Spandidos Publications Logo
  • About
    • About Spandidos
    • Aims and Scopes
    • Abstracting and Indexing
    • Editorial Policies
    • Reprints and Permissions
    • Job Opportunities
    • Terms and Conditions
    • Contact
  • Journals
    • All Journals
    • Oncology Letters
      • Oncology Letters
      • Information for Authors
      • Editorial Policies
      • Editorial Board
      • Aims and Scope
      • Abstracting and Indexing
      • Bibliographic Information
      • Archive
    • International Journal of Oncology
      • International Journal of Oncology
      • Information for Authors
      • Editorial Policies
      • Editorial Board
      • Aims and Scope
      • Abstracting and Indexing
      • Bibliographic Information
      • Archive
    • Molecular and Clinical Oncology
      • Molecular and Clinical Oncology
      • Information for Authors
      • Editorial Policies
      • Editorial Board
      • Aims and Scope
      • Abstracting and Indexing
      • Bibliographic Information
      • Archive
    • Experimental and Therapeutic Medicine
      • Experimental and Therapeutic Medicine
      • Information for Authors
      • Editorial Policies
      • Editorial Board
      • Aims and Scope
      • Abstracting and Indexing
      • Bibliographic Information
      • Archive
    • International Journal of Molecular Medicine
      • International Journal of Molecular Medicine
      • Information for Authors
      • Editorial Policies
      • Editorial Board
      • Aims and Scope
      • Abstracting and Indexing
      • Bibliographic Information
      • Archive
    • Biomedical Reports
      • Biomedical Reports
      • Information for Authors
      • Editorial Policies
      • Editorial Board
      • Aims and Scope
      • Abstracting and Indexing
      • Bibliographic Information
      • Archive
    • Oncology Reports
      • Oncology Reports
      • Information for Authors
      • Editorial Policies
      • Editorial Board
      • Aims and Scope
      • Abstracting and Indexing
      • Bibliographic Information
      • Archive
    • Molecular Medicine Reports
      • Molecular Medicine Reports
      • Information for Authors
      • Editorial Policies
      • Editorial Board
      • Aims and Scope
      • Abstracting and Indexing
      • Bibliographic Information
      • Archive
    • World Academy of Sciences Journal
      • World Academy of Sciences Journal
      • Information for Authors
      • Editorial Policies
      • Editorial Board
      • Aims and Scope
      • Abstracting and Indexing
      • Bibliographic Information
      • Archive
    • International Journal of Functional Nutrition
      • International Journal of Functional Nutrition
      • Information for Authors
      • Editorial Policies
      • Editorial Board
      • Aims and Scope
      • Abstracting and Indexing
      • Bibliographic Information
      • Archive
    • International Journal of Epigenetics
      • International Journal of Epigenetics
      • Information for Authors
      • Editorial Policies
      • Editorial Board
      • Aims and Scope
      • Abstracting and Indexing
      • Bibliographic Information
      • Archive
    • Medicine International
      • Medicine International
      • Information for Authors
      • Editorial Policies
      • Editorial Board
      • Aims and Scope
      • Abstracting and Indexing
      • Bibliographic Information
      • Archive
  • Articles
  • Information
    • Information for Authors
    • Information for Reviewers
    • Information for Librarians
    • Information for Advertisers
    • Conferences
  • Language Editing
Spandidos Publications Logo
  • About
    • About Spandidos
    • Aims and Scopes
    • Abstracting and Indexing
    • Editorial Policies
    • Reprints and Permissions
    • Job Opportunities
    • Terms and Conditions
    • Contact
  • Journals
    • All Journals
    • Biomedical Reports
      • Information for Authors
      • Editorial Policies
      • Editorial Board
      • Aims and Scope
      • Abstracting and Indexing
      • Bibliographic Information
      • Archive
    • Experimental and Therapeutic Medicine
      • Information for Authors
      • Editorial Policies
      • Editorial Board
      • Aims and Scope
      • Abstracting and Indexing
      • Bibliographic Information
      • Archive
    • International Journal of Epigenetics
      • Information for Authors
      • Editorial Policies
      • Editorial Board
      • Aims and Scope
      • Abstracting and Indexing
      • Bibliographic Information
      • Archive
    • International Journal of Functional Nutrition
      • Information for Authors
      • Editorial Policies
      • Editorial Board
      • Aims and Scope
      • Abstracting and Indexing
      • Bibliographic Information
      • Archive
    • International Journal of Molecular Medicine
      • Information for Authors
      • Editorial Policies
      • Editorial Board
      • Aims and Scope
      • Abstracting and Indexing
      • Bibliographic Information
      • Archive
    • International Journal of Oncology
      • Information for Authors
      • Editorial Policies
      • Editorial Board
      • Aims and Scope
      • Abstracting and Indexing
      • Bibliographic Information
      • Archive
    • Medicine International
      • Information for Authors
      • Editorial Policies
      • Editorial Board
      • Aims and Scope
      • Abstracting and Indexing
      • Bibliographic Information
      • Archive
    • Molecular and Clinical Oncology
      • Information for Authors
      • Editorial Policies
      • Editorial Board
      • Aims and Scope
      • Abstracting and Indexing
      • Bibliographic Information
      • Archive
    • Molecular Medicine Reports
      • Information for Authors
      • Editorial Policies
      • Editorial Board
      • Aims and Scope
      • Abstracting and Indexing
      • Bibliographic Information
      • Archive
    • Oncology Letters
      • Information for Authors
      • Editorial Policies
      • Editorial Board
      • Aims and Scope
      • Abstracting and Indexing
      • Bibliographic Information
      • Archive
    • Oncology Reports
      • Information for Authors
      • Editorial Policies
      • Editorial Board
      • Aims and Scope
      • Abstracting and Indexing
      • Bibliographic Information
      • Archive
    • World Academy of Sciences Journal
      • Information for Authors
      • Editorial Policies
      • Editorial Board
      • Aims and Scope
      • Abstracting and Indexing
      • Bibliographic Information
      • Archive
  • Articles
  • Information
    • For Authors
    • For Reviewers
    • For Librarians
    • For Advertisers
    • Conferences
  • Language Editing
Login Register Submit
  • This site uses cookies
  • You can change your cookie settings at any time by following the instructions in our Cookie Policy. To find out more, you may read our Privacy Policy.

    I agree
Search articles by DOI, keyword, author or affiliation
Search
Advanced Search
presentation
Experimental and Therapeutic Medicine
Join Editorial Board Propose a Special Issue
Print ISSN: 1792-0981 Online ISSN: 1792-1015
Journal Cover
April-2021 Volume 21 Issue 4

Full Size Image

Sign up for eToc alerts
Recommend to Library

Journals

International Journal of Molecular Medicine

International Journal of Molecular Medicine

International Journal of Molecular Medicine is an international journal devoted to molecular mechanisms of human disease.

International Journal of Oncology

International Journal of Oncology

International Journal of Oncology is an international journal devoted to oncology research and cancer treatment.

Molecular Medicine Reports

Molecular Medicine Reports

Covers molecular medicine topics such as pharmacology, pathology, genetics, neuroscience, infectious diseases, molecular cardiology, and molecular surgery.

Oncology Reports

Oncology Reports

Oncology Reports is an international journal devoted to fundamental and applied research in Oncology.

Experimental and Therapeutic Medicine

Experimental and Therapeutic Medicine

Experimental and Therapeutic Medicine is an international journal devoted to laboratory and clinical medicine.

Oncology Letters

Oncology Letters

Oncology Letters is an international journal devoted to Experimental and Clinical Oncology.

Biomedical Reports

Biomedical Reports

Explores a wide range of biological and medical fields, including pharmacology, genetics, microbiology, neuroscience, and molecular cardiology.

Molecular and Clinical Oncology

Molecular and Clinical Oncology

International journal addressing all aspects of oncology research, from tumorigenesis and oncogenes to chemotherapy and metastasis.

World Academy of Sciences Journal

World Academy of Sciences Journal

Multidisciplinary open-access journal spanning biochemistry, genetics, neuroscience, environmental health, and synthetic biology.

International Journal of Functional Nutrition

International Journal of Functional Nutrition

Open-access journal combining biochemistry, pharmacology, immunology, and genetics to advance health through functional nutrition.

International Journal of Epigenetics

International Journal of Epigenetics

Publishes open-access research on using epigenetics to advance understanding and treatment of human disease.

Medicine International

Medicine International

An International Open Access Journal Devoted to General Medicine.

Journal Cover
April-2021 Volume 21 Issue 4

Full Size Image

Sign up for eToc alerts
Recommend to Library

  • Article
  • Citations
    • Cite This Article
    • Download Citation
    • Create Citation Alert
    • Remove Citation Alert
    • Cited By
  • Similar Articles
    • Related Articles (in Spandidos Publications)
    • Similar Articles (Google Scholar)
    • Similar Articles (PubMed)
  • Download PDF
  • Download XML
  • View XML
Article

Cord blood telomere shortening associates with increased gestational age and birth weight in preterm neonates

  • Authors:
    • Nora Tabea Sibert
    • Mónica S. Ventura Ferreira
    • Wolfgang Wagner
    • Monika Eipel
    • Stephan Dreschers
    • Tim H. Brümmendorf
    • Thorsten Orlikowsky
    • Fabian Beier
  • View Affiliations / Copyright

    Affiliations: Department of Neonatology, Medical Faculty, RWTH Aachen University, D-52062 Aachen, Germany, Department of Hematology, Oncology, Hemostaseology and Stem Cell Transplantation, Medical Faculty, RWTH Aachen University, D-52062 Aachen, Germany, Helmholtz‑Institute for Biomedical Engineering, Stem Cell Biology and Cellular Engineering, Medical Faculty, RWTH Aachen University, D-52062 Aachen, Germany
  • Article Number: 344
    |
    Published online on: February 10, 2021
       https://doi.org/10.3892/etm.2021.9775
  • Expand metrics +
Metrics: Total Views: 0 (Spandidos Publications: | PMC Statistics: )
Metrics: Total PDF Downloads: 0 (Spandidos Publications: | PMC Statistics: )
Cited By (CrossRef): 0 citations Loading Articles...

This article is mentioned in:



Abstract

Preterm birth is considered to be associated with premature cellular aging. To address this question, two hallmarks of aging were analyzed in cord blood cells, namely telomere length and age‑associated DNA methylation. Cord blood samples from 35 preterm and 11 full‑term neonates were enrolled in the present study. Furthermore, quantitative telomere fluorescence in situ hybridization and flow cytometry (flow‑FISH) were applied to demonstrate that telomere shortening was strongly associated with advanced gestational age and increased birth weight (R2=0.267 for granulocytes and R2=0.307 for lymphocytes). The estimated rate of telomere attrition in newborns during gestation ranged from 126 base pairs (bp)/week and 186 bp/week for granulocytes and lymphocytes, respectively. In addition, neonates with longer telomeres at birth were characterized by increased weight gain during the first year of their life compared with that noted to neonates with shorter telomeres. By contrast, the epigenetic aging signature (EAS) revealed a negative correlation between epigenetic age and premature birth of unclear basis (R2=0.26). Pending prospective validation in a larger patient cohort, the present study suggested that telomere length may be a novel biomarker alone or in combination with traditional indicators for the prediction of weight development in preterm neonates.

Introduction

In neonatology, preterm birth is traditionally classified by gestational age in weeks and birth weight of the infant. These two markers are well-established core indicators for monitoring and evaluating perinatal health under routine health statistics (1,2). However, both indicators remain descriptive and non-functional, and do not allow for functional conclusions regarding the individual biological maturity and outcome of a preterm infant. Based on the gestational age, preterm birth is divided into the following three sub-categories: i) Extremely preterm, <28 weeks; ii) very preterm, 28-32 weeks; and iii) moderate to late preterm, 32-37 weeks (1). Despite the growing knowledge on the pathophysiology of this phenomenon, preterm birth still remains a global challenge, with preterm birth rates increasing in almost all countries according to reliable data (3), thus representing the leading cause of neonatal morbidity and mortality (4). Additionally, preterm birth is also associated with long-term increased risk of adverse health outcome. Long-term effects of preterm birth include visual, hearing and neurocognitive impairment as well as an increased risk of chronic diseases such as insulin resistance (5), respiratory (6) and cardiovascular diseases (7), typical diseases of the elderly population. The aforementioned reports indicate that preterm birth may be involved in premature aging, however, further studies identifying age-associated molecular markers as potential biomarkers in preterm infants are urgently needed.

Telomeres consist of repeats of the DNA sequence TTAGGG and are located at the end of each individual chromosome arm (8). With each somatic cell division, telomere length undergoes replicative shortening as DNA polymerase is unable to fully copy telomeric DNA, the so-called end-replication problem (9). Therefore, telomeres reflect the replicative history of a cell and provide a well-established marker for organismal aging and stem cell turnover (10,11). Furthermore, short telomeres have been associated with genomic instability and aging. It has been also reported that diseases characterized by disturbed telomere maintenance such as dyskeratosis congenita, are known to reflect the phenotype of premature aging (12).

Epigenetic alterations represent an additional established hallmark of aging (13). It has been well documented that DNA methylation patterns are modified with age. Therefore, several epigenetic aging signatures (EASs) have been applied to accurately estimate chronological age in children and adults (14-17). However, only few studies have been conducted on the identification of EASs designed especially for the neonatal population and these studies exhibited limited accuracy and precision ability due to the extremes of the population distribution (18).

The aim of the present study in preterm infants was to systematically investigate telomere length at birth and apply a previously established EAS as a potential novel biomarker, alternative to gestational age and birth weight.

Patients and methods

Samples and clinical characteristics

Cord blood from 46 neonates, including 35 preterm (28-37 weeks) and 11 full-term (>37 weeks) ones, was obtained immediately postpartum by midwives of the University Hospital of Aachen. All parents signed an informed consent form prior the collection of the samples and the study was approved by the ethics committee of the University Hospital of Aachen. Immediately after birth, the length, weight and head diameter of neonates were measured during routine follow-up. Detailed characteristics of the neonates are presented in Table I. Follow-up weight measurements were available for 9/46 of preterm neonates.

Table I

Clinical characteristics of the 46 analyzed neonates

Table I

Clinical characteristics of the 46 analyzed neonates

Value28-37 w1 n=35>37 w2 n=11
Sex  
     Female145
     Male216
Birth weight  
     SGA (<10th percentile)43
     AGA (10-90th percentile)308
     LGA (>90th percentile)10
Birth length (cm)  
     Average45.549.9
     SD3.23.3
Birth head diameter (cm)  
     Average31.533.8
     SD2.22.1
Maternal age (years)  
     <2530
     25-34183
     ≥35127
     NA21

[i] w, weeks; NA, not available; SGA, small for gestational age; AGA, appropriate for gestational age; kb, kilo base pairs; SD, standard deviation.

Flow-fluorescence in situ hybridization (FISH) analysis

Telomere length was prospectively analyzed in all 46 cord blood samples. The mean telomere length of lymphocytes and granulocytes was determined using flow-FISH as previously described (19-26). Briefly, bovine thymocytes were used as an internal control and were added to the peripheral blood cells. Samples were prepared for cell denaturation and mixed with a FITC labeled (CCCTAA)3 peptide nucleic acid (PNA) probe (Panagene Inc.) for DNA-hybridization followed by DNA counterstaining with LDS 751 (Sigma-Aldrich; Merck KGaA). Telomeric fluorescence analysis was carried out on FC-500 or Navios (both from Becton-Dickinson and Company) using forward scatter (cell volume) and LDS 751 staining for the identification of cell subsets (thymocytes, lymphocytes and granulocytes) (Fig. 1). The autofluorescence value of the respective unstained lymphocytes, granulocytes or thymocytes was subtracted from stained samples and the mean telomere length was calculated in relation to the internal control with a known telomere length. All measurements were performed single-blinded in triplicate.

Figure 1

Representative flow-FISH of the cord blood of a neonate. (A) Peripheral blood lymphocytes and granulocytes and cow thymocytes can be identified using forward scatter and DNA counterstaining with LDS751. (B) Stained and unstained cow thymocytes (C) Stained and unstained lymphocytes (D) Stained and unstained granulocytes. FISH, fluorescence in situ hybridization.

DNA methylation profiles using bisulfite pyrosequencing

To determine epigenetic age, 39 cord blood samples were analyzed based on previously published EASs (14) using bisulfite pyrosequencing. This technique is used to determine the DNA methylation levels at three CG dinucleotides (CpG sites) located in ASPA, ITGA2B and PDE4C genes. Genomic DNA was isolated with the DNA Blood and Tissue kit (Qiagen). A total of 500 ng genomic DNA were used for further experiments such as DNA bisulfite conversion and pyrosequencing. Both experiments were performed as described previously (14). Subsequently, age prediction was performed using the pyrosequencing results obtained from an improved multivariate model that was better adjusted for cord blood samples. This model was applied on recently described pyrosequencing results form a total of 156 blood samples particularly derived from adult donors (14). Age was predicted using the following equation: Predicted age (in years)=-0.27001α-0.30611β+1.77018γ+38.76516, where α indicated the methylation frequency of cg02228185 in ASPA gene; β the methylation frequency of cg25809905 in ITGA2B gene; and γ the methylation frequency of CpG upstream of cg17861230 in PDE4C gene.

Statistical analysis

Statistical analyses were performed using the GraphPad Prism v5.0 software (GraphPad Software Inc.). Subsequently, a linear regression model was applied to determine the approximate correlation between telomere length and gestational age and birth weight. P<0.05 was considered to indicate a statistically significant difference.

Results

Telomere length

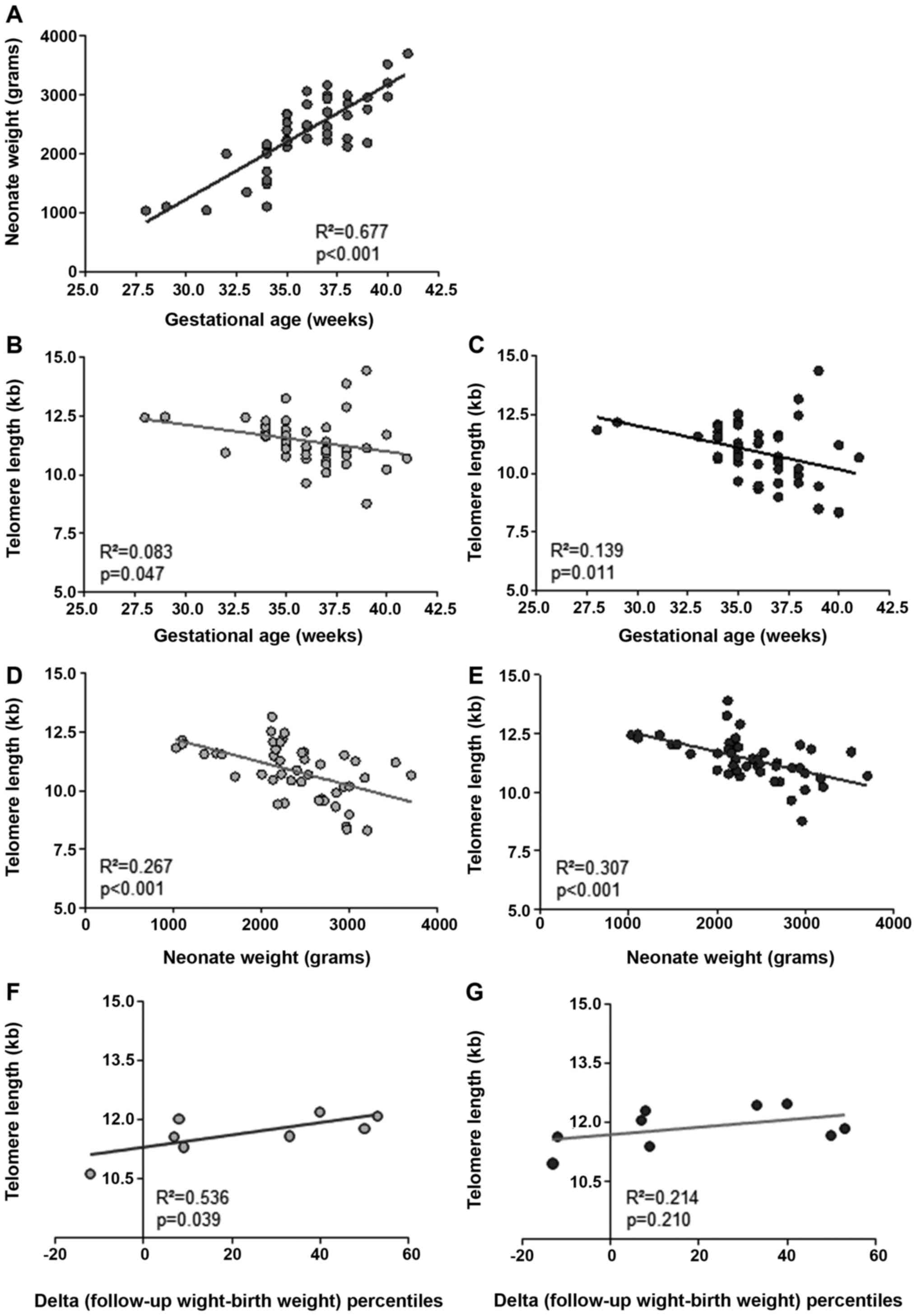
Telomere length was prospectively analyzed in 46 cord blood samples derived from 35 preterm (28-37 weeks) and 11 full-term (>37 weeks) neonates. The results indicated that increasing birth weight was highly correlated with increasing gestational age (Fig. 2A: R2=0.677; P<0.001). Subsequently, telomere length of granulocytes and lymphocytes from all neonates was determined by flow-FISH (27,28). Telomere length was inversely correlated with gestational age in both cell subpopulations (Fig. 2B and C: Granulocytes, R2=0.083; P=0.047; n=46; and lymphocytes, R2=0.139; P=0.011; n=45). In addition, telomere length was significantly correlated with birth weight (Fig. 2D and E: Granulocytes, R2=0.267; P<0.001; n=46; and lymphocytes, R2=0.307; P<0.001; n=45).

Figure 2

(A) Correlation between neonatal gestational age (in weeks) and birth weight (in grams). (B and C) Correlation between mean telomere length (in Kb) and gestational age (in weeks) in the neonates granulocytic and lymphocytic population. Grey circles indicate (B) granulocyte and dark circles indicate (C) lymphocytic subpopulation. (D and E) Correlation between mean telomere length (in Kb) and gestational age (in weeks). Grey circles indicate (D) granulocyte and dark circles indicate the (E) lymphocytic subpopulation. (F and G) Correlation between mean telomere length (in Kb) of the neonates granulocytes and lymphocytes and the respective Delta (follow-up weight percentile-birth weight percentile). Grey circles indicate (F) granulocyte and (G) dark circles indicate lymphocytic subpopulation.

To further compare telomere shortening with known values from children and adult cohorts, the estimated telomere attrition per week and per 500 g weight gain was calculated using a linear regression model. Telomere shortening per week was estimated to 0.126 and 0.186 kb for peripheral blood granulocytes and lymphocytes, respectively. Additionally, telomere shortening per 500 g of weight gain was measured to 0.424 and 0.497 kb in the neonates' granulocytes and lymphocytes, respectively (Table II).

Table II

Calculated telomere shortening in the lymphocyte and granulocyte subpopulation

Table II

Calculated telomere shortening in the lymphocyte and granulocyte subpopulation

 Telomere shortening per week (Kb)Telomere shortening per 500 g (Kb)
Granulocytes0.1257±0.06170.42395±0.0970
Lymphocytes0.1862±0.06990.49680±0.1246

In the present study, data on weight gain from 9 preterm neonates born within the 32-37th week of gestational age were also available. Therefore, the postnatal weight development percentile, indicating the difference between follow-up weight percentile and initial birth weight percentile, was correlated with telomere length at the time of birth. The results revealed a positive correlation between telomere length at birth and the difference in weight development percentiles (Fig. 2F and G). More specifically, a significant correlation was observed for peripheral blood granulocytes (Fig. 1F: R2=0.536; P=0.039; n=8), but not for peripheral blood lymphocytes, where no significant trend was obtained (Fig. 2G: R2=0.214; P=0.210; n=9).

EAS

To further extent the biomarker analysis, a cord blood-optimized EAS was applied in 39 cord blood samples. As expected, DNA methylation status of PDE4C, ITGA2B and ASPA genes at the three CpGs showed age-associated DNA methylation changes, which were consistent with previous measurements in cord blood (Fig. 3A-D). Our previously published multivariate model for age predictions was not customized for cord blood samples, therefore, the epigenetic age was systematically overestimated. To avoid bias, the multivariate model was adjusted and 39 cord blood samples were analyzed. This adjusted model provided a mean average deviation (MAD) between predicted and chronological age of 4.5 years for all samples and 2.2 years for cord blood samples. However, the application of this model requires further validation in the future using independent datasets (Fig. 3D). Furthermore, the estimated epigenetic age in the cord blood of preterm and full-term neonates was inversely correlated with gestational age (Fig. 3E: R2=0.26; P=0.001; n=39). These findings were consistent with our previous study, where the aforementioned multivariate model was performed (14). By contrast, no statistically significant correlation between predicted age and birth weight was observed (Fig. 3F: R2=0.07; P=0.10; n=39).

Figure 3

Correlation of gestational age and birth weight with epigenetic age (A-C) DNA methylation levels were analyzed at three age-associated CpGs associated with the genes (A) PDE4C, (B) ITGA2B and (C) ASPA in 156 blood samples of our previous work (blue) (14) and 39 cord blood samples of this study (red). The results were plotted against the logarithm of chronological age to depict age-differences of preterm cord blood. (D) Correlation of chronological age vs. predicted age based on a multivariate model with all of the above mentioned samples (MAD). The predicted ages revealed a moderate but significant inverse correlation with (E) gestational age, while there was no clear association with (F) birth weight. CpG, CG dinucleotides; MAD, mean absolute deviation.

Discussion

Preterm birth has an impact on the molecular markers of aging. The results of the present study were consistent with previously published data by Friedrich et al, demonstrating a significant correlation between birth weight and telomere length in extremely preterm infants. In the present study an accelerated rate of telomere shortening was also observed, with 0.126 and 0.186 kb per week in granulocytes and lymphocytes, respectively. Consistent with our results, a previous study demonstrated an estimated weekly telomere shortening rate of 0.041 kb in leucocytes from overall preterm (<37 week) infants and 0.238 kb in extreme to very preterm (27-32 week) born infants (29). In addition, other studies showed increased telomere shortening range during the first years of development, which was also consistent with the results of the current study (22,30).

This study also suggested that telomere length was strongly correlated with birth weight, but not with gestational age. Okuda et al reported a significant correlation between telomere length in different fetal tissues and cord blood (31). Therefore, it was hypothesized that telomere length in cord blood could be considered as a more robust surrogate marker for organismal growth/maturation and weight gain compared with gestational age. The estimated telomere length shortening was approximately 0.5 kb/500 g or 1 bp/1 g of weight gain. Therefore, the longitudinally followed neonates with longer telomeres as opposed to those with shorter telomeres, reached normal weight percentiles during the first year of development. The close correlation of telomere length and weight could explain the increasing variability of telomere length with increased week of gestation. However, other factors such as food consumption or parental body mass index may influence weight gain. Therefore, it was suggested that organismal growth and weight gain could be considered as additional factors contributing to the variability of telomere length.

Regarding DNA methylation in neonates, there is limited information on epigenetic changes during gestation. The present study also revealed a significant correlation with gestational age, but not with birth weight using the optimized EAS. A previous study by Javed et al did not report any association between gestational age, birth weight and methylation profile at birth based on 353 CpG sites and Horvath predictor for age estimation using cord blood (32). However, Knight et al established a predictor model for gestational age based on 148 CpG sites similar to the present data (18). In general, wider aging signatures may be more precise, however, pyrosequencing of few CpGs is more cost effective and provides higher site-specific precision of the DNA methylation levels. More interestingly, the finding that epigenetic and gestational age were inversely correlated was somewhat unexpected, therefore, further validation in independent and larger cohorts is urgently needed. It has been suggested that age-related DNA methylation changes in peripheral blood occur more rapidly during childhood and are imperfectly accounted for statistical corrections that are linear in age (33). Therefore, it is conceivable that preterm birth is associated with aberrant epigenetic age and vice versa.

In summary, this study highlighted the predictive value of aging biomarkers at birth. While telomere length is correlated with the organismal growth, DNA methylation changes are correlated with maturity based on gestational age. As preterm birth still remains a great challenge for pediatricians, reliable biomarkers with high prognostic value are needed for an efficient decision-making in a clinical setting. Furthermore, the findings of the present study supported the additive use of telomere length as a possible biomarker for therapy strategy in preterm neonates, as previously proposed (34). However, the number of cases was too low to suggest any strong clinical recommendations. Therefore, further research is needed to establish telomere length as a valuable prognostic biomarker for clinicians in predicting organismal growth and development of preterm born infants. The present study reinforced not only the importance of cellular aging during fetal development, but also the critical role of telomere length in predicting newborns' health outcome (growth and development).

Acknowledgements

The authors would like to thank Lucia Vankann and Melanie Coeuru from the Department of Hematology, Oncology, Hemostaseology and Stem Cell Transplantation) for technical assistance with flow-FISH.

Funding

Funding: No funding was received.

Availability of data and materials

The datasets used and/or analyzed during the current study are available from the corresponding author on reasonable request.

Author contributions

NTS wrote the manuscript, performed experiments, collected and analyzed data; MSVF performed experiments and interpreted the data; WW and ME performed experiments and interpreted the data; SD collected and analyzed the data; THB interpreted the data and provided financial support; TO and FB designed the experiments and provided financial support; all authors reviewed the manuscript.

Ethics approval and consent to participate

All parents signed an informed consent form prior the collection of the samples and the study was approved by the ethics committee of the University Hospital of Aachen (EK 041/15).

Patient consent for publication

Not applicable.

Competing interests

The authors declare that they have no competing interests.

References

1 

World Health Organization (WHO). WHO Recommendations on Interventions to Improve Preterm Birth Outcomes. World Health Organization, Geneva, 2015.

2 

Santos JV, Correia C, Cabral F, Bernardes J, Costa-Pereira A and Freitas A: Should European perinatal indicators be revisited? Eur J Obstet Gynecol Reprod Biol. 170:85–89. 2013.PubMed/NCBI View Article : Google Scholar

3 

Blencowe H, Cousens S, Oestergaard MZ, Chou D, Moller AB, Narwal R, Adler A, Vera Garcia C, Rohde S, Say L and Lawn JE: National, regional, and worldwide estimates of preterm birth rates in the year 2010 with time trends since 1990 for selected countries: A systematic analysis and implications. Lancet. 379:2162–2172. 2012.PubMed/NCBI View Article : Google Scholar

4 

Kinney MV, Lawn JE, Howson CP and Belizan J: 15 Million preterm births annually: What has changed this year? Reprod Health. 9(28)2012.PubMed/NCBI View Article : Google Scholar

5 

Salis ER, Reith DM, Wheeler BJ, Broadbent RS and Medlicott NJ: Hyperglycaemic preterm neonates exhibit insulin resistance and low insulin production. BMJ Paediatr Open. 1(e000160)2017.PubMed/NCBI View Article : Google Scholar

6 

Kwinta P and Pietrzyk JJ: Preterm birth and respiratory disease in later life. Expert Rev Respir Med. 4:593–604. 2010.PubMed/NCBI View Article : Google Scholar

7 

Demerath EW, Cameron N, Gillman MW, Towne B and Siervogel RM: Telomeres and telomerase in the fetal origins of cardiovascular disease: A review. Hum Biol. 76:127–146. 2004.PubMed/NCBI View Article : Google Scholar

8 

Greider CW and Blackburn EH: A telomeric sequence in the RNA of Tetrahymena telomerase required for telomere repeat synthesis. Nature. 337:331–337. 1989.PubMed/NCBI View Article : Google Scholar

9 

de Lange T: How telomeres solve the end-protection problem. Science. 326:948–952. 2009.PubMed/NCBI View Article : Google Scholar

10 

Blasco MA: Telomeres and human disease. Ageing, cancer and beyond. Nat Rev Genet. 6:611–622. 2005.PubMed/NCBI View Article : Google Scholar

11 

Brümmendorf TH and Balabanov S: Telomere length dynamics in normal hematopoiesis and in disease states characterized by increased stem cell turnover. Leukemia. 20:1706–1716. 2006.PubMed/NCBI View Article : Google Scholar

12 

Kirwan M and Dokal I: Dyskeratosis congenita, stem cells and telomeres. Biochim Biophys Acta. 1792:371–319. 2009.PubMed/NCBI View Article : Google Scholar

13 

López-Otín C, Blasco MA, Partridge L, Serrano M and Kroemer G: The hallmarks of aging. Cell. 153:1194–1217. 2013.PubMed/NCBI View Article : Google Scholar

14 

Weidner CI, Lin Q, Koch CM, Eisele L, Beier F, Ziegler P, Bauerschlag DO, Jöckel KH, Erbel R, Mühleisen TW, et al: Aging of blood can be tracked by DNA methylation changes at just three CpG sites. Genome Biol. 15(R24)2014.PubMed/NCBI View Article : Google Scholar

15 

Horvath S: DNA methylation age of human tissues and cell types. Genome Biol. 14(R115)2013.PubMed/NCBI View Article : Google Scholar

16 

Hannum G, Guinney J, Zhao L, Zhang L, Hughes G, Sadda S, Klotzle B, Bibikova M, Fan JB, Gao Y, et al: Genome-wide methylation profiles reveal quantitative views of human aging rates. Mol Cell. 49:359–367. 2013.PubMed/NCBI View Article : Google Scholar

17 

Bocklandt S, Lin W, Sehl ME, Sánchez FJ, Sinsheimer JS, Horvath S and Vilain E: Epigenetic predictor of age. PLoS One. 6(e14821)2011.PubMed/NCBI View Article : Google Scholar

18 

Knight AK, Craig JM, Theda C, Bækvad-Hansen M, Bybjerg-Grauholm J, Hansen CS, Hollegaard MV, Hougaard DM, Mortensen PB, Weinsheimer SM, et al: An epigenetic clock for gestational age at birth based on blood methylation data. Genome Biol. 17(206)2016.PubMed/NCBI View Article : Google Scholar

19 

Beier F, Balabanov S, Buckley T, Dietz K, Hartmann U, Rojewski M, Kanz L, Schrezenmeier H and Brümmendorf TH: Accelerated telomere shortening in glycosylphosphatidylinositol (GPI)-negative compared with GPI-positive granulocytes from patients with paroxysmal nocturnal hemoglobinuria (PNH) detected by proaerolysin flow-FISH. Blood. 106:531–533. 2005.PubMed/NCBI View Article : Google Scholar

20 

Beier F, Masouleh BK, Buesche G, Ventura Ferreira MS, Schneider RK, Ziegler P, Wilop S, Vankann L, Gattermann N, Platzbecker U, et al: Telomere dynamics in patients with del (5q) MDS before and under treatment with lenalidomide. Leuk Res, Sep 21, 2015 (Online ahead of print).

21 

Beier F, Foronda M, Martinez P and Blasco MA: Conditional TRF1 knockout in the hematopoietic compartment leads to bone marrow failure and recapitulates clinical features of dyskeratosis congenita. Blood. 120:2990–3000. 2012.PubMed/NCBI View Article : Google Scholar

22 

Werner B, Beier F, Hummel S, Balabanov S, Lassay L, Orlikowsky T, Dingli D, Brümmendorf TH and Traulsen A: Reconstructing the in vivo dynamics of hematopoietic stem cells from telomere length distributions. Elife. 4(e08687)2015.PubMed/NCBI View Article : Google Scholar

23 

Bartolović K, Balabanov S, Berner B, Bühring HJ, Komor M, Becker S, Hoelzer D, Kanz L, Hofmann WK and Brümmendorf TH: Clonal heterogeneity in growth kinetics of CD34+CD38-human cord blood cells in vitro is correlated with gene expression pattern and telomere length. Stem Cells. 23:946–957. 2005.PubMed/NCBI View Article : Google Scholar

24 

Brummendorf TH, Ersoz I, Hartmann U, Balabanov S, Wolke H, Paschka P, Lahaye T, Berner B, Bartolovic K, Kreil S, et al: Normalization of previously shortened telomere length under treatment with imatinib argues against a preexisting telomere length deficit in normal hematopoietic stem cells from patients with chronic myeloid leukemia. Ann N Y Acad Sci. 996:26–38. 2003.PubMed/NCBI View Article : Google Scholar

25 

Brümmendorf TH, Holyoake TL, Rufer N, Barnett MJ, Schulzer M, Eaves CJ, Eaves AC and Lansdorp PM: Prognostic implications of differences in telomere length between normal and malignant cells from patients with chronic myeloid leukemia measured by flow cytometry. Blood. 95:1883–1890. 2000.PubMed/NCBI

26 

Brümmendorf TH, Maciejewski JP, Mak J, Young NS and Lansdorp PM: Telomere length in leukocyte subpopulations of patients with aplastic anemia. Blood. 97:895–900. 2001.PubMed/NCBI View Article : Google Scholar

27 

Rufer N, Brümmendorf TH, Kolvraa S, Bischoff C, Christensen K, Wadsworth L, Schulzer M and Lansdorp PM: Telomere fluorescence measurements in granulocytes and T lymphocyte subsets point to a high turnover of hematopoietic stem cells and memory T cells in early childhood. J Exp Med. 190:157–167. 1999.PubMed/NCBI View Article : Google Scholar

28 

Baerlocher GM, Vulto I, de Jong G and Lansdorp PM: Flow cytometry and FISH to measure the average length of telomeres (flow FISH). Nat Protoc. 1:2365–2376. 2006.PubMed/NCBI View Article : Google Scholar

29 

Friedrich U, Schwab M, Griese EU, Fritz P and Klotz U: Telomeres in neonates: New insights in fetal hematopoiesis. Pediatr Res. 49:252–256. 2001.PubMed/NCBI View Article : Google Scholar

30 

Aubert G, Baerlocher GM, Vulto I, Poon SS and Lansdorp PM: Collapse of telomere homeostasis in hematopoietic cells caused by heterozygous mutations in telomerase genes. PLoS Genet. 8(e1002696)2012.PubMed/NCBI View Article : Google Scholar

31 

Okuda K, Bardeguez A, Gardner JP, Rodriguez P, Ganesh V, Kimura M, Skurnick J, Awad G and Aviv A: Telomere length in the newborn. Pediatr Res. 52:377–381. 2002.PubMed/NCBI View Article : Google Scholar

32 

Javed R, Chen W, Lin F and Liang H: Infant's DNA methylation age at birth and epigenetic aging accelerators. Biomed Res Int. 2016(4515928)2016.PubMed/NCBI View Article : Google Scholar

33 

Alisch RS, Barwick BG, Chopra P, Myrick LK, Satten GA, Conneely KN and Warren ST: Age-associated DNA methylation in pediatric populations. Genome Res. 22:623–632. 2012.PubMed/NCBI View Article : Google Scholar

34 

Turner KJ, Vasu V, Greenall J and Griffin DK: Telomere length analysis and preterm infant health: The importance of assay design in the search for novel biomarkers. Biomark Med. 8:485–498. 2014.PubMed/NCBI View Article : Google Scholar

Related Articles

  • Abstract
  • View
  • Download
  • Twitter
Copy and paste a formatted citation
Spandidos Publications style
Sibert NT, Ferreira MS, Wagner W, Eipel M, Dreschers S, Brümmendorf TH, Orlikowsky T and Beier F: Cord blood telomere shortening associates with increased gestational age and birth weight in preterm neonates. Exp Ther Med 21: 344, 2021.
APA
Sibert, N.T., Ferreira, M.S., Wagner, W., Eipel, M., Dreschers, S., Brümmendorf, T.H. ... Beier, F. (2021). Cord blood telomere shortening associates with increased gestational age and birth weight in preterm neonates. Experimental and Therapeutic Medicine, 21, 344. https://doi.org/10.3892/etm.2021.9775
MLA
Sibert, N. T., Ferreira, M. S., Wagner, W., Eipel, M., Dreschers, S., Brümmendorf, T. H., Orlikowsky, T., Beier, F."Cord blood telomere shortening associates with increased gestational age and birth weight in preterm neonates". Experimental and Therapeutic Medicine 21.4 (2021): 344.
Chicago
Sibert, N. T., Ferreira, M. S., Wagner, W., Eipel, M., Dreschers, S., Brümmendorf, T. H., Orlikowsky, T., Beier, F."Cord blood telomere shortening associates with increased gestational age and birth weight in preterm neonates". Experimental and Therapeutic Medicine 21, no. 4 (2021): 344. https://doi.org/10.3892/etm.2021.9775
Copy and paste a formatted citation
x
Spandidos Publications style
Sibert NT, Ferreira MS, Wagner W, Eipel M, Dreschers S, Brümmendorf TH, Orlikowsky T and Beier F: Cord blood telomere shortening associates with increased gestational age and birth weight in preterm neonates. Exp Ther Med 21: 344, 2021.
APA
Sibert, N.T., Ferreira, M.S., Wagner, W., Eipel, M., Dreschers, S., Brümmendorf, T.H. ... Beier, F. (2021). Cord blood telomere shortening associates with increased gestational age and birth weight in preterm neonates. Experimental and Therapeutic Medicine, 21, 344. https://doi.org/10.3892/etm.2021.9775
MLA
Sibert, N. T., Ferreira, M. S., Wagner, W., Eipel, M., Dreschers, S., Brümmendorf, T. H., Orlikowsky, T., Beier, F."Cord blood telomere shortening associates with increased gestational age and birth weight in preterm neonates". Experimental and Therapeutic Medicine 21.4 (2021): 344.
Chicago
Sibert, N. T., Ferreira, M. S., Wagner, W., Eipel, M., Dreschers, S., Brümmendorf, T. H., Orlikowsky, T., Beier, F."Cord blood telomere shortening associates with increased gestational age and birth weight in preterm neonates". Experimental and Therapeutic Medicine 21, no. 4 (2021): 344. https://doi.org/10.3892/etm.2021.9775
Follow us
  • Twitter
  • LinkedIn
  • Facebook
About
  • Spandidos Publications
  • Careers
  • Cookie Policy
  • Privacy Policy
How can we help?
  • Help
  • Live Chat
  • Contact
  • Email to our Support Team