hepatic TG content is regulated via the uptake of fatty acids from the blood, the de novo synthesis of fatty acids, the β-oxidation of fatty acids and the secretion of lipoproteins into the blood. An impaired regulation may induce a change in the hepatic TG accumulation (45). It has been shown that the absorption of TG from the intestines in ddY-H mice is elevated, but that TG secretion from the liver is not altered (39). In this study, in order to examine the intestinal absorption of fat, olive oil was orally administered and the serum TG level was measured up to 6 h. As shown in Fig. 4A, the serum TG concentration in the ddY-H and ddY-L mice reached the maximum level at 1 h and then gradually decreased. The TG concentration in the ddY-H mice was 1.7-fold higher compared to that in the ddY-L mice at the peak time and the AUC during the 6-h period in the ddY-H mice was increased 2.3-fold, suggesting the higher absorption of TG from the intestine in ddY-H mice. The administration of AGE significantly reduced the intestinal absorption of fat by 33% in the ddY-H mice, but not in the ddY-L mice (Fig. 4). These results suggested that AGE suppressed TG accumulation in the livers of ddY-H mice by reducing the intestinal absorption of fat, at least in part.

Figure 4.

Serum TG concentrations in mice administered olive oil. After being feed the diets for 7 weeks, mice were orally administered olive oil (10 ml/kg BW), and the serum TG levels were determined at the indicated time points. (A) Each symbol represents mean of TG level for 8 mice after olive oil administration. (B) AUC in panel A. Each column represents the means ± SD for 8 mice. **P<0.01 vs. ddY-L/Control; ##P<0.01 vs. ddY-H/Control. AGE, aged garlic extract; TG, triglycerides; BW, body weight.

Intestinal microbiota and the effects of AGE in ddY-H mice

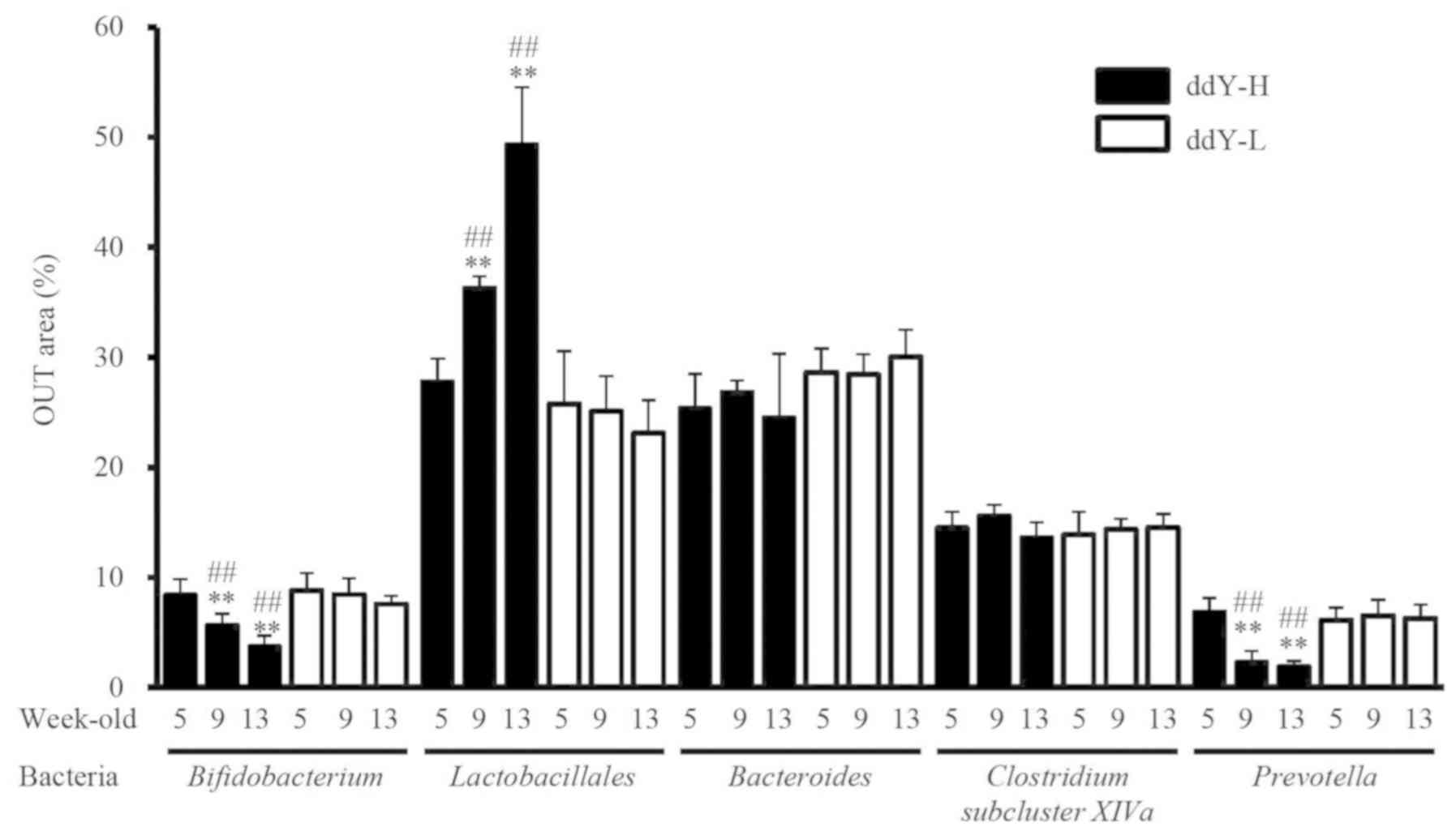
Recent studies have suggesteded that the intestinal microbiota affects multiple aspects of metabolism in the host and that the alteration of the intestinal flora may contribute to the development of obesity, diabetes, dyslipidemia and NAFLD (9,10) in humans and animal models. Therefore, in this study, the composition of the intestinal microbiota in ddY-H and ddY-L mice was analyzed using a T-RFLP analysis. The compositional ratio of the main microbiota in the feces of mice fed the standard diet at 5, 9 and 13 weeks of age is depicted in Fig. 5. No difference was observed between the ratio of microbiota in the ddY-H mice and the ddY-L mice at 5 weeks of age. However, in the ddY-H mice from 9 to 13 weeks of age, the relative presence of Lactobacillales was increased, while that of Bifidobacterium and Prevotella was decreased. The level of Clostridium subcluster XIVa and Bacteroides was not altered. On the other hand, minor microbiota, Clostridium cluster XVIII and Clostridium cluster XI were decreased at 13 weeks, whereas Clostridium cluster IV remained unchanged (Table III). The decrease in the number of Bifidobacterium in feces of ddY-H mice was confirmed by cultivating the feces on BS agar medium under anaerobic conditions and by examination using real-time PCR and the 2−ΔΔCq method. AGE feeding reversed the altered pattern of microbiota in the feces of ddY-H mice: The relative presence of Lactobacillales was decreased, while that of Bifidobacterium, Clostridium cluster XVIII and Prevotella was increased (Table III). However, no effect of AGE was found in ddY-L mice. Therefore, the composition of microbiota in the feces of the ddY-H mice became similar to that of the ddY-L mice (Table III).

Figure 5.

Compositional alteration in the gut microbiota. Main microbiota in feces were analyzed at 5, 9 and 13 weeks of age. Each column represents the means ± SD for 6 mice. **P<0.01 vs. ddY-L/Control; ##P<0.01 vs. ddY-H/Control. OTU, operational taxonomic unit.

Table III.

Effect of AGE on the distribution of microbiota distribution in feces of ddY-H and ddY-L mice. OTU area (%)

Table III.

Effect of AGE on the distribution of microbiota distribution in feces of ddY-H and ddY-L mice. OTU area (%)

BacteriaddY-H/ControlddY-H/AGEddY-L/ControlddY-L/AGE
Bifidobacterium 3.6±0.6a 8.4±1.5b6.0±1.06.7±1.1
Lactobacillales 49.1±4.0a 29.5±2.3b22.3±1.320.1±1.5
Bacteroides24.4±3.221.2±2.930.8±5.027.9±6.1
Prevotella 1.6±0.2a 9.5±0.8b5.5±0.57.0±0.6
Clostridium cluster IV1.0±0.21.7±0.32.9±0.42.8±0.4
Clostridium subcluster XIVa14.8±2.116.3±2.217.5±2.115.2±2.1
Clostridium cluster XI1.6±0.2 3.6±0.3b0.9±0.24.7±0.6b
Clostridium cluster XVIII 0.2±0.1a 4.0±0.3b3.1±0.34.8±0.5
Others 3.7±0.5a5.9±0.411.1±2.410.7±3.1

{ label (or @symbol) needed for fn[@id='tfn6-etm-0-0-7636'] } Mice were fed as described in Fig. 1. The extraction of total DNA from feces, polymerase chain reaction and T-RFLP analysis for composition of microbiota in feces were carried out. Length and peak area of T-RFs in electropherograms were divided into 29 OTUs. The OTUs were quantified as percentage of individual OTU area per total OTU area under the curve. Each value represents the means ± SD of 6 mice.

a P<0.01 vs. ddY-L/Control

b P<0.01 vs. ddY-H/Control. AGE, aged garlic extract; OTU, operational taxonomic unit; T-RF, terminal restriction fragment.

Effect of treatment with antibacterial drugs

Treatment with the antibacterial drugs, ampicillin, vancomycin, neomycin and metronidazole, depletes bacteria in feces (41). In this study, to investigate the possible association of the altered ratio of the gut microbiota to the hepatic TG accumulation and glucose intolerance in ddY-H mice, antibacterial drugs were administered from 6 to 13 weeks of age, and glucose tolerance test and the measurement of the hepatic TG content were carried out. The impaired glucose tolerance of the ddY-H mice was partly improved by treatment with antibacterial drugs (Fig. 6). In addition, the increase in the hepatic TG content in the ddY-H mice was partly decreased by the treatment (Fig. 7). However, treatment did not influence glucose tolerance and the hepatic TG content in the ddY-L mice. These data suggested that glucose intolerance and hepatic TG accumulation in ddY-H mice may be associated with the altered balance of the gut microbiota.

Figure 6.

Effect of antibacterial drugs on oral glucose tolerance test. Mice were fed a standard diet and were administered daily antibacterial for 7 weeks. Mice were orally administered glucose (3 g/kg BW) after a 4-h fast, and serum glucose level was measured at the indicated time points. (A and B) Alteration of serum glucose level and the AUC, respectively. Each symbol and column represents the mean for 8 mice. **P<0.01 vs. ddY-L/Control; ##P<0.01 vs. ddY-H/Control. AUC, area under the curve; BW, body weight.

Figure 7.

Effect of antibacterial drug on Hepatic TG content in mice. Each column represents hepatic TG content of mice administered antibacterial for 7 weeks. Each column represents the means ± SD for 8 mice. **P<0.01 vs. ddY-L/Control; ##P<0.01 vs. ddY-H/Control. TG, triglycerides.

Discussion

NAFLD has been shown to be closely and bi-directionally associated with insulin resistance and metabolic disease (7,8). In ddY-H mice, metabolic abnormalities, such as obesity, insulin resistance, hyperglycemia, hyperlipidemia and an altered adipokine profile are found at a certain age even when the mice are fed a standard diet without special feeding, such as a high-fat diet (37,38). The hepatic TG level in ddY-H mice increases with the appearance of insulin resistance, and a marked increase occurs in the liver at 15 and 20 weeks of age (39). However, no histological changes, such as infiltration of inflammatory cells or degeneration, have been observed. In addition, the elevation of serum aspartate aminotransferase and alanine aminotransferase levels has not been found at 15 weeks of age (39). These findings, together with an accumulation of TG in the liver, indicate that NAFLD, but not NASH, is spontaneously induced in ddY-H mice without high-fat diet feeding. Since these abnormalities are observed in patients with NAFLD, the characteristics of ddY-H mice suggest that they may serve a useful model of NAFLD with insulin resistance.

Garlic is known for its medicinal uses as an antibiotic, anti-thrombotic and antineoplastic agent (46). AGE contains various pharmacologically active sulfur-containing compounds that are scarce in cooked or raw garlic (26). AGE has been shown to improve the plasma lipid concentrations and oxidative stress, and inflammatory cytokine levels (26–27,46,47). It has been reported that SAC, a component of AGE, improves NAFLD in rats with T2D via the regulation of hepatic lipogenesis and glucose metabolism (31). However, the effects of AGE on abnormal fatty acid metabolism in genetic animal models with NAFLD have not been studied to date, at least to the best of our knowledge.

During the progression of diabetes, pancreatic β cells adapt their secretory capacity to compensate the elevated glycemia and the peripheral insulin resistance and, as a result, the serum insulin level becomes elevated (48). We have previously shown that insulin resistance in ddY-H mice is induced at 9 weeks of age and develops progressively with age (37–38,40). The age-dependent onset of insulin resistance was closely related to the increase of serum insulin level. The elevation of the serum insulin level was temporally associated with the decrease in mRNA expression and proteins of insulin receptor (IR), IRS-1 and IRS-2 in adipose tissue of ddY-H mice (40). Therefore, together with glucose intolerance, the elevation of serum insulin levels in ddY-H mice indicates an induction of insulin resistance. In this study, the administration of AGE reduced the elevated levels of serum glucose and insulin and also improved the glucose intolerance in ddY-H mice, suggesting that AGE ameliorated insulin resistance in this mouse model, although its effect was not complete.

Fatty acid metabolism in the liver is regulated by a number of factors, including PPARγ (49). PPARγ is a nuclear receptor that activates genes involving in lipid storage and metabolism. It is noteworthy that PPARγ is expressed at an elevated level in the liver of murine models of diabetes or obesity (50,51). We previously demonstrated that treatment with pioglitazone, a PPARγ agonist, exacerbated hepatic the TG deposition in ddY-H mice (39). The mRNA level of PPARγ was markedly elevated in the livers of ddY-H mice, as were the mRNA levels of fatty acid translocase and fat-specific protein 27, targets of PPARγ (39). These results suggested that the uptake of fatty acids into hepatocytes and the storage of fatty acids as fat droplets contributed to the accumulation of TG in ddY-H mice. AGE may therefore reduce hepatic TG accumulation in ddY-H mice, at least in part, by suppressing the uptake of fat from the intestines and the uptake of fatty acid into hepatocytes.

The intestinal microbiota forms a complex ecological system that participates, under physiological conditions, in the production of vitamins, the digestion of nutrients and local and general immunity (52,53). It has also been suggested that the intestinal microbiota serves as an important player in the pathophysiology of obesity and its related disorders (16,17). It has been reported that the derangement of the intestinal microbiota occurs in a large percentage of patients with chronic liver disease. In particular, small intestinal bacterial overgrowth is associated with severity in patients with NAFLD (51). Intestinal bacteria may significantly contribute to various liver diseases by activating the innate and adaptive immune responses (52). Dietary habits, lifestyle, age, host genotype and exposure to antibiotics may affect the balance of the intestinal microbiota in humans (52). However, due to the complexity of the microbial community, the functional connection is not yet well understood. The ddY-H mice and ddY-L mice used in this study were bred in the same colony and were maintained by feeding the same diet under the same conditions. In this study, although the difference in bacterial composition in the feces was not found between the ddY-H mice and ddY-L mice at 5 weeks of age, the compositional ratio of some bacteria changed in relation to age in the ddY-H mice. In the ddY-H mice, the relative presence of Lactobacillales was increased, while that of Bifidobacterium, Clostridium cluster XVIII and Prevotella was decreased. The onset of the change was found at the similar age compared with the appearance of insulin resistance and fatty liver. Furthermore, the treatment with antibacterial drugs improved glucose intolerance and hepatic TG accumulation in ddY-H mice. These results suggested the possible association between insulin resistance, fatty liver and the gut microbiota.

The intestinal immune system is known to modulate the gut microbiota and vice versa (54,55). Imbalances of the gut microbiota can trigger several immune disorders through the activity of T cells that are both near to and distant from the site of their induction (56). Since we maintained ddY-H mice and ddY-L mice under the same conditions, the imbalance in the gut microbiota in ddY-H mice may be possibly related the deterioration of the immune system. The increased mRNA expression of monocyte chemoattractant protein-1 and the infiltration of inflammatory M1 macrophages have been found in the enlarged adipose tissue of ddY-H mice, and inflammation in adipose tissue was considered to be the possible cause inducing insulin resistance (38). The alteration of the gut microbiota composition was temporally associated with the appearance of insulin resistance and NAFLD in ddY-H mice. Recently, evidence has implicated the intestinal immune system as an important contributor to metabolic disease (57). The gut-gut microbiota-liver axis may play an important role in NAFLD (58). Monascus pigments ameliorate the disturbance of lipid metabolism and gut microbiota dysbiosis (59). Metformin, which has been widely used for treatment of T2D, is gaining attention due to its effects on the gut microbiota and the immune system (60). AGE also ameliorates insulin resistance, NAFLD and an imbalance of gut microbiota. Since insulin resistance, NAFLD and microbiota influence each other, AGE may improve the impaired gut-gut microbiota-liver axis in ddY-H mice.

In conclusion, the findings of this study demonstrated AGE ameliorated glucose intolerance and hepatic TG accumulation in ddY-H mice, a mouse model of NAFLD. AGE also improved the altered pattern of the intestinal microbiota. These results suggest that the effects of AGE in improving abnormal fat accumulation and insulin resistance may be associated with its effects on the gut microbiota, at least in part.

Acknowledgements

The authors would like to thank Dr Takami Oka of Wakunaga Pharmaceutical Co., Ltd. for his helpful advice, encouragement and critical reading of the manuscript. The authors would also like to thank Dr Koichi Tamura of Wakunaga Pharmaceutical Co., Ltd. for critically reading the manuscript. The authors are also grateful to Dr Takayoshi Hisada (Techno Suruga Laboratory Co., Ltd.) for providing excellent technical assistance with the microbiota analysis.

Funding

No funding was received.

Availability of data and materials

All data generated or analysed during this study are included in this published article.

Authors' contributions

TM, SM, NM and YK designed the experiments, and TM performed them. TM and YK contributed to the analysis and interpretation of the data. TM wrote the manuscript and SM, NM and YK revised it. All authors have read and approved the final manuscript.

Ethics approval and consent to participate

Animal care and experiments were performed in accordance with the guidelines for the care and use of laboratory animals of the University of Shizuoka, and animal experiments were reviewed and approved by the Animal and Ethics Review Committee of University of Shizuoka (no. 136004).

Patient consent for publication

Not applicable.

Competing interests

The authors declare that they have no competing interests.

References

1 

Brunt EM and Tiniakos DG: Histopathology of nonalcoholic fatty liver disease. World J Gastroenterol. 16:5286–5296. 2010. View Article : Google Scholar : PubMed/NCBI

2 

Angulo P: GI epidemiology: Nonalcoholic fatty liver disease. Aliment Pharmacol Ther. 25:883–889. 2007. View Article : Google Scholar : PubMed/NCBI

3 

Law K and Brunt EM: Nonalcoholic fatty liver disease. Clin Liver Dis. 14:591–604. 2010. View Article : Google Scholar : PubMed/NCBI

4 

Yilmaz Y: Review article: Is non-alcoholic fatty liver disease a spectrum, or are steatosis and non-alcoholic steatohepatitis distinct conditions? Aliment Pharmacol Ther. 36:815–823. 2012. View Article : Google Scholar : PubMed/NCBI

5 

Samuel VT and Shulman GI: Mechanisms for insulin resistance: Common threads and missing links. Cell. 148:852–871. 2012. View Article : Google Scholar : PubMed/NCBI

6 

Khan R, Bril F, Cusi K and Newsome PN: Modulation of insulin resistance in NAFLD. Hepatology hep.30429. 2018. View Article : Google Scholar

7 

Lonardo A, Lugari S, Ballestri S, Nascimbeni F, Baldelli E and Maurantonio M: A round trip from nonalcoholic fatty liver disease to diabetes: Molecular targets to the rescue? Acta Diabetol. 56:385–396. 2018. View Article : Google Scholar : PubMed/NCBI

8 

Kim JY, Park KJ, Hwang JY, Kim GH, Lee D, Lee YJ, Song EH, Yoo MG, Kim BJ, Suh YH, et al: Activating transcription factor 3 is a target molecule linking hepatic steatosis to impaired glucose homeostasis. J Hepatol. 67:349–359. 2017. View Article : Google Scholar : PubMed/NCBI

9 

Gérard P: Gut microbiota and obesity. Cell Mol Life Sci. 73:147–162. 2016. View Article : Google Scholar : PubMed/NCBI

10 

Saad MJ, Santos A and Prada PO: Linking gut microbiota and inflammation to obesity and insulin resistance. Physiology (Bethesda). 31:283–293. 2016.PubMed/NCBI

11 

Chi Y, Lin Y, Lu Y, Huang Q, Ye G and Dong S: Gut microbiota dysbiosis correlates with a low-dose PCB126-induced dyslipidemia and non-alcoholic fatty liver disease. Sci Total Environ. 653:274–282. 2019. View Article : Google Scholar : PubMed/NCBI

12 

Safari Z and Gérard P: The links between the gut microbiome and non-alcoholic fatty liver disease (NAFLD). Cell Mol Life Sci. 76:1541–1558. 2019. View Article : Google Scholar : PubMed/NCBI

13 

Ma J, Zhou Q and Li H: Gut microbiota and nonalcoholic fatty liver disease: Insights on mechanisms and therapy. Nutrients. 9:1127–1147. 2017. View Article : Google Scholar

14 

Cho MS, Kim SY, Suk KT and Kim BY: Modulation of gut microbiome in nonalcoholic fatty liver disease: Pro-, pre-, syn-, and antibiotics. J Microbiol. 56:855–867. 2018. View Article : Google Scholar : PubMed/NCBI

15 

Sedighi M, Razavi S, Navab-Moghadam F, Khamseh ME, Alaei-Shahmiri F, Mehrtash A and Amirmozafari N: Comparison of gut microbiota in adult patients with type 2 diabetes and healthy individuals. Microb Pathog. 111:362–369. 2017. View Article : Google Scholar : PubMed/NCBI

16 

Bagarolli RA, Tobar N, Oliveira AG, Araújo TG, Carvalho BM, Rocha GZ, Vecina JF, Calisto K, Guadagnini D, Prada PO, et al: Probiotics modulate gut microbiota and improve insulin sensitivity in DIO mice. J Nutr Biochem. 50:16–25. 2017. View Article : Google Scholar : PubMed/NCBI

17 

Cani PD, Bibiloni R, Knauf C, Waget A, Neyrinck AM, Delzenne NM and Burcelin R: Changes in gut microbiota control metabolic endotoxemia-induced inflammation in high-fat diet-induced obesity and diabetes in mice. Diabetes. 57:1470–1481. 2008. View Article : Google Scholar : PubMed/NCBI

18 

Zhou Y, Zheng T, Chen H, Li Y, Huang H, Chen W, Du Y, He J, Li Y, Cao J, et al: Microbial intervention as a novel target in treatment of non-alcoholic fatty liver disease progression. Cell Physiol Biochem. 51:2123–2135. 2018. View Article : Google Scholar : PubMed/NCBI

19 

Perumpail BJ, Li AA, John N, Sallam S, Shah ND, Kwong W, Cholankeril G, Kim D and Ahmed A: The therapeutic implications of the gut microbiome and probiotics in patients with NAFLD. Diseases. 7:1–12. 2019. View Article : Google Scholar

20 

Chen S, Shen X, Cheng S, Li P, Du J, Chang Y and Meng H: Evaluation of garlic cultivars for polyphenolic content and antioxidant properties. PLoS One. 8:e797302013. View Article : Google Scholar : PubMed/NCBI

21 

Kim MJ, Yoo YC, Kim HJ, Shin SK, Sohn EJ, Min AY, Sung NY and Kim MR: aged black garlic exerts anti-inflammatory effects by decreasing no and proinflammatory cytokine production with less cytoxicity in LPS-stimulated raw 264.7 macrophages and LPS-induced septicemia mice. J Med Food. 17:1057–1063. 2014. View Article : Google Scholar : PubMed/NCBI

22 

Jang HJ, Lee HJ, Yoon DK, Ji DS, Kim JH and Lee CH: Antioxidant and antimicrobial activities of fresh garlic and aged garlic by-products extracted with different solvents. Food Sci Biotechnol. 27:219–225. 2017. View Article : Google Scholar : PubMed/NCBI

23 

Bordia T, Mohammed N, Thomson M and Ali M: An evaluation of garlic and onion as antithrombotic agents. Prostaglandins Leukot Essent Fatty Acids. 54:183–186. 1996. View Article : Google Scholar : PubMed/NCBI

24 

Alpers DH: Garlic and its potential for prevention of colorectal cancer and other conditions. Curr Opin Gastroenterol. 25:116–121. 2009. View Article : Google Scholar : PubMed/NCBI

25 

Miki S, Inokuma KI, Takashima M, Nishida M, Sasaki Y, Ushijima M, Suzuki JI and Morihara N: Aged garlic extract suppresses the increase of plasma glycated albumin level and enhances the AMP-activated protein kinase in adipose tissue in TSOD mice. Mol Nutr Food Res. 61:5–11. 2017. View Article : Google Scholar

26 

Amagase H, Petesch BL, Matsuura H, Kasuga S and Itakura Y: Intake of garlic and its bioactive components. J Nutr. 131:955S–962S. 2001. View Article : Google Scholar : PubMed/NCBI

27 

Yeh YY and Liu L: Cholesterol-lowering effect of garlic extracts and organosulfur compounds: Human and animal studies. J Nutr. 131:989S–993S. 2001. View Article : Google Scholar : PubMed/NCBI

28 

Wang BH, Zuzel KA, Rahman K and Billington D: Treatment with aged garlic extract protects against bromobenzene toxicity to precision cut rat liver slices. Toxicology. 132:215–225. 1999. View Article : Google Scholar : PubMed/NCBI

29 

Sumioka I, Matsura T and Yamada K: Therapeutic effect of S-allylmercaptocysteine on acetaminophen-induced liver injury in mice. Eur J Pharmacol. 433:177–185. 2001. View Article : Google Scholar : PubMed/NCBI

30 

Kodai S, Takemura S, Minamiyama Y, Hai S, Yamamoto S, Kubo S, Yoshida Y, Niki E, Okada S, Hirohashi K and Suehiro S: S-allyl cysteine prevents CCl(4)-induced acute liver injury in rats. Free Radic Res. 41:489–497. 2007. View Article : Google Scholar : PubMed/NCBI

31 

Takemura S, Minamiyama Y, Kodai S, Shinkawa H, Tsukioka T, Okada S, Azuma H and Kubo S: S-Allyl cysteine improves nonalcoholic fatty liver disease in type 2 diabetes Otsuka Long-Evans Tokushima Fatty rats via regulation of hepatic lipogenesis and glucose metabolism. J Clin Biochem Nutr. 53:94–101. 2013. View Article : Google Scholar : PubMed/NCBI

32 

Ried K, Travica N and Sali A: The effect of Kyolic aged garlic extract on gut microbiota, inflammation, and cardiovascular markers in hypertensives: The GarGIC Trial. Front Nutr. 5:122–136. 2018. View Article : Google Scholar : PubMed/NCBI

33 

Lieber CS, Leo MA, Mak KM, Xu Y, Cao Q, Ren C, Ponomarenko A and DeCarli LM: Model of nonalcoholic steatohepatitis. Am J Clin Nutr. 79:502–509. 2004. View Article : Google Scholar : PubMed/NCBI

34 

Brix AE, Elgavish A, Nagy TR, Gower BA, Rhead WJ and Wood PA: Evaluation of liver fatty acid oxidation in the leptin-deficient obese mouse. Mol Genet Metab. 75:219–226. 2002. View Article : Google Scholar : PubMed/NCBI

35 

Wortham M, He L, Gyamfi M, Copple BL and Wan YJ: The transition from fatty liver to NASH associates with SAMe depletion in db/db mice fed a methionine choline-deficient diet. Dig Dis Sci. 53:2761–2774. 2008. View Article : Google Scholar : PubMed/NCBI

36 

Okumura K, Ikejima K, Kon K, Abe W, Yamashina S, Enomoto N, Takei Y and Sato N: Exacerbation of dietary steatohepatitis and fibrosis in obese, diabetic KK-A(y) mice. Hepatol Res. 36:217–228. 2006. View Article : Google Scholar : PubMed/NCBI

37 

Noge I, Kagawa Y and Maeda T: A new diabetic mouse model derived from the ddY strain. Biol Pharm Bull. 33:988–992. 2010. View Article : Google Scholar : PubMed/NCBI

38 

Maeda T, Noge I and Kagawa Y: Infiltration of M1 macrophages into adipose tissue of ddY-H mice preceding spontaneous appearances of insulin resistance. Biol Pharm Bull. 36:825–832. 2013. View Article : Google Scholar : PubMed/NCBI

39 

Satoh H, Ide N, Kagawa Y and Maeda T: Hepatic steatosis with relation to increased expression of peroxisome proliferator-activated receptor-γ in insulin resistant mice. Biol Pharm Bull. 36:616–623. 2013. View Article : Google Scholar : PubMed/NCBI

40 

Ide N, Arisawa K, Ogura K, Kagawa Y and Maeda T: Age-dependent onset of insulin resistance in insulin-resistant mice. Biol Pharm Bull. 38:1925–1934. 2015. View Article : Google Scholar : PubMed/NCBI

41 

Rakoff-Nahoum S, Paglino J, Eslami-Varzaneh F, Edberg S and Medzhitov R: Recognition of commensal microflora by toll-like receptors is required for intestinal homeostasis. Cell. 118:229–241. 2004. View Article : Google Scholar : PubMed/NCBI

42 

Nagashima K, Hisada T, Sato M and Mochizuki J: Application of new primer-enzyme combinations to terminal restriction fragment length polymorphism profiling of bacterial populations in human feces. Appl Environ Microbiol. 69:1251–1262. 2003. View Article : Google Scholar : PubMed/NCBI

43 

Nagashima K, Mochizuki J, Hisada T, Suzuki S and Shimomura K: Phylogenetic analysis of 16s ribosomal RNA gene sequences from human fecal microbiota and improved utility of terminal restriction fragment length polymorphism profiring. Biosci Microflora. 25:99–107. 2006. View Article : Google Scholar

44 

Livak KJ and Schmittgen TD: Analysis of relative gene expression data using real-time quantitative PCR and the 2((−ΔΔC(T)) method. Methods. 25:402–408. 2001. View Article : Google Scholar : PubMed/NCBI

45 

Ferramosca A and Zara V: Modulation of hepatic steatosis by dietary fatty acids. World J Gastroenterol. 20:1746–1755. 2014. View Article : Google Scholar : PubMed/NCBI

46 

Ried K, Travica N and Sali A: The effect of aged garlic extract on blood pressure and other cardiovascular risk factors in uncontrolled hypertensives: The AGE at Heart trial. Integr Blood Press Control. 9:9–21. 2016. View Article : Google Scholar : PubMed/NCBI

47 

Rana SV, Pal R, Vaiphei K, Sharma SK and Ola RP: Garlic in health and disease. Nutr Res Rev. 24:60–71. 2011. View Article : Google Scholar : PubMed/NCBI

48 

Rabhi N, Salas E, Froguel P and Annicotte JS: Role of the unfolded protein response in β cell compensation and failure during diabetes. J Diabetes Res. 2014:7951712014. View Article : Google Scholar : PubMed/NCBI

49 

Memon RA, Tecott LH, Nonogaki K, Beigneux A, Moser AH, Grunfeld C and Feingold KR: Up-regulation of peroxisome proliferator-activated receptors (PPAR-alpha) and PPAR-gamma messenger ribonucleic acid expression in the liver in murine obesity: Troglitazone induces expression of PPAR-gamma-responsive adipose tissue-specific genes in the liver of obese diabetic mice. Endocrinology. 141:4021–4031. 2000. View Article : Google Scholar : PubMed/NCBI

50 

Rahimian R, Masih-Khan E, Lo M, van Breemen C, McManus BM and Dubé GP: Hepatic over-expression of peroxisome proliferator activated receptor gamma2 in the ob/ob mouse model of non-insulin dependent diabetes mellitus. Mol Cell Biochem. 224:29–37. 2001. View Article : Google Scholar : PubMed/NCBI

51 

Nagata K, Suzuki H and Sakaguchi S: Common pathogenic mechanism in development progression of liver injury caused by non-alcoholic or alcoholic steatohepatitis. J Toxicol Sci. 32:453–468. 2007. View Article : Google Scholar : PubMed/NCBI

52 

Compare D, Coccoli P, Rocco A, Nardone OM, De Maria S, Cartenì M and Nardone G: Gut--liver axis: The impact of gut microbiota on non alcoholic fatty liver disease. Nutr Metab Cardiovasc Dis. 22:471–476. 2012. View Article : Google Scholar : PubMed/NCBI

53 

O'Hara AM and Shanahan F: The gut flora as a forgotten organ. EMBO Rep. 7:688–693. 2006. View Article : Google Scholar : PubMed/NCBI

54 

Burcelin R: Gut microbiota and immune crosstalk in metabolic disease. Biol Aujourdhui. 211:1–18. 2017. View Article : Google Scholar : PubMed/NCBI

55 

Logan AC, Jacka FN and Prescott SL: Immune-microbiota interactions: dysbiosis as a global health issue. Curr Allergy Asthma Rep. 16(13)2016.PubMed/NCBI

56 

Honda K and Littman DR: The microbiota in adaptive immune homeostasis and disease. Nature. 535:75–84. 2016. View Article : Google Scholar : PubMed/NCBI

57 

Winer DA, Luck H, Tsai S and Winer S: The intestinal immune system in obesity and insulin resistance. Cell Metab. 23:413–426. 2016. View Article : Google Scholar : PubMed/NCBI

58 

Suk KT and Kim DJ: Gut microbiota: Novel therapeutic target for nonalcoholic fatty liver disease. Expert Rev Gastroenterol Hepatol. 13:193–204. 2019. View Article : Google Scholar : PubMed/NCBI

59 

Zhou W, Guo R, Guo W, Hong J, Li L, Ni L, Sun J, Liu B, Rao P and Lv X: Monascus yellow, red and orange pigments from red yeast rice ameliorate lipid metabolic disorders and gut microbiota dysbiosis in Wistar rats fed on a high-fat diet. Food Funct. 10:1073–1084. 2019. View Article : Google Scholar : PubMed/NCBI

60 

Pollak M: The effects of metformin on gut microbiota and the immune system as research frontiers. Diabetologia. 60:1662–1667. 2017. View Article : Google Scholar : PubMed/NCBI

Related Articles

  • Abstract
  • View
  • Download
  • Twitter
Copy and paste a formatted citation
Spandidos Publications style
Maeda T, Miki S, Morihara N and Kagawa Y: Aged garlic extract ameliorates fatty liver and insulin resistance and improves the gut microbiota profile in a mouse model of insulin resistance . Exp Ther Med 18: 857-866, 2019.
APA
Maeda, T., Miki, S., Morihara, N., & Kagawa, Y. (2019). Aged garlic extract ameliorates fatty liver and insulin resistance and improves the gut microbiota profile in a mouse model of insulin resistance . Experimental and Therapeutic Medicine, 18, 857-866. https://doi.org/10.3892/etm.2019.7636
MLA
Maeda, T., Miki, S., Morihara, N., Kagawa, Y."Aged garlic extract ameliorates fatty liver and insulin resistance and improves the gut microbiota profile in a mouse model of insulin resistance ". Experimental and Therapeutic Medicine 18.1 (2019): 857-866.
Chicago
Maeda, T., Miki, S., Morihara, N., Kagawa, Y."Aged garlic extract ameliorates fatty liver and insulin resistance and improves the gut microbiota profile in a mouse model of insulin resistance ". Experimental and Therapeutic Medicine 18, no. 1 (2019): 857-866. https://doi.org/10.3892/etm.2019.7636
Copy and paste a formatted citation
x
Spandidos Publications style
Maeda T, Miki S, Morihara N and Kagawa Y: Aged garlic extract ameliorates fatty liver and insulin resistance and improves the gut microbiota profile in a mouse model of insulin resistance . Exp Ther Med 18: 857-866, 2019.
APA
Maeda, T., Miki, S., Morihara, N., & Kagawa, Y. (2019). Aged garlic extract ameliorates fatty liver and insulin resistance and improves the gut microbiota profile in a mouse model of insulin resistance . Experimental and Therapeutic Medicine, 18, 857-866. https://doi.org/10.3892/etm.2019.7636
MLA
Maeda, T., Miki, S., Morihara, N., Kagawa, Y."Aged garlic extract ameliorates fatty liver and insulin resistance and improves the gut microbiota profile in a mouse model of insulin resistance ". Experimental and Therapeutic Medicine 18.1 (2019): 857-866.
Chicago
Maeda, T., Miki, S., Morihara, N., Kagawa, Y."Aged garlic extract ameliorates fatty liver and insulin resistance and improves the gut microbiota profile in a mouse model of insulin resistance ". Experimental and Therapeutic Medicine 18, no. 1 (2019): 857-866. https://doi.org/10.3892/etm.2019.7636
Follow us
  • Twitter
  • LinkedIn
  • Facebook
About
  • Spandidos Publications
  • Careers
  • Cookie Policy
  • Privacy Policy
How can we help?
  • Help
  • Live Chat
  • Contact
  • Email to our Support Team