Spandidos Publications Logo
  • About
    • About Spandidos
    • Aims and Scopes
    • Abstracting and Indexing
    • Editorial Policies
    • Reprints and Permissions
    • Job Opportunities
    • Terms and Conditions
    • Contact
  • Journals
    • All Journals
    • Oncology Letters
      • Oncology Letters
      • Information for Authors
      • Editorial Policies
      • Editorial Board
      • Aims and Scope
      • Abstracting and Indexing
      • Bibliographic Information
      • Archive
    • International Journal of Oncology
      • International Journal of Oncology
      • Information for Authors
      • Editorial Policies
      • Editorial Board
      • Aims and Scope
      • Abstracting and Indexing
      • Bibliographic Information
      • Archive
    • Molecular and Clinical Oncology
      • Molecular and Clinical Oncology
      • Information for Authors
      • Editorial Policies
      • Editorial Board
      • Aims and Scope
      • Abstracting and Indexing
      • Bibliographic Information
      • Archive
    • Experimental and Therapeutic Medicine
      • Experimental and Therapeutic Medicine
      • Information for Authors
      • Editorial Policies
      • Editorial Board
      • Aims and Scope
      • Abstracting and Indexing
      • Bibliographic Information
      • Archive
    • International Journal of Molecular Medicine
      • International Journal of Molecular Medicine
      • Information for Authors
      • Editorial Policies
      • Editorial Board
      • Aims and Scope
      • Abstracting and Indexing
      • Bibliographic Information
      • Archive
    • Biomedical Reports
      • Biomedical Reports
      • Information for Authors
      • Editorial Policies
      • Editorial Board
      • Aims and Scope
      • Abstracting and Indexing
      • Bibliographic Information
      • Archive
    • Oncology Reports
      • Oncology Reports
      • Information for Authors
      • Editorial Policies
      • Editorial Board
      • Aims and Scope
      • Abstracting and Indexing
      • Bibliographic Information
      • Archive
    • Molecular Medicine Reports
      • Molecular Medicine Reports
      • Information for Authors
      • Editorial Policies
      • Editorial Board
      • Aims and Scope
      • Abstracting and Indexing
      • Bibliographic Information
      • Archive
    • World Academy of Sciences Journal
      • World Academy of Sciences Journal
      • Information for Authors
      • Editorial Policies
      • Editorial Board
      • Aims and Scope
      • Abstracting and Indexing
      • Bibliographic Information
      • Archive
    • International Journal of Functional Nutrition
      • International Journal of Functional Nutrition
      • Information for Authors
      • Editorial Policies
      • Editorial Board
      • Aims and Scope
      • Abstracting and Indexing
      • Bibliographic Information
      • Archive
    • International Journal of Epigenetics
      • International Journal of Epigenetics
      • Information for Authors
      • Editorial Policies
      • Editorial Board
      • Aims and Scope
      • Abstracting and Indexing
      • Bibliographic Information
      • Archive
    • Medicine International
      • Medicine International
      • Information for Authors
      • Editorial Policies
      • Editorial Board
      • Aims and Scope
      • Abstracting and Indexing
      • Bibliographic Information
      • Archive
  • Articles
  • Information
    • Information for Authors
    • Information for Reviewers
    • Information for Librarians
    • Information for Advertisers
    • Conferences
  • Language Editing
Spandidos Publications Logo
  • About
    • About Spandidos
    • Aims and Scopes
    • Abstracting and Indexing
    • Editorial Policies
    • Reprints and Permissions
    • Job Opportunities
    • Terms and Conditions
    • Contact
  • Journals
    • All Journals
    • Biomedical Reports
      • Information for Authors
      • Editorial Policies
      • Editorial Board
      • Aims and Scope
      • Abstracting and Indexing
      • Bibliographic Information
      • Archive
    • Experimental and Therapeutic Medicine
      • Information for Authors
      • Editorial Policies
      • Editorial Board
      • Aims and Scope
      • Abstracting and Indexing
      • Bibliographic Information
      • Archive
    • International Journal of Epigenetics
      • Information for Authors
      • Editorial Policies
      • Editorial Board
      • Aims and Scope
      • Abstracting and Indexing
      • Bibliographic Information
      • Archive
    • International Journal of Functional Nutrition
      • Information for Authors
      • Editorial Policies
      • Editorial Board
      • Aims and Scope
      • Abstracting and Indexing
      • Bibliographic Information
      • Archive
    • International Journal of Molecular Medicine
      • Information for Authors
      • Editorial Policies
      • Editorial Board
      • Aims and Scope
      • Abstracting and Indexing
      • Bibliographic Information
      • Archive
    • International Journal of Oncology
      • Information for Authors
      • Editorial Policies
      • Editorial Board
      • Aims and Scope
      • Abstracting and Indexing
      • Bibliographic Information
      • Archive
    • Medicine International
      • Information for Authors
      • Editorial Policies
      • Editorial Board
      • Aims and Scope
      • Abstracting and Indexing
      • Bibliographic Information
      • Archive
    • Molecular and Clinical Oncology
      • Information for Authors
      • Editorial Policies
      • Editorial Board
      • Aims and Scope
      • Abstracting and Indexing
      • Bibliographic Information
      • Archive
    • Molecular Medicine Reports
      • Information for Authors
      • Editorial Policies
      • Editorial Board
      • Aims and Scope
      • Abstracting and Indexing
      • Bibliographic Information
      • Archive
    • Oncology Letters
      • Information for Authors
      • Editorial Policies
      • Editorial Board
      • Aims and Scope
      • Abstracting and Indexing
      • Bibliographic Information
      • Archive
    • Oncology Reports
      • Information for Authors
      • Editorial Policies
      • Editorial Board
      • Aims and Scope
      • Abstracting and Indexing
      • Bibliographic Information
      • Archive
    • World Academy of Sciences Journal
      • Information for Authors
      • Editorial Policies
      • Editorial Board
      • Aims and Scope
      • Abstracting and Indexing
      • Bibliographic Information
      • Archive
  • Articles
  • Information
    • For Authors
    • For Reviewers
    • For Librarians
    • For Advertisers
    • Conferences
  • Language Editing
Login Register Submit
  • This site uses cookies
  • You can change your cookie settings at any time by following the instructions in our Cookie Policy. To find out more, you may read our Privacy Policy.

    I agree
Search articles by DOI, keyword, author or affiliation
Search
Advanced Search
presentation
Experimental and Therapeutic Medicine
Join Editorial Board Propose a Special Issue
Print ISSN: 1792-0981 Online ISSN: 1792-1015
Journal Cover
January-2022 Volume 23 Issue 1

Full Size Image

Sign up for eToc alerts
Recommend to Library

Journals

International Journal of Molecular Medicine

International Journal of Molecular Medicine

International Journal of Molecular Medicine is an international journal devoted to molecular mechanisms of human disease.

International Journal of Oncology

International Journal of Oncology

International Journal of Oncology is an international journal devoted to oncology research and cancer treatment.

Molecular Medicine Reports

Molecular Medicine Reports

Covers molecular medicine topics such as pharmacology, pathology, genetics, neuroscience, infectious diseases, molecular cardiology, and molecular surgery.

Oncology Reports

Oncology Reports

Oncology Reports is an international journal devoted to fundamental and applied research in Oncology.

Experimental and Therapeutic Medicine

Experimental and Therapeutic Medicine

Experimental and Therapeutic Medicine is an international journal devoted to laboratory and clinical medicine.

Oncology Letters

Oncology Letters

Oncology Letters is an international journal devoted to Experimental and Clinical Oncology.

Biomedical Reports

Biomedical Reports

Explores a wide range of biological and medical fields, including pharmacology, genetics, microbiology, neuroscience, and molecular cardiology.

Molecular and Clinical Oncology

Molecular and Clinical Oncology

International journal addressing all aspects of oncology research, from tumorigenesis and oncogenes to chemotherapy and metastasis.

World Academy of Sciences Journal

World Academy of Sciences Journal

Multidisciplinary open-access journal spanning biochemistry, genetics, neuroscience, environmental health, and synthetic biology.

International Journal of Functional Nutrition

International Journal of Functional Nutrition

Open-access journal combining biochemistry, pharmacology, immunology, and genetics to advance health through functional nutrition.

International Journal of Epigenetics

International Journal of Epigenetics

Publishes open-access research on using epigenetics to advance understanding and treatment of human disease.

Medicine International

Medicine International

An International Open Access Journal Devoted to General Medicine.

Journal Cover
January-2022 Volume 23 Issue 1

Full Size Image

Sign up for eToc alerts
Recommend to Library

  • Article
  • Citations
    • Cite This Article
    • Download Citation
    • Create Citation Alert
    • Remove Citation Alert
    • Cited By
  • Similar Articles
    • Related Articles (in Spandidos Publications)
    • Similar Articles (Google Scholar)
    • Similar Articles (PubMed)
  • Download PDF
  • Download XML
  • View XML
Review Open Access

Pathological complete response following cisplatin or carboplatin‑based neoadjuvant chemotherapy for triple‑negative breast cancer: A systematic review and meta‑analysis

  • Authors:
    • Radu Vidra
    • Adina Nemes
    • Andreea Vidrean
    • Sebastian Pintea
    • Snejeana Tintari
    • Andrada Deac
    • Tudor Ciuleanu
  • View Affiliations / Copyright

    Affiliations: Department of Oncology, ‘Iuliu Hatieganu’ University of Medicine and Pharmacy, 400012 Cluj‑Napoca, Romania, Department of Oncology, ‘Prof. Dr. Ion Chiricuta’ Oncology Institute, 400015 Cluj‑Napoca, Romania, Department of Psychology, ‘Babeș‑Bolyai’ University, 400084 Cluj‑Napoca, Romania, Department of Oncology, ‘Prof. Dr. Octavian Fodor’ Regional Institute of Gastroenterology and Hepatology, 400162 Cluj‑Napoca, Romania
    Copyright: © Vidra et al. This is an open access article distributed under the terms of Creative Commons Attribution License.
  • Article Number: 91
    |
    Published online on: November 26, 2021
       https://doi.org/10.3892/etm.2021.11014
  • Expand metrics +
Metrics: Total Views: 0 (Spandidos Publications: | PMC Statistics: )
Metrics: Total PDF Downloads: 0 (Spandidos Publications: | PMC Statistics: )
Cited By (CrossRef): 0 citations Loading Articles...

This article is mentioned in:


Abstract

The addition of platinum compounds to standard neoadjuvant chemotherapy (NACT) for triple‑negative breast cancer (TNBC) is highly controversial. Platinum agents, such as cisplatin and carboplatin, are DNA‑damaging agents which exhibit activity in breast cancer, particularly in the TNBC subgroup. In order to assess the efficacy of each most representative platinum agent (cisplatin and carboplatin) in patients with TNBC treated with NACT, the present study performed a systematic review and meta‑analysis of all available published studies on TNBC. A search of PubMed was performed to identify studies that investigated platinum‑based NACT in patients with TNBC. The primary endpoints were the pooled rate of the pathological complete response (pCR) between cisplatin vs. carboplatin‑based NACT. A total of 24 studies were selected (17 studies for carboplatin and 6 studies for cisplatin and 1 study with both carboplatin and cisplatin, with 20 prospective studies) for the analysis of 1,711 patients with TNBC. Overall, the pooled rate of pCR in patients treated with platinum‑based NACT was 48%. No significant differences were observed between the rates of pCR obtained under carboplatin vs cisplatin treatment. The carboplatin pCR rate was 0.470 [95% confidence interval (CI), 0.401‑0.539], while the cisplatin pCR rate was 0.473 (95% CI, 0.379‑0.568). The comparison between these two categories revealed no significant differences (P=0.959). In the whole, the present study demonstrates that neoadjuvant platinum‑based chemotherapy improves the pCR rate in patients with TNBC, regardless of the platinum agent used. Carboplatin may thus represent a viable option due to its more favorable toxicity profile.

Introduction

Triple-negative breast cancer (TNBC) is a term that defines breast cancers with a lack of expression of estrogen receptor (ER), progesterone receptor (PR) and human epidermal growth factor receptor 2 (Her2). It accounts for 10-20% of all breast tumors (1) and exhibits a more aggressive behavior than other molecular subtypes of breast cancer. Unlike other breast cancer subtypes (i.e., ER+/PR+; Her2+ breast cancers), there is currently no targeted therapy available for TNBC, although immunotherapy is available for advanced TNBC that expresses programmed cell death ligand 1 (PD-L1); however, this performed in combination with chemotherapy.

High-risk early-stage breast cancer is frequently associated with a high recurrence rate (2). Neoadjuvant chemotherapy (NACT) is the gold standard treatment in this setting (3-5).

In addition, the patients with pathological complete response (pCR) following NACT have longer disease-free and overall survival rates (6-9). The pCR has a strong prognostic value and is a surrogate endpoint for clinical trials testing neoadjuvant treatment in patients with early-stage breast cancer, including TNBC (7,10).

Despite its aggressive behavior, TNBC is particularly sensitive to cytotoxic chemotherapy (known as the ‘triple-negative paradox’) (11). The pCR is achieved in ~30-40% of TNBC cases following standard anthracycline plus cyclophosphamide- and taxane-based NACT (12).

At the molecular level, TNBC is a heterogeneous disease based on transcriptional and mutational heterogeneity. The biology of TNBC is characterized by an increased immunological infiltrate, a basal-like and mesenchymal phenotype, as well as a deficiency in homologous recombination (13).

Genomic instability in the homologous recombination repair gens (i.e., BRCA1 and BRCA2) provides specific therapeutic opportunities for the use of DNA double-strand break-inducing agents: Platinum salts, anthracyclines, cyclophosphamide and poly-ADP-ribose polymerase (PARP) inhibitors (14-16). Platinum agents, such as carboplatin and cisplatin are cytotoxic DNA-damaging compounds which lead to cell apoptosis (17).

Several trials have investigated the benefits of the addition of platinum agents to NACT regimens for TNBC with proven activity, efficacy and safety. In patients with TNBC, the addition of platinum agents is associated with significantly increased pCR rates; however, event-free and overall survival data remain inconclusive (18). To the best of our knowledge, to date, there is currently no available no meta-analysis comparing the pCR following NACT with the two principal and most commonly used platinum representatives, cisplatin and carboplatin.

The present study conducted a systematic review and meta-analysis of clinical trials in order to elucidate the differences and benefits of the addition of carboplatin or cisplatin to NACT for patients with TNBC.

Data and methods

Search strategy

A PubMed and Cochcrane Register of Controlled Trials search was conducted for published studies evaluating the pCR following platinum-based NACT for patients with TNBC from 1990 to November, 2020. The key medical terms used were: (breast cancer) AND breast cancer [MeSH Terms] AND [‘1990/01/01’(PDat): ‘2020/06/30’(PDat)] AND Humans [Mesh] AND English [lang] AND triple-negative AND [cisplatin (MeSH Terms)] OR carboplatin [MeSH Terms] OR platinum [MeSH Terms] AND [neoadjuvant therapy (MeSH Terms)] OR neoadjuvant treatment [MeSH Terms] AND breast cancer [MeSH Terms]. Only studies in the English language were selected.

Selection criteria

The eligibility criteria included prospective (randomized and open-label studies) and retrospective studies evaluating the pCR (both in the breast and axilla; ypT0N0) in patients with TNBC treated with cisplatin or carboplatin-based NACT. The reference lists of the included studies were examined in order to identify additional relevant articles. A flow-chart of the literature search is presented in Fig. 1.

Figure 1

Selection of publications included in the current meta-analysis.

From this analysis, studies with <20 patients, phase 1 studies and platinum single-agent studies were excluded. Data selection and extraction were performed by AN, AV and ST independently and data entry was performed by RV. The results were reviewed by the coordinating author (TC).

The primary endpoint of the present meta-analysis was the pooled pCR for the comparison of cisplatin vs. carboplatin-based NACT in TNBC.

Data extraction

The following information was extracted from each study/article: The first author and the year of publication, study design, the number of patients included, the neoadjuvant treatment by type (carboplatin or cisplatin), the number of cycles and the percentage of pCRs in the patients with TNBC.

Statistical analysis

The analysis was conducted using the Comprehensive Meta-Analysis software, version 2 (https://www.meta-analysis.com). As an indicator of the effect size, the event rate (the rate of pCR) was used. Publication bias analysis was performed computing the Begg and Mazumdar rank correlation test. This test computes the rank order correlation (Kendall's tau-b) between the effect size and the standard error (which is driven primarily by the sample size). This determines whether large studies tend to be included in the analysis, regardless of their effect size, whereas small studies are more likely to be included when they exhibit a relatively large effect size. For the moderation analysis, statistical comparisons were performed between the categories of each moderator (the case of categorical moderators) and meta-regressions for continuous moderators. The confidence intervals for the effect sizes were constructed in a parametric manner, for a probability of 95%, by adding on each side of the effect size, the product between its standard error and the critical Z-value 1.96.

Results

Identification of relevant studies

Upon an initial search, 290 relevant articles were identified for evaluation. Based on the inclusion and exclusion criteria, 266 articles were excluded. Case reports, clinical reports and clinical trials that did not provide pCR rates were excluded. Additionally, studies in which data extraction was impossible according to the triple-negative molecular subtype were also excluded. Ultimately, 24 studies were selected for analysis, comprising 1,711 patients with TNBC (19-42). In total, 20 studies were prospective studies and five were retrospective studies. There were 6 studies with cisplatin (5 prospective and 2 retrospective studies, including one arm from a retrospective study with both arms) with a total of 325 patients with TNBC. The remaining studies (18 studies) were with carboplatin (15 prospective studies and 3 retrospective studies, including one arm from a retrospective study with both cisplatin and carboplatin arms) with a total of 1,386 patients with TNBC (one study included cisplatin and carboplatin as well). The characteristics of the included trials are presented in Table I.

Table I

Characteristics of the studies included in the current meta-analysis.

Table I

Characteristics of the studies included in the current meta-analysis.

Authors/(Refs.), yearType of studyNLTN/not TNBCsProtocolpCR TNBCs with platinum (%)pCR TNBCs without platinum (%)pCR not TNBCs with (%)ORRs TNBCs with vs. without platinum (%)BCS (%)DFS/OS (%)DFS/OS pCR vs. no pCR pts (%)Median FU (months)
Frasci et al (40), 2009Prospective series74/0wCDDP + wEPI + wPAC62--98.3-76/8990/95.641
Torrisi et al (33), 2008Prospective series30/0EPI d1-2 + CDDP d1 + 5-FU ci d 1 (q21d) x 4 -> PAC d 1,8,15 (q28d) x 340--8686--17
Chen et al (38), 2010Phase 224/71wPAC + wCBDCA d1, 8,15 (q28d)33-------
Gogas et al (42), 2010Phase 246PAC -> CBDCA AUC69.5--60--/66-45
Chang et al (37), 2010Prospective series11/63CBDCA AUC6 d1 (q21d) + 3wDOC d1 (q21d) x 454.6-20.9----22.8
Silver et al (32), 2010 28CDDP 75 mg/m2 (q21d)21-------
Alba et al (20), 2012Phase 2 randomized93EC d1 q 21 x 4 + 3wDOC ± CBDCA AUC5 d1 (q21d) x 43035-77 vs. 7072 vs. 67---
Hurley et al (22), 2013Retrospective series144CBDCA AUC5 or wCBDCA or 3wCDDP + 3wDOC or wDOC x 4 ± AC x 431---7.655/6181 vs.44/78 vs.5148
Roy et al (26), 2013Phase 29/48DOC d1 (q14d) + CBDCA AUC6 d2 (q14d) x 444-11.9-34--38
Sikov et al (31), 2015Phase 2 randomized443wPAC x 12 -> AC d1 (q14d) X 4 ± wCBDCA ± bevacizumab (10 mg/kg) d1 (q14d) x 954 vs. 41b --57 vs. 40---
Ando et al (30), 2014Phase 2 Randomized181wCBDCA AUC5 + wPAC -> (CEF) CTX + EPI + 5-FU61.226.3-84.1 vs 70.3NR---
Kern et al (25), 2016Prospective series30CBDCA AUC6 + DOC d150 (q21d)---100---
Zhu et al (35), 2016Phase 214/96CBDCA AUC 5 + PAC ± trastuzumab (6 mg/mg), bi-weekly57.14-------
AL-Tweigeri et al (19), 2016Phase 251/29(FEC100) EPI + CTX + 5-FU d1 (q21d) -> CDDP + DOC ± trastuzumab d1 (q21d)36---NR67/8696/95 vs 57/8243
Cancello et al (36), 2015Phase 234EPI + CDDP + 5-FU d1 (q21d) -> PAC d1,8,15 (q28d) + CTX 50 mg/day for 12 weeks56------27
Shinde et al (29), 2015Retrospective series10/29CBDCA AUC6 + wPAC60-31-----
Zhang et al (34), 2016Phase 2 randomized91EPI + PAC d1/2 (q21d) vs. PAC + CBDCA AUC5 d2/1 (q21d)38.6 vs. 14--89.4 vs. 79.5-71.1 vs. 52.8/7 0.1 vs. 72.5-55
De Iuliis et al (23), 2017 24/37CBDCA AUC2 + PAC ± trastuzumab83--61,3957--48
Sharma et al (28), 2017Phase 2190CBDCA AUC6 + DOC + MGFS (q21d)55-------
Gluz et al (41), 2018Randomized trial336Arm A: PAC + GEM d1,8 (q3w) Arm B: PAC+ CBDCA AUC2 d1,8 (q3w)45.928.7------
Hahnen et al (21), 2017Randomized Clinical Trial291Arm A: PAC+ NPLD + bevacizumab + CBDCA AUC2 Arm B: PAC + NPLD + bevacizumab56.841.4---85.3/--35
Jovanovic et al (24), 2017Phase 2145CDDP + PAC ± everolimus40------42
Fontaine et al (39), 2019Prospective phase 263wPAC + CBDCA AUC2 -> EPI + CTX + MGFS54------22
Schmid et al (27), 2020Randomized double-blind trial1174PAC + CBDCA + pembrolizumab; PAC + CBDCA + pembro placebo -> DOC/EPI + CTX68.9/54.9------15,5

[i] W, weekly; d, day; - not available; TNBC, triple-negative breast cancer; pCR, pathologic complete response; NR, not reported; BCS, breast-conserving surgery; ORR, overall response rate; DFS, disease free survival; OS, overall survival; FU, follow up; CBDCA, carboplatin; CDDP, cisplatin; PAC, paclitaxel; DOC, docetexel; EPI, epirubicin; 5-FU, 5-fluorouracil; NPLD, non-pegylated liposomal doxorubicin; ADM, adriamycin; AUC, area under the curve; AC, adriamycin + cyclophosphamide; EC, epirubicin + cyclophosphamide; FEC, 5-fluorouracil + epirubicin 100 mg/m2 + cyclophosphamide; NAB-PAC, nab-paclitaxel; GEM, gemcitabine; CTX, cyclophosphamide; MGFS, myeloid growth factor support; ->, followed.

Heterogeneity of the included studies

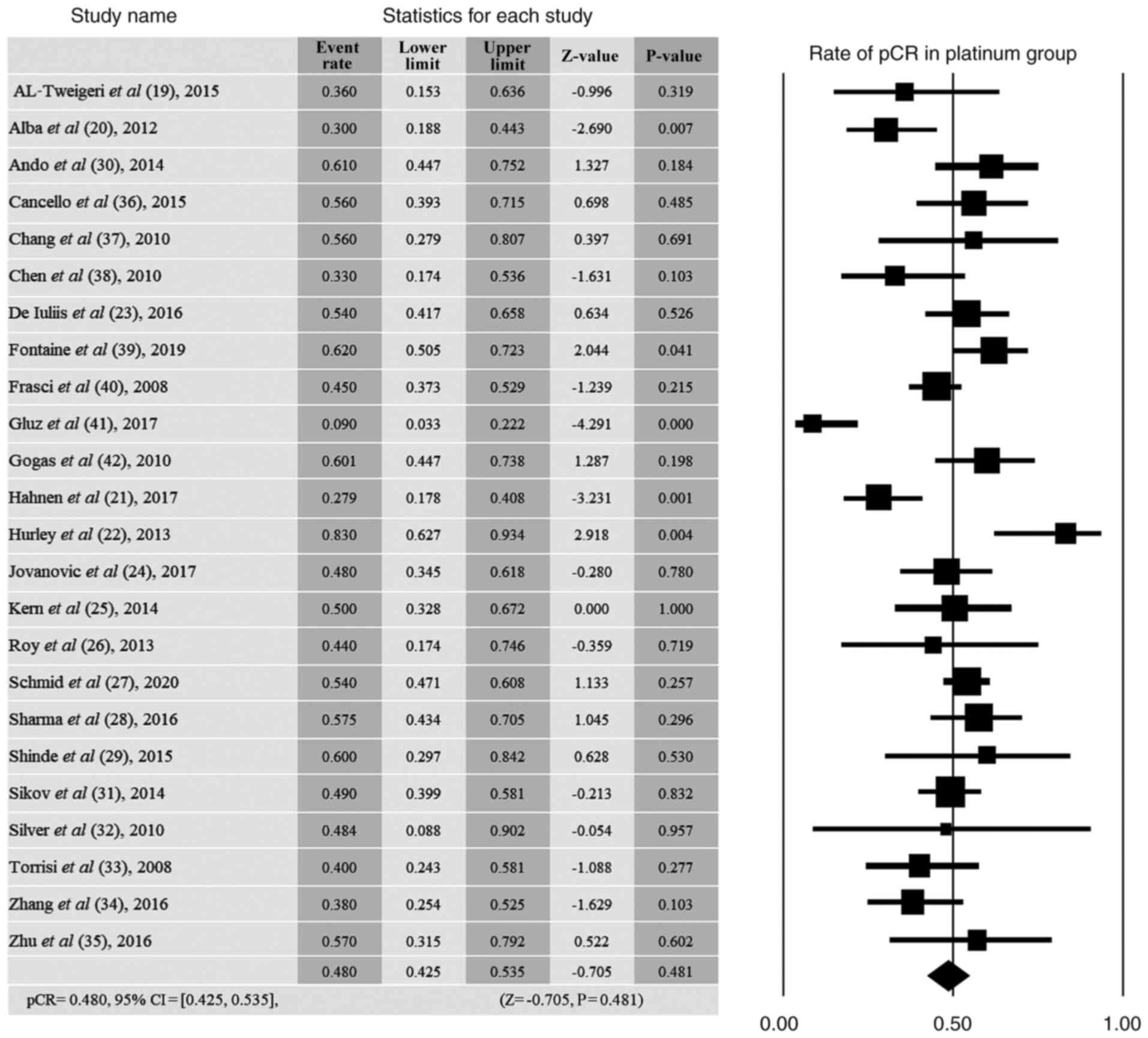
The distribution of effects proved to be significantly heterogeneous, Q(24)=65.13, P<0.001, which indicates that it would be reasonable to test several possible moderators of pCR rate variability. The heterogeneity test investigates whether the effect sizes from each study are sufficiently enough to consider that they come from different populations. In other words, the data upon which the analysis was performed is the distribution of the effect sizes from each study, which is represented in the forest plot (Fig. 2).

Figure 2

Forest plot of the overall pCR rate in the platinum group. The results indicate a non-significant overall rate of pCR=0.480; (95% CI, 0.425-0.535), compared with the pCR rate obtained under random conditions (Z=-0.705; P=0.481). pCR, pathological complete response.

Publication bias

The risk of publication bias was calculated using the Begg and Mazumdar rank correlation test. This test computes the rank order correlation (Kendall's tau-b) between the rate of pCR obtained in each study and the standard error (which is primarily driven by the sample size) to identify whether large studies tend to be included in the analysis regardless of their pCR rate, whereas small studies would be more likely to be included when they exhibit a relatively large pCR rate. The rank order correlation (Kendall's tau-b) analysis between the pCR rate and the standard error did not reveal any significant differences, which indicated no publication bias (tau-b=-0.090, P=0.528).

The present study performed a meta-analysis of published trials, which included both prospective and retrospective studies, representing a mixed population of patients with early-stage TNBC with different prognoses and responses to NACT. The NACT protocols were very heterogeneous, and platinum agents were associated with very different regimens (conventional and non-conventional combinations).

Overall, the pooled weighted pCR rate in patients with TNBC treated with platinum-based NACT was 48.0%. The results revealed a non-significant overall rate of pCR=0.480, (95% CI, 0.425-0.535), compared with the rate of pCR obtained in random conditions (Z=-0.705, P=0.481; Fig. 2).

According to the type of platinum agent used, the analysis of the pCR rate revealed no significant differences between the rate of pCR obtained with carboplatin vs. cisplatin treatment (Table II). In addition, no significant differences were observed between the rates of pCR obtained under carboplatin vs. cisplatin treatment. The effect sizes for both categories of the moderator did not differ significantly (carboplatin: pCR rate, 0.470; 95% CI, 0.401-0.539; cisplatin: pCR rate, 0.473; 95% CI, 0.379-0.568) (Table II). The comparison between these two categories revealed no significant differences [Q(1)=0.003; P=0.959]. Thus, as shown in Table II, no significant differences were observed between the rates of pCR obtained under carboplatin vs. cisplatin treatment.

Table II

Analysis of the pCR rate as a function of treatment (carboplatin vs cisplatin).

Table II

Analysis of the pCR rate as a function of treatment (carboplatin vs cisplatin).

 Heterogeneity between categories
TreatmentNo. of studiespCR rateInf (95% CI%)Sup (95% CI%)Z valueP-valueQ-valuedfP-value
Carboplatin180.4700.4010.539-0.8590.3900.00310.959
Cisplatin70.4730.3790.568-0.5590.576   

[i] pCR, pathological complete response; df, degrees of freedom; inf, confidence interval lower limit; sup, confidence interval upper limit.

According to the BRCA status, there was a slightly higher pCR rate for BRCA-positive patients, although no statistically significant differences were observed in comparison to the rate obtained for BRCA-negative patients. This analysis is perhaps as rather inconclusive due to the low number of studies that reported separate results for BRCA-positive and -negative in patients with TNBC (Table III). The pCR rate for BRCA-positive patients observed was 62.6% and that for BRCA-negative patients was 45.2%.

Table III

Analysis of the pCR rate as a function of BRCA (only 4 studies reported results separately, positive vs. negative).

Table III

Analysis of the pCR rate as a function of BRCA (only 4 studies reported results separately, positive vs. negative).

 Heterogeneity between categories
TreatmentNo. of studiespCR rateInf (95% CI%)Sup (95% CI%)Z valueP-valueQ-valuedfP-value
Negative30.4520.2940.621-0.5470.5842.53410.111
Positive30.6260.4950.7401.8920.059   

[i] pCR, pathological complete response; df, degrees of freedom; inf, confidence interval lower limit; sup, confidence interval upper limit.

Discussion

The present meta-analysis aimed to complement previous systematic review and meta-analysis studies (18,43,44) that analyzed the effects of platinum agents in TNBC as a class, without differentiation between the agents used (carboplatin and cisplatin) in this setting.

The data of the present study demonstrated a pCR rate of 48.0% (pCR, 0.480; 95% CI, 0.425-0.535) in patients with TNBC treated with platinum-based NACT. The current analyses confirmed that the addition of platinum agents confers a higher response rate in TNBC, 48.0 vs. 30-40% without addition of platinum agents, as previously observed by Petrelli et al (43). In the present study, the pooled pCR rate is similar that obtained in the study by Poggio et al (18) and Petrelli et al (43), with pCR rates of 51 and 45%, respectively.

In the meta-analysis by Petrelli et al, the pooled pCR rate for 1,598 patients with TNBC treated with platinum-based NACT was 45% (43). Poggio et al (18) also observed a significantly increased pCR rate (51%) in patients with TNBC treated with platinum-based NACT. In the present study, according to the type of platinum agent used, the analysis of the pCR rate did not reveal any significant differences between that obtained with carboplatin vs. cisplatin treatment (47.0 vs. 47.3%).

Poggio et al (18) reported a significant incidence of grade 3 and 4 hematological adverse events (AEs), and no increased risk of grade 3 and 4 neuropathy with platinum-based NACT. Given the lack of available data, the selection of the most effective platinum agent to be added to the neoadjuvant setting remains unclear, and the decision is guided by the patient characteristics and the decision made by the respective physician. Both carboplatin and cisplatin demonstrate toxicity consistent with their known safety profiles, with AEs occurring as anticipated for these well-known chemotherapy drugs (45).

BRCA mutations can be found in around 15-25% of patients with TNBC (46). It has been demonstrated that BRCA DNA repair defects determine a sensitivity to DNA-damaging agents, such as platinum salts and PARP inhibitors (16). The present study found that patients with TNBC who harbored a BRCA mutation had higher pCR rates compared to patients who were negative for BRCA mutations; however, the differences were not statistically significant.

These results are in accordance with the results of the meta-analysis by Caramelo et al (46), where a pCR rate of 58.4% was achieved in BRCA-positive patients with TNBC who received platinum-based NACT vs. one of 50.7% for BRCA-negative patients; their results did not reach statistical significance either. However, not all studies have found the same positive response to neoadjuvant platinum-based chemotherapy in BRCA-positive patients with TNBC. The GeparSixto trial demonstrated that the addition of platinum agents did not improve the pCR rate in BRCA-positive patients vs. those without BRCA mutations (36.4 vs. 55%) (21). Another meta-analysis confirmed the results from GeparSixto trial and suggested that the addition of platinum agents did not statistically improve the pCR rate (43.4 vs. 33.9%; OR, 1.340; 95% CI, 0.677-2.653; P=0.400) (47). The benefits of the addition of platinum agents to the neoadjuvant setting in BRCA-positive patients with TNBC still needs to be evaluated, considering the limited number of patients with BRCA mutations.

In a retrospective analysis of 144 patients with locally advanced TNBC, Hurley et al (22) evaluated the use of carboplatin and cisplatin. In the cisplatin-based NACT group (97 patients) a pCR rate of 35 (36.1%; HR, 0.32; P=0.009) was observed, vs. one of 10 (21.3%; HR, 0.40; P=0.002) in the carboplatin-based NACT group (47 patients), suggesting that cisplatin was superior to carboplatin, although with a different toxicity profile.

In conclusion, the present meta-analysis of published studies included both prospective and retrospective studies, representing a mixed population of early-stage TNBC with different prognoses and responses to NACT. The NACT protocols were very heterogeneous and the platinum agents were associated with markedly different regimens. To the best of our knowledge, the present study performed the first meta-analysis that investigated the efficacy of carboplatin and cisplatin as different chemotherapy agents in the neoadjuvant treatment of patients with TNBC. The results revealed that NACT improved the pCR rate in TNBC, regardless of the platinum agent used. Carboplatin represents a viable option in terms of accessibility, affordability and a more favorable toxicity profile.

Acknowledgements

Not applicable.

Funding

Funding: No funding was received.

Availability of data and materials

The datasets used and/or analyzed during the current study are available from the corresponding author on reasonable request.

Authors' contributions

AN, AV and ST performed the data selection and data extraction independently. RV performed data entry. SP and AD performed the statistical analysis. RV and TC, the coordinating author, were involved in the conception and the design of the study and reviewed the final results. RV, AN and TC confirm the authenticity of all the raw data. All authors have read and approved the final manuscript.

Ethics approval and consent to participate

Not applicable.

Patient consent for publication

Not applicable.

Competing interests

The authors declare that they have no competing interests.

References

1 

Gluz O, Liedtke C, Gottschalk N, Pusztai L, Nitz U and Harbeck N: Triple-negative breast cancer-current status and future directions. Ann Oncol. 20:1913–1927. 2009.PubMed/NCBI View Article : Google Scholar

2 

Hudis CA and Gianni L: Triple-negative breast cancer: An unmet medical need. Oncologist. 16 (Suppl 1):S1–S11. 2011.PubMed/NCBI View Article : Google Scholar

3 

Burstein HJ, Curigliano G, Loibl S, Dubsky P, Gnant M, Poortmans P, Colleoni M, Denkert C, Piccart-Gebhart M, Regan M, et al: Estimating the benefits of therapy for early-stage breast cancer: The St. Gallen international consensus guidelines for the primary therapy of early breast cancer 2019. Ann Oncol. 30:1541–1557. 2019.PubMed/NCBI View Article : Google Scholar

4 

Cardoso F, Kyriakides S, Ohno S, Penault-Llorca F, Poortmans P, Rubio IT, Zackrisson S and Senkus E: ESMO Guidelines Committee. Early breast cancer: ESMO clinical practice guidelines for diagnosis, treatment and follow-up. Ann Oncol. 30:1194–1220. 2019.PubMed/NCBI View Article : Google Scholar

5 

Pusztai L, Foldi J, Dhawan A, DiGiovanna MP and Mamounas EP: Changing frameworks in treatment sequencing of triple-negative and HER2-positive, early-stage breast cancers. Lancet Oncol. 20:e390–e396. 2019.PubMed/NCBI View Article : Google Scholar

6 

Huang M, O'Shaughnessy J, Zhao J, Haiderali A, Cortés J, Ramsey SD, Briggs A, Hu P, Karantza V, Aktan G, et al: Association of pathologic complete response with long-term survival outcomes in triple-negative breast cancer: A meta-analysis. Cancer Res. 80:5427–5434. 2020.PubMed/NCBI View Article : Google Scholar

7 

Cortazar P, Zhang L, Untch M, Mehta K, Costantino JP, Wolmark N, Bonnefoi H, Cameron D, Gianni L, Valagussa P, et al: Pathological complete response and long-term clinical benefit in breast cancer: The CTNeoBC pooled analysis. Lancet. 384:164–172. 2014.PubMed/NCBI View Article : Google Scholar

8 

Sikov WM, Polley MY, Twohy E, Perou CM, Singh B, Berry DA, Tolaney SM, Somlo G, Port ER, Ma CX, et al: CALGB (alliance) 40603: Long-term outcomes (LTOs) after neoadjuvant chemotherapy (NACT) +/- carboplatin (Cb) and bevacizumab (Bev) in triple-negative breast cancer (TNBC). J Clin Oncol. 37 (Suppl 15)(S591)2019.

9 

Spring LM, Fell G, Arfe A, Trippa L, Greenup R, Reynolds K, Smith BL, Moy B, Isakoff S, Parmigiani G and Bardia A: Abstract GS2-03: Pathological complete response after neoadjuvant chemotherapy and impact on breast cancer recurrence and mortality, stratified by breast cancer subtypes and adjuvant chemotherapy usage: Individual patient-level meta-analyses of over 27,000 patients. Cancer Res. 79 (Suppl 4):GS2–03. 2019.

10 

European Medicines Agency: The role of the pathological complete response as an endpoint in neoadjuvant breast cancer studies, 2014 https://www.ema.europa.eu/en/documents/scientific-guideline/draft-guideline-role-pathological-complete-response-endpoint-neoadjuvant-breast-cancer-studies_en.pdf. Accessed March 20, 2014.

11 

Carey LA, Dees EC, Sawyer L, Gatti L, Moore DT, Collichio F, Ollila DW, Sartor CI, Graham ML and Perou CM: The triple negative paradox: Primary tumor chemosensitivity of breast cancer subtypes. Clin Cancer Res. 13:2329–2334. 2007.PubMed/NCBI View Article : Google Scholar

12 

Liedtke C, Mazouni C, Hess KR, André F, Tordai A, Mejia JA, Symmans WF, Gonzalez-Angulo AM, Hennessy B, Green M, et al: Response to neoadjuvant therapy and long-term survival in patients with triple-negative breast cancer. J Clin Oncol. 26:1275–1281. 2008.PubMed/NCBI View Article : Google Scholar

13 

Denkert C, Liedtke C, Tutt A and von Minckwitz G: Molecular alterations in triple-negative breast cancer-the road to new treatment strategies. Lancet. 389:2430–2442. 2017.PubMed/NCBI View Article : Google Scholar

14 

Stockmans G, Deraedt K, Wildiers H, Moerman P and Paridaens R: Triple-negative breast cancer. Curr Opin Oncol. 20:614–620. 2008.PubMed/NCBI View Article : Google Scholar

15 

Collignon J, Lousberg L, Schroeder H and Jerusalem G: Triple-negative breast cancer: Treatment challenges and solutions. Breast Cancer (Dove Med Press). 8:93–107. 2016.PubMed/NCBI View Article : Google Scholar

16 

Yang F, Kemp CJ and Henikoff S: Anthracyclines induce double-strand DNA breaks at active gene promoters. Mutat Res. 773:9–15. 2015.PubMed/NCBI View Article : Google Scholar

17 

Kelland L: The resurgence of platinum-based cancer chemotherapy. Nat Rev Cancer. 7:573–584. 2007.PubMed/NCBI View Article : Google Scholar

18 

Poggio F, Bruzzone M, Ceppi M, Pondé NF, La Valle G, Del Mastro L, de Azambuja E and Lambertini M: Platinum-based neoadjuvant chemotherapy in triple-negative breast cancer: A systematic review and meta-analysis. Ann Oncol. 29:1497–1508. 2018.PubMed/NCBI View Article : Google Scholar

19 

AL-Tweigeri T, AlSayed A, Alawadi S, Ibrahim M, Ashour W, Jaafar H, Abulkhair O, AL-Abdulkarim H, Khalid H and Ajarim D: Gulf Oncology Research Group (GORG-001). A multicenter prospective phase II trial of neoadjuvant epirubicin, cyclophosphamide, and 5-fluorouracil (FEC100) followed by cisplatin-docetaxel with or without trastuzumab in locally advanced breast cancer. Cancer Chemother Pharmacol. 77:147–153. 2016.PubMed/NCBI View Article : Google Scholar

20 

Alba E, Chacon JI, Lluch A, Anton A, Estevez L, Cirauqui B, Carrasco E, Calvo L, Segui MA, Ribelles N, et al: A randomized phase II trial of platinum salts in basal-like breast cancer patients in the neoadjuvant setting. Results from the GEICAM/2006-03, multicenter study. Breast Cancer Res Treat. 136:487–493. 2012.PubMed/NCBI View Article : Google Scholar

21 

Hahnen E, Lederer B, Hauke J, Loibl S, Kröber S, Schneeweiss A, Denkert C, Fasching PA, Blohmer JU, Jackisch C, et al: Germline mutation status, pathological complete response, and disease-free survival in triple-negative breast cancer: Secondary analysis of the GeparSixto randomized clinical trial. JAMA Oncol. 3:1378–1385. 2017.PubMed/NCBI View Article : Google Scholar

22 

Hurley J, Reis IM, Rodgers SE, Gomez-Fernandez C, Wright J, Leone JP, Larrieu R and Pegram MD: The use of neoadjuvant platinum-based chemotherapy in locally advanced breast cancer that is triple negative: Retrospective analysis of 144 patients. Breast Cancer Res Treat. 138:783–794. 2013.PubMed/NCBI View Article : Google Scholar

23 

De Iuliis F, Salerno G, Corvino R, D'Aniello D, Cefalì K, Taglieri L, Lanza R and Scarpa S: Anthracycline-free neoadjuvant chemotherapy ensures higher rates of pathologic complete response in breast cancer. Clin Breast Cancer. 17:34–40. 2017.PubMed/NCBI View Article : Google Scholar

24 

Jovanovic B, Mayer IA, Mayer EL, Abramson VG, Bardia A, Sanders ME, Kuba MG, Estrada MV, Beeler JS, Shaver TM, et al: A randomized phase II neoadjuvant study of cisplatin, paclitaxel with or without everolimus in patients with stage II/III triple-negative breast cancer (TNBC): Responses and long-term outcome correlated with increased frequency of DNA damage response gene mutations, TNBC subtype, AR status, and Ki67. Clin Cancer Res. 23:4035–4045. 2017.PubMed/NCBI View Article : Google Scholar

25 

Kern P, Kalisch A, von Minckwitz G, Pütter C, Kolberg HC, Pott D, Kurbacher C, Rezai M and Kimmig R: Neoadjuvant, anthracycline-free chemotherapy with carboplatin and docetaxel in triple-negative, early-stage breast cancer: A multicentric analysis of rates of pathologic complete response and survival. J Chemother. 28:210–217. 2016.PubMed/NCBI View Article : Google Scholar

26 

Roy V, Pockaj BA, Allred JB, Apsey H, Northfelt DW, Nikcevich D, Mattar B and Perez EA: A phase II trial of docetaxel and carboplatin administered every 2 weeks as preoperative therapy for stage II or III breast cancer: NCCTG study N0338. Am J Clin Oncol. 36:540–544. 2013.PubMed/NCBI View Article : Google Scholar

27 

Schmid P, Cortes J, Pusztai L, McArthur H, Kümmel S, Bergh J, Denkert C, Park YH, Hui R, Harbeck N, et al: Pembrolizumab for early triple-negative breast cancer. N Engl J Med. 382:810–821. 2020.PubMed/NCBI View Article : Google Scholar

28 

Sharma P, López-Tarruella S, García-Saenz JA, Ward C, Connor CS, Gómez HL, Prat A, Moreno F, Jerez-Gilarranz Y, Barnadas A, et al: Efficacy of neoadjuvant carboplatin plus docetaxel in triple-negative breast cancer: Combined analysis of two cohorts. Clin Cancer Res. 23:649–657. 2017.PubMed/NCBI View Article : Google Scholar

29 

Shinde AM, Zhai J, Yu KW, Frankel P, Yim JH, Luu T, Kruper L, Vito C, Shaw S, Vora NL, et al: Pathologic complete response rates in triple-negative, HER2-positive, and hormone receptor-positive breast cancers after anthracycline-free neoadjuvant chemotherapy with carboplatin and paclitaxel with or without trastuzumab. Breast. 24:18–23. 2015.PubMed/NCBI View Article : Google Scholar

30 

Ando M, Yamauchi H, Aogi K, Shimizu S, Iwata H, Masuda N, Yamamoto N, Inoue K, Ohono S, Kuroi K, et al: Randomized phase II study of weekly paclitaxel with and without carboplatin followed by cyclophosphamide/epirubicin/5-fluorouracil as neoadjuvant chemotherapy for stage II/IIIA breast cancer without HER2 overexpression. Breast Cancer Res Treat. 145:401–409. 2014.PubMed/NCBI View Article : Google Scholar

31 

Sikov WM, Berry DA, Perou CM, Singh B, Cirrincione CT, Tolaney SM, Kuzma CS, Pluard TJ, Somlo G, Port ER, et al: Impact of the addition of carboplatin and/or bevacizumab to neoadjuvant once-per-week paclitaxel followed by dose-dense doxorubicin and cyclophosphamide on pathologic complete response rates in stage II to III triple-negative breast cancer: CALGB 40603 (alliance). J Clin Oncol. 33:13–21. 2015.PubMed/NCBI View Article : Google Scholar

32 

Silver DP, Richardson AL, Eklund AC, Wang ZC, Szallasi Z, Li Q, Juul N, Leong CO, Calogrias D, Buraimoh A, et al: Efficacy of neoadjuvant cisplatin in triple-negative breast cancer. J Clin Oncol. 28:1145–1153. 2010.PubMed/NCBI View Article : Google Scholar

33 

Torrisi R, Balduzzi A, Ghisini R, Rocca A, Bottiglieri L, Giovanardi F, Veronesi P, Luini A, Orlando L, Viale G, et al: Tailored preoperative treatment of locally advanced triple negative (hormone receptor negative and HER2 negative) breast cancer with epirubicin, cisplatin, and infusional fluorouracil followed by weekly paclitaxel. Cancer Chemother Pharmacol. 62:667–672. 2008.PubMed/NCBI View Article : Google Scholar

34 

Zhang P, Yin Y, Mo H, Zhang B, Wang X, Li Q, Yuan P, Wang J, Zheng S, Cai R, et al: Better pathologic complete response and relapse-free survival after carboplatin plus paclitaxel compared with epirubicin plus paclitaxel as neoadjuvant chemotherapy for locally advanced triple-negative breast cancer: A randomized phase 2 trial. Oncotarget. 7:60647–60656. 2016.PubMed/NCBI View Article : Google Scholar

35 

Zhu T, Liu CL, Zhang YF, Liu YH, Xu FP, Zu J, Zhang GC, Li XR, Liao N and Wang K: A phase II trial of dose-dense (biweekly) paclitaxel plus carboplatin as neoadjuvant chemotherapy for operable breast cancer. Breast Cancer Res Treat. 156:117–124. 2016.PubMed/NCBI View Article : Google Scholar

36 

Cancello G, Bagnardi V, Sangalli C, Montagna E, Dellapasqua S, Sporchia A, Iorfida M, Viale G, Barberis M, Veronesi P, et al: Phase II study with epirubicin, cisplatin, and infusional fluorouracil followed by weekly paclitaxel with metronomic cyclophosphamide as a preoperative treatment of triple-negative breast cancer. Clin Breast Cancer. 15:259–265. 2015.PubMed/NCBI View Article : Google Scholar

37 

Chang HR, Glaspy J, Allison MA, Kass FC, Elashoff R, Chung DU and Gornbein J: Differential response of triple-negative breast cancer to a docetaxel and carboplatin-based neoadjuvant treatment. Cancer. 116:4227–4237. 2010.PubMed/NCBI View Article : Google Scholar

38 

Chen XS, Nie XQ, Chen CM, Wu JY, Wu J, Lu JS, Shao ZM, Shen ZZ and Shen KW: Weekly paclitaxel plus carboplatin is an effective nonanthracycline-containing regimen as neoadjuvant chemotherapy for breast cancer. Ann Oncol. 21:961–967. 2010.PubMed/NCBI View Article : Google Scholar

39 

Fontaine C, Renard V, Van den Bulk H, Vuylsteke P, Glorieux P, Dopchie C, Decoster L, Vanacker L, de Azambuja E, De Greve J, et al: Weekly carboplatin plus neoadjuvant anthracycline-taxane-based regimen in early triple-negative breast cancer: A prospective phase II trial by the breast cancer task force of the Belgian society of medical oncology (BSMO). Breast Cancer Res Treat. 176:607–615. 2019.PubMed/NCBI View Article : Google Scholar

40 

Frasci G, Comella P, Rinaldo M, Iodice G, Di Bonito M, D'Aiuto M, Petrillo A, Lastoria S, Siani C, Comella G and D'Aiuto G: Preoperative weekly cisplatin-epirubicin-paclitaxel with G-CSF support in triple-negative large operable breast cancer. Ann Oncol. 20:1185–1192. 2009.PubMed/NCBI View Article : Google Scholar

41 

Gluz O, Nitz U, Liedtke C, Christgen M, Grischke EM, Forstbauer H, Braun M, Warm M, Hackmann J, Uleer C, et al: Comparison of neoadjuvant nab-paclitaxel+carboplatin vs nab-paclitaxel+gemcitabine in triple-negative breast cancer: Randomized WSG-ADAPT-TN trial results. J Natl Cancer Inst. 110:628–637. 2018.PubMed/NCBI View Article : Google Scholar

42 

Gogas H, Pectasides D, Kostopoulos I, Lianos E, Skarlos D, Papaxoinis G, Bobos M, Kalofonos HP, Petraki K, Pavlakis K, et al: Paclitaxel and carboplatin as neoadjuvant chemotherapy in patients with locally advanced breast cancer: A phase II trial of the hellenic cooperative oncology group. Clin Breast Cancer. 10:230–237. 2010.PubMed/NCBI View Article : Google Scholar

43 

Petrelli F, Coinu A, Borgonovo K, Cabiddu M, Ghilardi M, Lonati V and Barni S: The value of platinum agents as neoadjuvant chemotherapy in triple-negative breast cancers: A systematic review and meta-analysis. Breast Cancer Res Treat. 144:223–232. 2014.PubMed/NCBI View Article : Google Scholar

44 

Pandy JGP, Balolong-Garcia JC, Cruz-Ordinario MVB and Que FVF: Triple negative breast cancer and platinum-based systemic treatment: A meta-analysis and systematic review. BMC Cancer. 19(1065)2019.PubMed/NCBI View Article : Google Scholar

45 

Lokich J and Anderson N: Carboplatin versus cisplatin in solid tumors: An analysis of the literature. Ann Oncol. 9:13–21. 1998.PubMed/NCBI View Article : Google Scholar

46 

Greenup R, Buchanan A, Lorizio W, Rhoads K, Chan S, Leedom T, King R, McLennan J, Crawford B, Kelly Marcom P and Shelley Hwang E: Prevalence of BRCA mutations among women with triple-negative breast cancer (TNBC) in a genetic counseling cohort. Ann Surg Oncol. 20:3254–3258. 2013.PubMed/NCBI View Article : Google Scholar

46 

Caramelo O, Silva C, Caramelo F, Frutuoso C and Almeida-Santos T: The effect of neoadjuvant platinum-based chemotherapy in BRCA mutated triple negative breast cancers-systematic review and meta-analysis. Hered Cancer Clin Pract. 17(11)2019.PubMed/NCBI View Article : Google Scholar

47 

Wang CJ, Xu Y, Lin Y, Zhu HJ, Zhou YD, Mao F, Zhang XH, Huang X, Zhong Y, Sun Q and Li CG: Platinum-based neoadjuvant chemotherapy for breast cancer with BRCA mutations: A meta-analysis. Front Oncol. 10(592998)2020.PubMed/NCBI View Article : Google Scholar

Related Articles

  • Abstract
  • View
  • Download
  • Twitter
Copy and paste a formatted citation
Spandidos Publications style
Vidra R, Nemes A, Vidrean A, Pintea S, Tintari S, Deac A and Ciuleanu T: Pathological complete response following cisplatin or carboplatin‑based neoadjuvant chemotherapy for triple‑negative breast cancer: A systematic review and meta‑analysis. Exp Ther Med 23: 91, 2022.
APA
Vidra, R., Nemes, A., Vidrean, A., Pintea, S., Tintari, S., Deac, A., & Ciuleanu, T. (2022). Pathological complete response following cisplatin or carboplatin‑based neoadjuvant chemotherapy for triple‑negative breast cancer: A systematic review and meta‑analysis. Experimental and Therapeutic Medicine, 23, 91. https://doi.org/10.3892/etm.2021.11014
MLA
Vidra, R., Nemes, A., Vidrean, A., Pintea, S., Tintari, S., Deac, A., Ciuleanu, T."Pathological complete response following cisplatin or carboplatin‑based neoadjuvant chemotherapy for triple‑negative breast cancer: A systematic review and meta‑analysis". Experimental and Therapeutic Medicine 23.1 (2022): 91.
Chicago
Vidra, R., Nemes, A., Vidrean, A., Pintea, S., Tintari, S., Deac, A., Ciuleanu, T."Pathological complete response following cisplatin or carboplatin‑based neoadjuvant chemotherapy for triple‑negative breast cancer: A systematic review and meta‑analysis". Experimental and Therapeutic Medicine 23, no. 1 (2022): 91. https://doi.org/10.3892/etm.2021.11014
Copy and paste a formatted citation
x
Spandidos Publications style
Vidra R, Nemes A, Vidrean A, Pintea S, Tintari S, Deac A and Ciuleanu T: Pathological complete response following cisplatin or carboplatin‑based neoadjuvant chemotherapy for triple‑negative breast cancer: A systematic review and meta‑analysis. Exp Ther Med 23: 91, 2022.
APA
Vidra, R., Nemes, A., Vidrean, A., Pintea, S., Tintari, S., Deac, A., & Ciuleanu, T. (2022). Pathological complete response following cisplatin or carboplatin‑based neoadjuvant chemotherapy for triple‑negative breast cancer: A systematic review and meta‑analysis. Experimental and Therapeutic Medicine, 23, 91. https://doi.org/10.3892/etm.2021.11014
MLA
Vidra, R., Nemes, A., Vidrean, A., Pintea, S., Tintari, S., Deac, A., Ciuleanu, T."Pathological complete response following cisplatin or carboplatin‑based neoadjuvant chemotherapy for triple‑negative breast cancer: A systematic review and meta‑analysis". Experimental and Therapeutic Medicine 23.1 (2022): 91.
Chicago
Vidra, R., Nemes, A., Vidrean, A., Pintea, S., Tintari, S., Deac, A., Ciuleanu, T."Pathological complete response following cisplatin or carboplatin‑based neoadjuvant chemotherapy for triple‑negative breast cancer: A systematic review and meta‑analysis". Experimental and Therapeutic Medicine 23, no. 1 (2022): 91. https://doi.org/10.3892/etm.2021.11014
Follow us
  • Twitter
  • LinkedIn
  • Facebook
About
  • Spandidos Publications
  • Careers
  • Cookie Policy
  • Privacy Policy
How can we help?
  • Help
  • Live Chat
  • Contact
  • Email to our Support Team