Spandidos Publications Logo
  • About
    • About Spandidos
    • Aims and Scopes
    • Abstracting and Indexing
    • Editorial Policies
    • Reprints and Permissions
    • Job Opportunities
    • Terms and Conditions
    • Contact
  • Journals
    • All Journals
    • Oncology Letters
      • Oncology Letters
      • Information for Authors
      • Editorial Policies
      • Editorial Board
      • Aims and Scope
      • Abstracting and Indexing
      • Bibliographic Information
      • Archive
    • International Journal of Oncology
      • International Journal of Oncology
      • Information for Authors
      • Editorial Policies
      • Editorial Board
      • Aims and Scope
      • Abstracting and Indexing
      • Bibliographic Information
      • Archive
    • Molecular and Clinical Oncology
      • Molecular and Clinical Oncology
      • Information for Authors
      • Editorial Policies
      • Editorial Board
      • Aims and Scope
      • Abstracting and Indexing
      • Bibliographic Information
      • Archive
    • Experimental and Therapeutic Medicine
      • Experimental and Therapeutic Medicine
      • Information for Authors
      • Editorial Policies
      • Editorial Board
      • Aims and Scope
      • Abstracting and Indexing
      • Bibliographic Information
      • Archive
    • International Journal of Molecular Medicine
      • International Journal of Molecular Medicine
      • Information for Authors
      • Editorial Policies
      • Editorial Board
      • Aims and Scope
      • Abstracting and Indexing
      • Bibliographic Information
      • Archive
    • Biomedical Reports
      • Biomedical Reports
      • Information for Authors
      • Editorial Policies
      • Editorial Board
      • Aims and Scope
      • Abstracting and Indexing
      • Bibliographic Information
      • Archive
    • Oncology Reports
      • Oncology Reports
      • Information for Authors
      • Editorial Policies
      • Editorial Board
      • Aims and Scope
      • Abstracting and Indexing
      • Bibliographic Information
      • Archive
    • Molecular Medicine Reports
      • Molecular Medicine Reports
      • Information for Authors
      • Editorial Policies
      • Editorial Board
      • Aims and Scope
      • Abstracting and Indexing
      • Bibliographic Information
      • Archive
    • World Academy of Sciences Journal
      • World Academy of Sciences Journal
      • Information for Authors
      • Editorial Policies
      • Editorial Board
      • Aims and Scope
      • Abstracting and Indexing
      • Bibliographic Information
      • Archive
    • International Journal of Functional Nutrition
      • International Journal of Functional Nutrition
      • Information for Authors
      • Editorial Policies
      • Editorial Board
      • Aims and Scope
      • Abstracting and Indexing
      • Bibliographic Information
      • Archive
    • International Journal of Epigenetics
      • International Journal of Epigenetics
      • Information for Authors
      • Editorial Policies
      • Editorial Board
      • Aims and Scope
      • Abstracting and Indexing
      • Bibliographic Information
      • Archive
    • Medicine International
      • Medicine International
      • Information for Authors
      • Editorial Policies
      • Editorial Board
      • Aims and Scope
      • Abstracting and Indexing
      • Bibliographic Information
      • Archive
  • Articles
  • Information
    • Information for Authors
    • Information for Reviewers
    • Information for Librarians
    • Information for Advertisers
    • Conferences
  • Language Editing
Spandidos Publications Logo
  • About
    • About Spandidos
    • Aims and Scopes
    • Abstracting and Indexing
    • Editorial Policies
    • Reprints and Permissions
    • Job Opportunities
    • Terms and Conditions
    • Contact
  • Journals
    • All Journals
    • Biomedical Reports
      • Information for Authors
      • Editorial Policies
      • Editorial Board
      • Aims and Scope
      • Abstracting and Indexing
      • Bibliographic Information
      • Archive
    • Experimental and Therapeutic Medicine
      • Information for Authors
      • Editorial Policies
      • Editorial Board
      • Aims and Scope
      • Abstracting and Indexing
      • Bibliographic Information
      • Archive
    • International Journal of Epigenetics
      • Information for Authors
      • Editorial Policies
      • Editorial Board
      • Aims and Scope
      • Abstracting and Indexing
      • Bibliographic Information
      • Archive
    • International Journal of Functional Nutrition
      • Information for Authors
      • Editorial Policies
      • Editorial Board
      • Aims and Scope
      • Abstracting and Indexing
      • Bibliographic Information
      • Archive
    • International Journal of Molecular Medicine
      • Information for Authors
      • Editorial Policies
      • Editorial Board
      • Aims and Scope
      • Abstracting and Indexing
      • Bibliographic Information
      • Archive
    • International Journal of Oncology
      • Information for Authors
      • Editorial Policies
      • Editorial Board
      • Aims and Scope
      • Abstracting and Indexing
      • Bibliographic Information
      • Archive
    • Medicine International
      • Information for Authors
      • Editorial Policies
      • Editorial Board
      • Aims and Scope
      • Abstracting and Indexing
      • Bibliographic Information
      • Archive
    • Molecular and Clinical Oncology
      • Information for Authors
      • Editorial Policies
      • Editorial Board
      • Aims and Scope
      • Abstracting and Indexing
      • Bibliographic Information
      • Archive
    • Molecular Medicine Reports
      • Information for Authors
      • Editorial Policies
      • Editorial Board
      • Aims and Scope
      • Abstracting and Indexing
      • Bibliographic Information
      • Archive
    • Oncology Letters
      • Information for Authors
      • Editorial Policies
      • Editorial Board
      • Aims and Scope
      • Abstracting and Indexing
      • Bibliographic Information
      • Archive
    • Oncology Reports
      • Information for Authors
      • Editorial Policies
      • Editorial Board
      • Aims and Scope
      • Abstracting and Indexing
      • Bibliographic Information
      • Archive
    • World Academy of Sciences Journal
      • Information for Authors
      • Editorial Policies
      • Editorial Board
      • Aims and Scope
      • Abstracting and Indexing
      • Bibliographic Information
      • Archive
  • Articles
  • Information
    • For Authors
    • For Reviewers
    • For Librarians
    • For Advertisers
    • Conferences
  • Language Editing
Login Register Submit
  • This site uses cookies
  • You can change your cookie settings at any time by following the instructions in our Cookie Policy. To find out more, you may read our Privacy Policy.

    I agree
Search articles by DOI, keyword, author or affiliation
Search
Advanced Search
presentation
Experimental and Therapeutic Medicine
Join Editorial Board Propose a Special Issue
Print ISSN: 1792-0981 Online ISSN: 1792-1015
Journal Cover
July-2021 Volume 22 Issue 1

Full Size Image

Sign up for eToc alerts
Recommend to Library

Journals

International Journal of Molecular Medicine

International Journal of Molecular Medicine

International Journal of Molecular Medicine is an international journal devoted to molecular mechanisms of human disease.

International Journal of Oncology

International Journal of Oncology

International Journal of Oncology is an international journal devoted to oncology research and cancer treatment.

Molecular Medicine Reports

Molecular Medicine Reports

Covers molecular medicine topics such as pharmacology, pathology, genetics, neuroscience, infectious diseases, molecular cardiology, and molecular surgery.

Oncology Reports

Oncology Reports

Oncology Reports is an international journal devoted to fundamental and applied research in Oncology.

Experimental and Therapeutic Medicine

Experimental and Therapeutic Medicine

Experimental and Therapeutic Medicine is an international journal devoted to laboratory and clinical medicine.

Oncology Letters

Oncology Letters

Oncology Letters is an international journal devoted to Experimental and Clinical Oncology.

Biomedical Reports

Biomedical Reports

Explores a wide range of biological and medical fields, including pharmacology, genetics, microbiology, neuroscience, and molecular cardiology.

Molecular and Clinical Oncology

Molecular and Clinical Oncology

International journal addressing all aspects of oncology research, from tumorigenesis and oncogenes to chemotherapy and metastasis.

World Academy of Sciences Journal

World Academy of Sciences Journal

Multidisciplinary open-access journal spanning biochemistry, genetics, neuroscience, environmental health, and synthetic biology.

International Journal of Functional Nutrition

International Journal of Functional Nutrition

Open-access journal combining biochemistry, pharmacology, immunology, and genetics to advance health through functional nutrition.

International Journal of Epigenetics

International Journal of Epigenetics

Publishes open-access research on using epigenetics to advance understanding and treatment of human disease.

Medicine International

Medicine International

An International Open Access Journal Devoted to General Medicine.

Journal Cover
July-2021 Volume 22 Issue 1

Full Size Image

Sign up for eToc alerts
Recommend to Library

  • Article
  • Citations
    • Cite This Article
    • Download Citation
    • Create Citation Alert
    • Remove Citation Alert
    • Cited By
  • Similar Articles
    • Related Articles (in Spandidos Publications)
    • Similar Articles (Google Scholar)
    • Similar Articles (PubMed)
  • Download PDF
  • Download XML
  • View XML
Article Open Access

Characteristics of the intestinal microbiome in ankylosing spondylitis

  • Authors:
    • Anca Cardoneanu
    • Sebastian Cozma
    • Ciprian Rezus
    • Florin Petrariu
    • Alexandra Maria Burlui
    • Elena Rezus
  • View Affiliations / Copyright

    Affiliations: Department of Rheumatology and Physiotherapy, Grigore T Popa University of Medicine and Pharmacy, Faculty of Medicine, 700115 Iasi, Romania, Department of Surgery (II), Grigore T Popa University of Medicine and Pharmacy, Faculty of Medicine, 700115 Iasi, Romania, Department of Internal Medicine, Grigore T Popa University of Medicine and Pharmacy, Faculty of Medicine, 700115 Iasi, Romania, Department of Preventive Medicine and Interdisciplinarity, Grigore T Popa University of Medicine and Pharmacy, Faculty of Medicine, 700115 Iasi, Romania
    Copyright: © Cardoneanu et al. This is an open access article distributed under the terms of Creative Commons Attribution License.
  • Article Number: 676
    |
    Published online on: April 24, 2021
       https://doi.org/10.3892/etm.2021.10108
  • Expand metrics +
Metrics: Total Views: 0 (Spandidos Publications: | PMC Statistics: )
Metrics: Total PDF Downloads: 0 (Spandidos Publications: | PMC Statistics: )
Cited By (CrossRef): 0 citations Loading Articles...

This article is mentioned in:


Abstract

The importance of intestinal microbiota in the development of various systemic diseases has been highlighted over time. Ankylosing spondylitis (AS) is a systemic disease with a complex pathogenesis involving a particular genetic marker and distinctive environmental triggers such as a specific gut dysbiosis. We conducted a prospective case‑control study which included 60 subjects from Iasi Rehabilitation Hospital: 28 AS cases and 32 healthy controls. Intestinal microbiota analysis was performed by real‑time polymerase chain reaction (qPCR) in stool samples. We performed the quantitative analysis of gut microbiome, focusing both on anti‑inflammatory (Bifidobacterium, Lactobacillus, Faecalibacterium prausnitzii) and pro‑inflammatory (Bacteroides, Escherichia coli) species. Overall, intestinal bacterial diversity in the AS group was decreased compared to that noted in the control. A significantly decreased level of Clostridium leptum was observed, associated with an increased level of Escherichia coli. We showed correlations between laboratory tests (liver and kidney functional tests, inflammatory syndrome), the presence of HLA‑B27, smoker status, the forms of AS with peripheral arthritis vs. pure axial forms and bacterial structures. No significant correlations were shown for disease activity scores, radiological stage of sacroiliitis or for body mass index. Our findings support that the intestinal microbiome in AS patients has a special signature characterized by an inflammatory status. Numerous environmental, genetical, clinical and paraclinical factors can lead to changes in gut bacterial diversity in these cases.

Introduction

Ankylosing spondylitis (AS) is a chronic immune-mediated disease from the larger group of spondyloarthritis (SpA) characterized mainly by axial damage (1). The pathogenesis of AS includes the presence of a particular genetic marker, human leukocyte antigen (HLA)-B27, that interacts with environmental factors capable of initiating development of the disease (2-4). Many clinical studies based on animal models have attempted to explain the complex pathogenesis of AS, but to date, the pathogenic mechanism of the disease remains partially unknown (5,6).

AS can be considered a systemic condition, presenting both musculoskeletal (axial and peripheral involvement) and extraarticular manifestations, the most common being ocular, digestive, cardiovascular and pulmonary ones. The close link between the gut and SpA is well known; inflammatory bowel disease (IBD) and AS having etiopathogenic similarities and being considered distinct phenotypes of the same immuno-mediated disease (7,8). A high percentage, up to 70%, of patients with AS have subclinical intestinal inflammation and up to 10% of them will develop a clinically manifested IBD (9,10).

The importance of the intestinal microbiota in the development of various systemic diseases has been highlighted over time. It has been shown that under germ-free conditions, HLA-B27/β2-microglobulin-transgenic rats do not present any manifestation of the disease; by introducing commensal intestinal bacteria in this sterile environment, the development of both intestinal and joint inflammation was observed (11). Furthermore, in this rat model there was evidence of an impaired mucosal immunity (12) and a specific intestinal dysbiosis characterized by decreased species of Rikenellaceae and increased Prevotella species (13).

A recently published article attempts to explain the role of intestinal microbiota in the development of AS based on a literature review (14). Thus, in the first place, is the interaction between the antigen HLA-B27 and the intestinal bacterial structures that can lead to a misfolding of HLA-B27 and to an unfolded protein response of the endoplasmic reticulum (14,15). This unfolded response is responsible for the induction of pro-inflammatory proteins (16) as well as for the phenomenon of autophagy (17). Moreover, there is a molecular mimicry between bacterial peptides presented by HLA-B27 and various self-peptides which may induce cross-immune responses (14,18).

On the other hand, changes were observed in the intestinal mucosa characterized by an increased intestinal permeability (14,19,20), by an increased secretion of A immunoglobulins (IgA) (21) and proinflammatory cytokines mediated by the activation of Th17 lymphocytes (22-25).

Taking all this into consideration, our study aimed to analyze intestinal dysbiosis in patients with AS in terms of composition, highlighting the correlations with different demographic, clinical and paraclinical features.

Patients and methods

We conducted a prospective, case-control study in Northeastern Romania which included 60 subjects. The enrolled cases were distributed as follows: 28 cases in the AS group and 32 healthy controls. The individuals included in the study were enrolled at the 1st Rheumatology Clinic of the Rehabilitation Hospital Iasi from April 2016 to March 2017. All the included cases expressed their informed consent to participate in the study. Approval was obtained from the Ethics Committees of the Grigore T Popa University of Medicine and Pharmacy and Rehabilitation Hospital Iasi from which the cases were selected.

The inclusion criteria were: Age over 18 years; signed consent by the participant to be included in the study; definite diagnosis of AS. Patients diagnosed with AS met the 1984 modified New York Diagnostic Criteria (26). All subjects included in the analysis completed a food questionnaire regarding the food components on which their diet was based during the last month. The selected group of patients with AS was as homogeneous as possible in terms of diet, excluding cases in which probiotic medication were prescribed.

Exclusion criteria consisted of: Patient refusal to participate in this study, uncertain diagnosis of AS, serious infections in the last 3 months (tuberculosis, Clostridium difficile), colorectal cancer, antibiotic therapy during the last 3 months.

For each case, a monitoring form was completed which included demographic data [name, age, area of origin, ethnicity, occupation, smoking status, body mass index (BMI)], year of diagnosis, family and personal pathological history, and current treatment. The group of patients with AS was divided in two clinical subgroups representing a pure axial form and a form associated with peripheral manifestations. For evaluating disease activity, the BASDAI (Bath Ankylosing Spondylitis Disease Activity Index) and BASFI (Bath Ankylosing Spondylitis Functional Index) scores were used (1,22).

Intestinal microbiota analysis was performed by real-time polymerase chain reaction (qPCR) in stool samples. From each case included in the study, 20 g of feces was obtained. The stool samples were transported (within a maximum of 4 h from sampling) to the microbiology laboratory and were frozen at a temperature of -80˚C for one week maximum until deoxyribonucleic acid (DNA) extraction.

DNA extraction from fecal samples

For DNA extraction from feces, the GenElute™ Stool DNA Isolation Kit (Sigma Aldrich; Merck KGaA) was used. DNA extraction included the following steps: i) From the 20 g of feces collected from patients, 200 mg was isolated and added to a special extraction tube (Bead Tube) along with 1 ml of Lysis Buffer L; ii) 100 µl of another special lysis solution (Lysis Additive A) was added; iii) mixed for 3 min, then centrifuged for 2 min at 14,000 rpm; iv) from the obtained supernatant, 600 µl was transferred to another DNA tube (DNAase-free microcentrifuge tube) over which 100 µl of Binding Buffer I was added and the mixture was incubated for 10 min on ice, then centrifuged for 2 min; v) from the newly obtained supernatant, 700 µl was separated in a 2-ml tube (DNAase-free microcentrifuge tube) over which 700 µl of ethanol was added and centrifuged; vi) from the ethanol clarification supernatant, 600 µl was separated, introduced into a specific DNA binding tube and centrifuged for 1 min at 6,000 rpm; vii) the DNA-binding column was mixed with 500 µl of wash buffer (SK buffer) and centrifuged for 1 min; viii) the washed DNA binding column was introduced into an Elution tube and 50 µl of Elution Buffer (E) was added, centrifuged for 2 min at 2,000 rpm, and then 1 min at 14,000 rpm.

After DNA extraction from the feces, DNA quantity and purity were checked using a NanoDrop spectrophotometer. The purity of the samples was checked using 2 wavelengths: OD 260/280nm, respectively OD 260/230nm. The entire phase which consisted in the extraction of pure DNA from feces was carried out in the microbiology laboratory under the Thermo DNA extraction hood.

qPCR

Through this study, we tried to highlight the characteristics of different populations of the gut microbiota: Certain genera, species and possibly a phylum. The qPCR reaction targeted different populations of the microbiota: Total bacteria, Bacteroides, Bifidobacterium, Clostridium coccoides (XIVa) (C. Coccoides), Clostridium leptum (IV) (C. Leptum), Faecalibacterium prausnitzii (F. Prausnitzii), Lactobacillus, Escherichia coli (E. Coli) and β-globin gene used as an internal control. The primer structures were taken from an article published by Wang et al (27) and verified using OligoAnalyzer 3.1 (https://eu.idtdna.com). In addiion, the primer annealing temperature was checked. Table I shows the primer structures and the annealing temperatures.

Table I

Bacterial-specific 16S rRNA primers and the annealing temperatures.

Table I

Bacterial-specific 16S rRNA primers and the annealing temperatures.

Bacterial speciesPrimer directionSequence (5' to 3')Annealing temp. (˚C)
All bacteriaF ACTCCTACGGGAGGCAGCAGT61
 R GTATTACCGCGGCTGCTGGCAC 
BacteroidesF GTCAGTTGTGAAAGTTTGC61.5
 R CAATCGGGAGTTCTTCGTG 
BifidobacteriumF AGGGTTCGATTCTGCTCAG62
 R CATCCGGCATTACCACCC 
C. coccoides (XIVa)F AAATGACGGTACCTGACTAA60.7
 R CTTTGAGTTTCATTCTTGCGAA 
C. leptum (IV)F GTTGACAAAACGGAGGAAGG60
 R GACGGGCGGTGTGTACAA 
F. prausnitziiF AGATGGCCTCGCGTCCGA61.5
 R CCGAAGACCTTCTTCCTCC 
LactobacillusF GCAGCAGTAGGGAATCTTCCA61.5
 R GCATTYCACCGCTACACATG 
E. coliF GTTAATACCTTTGCTCATTGA61
 R ACCAGGGTATCTAATCCTGTT 
β-globinF CAACTTCATCCACGTTCACC-
 R GAAGAGCCAAGGACAGGTAC 

[i] F, forward; R, reverse.

The qPCR reaction was performed using SYBR Green intercalary fluorochromes method that only bind to double-stranded DNA molecules and included the following steps: i) The amplification reaction was carried out at a final volume of 25 µl containing: 9.8 µl SYBR Mix, 0.5 µl of each primer at a final concentration of 0.2 µM, 0.5 µl fluorochrome ROX (5-carboxy-X-rhodamine), 5 µl of bacterial DNA and ultra-pure water to a volume of 20 µl (9.8 µl); ii) 1 cycle at 95˚C for 10 min; iii) 40 cycles at 95˚C for 10 sec; iv) 30 sec at normalization temperature; and v) 30 sec at 72˚C, the annealing temperature.

In order to reduce the quantitative error of detected bacteria and to characterize changes in bacterial copies, abundance of 16S rRNA gene was calculated from standard curves. Specific bacterial groups are expressed as a percentage of total bacteria determined by universal primers. The standard curve was constructed from decimal dilutions of the 16S rRNA amplicon using reference strains for each bacterial target. Based on this standard curve, all sample amplification was performed (Fig. 1A). The dissociation and amplification curves confirmed that DNA amplification occurred specifically (Fig. 1B-D).

Figure 1

(A) Standard curve of the amplification (triplicates). (B) Dissociation curve. (C) Amplification curve for E. coli. (D) Amplification curve for Bacteroides.

Following extraction, pure DNA was obtained by spectrophotometer analysis (OD 260/280 nm, OD 260/230 nm). Data on DNA concentration, quantity and purity are documented in Table II.

Table II

Concentration, quantity and purity of the extracted DNA.

Table II

Concentration, quantity and purity of the extracted DNA.

 95% CI
DNACasesNMedianStandard deviationMinMax
Concentration (ng/µl)AS2848.6124.8138.9858.23
 Control3236.8626.3427.3646.36
Quantity (µg)AS282.911.482.333.49
 Control322.211.581.642.78
Purity 260/280 nmAS281.970.0831.942.008
 Control322.030.171.962.09
Purity 260/230 nmAS280.480.350.340.62
 Control320.440.330.320.56

[i] AS, ankylosing spondylitis; DNA, deoxyribonucleic acid; CI, confidence interval.

Statistical analysis

The obtained data were centralized in the SPSS 22.0 database (IBM Corp.). Statistical analysis used both descriptive and analytical methods at 95% significance (CI 95% CI). The statistical tests used included ANOVA and Chi-square tests, linear regression, and odds ratio. For comparisons between groups having a non-linear distribution, Mann-Whitney U test and Kruskal-Wallis method were used. A P-value less than 0.05 (P<0.05) was considered statistically significant.

Results

Characteristics of the study group

The demographic, clinical and paraclinical characteristics of the cases included in this study are presented in Table III. The compared groups were homogeneous in terms of area of origin, smoking, social status and BMI. We observed a higher percentage of male sex and a younger age in the AS group. All cases were overweight.

Table III

Demographic characteristics of the AS and control groups.

Table III

Demographic characteristics of the AS and control groups.

CharacteristicSubcategoryAS (n=28)Control (n=32)
Sex, n (%)Female11 (39.3)20 (62.5)
 Male17 (60.7)12 (37.5)
Age, yearsMean (SD)52.1 (13.6)61.5(10)
 Range46-5757-65
Area of origin, n (%)Urban20 (71.4)16(50)
 Rural8 (28.6)16(50)
Smoking status, n (%)Smokers10 (35.7)12 (37.5)
 Ex-smokers2 (7.1)6 (18.7)
 Non-smokers16 (57.2)14 (43.8)
BMI (kg/m2)Mean (SD)28.08 (5.2)26.9 (3.7)
 Range26.04-30.125.6-28.3
Form of disease (n,%)Axial17 (60.7)NA
 Peripheral11 (39.3)NA
BASDAIMean4.83NA
 CI 95%3.87-5.79NA
BASFIMean9.11NA
 CI 95%4.44-13.78NA
Hemoglobin (g/dl)Mean (SD)13.01 (0.9)13.5 (1.6)
 Range12.6-13.312.9-14.1
Iron (µg/dl)Mean (SD)93.8 (31.1)77.7 (22.6)
 Range81.7-105.869.6-85.9
Leukocytes (/mm3x103)Mean (SD)7.1 (1.8)6.5 (1.03)
 Range6.4-7.86.1-6.8
Thrombocytes (/mm3x103)Mean (SD)293.6 (75.6)250.1 (35.5)
 Range264.2-322.9237.2-262.9
ESR (mm/h)Mean (SD)23.4 (12.7)16.4 (10.5)
 Range18.5-28.312.6-20.2
CRP (mg/dl)Mean (SD)0.9 (1.3)0.8 (0.9)
 Range0.4-1.40.4-1.1
AST (IU/l)Mean (SD)28.6 (16.4)24.3 (15.9)
 Range22.2-35.0718.5-30.05
ALT (IU/l)Mean (SD)24.9 (12.3)27.5 (15.8)
 Range20.1-29.721.8-33.2
GGT (U/l)Mean (SD)42.9 (23.7)32.8 (19.01)
 Range33.7-52.126.02-39.7
Total serum proteins (g/dl)Mean (SD)7.2 (0.4)7.2 (0.4)
 Range7.07-7.47.06-7.4
Creatinine (mg/dl)Mean (SD)0.9 (0.2)0.9 (0.1)
 Range0.8-10.8-0.9

[i] AS, ankylosing spondylitis; SD, standard deviation; BMI, body mass index; ESR, erythrocyte sedimentation rate; CRP, C reactive protein; AST, aspartate transaminase; ALT, alanine transaminase; GGT, γ-glutamyltransferase; NA, non-applicable; CI, confidence interval; BASDAI, Bath Ankylosing Spondylitis Disease Activity Index; BASFI, Bath Ankylosing Spondylitis Functional Index.

Characteristics of the intestinal dysbiosis in the study groups

The microbiota analysis was performed for each of the two groups, being calculated quantitatively. The data in Table IV show the quantitative results expressed logarithmically.

Table IV

Quantitative characteristics of the microbial populations analyzed in the AS and control groups.

Table IV

Quantitative characteristics of the microbial populations analyzed in the AS and control groups.

 95% CI
Bacterial populationStudy groupMeanStandard deviationMinMax
All bacteriaAS2.18E+102.27E+101.3E+103.06E+10
 Control4.13E+103.77E+102.77E+105.49E+10
BacteroidesAS3.57E+094.37E+091.88E+095.26E+09
 Control7.5E+096.96E+094.99E+091.00E+10
C. coccoidesAS5.13E+095.47E+093.01E+097.25E+09
 Control1.28E+101.49E+107.44E+091.82E+10
C. leptumAS2.72E+092.57E+091.72E+093.72E+09
 Control9.64E+091.19E+105.36E+091.39E+10
F. prausnitziiAS2.16E+092.73E+091.1E+093.22E+09
 Control5.51E+095.13E+093.66E+097.36E+09
BifidobacteriumAS3.72E+083.93E+082.2E+085.25E+08
 Control4.25E+083.11E+083.13E+085.38E+08
LactobacillusAS5.21E+085.63E+083.02E+087.39E+08
 Control8.07E+087.72E+085.29E+081.09E+09
E. coliAS1.06E+091.09E+096.41E+081.48E+09
 Control8.72E+089.43E+085.32E+081.21E+09

[i] CI, confidence interval; AS, ankylosing spondylitis.

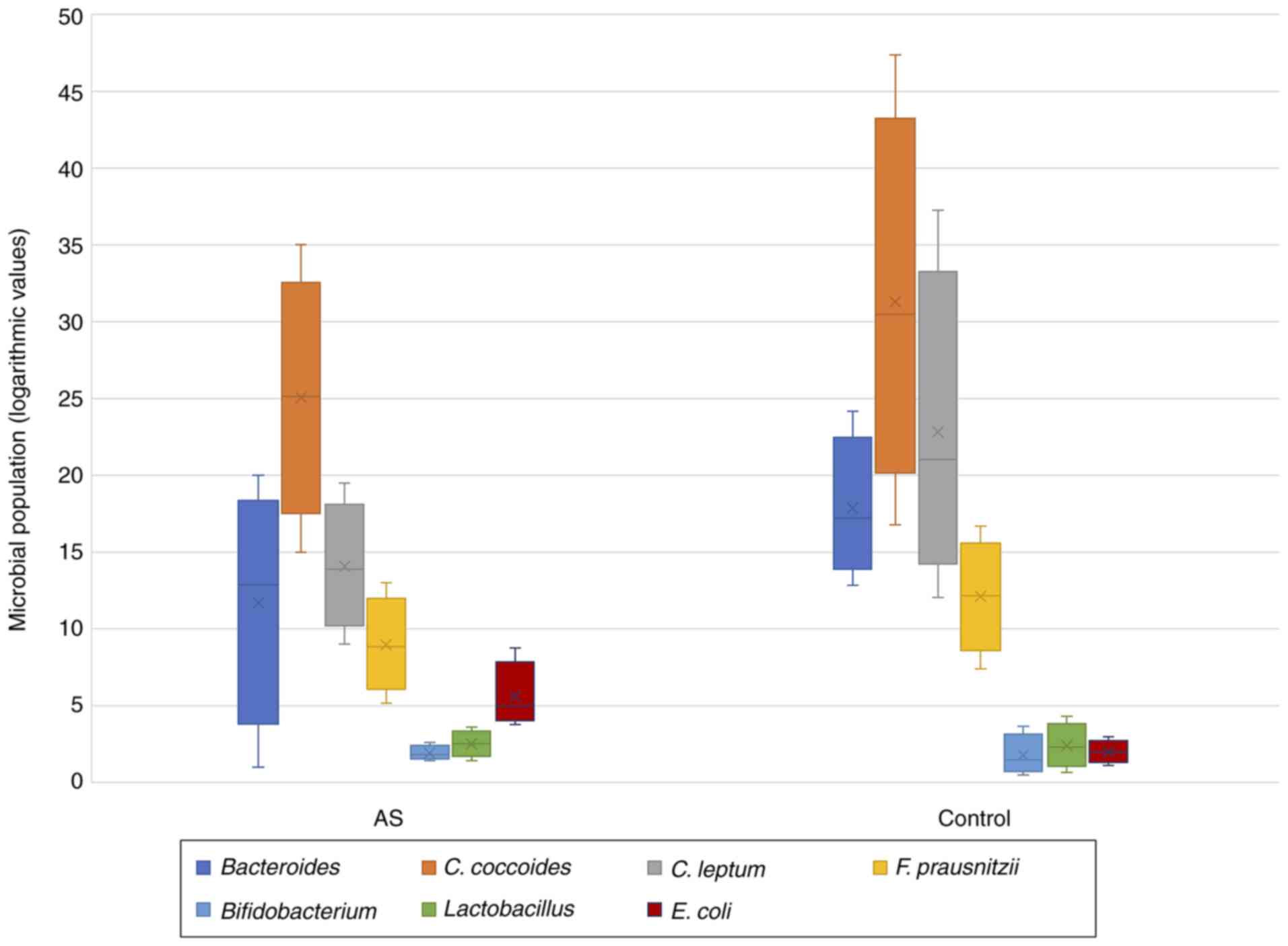
In order to be able to compare the bacterial groups according to each arm, the non-parametric Kruskal Wallis test was used. Thus, applying the test for all combinations of 2 groups, the following results were found. Statistically significant data were found only for C. leptum (P=0.019) and E. coli (P=0.013). In cases with AS, a significantly decreased level of C. leptum was observed, associated with an increased level of E. coli. The other analyzed microbial populations did not show significant statistical differences with the control arm. The group of cases with AS also showed a decreased microbial diversity than the control group, but without any statistical value (Fig. 2).

Figure 2

Microbial populations highlighted in the study cases. AS, ankylosing spondylitis.

Using the Spearman correlation coefficient, significant correlations were found between paraclinical tests (liver and kidney function, inflammatory syndrome) and bacterial species (Table V). Thus, ESR and CRP were inversely correlated with the level of Bacteroides and directly proportional to C. coccoides and C. leptum. Serum transaminases levels were directly proportional to total bacteria (P=0.001). Only the ALT level was inversely correlated with Bifidobacterium (P=0.006). Creatinine was inversely correlated with Bacteroides (P=0.045) and E. coli (P=0.027) and directly proportional to C. coccoides (P<0.001) and C. leptum (P=0.005).

Table V

Correlations between bacterial species and paraclinical tests.

Table V

Correlations between bacterial species and paraclinical tests.

TestCorrelationAll bacteriaBacteroides %C. coccoides %C. leptum %F. prausnitzii %Bifidobacterium %Lactobacillus %E. coli %
Hbρ0.1720.128-0.077-0.062-0.0280.0480.008-0.020
 P-value0.0560.1580.3970.4930.7590.5940.9280.762
Leukocytesρ-0.0610.200-0.239-0.225-0.1520.1820.1390.156
 P-value0.4980.0260.0080.0120.0910.0430.1230.083
Thrombocytesρ-0.070.063-0.157-0.101-0.1250.1290.0920.132
 P-value0.4410.4860.0820.2650.1660.1540.3110.144
IronΡ0.133-0.192-0.0390.0750.168-0.067-0.018-0.210
 P-value0.1390.0330.6650.4050.0630.4630.8410.015
ESRρ0.081-0.4790.3800.4820.507-0.162-0.25-0.44
 P-value0.369 <0.001 <0.001 <0.001 <0.0010.0730.005 <0.001
CRPρ-0.103-0.180.1990.3250.095-0.02-0.015-0.090
 P-value0.2530.0450.026 <0.0010.2920.8280.8680.300
ASTρ0.3290.0320.0260.0570.120-0.120-0.169-0.170
 P-value <0.0010.7230.7760.5290.1830.1830.0610.052
ALTρ0.307-0.0090.0820.1010.171-0.247-0.159-0.210
 P-value0.0010.9210.3640.2620.0570.0060.0770.017
GGTρ0.07-0.1510.0810.1610.228-0.157-0.226-0.160
 P-value0.4370.0940.3720.0740.0110.0810.0120.076
Total proteinsρ-0.0180.275-0.154-0.227-0.2380.071-0.0460.219
 P-value0.8420.0020.0880.0110.0080.4350.6110.015
Creatinineρ0.159-0.180.3420.2510.132-0.136-0.137-0.190
 P-value0.0770.045 <0.0010.0050.1440.1320.1300.027

[i] ESR, erythrocytes sedimentation rate; CRP, C reactive protein; AST, aspartate transaminase; ALT, alanine transaminase; GGT, γ-glutamyltransferase; ρ, Spearman correlation. P-values indicating significant results are shown in bold print.

No correlations were found between the degree of radiological sacroiliitis and bacterial groups (P=0.053, Kruskal-Wallis test) or between BMI and bacterial populations (P=0.366).

Of the 28 cases with AS, 22 patients tested positive for the antigen HLA-B27 (human leucocyte antigen B27). Following the statistical analysis (Mann-Whitney test), significant correlations were highlighted between HLA-B27 and Lactobacillus (P=0.027) and E. coli (P=0.004) (Table VI).

Table VI

Correlations between the antigen HLA B27 and microbial populations in the AS group.

Table VI

Correlations between the antigen HLA B27 and microbial populations in the AS group.

TestTotal bacteriaBacteroides %C. coccoides %C. leptum %F. prausnitzii %Bifidobacterium %Lactobacillus %E. coli %
Mann-Whitney U46.050.059.058.041.056.026.515.0
Wilcoxon W299.071.080.079.0294.0309.0279.5268.0
Z-1.123-0.897-0.392-0.448-1.401-0.561-2.216-2.86
P-value0.2620.3700.6950.6540.1610.5750.0270.004

[i] AS, ankylosing spondylitis. P-values indicating significant results are shown in bold print.

Other significant data were recorded in relation to smoker status. Thus, correlations between C. coccoides (P=0.033) and Bifidobacterium (P=0.006) were found in the arm of smokers diagnosed with AS. The level of C. coccoides was decreased, while Bifidobacterium was increased. On the other hand, correlations with a decreased level of F. prausnitzii (P=0.027) were found for active smokers in the control group (Table VII).

Table VII

Correlations between smoking status and microbial populations.

Table VII

Correlations between smoking status and microbial populations.

ArmTestTotal bacteriaBacteroides %C. coccoides %C. leptum %F. prausnitzii %Bifidobacterium %Lactobacillus %E coli %
ControlZ-1.066-1.598-0.228-0.228-2.206-1.598-1.446-1.293
 P-value0.2860.1100.8190.8190.0270.1100.1480.196
ASZ-0.768-1.394-2.138-1.208-0.232-2.744-1.465-1.488
 P-value0.4430.1630.0330.2270.8160.0060.1430.137

[i] AS, ankylosing spondylitis. P-values indicating significant results are shown in bold print.

Using the Spearman correlations, we aimed to ascertain whether there were correlations between the disease activity quantified by BASDAI and BASFI scores and the bacterial populations. We did not find statistically significant data between these scores and the bacteria species (Table VIII). It should be mentioned that the patients included in the analysis had a moderate disease activity, with an average BASDAI of 4.83 (3.87-5.79 95% CI) and an average BASFI of 9.11 (4.44-13.78 95% CI).

Table VIII

Correlations between disease activity and microbial populations in the AS group.

Table VIII

Correlations between disease activity and microbial populations in the AS group.

ScoreMicrobial populationSpearman coefficientP-value
BASDAIAll bacteria-0.3360.080
 Bacteroides %-0.3710.052
 C. coccoides %0.1110.573
 C. leptum %0.3400.077
 F. prausnitzii %-0.3710.052
 Bifidobacterium %0.1830.351
 Lactobacillus %0.3310.085
 E. coli %0.3090.110
BASFIAll bacteria-0.0180.927
 Bacteroides %-0.0610.758
 C. coccoides %0.0530.788
 C. leptum %0.0100.960
 F. prausnitzii %0.1040.597
 Bifidobacterium %0.0480.809
 Lactobacillus %0.0190.924
 E. coli %-0.0150.941

[i] AS, ankylosing spondylitis; BASFI, Bath Ankylosing Spondylitis Functional Index; BASDAI, Bath Ankylosing Spondylitis Disease Activity Index.

According to the form of the disease, patients with AS were divided into an axial and a form with peripheral arthritis. Using the Mann-Whitney statistical test, significant data were found only for the Bifidobacterium bacterial group (P=0.035). Thus, in the peripheral form of AS there was a significant decrease of Bifidobacterium compared to the axial form (Table IX).

Table IX

Correlations between microbial populations and the form of AS.

Table IX

Correlations between microbial populations and the form of AS.

Microbial populationForm of ASMean rankSum of ranksP-value
Total bacteriaAxial23.94766.000.451
 Peripheral20.69269.00 
Bacteroides %Axial22.44718.000.652
 Peripheral24.38317.00 
C. coccoides %Axial23.41749.000.744
 Peripheral22.00286.00 
C. leptum %Axial23.19742.000.880
 Peripheral22.54293.00 
F. prausnitzii %Axial23.09739.000.940
 Peripheral22.77296.00 
Bifidobacterium %Axial25.63820.000.035
 Peripheral16.54215.00 
Lactobacillus %Axial23.80761.500.522
 Peripheral21.04273.50 
E. coli %Axial23.66757.000.598
 Peripheral21.38278.00 

[i] AS, ankylosing spondylitis. P-values indicating significant results are shown in bold print.

Regarding the treatment followed by patients with AS, all of them were receiving drug therapy at the time of enrollment in the study. Thus, most cases (n=19; 67.85%) were receiving anti-TNFα treatment, 5 cases (17.85%) were receiving sulfasalazine (SSZ) therapy, and 4 patients (14.28%) were receiving only symptomatic treatment with nonsteroidal anti-inflammatory drugs (NSAIDs). Because the number of cases was relatively small for each therapy, the statistical analysis did not have consistency. Thus, we grouped the patients as follows: the group that had NSAID treatment (n=4) and those on immunosuppressive treatment (SSZ + antiTNFα; n=24). It was observed that patients who were treated only with NSAIDs showed a decrease in bacterial diversity (P=0.560), in Bifidobacterium (P<0.001) and Lactobacillus (P=0.382) followed by an increase in Bacteroides (P<0.001), C. coccoides (P=0.005), C. leptum (P<0.001), F. prausnitzii (P=0.001) and E. coli (P=0.001). All these data are presented in Table X and Fig. 3.

Figure 3

Quantitative analysis of the microbiome according to the treatment followed by the patients with AS. AS, ankylosing spondylitis; NSAIDs, nonsteroidal anti-inflammatory drugs.

Table X

Quantitative analysis of the microbiome according to the treatment followed by patients with AS.

Table X

Quantitative analysis of the microbiome according to the treatment followed by patients with AS.

 95% CI 
Microbial populationTreatmentMeanMinMaxMedianStandard deviationP-value
Total bacteriaIS2.31E+107.36E+093.88E+101.31E+102.48E+100.560
 NSAIDs1.82E+101.44E+102.2E+101.66E+105.95E+09 
Bacteroides %IS26.9024.5129.2928.063.76 <0.001
 NSAIDs40.9140.4141.4241.000.79 
C. coccoides %IS19.5117.1821.8418.063.660.005
 NSAIDs24.0923.6624.5323.940.69 
C. leptum %IS7.797.128.477.421.06 <0.001
 NSAIDs12.3711.4813.2612.201.40 
F. prausnitzii %IS3.092.543.633.030.850.001
 NSAIDs4.464.114.814.190.55 
Bifidobacterium %IS3.332.873.792.970.72 <0.001
 NSAIDs1.481.281.681.500.31 
Lactobacillus %IS3.102.643.573.320.720.382
 NSAIDs2.952.663.243.000.45 
E. coli %IS14.3713.4815.2614.201.400.001
 NSAIDs20.5218.4022.6421.813.33 

[i] AS, ankylosing spondylitis; NSAIDs, nonsteroidal anti-inflammatory drugs; CI, confidence interval; IS, immunosuppressive. P-values indicating significant results are shown in bold print.

Discussion

The present study analyzed different populations of the gut microbiome in patients with ankylosing spondylitis (AS): Certain species, genera and possibly a phylum compared to a control group formed by healthy individuals. The two study arms were carefully selected to be as homogeneous as possible. Analysis of the intestinal microbiome was performed in the feces using the qPCR technique. We took into consideration the quantitative analysis of the microbiome, focusing both on bacterial structures having an anti-inflammatory role (Bifidobacterium, Lactobacillus, F. prausnitzii), and on some with pro-inflammatory actions that favor intestinal and systemic inflammation (Bacteroides, E. coli).

Following the data analysis, intestinal bacterial diversity in the AS group was decreased compared to the control. Significant data were highlighted only for 2 bacterial species. A significant numerical increase was observed for E. coli associated with a decrease in C. leptum.

The data in the literature regarding gut dysbiosis in AS are contradictory. Our results are in agreement with other studies. Zhang et al (28) investigated fecal microbiota in 103 cases of AS and concluded that alpha diversity in these cases was no different from the control group. Similar to our results, they showed a decrease in Clostridium_XIVb, but an increase in Bacteroides. Breban et al (29) analyzed the intestinal microbiota in 2 cohorts: rheumatoid arthritis and SA compared to a control group. They showed an overall decreased microbial diversity in both groups, followed by a significant increase in Ruminococcus gnavus in SA.

Numerous data in the literature support this reduction in intestinal microbial diversity in patients with chronic inflammatory autoimmune diseases (30,31). However, there are several studies that have shown an increase in intestinal bacteria in patients with SA, especially in those having associated intestinal inflammation (10,32).

We demonstrated a close link between liver and kidney function and the analyzed bacteria. Serum transaminases levels were directly proportional to total bacteria. Only the ALT level was inversely correlated with Bifidobacterium. Serum creatinine was inversely correlated with Bacteroides and E. coli and directly proportional with C. coccoides and C. leptum.

The close connection between the intestine and the liver is a certainty, with many authors reporting about the presence of a liver-intestine axis (33-36). The composition of the intestinal microbiota can modulate chronic liver diseases by i) the production of metabolites, by altering the integrity of the mucosal barrier, ii) by the portal system or iii) by the liver-intestinal immune link (37).

On the other hand, important studies have highlighted the existence of a ‘colo-renal system’ that can influence each other. The intestinal microbiota can alter renal function, contributing to the development of many pathologies. There is a communication between various intestinal bacterial groups and the cells of the renal parenchyma, which causes a disturbance of the normal renal molecular processes, leading to the appearance of kidney diseases (38-40).

The presence of systemic inflammation was quantified by measuring the acute phase reactants: ESR and CRP. Most often, the normal values of these biological constants are associated with low activity or remission of inflammatory joint diseases. Moreover, they are directly proportional to the disease activity quantified in our study by BASDAI and BASFI scores. Following analysis, ESR and CRP were inversely correlated with the level of Bacteroides and directly proportional to C. coccoides and C. leptum.

Two studies that are part of the RISTOMED project (Impact of personalized diet and probiotic supplementation on inflammation, nutritional parameters and intestinal microbiota) (41,42) analyzed the correlations between the composition of the intestinal microbiota and various clinical parameters, including inflammatory markers. The study included 125 cases divided into a group with low inflammation and a group with moderate-high inflammation. At the level of intestinal microbiota, the Bifidobacterium and Clostridium group IV species were analyzed. The results showed, in the arm with low inflammation, a decrease in Bifidobacterium followed by an increase in Clostridium IV and the strong correlation with the level of acute phase reactants.

Regarding disease activity, we did not find significant correlations between BASDAI and BASFI scores and the bacteria species. Our results are consistent with other studies that have not shown an association between disease activity or function and intestinal dysbiosis (43). Moreover, these studies showed similarities regarding the highlighted bacterial species, namely an increase in E. coli and a decrease in Clostridium, F. prausnitzii and Bacteroides (4,44-46). On the other hand, many data support the close link between the activity of AS and the composition of the intestinal microbiota (29,32) and between gut inflammation and disease activity in AS (47,48).

Considering the genetic predisposition, significant correlations were found between the antigen HLA-B27 and Lactobacillus, respectively E. coli. The levels of Lactobacillus and E. coli were decreased in patients tested positive for the HLA B27 antigen. The ability of this antigen to modulate the intestinal microbiota in transgenic laboratory animals has been demonstrated and published recently (13). Intestinal dysbiosis in HLA-B27-positive laboratory animals was characterized by a decrease in Firmicutes followed by a significant increase in Proteobacteria group, of which E. coli takes part (49). Moreover, Breban et al (29) showed a different intestinal dysbiosis in members of the same family depending on the presence or absence of the HLA-B27 antigen.

Further correlations between gut microbiota composition and clinical parameters included the following data: The BMI, radiological sacroiliitis, smoking status, disease phenotype and the treatment. No correlations were found between the degree of radiological sacroiliitis and bacterial groups or between BMI and gut microbiome. A study published in 2018 highlighted the analysis of the intestinal microbiota in 61 cases of obese people. Intestinal dysbiosis was characterized by a decrease in microbial diversity which correlated with various metabolic parameters (50). Many of the published results are contradictory. Some support a decrease in diversity in the phyla group, others do not show significant differences between normal and obese people. Many authors have shown an increase in Firmicutes followed by a decrease in Bacteroides in cases of obesity (51,52). Kasai et al showed an increase in the diversity of intestinal microbiota in cases of obesity (53). Angelakis et al observed a numerical increase in anaerobic bacteria in obese patients (54). Hu and colleagues found no significant differences between normal and obese individuals in the Bacteroidetes, Firmicutes, and Proteobacteria groups (55).

In the present study, significant data were recorded in relation to smoker status. Correlations between C. coccoides and Bifidobacterium were found in the arm of smokers diagnosed with AS. The level of C. coccoides was decreased, while Bifidobacterium was increased. On the other hand, correlations with a decreased level of F. prausnitzii were found for active smokers in the control group. The relationship between smoking and IBD is well known. This connection is not fully understood, but the alteration of the intestinal microbiota, as well as of the innate and adaptative immune system, has been incriminated (56).

In a recently published meta-analysis (57), the intestinal microbiota was analyzed in healthy smokers. The authors noted a decrease in the diversity of the intestinal microbiome characterized by a decrease in Bifidobacterium and Lactobacillus species and an increase in Bacteroides, Clostridium and Prevotella. Intestinal dysbiosis caused by smoking was similar to IBD dysbiosis.

In the present study, according to the form of the disease, significant data were found only for the Bifidobacterium bacterial group. In the peripheral form there was a significant decrease in Bifidobacterium compared to the axial form of AS. Differences in the intestinal microbiome according to disease phenotype were also observed in a study by Chen et al (58). They noted an increase in Prevotella in axial disease and increased Collinsella, Streptococcus and Comamonas in the peripheral form of AS.

In the present study, the final data focused on the correlations between the composition of the intestinal microbiome and treatment. Significant data were recorded only for NSAID therapy. Thus, these patients showed a decrease in bacterial diversity, in Bifidobacterium and Lactobacillus and an increase in Bacteroides, C. coccoides, C. leptum, F. prausnitzii and E. coli.

Studies have shown that the intestinal microbiome can predict the therapeutic response and can be considered a ‘biomarker’ for inflammation (59). NSAID treatment may cause enteropathy (60,61) or may aggravate intestinal inflammation in patients with IBD. Chronic administration of NSAIDs (celecoxib) had the ability to modulate intestinal microbiome, leading to a decrease in Bifidobacterium and Lactobacillus followed by an increase in Coriobacteriaceae, having also a chemoprotective role by decreasing fecal metabolites (62). Montenegro et al (63) support the harmful effect of NSAIDs, characterized by a marked reduction in Lactobacillus and by modulation of local motility and immunity through the Bifidobacteria group.

In the present study, in contrary, synthetic and biological immunosuppressive drugs had a positive effect on the intestinal microbiome, improving dysbiosis and decreasing systemic inflammation. Anti-TNFα agents can act on the intestinal microbiome by inhibiting the onset of vascular inflammation and by inducing T cell apoptosis (64). Other authors state that this improvement of the intestinal microbiome after TNFα therapy is due to a decrease in bacterial arthritogenic peptides (65).

A study which included proteoglycan-induced mice treated with etanercept for 4 weeks demonstrated the efficacy of anti-TNF therapy on articular manifestations and on gut microbiome composition, leading even to a microbial composition similar to that of the control group (66). Another study (67) highlighted the changes in the intestinal microbiome of patients with AS at 1, 3 and 6 months after initiating anti-TNFα therapy. Initially, a decreased biodiversity was observed, which improved almost to normal after the first month of treatment.

In conclusion, our findings indicate that the intestinal microbiome in patients with AS has a special signature characterized by an inflammatory status induced by the increase in some bacterial species associated with the decrease in other species. We demonstrated that the composition of the intestinal microbiome is influenced by numerous factors, among which genetic background, smoking status, inflammatory markers, disease phenotype and treatment play the most important roles. Our results are similar with those already published and participate in the enrichment of knowledge in the field, bringing new data on intestinal dysbiosis in patients with AS.

Acknowledgements

Not applicable.

Funding

Funding: No funding was received.

Availability of data and materials

The datasets used and/or analyzed during the current study are available from the corresponding author on reasonable request.

Authors' contributions

AC, ER and AMB conceived the study, the methodology and drafted the manuscript. ER supervised and designed the study. AC, SC, FP, AMB and CR contributed to the literature resources; and AC, AMB, FP and ER validated the data and data analysis. AC, SC, FP, AMB, CR and ER contributed to the review and editing; AC, AMB, SC, CR, FP and ER contributed to the approval of the final version of the manuscript. All authors have read and agreed to the published version of the manuscript.

Ethics approval and consent to participate

Approval was obtained from the Ethics Committees of the Grigore T Popa University of Medicine and Pharmacy and Rehabilitation Hospital Iasi from which the cases were selected. All the included cases expressed their informed consent to participate in the study.

Patient consent for publication

Not applicable.

Competing interests

The authors declare that they have no competing interests.

References

1 

Taurog JD, Chhabra A and Colbert RA: Ankylosing spondylitis and axial spondyloarthritis. N Engl J Med. 374:2563–2574. 2016.PubMed/NCBI View Article : Google Scholar

2 

Brewerton DA, Hart FD, Nicholls A, Caffrey M, James DC and Sturrock RD: Ankylosing spondylitis and HL-A 27. Lancet. 1:904–907. 1973.PubMed/NCBI View Article : Google Scholar

3 

Brown MA, Kennedy LG, MacGregor AJ, Darke C, Duncan E, Shatford JL, Taylor A, Calin A and Wordsworth P: Susceptibility to ankylosing spondylitis in twins: The role of genes, HLA, and the environment. Arthritis Rheum. 40:1823–1828. 1997.PubMed/NCBI View Article : Google Scholar

4 

Manasson J, Shen N, Garcia Ferrer HR, Ubeda C, Iraheta I, Heguy A, Von Feldt JM, Espinoza LR, Garcia Kutzbach A, Segal LN, et al: Gut microbiota perturbations in reactive arthritis and postinfectious spondyloarthritis. Arthritis Rheumatol. 70:242–254. 2018.PubMed/NCBI View Article : Google Scholar

5 

Zhang Y, Guerassimov A, Leroux JY, Cartman A, Webber C, Lalic R, de Miguel E, Rosenberg LC and Poole AR: Arthritis induced by proteoglycan aggrecan G1 domain in BALB/c mice. Evidence for t cell involvement and the immunosuppressive influence of keratan sulfate on recognition of t and b cell epitopes. J Clin Invest. 101:1678–1686. 1998.PubMed/NCBI View Article : Google Scholar

6 

Capkova J, Hrncir T, Kubatova A and Tlaskalova-Hogenova H: Lipopolysaccharide treatment suppresses spontaneously developing ankylosing enthesopathy in B10.BR male mice: The potential role of interleukin-10. BMC Musculoskelet Disord. 13(110)2012.PubMed/NCBI View Article : Google Scholar

7 

Thjodleifsson B, Geirsson AJ, Björnsson S and Bjarnason I: A common genetic background for inflammatory bowel disease and ankylosing spondylitis: A genealogic study in Iceland. Arthritis Rheum. 56:2633–2639. 2007.PubMed/NCBI View Article : Google Scholar

8 

Robinson PC, Leo PJ, Pointon JJ, Harris J, Cremin K, Bradbury LA, Stebbings S and Harrison AA: Australian Osteoporosis Genetics Consortium; Wellcome Trust Case Control Consortium et al. Exome-wide study of ankylosing spondylitis demonstrates additional shared genetic background with inflammatory bowel disease. NPJ Genom Med. 1(16008)2016.PubMed/NCBI View Article : Google Scholar

9 

Tsui FW, Tsui HW, Akram A, Haroon N and Inman RD: The genetic basis of ankylosing spondylitis: New insights into disease pathogenesis. Appl Clin Genet. 7:105–115. 2014.PubMed/NCBI View Article : Google Scholar

10 

Costello ME, Ciccia F, Willner D, Warrington N, Robinson PC, Gardiner B, Marshall M, Kenna TJ, Triolo G and Brown MA: Brief report: Intestinal dysbiosis in ankylosing spondylitis. Arthritis Rheumatol. 67:686–691. 2015.PubMed/NCBI View Article : Google Scholar

11 

Taurog JD, Richardson JA, Croft JT, Simmons WA, Zhou M, Fernández-Sueiro JL, Balish E and Hammer RE: The germfree state prevents development of gut and joint inflammatory disease in HLA-B27 transgenic rats. J Exp Med. 180:2359–2364. 1994.PubMed/NCBI View Article : Google Scholar

12 

Asquith MJ, Stauffer P, Davin S, Mitchell C, Lin P and Rosenbaum JT: Perturbed mucosal immunity and dysbiosis accompany clinical disease in a rat model of spondyloarthritis. Arthritis Rheumatol. 68:2151–2162. 2016.PubMed/NCBI View Article : Google Scholar

13 

Lin P, Bach M, Asquith M, Lee AY, Akileswaran L, Stauffer P, Davin S, Pan Y, Cambronne ED, Dorris M, et al: HLA-B27 and human β2-microglobulin affect the gut microbiota of transgenic rats. PLoS One. 9(e105684)2014.PubMed/NCBI View Article : Google Scholar

14 

Zhang L, Hu Y, Xu Y, Li P, Ma H, Li X and Li M: The correlation between intestinal dysbiosis and the development of ankylosing spondylitis. Microb Pathog. 132:188–192. 2019.PubMed/NCBI View Article : Google Scholar

15 

Turner MJ, Sowders DP, DeLay ML, Mohapatra R, Bai S, Smith JA, Brandewie JR, Taurog JD and Colbert RA: HLA-B27 misfolding in transgenic rats is associated with activation of the unfolded protein response. J Immunol. 175:2438–2448. 2005.PubMed/NCBI View Article : Google Scholar

16 

Kaneko M and Nomura Y: ER signaling in unfolded protein response. Life Sci. 74:199–205. 2003.PubMed/NCBI View Article : Google Scholar

17 

Ciccia F, Accardo-Palumbo A, Rizzo A, Guggino G, Raimondo S, Giardina A, Cannizzaro A, Colbert RA, Alessandro R and Triolo G: Evidence that autophagy, but not the unfolded protein response, regulates the expression of IL-23 in the gut of patients with ankylosing spondylitis and subclinical gut inflammation. Ann Rheum Dis. 73:1566–1574. 2014.PubMed/NCBI View Article : Google Scholar

18 

Ciccia F, Rizzo A and Triolo G: Subclinical gut inflammation in ankylosing spondylitis. Curr Opin Rheumatol. 28:89–96. 2016.PubMed/NCBI View Article : Google Scholar

19 

Tian P, Li B, He C, Song W, Hou A, Tian S, Meng X, Li K and Shan Y: Antidiabetic (type 2) effects of Lactobacillus G15 and Q14 in rats through regulation of intestinal permeability and microbiota. Food Funct. 7:3789–3797. 2016.PubMed/NCBI View Article : Google Scholar

20 

Morris G, Berk M, Carvalho AF, Caso JR, Sanz Y and Maes M: The role of microbiota and intestinal permeability in the pathophysiology of autoimmune and neuroimmune processes with an emphasis on inflammatory bowel disease type 1 diabetes and chronic fatigue syndrome. Curr Pharm Des. 22:6058–6075. 2016.PubMed/NCBI View Article : Google Scholar

21 

Ebringer A and Wilson C: The use of a low starch diet in the treatment of patients suffering from ankylosing spondylitis. Clin Rheumatol. 15 (Suppl 1):S62–S66. 1996.PubMed/NCBI View Article : Google Scholar

22 

Ugur M, Baygutalp NK, Melikoglu MA, Baygutalp F, Altas EU and Seferoglu B: Elevated serum interleukin-23 levels in ankylosing spondylitis patients and the relationship with disease activity. Nagoya J Med Sci. 77:621–627. 2015.PubMed/NCBI

23 

Smith JA and Colbert RA: Review: The interleukin-23/interleukin-17 axis in spondyloarthritis pathogenesis: Th17 and beyond. Arthritis Rheumatol. 66:231–241. 2014.PubMed/NCBI View Article : Google Scholar

24 

Ciccia F, Guggino G, Rizzo A, Saieva L, Peralta S, Giardina A, Cannizzaro A, Sireci G, De Leo G, Alessandro R and Triolo G: Type 3 innate lymphoid cells producing IL-17 and IL-22 are expanded in the gut, in the peripheral blood, synovial fluid and bone marrow of patients with ankylosing spondylitis. Ann Rheum Dis. 74:1739–1747. 2015.PubMed/NCBI View Article : Google Scholar

25 

Costello ME, Elewaut D, Kenna TJ and Brown MA: Microbes, the gut and ankylosing spondylitis. Arthritis Res Ther. 15(214)2013.PubMed/NCBI View Article : Google Scholar

26 

van der Linden S, Valkenburg HA and Cats A: Evaluation of diagnostic criteria for ankylosing spondylitis. A proposal for modification of the New York criteria. Arthritis Rheum. 27:361–368. 1984.PubMed/NCBI View Article : Google Scholar

27 

Wang W, Chen L, Zhou R, Wang X, Song L, Huang S, Wang G and Xia B: Increased proportions of Bifidobacterium and the Lactobacillus group and loss of butyrate-producing bacteria in inflammatory bowel disease. J Clin Microbiol. 52:398–406. 2014.PubMed/NCBI View Article : Google Scholar

28 

Zhang L, Han R, Zhang X, Fang G, Chen J, Li J, Xu S, Qian L, Chen W and Pan F: Fecal microbiota in patients with ankylosing spondylitis: Correlation with dietary factors and disease activity. Clin Chim Acta. 497:189–196. 2019.PubMed/NCBI View Article : Google Scholar

29 

Breban M, Tap J, Leboime A, Said-Nahal R, Langella P, Chiocchia G, Furet JP and Sokol H: Faecal microbiota study reveals specific dysbiosis in spondyloarthritis. Ann Rheum Dis. 76:1614–1622. 2017.PubMed/NCBI View Article : Google Scholar

30 

Morgan XC, Tickle TL, Sokol H, Gevers D, Devaney KL, Ward DV, Reyes JA, Shah SA, LeLeiko N, Snapper SB, et al: Dysfunction of the intestinal microbiome in inflammatory bowel disease and treatment. Genome Biol. 13(R79)2012.PubMed/NCBI View Article : Google Scholar

31 

Scher JU, Ubeda C, Artacho A, Attur M, Isaac S, Reddy SM, Marmon S, Neimann A, Brusca S, Patel T, et al: Decreased bacterial diversity characterizes the altered gut microbiota in patients with psoriatic arthritis, resembling dysbiosis in inflammatory bowel disease. Arthritis Rheumatol. 67:128–139. 2015.PubMed/NCBI View Article : Google Scholar

32 

Tito RY, Cypers H, Joossens M, Varkas G, Van Praet L, Glorieus E, Van den Bosch F, De Vos M, Raes J and Elewaut D: Brief report: Dialister as a microbial marker of disease activity in spondyloarthritis. Arthritis Rheumatol. 69:114–121. 2017.PubMed/NCBI View Article : Google Scholar

33 

Haque TR and Barritt AS IV: Intestinal microbiota in liver disease. Best Pract Res Clin Gastroenterol. 30:133–142. 2016.PubMed/NCBI View Article : Google Scholar

34 

Minemura M and Shimizu Y: Gut microbiota and liver diseases. World J Gastroenterol. 21:1691–1702. 2015.PubMed/NCBI View Article : Google Scholar

35 

Morris A: Metabolism: New insights into the BAT-liver-gut axis. Nat Rev Endocrinol. 13(438)2017.PubMed/NCBI View Article : Google Scholar

36 

Yip LY, Aw CC, Lee SH, Hong YS, Ku HC, Xu WH, Chan JMX, Cheong EJY, Chng KR, Ng AHQ, et al: The liver-gut microbiota axis modulates hepatotoxicity of tacrine in the rat. Hepatology. 67:282–295. 2018.PubMed/NCBI View Article : Google Scholar

37 

Pallen MJ and Quraishi MN: The gut microbiota and the hepatologist: Will our bugs prove to be the missing link? Dig Dis. 35:377–383. 2017.PubMed/NCBI View Article : Google Scholar

38 

Rabb H, Pluznick J and Noel S: The microbiome and acute kidney injury. Nephron. 140:120–123. 2018.PubMed/NCBI View Article : Google Scholar

39 

Noel S, Martina-Lingua MN, Bandapalle S, Pluznick J, Hamad AR, Peterson DA and Rabb H: Intestinal microbiota-kidney cross talk in acute kidney injury and chronic kidney disease. Nephron Clin Pract. 127:139–143. 2014.PubMed/NCBI View Article : Google Scholar

40 

Sabatino A, Regolisti G, Brusasco I, Cabassi A, Morabito S and Fiaccadori E: Alterations of intestinal barrier and microbiota in chronic kidney disease. Nephrol Dial Transplant. 30:924–933. 2015.PubMed/NCBI View Article : Google Scholar

41 

Ostan R, Béné MC, Spazzafumo L, Pinto A, Donini LM, Pryen F, Charrouf Z, Valentini L, Lochs H, Bourdel-Marchasson I, et al: Impact of diet and nutraceutical supplementation on inflammation in elderly people. Results from the RISTOMED study, an open-label randomized control trial. Clin Nutr. 35:812–818. 2016.PubMed/NCBI View Article : Google Scholar

42 

Valentini L, Pinto A, Bourdel-Marchasson I, Ostan R, Brigidi P, Turroni S, Hrelia S, Hrelia P, Bereswill S, Fischer A, et al: Impact of personalized diet and probiotic supplementation on inflammation, nutritional parameters and intestinal microbiota-The ‘RISTOMED project’: Randomized controlled trial in healthy older people. Clin Nutr. 34:593–602. 2015.PubMed/NCBI View Article : Google Scholar

43 

Klingberg E, Magnusson MK, Strid H, Deminger A, Ståhl A, Sundin J, Simrén M, Carlsten H, Öhman L and Forsblad-d'Elia H: A distinct gut microbiota composition in patients with ankylosing spondylitis is associated with increased levels of fecal calprotectin. Arthritis Res Ther. 21(248)2019.PubMed/NCBI View Article : Google Scholar

44 

Rizzatti G, Lopetuso LR, Gibiino G, Binda C and Gasbarrini A: Proteobacteria: A common factor in human diseases. Biomed Res Int. 2017(9351507)2017.PubMed/NCBI View Article : Google Scholar

45 

McIlroy J, Ianiro G, Mukhopadhya I, Hansen R and Hold GL: Review article: The gut microbiome in inflammatory bowel disease-avenues for microbial management. Aliment Pharmacol Ther. 47:26–42. 2018.PubMed/NCBI View Article : Google Scholar

46 

Ciccia F, Guggino G, Rizzo A, Alessandro R, Luchetti MM, Milling S, Saieva L, Cypers H, Stampone T, Di Benedetto P, et al: Dysbiosis and zonulin upregulation alter gut epithelial and vascular barriers in patients with ankylosing spondylitis. Ann Rheum Dis. 76:1123–1132. 2017.PubMed/NCBI View Article : Google Scholar

47 

Klingberg E, Strid H, Ståhl A, Deminger A, Carlsten H, Öhman L and Forsblad-d'Elia H: A longitudinal study of fecal calprotectin and the development of inflammatory bowel disease in ankylosing spondylitis. Arthritis Res Ther. 19(21)2017.PubMed/NCBI View Article : Google Scholar

48 

Van Praet L, Jans L, Carron P, Jacques P, Glorieus E, Colman R, Cypers H, Mielants H, De Vos M, Cuvelier C, et al: Degree of bone marrow oedema in sacroiliac joints of patients with axial spondyloarthritis is linked to gut inflammation and male sex: Results from the GIANT cohort. Ann Rheum Dis. 73:1186–1189. 2014.PubMed/NCBI View Article : Google Scholar

49 

Onderdonk AB, Richardson JA, Hammer RE and Taurog JD: Correlation of cecal microflora of HLA-B27 transgenic rats with inflammatory bowel disease. Infect Immun. 66:6022–6023. 1998.PubMed/NCBI View Article : Google Scholar

50 

Aron-Wisnewsky J, Prifti E, Belda E, Ichou F, Kayser BD, Dao MC, Verger EO, Hedjazi L, Bouillot JL, Chevallier JM, et al: Major microbiota dysbiosis in severe obesity: Fate after bariatric surgery. Gut. 68:70–82. 2019.PubMed/NCBI View Article : Google Scholar

51 

Ley RE, Turnbaugh PJ, Klein S and Gordon JI: Microbial ecology: Human gut microbes associated with obesity. Nature. 444:1022–1023. 2006.PubMed/NCBI View Article : Google Scholar

52 

Ley RE, Bäckhed F, Turnbaugh P, Lozupone CA, Knight RD and Gordon JI: Obesity alters gut microbial ecology. Proc Natl Acad Sci USA. 102:11070–11075. 2005.PubMed/NCBI View Article : Google Scholar

53 

Kasai C, Sugimoto K, Moritani I, Tanaka J, Oya Y, Inoue H, Tameda M, Shiraki K, Ito M, Takei Y and Takase K: Comparison of the gut microbiota composition between obese and non-obese individuals in a Japanese population, as analyzed by terminal restriction fragment length polymorphism and next-generation sequencing. BMC Gastroenterol. 15(100)2015.PubMed/NCBI View Article : Google Scholar

54 

Angelakis E, Armougom F, Carrière F, Bachar D, Laugier R, Lagier JC, Robert C, Michelle C, Henrissat B and Raoult D: A metagenomic investigation of the duodenal microbiota reveals links with obesity. PLoS One. 10(e0137784)2015.PubMed/NCBI View Article : Google Scholar

55 

Hu HJ, Park SG, Jang HB, Choi MK, Park KH, Kang JH, Park SI, Lee HJ and Cho SH: Obesity alters the microbial community profile in Korean adolescents. PLoS One. 10(e0134333)2015.PubMed/NCBI View Article : Google Scholar

56 

Parkes GC, Whelan K and Lindsay JO: Smoking in inflammatory bowel disease: Impact on disease course and insights into the aetiology of its effect. J Crohn's Colitis. 8:717–725. 2014.PubMed/NCBI View Article : Google Scholar

57 

Savin Z, Kivity S, Yonath H and Yehuda S: Smoking and the intestinal microbiome. Arch Microbiol. 200:677–684. 2018.PubMed/NCBI View Article : Google Scholar

58 

Chen Z, Qi J, Wei Q, Zheng X, Wu X, Li X, Liao Z, Lin Z and Gu J: Variations in gut microbial profiles in ankylosing spondylitis: Disease phenotype-related dysbiosis. Ann Transl Med. 7(571)2019.PubMed/NCBI View Article : Google Scholar

59 

Kolho KL, Korpela K, Jaakkola T, Pichai MV, Zoetendal EG, Salonen A and de Vos WM: Fecal microbiota in pediatric inflammatory bowel disease and its relation to inflammation. Am J Gastroenterol. 110:921–930. 2015.PubMed/NCBI View Article : Google Scholar

60 

Wallace JL: NSAID gastropathy and enteropathy: Distinct pathogenesis likely necessitates distinct prevention strategies. Br J Pharmacol. 165:67–74. 2012.PubMed/NCBI View Article : Google Scholar

61 

Wallace JL: Mechanisms, prevention and clinical implications of nonsteroidal anti-inflammatory drug-enteropathy. World J Gastroenterol. 19:1861–1876. 2013.PubMed/NCBI View Article : Google Scholar

62 

Montrose DC, Zhou XK, McNally EM, Sue E, Yantiss RK, Gross SS, Leve ND, Karoly ED, Suen CS, Ling L, et al: Celecoxib alters the intestinal microbiota and metabolome in association with reducing polyp burden. Cancer Prev Res (Phila). 9:721–731. 2016.PubMed/NCBI View Article : Google Scholar

63 

Montenegro L, Losurdo G, Licinio R, Zamparella M, Giorgio F, Ierardi E, Di Leo A and Principi M: Non steroidal anti-inflammatory drug induced damage on lower gastro-intestinal tract: Is there an involvement of microbiota? Curr Drug Saf. 9:196–204. 2014.PubMed/NCBI View Article : Google Scholar

64 

Danese S, Sans M, Scaldaferri F, Sgambato A, Rutella S, Cittadini A, Piqué JM, Panes J, Katz JA, Gasbarrini A and Fiocchi C: TNF-alpha blockade down-regulates the CD40/CD40L pathway in the mucosal microcirculation: A novel anti-inflammatory mechanism of infliximab in Crohn's disease. J Immunol. 176:2617–2624. 2006.PubMed/NCBI View Article : Google Scholar

65 

Yin J, Sternes PR, Wang M, Song J, Morrison M, Li T, Zhou L, Wu X, He F, Zhu J, et al: Shotgun metagenomics reveals an enrichment of potentially cross-reactive bacterial epitopes in ankylosing spondylitis patients, as well as the effects of TNFi therapy upon microbiome composition. Ann Rheum Dis. 79:132–140. 2020.PubMed/NCBI View Article : Google Scholar

66 

Liu B, Yang L, Cui Z, Zheng J, Huang J, Zhao Q, Su Z, Wang M, Zhang W, Liu J, et al: Anti-TNF-α therapy alters the gut microbiota in proteoglycan-induced ankylosing spondylitis in mice. Microbiologyopen. 8(e927)2019.PubMed/NCBI View Article : Google Scholar

67 

Zhang F, Ma C and Zhang B: Dynamic variations in gut microbiota in ankylosing spondylitis patients treated with anti-TNF-α for six months. Ann Clin Lab Sci. 50:99–106. 2020.PubMed/NCBI

Related Articles

  • Abstract
  • View
  • Download
  • Twitter
Copy and paste a formatted citation
Spandidos Publications style
Cardoneanu A, Cozma S, Rezus C, Petrariu F, Burlui AM and Rezus E: Characteristics of the intestinal microbiome in ankylosing spondylitis. Exp Ther Med 22: 676, 2021.
APA
Cardoneanu, A., Cozma, S., Rezus, C., Petrariu, F., Burlui, A.M., & Rezus, E. (2021). Characteristics of the intestinal microbiome in ankylosing spondylitis. Experimental and Therapeutic Medicine, 22, 676. https://doi.org/10.3892/etm.2021.10108
MLA
Cardoneanu, A., Cozma, S., Rezus, C., Petrariu, F., Burlui, A. M., Rezus, E."Characteristics of the intestinal microbiome in ankylosing spondylitis". Experimental and Therapeutic Medicine 22.1 (2021): 676.
Chicago
Cardoneanu, A., Cozma, S., Rezus, C., Petrariu, F., Burlui, A. M., Rezus, E."Characteristics of the intestinal microbiome in ankylosing spondylitis". Experimental and Therapeutic Medicine 22, no. 1 (2021): 676. https://doi.org/10.3892/etm.2021.10108
Copy and paste a formatted citation
x
Spandidos Publications style
Cardoneanu A, Cozma S, Rezus C, Petrariu F, Burlui AM and Rezus E: Characteristics of the intestinal microbiome in ankylosing spondylitis. Exp Ther Med 22: 676, 2021.
APA
Cardoneanu, A., Cozma, S., Rezus, C., Petrariu, F., Burlui, A.M., & Rezus, E. (2021). Characteristics of the intestinal microbiome in ankylosing spondylitis. Experimental and Therapeutic Medicine, 22, 676. https://doi.org/10.3892/etm.2021.10108
MLA
Cardoneanu, A., Cozma, S., Rezus, C., Petrariu, F., Burlui, A. M., Rezus, E."Characteristics of the intestinal microbiome in ankylosing spondylitis". Experimental and Therapeutic Medicine 22.1 (2021): 676.
Chicago
Cardoneanu, A., Cozma, S., Rezus, C., Petrariu, F., Burlui, A. M., Rezus, E."Characteristics of the intestinal microbiome in ankylosing spondylitis". Experimental and Therapeutic Medicine 22, no. 1 (2021): 676. https://doi.org/10.3892/etm.2021.10108
Follow us
  • Twitter
  • LinkedIn
  • Facebook
About
  • Spandidos Publications
  • Careers
  • Cookie Policy
  • Privacy Policy
How can we help?
  • Help
  • Live Chat
  • Contact
  • Email to our Support Team