Spandidos Publications Logo
  • About
    • About Spandidos
    • Aims and Scopes
    • Abstracting and Indexing
    • Editorial Policies
    • Reprints and Permissions
    • Job Opportunities
    • Terms and Conditions
    • Contact
  • Journals
    • All Journals
    • Oncology Letters
      • Oncology Letters
      • Information for Authors
      • Editorial Policies
      • Editorial Board
      • Aims and Scope
      • Abstracting and Indexing
      • Bibliographic Information
      • Archive
    • International Journal of Oncology
      • International Journal of Oncology
      • Information for Authors
      • Editorial Policies
      • Editorial Board
      • Aims and Scope
      • Abstracting and Indexing
      • Bibliographic Information
      • Archive
    • Molecular and Clinical Oncology
      • Molecular and Clinical Oncology
      • Information for Authors
      • Editorial Policies
      • Editorial Board
      • Aims and Scope
      • Abstracting and Indexing
      • Bibliographic Information
      • Archive
    • Experimental and Therapeutic Medicine
      • Experimental and Therapeutic Medicine
      • Information for Authors
      • Editorial Policies
      • Editorial Board
      • Aims and Scope
      • Abstracting and Indexing
      • Bibliographic Information
      • Archive
    • International Journal of Molecular Medicine
      • International Journal of Molecular Medicine
      • Information for Authors
      • Editorial Policies
      • Editorial Board
      • Aims and Scope
      • Abstracting and Indexing
      • Bibliographic Information
      • Archive
    • Biomedical Reports
      • Biomedical Reports
      • Information for Authors
      • Editorial Policies
      • Editorial Board
      • Aims and Scope
      • Abstracting and Indexing
      • Bibliographic Information
      • Archive
    • Oncology Reports
      • Oncology Reports
      • Information for Authors
      • Editorial Policies
      • Editorial Board
      • Aims and Scope
      • Abstracting and Indexing
      • Bibliographic Information
      • Archive
    • Molecular Medicine Reports
      • Molecular Medicine Reports
      • Information for Authors
      • Editorial Policies
      • Editorial Board
      • Aims and Scope
      • Abstracting and Indexing
      • Bibliographic Information
      • Archive
    • World Academy of Sciences Journal
      • World Academy of Sciences Journal
      • Information for Authors
      • Editorial Policies
      • Editorial Board
      • Aims and Scope
      • Abstracting and Indexing
      • Bibliographic Information
      • Archive
    • International Journal of Functional Nutrition
      • International Journal of Functional Nutrition
      • Information for Authors
      • Editorial Policies
      • Editorial Board
      • Aims and Scope
      • Abstracting and Indexing
      • Bibliographic Information
      • Archive
    • International Journal of Epigenetics
      • International Journal of Epigenetics
      • Information for Authors
      • Editorial Policies
      • Editorial Board
      • Aims and Scope
      • Abstracting and Indexing
      • Bibliographic Information
      • Archive
    • Medicine International
      • Medicine International
      • Information for Authors
      • Editorial Policies
      • Editorial Board
      • Aims and Scope
      • Abstracting and Indexing
      • Bibliographic Information
      • Archive
  • Articles
  • Information
    • Information for Authors
    • Information for Reviewers
    • Information for Librarians
    • Information for Advertisers
    • Conferences
  • Language Editing
Spandidos Publications Logo
  • About
    • About Spandidos
    • Aims and Scopes
    • Abstracting and Indexing
    • Editorial Policies
    • Reprints and Permissions
    • Job Opportunities
    • Terms and Conditions
    • Contact
  • Journals
    • All Journals
    • Biomedical Reports
      • Information for Authors
      • Editorial Policies
      • Editorial Board
      • Aims and Scope
      • Abstracting and Indexing
      • Bibliographic Information
      • Archive
    • Experimental and Therapeutic Medicine
      • Information for Authors
      • Editorial Policies
      • Editorial Board
      • Aims and Scope
      • Abstracting and Indexing
      • Bibliographic Information
      • Archive
    • International Journal of Epigenetics
      • Information for Authors
      • Editorial Policies
      • Editorial Board
      • Aims and Scope
      • Abstracting and Indexing
      • Bibliographic Information
      • Archive
    • International Journal of Functional Nutrition
      • Information for Authors
      • Editorial Policies
      • Editorial Board
      • Aims and Scope
      • Abstracting and Indexing
      • Bibliographic Information
      • Archive
    • International Journal of Molecular Medicine
      • Information for Authors
      • Editorial Policies
      • Editorial Board
      • Aims and Scope
      • Abstracting and Indexing
      • Bibliographic Information
      • Archive
    • International Journal of Oncology
      • Information for Authors
      • Editorial Policies
      • Editorial Board
      • Aims and Scope
      • Abstracting and Indexing
      • Bibliographic Information
      • Archive
    • Medicine International
      • Information for Authors
      • Editorial Policies
      • Editorial Board
      • Aims and Scope
      • Abstracting and Indexing
      • Bibliographic Information
      • Archive
    • Molecular and Clinical Oncology
      • Information for Authors
      • Editorial Policies
      • Editorial Board
      • Aims and Scope
      • Abstracting and Indexing
      • Bibliographic Information
      • Archive
    • Molecular Medicine Reports
      • Information for Authors
      • Editorial Policies
      • Editorial Board
      • Aims and Scope
      • Abstracting and Indexing
      • Bibliographic Information
      • Archive
    • Oncology Letters
      • Information for Authors
      • Editorial Policies
      • Editorial Board
      • Aims and Scope
      • Abstracting and Indexing
      • Bibliographic Information
      • Archive
    • Oncology Reports
      • Information for Authors
      • Editorial Policies
      • Editorial Board
      • Aims and Scope
      • Abstracting and Indexing
      • Bibliographic Information
      • Archive
    • World Academy of Sciences Journal
      • Information for Authors
      • Editorial Policies
      • Editorial Board
      • Aims and Scope
      • Abstracting and Indexing
      • Bibliographic Information
      • Archive
  • Articles
  • Information
    • For Authors
    • For Reviewers
    • For Librarians
    • For Advertisers
    • Conferences
  • Language Editing
Login Register Submit
  • This site uses cookies
  • You can change your cookie settings at any time by following the instructions in our Cookie Policy. To find out more, you may read our Privacy Policy.

    I agree
Search articles by DOI, keyword, author or affiliation
Search
Advanced Search
presentation
Experimental and Therapeutic Medicine
Join Editorial Board Propose a Special Issue
Print ISSN: 1792-0981 Online ISSN: 1792-1015
Journal Cover
December-2020 Volume 20 Issue 6

Full Size Image

Sign up for eToc alerts
Recommend to Library

Journals

International Journal of Molecular Medicine

International Journal of Molecular Medicine

International Journal of Molecular Medicine is an international journal devoted to molecular mechanisms of human disease.

International Journal of Oncology

International Journal of Oncology

International Journal of Oncology is an international journal devoted to oncology research and cancer treatment.

Molecular Medicine Reports

Molecular Medicine Reports

Covers molecular medicine topics such as pharmacology, pathology, genetics, neuroscience, infectious diseases, molecular cardiology, and molecular surgery.

Oncology Reports

Oncology Reports

Oncology Reports is an international journal devoted to fundamental and applied research in Oncology.

Experimental and Therapeutic Medicine

Experimental and Therapeutic Medicine

Experimental and Therapeutic Medicine is an international journal devoted to laboratory and clinical medicine.

Oncology Letters

Oncology Letters

Oncology Letters is an international journal devoted to Experimental and Clinical Oncology.

Biomedical Reports

Biomedical Reports

Explores a wide range of biological and medical fields, including pharmacology, genetics, microbiology, neuroscience, and molecular cardiology.

Molecular and Clinical Oncology

Molecular and Clinical Oncology

International journal addressing all aspects of oncology research, from tumorigenesis and oncogenes to chemotherapy and metastasis.

World Academy of Sciences Journal

World Academy of Sciences Journal

Multidisciplinary open-access journal spanning biochemistry, genetics, neuroscience, environmental health, and synthetic biology.

International Journal of Functional Nutrition

International Journal of Functional Nutrition

Open-access journal combining biochemistry, pharmacology, immunology, and genetics to advance health through functional nutrition.

International Journal of Epigenetics

International Journal of Epigenetics

Publishes open-access research on using epigenetics to advance understanding and treatment of human disease.

Medicine International

Medicine International

An International Open Access Journal Devoted to General Medicine.

Journal Cover
December-2020 Volume 20 Issue 6

Full Size Image

Sign up for eToc alerts
Recommend to Library

  • Article
  • Citations
    • Cite This Article
    • Download Citation
    • Create Citation Alert
    • Remove Citation Alert
    • Cited By
  • Similar Articles
    • Related Articles (in Spandidos Publications)
    • Similar Articles (Google Scholar)
    • Similar Articles (PubMed)
  • Download PDF
  • Download XML
  • View XML
Article Open Access

CD14+ monocytes and CD163+ macrophages correlate with the severity of liver fibrosis in patients with chronic hepatitis C

  • Authors:
    • Su-Xian Zhao
    • Wen-Cong Li
    • Na Fu
    • Ling-Bo Kong
    • Qing-Shan Zhang
    • Fang Han
    • Wei-Guang  Ren
    • Po Cui
    • Jing-Hua Du
    • Bao-Yu Wang
    • Yu-Guo Zhang
    • Rong-Qi Wang
    • Li Kong
    • Yue-Min Nan
  • View Affiliations / Copyright

    Affiliations: Department of Traditional and Western Medical Hepatology, The Third Hospital of Hebei Medical University, Shijiazhuang, Hebei 050051, P.R. China
    Copyright: © Zhao et al. This is an open access article distributed under the terms of Creative Commons Attribution License.
  • Article Number: 228
    |
    Published online on: October 15, 2020
       https://doi.org/10.3892/etm.2020.9358
  • Expand metrics +
Metrics: Total Views: 0 (Spandidos Publications: | PMC Statistics: )
Metrics: Total PDF Downloads: 0 (Spandidos Publications: | PMC Statistics: )
Cited By (CrossRef): 0 citations Loading Articles...

This article is mentioned in:



Abstract

Hepatic fibrosis is a crucial pathological process involved in the development of chronic hepatitis C (CHC) and may progress to liver cirrhosis and hepatocellular carcinoma. Activated peripheral blood monocytes and intrahepatic macrophages further promote hepatic fibrogenesis by releasing proinflammatory and profibrogenic cytokines. The present study aimed to investigate the role of peripheral CD14+ monocytes and intrahepatic CD163+ macrophages in hepatitis C virus (HCV)‑associated liver fibrosis and clarify whether serum soluble CD163 (sCD163) may serve as a fibrosis marker in patients with CHC. A total of 87 patients with CHC and 20 healthy controls were recruited. Serum sCD163 levels were measured by ELISA. Frequencies of peripheral CD14+ monocytes and inflammatory cytokines expressed by CD14+ monocytes were analyzed by flow cytometry. The degree of fibrosis in human liver biopsies was graded using the Metavir scoring system and patients were stratified into two groups based on those results (F<2 vs. F≥2). Hepatic expression of CD163 was examined by immunohistochemical staining. The diagnostic values of sCD163, aspartate aminotransferase to platelet ratio index (APRI), fibrosis 4 score (FIB‑4) and the aspartate aminotransferase to alanine aminotransferase ratio (AAR) in significant fibrosis (F≥2) were evaluated and compared using receiver operating characteristic (ROC) curves. The results indicated that the serum sCD163 levels and the frequency of CD14+ monocytes were significantly higher in the patients than that in the controls and positively correlated with liver fibrosis. The level of serum sCD163 was consistent with hepatic CD163 expression in the liver sections from patients. The frequencies of interleukin (IL)‑8‑ and tumor necrosis factor‑α‑expressing monocytes were increased and that of IL‑10‑expressing monocytes was decreased in the patients. The area under the ROC curve (AUROC) for sCD163, APRI, FIB‑4 and AAR was 0.876, 0.785, 0.825 and 0.488, respectively, and the AUROC for sCD163 was significantly higher than those for APRI and AAR. In conclusion, sCD163 may serve as a novel marker for assessing the degree of liver fibrosis in HCV‑infected patients.

Introduction

Hepatitis C virus (HCV) infection is highly prevalent worldwide and has caused an extensive medical burden (1). Hepatic fibrosis is a crucial pathological process associated with chronic viral hepatitis, which facilitates the progressions towards severe hepatic outcomes, including liver cirrhosis, liver failure and hepatocellular carcinoma. With the development of therapeutic interventions, most patients are able to achieve sustained virological clearance and improved fibrosis, while the above-mentioned progressive features may not be completely reversed. Hence, it is critical to evaluate and monitor the stage of liver fibrosis prior to and after antiviral treatment (2).

Cells of the innate immune system regulate the fibrotic process in chronic liver diseases (3). Macrophages and their progenitor cells, monocytes, are key factors in the immune system. Liver fibrosis is characterized by extracellular matrix accumulation and hepatic stellate cell activation. Macrophages, which release pro-inflammatory and pro-fibrogenic cytokines, including tumor necrosis factor α (TNF-α) and transforming growth factor β1 (TGF-β1) may promote liver fibrosis by degrading matrix collagen and regulating hepatic stellate cells (4-7). Macrophages may differentiate into ‘classically activated’ M1 and ‘alternatively activated’ M2 macrophages (7). The function of M2 macrophages is to inhibit the inflammatory reaction and participate in tissue repair, anti-inflammatory cytokine production and extracellular matrix synthesis and stabilization (8,9). CD163 is predominantly expressed on M2 macrophages, particularly on Kupffer cells, the resident macrophages of the liver, which represent the largest population of macrophages in the mammalian body. Soluble CD163 (sCD163) is a scavenger receptor, which is released from M2 macrophages upon activation. The activation of macrophages, mainly Kupffer cells, may be reflected by the levels of sCD163 in the blood circulation (10). Cytokines produced by CD14+ cells, including interleukin-6 (IL-6), IL-8, TNF-α and IL-10, contribute to the pathogenesis of HCV-induced liver disease.

However, to date, the immunopathogenic role of peripheral blood monocytes and intrahepatic macrophages in HCV-associated fibrosis have remained to be fully elucidated. The present study aimed to investigate the effect of monocytes/macrophages and its associated cytokines in the fibrosis of chronic hepatitis C (CHC) by detecting peripheral CD14+ monocyte frequencies and intrahepatic CD163+ macrophage levels in HCV-associated liver fibrosis.

Various studies have demonstrated the important role of liver macrophages (Kupffer cells) during liver fibrosis (11,12), therefore, macrophage-specific markers may be useful tools to monitor liver fibrotic processes. Previous data have indicated that in patients with liver diseases, sCD163 may be used to monitor Kupffer cell activation (13). Thus, in the present study, the diagnostic relevance of sCD163 was assessed by comparing it to other well-known biomarkers of liver fibrosis.

Materials and methods

Subjects

A total of 87 patients with CHC were recruited at The Third Hospital of Hebei Medical University (Shijiazhuang, China) between January 2013 and October 2013. HCV infection was diagnosed based on positivity for IgG antibodies to HCV in the serum, the presence of plasma HCV RNA and a liver biopsy with histology consistent with chronic HCV. Participants with the following conditions were excluded: i) Decompensated cirrhosis; ii) co-infection with human immunodeficiency virus (HIV); iii) co-infection with hepatitis A (HAV), B (HBV)or D virus; and iv) other chronic liver diseases. Furthermore, 20 age- and sex-matched healthy subjects with no presence of HAV, HBV, HCV, HIV or other causes of chronic liver disease were used as controls.

Liver biopsies were performed on all 87 HCV patients. In addition, 20 normal liver tissues as controls were collected from donor livers for transplantation. H&E and Masson trichrome staining were used for observation of hepatic inflammation and fibrosis in the liver sections. The grade of hepatic fibrosis was determined using the Metavir scoring system (12). A Metavir stage of F2, F3 or F4 was defined as indicating significant fibrosis. Patients were classified into two groups according to the F-score (F≥2 and F<2, respectively). The demographic and clinical data of the cohort are provided in Table I.

Table I

Clinical characteristics of the patients and controls enrolled in the present study.

Table I

Clinical characteristics of the patients and controls enrolled in the present study.

ItemHealthy controls (n=20)Patients with CHC (n=87)P-value
Sex (male/female)9/1138/491.000
Age (years)44.9±11.746.6±13.80.627
Body mass index (kg/m2)23.4±3.322.3±2.50.588
ALT (0-40 IU/l)28.66±1.983.2±9.40.001
AST (0-40 IU/l)23.1±6.367.1±7.90.006
HCV RNA (IU/ml) 9.1x105 (128-2.5x107) 
Possible route of contamination   
     Transfusion 62 (71.3) 
     Previous surgery 6 (6.9) 
     Stomatologic treatments 3 (3.4) 
     Others or unknown 16 (18.4) 
     HCV genotype, 1b/2a 81/6 
Fibrosis score   
     F<2 43 
     F≥2 44 

[i] Values are expressed as the mean ± standard deviation, median (range) or n (%). ALT, alanine transaminase; AST, aspartate transaminase; HCV, hepatitis C virus; CHC, chronic HCV infection.

In the present study, the values of three biomarkers for liver fibrosis, namely the aspartate aminotransferase (AST) to platelet ratio index (APRI), AST to alanine aminotransferase (ALT) ratio (AAR) and fibrosis 4 score (FIB-4), were also calculated based on the following formulas: APRI=100x[AST(U/l)/upper limit of normal range]/platelets(109/l), FIB-4=age(years) x AST(U/l)/[platelets(109/l) x ALT(U/l)1/2], where the age of the patient is the age at the time of liver biopsy, and AAR=AST/ALT (14-16).

Blood sample collection

Blood was obtained from each patient at the time-point of enrollment in this study. Samples were aliquoted and stored at -80˚C for further use.

Biochemical assays

The liver and kidney functions were analyzed by a Mindray BS-800M automatic chemical analyzer at the Central Laboratory of the 3rd Hospital of Hebei Medical University (Shijiazhuang, China).

HCV antibody tests and quantitative detection of HCV RNA

The serum antibodies to HCV were detected by ELISA with a commercial detection kit (Livzon Diagnostics Inc.). The plasma HCV RNA load was measured by using qualitative reverse transcription PCR (RT-PCR) assay (Cobas Taqman HCV Test; Roche Diagnostics) and the lower limit of quantification was 15 IU/ml.

Immunohistochemistry detection of CD163 in liver tissues

Paraffin-embedded liver sections (5 µm) were incubated with anti-CD163 (specific for M2 macrophages) (1:100 dilution; cat. no. MCA1853; AbD Serotec) and EnVision System HRP-conjugated secondary antibody (cat. no. K4001; Dako; Agilent Technologies, Inc.). Freshly prepared 3,3'-diaminobenzidine solution was used as the substrate, followed by counterstaining with hematoxylin according to previously described protocols (17).

Measurement of the sCD163 concentration

Serum sCD163 levels were detected with an ELISA kit (cat. no. DC1630; R&D Systems) according to the manufacturer's protocol.

Flow cytometric analysis of CD14+ monocytes and inflammatory cytokines expressing CD14+ monocytes

All the antibodies were purchased from BD Biosciences. For marker staining with FITC-conjugated anti-human CD14 (cat. no. 347493) and phycoerythrin (PE)-conjugated anti-human IL-2 (cat. no. 340450), interferon-gamma (IFN-γ; cat. no. 554701), IL-6 (cat. no. 340527), TNF-α (cat. no. 340517), IL-8 (cat. no. 554720), IL-4 (cat. no. 559333) and IL-10 (cat. no. 559330; all 1:100 dilution), the methods were according to previously described protocols (18,19).

Statistics analysis

Values are expressed as the mean ± standard deviation. One-way analysis of variance (ANOVA) was used for multiple comparisons and Student's t-test to study differences of normally distributed variables between the groups. Following ANOVA, the Student-Newman-Keuls post-hoc test was applied. The association between sCD163 and CD163 in liver tissues was analyzed by simple linear regression. Spearman's rank correlation test was used to study associations between sCD163, CD163, CD14 and histological scores. P<0.05 was considered to indicate statistical significance.

The diagnostic values of four markers (sCD163, APRI, FIB-4 and AAR) were assessed by calculating the area under the receiver operating characteristic (ROC) curves (AUROC) as the best cut-off values. The diagnostic performance was evaluated by determining the sensitivity, specificity, positive predictive value (PPV), and negative predictive value (NPV). All data were analyzed using SPSS version 17.0 for Windows software (SPSS, Inc.).

Results

Hepatic macrophages are markedly increased in HCV infection patients with fibrosis

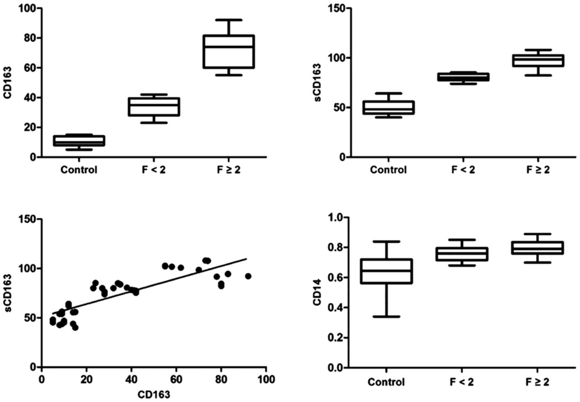
The hepatic distribution of CD163+ cells of patients with CHC and healthy controls was examined. As presented in Fig. 1, patients with F≥2 had a higher CD163+ cell density in the liver than patients with F<2. As CD163 was widely expressed on Kupffer cells in the lobular area, CD163+ cells in the portal area were taken as the macrophages for quantitative analysis. It was revealed that the number of CD163+ cells in the portal area was markedly higher in CHC patients with high fibrosis scores (Fig. 1). Box plots of the CD163 count in relation to the fibrosis stage are presented in Fig. 2 (r2=0.942, P<0.001). There were no differences among the groups regarding the ratios of CD163 to CD68 (CD163/CD68 data not shown).

Figure 1

Expression of CD163in liver sections, serum concentration of sCD163 and proportion of CD14 in controls and patients with CHC with different severities of fibrosis (F<2 or F≥2). (A-C) Representative histology images of liver sections with (A) H&E, (B) Masson-trichrome and (C) CD163 immunohistochemical staining (original magnification, x200). In CHC liver tissues, enhanced expression of CD163 was localized in the fibrous septum. (D) Semiquantitative analysis of the immunohistochemistry results suggested that the number of CD163-expressing cells was higher in samples with F≥2 than that in F<2. (E) The serum concentration of sCD163 was measured by ELISA. Compared with controls and patients with F<2, patients with F≥2 exhibited a significantly higher concentration of sCD163. (F) Flow cytometric analysis of the proportion of CD14 in the blood in patients with CHC and controls. The proportion of CD14 was enhanced in patients with CHC and was significantly higher in F≥2 than in F<2. Data were presented as the mean ± standard deviation. *P<0.05, compared with control; #P<0.05, compared with F<2. sCD163, soluble CD163; CHC, chronic hepatitis C.

Figure 2

CD163, sCD163 and CD14 are correlated with fibrosis. A steady stepwise increase in median velocity was observed with increasing severity of hepatic fibrosis in patients with chronic hepatitis C (all P<0.01). There was a positive correlation between the serum concentration of sCD163 and liver fibrosis. sCD163, soluble CD163.

Serum sCD163 levels are significantly higher and gradually increased with the progression of hepatic fibrosis in CHC patients

The serum sCD163 levels of CHC patients and in healthy subjects are presented in Fig. 1D. The mean serum sCD163 levels in patients with CHC were markedly higher than those in the control subjects (88.3±11.2 µg/l vs. 49.5±7.6 µg/l, P<0.001). Serum sCD163 levels were markedly elevated in patients with F≥2 as compared with those in patients with F<2 (102.3±9.98vs. 76.0±12.2 µg/l, P<0.001). There was a positive correlation between sCD163 and fibrosis (r2=0.899, P<0.001; Fig. 2). Furthermore, serum sCD163 and the number of CD163+ cells in the portal area increased in parallel in association with the histological fibrosis stage in HCV patients. There was a correlation between sCD163 and hepatic CD163+ cells in CHC patients (r2=0.701, P<0.001; Fig. 2).

Frequencies of CD14+ monocytes andCD14+ monocytes expressing IL-2, IFN-γ, IL-6, TNF-α, IL-8, IL-4 and IL-10

CD14+ monocyte frequencies were higher in CHC patients than those in healthy controls. Of note, CD14+ monocyte frequencies were increased in patients with F≥2 as compared with those in patients with F<2 (72±7% vs. 78±5%, P=0.04; Fig. 1). The correlation between the frequencies of CD14+ monocytes and fibrosis was then analyzed in these patients (Fig. 2). There was a significant positive correlation between CD14+ monocyte frequencies and the fibrosis stage (r2=0.604, P<0.001), but no correlation was observed with serum HCV RNA (data not shown).

Although CD14 is a marker of anti-inflammatory monocytes, it also transduces signals upon binding its ligands that leads to the release of anti-inflammatory mediator IL-10 and pro-inflammatory cytokines, including IL-6, TNF-α and IL-8. To further investigate the changes of CD14+ monocytes expressing associated cytokines during the progression of HCV-associated liver fibrosis, the levels of IL-2-, IFN-γ-, IL-6-, TNF-α-, IL-8-, IL-4- and IL-10-expressing CD14+ monocytes were determined. Compared with the controls, the IL-2-, IL-4-, IFN-γ-, IL-6-, IL-8- and TNF-α-expressing CD14+ monocytes were increased in patients with CHC, but IL-10-expressing CD14+ monocytes were decreased in the F<2 group (P<0.05; Fig. 3). With the progression of fibrosis, IL-8-expressing CD14+ monocytes were significantly upregulated as compared with those in the F<2 group (IL-8, P<0.05; TNF-α, P>0.05; Fig. 3), while the IL-2 and IFN-γ-expressing CD14+ monocytes were significantly downregulated (IL-2 and IFN-γ, P<0.05; IL-4, IL-6 and IL-10; P>0.05; Fig. 3).

Figure 3

Proportions of IL-2-, IL-4-, IL-10-, IFN-γ-, IL-6-, IL-8- and TNF-α-expressing CD14+ monocytes were measured by flow cytometry and data were presented as the mean ± standard deviation. *P<0.05, compared with control; #P<0.05, compared with F<2. IL, interleukin; IFN, interferon; TNF, tumor necrosis factor.

Predictive value of sCD163 as a non-invasive biomarker of fibrosis in patients with CHC

As sCD163 was higher in patients with considerable hepatic fibrosis, a ROC curve analysis for sCD163 with the cut-off Metavir score F≥2 was performed to distinguish patients with F≥2 from those with F<2 (Fig. 4). The AUROC for sCD163 to differentiate patients with F≥2 from those with F<2 was 0.876 (95% confidence interval: 0.795-0.958, P<0.001) with an optimal cut-off value of 73.985 µg/l. Serum sCD163 levels of ≥116.54 µg/l had a >90% specificity to identify subjects with F≥2, with an optimal cut-off value of 73.985 µg/l. Regarding the discrimination of subjects with significant fibrosis, the AUROCs for APRI, FIB-4 and AAR were 0.785, 0.825 and 0.488, respectively (Fig. 4). The optimal cut-off values of APRI, FIB-4 and AAR were 1.549, 0.74 and 0.583, respectively. In the comparison of the AUROCs, sCD163 exhibited a significantly higher AUROC as compared with APRI and AAR (P=0.028, P<0.001, respectively), while no differences were observed for sCD163 vs. FIB-4 (P=0.48). When compared to liver biopsy, AAR values >1.2 had a PPV of 77% for the diagnosis of significant fibrosis, while AAR<0.5 was able to exclude significant fibrosis with an NPV of 77%. Similar results were obtained by applying the APRI, FIB-4 and sCD163 original cutoffs. FIB-4>3.25 had a PPV of 92%, while FIB-4<1.45 was able to exclude significant fibrosis with an NPV of 81%.

Figure 4

ROC curves for AAR, APRI, FIB-4 and sCD163 in significant fibrosis (F≥2). Comparison of areas under the ROCs indicated superior diagnostic accuracy of sCD163 and FIB-4 when compared to AAR and APRI. ROC, receiver operating characteristic; sCD163, soluble CD163. APRI, aspartate aminotransferase to platelet ratio; AAR, aspartate aminotransferase to alanine aminotransferase ratio; FIB-4, fibrosis 4 score.

Discussion

Kupffer cells are involved in liver cirrhosis development. Studies have indicated that macrophage subsets have bidirectional roles in the progression and reversal of liver fibrosis (8,20). Macrophages not only initiate and accentuate inflammatory responses after tissue injury, but also participate in the resolution of inflammation and injury. In certain relevant studies, liver tissues from only a small number of cases or no liver tissues were included, or studies were limited to females only (21-23). The exact role of hepatic macrophages in CHC remains elusive. CD163, a member of the scavenger receptor cysteine-rich family, is involved in anti-inflammatory functions and is predominantly expressed on M2 macrophages (24,25). The present results suggested that CD163 expression was significantly increased in liver tissues of CHC patients, which correlated with the degree of hepatic fibrosis. Therefore, M2 macrophages are considered pro-fibrotic under certain conditions.

Activation of Kupffer cells, the resident macrophages in the liver, is an important component of inflammation, cell death and fibrosis development (20). sCD163 is a surrogate parameter for macrophage activation, which may be a useful tool to assess the prognosis and complications of liver cirrhosis. In the present cohort of CHC patients, the serum sCD163 levels were higher in patients with significant fibrosis as compared to subjects with no or mild fibrosis. Furthermore, a strong correlation between sCD163 levels and the severity of liver fibrosis has been observed in the present study, which is in line with a recent publication confirming sCD163 as a fibrosis predictor (26). In addition, the present study indicated a positive correlation between the serum levels of sCD163 and hepatic CD163 expression. Therefore, to a certain extent, sCD163 levels reflect the changes of CD163 in liver tissue. These results all support the notion that hepatic macrophage activation is linked to fibrosis in CHC patients. Hiraoka et al (27) reported elevated levels of plasma sCD163 in patients with acute and chronic viral hepatitis. They also demonstrated that the cells expressing CD163 in the liver were Kupffer cells. Another study indicated increased hepatic expression of CD163 mRNA in patients with CHC (25). In patients with cirrhosis, sCD163 levels are associated with portal hypertension (12,28) and a recent study, sCD163 was demonstrated to be an independent predictor of variceal bleed and mortality in cirrhotic patients (10). These studies support the present results of elevated CD163 and sCD163 in patients with CHC. The present study suggested that the elevation of sCD163 and CD163 are associated with the progression of liver fibrosis, the most severe outcome of chronic viral hepatitis. Thus, the present study provided strong evidence for macrophage activation in patients with CHC.

Macrophages have a critical role in innate and adaptive immune responses (22). Monocytes are precursors of tissue macrophages and may exhibit special functions in the progression of HCV infection. The presence of elevated levels of CD14+ monocytes has been demonstrated in various pathological conditions, including infection, inflammatory syndrome, sepsis and cancer. Most monocytes express cell surface CD14. In the present study, the levels of CD14+monocytes increased in CHC patients, which was associated with the severity of fibrosis. There were significant positive correlations between CD163, CD14 and fibrosis, which suggested the involvement of CD14+ monocytes and CD163+ macrophages in CHC-associated liver fibrosis.

CD14+ monocytes represent 90% of circulating monocytes, which produce cytokines including IL-6, IL-8, TNF-α and IFN-γ. In the present study, changes in the levels of CD14+ monocytes expressing IL-6, IL-8 and TNF-α obtained from CHC patients were observed. The results confirmed that the frequencies of IL-6- and TNF-α-expressing CD14+ monocytes were significantly increased in CHC patients compared with those in the normal control group, and higher levels of IL-8- and TNF-α-expressing CD14+ monocytes in patients with fibrosis were determined. IL-6-, IL-8- and TNF-α-expressing CD14+ monocytes are composed mainly of mononuclear macrophages induced by external stimuli (such as viral infection or endotoxin), whose levels may reflect the activation of monocytes and macrophages and have an important role in the pathogenesis of HCV infection. This suggests that IL-8- and TNF-α-expressing CD14+ monocyte levels have a certain utility in the evaluation of HCV fibrosis.

IL-10 is a multifunctional negative regulatory cytokine, mainly produced by monocytes and macrophages. IL-10 activates B cells and type 2 T-helper (Th2) cells. CD14+ monocytesexpressingIL-10 regulate immune and other cells and have a pivotal role in various diseases, including autoimmune diseases, severe infections and cancer. In the present study, IL-10-expressing CD14+ monocyte levels were decreased in CHC patients. IL-10 has strong immune suppressive effects and an immune regulatory function. Therefore, it was speculated whether decreased levels of IL-10 expressing CD14+ monocytes are insufficient to inhibit inflammation, thus resulting in fibrosis. Thus, modulation of IL-10 expressing CD14+ monocytes in the early stage of HCV may slow the progression of fibrosis. Aroucha et al (29) indicated a protective role of IL-10 in patients with moderate fibrosis, confirming the present hypothesis that IL-10 has a protective role in HCV infection regarding the progression of hepatic fibrosis. Another study emphasized the protective role of IL-10 used in the treatment of CHC, which decreased the severity of fibrosis in the patients enrolled (30). In another study on animal models, it was demonstrated that the absence of IL-10 was associated with liver fibrosis (31).

The present study also indicated that IL-2- and IFN-γ-expressing CD14+ monocytes were significantly increased in CHC patients as compared to controls, while they declined gradually with the progression of fibrosis. IL-2 and IFN-γ expressing CD14+ monocytes were predominant in CHC patients with no or mild fibrosis. IL-2 and IFN-γ are Th1 cytokines. It was therefore presumed that patients with HCV infection and fibrosis exhibited a distinct immunoregulatory cytokine pattern that was shifted towards the Th2 response.

Liver biopsy has traditionally been considered the gold standard for the evaluation of liver fibrosis. However, the liver biopsy technique is an invasive procedure with a risk of complications (32). Noninvasive biomarkers of liver fibrosis have been proposed and their clinical utilities have been evaluated (33,34). Hence, several noninvasive indexes, including the APRI, FIB-4 and AAR, have been developed, compared and validated as markers of liver fibrosis in patients with chronic liver diseases. In the present study, the serum concentration of sCD163 was consistently higher in patients with significant fibrosis as compared with that in patients with no/mild fibrosis and the AUROC (0.88) was on a par with what was obtained by combined marker algorithms, including liver biopsy, APRI, FIB-4 and AAR. The present results suggested that the sCD163 had the best-performing ROC curve in the diagnosis of moderate and severe fibrosis. FIB-4 was the second-best noninvasive biomarker of liver fibrosis after sCD163. Since blood samples are readily obtainable, it is appealing to search for serum markers that are able to replace liver biopsies or liver stiffness measurements. Soluble CD163 is readily available as a promising parameter for the noninvasive determination of HCV-associated fibrosis.

Taken together, the present results demonstrated that CD14+ monocytes participate in the modulation of fibrosis in patients with CHC. Targeting inflammatory monocytes in CHC patients may not only lead to a decrease in pro-inflammatory cytokine production but also reduce liver fibrosis.

The macrophage-associated marker sCD163 is significantly higher in CHC patients with advanced fibrosis than in those with no/mild liver fibrosis. Furthermore, serum sCD163 correlated with CD163 in liver tissue and its AUROC was higher than that for APRI, AAR, representing a promising novel fibrosis marker for the non-invasive diagnosis of fibrosis in patients with CHC.

In conclusion, serum sCD163 levels are increased in patients with CHC, reflecting hepatic macrophage activation. Increased sCD163 is positively correlated with fibrosis. It may be used to monitor the progression of liver fibrosis in the management of CHC. The levels of CD14+ monocytes and CD163+ macrophages may serve as markers for the disease progression in patients with CHC and pathogenic macrophage targets for specific drug development.

Acknowledgements

Data included in the present study were previously presented as a poster on 11th April 2014 at The International Liver Congress TM 2014, London, United Kingdom (abstract no. P772) and at the 26th Annual Conference of The Asian Pacific Association for the Study of the Liver, February 15-19, 2017, Shanghai, China and published as an abstract no. PP1849 in Hepatol Int 11, 1-1093: 2017.

Funding

This work was funded by the Key Science and Technology Research Project of Health and Family Planning Commission of Hebei Province (grant no. 201601543), the Key Program for Science and Technology Development (grant no. 10276102D) of Hebei Province and the Project of International Cooperation Program (grant no. 2015043571). The funders had no role in the study design, data collection and analysis, decision to publish or preparation of the manuscript.

Availability of data and materials

The datasets used and/or analyzed during the present study are available from the corresponding author on reasonable request.

Authors' contributions

YN designed the study; SZ, LK, YZ NF, QZ, JD, BW, RW and WR performed the experiments; SZ, WL, LK, FH and PC analyzed data; YN, SZ and RW wrote the manuscript. All authors read and approved the final version of the manuscript.

Ethics approval and consent to participate

The study protocol conforms to the ethical guidelines of the 1975 Declaration of Helsinki (6th revision, 2008). The present study was approved by the Ethics Committee of the 3rd Hospital of Hebei Medical University (Shijiazhuang, China; Oct 13th, 2010). All participants provided written informed consent.

Patient consent for publication

Not applicable.

Competing interests

The authors declare that they have no competing interests.

References

1 

European Association for Study of Liver. EASL clinical practice guidelines: Management of hepatitis C virus infection. J Hepatol. 60:392–420. 2014.PubMed/NCBI View Article : Google Scholar

2 

Wang Y, Rao H, Chi X, Li B, Liu H, Wu L, Zhang H, Liu S, Zhou G, Li N, et al: Detection of residual HCV-RNA in patients who have achieved sustained virological response is associated with persistent histological abnormality. EBioMedicine. 46:227–235. 2019.PubMed/NCBI View Article : Google Scholar

3 

Liaskou E, Wilson DV and Oo YH: Innate immune cells in liver inflammation. Mediators Inflamm. 2012(949157)2012.PubMed/NCBI View Article : Google Scholar

4 

Pellicoro A, Ramachandran P, Iredale JP and Fallowfield JA: Liver fibrosis and repair: Immune regulation of wound healing in a solid organ. Nat Rev Immunol. 14:181–194. 2014.PubMed/NCBI View Article : Google Scholar

5 

Pinzani M: Pathophysiology of liver fibrosis. Dig Dis. 33:492–497. 2015.PubMed/NCBI View Article : Google Scholar

6 

Wallace K, Burt AD and Wright MC: Liver fibrosis. Biochem J. 411:1–18. 2008.PubMed/NCBI View Article : Google Scholar

7 

Wynn TA and Barron L: Macrophages: Master regulators of inflammation and fibrosis. Semin Liver Dis. 30:245–257. 2010.PubMed/NCBI View Article : Google Scholar

8 

Saha B, Kodys K and Szabo G: Hepatitis C virus-induced monocyte differentiation into polarized M2 macrophages promotes stellate cell activation via TGF-β. Cell Mol Gastroenterol Hepatol. 2:302–316.e8. 2016.PubMed/NCBI View Article : Google Scholar

9 

Murthy S, Larson-Casey JL, Ryan AJ, He C, Kobzik L and Carter AB: Alternative activation of macrophages and pulmonary fibrosis are modulated by scavenger receptor, macrophage receptor with collagenous structure. FASEB J. 29:3527–3536. 2015.PubMed/NCBI View Article : Google Scholar

10 

Waidmann O, Brunner F, Herrmann E, Zeuzem S, Piiper A and Kronenberger B: Macrophage activation is a prognostic parameter for variceal bleeding and overall survival in patients with liver cirrhosis. J Hepatol. 58:956–961. 2013.PubMed/NCBI View Article : Google Scholar

11 

Liu C, Tao Q, Sun M, Wu JZ, Yang W, Jian P, Peng J, Hu Y, Liu C and Liu P: Kupffer cells are associated with apoptosis, inflammation and fibrotic effects in hepatic fibrosis in rats. Lab Invest. 90:1805–1816. 2010.PubMed/NCBI View Article : Google Scholar

12 

Grønbaek H, Sandahl TD, Mortensen C, Vilstrup H, Møller HJ and Møller S: Soluble CD163, a marker of Kupffer cell activation, is related to portal hypertension in patients with liver cirrhosis. Aliment Pharmacol Ther. 36:173–180. 2012.PubMed/NCBI View Article : Google Scholar

13 

Bedossa P and Poynard T: An algorithm for the grading of activity in chronic hepatitis C: The METAVIR Cooperative Study Group. Hepatology. 24:289–293. 1996.PubMed/NCBI View Article : Google Scholar

14 

Wai CT, Greenson JK, Fontana RJ, Kalbfleisch JD, Marrero JA, Conjeevaram HS and Lok AS: A simple noninvasive index can predict both significant fibrosis and cirrhosis in patients with chronic hepatitis C. Hepatology. 38:518–526. 2003.PubMed/NCBI View Article : Google Scholar

15 

Sterling RK, Lissen E, Clumeck N, Sola R, Correa MC, Montaner J, S Sulkowski M, Torriani FJ, Dieterich DT, Thomas DL, et al: Development of a simple noninvasive index to predict significant fibrosis in patients with HIV/HCV coinfection. Hepatology. 43:1317–1325. 2006.PubMed/NCBI View Article : Google Scholar

16 

Iwata Y, Enomoto H, Sakai Y, Aizawa N, Tanaka H, Ikeda N, Takashima T, Ishii A, Hasegawa K, Yuri Y, et al: Elevation of the AST to ALT ratio in association with the severity of esophageal varices in patients with HCV-related compensated liver cirrhosis. Hepatogastroenterology. 60:149–152. 2013.PubMed/NCBI View Article : Google Scholar

17 

Wan J, Benkdane M, Teixeira-Clerc F, Bonnafous S, Louvet A, Lafdil F, Pecker F, Tran A, Gual P, Mallat A, et al: M2 Kupffer cells promote M1 Kupffer cell apoptosis: A protective mechanism against alcoholic and nonalcoholic fatty liver disease. Hepatology. 59:130–142. 2014.PubMed/NCBI View Article : Google Scholar

18 

Xu D, Fu J, Jin L, Zhang H, Zhou C, Zou Z, Zhao JM, Zhang B, Shi M, Ding X, et al: Circulating and liver resident CD4+CD25+ regulatory T cells actively influence the antiviral immune response and disease progression in patients with hepatitis B. J Immunol. 177:739–747. 2006.PubMed/NCBI View Article : Google Scholar

19 

Ziegler-Heitbrock L: The CD14+ CD16+ blood monocytes: Their role in infection and inflammation. J Leukoc Biol. 81:584–592. 2007.PubMed/NCBI View Article : Google Scholar

20 

Beljaars L, Schippers M, Reker-Smit C, Martinez FO, Helming L, Poelstra K and Melgert BN: Hepatic localization of macrophage phenotypes during fibrogenesis and resolution of fibrosis in mice and humans. Front Immunol. 5(430)2014.PubMed/NCBI View Article : Google Scholar

21 

Kuniholm MH, Hanna DB, Landay AL, Kaplan RC and Ley K: Soluble CD163 is associated with noninvasive measures of liver fibrosis in hepatitis C virus- and hepatitis C virus/human immunodeficiency virus-infected women. Hepatology. 61:734–735. 2015.PubMed/NCBI View Article : Google Scholar

22 

Lidofsky A, Holmes JA, Feeney ER, Kruger AJ, Salloum S, Zheng H, Seguin IS, Altinbas A, Masia R, Corey KE, et al: Macrophage activation marker soluble CD163 is a dynamic marker of liver fibrogenesis in human immunodeficiency virus/hepatitis C virus coinfection. J Infect Dis. 218:1394–1403. 2018.PubMed/NCBI View Article : Google Scholar

23 

Lidofsky A, Holmes JA, Feeney ER, Kruger AJ, Salloum S, Zheng H, Seguin IS, Altinbas A, Masia R, Corey KE, et al: Macrophage Activation Marker Soluble CD163 Is a Dynamic Marker of Liver Fibrogenesis in Human Immunodeficiency Virus/Hepatitis C Virus Coinfection. J Infect Dis. 218:1394–1403. 2018.PubMed/NCBI View Article : Google Scholar

24 

Lee J, French B, Morgan T and French SW: The liver is populated by a broad spectrum of markers for macrophages. In alcoholic hepatitis the macrophages are M1 and M2. Exp Mol Pathol. 96:118–125. 2014.PubMed/NCBI View Article : Google Scholar

25 

Melino M, Gadd VL, Walker GV, Skoien R, Barrie HD, Jothimani D, Horsfall L, Jones A, Sweet MJ, Thomas GP, et al: Macrophage secretory products induce an inflammatory phenotype in hepatocytes. World J Gastroenterol. 18:1732–1744. 2012.PubMed/NCBI View Article : Google Scholar

26 

Kazankov K, Barrera F, Møller HJ, Bibby BM, Vilstrup H, George J and Grønbaek H: Soluble CD163, a macrophage activation marker, is independently associated with fibrosis in patients with chronic viral hepatitis B and C. Hepatology. 60:521–530. 2014.PubMed/NCBI View Article : Google Scholar

27 

Hiraoka A, Horiike N, Akbar SM, Michitaka K, Matsuyama T and Onji M: Soluble CD163 in patients with liver diseases: Very high levels of soluble CD163 in patients with fulminant hepatic failure. J Gastroenterol. 40:52–56. 2005.PubMed/NCBI View Article : Google Scholar

28 

Holland-Fischer P, Grønbæk H, Sandahl TD, Moestrup SK, Riggio O, Ridola L, Aagaard NK, Møller HJ and Vilstrup H: Kupffer cells are activated in cirrhotic portal hypertension and not normalised by TIPS. Gut. 60:1389–1393. 2011.PubMed/NCBI View Article : Google Scholar

29 

Aroucha DC, do Carmo RF, Moura P, Silva JL, Vasconcelos LR, Cavalcanti MS, Muniz MT, Aroucha ML, Siqueira ER, Cahú GG, et al: High tumor necrosis factor-α/interleukin-10 ratio is associated with hepatocellular carcinoma in patients with chronic hepatitis C. Cytokine. 62:421–425. 2013.PubMed/NCBI View Article : Google Scholar

30 

Nelson DR, Lauwers GY, Lau JY and Davis GL: Interleukin 10 treatment reduces fibrosis in patients with chronic hepatitis C: A pilot trial of interferon nonresponders. Gastroenterology. 118:655–660. 2000.PubMed/NCBI View Article : Google Scholar

31 

Thompson K, Maltby J, Fallowfield J, McAulay M, Millward-Sadler H and Sheron N: Interleukin-10 expression and function in experimental murine liver inflammation and fibrosis. Hepatology. 28:1597–1606. 1998.PubMed/NCBI View Article : Google Scholar

32 

Van Thiel DH, Gavaler JS, Wright H and Tzakis A: Liver biopsy. Its safety and complications as seen at a liver transplant center. Transplantation. 55:1087–1090. 1993.PubMed/NCBI View Article : Google Scholar

33 

Castera L: Noninvasive methods to assess liver disease in patients with hepatitis B or C. Gastroenterology. 142:1293–1302.e4. 2012.PubMed/NCBI View Article : Google Scholar

34 

Adams LA: Biomarkers of liver fibrosis. J Gastroenterol Hepatol. 26:802–809. 2011.PubMed/NCBI View Article : Google Scholar

Related Articles

  • Abstract
  • View
  • Download
  • Twitter
Copy and paste a formatted citation
Spandidos Publications style
Zhao S, Li W, Fu N, Kong L, Zhang Q, Han F, Ren W, Cui P, Du J, Wang B, Wang B, et al: CD14<sup>+</sup> monocytes and CD163<sup>+</sup> macrophages correlate with the severity of liver fibrosis in patients with chronic hepatitis C. Exp Ther Med 20: 228, 2020.
APA
Zhao, S., Li, W., Fu, N., Kong, L., Zhang, Q., Han, F. ... Nan, Y. (2020). CD14<sup>+</sup> monocytes and CD163<sup>+</sup> macrophages correlate with the severity of liver fibrosis in patients with chronic hepatitis C. Experimental and Therapeutic Medicine, 20, 228. https://doi.org/10.3892/etm.2020.9358
MLA
Zhao, S., Li, W., Fu, N., Kong, L., Zhang, Q., Han, F., Ren, W., Cui, P., Du, J., Wang, B., Zhang, Y., Wang, R., Kong, L., Nan, Y."CD14<sup>+</sup> monocytes and CD163<sup>+</sup> macrophages correlate with the severity of liver fibrosis in patients with chronic hepatitis C". Experimental and Therapeutic Medicine 20.6 (2020): 228.
Chicago
Zhao, S., Li, W., Fu, N., Kong, L., Zhang, Q., Han, F., Ren, W., Cui, P., Du, J., Wang, B., Zhang, Y., Wang, R., Kong, L., Nan, Y."CD14<sup>+</sup> monocytes and CD163<sup>+</sup> macrophages correlate with the severity of liver fibrosis in patients with chronic hepatitis C". Experimental and Therapeutic Medicine 20, no. 6 (2020): 228. https://doi.org/10.3892/etm.2020.9358
Copy and paste a formatted citation
x
Spandidos Publications style
Zhao S, Li W, Fu N, Kong L, Zhang Q, Han F, Ren W, Cui P, Du J, Wang B, Wang B, et al: CD14<sup>+</sup> monocytes and CD163<sup>+</sup> macrophages correlate with the severity of liver fibrosis in patients with chronic hepatitis C. Exp Ther Med 20: 228, 2020.
APA
Zhao, S., Li, W., Fu, N., Kong, L., Zhang, Q., Han, F. ... Nan, Y. (2020). CD14<sup>+</sup> monocytes and CD163<sup>+</sup> macrophages correlate with the severity of liver fibrosis in patients with chronic hepatitis C. Experimental and Therapeutic Medicine, 20, 228. https://doi.org/10.3892/etm.2020.9358
MLA
Zhao, S., Li, W., Fu, N., Kong, L., Zhang, Q., Han, F., Ren, W., Cui, P., Du, J., Wang, B., Zhang, Y., Wang, R., Kong, L., Nan, Y."CD14<sup>+</sup> monocytes and CD163<sup>+</sup> macrophages correlate with the severity of liver fibrosis in patients with chronic hepatitis C". Experimental and Therapeutic Medicine 20.6 (2020): 228.
Chicago
Zhao, S., Li, W., Fu, N., Kong, L., Zhang, Q., Han, F., Ren, W., Cui, P., Du, J., Wang, B., Zhang, Y., Wang, R., Kong, L., Nan, Y."CD14<sup>+</sup> monocytes and CD163<sup>+</sup> macrophages correlate with the severity of liver fibrosis in patients with chronic hepatitis C". Experimental and Therapeutic Medicine 20, no. 6 (2020): 228. https://doi.org/10.3892/etm.2020.9358
Follow us
  • Twitter
  • LinkedIn
  • Facebook
About
  • Spandidos Publications
  • Careers
  • Cookie Policy
  • Privacy Policy
How can we help?
  • Help
  • Live Chat
  • Contact
  • Email to our Support Team