Spandidos Publications Logo
  • About
    • About Spandidos
    • Aims and Scopes
    • Abstracting and Indexing
    • Editorial Policies
    • Reprints and Permissions
    • Job Opportunities
    • Terms and Conditions
    • Contact
  • Journals
    • All Journals
    • Oncology Letters
      • Oncology Letters
      • Information for Authors
      • Editorial Policies
      • Editorial Board
      • Aims and Scope
      • Abstracting and Indexing
      • Bibliographic Information
      • Archive
    • International Journal of Oncology
      • International Journal of Oncology
      • Information for Authors
      • Editorial Policies
      • Editorial Board
      • Aims and Scope
      • Abstracting and Indexing
      • Bibliographic Information
      • Archive
    • Molecular and Clinical Oncology
      • Molecular and Clinical Oncology
      • Information for Authors
      • Editorial Policies
      • Editorial Board
      • Aims and Scope
      • Abstracting and Indexing
      • Bibliographic Information
      • Archive
    • Experimental and Therapeutic Medicine
      • Experimental and Therapeutic Medicine
      • Information for Authors
      • Editorial Policies
      • Editorial Board
      • Aims and Scope
      • Abstracting and Indexing
      • Bibliographic Information
      • Archive
    • International Journal of Molecular Medicine
      • International Journal of Molecular Medicine
      • Information for Authors
      • Editorial Policies
      • Editorial Board
      • Aims and Scope
      • Abstracting and Indexing
      • Bibliographic Information
      • Archive
    • Biomedical Reports
      • Biomedical Reports
      • Information for Authors
      • Editorial Policies
      • Editorial Board
      • Aims and Scope
      • Abstracting and Indexing
      • Bibliographic Information
      • Archive
    • Oncology Reports
      • Oncology Reports
      • Information for Authors
      • Editorial Policies
      • Editorial Board
      • Aims and Scope
      • Abstracting and Indexing
      • Bibliographic Information
      • Archive
    • Molecular Medicine Reports
      • Molecular Medicine Reports
      • Information for Authors
      • Editorial Policies
      • Editorial Board
      • Aims and Scope
      • Abstracting and Indexing
      • Bibliographic Information
      • Archive
    • World Academy of Sciences Journal
      • World Academy of Sciences Journal
      • Information for Authors
      • Editorial Policies
      • Editorial Board
      • Aims and Scope
      • Abstracting and Indexing
      • Bibliographic Information
      • Archive
    • International Journal of Functional Nutrition
      • International Journal of Functional Nutrition
      • Information for Authors
      • Editorial Policies
      • Editorial Board
      • Aims and Scope
      • Abstracting and Indexing
      • Bibliographic Information
      • Archive
    • International Journal of Epigenetics
      • International Journal of Epigenetics
      • Information for Authors
      • Editorial Policies
      • Editorial Board
      • Aims and Scope
      • Abstracting and Indexing
      • Bibliographic Information
      • Archive
    • Medicine International
      • Medicine International
      • Information for Authors
      • Editorial Policies
      • Editorial Board
      • Aims and Scope
      • Abstracting and Indexing
      • Bibliographic Information
      • Archive
  • Articles
  • Information
    • Information for Authors
    • Information for Reviewers
    • Information for Librarians
    • Information for Advertisers
    • Conferences
  • Language Editing
Spandidos Publications Logo
  • About
    • About Spandidos
    • Aims and Scopes
    • Abstracting and Indexing
    • Editorial Policies
    • Reprints and Permissions
    • Job Opportunities
    • Terms and Conditions
    • Contact
  • Journals
    • All Journals
    • Biomedical Reports
      • Information for Authors
      • Editorial Policies
      • Editorial Board
      • Aims and Scope
      • Abstracting and Indexing
      • Bibliographic Information
      • Archive
    • Experimental and Therapeutic Medicine
      • Information for Authors
      • Editorial Policies
      • Editorial Board
      • Aims and Scope
      • Abstracting and Indexing
      • Bibliographic Information
      • Archive
    • International Journal of Epigenetics
      • Information for Authors
      • Editorial Policies
      • Editorial Board
      • Aims and Scope
      • Abstracting and Indexing
      • Bibliographic Information
      • Archive
    • International Journal of Functional Nutrition
      • Information for Authors
      • Editorial Policies
      • Editorial Board
      • Aims and Scope
      • Abstracting and Indexing
      • Bibliographic Information
      • Archive
    • International Journal of Molecular Medicine
      • Information for Authors
      • Editorial Policies
      • Editorial Board
      • Aims and Scope
      • Abstracting and Indexing
      • Bibliographic Information
      • Archive
    • International Journal of Oncology
      • Information for Authors
      • Editorial Policies
      • Editorial Board
      • Aims and Scope
      • Abstracting and Indexing
      • Bibliographic Information
      • Archive
    • Medicine International
      • Information for Authors
      • Editorial Policies
      • Editorial Board
      • Aims and Scope
      • Abstracting and Indexing
      • Bibliographic Information
      • Archive
    • Molecular and Clinical Oncology
      • Information for Authors
      • Editorial Policies
      • Editorial Board
      • Aims and Scope
      • Abstracting and Indexing
      • Bibliographic Information
      • Archive
    • Molecular Medicine Reports
      • Information for Authors
      • Editorial Policies
      • Editorial Board
      • Aims and Scope
      • Abstracting and Indexing
      • Bibliographic Information
      • Archive
    • Oncology Letters
      • Information for Authors
      • Editorial Policies
      • Editorial Board
      • Aims and Scope
      • Abstracting and Indexing
      • Bibliographic Information
      • Archive
    • Oncology Reports
      • Information for Authors
      • Editorial Policies
      • Editorial Board
      • Aims and Scope
      • Abstracting and Indexing
      • Bibliographic Information
      • Archive
    • World Academy of Sciences Journal
      • Information for Authors
      • Editorial Policies
      • Editorial Board
      • Aims and Scope
      • Abstracting and Indexing
      • Bibliographic Information
      • Archive
  • Articles
  • Information
    • For Authors
    • For Reviewers
    • For Librarians
    • For Advertisers
    • Conferences
  • Language Editing
Login Register Submit
  • This site uses cookies
  • You can change your cookie settings at any time by following the instructions in our Cookie Policy. To find out more, you may read our Privacy Policy.

    I agree
Search articles by DOI, keyword, author or affiliation
Search
Advanced Search
presentation
Experimental and Therapeutic Medicine
Join Editorial Board Propose a Special Issue
Print ISSN: 1792-0981 Online ISSN: 1792-1015
Journal Cover
November-2022 Volume 24 Issue 5

Full Size Image

Sign up for eToc alerts
Recommend to Library

Journals

International Journal of Molecular Medicine

International Journal of Molecular Medicine

International Journal of Molecular Medicine is an international journal devoted to molecular mechanisms of human disease.

International Journal of Oncology

International Journal of Oncology

International Journal of Oncology is an international journal devoted to oncology research and cancer treatment.

Molecular Medicine Reports

Molecular Medicine Reports

Covers molecular medicine topics such as pharmacology, pathology, genetics, neuroscience, infectious diseases, molecular cardiology, and molecular surgery.

Oncology Reports

Oncology Reports

Oncology Reports is an international journal devoted to fundamental and applied research in Oncology.

Experimental and Therapeutic Medicine

Experimental and Therapeutic Medicine

Experimental and Therapeutic Medicine is an international journal devoted to laboratory and clinical medicine.

Oncology Letters

Oncology Letters

Oncology Letters is an international journal devoted to Experimental and Clinical Oncology.

Biomedical Reports

Biomedical Reports

Explores a wide range of biological and medical fields, including pharmacology, genetics, microbiology, neuroscience, and molecular cardiology.

Molecular and Clinical Oncology

Molecular and Clinical Oncology

International journal addressing all aspects of oncology research, from tumorigenesis and oncogenes to chemotherapy and metastasis.

World Academy of Sciences Journal

World Academy of Sciences Journal

Multidisciplinary open-access journal spanning biochemistry, genetics, neuroscience, environmental health, and synthetic biology.

International Journal of Functional Nutrition

International Journal of Functional Nutrition

Open-access journal combining biochemistry, pharmacology, immunology, and genetics to advance health through functional nutrition.

International Journal of Epigenetics

International Journal of Epigenetics

Publishes open-access research on using epigenetics to advance understanding and treatment of human disease.

Medicine International

Medicine International

An International Open Access Journal Devoted to General Medicine.

Journal Cover
November-2022 Volume 24 Issue 5

Full Size Image

Sign up for eToc alerts
Recommend to Library

  • Article
  • Citations
    • Cite This Article
    • Download Citation
    • Create Citation Alert
    • Remove Citation Alert
    • Cited By
  • Similar Articles
    • Related Articles (in Spandidos Publications)
    • Similar Articles (Google Scholar)
    • Similar Articles (PubMed)
  • Download PDF
  • Download XML
  • View XML
Article Open Access

Clinical relevance of serum procalcitonin in patients with aneurysmal subarachnoid hemorrhage

  • Authors:
    • Jong Ho Kim
    • Ho Jun Yi
    • Bum-Tae Kim
    • Dong-Seong Shin
  • View Affiliations / Copyright

    Affiliations: Department of Neurosurgery, Soonchunhyang University, Bucheon Hospital, Bucheon, Gyeonggi‑do 14584, Republic of Korea
    Copyright: © Kim et al. This is an open access article distributed under the terms of Creative Commons Attribution License.
  • Article Number: 653
    |
    Published online on: September 6, 2022
       https://doi.org/10.3892/etm.2022.11590
  • Expand metrics +
Metrics: Total Views: 0 (Spandidos Publications: | PMC Statistics: )
Metrics: Total PDF Downloads: 0 (Spandidos Publications: | PMC Statistics: )
Cited By (CrossRef): 0 citations Loading Articles...

This article is mentioned in:


Abstract

Cerebral vasospasm (CV), which is closely related to the prognosis of aneurysmal subarachnoid hemorrhage (aSAH), is known to be related to an inflammatory reaction. The aim of the present study was to investigate predictable values of procalcitonin (PCT) for systemic infection and the development of CV in patients with aSAH. Patients who underwent endovascular treatment for aSAH were retrospectively enrolled. Receiver operating characteristic curve analysis was performed to evaluate the predicable value of PCT for systemic infection and CV in patients with aSAH. To clarify the association of PCT and CV, additional subgroup analysis was performed for patients without systemic infection. Multivariate logistic regression was used to explore the associations of PCT and the development of CV. A total of 374 patients with aSAH were enrolled. Of them, 164 (43.9%) had systemic infection. Optimal cutoff value of PCT for systemic infection was 0.21 ng/ml (P<0.001). In subgroup analysis of 210 patients without infection, 0.09 ng/ml of PCT level was defined as the optimal cutoff value for predicting CV after aSAH (P<0.001). In multivariate logistic regression analysis, PCT was a significant predicting factor for CV (odds ratio, 1.82; 95% confidence interval, 1.42‑2.96; P=0.015). Overall, PCT had predictable value for systemic infection and the development of CV in patients who underwent endovascular treatment for aSAH. Further studies are needed to validate our results and establish its clinical applicability.

Introduction

Subarachnoid hemorrhage (SAH) caused by ruptured aneurysm is associated with high mortality and disability rates (1,2). Cerebral vasospasm (CV) is a representative factor for worsening of prognosis in patients with aneurysmal subarachnoid hemorrhage (aSAH) (3). CV refers to a transient, self-limited narrowing of the intracranial arteries, which typically occurs between 4 and 14 days after an aSAH (4). CV can affect up to 30~40% of patients with aSAH, and it is associated with delayed cerebral ischemia (DCI) in 20~30% of cases (5,6). Although the exact pathophysiology of CV remains unclear, inflammatory reaction might play an important role in the development of CV and DCI (7). Leukocyte infiltration can occur due to aSAH, resulting in the release of inflammatory cytokines, including interleukin (IL)-1, IL-6, and tumor necrosis factor (TNF)-α (4). Subsequently, activation of microglia and macrophage can lead to a widespread inflammatory cascade (8,9). In prior studies with aSAH, WBC derives and high-sensitivity C-reactive protein (hsCRP) have been investigated as blood markers reflecting systemic inflammation (10-12). It is known that elevated leukocyte count is associated with a higher risk of symptomatic vasospasm and that increased hsCRP is a predictor of secondary deterioration in patients with good-grade aSAH (13,14). Procalcitonin (PCT) is a blood marker that can reflect the status of systemic inflammation (15,16).

PCT is an amino-acid precursor of calcitonin. It is synthesized in C cells of the thyroid (17). It can also be produced in various parenchymal tissues and differentiated cells, especially during a pathologic inflammatory state, such as a bacterial infection or sepsis (18). Furthermore, the level of PCT is valuable in predicting outcome both for systemic infection, and for the development of systemic inflammatory response syndrome (SIRS) after trauma, burn, or stroke (17,19-21). SIRS has also been verified as an independent risk factor of poor prognosis in aSAH (22). As an inflammatory response marker, the level of PCT maybe associated with the occurrence of CV which is caused by the inflammatory response after aSAH. PCT might be an interesting target to examine in patients with aSAH. However, the predictive value of PCT in CV after aSAH has not yet been established. Thus, the purpose of our study was to investigate the predictive value of PCT at early phase to distinguish CV from systemic infection in patients with aSAH.

Materials and methods

Study population

This multi-center retrospective study was performed with prospectively collected data. Local Institutional Review Board approval was obtained from Soonchunhyang University Bucheon Hospital, St. Vincent's Hospital, and Hangang Sacred Heart Hospital. Medical records of patients with aSAH between January 2013 and December 2021 were reviewed. Treatment modality for aSAH was determined based on our policies and each neurosurgeon's preference. Inclusion criteria were as follows: 1) Age of 18 to 90 year, 2) patients who underwent endovascular treatment for SAH caused by ruptured aneurysm which was confirmed by computed tomography angiography or magnetic resonance angiography, and 3) who received treatment for ruptured aneurysm within 72 h of ictus. Exclusion criteria were: 1) SAH caused by factors other than aneurysm, such as trauma and other cerebrovascular diseases, 2) patients who had not received treatment for ruptured aneurysm itself, 3) history of infection or stroke within four weeks before aSAH, 4) underlying cancer, severe kidney or liver dysfunction, 5) history of auto-immune or hematologic disease, and 6) patients with inappropriate laboratory data or loss of follow-up within 90 days.

Baseline characteristics and laboratory data

Demographic data of age, gender, and past medical history were obtained. Systemic infections, such as pneumonia, urinary tract infection (UTI), central nervous system (CNS) infection, catheter-related infection, and sepsis were defined by the department of infectious disease, according to medical criteria (4,23). Initial Hunt-Hess (H-H) grade (a high H-H grade: IV-V), a modified Fischer grade, size and location of aneurysm were assessed by four neurosurgeons. Laboratory data of detailed peripheral blood count, erythrocyte sedimentation rate (ESR), high-sensitivity C-reactive protein (hsCRP), and PCT were recorded with routinely collected peripheral blood at 5 to 7 days after neuro-intervention. Clinical outcome was evaluated with a modified Rankin Scale (mRS) score at 90 days after aSAH. A favorable clinical outcome was defined as mRS 0-2. Development of CV or DCI was assessed according to prior multidisciplinary research group, as follows: 1) Symptomatic CV was defined as clinical deterioration deemed secondary to vasospasm, and 2) DCI was defined as symptomatic vasospasm, with cerebral ischemia attributable to vasospasm (24,25).

Statistical analysis

Continuous variables were analyzed using paired Student's t-test and presented as mean ± standard deviation (SD) or median with interquartile range [IQR]. Categorical variables were analyzed with a χ2 test and expressed as frequency with percentage. Receiver operating characteristic (ROC) analysis was used to evaluate the predictable value of PCT for systemic infection in all patients. To clarify the association between PCT and CV, additional ROC analysis was performed in patients without systemic infection. Subsequently, subgroup analysis was performed for patients without systemic infection, after dichotomization according to the identified cutoff value of PCT level for CV. Univariate and multivariate logistic regression analyses were used to investigate factors associated with CV, based on odds ratio (OR) with 95% confidence interval (CI) as an estimate for each endpoint. All data were analyzed using Stata Statistical Software, release 15 (Stata, College Station, TX, USA). Two-tailed P-value ≤0.05 was considered statistically significant.

Results

Baseline characteristics

A total of 374 patients were divided to infection group (164 patients, 43.9%) and infection-free group (210 patients, 56.1%), according to the presence or absence of systemic infection. The infection group (164 patients) contained with pneumonia (72 patients, 43.9%), UTI (41 patients, 25.0%), CNS infection (14 patients, 8.5%), catheter-related infection (12 patients, 7.3%), and sepsis (25 patients, 15.2%). Clinical presentations of systemic infection were as follows: pneumonia in 72 patients, UTI in 41 patients, CNS infection in 14 patients, sepsis in 25 patients, and others in 12 patients. There were no significant differences in age, gender, or past history of hypertension between the infection group and the infection-free group (age: 57.1±13.5 vs. 59.2±14.4, P=0.411; female gender 68.9% vs. 63.8%, P=0.197; and hypertension 59.1% vs. 60.9%, P=0.539). The infection group showed higher median H-H grade and higher rate of high H-H grade (H-H grades IV-V) than the infection-free group [4 (2-5) vs. 3 (1-4), P=0.002; 29.9% vs. 18.1%, P=0.006]. Mean intensive care unit stay days was significantly longer in the infection group at (13.7±7.2) days than in the infection-free group at (7.2±3.4) (P<0.001). In addition, the infection group had higher rate of modified Fisher grade III-IV than the infection-free group (44.5% vs. 31.4%, P=0.003). Between groups, there were no significant differences in the size or location of aneurysm, or CSF diversion. In laboratory findings, mean levels of WBC, neutrophil, ESR, hsCRP, and PCT were significantly higher in the infection group than in the infection-free group (WBC: 13.91±6.53 vs. 9.33±4.38, P=0.016; neutrophil 12.01±5.97 vs. 8.40±4.38, P=0.017; ESR: 34.44±21.27 vs. 22.73±17.88, P=0.022; hsCRP: 7.59±3.17 vs. 3.67±1.64, P=0.001; and PCT: 0.31±0.22 vs. 0.08±0.07, P<0.001). Occurrence rates of CV and DCI were significantly higher in the infection group than in the infection-free group (34.2% vs. 18.0%, P=0.010; and 31.1% vs. 15.7%, P=0.009, respectively). The infection group showed higher median value of 3 months mRS than the infection free group [3 (1-5) vs. 2 (1-3), P=0.003]. The infection group had lower rate of favorable clinical outcome, but higher mortality rate than the infection free group (favorable outcome: 43.3% vs. 81.9%, P<0.001; mortality 12.2% vs. 5.2%, P=0.002) (Table I).

Table I

Baseline characteristics of whole participants stratified by infection status in patients with aneurysmal subarachnoid hemorrhage.

Table I

Baseline characteristics of whole participants stratified by infection status in patients with aneurysmal subarachnoid hemorrhage.

VariablesInfection (n=164, 43.9%)Infection free (n=210, 56.1%)P-value
Details of infection, n (%)   
     Pneumonia72 (43.9)  
     Urinary tract infection41 (25.0)  
     CNS infection14 (8.5)  
     Catheter-related infection12 (7.3)  
     Sepsis25 (15.2)  
Demographics   
     Age, mean ± SD57.1±13.559.2±14.40.411
     Female, n (%)113 (68.9)134 (63.8)0.197
     Hypertension, n (%)97 (59.1)128 (60.9)0.529
     H-H grade, median (IQR)4 (2-5)3 (1-4)0.002a
     High H-H grade (H-H grades IV-V), n (%)49 (29.9)38 (18.1)0.006b
     Days of stay in ICU13.7±7.27.2±3.4 <0.001a
Radiological characteristics   
     Modified Fisher grade, median (IQR)3 (1-4)3 (1-4)0.108
     Modified Fisher grade III-IV, n (%)73 (44.5)66 (31.4)0.003b
     Aneurysm size, mm, mean ± SD6.1±3.45.8±3.70.434
Aneurysm locations   
     Anterior circulation, n (%)131 (79.9)175 (83.3)0.249
     Posterior circulation, n (%)33 (20.1)35 (16.7)0.218
CSF diversion   
     Extra-ventricular drainage, n (%)34 (20.7)35 (16.7)0.347
     Lumbar drainage, n (%)12 (7.3)14 (6.7)0.522
Laboratory findings, mean ± SD   
     Red blood cells, x1012/l4.31±0.684.21±0.640.571
     White blood cells, x109/l13.91±6.539.33±4.380.016a
     Neutrophils, x109/l12.01±5.978.40±4.380.017a
     Platelets, x109/l222±108247±1140.178
     Erythrocyte sedimentation rate, mm/h34.44±21.2722.73±17.880.022a
     High-sensitivity C-reactive protein, mg/l7.59±3.173.67±1.640.001a
     Procalcitonin, ng/ml0.31±0.220.08±0.07 <0.001a
Clinical outcomes   
     Cerebral vasospasm, n (%)56 (34.2)38 (18.1)0.010b
     Delayed cerebral ischemia, n (%)51 (31.1)33 (15.7)0.009b
     mRS score at 3 months, median (IQR)3 (1-5)2 (1-3)0.003a
     Favorable clinical outcome, n (%)71 (43.3)172 (81.9) <0.001b
     Mortality, n (%)20 (12.2)11 (5.2)0.002b

[i] aP<0.05 (t-test);

[ii] bP<0.05 (χ2 test). P-values were calculated using χ2 for categorical variables or student's t-test for continuous variables. CNS, central nervous system; SD, standard deviation; IQR, interquartile range; ICU, intensive care unit; CSF, cerebrospinal fluid; mRS score, modified Rankin scale score; favorable clinical outcome, modified Rankin Scale score 0-2 at 3 months; H-H, Hunt-Hess.

Predictive values of PCT for infection and vasospasm after aSAH

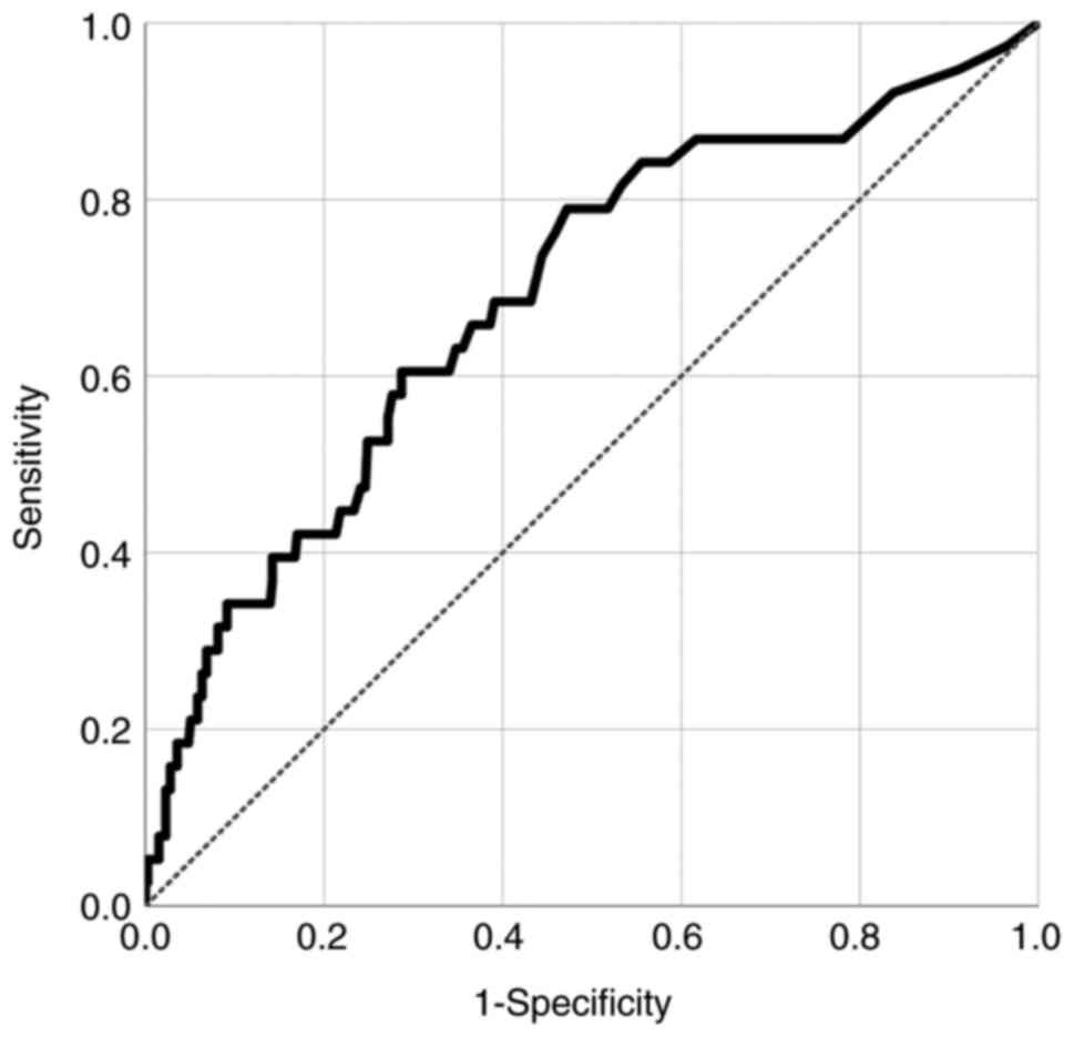
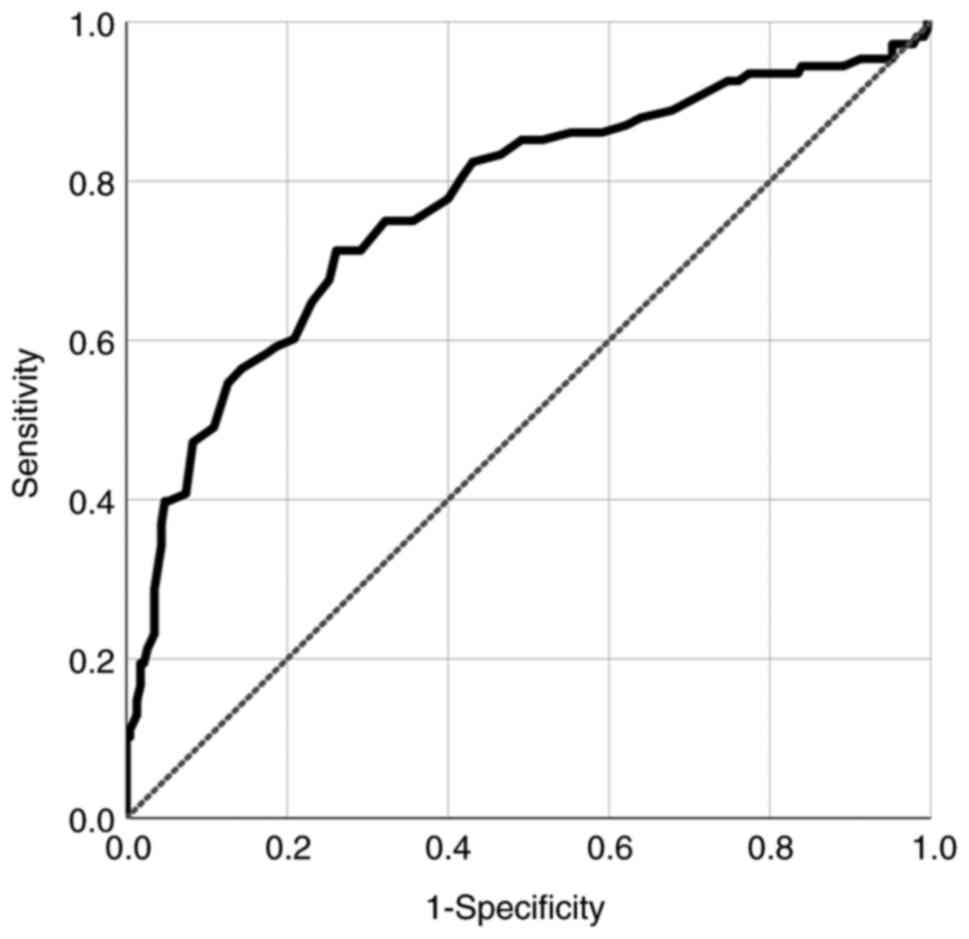
In ROC analysis, 0.21 ng/ml of PCT was determined as an optimal cutoff value to predict systemic infection after endovascular treatment for aSAH [area under the curve (AUC): 0.762, standard error (SE): 0.030, 95% CI: 0.708-0.822; P<0.001] (Fig. 1). To identify the predictabilities of blood parameters in CV rather than systemic infection, ROC analyses were performed for patients in the infection-free group. The predictive value of PCT for the infection-free group was higher than that of hsCRP for identifying patients who could develop CV after aSAH [PCT: (AUC) 0.691, (SE) 0.047, (95% CI) 0.598-0.784, P<0.001 vs. hsCRP: (AUC) 0.602, (SE) 0.064, (95% CI) 0.537-0.671, P=0.015]. Other blood parameters, such as RBC, WBC, neutrophils, platelets, and ESR were not statistically significant in predicting CV in aSAH patients without systemic infection (Table II). The optimal cutoff value of PCT level was 0.09 ng/ml as a predictor of CV in patients without systemic infection after aSAH (AUC: 0.691, SE: 0.047, 95% CI: 0.598-0.784; P<0.001) (Fig. 2).

Figure 1

Receiver operating characteristic curve analysis for the predictive value of PCT and systemic infection in patients who underwent neuro-intervention for aSAH. The optimal cutoff value of PCT level was 0.21 ng/ml as a predictor of infection in patients with aSAH (area under the curve, 0.762; standard error, 0.030; 95% CI, 0.708-0.822; P<0.001). PCT, procalcitonin; aSAH, aneurysmal subarachnoid hemorrhage.

Figure 2

Predictive value of PCT for cerebral vasospasm in patients without systemic infection after aSAH. Receiver operating characteristic curve analysis showed that the optimal cutoff value of PCT level was 0.09 ng/ml as a predictor of cerebral vasospasm after aSAH (area under the curve, 0.691; standard error, 0.047; 95% CI, 0.598-0.784; P<0.001). PCT, procalcitonin; aSAH, aneurysmal subarachnoid hemorrhage.

Table II

Blood parameters for predicting cerebral vasospasm after aneurysmal subarachnoid hemorrhage in patients without systemic infection.

Table II

Blood parameters for predicting cerebral vasospasm after aneurysmal subarachnoid hemorrhage in patients without systemic infection.

VariablesAUCSE95% CIP-value
Red blood cells0.5140.0920.408-0.6220.241
White blood cells0.5640.0730.473-0.6970.108
Neutrophils0.5450.0800.452-0.6370.139
Platelets0.5220.0880.434-0.6190.187
Erythrocyte sedimentation rate0.5830.0710.476-0.6460.204
High-sensitivity C-reactive protein0.6020.0640.537-0.6710.015a
Procalcitonin0.6910.0470.598-0.784 <0.001a

[i] aP<0.05. P-values were calculated using Receiver operating characteristic analysis. AUC, area under the curve; SE, standard error; CI, confidence interval.

Subgroup analysis according to level of PCT in patients without infection

Enrolled 210 patients in the infection-free group were dichotomized according to the identified cutoff value of PCT (0.09 ng/ml). A comparative analysis between high (≥0.09 ng/ml) and low (<0.09 ng/ml) PCT groups was then conducted. The high PCT group had higher rates of H-H grades IV-V and modified Fisher grade III-IV than the low PCT group (23.0% vs. 11.87%, P=0.003 and 40.1% vs. 18.3%, P=0.002, respectively). The mean level of hsCRP in the high PCT group was significantly higher than that in the low PCT group (5.17±4.21 vs. 1.78±1.44, P=0.001). Furthermore, the high PCT group showed more occurrence of CV and unfavorable outcome than the low PCT group (CV: 23.9% vs. 10.8%; P=0.003 and favorable outcome: 89.7% vs. 72.0%; P=0.008) (Table III).

Table III

Subgroup analysis according to level of PCT (0.09 ng/ml) in patients without systemic infection.

Table III

Subgroup analysis according to level of PCT (0.09 ng/ml) in patients without systemic infection.

VariablesPCT <0.09 ng/ml (n=93; 44.3%)PCT ≥0.09 ng/ml (n=117; 55.7%)P-value
Age, mean ± SD58.2±14.759.9±15.90.507
Female, n (%)65 (69.9)69 (58.9)0.253
Hypertension, n (%)61 (65.6)67 (57.3)0.447
High H-H grade (H-H grades IV-V), n (%)11 (11.8)27 (23.0)0.003a
Modified Fisher grade III-IV, n (%)17 (18.3)47 (40.1)0.002a
Aneurysm size, mm, mean ± SD5.6±3.35.9±3.10.327
Aneurysm locations (anterior/posterior)87/1988/160.169
Red blood cells (x1012/l), mean ± SD4.28±0.774.15±0.690.307
White blood cells (x109/l), mean ± SD8.79±5.139.75±5.820.077
Neutrophils (x109/l), mean ± SD7.63±4.799.01±5.470.067
Platelets (x109/l), mean ± SD249±121245±1070.339
ESR (mm/h) mean ± SD21.41±20.7723.77±19.250.188
HsCRP (mg/l) mean ± SD1.78±1.445.17±4.210.001b
Procalcitonin (ng/ml), mean ± SD0.04±0.030.11±0.09 <0.001b
Cerebral vasospasm, n (%)10 (10.8)28 (23.9)0.003a
Favorable clinical outcome, n (%)67 (72.0)105 (89.7)0.008a

[i] aP<0.05 (χ2 test);

[ii] bP<0.05 (t-test). P-values were calculated using χ2 for categorical variables or student's t-test for continuous variables. SD, standard deviation; CSF, cerebrospinal fluid; ESR, erythrocyte sedimentation rate; hsCRP, high-sensitivity C-reactive protein; Favorable clinical outcome, modified Rankin Scale score 0-2 at 3 months; H-H, Hunt-Hess.

Predicting factors for cerebral vasospasm in aSAH patients without infection

Univariate and multivariate logistic regression analyses were performed to identify predicting factors for CV after aSAH in patients without infection. High H-H grade (IV-V) (OR: 2.84; 95% CI: 1.47-4.97; P=0.001) and modified Fisher grade III-IV (OR: 3.62; 95% CI: 1.54-6.26; P<0.001) could independently predict CV. Among blood parameters, elevated hsCRP (≥3.1 mg/l) (OR: 1.62; 95% CI: 1.36-2.42; P=0.033) and elevated PCT (≥0.09 ng/ml) (OR: 1.82; 95% CI: 1.42-2.96; P=0.015) were independently associated with the occurrence of CV (Table IV).

Table IV

Univariate and multivariate logistic regression analysis of risk factors associated with cerebral vasospasm after aneurysmal subarachnoid hemorrhage in patients without systemic infection.

Table IV

Univariate and multivariate logistic regression analysis of risk factors associated with cerebral vasospasm after aneurysmal subarachnoid hemorrhage in patients without systemic infection.

 Univariate analysisMultivariate analysis
VariablesOR (95% CI)P-valueOR (95% CI)P-value
Age (≥70 years)1.88 (0.72-2.84)0.298  
Female1.44 (0.74-2.38)0.242  
Hypertension1.75 (0.81-3.17)0.337  
Hunt-Hess grades IV-V3.21 (1.47-5.87) <0.001a2.84 (1.47-4.97)0.001a
Modified Fisher grade III-IV3.62 (1.54-6.26) <0.001a3.04 (1.40-5.68) <0.001a
Red blood cells1.69 (0.86-4.52)0.261  
White blood cells1.57 (0.80-3.82)0.1371.25 (0.68-2.98)0.207
Neutrophils1.64 (0.68-4.54)0.228  
Platelets1.46 (0.64-2.78)0.306  
Erythrocyte sedimentation rate1.51 (0.90-3.42)0.1261.34 (0.88-3.22)0.196
High-sensitivity C-reactive protein1.71 (1.44-3.12)0.019a1.62 (1.36-2.42)0.033a
Procalcitonin1.94 (1.51-3.67)0.010a1.82 (1.42-2.96)0.015a

[i] aP<0.05. P-values were calculated using univariate and multivariate logistic regression analysis. Unfavorable clinical outcome, modified Rankin Scale=3-6 at 3 months; OR, odds ratio; CI, confidence interval.

Discussion

It is known that inflammation play a crucial role in the prognosis of patients with aSAH (13,26). The unfavorable outcome in patients with aSAH is facilitated by CV and subsequent DCI. This process is promoted by inflammatory processes (8). Previous studies have analyzed the associations of various inflammatory markers with the occurrence of CV or DCI, and prognosis of patients with aSAH (9,12,27). Blood parameters, such as inflammation-based scores, WBC derives, and hsCRP have been investigated as inflammatory markers in aSAH (8,27). However, reliable inflammatory markers that can accurately predict the prognosis of aSAH have not yet been established. In our study, the roles of PCT as a predictor of systemic infection and CV were investigated in patients with aSAH. PCT elevation is observed in various conditions, such as trauma and burn, as well as infectious disease (18,19,21). Karlsson et al have shown that a substantial concentration decrease of PCT was more important for favorable outcome in sepsis than the absolute value of PCT (28). Likewise, PCT may reflect the inflammation status in various conditions. Therefore, we investigated whether PCT level in patients with aSAH could predict the occurrence of CV which is facilitated by inflammatory response.

To the best of our knowledge, research on PCT in patients with aSAH or other cerebrovascular disease is limited. Oconnor et al have examined PCT level as a sepsis marker in patients with head trauma and aSAH (29). However, they did not clarify the relationship between PCT levels and sepsis in patients with aSAH. Another prospective study has reported that PCT of 0.2 ng/ml or greater is very specific for sepsis in patients with aSAH (30). Shi et al have shown that PCT is a reliable prognostic biomarker of pneumonia, and that the optimal cut-off value of serum PCT levels to predict pneumonia is 0.22 ng/ml (AUC: 0.796, 95% CI: 0.716-0.876; P<0.001), in patients with acute ischemic stroke (17). Even with differences in details and disease category, our study showed similar results. In our cohort with patients who underwent endovascular treatment for aSAH, PCT level in patients with systemic infection (0.31 ng/ml) was significantly higher than that in patients of the systemic infection-free group (0.08 ng/ml). The optimal cutoff value of PCT to discriminate systemic infection, such as pneumonia, UTI, CNS infection, and sepsis was 0.21 ng/ml (AUC: 0.762, 95% CI: 0.708-0.822; P<0.001). Therefore, PCT has predictive value of systemic infection in patients with aSAH.

The main purpose of our analysis was to assess the association between early PCT levels and the development of CV after aSAH. To minimize the influence of systemic infections on PCT, patients without systemic infection after aSAH were isolated from this series of consecutive patients. The PCT level of 0.09 ng/ml was an optimal cutoff value to predict CV in patients without systemic infection after aSAH (AUC: 0.691, 95% CI: 0.598-0.784; P<0.001). Furthermore, the predictable value of PCT was higher than those of other blood parameters, such as hsCRP, RBC, WBC, neutrophils, platelets, and ESR. After extracting the infection-free group according to the cutoff value (0.09 ng/ml) of PCT, patients with PCT of 0.09 ng/ml or greater had higher rate of CV than patients with lower PCT (<0.09 ng/ml). Elevated PCT (≥0.09 ng/ml) was an independent predictor for CV after aSAH in our cohort. Veldeman et al have performed a prospective observational study to validate the association of PCT and DCI in patients who have undergone surgical clipping or endovascular treatment for aSAH, and analyzed PCT levels at multiple time points with repetitive measurement (4). Early PCT levels at 3 days after aSAH had a predictive value for the development of DCI (AUC: 0.661, P=0.003) and unfavorable clinical outcome (AUC: 0.674, P=0.003). In a subgroup analysis with infection-free patients (n=72), PCT levels were higher in patients with DCI than in patients without DCI (P=0.001). In addition, they revealed that PCT concentrations increased gradually after DCI but decreased with successful treatment. Guresir et al have reported the predictive value of PCT for the prognosis of aSAH. Multivariate regression analysis revealed that elevated baseline PCT within 24 h was associated with unfavorable clinical outcome in patients with World Federation of Neurological Surgeons (WFNS) scale I-II SAH (OR: 26.0; 95% CI: 2.9-235.5; P=0.004) (12). These previous studies demonstrated similar results to our study. PCT levels in patients with aSAH have a predictive value for the occurrence of CV. Subsequently CV could induce DCI and unfavorable clinical outcome. The activated inflammatory response status may facilitate the development of CV, and PCT can reflect this inflammatory response status.

Our study contained patients with relatively good grade SAH, such as low H-H and modified Fisher grade. Because patients who had undergone surgical clipping were primarily excluded, a subgroup analysis was performed after excluding patients with systemic infection. However, these selections of patients were performed to minimized the influence of systemic or post-operative infection. The enrolled patients of our study could not be considered as a good representation of entire aSAH patients. However, our study showed that PCT had a predictive value for the development of CV as well as systemic infection after aSAH. The exact mechanism for an association between PCT in the early phase of aSAH and the development of CV remains unclear. Nevertheless, initially obtained laboratory values have the potential to allow very early identification of patients with a higher risk of further deterioration during the course of treatment. Physicians should pay attention to early phase PCT level which has a predictability for systemic infection and CV after aSAH.

The present study has some limitations. First, the retrospective nature of the study design with a small sample size might have induced various biases. Second, our study did not include other inflammatory markers or possible confounding variables, such as IL-1, IL-6, or (TNF)-α. Third, dynamic change with repeated measurement of PCT level was not analyzed. Fourth, we did not evaluate PCT levels in CSF that might not respond to systemic bacterial infections, making it a potentially more sensitive target for CV. Nevertheless, the results of the present study should be considered with a view to further validation in future studies.

In conclusion, our study showed a predictable value of PCT in patients with aSAH. During the early period of aSAH after endovascular treatment, PCT can provides information for systemic infection. It can be used as a predictor of CV. aSAH patients with PCT levels ≥0.21 ng/ml are more likely to have a systemic infection. A PCT level of 0.09 ng/ml or higher in aSAH patients without systemic infection suggests a high probability of developing CV. Further studies are needed to clarify the role of PCT in aSAH.

Acknowledgements

Not applicable.

Funding

Funding: This study was supported by the National Research Foundation of Korea (grant no. NRF-2021R1G1A1094797).

Availability of data and materials

The datasets used and/or analyzed during the present study are available from the corresponding author on reasonable request.

Authors' contributions

HJY designed the study. HJY and JHK performed data analysis, interpretation of the data and drafting of the manuscript. HJY carried out statistical analysis. HJY and JHK confirm the authenticity of all the raw data. HJY supervised the study. HJY, JHK, DS and BK performed data acquisition, and checked the integrity of the data and accuracy of the data analysis. All authors read and approved the final manuscript.

Ethical approval and consent to participate

The present study was approved by the ethics committee of the Soonchunhyang University Bucheon Hospital (approval no. 2022-01-016), St. Vincent's Hospital (approval no. VC18RESI0027) and Hangang Sacred Heart Hospital (approval no. 2022-021). Informed consent was obtained from all patients.

Patient consent for publication

Not applicable.

Authors' information

Professor Ho Jun Yi: ORCID: 0000-0003-3061-0689.

Competing interests

The authors declare that they have no competing interests.

References

1 

Rinkel GJ and Algra A: Long-term outcomes of patients with aneurysmal subarachnoid haemorrhage. Lancet Neurol. 10:349–356. 2011.PubMed/NCBI View Article : Google Scholar

2 

Dijkland SA, Jaja BNR, van der Jagt M, Roozenbeek B, Vergouwen MDI, Suarez JI, Torner JC, Todd MM, van den Bergh WM, Saposnik G, et al: Between-center and between-country differences in outcome after aneurysmal subarachnoid hemorrhage in the subarachnoid hemorrhage international trialists (SAHIT) repository. J Neurosurg. 1–9. 2019.PubMed/NCBI View Article : Google Scholar : (Epub ahead of print).

3 

Li K, Barras CD, Chandra RV, Kok HK, Maingard JT, Carter NS, Russell JH, Lai L, Brooks M and Asadi H: A review of the management of cerebral vasospasm after aneurysmal subarachnoid hemorrhage. World Neurosurg. 126:513–527. 2019.PubMed/NCBI View Article : Google Scholar

4 

Veldeman M, Lepore D, Hollig A, Clusmann H, Stoppe C, Schubert GA and Albanna W: Procalcitonin in the context of delayed cerebral ischemia after aneurysmal subarachnoid hemorrhage. J Neurosurg. 1-9:2020.PubMed/NCBI View Article : Google Scholar : (Epub ahead of print).

5 

Connolly ES Jr, Rabinstein AA, Carhuapoma JR, Derdeyn CP, Dion J, Higashida RT, Hoh BL, Kirkness CJ, Naidech AM, Ogilvy CS, et al: Guidelines for the management of aneurysmal subarachnoid hemorrhage: A guideline for healthcare professionals from the American heart association/american stroke association. Stroke. 43:1711–1737. 2012.PubMed/NCBI View Article : Google Scholar

6 

Committee for Guidelines for Management of Aneurysmal Subarachnoid Hemorrhage, Japanese Society on Surgery for Cerebral Stroke. Evidence-based guidelines for the management of aneurysmal subarachnoid hemorrhage. English edition. Neurol Med Chir (Tokyo). 52:355–429. 2012.PubMed/NCBI View Article : Google Scholar

7 

Rass V and Helbok R: Early brain injury after poor-grade subarachnoid hemorrhage. Curr Neurol Neurosci Rep. 19(78)2019.PubMed/NCBI View Article : Google Scholar

8 

Yun S, Yi HJ, Lee DH and Sung JH: Systemic inflammation response index and systemic immune-inflammation index for predicting the prognosis of patients with aneurysmal subarachnoid hemorrhage. J Stroke Cerebrovasc Dis. 30(105861)2021.PubMed/NCBI View Article : Google Scholar

9 

McBride DW, Blackburn SL, Peeyush KT, Matsumura K and Zhang JH: The role of thromboinflammation in delayed cerebral ischemia after subarachnoid hemorrhage. Front Neurol. 8(555)2017.PubMed/NCBI View Article : Google Scholar

10 

Kasius KM, Frijns CJ, Algra A and Rinkel GJ: Association of platelet and leukocyte counts with delayed cerebral ischemia in aneurysmal subarachnoid hemorrhage. Cerebrovasc Dis. 29:576–583. 2010.PubMed/NCBI View Article : Google Scholar

11 

Ogden M, Bakar B, Karagedik MI, Bulut IU, Cetin C, Aydin G, Kisa U and Ozveren MF: Analysis of biochemical laboratory values to determine etiology and prognosis in patients with subarachnoid hemorrhage: A clinical study. Neurol Res. 41:156–167. 2019.PubMed/NCBI View Article : Google Scholar

12 

Güresir E, Coch C, Fimmers R, Ilic I, Hadjiathanasiou A, Kern T, Brandecker S, Güresir Á, Velten M, Vatter H and Schuss P: Initial inflammatory response is an independent predictor of unfavorable outcome in patients with good-grade aneurysmal subarachnoid hemorrhage. J Crit Care. 60:45–49. 2020.PubMed/NCBI View Article : Google Scholar

13 

Chamling B, Gross S, Stoffel-Wagner B, Schubert GA, Clusmann H, Coburn M and Höllig A: Early diagnosis of delayed cerebral ischemia: possible relevance for inflammatory biomarkers in routine clinical practice? World Neurosurg. 104:152–157. 2017.PubMed/NCBI View Article : Google Scholar

14 

Turner CL, Budohoski K, Smith C, Hutchinson PJ, Kirkpatrick PJ and Murray GD: STASH collaborators. Elevated baseline C-reactive protein as a predictor of outcome after aneurysmal subarachnoid hemorrhage: Data from the simvastatin in aneurysmal subarachnoid hemorrhage (STASH) trial. Neurosurgery. 77:786–793. 2015.PubMed/NCBI View Article : Google Scholar

15 

Li Q and Gong X: Clinical significance of the detection of procalcitonin and C-reactive protein in the intensive care unit. Exp Ther Med. 15:4265–4270. 2018.PubMed/NCBI View Article : Google Scholar

16 

Li Y, Chen L, Fang W and Chen H: Application value of procalcitonin, C-reactive protein and interleukin-6 in the evaluation of traumatic shock. Exp Ther Med. 17:4586–4592. 2019.PubMed/NCBI View Article : Google Scholar

17 

Shi G, Li M, Zhou R, Wang X, Xu W, Yang F and Xue S: Procalcitonin related to stroke-associated pneumonia and clinical outcomes of acute ischemic stroke after IV rt-PA treatment. Cell Mol Neurobiol. 42:1419–1427. 2022.PubMed/NCBI View Article : Google Scholar

18 

Schuetz P, Birkhahn R, Sherwin R, Jones AE, Singer A, Kline JA, Runyon MS, Self WH, Courtney DM, Nowak RM, et al: Serial procalcitonin predicts mortality in severe sepsis patients: Results from the multicenter procalcitonin monitoring SEpsis (MOSES) study. Crit Care Med. 45:781–789. 2017.PubMed/NCBI View Article : Google Scholar

19 

Wang R, He M, Ou XF, Xie XQ and Kang Y: Serum procalcitonin level predicts acute kidney injury after traumatic brain injury. World Neurosurg. 141:e112–e117. 2020.PubMed/NCBI View Article : Google Scholar

20 

Sakran JV, Michetti CP, Sheridan MJ, Richmond R, Waked T, Aldaghlas T, Rizzo A, Griffen M and Fakhry SM: The utility of procalcitonin in critically ill trauma patients. J Trauma Acute Care Surg. 73:413–418. 2012.PubMed/NCBI View Article : Google Scholar

21 

Cabral L, Afreixo V, Meireles R, Vaz M, Chaves C, Caetano M, Almeida L and Paiva JA: Checking procalcitonin suitability for prognosis and antimicrobial therapy monitoring in burn patients. Burns Trauma. 6(10)2018.PubMed/NCBI View Article : Google Scholar

22 

van Gijn J, Kerr RS and Rinkel GJ: Subarachnoid haemorrhage. Lancet. 369:306–318. 2007.PubMed/NCBI View Article : Google Scholar

23 

Thompson K, Venkatesh B and Finfer S: Sepsis and septic shock: Current approaches to management. Intern Med J. 49:160–170. 2019.PubMed/NCBI View Article : Google Scholar

24 

Frontera JA, Fernandez A, Schmidt JM, Claassen J, Wartenberg KE, Badjatia N, Connolly ES and Mayer SA: Defining vasospasm after subarachnoid hemorrhage: What is the most clinically relevant definition? Stroke. 40:1963–1968. 2009.PubMed/NCBI View Article : Google Scholar

25 

Vergouwen MD, Vermeulen M, van Gijn J, Rinkel GJ, Wijdicks EF, Muizelaar JP, Mendelow AD, Juvela S, Yonas H, Terbrugge KG, et al: Definition of delayed cerebral ischemia after aneurysmal subarachnoid hemorrhage as an outcome event in clinical trials and observational studies: Proposal of a multidisciplinary research group. Stroke. 41:2391–2395. 2010.PubMed/NCBI View Article : Google Scholar

26 

Höllig A, Remmel D, Stoffel-Wagner B, Schubert GA, Coburn M and Clusmann H: Association of early inflammatory parameters after subarachnoid hemorrhage with functional outcome: A prospective cohort study. Clin Neurol Neurosurg. 138:177–183. 2015.PubMed/NCBI View Article : Google Scholar

27 

Morga R, Dziedzic T, Moskala M, Slowik A and Pera J: Clinical relevance of changes in peripheral blood cells after intracranial aneurysm rupture. J Stroke Cerebrovasc Dis. 29(105293)2020.PubMed/NCBI View Article : Google Scholar

28 

Karlsson S, Heikkinen M, Pettila V, Alila S, Väisänen S, Pulkki K, Kolho E and Ruokonen E: Finnsepsis Study G. Predictive value of procalcitonin decrease in patients with severe sepsis: A prospective observational study. Crit Care. 14(R205)2010.PubMed/NCBI View Article : Google Scholar

29 

Oconnor E, Venkatesh B, Mashongonyika C, Lipman J, Hall J and Thomas P: Serum procalcitonin and C-reactive protein as markers of sepsis and outcome in patients with neurotrauma and subarachnoid haemorrhage. Anaesth Intensive Care. 32:465–470. 2004.PubMed/NCBI View Article : Google Scholar

30 

Festic E, Siegel J, Stritt M and Freeman WD: The utility of serum procalcitonin in distinguishing systemic inflammatory response syndrome from infection after aneurysmal subarachnoid hemorrhage. Neurocrit Care. 20:375–381. 2014.PubMed/NCBI View Article : Google Scholar

Related Articles

  • Abstract
  • View
  • Download
  • Twitter
Copy and paste a formatted citation
Spandidos Publications style
Kim JH, Yi HJ, Kim B and Shin D: Clinical relevance of serum procalcitonin in patients with aneurysmal subarachnoid hemorrhage. Exp Ther Med 24: 653, 2022.
APA
Kim, J.H., Yi, H.J., Kim, B., & Shin, D. (2022). Clinical relevance of serum procalcitonin in patients with aneurysmal subarachnoid hemorrhage. Experimental and Therapeutic Medicine, 24, 653. https://doi.org/10.3892/etm.2022.11590
MLA
Kim, J. H., Yi, H. J., Kim, B., Shin, D."Clinical relevance of serum procalcitonin in patients with aneurysmal subarachnoid hemorrhage". Experimental and Therapeutic Medicine 24.5 (2022): 653.
Chicago
Kim, J. H., Yi, H. J., Kim, B., Shin, D."Clinical relevance of serum procalcitonin in patients with aneurysmal subarachnoid hemorrhage". Experimental and Therapeutic Medicine 24, no. 5 (2022): 653. https://doi.org/10.3892/etm.2022.11590
Copy and paste a formatted citation
x
Spandidos Publications style
Kim JH, Yi HJ, Kim B and Shin D: Clinical relevance of serum procalcitonin in patients with aneurysmal subarachnoid hemorrhage. Exp Ther Med 24: 653, 2022.
APA
Kim, J.H., Yi, H.J., Kim, B., & Shin, D. (2022). Clinical relevance of serum procalcitonin in patients with aneurysmal subarachnoid hemorrhage. Experimental and Therapeutic Medicine, 24, 653. https://doi.org/10.3892/etm.2022.11590
MLA
Kim, J. H., Yi, H. J., Kim, B., Shin, D."Clinical relevance of serum procalcitonin in patients with aneurysmal subarachnoid hemorrhage". Experimental and Therapeutic Medicine 24.5 (2022): 653.
Chicago
Kim, J. H., Yi, H. J., Kim, B., Shin, D."Clinical relevance of serum procalcitonin in patients with aneurysmal subarachnoid hemorrhage". Experimental and Therapeutic Medicine 24, no. 5 (2022): 653. https://doi.org/10.3892/etm.2022.11590
Follow us
  • Twitter
  • LinkedIn
  • Facebook
About
  • Spandidos Publications
  • Careers
  • Cookie Policy
  • Privacy Policy
How can we help?
  • Help
  • Live Chat
  • Contact
  • Email to our Support Team