Spandidos Publications Logo
  • About
    • About Spandidos
    • Aims and Scopes
    • Abstracting and Indexing
    • Editorial Policies
    • Reprints and Permissions
    • Job Opportunities
    • Terms and Conditions
    • Contact
  • Journals
    • All Journals
    • Oncology Letters
      • Oncology Letters
      • Information for Authors
      • Editorial Policies
      • Editorial Board
      • Aims and Scope
      • Abstracting and Indexing
      • Bibliographic Information
      • Archive
    • International Journal of Oncology
      • International Journal of Oncology
      • Information for Authors
      • Editorial Policies
      • Editorial Board
      • Aims and Scope
      • Abstracting and Indexing
      • Bibliographic Information
      • Archive
    • Molecular and Clinical Oncology
      • Molecular and Clinical Oncology
      • Information for Authors
      • Editorial Policies
      • Editorial Board
      • Aims and Scope
      • Abstracting and Indexing
      • Bibliographic Information
      • Archive
    • Experimental and Therapeutic Medicine
      • Experimental and Therapeutic Medicine
      • Information for Authors
      • Editorial Policies
      • Editorial Board
      • Aims and Scope
      • Abstracting and Indexing
      • Bibliographic Information
      • Archive
    • International Journal of Molecular Medicine
      • International Journal of Molecular Medicine
      • Information for Authors
      • Editorial Policies
      • Editorial Board
      • Aims and Scope
      • Abstracting and Indexing
      • Bibliographic Information
      • Archive
    • Biomedical Reports
      • Biomedical Reports
      • Information for Authors
      • Editorial Policies
      • Editorial Board
      • Aims and Scope
      • Abstracting and Indexing
      • Bibliographic Information
      • Archive
    • Oncology Reports
      • Oncology Reports
      • Information for Authors
      • Editorial Policies
      • Editorial Board
      • Aims and Scope
      • Abstracting and Indexing
      • Bibliographic Information
      • Archive
    • Molecular Medicine Reports
      • Molecular Medicine Reports
      • Information for Authors
      • Editorial Policies
      • Editorial Board
      • Aims and Scope
      • Abstracting and Indexing
      • Bibliographic Information
      • Archive
    • World Academy of Sciences Journal
      • World Academy of Sciences Journal
      • Information for Authors
      • Editorial Policies
      • Editorial Board
      • Aims and Scope
      • Abstracting and Indexing
      • Bibliographic Information
      • Archive
    • International Journal of Functional Nutrition
      • International Journal of Functional Nutrition
      • Information for Authors
      • Editorial Policies
      • Editorial Board
      • Aims and Scope
      • Abstracting and Indexing
      • Bibliographic Information
      • Archive
    • International Journal of Epigenetics
      • International Journal of Epigenetics
      • Information for Authors
      • Editorial Policies
      • Editorial Board
      • Aims and Scope
      • Abstracting and Indexing
      • Bibliographic Information
      • Archive
    • Medicine International
      • Medicine International
      • Information for Authors
      • Editorial Policies
      • Editorial Board
      • Aims and Scope
      • Abstracting and Indexing
      • Bibliographic Information
      • Archive
  • Articles
  • Information
    • Information for Authors
    • Information for Reviewers
    • Information for Librarians
    • Information for Advertisers
    • Conferences
  • Language Editing
Spandidos Publications Logo
  • About
    • About Spandidos
    • Aims and Scopes
    • Abstracting and Indexing
    • Editorial Policies
    • Reprints and Permissions
    • Job Opportunities
    • Terms and Conditions
    • Contact
  • Journals
    • All Journals
    • Biomedical Reports
      • Information for Authors
      • Editorial Policies
      • Editorial Board
      • Aims and Scope
      • Abstracting and Indexing
      • Bibliographic Information
      • Archive
    • Experimental and Therapeutic Medicine
      • Information for Authors
      • Editorial Policies
      • Editorial Board
      • Aims and Scope
      • Abstracting and Indexing
      • Bibliographic Information
      • Archive
    • International Journal of Epigenetics
      • Information for Authors
      • Editorial Policies
      • Editorial Board
      • Aims and Scope
      • Abstracting and Indexing
      • Bibliographic Information
      • Archive
    • International Journal of Functional Nutrition
      • Information for Authors
      • Editorial Policies
      • Editorial Board
      • Aims and Scope
      • Abstracting and Indexing
      • Bibliographic Information
      • Archive
    • International Journal of Molecular Medicine
      • Information for Authors
      • Editorial Policies
      • Editorial Board
      • Aims and Scope
      • Abstracting and Indexing
      • Bibliographic Information
      • Archive
    • International Journal of Oncology
      • Information for Authors
      • Editorial Policies
      • Editorial Board
      • Aims and Scope
      • Abstracting and Indexing
      • Bibliographic Information
      • Archive
    • Medicine International
      • Information for Authors
      • Editorial Policies
      • Editorial Board
      • Aims and Scope
      • Abstracting and Indexing
      • Bibliographic Information
      • Archive
    • Molecular and Clinical Oncology
      • Information for Authors
      • Editorial Policies
      • Editorial Board
      • Aims and Scope
      • Abstracting and Indexing
      • Bibliographic Information
      • Archive
    • Molecular Medicine Reports
      • Information for Authors
      • Editorial Policies
      • Editorial Board
      • Aims and Scope
      • Abstracting and Indexing
      • Bibliographic Information
      • Archive
    • Oncology Letters
      • Information for Authors
      • Editorial Policies
      • Editorial Board
      • Aims and Scope
      • Abstracting and Indexing
      • Bibliographic Information
      • Archive
    • Oncology Reports
      • Information for Authors
      • Editorial Policies
      • Editorial Board
      • Aims and Scope
      • Abstracting and Indexing
      • Bibliographic Information
      • Archive
    • World Academy of Sciences Journal
      • Information for Authors
      • Editorial Policies
      • Editorial Board
      • Aims and Scope
      • Abstracting and Indexing
      • Bibliographic Information
      • Archive
  • Articles
  • Information
    • For Authors
    • For Reviewers
    • For Librarians
    • For Advertisers
    • Conferences
  • Language Editing
Login Register Submit
  • This site uses cookies
  • You can change your cookie settings at any time by following the instructions in our Cookie Policy. To find out more, you may read our Privacy Policy.

    I agree
Search articles by DOI, keyword, author or affiliation
Search
Advanced Search
presentation
Experimental and Therapeutic Medicine
Join Editorial Board Propose a Special Issue
Print ISSN: 1792-0981 Online ISSN: 1792-1015
Journal Cover
September-2022 Volume 24 Issue 3

Full Size Image

Sign up for eToc alerts
Recommend to Library

Journals

International Journal of Molecular Medicine

International Journal of Molecular Medicine

International Journal of Molecular Medicine is an international journal devoted to molecular mechanisms of human disease.

International Journal of Oncology

International Journal of Oncology

International Journal of Oncology is an international journal devoted to oncology research and cancer treatment.

Molecular Medicine Reports

Molecular Medicine Reports

Covers molecular medicine topics such as pharmacology, pathology, genetics, neuroscience, infectious diseases, molecular cardiology, and molecular surgery.

Oncology Reports

Oncology Reports

Oncology Reports is an international journal devoted to fundamental and applied research in Oncology.

Experimental and Therapeutic Medicine

Experimental and Therapeutic Medicine

Experimental and Therapeutic Medicine is an international journal devoted to laboratory and clinical medicine.

Oncology Letters

Oncology Letters

Oncology Letters is an international journal devoted to Experimental and Clinical Oncology.

Biomedical Reports

Biomedical Reports

Explores a wide range of biological and medical fields, including pharmacology, genetics, microbiology, neuroscience, and molecular cardiology.

Molecular and Clinical Oncology

Molecular and Clinical Oncology

International journal addressing all aspects of oncology research, from tumorigenesis and oncogenes to chemotherapy and metastasis.

World Academy of Sciences Journal

World Academy of Sciences Journal

Multidisciplinary open-access journal spanning biochemistry, genetics, neuroscience, environmental health, and synthetic biology.

International Journal of Functional Nutrition

International Journal of Functional Nutrition

Open-access journal combining biochemistry, pharmacology, immunology, and genetics to advance health through functional nutrition.

International Journal of Epigenetics

International Journal of Epigenetics

Publishes open-access research on using epigenetics to advance understanding and treatment of human disease.

Medicine International

Medicine International

An International Open Access Journal Devoted to General Medicine.

Journal Cover
September-2022 Volume 24 Issue 3

Full Size Image

Sign up for eToc alerts
Recommend to Library

  • Article
  • Citations
    • Cite This Article
    • Download Citation
    • Create Citation Alert
    • Remove Citation Alert
    • Cited By
  • Similar Articles
    • Related Articles (in Spandidos Publications)
    • Similar Articles (Google Scholar)
    • Similar Articles (PubMed)
  • Download PDF
  • Download XML
  • View XML
Article Open Access

Sternum length norms in Han youngsters in central China

  • Authors:
    • Shuai Li
    • Ping Lei
    • Yuan Liu
    • Cen Chen
    • Dehua Yang
    • Xin Li
    • Shao-Tao Tang
  • View Affiliations / Copyright

    Affiliations: Department of Pediatric Surgery, Union Hospital, Tongji Medical College, Huazhong University of Science and Technology, Wuhan, Hubei 430022, P.R. China, Department of Radiology, Union Hospital, Tongji Medical College, Huazhong University of Science and Technology, Wuhan, Hubei 430022, P.R. China, Department of Pediatric Surgery, Union Hospital, Tongji Medical College, Huazhong University of Science and Technology, Wuhan, Hubei 430022, P.R. China
    Copyright: © Li et al. This is an open access article distributed under the terms of Creative Commons Attribution License.
  • Article Number: 559
    |
    Published online on: July 5, 2022
       https://doi.org/10.3892/etm.2022.11496
  • Expand metrics +
Metrics: Total Views: 0 (Spandidos Publications: | PMC Statistics: )
Metrics: Total PDF Downloads: 0 (Spandidos Publications: | PMC Statistics: )
Cited By (CrossRef): 0 citations Loading Articles...

This article is mentioned in:



Abstract

The sternum is one of the most important components of the chest wall. However, to the best of our knowledge, at present there is no reference value of the sternum length in normal Han Chinese children that has been published in the literature. The aim of the present study was therefore to establish the reference value of sternum length in a normal Han Chinese population of different ages and sex groups. Chest computed tomography scans and three‑dimensional reconstruction images of 1,080 individuals who were younger than 18 years old and without congenital or acquired structural anomalies or congenital metabolic diseases were retrospectively reviewed. The length of the sternum was measured for each individual and comparisons of the sternum length according to sex were conducted using the Mann‑Whitney test. Age or region group comparisons were performed using the ANOVA test, and the association between the length of the sternum and age was assessed by regression analysis. A significant association between the age (x) of the individual and the length of the sternum (y) was confirmed, although different regression patterns were identified for the sexes (the regression equation for males was y=5.616x+60.408; P<0.001; R2=0.890, whereas that for females was y=‑0.134x2+6.543x+56.805; P<0.001, R2=0.890). No significant differences in sternum length were identified between the sexes for subjects aged 1‑13 years old, whereas significant differences were observed comparing the sexes of the subjects aged 14‑18 years old. In conclusion, the present study revealed that the length of the sternum in normal Han Chinese children can be precisely estimated by the age of the child using our formulae for the different sexes (where the most‑fit formulae for the two sexes are different). This knowledge can be applied clinically in chest wall deformity assessment, and in surgery planning.

Introduction

Chest-wall malformations have a relatively high incidence (more than 1 per 500 live births) and an unsuspecting impact on the quality of life of patients (1). As the main portion of the anterior chest wall, it is essential for all radiologists and clinicians involved in the care of children to acquire knowledge about the development of the sternum. Although the ossification and fusion patterns of the sternum have been well documented in children (2,3), wide variations in the configuration of the sternum exist among individuals. On the other hand, the length of the sternum may provide a direct and apparent indication; however, to the best of our knowledge, current reference ranges of the sternum length based on a Han Chinese population background are not available in literature.

Estimation of the stature and sex identification from the whole of, or part of the length of, the sternum have been investigated already in an adult population (4-6). The sternal plastron and lower chest have also exhibited excellent reproducibility in terms of estimation of the age in adults (6), although whether this method is applicable to children requires further study.

Normal reference data can also be applied in clinical practice, such as assessment of thoracic trauma, chest wall deformities and other associated development disorders (7-9). For instance, no consensus has been established on the cause of pectus excavatum; nor on whether the costal cartilage is too short or overgrown (10,11). To answer these questions, full screening of the normal development of the sternum on computed tomography (CT) examinations is fundamental.

In order to distinguish abnormal from normal sternum growth, the normal ranges of sternum length in a normal Chinese pediatric population of different ages are required. Investigating this question formed the basis of the present study.

Materials and methods

Patient selection

Patients were randomly extracted from the database of Union Hospital, Tongji Medical College, Huazhong University of Science and Technology who were 0-18 years of age and who had undergone a chest CT scan between January 2015 and January 2020. The present study was approved (approval no. UHCT-IEC-SOP-016-03-01) by the ethics committee of Union Hospital, Tongji Medical College, Huazhong University of Science and Technology (Wuhan, China) and the procedures followed were in accordance with the Helsinki Declaration of 1964, as revised in 2000.

Inclusion criteria were as follows: i) 0-18 years of age; ii) Undergone chest CT scan for suspicious pulmonary infection, foreign body aspiration and trauma iii) The body weight limited to ±20% of the standard reference; iv) Han nationality from central China, including Hubei, Hunan, Henan, Anhui and Jiangxi provinces.

Exclusion criteria were as follows: i) Those patients with lung consolidation, pleural effusion, congenital or acquired structural anomalies or congenital metabolic diseases; ii) Patients who had had a history of thoracotomy or sternotomy; and iii) Patients for whom the images obtained contained artifacts.

The entire cohort contained a total of 1,080 cases, with 30 male and 30 female subjects in each age group (Fig. 1).

Figure 1

Flow diagram of the study subjects extraction.

Multidetector-row CT (MDCT) protocol

Non-contrast chest CT scans were obtained with the patients in the supine position, and the scans were performed at the end of an inspiration according to the pediatric protocol. CT examinations were carried out following the MDCT protocol with either a Discovery 750 HD (GE Medical Systems, LLC) or a SOMATOM Definition AS (Siemens AG) CT system. Images were reconstructed into lung and soft tissue mediastinal windows with a slice thickness of 1.3 or 1.5 mm, and an interval of 1.3 mm or 1.5 mm, respectively. All CT data was transferred to the workstations and imaging analyses were performed on a picture archiving and communication system workstation (Carestream Health, Inc.). Both coronal and sagittal multiplanar reconstructions of CT images were prepared.

Assessment of the images

The length of the sternum before the ossification centers completely merged into a single ossification center was defined as the linear distance from the center of the suprasternal notch or incisura jugularis (jugular notch) to the junction of the 6th/7th costal cartilage in the mid-sagittal plane (Fig. 2A and B), whereas the length of the sternum after the ossification centers completely merged into a single ossification center was defined as the linear distance from the center of the suprasternal notch or incisura jugularis (jugular notch) to the mesosterno-exiphoidal junction (Fig. 2C).

Figure 2

Definition of the length of the sternum. (A-C) Multiplanar reformatted MDCT images. (A) The junction of 6th/7th costal cartilage. (B) The TSDS before the ossification centers completely merged into a single ossification center. (C) the TSDS after the ossification centers have completely merged into a single ossification center, which were obtained to minimize errors caused by angulation. MDCT, multidetector-row computed tomography; TSDS, total sagittal dimension of the sternum.

All the measurements were recorded by two different radiologists (PL with >10 years of experience, and CC with >5 years of experience), and the mean values were used for subsequent analysis.

Statistical analysis

Data were analyzed using SPSS version 20.0 statistical software (IBM Corp.). Sex-wise comparisons of the length of the sternum were performed using the Mann-Whitney test. Age or region group comparisons of the length of the sternum were assessed using ANOVA, followed by Tukey's post hoc test. A further regression analysis was performed, and the most suited regression model was constructed. P<0.05 was considered to indicate a statistically significant difference for all the statistical data.

Results

A total of 1,080 patients were enrolled in the present study. There were 540 females and 540 males who were younger than 18 years old and without congenital or acquired structural anomalies or congenital metabolic diseases, with 60 case subjects in each age group.

Subjects in the present study were from central China, including Hubei (n=761), Hunan (n=47), Henan (n=143), Anhui (n=55) and Jiangxi (n=74) provinces. A general comparison was conducted between subjects of Henan Province and Hubei Province with a relatively larger number of subjects. No significant differences were identified in the length of the sternum between youngsters from the two regions (P=0.53).

No significant differences were identified in the length of the sternum in patients <14 years of age comparing between the sexes. However, for the patients who were older than 14, the mean length of the sternum in males was longer compared with that of females (Fig. 3 and Table I).

Figure 3

Mean values of the sternal length in boys and girls of different age groups are presented. No significant differences in sternal length were observed between boys and girls younger than 14 years old, whereas significant differences were observed in the case subjects older than 14. For example, the sternal length was 87.38 (95% CI: 77.14; 89.63) mm in girls and 90.51 (95% CI: 83.86; 96.15) in boys at the age of 5 years on average, attaining a mean value of 130.84 (95% CI: 124.86; 136.82) mm in girls and 160.31 (95% CI: 153.92; 166.69) mm in boys at the age of 18 years. CI, confidence intervals.

Table I

Average length of sternum in respect to age and sex.

Table I

Average length of sternum in respect to age and sex.

 Mann-Whitney Test
Age, yearsNMale Average length of sternum (95% CI) (mm)nFemale Average length of sternum (95% CI) (mm)Z-valueP-value
13062.96 (58.62, 67.54)3061.05 (57.95, 64.50)-1.1340.257
23071.10 (64.50, 77.77)3068.32 (65.16, 71.40)-1.1340.257
33083.30 (80.02, 86.38)3080.03 (77.85, 82.21)-1.8140.070
43087.26 (83.79, 90.73)3084.50 (81.63, 87.36)-1.4360.151
53090.51 (83.86, 96.15)3087.38 (77.14, 89.63)-1.3610.174
63094.79 (89.04, 100.55)3089.28 (82.89, 95.67)-1.2850.199
73096.84 (87.62, 106.07)3095.25 (90.35, 100.16)-0.3780.705
830102.51 (98.37, 106.65)3099.63 (94.95, 104.31)-1.0970.273
930107.44 (101.77, 113.12)30105.40 (100.80, 110.01)-0.6050.545
1030116.01 (112.03, 120.00)30108.85 (102.49, 115.22)-1.8900.059
1130119.26 (111.39, 127.13)30112.19 (106.00, 118.38)-1.4360.151
1230124.46 (114.54, 134.37)30115.98 (108.66, 123.29)-1.5120.131
1330132.32 (119.16, 145.48)30120.93 (113.90, 127.97)-1.2090.226
1430140.10 (129.88, 150.33)30121.79 (117.33, 126.26)-2.8730.004
1530148.11 (138.76, 157.47)30125.79 (118.50, 133.08)-2.9870.003
1630152.31 (146.19, 158.43)30127.47 (122.33, 132.61)-3.780<0.001
1730158.52 (149.08, 167.95)30128.91 (123.72, 134.10)-3.780<0.001
1830160.31 (153.92, 166.69)30130.84 (124.86, 136.82)-3.704<0.001
Total54113.6454103.35-2.8130.005
 0(109.20, 118.31)0(100.01, 106.59)  

[i] CI, confidence interval.

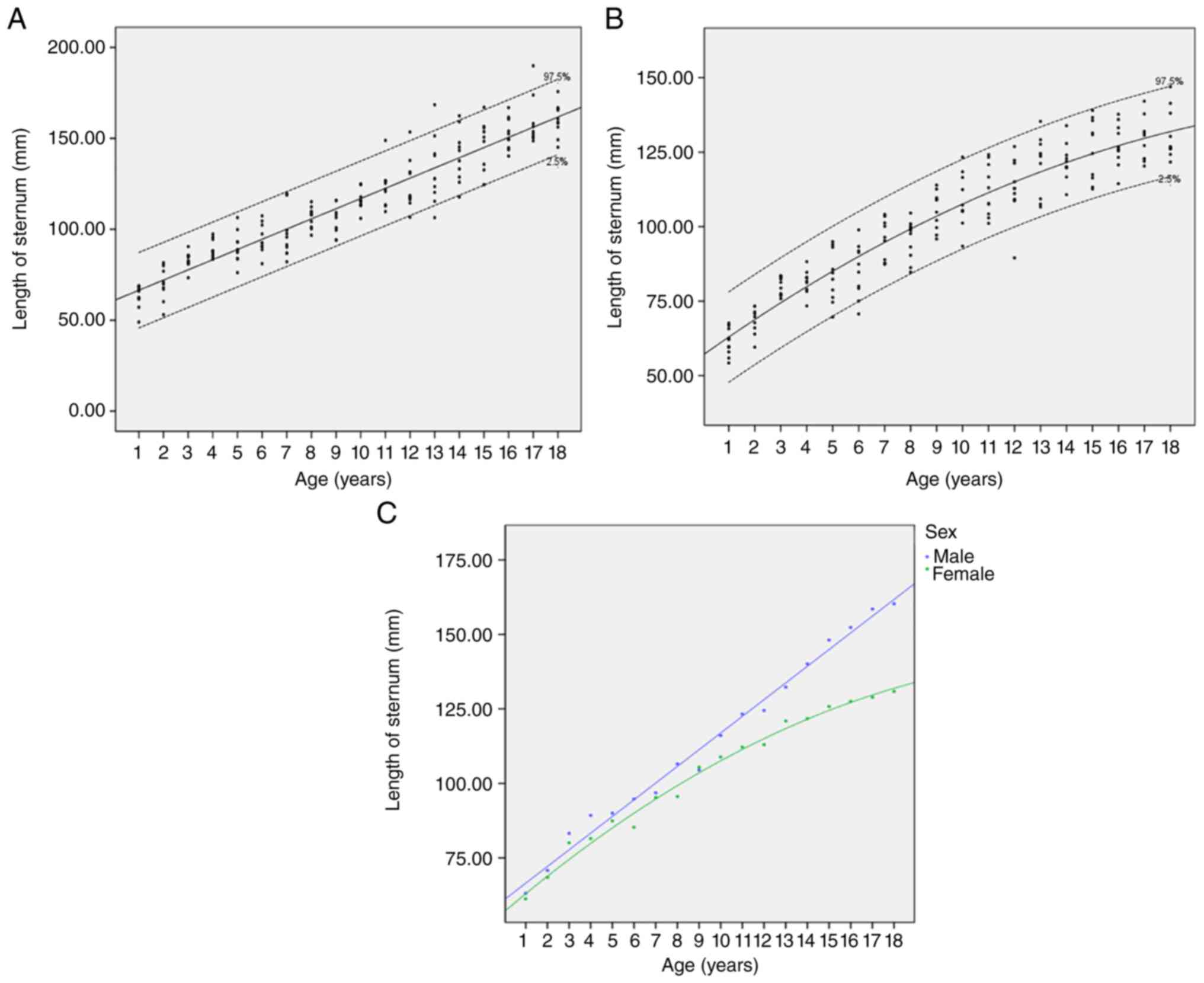
As demonstrated in Table II, sternal length associated differently comparing between the sexes. In order to find the association between age and the length of sternum for each sex, different regression analysis was performed using linear, logarithmic, inverse, quadratic and other regression models. According to the value of R2, the most suitable regression pattern was a linear model in males, and a quadratic model in females (specifically, the regression equation for males was y=5.616x+60.408; P<0.001; R2=0.889, whereas that for females was y=-0.134x2+6.543x+56.805; P<0.001; R2=0.890) (Fig. 4).

Figure 4

Relationship between the length of sternum and age in the case subjects is revealed. (A) The length of sternum for males with respect to age is shown. The association between age and the length of sternum for males showed the highest level of fit in the linear model. The regression equation was y=5.616x+60.408 (P<0.001; R2=0.890), where y represents the length of the sternum (in mm), and x is the age (in years). The 95% confidence intervals of the total are also shown. (B) The lengths of the sternum for females with to respect to age are shown. The association between of age and the length of the sternum showed the highest level of fit in the quadratic model. The regression equation was y=-0.134x2+6.543x+56.805 (P<0.001, R2=0.890), where y represents the length of the sternum (in mm) and x is the age (in years). The 95% confidence intervals of the total are also revealed. (C) Comparison of the length of the sternum between the sexes with age. A linear increase in the length of sternum with age was shown in males, whereas the rate of increase in sternal length in females gradually decreased between the ages 1-18. The average length of the sternum was found to be significantly longer in males compared with females in the age range of 14-18 years.

Table II

Fitness test in different regression models for each sex.

Table II

Fitness test in different regression models for each sex.

 MaleFemale
 Model analysisParameter analysisModel analysisParameter analysis
 R2P-valueBP-valueR2P-valueBP-value
Linear0.889<0.0015.616<0.0010.870<0.0014.003<0.001
Logarithmic0.773<0.00134.867<0.0010.847<0.00126.300<0.001
Inverse0.476<0.001-94.707<0.0010.579<0.001-75.279<0.001
Quadratic0.890<0.0010.0380.2400.890<0.001-0.134<0.001
Cubic0.891<0.0010.0050.4810.890<0.0010.00040.939
Compound0.886<0.0011.053<0.0010.846<0.0011.042<0.001
Power0.850<0.0010.335<0.0010.889<0.0010.281<0.001
S0.589<0.001-0.964<0.0010.667<0.001-0.841<0.001
Growth0.886<0.0010.051<0.0010.846<0.0010.041<0.001
Exponential0.886<0.0010.051<0.0010.846<0.0010.041<0.001
Logistic0.886<0.0010.950<0.0010.846<0.0010.960<0.001

Subsequently, to obtain an intuitive comparison of the lengths of the sternum comparing between the two sexes, scatter diagrams were drawn with age as the x-axis and the average length of sternum as the y-axis, first using the most-fit formula for the sexes (Fig. 4A and B), and then combining these curves together into one chart (Fig. 4C).

Discussion

The sternum is a flat bone that extends vertically through, and provides anterior support to, the thoracic cage. Sternal development starts from the prenatal period and continues throughout puberty (3,5). As the first study, to the best of our knowledge, to have studied the sternum length in a normal Han Chinese pediatric population, it was demonstrated that the length of the sternum can be precisely estimated by age using our formulae for the different sexes. Building up our knowledge on the sternum is crucial for a proper understanding of the spectrum of the deformities of the chest wall, giving rise to appropriate planning for thoracic surgery and preventing misdiagnosis (3). However, given that the most recent data available was published in the 1980s and the 1990s (12-14), the reference value of sternum length in the normal Chinese population may have changed over the course of the last 40 years.

Age estimation using the clavicular bone or teeth is a well-standardized procedure in children and adolescents (15), although using the sternum may be a possible alternative under certain conditions. According to the present study, the length of the sternum is associated with age under normal physiological conditions, but with different regression patterns for the two different sexes. Boys eventually develop a longer sternum, but before they reach 14 years of age, boys have almost the same sternum length as girls. This finding may be associated with the different growth curves of boys and girls.

In the present study, the reference length of the sternum with 95% confidence intervals has also been established. Since numerous types of sternal fuse variations cause confusion for the care provider in terms of estimating the age or in other clinical practices, the length of the sternum may provide a promising alternative for future applications.

Even though several studies have been performed that were concerned with investigating the sternum length, the majority of these were for forensic purposes in adults (16-18), and our understanding of how the sternum develops throughout childhood remains poor. A search of the literature in Web of Science using as key words ‘length of sternum’ (or ‘sternum length’) and ‘pediatric population’ (or ‘child’/ʻchildren’/ʻadolescent’) revealed a few studies that have been published on sternum length in a normal pediatric population. Canavese et al (19) acquired the length of the sternum in 622 healthy individuals (406 girls and 216 boys) aged 6-18 years old in France using the optical ORTEN system and it was revealed that the sternal length was 11.23±1.34 cm in girls and 10.61±1.15 cm in boys at the age of 5 years on average, attaining a mean value of 18.85±1.51 cm in girls and 19.22±1.75 cm in boys at skeletal maturity. Veldre et al (20) performed an anthropometric cross-sectional study of 374 healthy schoolgirls aged 12-15 years old from secondary schools of Tartu (Estonia), where the authors systematized the data in each age group into 5 categories (categories I-V) according to the level of correspondence between body height and weight, and it was identified that the sternum length did not differ significantly comparing two category groupings (I-III and IV-V) in all age groups. Sandoz et al (21) measured the volume of the sternum in 48 children aged from 4 months to 15 years (22 girls and 26 boys) in the Necker Hospital (Paris, France), and their study suggested that the volumes were significantly different between all age groups, and the volume of the 15-year-old sternum was ~10 times the volume at birth (21). The research cohort of the present study was extracted from the database of Union Hospital (Hubei, China), and the findings suggested that the sternal length was 87.38 (95% CI: 77.14; 89.63) mm in girls and 90.51 (95% CI: 83.86; 96.15) mm in boys at the age of 5 years on average, attaining a mean value of 130.84 (95% CI: 124.86; 136.82) mm in girls and 160.31 (95% CI: 153.92; 166.69) mm in boys at the age of 18 years. Compared with the results of Canavese et al (19), the subjects in the present study may have had shorter sternal length. Therefore, whether or not the formulae can be applied for other races requires further investigation.

In the present study, any associations between the length of the sternum and body weight were not investigated, since the case subjects were subjected to chest CT scans due to suspicious pulmonary infection, foreign body aspiration or trauma, all factors which may have influenced the body weight. The objective of the present study was to investigate the ranges of sternum length in a normal Chinese pediatric population of different ages, and subjects were excluded if their body weight was noted to have exceeded ±20% of the standard reference, as reported by Zhang et al (22) and Fang et al (23), to minimize the potential influence of malnutrition and obesity.

Several previous studies have investigated the correlation of the sternum length with body height (4,16,18,24-26). The majority of these research groups, with the exception of the studies by Menezes et al (24) and Yonguc et al (26), reported a poor correlation between sternal measurements and stature. Furthermore, Chandrakanth et al (27), having investigated the length of the sternum and the stature of the non-fused or partly fused sterna rather than the completely fused sternum, also found that there was no significant correlation between these parameters. Whether or not the length of the sternum is associated with the body height remains controversial. Therefore, in the present study, the weight of the subjects was strictly limited to within the ±20% of the standard reference, and the association between the stature and the sternal length was not studied.

There were a number of limitations associated with the present study. First, it was not designed in a randomized and perspective manner. There were only 30 cases in each subgroup, which was a relatively small number of case subjects to include per subgroup. Second, the number of each age group was not enough for effective analysis on the region difference. Not having a fully developed sternum in the younger age subgroups may have influenced the results of length measurement. Moreover, people with different genetic backgrounds and environmental factors may have different growth curves, and therefore the sternum length could vary according to nationality, or region.

Furthermore, it is important to realize that all techniques used for age estimation can only provide a biological age. Even age-matched individuals may show very different signs of the sternal features due to extrinsic factors, including the health status, nutrition and physical exercise, as these may have an impact on physical development.

In conclusion, the present study comprised a preliminary investigation to establish the normal ranges of the length of the sternum, which has been shown to be important in terms of estimating the age for a pediatric population. A more complete understanding of the implications of these findings and the practical importance of these results should emerge in the future, although large-scale studies are required to confirm our results.

Acknowledgements

The authors would like to thank Dr KKY Wong from Division of Pediatric Surgery, Queen Mary Hospital, The University of Hong Kong for language editing for this manuscript.

Funding

Funding: The present study was supported by the Public Welfare Research, and special funds were received from National Health and Family Planning of China (grant no. 201402007) and the Fundamental Research Funds for the Central Universities (HUST; grant no. 2015LC023).

Availability of data and materials

The datasets used and/or analyzed during the current study are available from the corresponding author on reasonable request.

Authors' contributions

STT, XL, SL and PL conceptualized and designed the study. STT and XL provided administrative support. SL, PL, YL, CC and DY provided study materials or patients. SL, PL, YL, CC and DY acquired data. YL and DY analyzed and interpreted the data. SL, PL and YL confirmed the authenticity of all the raw data. All authors prepared, edited and reviewed the manuscript. All authors read and approved the final manuscript.

Ethics approval and consent to participate

The present study was approved (approval no. UHCT-IEC-SOP-016-03-01) by the Ethics Committee of Union Hospital, Tongji Medical College, Huazhong University of Science and Technology (Wuhan, China) and the procedures followed were in accordance with the Helsinki Declaration of 1964, as revised in 2000.

Patient consent for publication

Not applicable.

Competing interests

The authors declare that they have no competing interests.

References

1 

Obermeyer RJ and Goretsky MJ: Chest wall deformities in pediatric surgery. Surg Clin North Am. 92:669–684, ix. 2012.PubMed/NCBI View Article : Google Scholar

2 

Gumeler E, Akpinar E and Ariyurek OM: MDCT evaluation of sternal development. Surg Radiol Anat. 41:281–286. 2019.PubMed/NCBI View Article : Google Scholar

3 

Bayaroğulları H, Yengil E, Davran R, Ağlagül E, Karazincir S and Balcı A: Evaluation of the postnatal development of the sternum and sternal variations using multidetector CT. Diagn Interv Radiol. 20:82–89. 2014.PubMed/NCBI View Article : Google Scholar

4 

Tumram NK, Parchake SB, Bardale RV and Dixit PG: Estimation of height from the length of the sternum in an adult Indian population. Med Sci Law. 56:46–52. 2016.PubMed/NCBI View Article : Google Scholar

5 

Oner Z, Turan MK, Oner S, Secgin Y and Sahin B: Sex estimation using sternum part lenghts by means of artificial neural networks. Forensic Sci Int. 301:6–11. 2019.PubMed/NCBI View Article : Google Scholar

6 

Oldrini G, Harter V, Witte Y, Martrille L and Blum A: Age estimation in living adults using 3D volume rendered CT images of the sternal plastron and lower chest. J Forensic Sci. 61:127–133. 2016.PubMed/NCBI View Article : Google Scholar

7 

Fotiadis E, Grigoriadou A, Kapetanos G, Kenanidis E, Pigadas A, Akritopoulos P and Samoladas E: The role of sternum in the etiopathogenesis of Scheuermann disease of the thoracic spine. Spine (Phila Pa 1976). 33:E21–E24. 2008.PubMed/NCBI View Article : Google Scholar

8 

Madjarov JM, Katz MG, Kane PN, Madzharov S and Robicsek F: Early surgical reconstruction of sternum with longitudinal rigid polymer plating after acute chest trauma. Ann Thorac Cardiovasc Surg. 24:324–327. 2018.PubMed/NCBI View Article : Google Scholar

9 

Valente T, Bocchini G, Rossi G, Sica G, Davison H and Scaglione M: MDCT prior to median re-sternotomy in cardiovascular surgery: Our experiences, infrequent findings and the crucial role of radiological report. Br J Radiol. 92(20170980)2019.PubMed/NCBI View Article : Google Scholar

10 

Eisinger RS, Harris T, Rajderkar DA and Islam S: Against the overgrowth hypothesis: Shorter costal cartilage lengths in pectus excavatum. J Surg Res. 235:93–97. 2019.PubMed/NCBI View Article : Google Scholar

11 

Park CH, Kim TH, Haam SJ and Lee S: Rib overgrowth may be a contributing factor for pectus excavatum: Evaluation of prepubertal patients younger than 10years old. J Pediatr Surg. 50:1945–1948. 2015.PubMed/NCBI View Article : Google Scholar

12 

Bahar N and Gan ZM: The relationship between the sternal length and the stature in Han youngsters in Xinjiang. Acta Academiae Medicinae, Xinjiang. 21:182–185. 1998.(In Chinese).

13 

Guang HZ, Gan ZM, Yang GZ, et al: The relationship between the sternal length and the stature in young people of Uygur nationality in Xinjiang. Acta Academiae Medicinae Xinjiang. 12:143–148. 1989.(In Chinese).

14 

Zheng JZ, Yang YT, Dang RL, et al: The Relationship between the stature and the sternal length in Han young students of Han nationality in Xian. Acta Anthropologica Sinica. 4:268–274. 1985.(In Chinese).

15 

Bassed RB: Advances in forensic age estimation. Forensic Sci Med Pathol. 8:194–196. 2012.PubMed/NCBI View Article : Google Scholar

16 

Marinho L, Almeida D, Santos A and Cardoso HF: Is the length of the sternum reliable for estimating adult stature? A pilot study using fresh sterna and a test of two methods using dry sterna. Forensic Sci Int. 220:292.e1–4. 2012.PubMed/NCBI View Article : Google Scholar

17 

Saraf A, Kanchan T, Krishan K, Ateriya N and Setia P: Estimation of stature from sternum-Exploring the quadratic models. J Forensic Leg Med. 58:9–13. 2018.PubMed/NCBI View Article : Google Scholar

18 

Menezes RG, Nagesh KR, Monteiro FN, Kumar GP, Kanchan T, Uysal S, Rao PP, Rastogi P, Lobo SW and Kalthur SG: Estimation of stature from the length of the sternum in South Indian females. J Forensic Leg Med. 18:242–245. 2011.PubMed/NCBI View Article : Google Scholar

19 

Canavese F, Dimeglio A, Bonnel F, Corradin M, Pereira B, Marcoul A and Charles YP: Thoracic cage volume and dimension assessment by optoelectronic molding in normal children and adolescents during growth. Surg Radiol Anat. 41:287–296. 2019.PubMed/NCBI View Article : Google Scholar

20 

Veldre G, Stamm R and Koskel S: A possibility of systematisation of anthropometric data of girls aged 12-15. Anthropol Anz. 60:369–382. 2002.PubMed/NCBI

21 

Sandoz B, Badina A, Laporte S, Lambot K, Mitton D and Skalli W: Quantitative geometric analysis of rib, costal cartilage and sternum from childhood to teenagehood. Med Biol Eng Comput. 51:971–979. 2013.PubMed/NCBI View Article : Google Scholar

22 

Zhang YQ, Li H, Wu HH and Zong XN: Secular trends in weight, height and weight for height among children under 7 years in nine cities of China, 1975-2015: Results from five repeated cross-sectional surveys. BMJ Open. 9(e029201)2019.PubMed/NCBI View Article : Google Scholar

23 

Fang H, Zhao L, Guo Q, et al: Trends of height, weight and BMI in Chinese children and adolescents aged 6~17. Food and Nutrition in China. 27:16–20. 2021.(In Chinese).

24 

Menezes RG, Kanchan T, Kumar GP, Rao PP, Lobo SW, Uysal S, Krishan K, Kalthur SG, Nagesh KR and Shettigar S: Stature estimation from the length of the sternum in South Indian males: A preliminary study. J Forensic Leg Med. 16:441–443. 2009.PubMed/NCBI View Article : Google Scholar

25 

Singh J, Pathak RK and Chavali KH: Skeletal height estimation from regression analysis of sternal lengths in a Northwest Indian population of Chandigarh region: A postmortem study. Forensic Sci Int. 206:211.e1–8. 2011.PubMed/NCBI View Article : Google Scholar

26 

Yonguc GN, Kurtulus A, Bayazit O, Adiguzel E, Unal I, Demir S and Acar K: Estimation of stature and sex from sternal lengths: An autopsy study. Anat Sci Int. 90:89–96. 2015.PubMed/NCBI View Article : Google Scholar

27 

Chandrakanth HV, Kanchan T and Krishan K: Effect of fusion status of sternum in stature estimation-A study from South India. J Forensic Leg Med. 36:90–95. 2015.PubMed/NCBI View Article : Google Scholar

Related Articles

  • Abstract
  • View
  • Download
  • Twitter
Copy and paste a formatted citation
Spandidos Publications style
Li S, Lei P, Liu Y, Chen C, Yang D, Li X and Tang S: Sternum length norms in Han youngsters in central China. Exp Ther Med 24: 559, 2022.
APA
Li, S., Lei, P., Liu, Y., Chen, C., Yang, D., Li, X., & Tang, S. (2022). Sternum length norms in Han youngsters in central China. Experimental and Therapeutic Medicine, 24, 559. https://doi.org/10.3892/etm.2022.11496
MLA
Li, S., Lei, P., Liu, Y., Chen, C., Yang, D., Li, X., Tang, S."Sternum length norms in Han youngsters in central China". Experimental and Therapeutic Medicine 24.3 (2022): 559.
Chicago
Li, S., Lei, P., Liu, Y., Chen, C., Yang, D., Li, X., Tang, S."Sternum length norms in Han youngsters in central China". Experimental and Therapeutic Medicine 24, no. 3 (2022): 559. https://doi.org/10.3892/etm.2022.11496
Copy and paste a formatted citation
x
Spandidos Publications style
Li S, Lei P, Liu Y, Chen C, Yang D, Li X and Tang S: Sternum length norms in Han youngsters in central China. Exp Ther Med 24: 559, 2022.
APA
Li, S., Lei, P., Liu, Y., Chen, C., Yang, D., Li, X., & Tang, S. (2022). Sternum length norms in Han youngsters in central China. Experimental and Therapeutic Medicine, 24, 559. https://doi.org/10.3892/etm.2022.11496
MLA
Li, S., Lei, P., Liu, Y., Chen, C., Yang, D., Li, X., Tang, S."Sternum length norms in Han youngsters in central China". Experimental and Therapeutic Medicine 24.3 (2022): 559.
Chicago
Li, S., Lei, P., Liu, Y., Chen, C., Yang, D., Li, X., Tang, S."Sternum length norms in Han youngsters in central China". Experimental and Therapeutic Medicine 24, no. 3 (2022): 559. https://doi.org/10.3892/etm.2022.11496
Follow us
  • Twitter
  • LinkedIn
  • Facebook
About
  • Spandidos Publications
  • Careers
  • Cookie Policy
  • Privacy Policy
How can we help?
  • Help
  • Live Chat
  • Contact
  • Email to our Support Team