Spandidos Publications Logo
  • About
    • About Spandidos
    • Aims and Scopes
    • Abstracting and Indexing
    • Editorial Policies
    • Reprints and Permissions
    • Job Opportunities
    • Terms and Conditions
    • Contact
  • Journals
    • All Journals
    • Oncology Letters
      • Oncology Letters
      • Information for Authors
      • Editorial Policies
      • Editorial Board
      • Aims and Scope
      • Abstracting and Indexing
      • Bibliographic Information
      • Archive
    • International Journal of Oncology
      • International Journal of Oncology
      • Information for Authors
      • Editorial Policies
      • Editorial Board
      • Aims and Scope
      • Abstracting and Indexing
      • Bibliographic Information
      • Archive
    • Molecular and Clinical Oncology
      • Molecular and Clinical Oncology
      • Information for Authors
      • Editorial Policies
      • Editorial Board
      • Aims and Scope
      • Abstracting and Indexing
      • Bibliographic Information
      • Archive
    • Experimental and Therapeutic Medicine
      • Experimental and Therapeutic Medicine
      • Information for Authors
      • Editorial Policies
      • Editorial Board
      • Aims and Scope
      • Abstracting and Indexing
      • Bibliographic Information
      • Archive
    • International Journal of Molecular Medicine
      • International Journal of Molecular Medicine
      • Information for Authors
      • Editorial Policies
      • Editorial Board
      • Aims and Scope
      • Abstracting and Indexing
      • Bibliographic Information
      • Archive
    • Biomedical Reports
      • Biomedical Reports
      • Information for Authors
      • Editorial Policies
      • Editorial Board
      • Aims and Scope
      • Abstracting and Indexing
      • Bibliographic Information
      • Archive
    • Oncology Reports
      • Oncology Reports
      • Information for Authors
      • Editorial Policies
      • Editorial Board
      • Aims and Scope
      • Abstracting and Indexing
      • Bibliographic Information
      • Archive
    • Molecular Medicine Reports
      • Molecular Medicine Reports
      • Information for Authors
      • Editorial Policies
      • Editorial Board
      • Aims and Scope
      • Abstracting and Indexing
      • Bibliographic Information
      • Archive
    • World Academy of Sciences Journal
      • World Academy of Sciences Journal
      • Information for Authors
      • Editorial Policies
      • Editorial Board
      • Aims and Scope
      • Abstracting and Indexing
      • Bibliographic Information
      • Archive
    • International Journal of Functional Nutrition
      • International Journal of Functional Nutrition
      • Information for Authors
      • Editorial Policies
      • Editorial Board
      • Aims and Scope
      • Abstracting and Indexing
      • Bibliographic Information
      • Archive
    • International Journal of Epigenetics
      • International Journal of Epigenetics
      • Information for Authors
      • Editorial Policies
      • Editorial Board
      • Aims and Scope
      • Abstracting and Indexing
      • Bibliographic Information
      • Archive
    • Medicine International
      • Medicine International
      • Information for Authors
      • Editorial Policies
      • Editorial Board
      • Aims and Scope
      • Abstracting and Indexing
      • Bibliographic Information
      • Archive
  • Articles
  • Information
    • Information for Authors
    • Information for Reviewers
    • Information for Librarians
    • Information for Advertisers
    • Conferences
  • Language Editing
Spandidos Publications Logo
  • About
    • About Spandidos
    • Aims and Scopes
    • Abstracting and Indexing
    • Editorial Policies
    • Reprints and Permissions
    • Job Opportunities
    • Terms and Conditions
    • Contact
  • Journals
    • All Journals
    • Biomedical Reports
      • Information for Authors
      • Editorial Policies
      • Editorial Board
      • Aims and Scope
      • Abstracting and Indexing
      • Bibliographic Information
      • Archive
    • Experimental and Therapeutic Medicine
      • Information for Authors
      • Editorial Policies
      • Editorial Board
      • Aims and Scope
      • Abstracting and Indexing
      • Bibliographic Information
      • Archive
    • International Journal of Epigenetics
      • Information for Authors
      • Editorial Policies
      • Editorial Board
      • Aims and Scope
      • Abstracting and Indexing
      • Bibliographic Information
      • Archive
    • International Journal of Functional Nutrition
      • Information for Authors
      • Editorial Policies
      • Editorial Board
      • Aims and Scope
      • Abstracting and Indexing
      • Bibliographic Information
      • Archive
    • International Journal of Molecular Medicine
      • Information for Authors
      • Editorial Policies
      • Editorial Board
      • Aims and Scope
      • Abstracting and Indexing
      • Bibliographic Information
      • Archive
    • International Journal of Oncology
      • Information for Authors
      • Editorial Policies
      • Editorial Board
      • Aims and Scope
      • Abstracting and Indexing
      • Bibliographic Information
      • Archive
    • Medicine International
      • Information for Authors
      • Editorial Policies
      • Editorial Board
      • Aims and Scope
      • Abstracting and Indexing
      • Bibliographic Information
      • Archive
    • Molecular and Clinical Oncology
      • Information for Authors
      • Editorial Policies
      • Editorial Board
      • Aims and Scope
      • Abstracting and Indexing
      • Bibliographic Information
      • Archive
    • Molecular Medicine Reports
      • Information for Authors
      • Editorial Policies
      • Editorial Board
      • Aims and Scope
      • Abstracting and Indexing
      • Bibliographic Information
      • Archive
    • Oncology Letters
      • Information for Authors
      • Editorial Policies
      • Editorial Board
      • Aims and Scope
      • Abstracting and Indexing
      • Bibliographic Information
      • Archive
    • Oncology Reports
      • Information for Authors
      • Editorial Policies
      • Editorial Board
      • Aims and Scope
      • Abstracting and Indexing
      • Bibliographic Information
      • Archive
    • World Academy of Sciences Journal
      • Information for Authors
      • Editorial Policies
      • Editorial Board
      • Aims and Scope
      • Abstracting and Indexing
      • Bibliographic Information
      • Archive
  • Articles
  • Information
    • For Authors
    • For Reviewers
    • For Librarians
    • For Advertisers
    • Conferences
  • Language Editing
Login Register Submit
  • This site uses cookies
  • You can change your cookie settings at any time by following the instructions in our Cookie Policy. To find out more, you may read our Privacy Policy.

    I agree
Search articles by DOI, keyword, author or affiliation
Search
Advanced Search
presentation
Experimental and Therapeutic Medicine
Join Editorial Board Propose a Special Issue
Print ISSN: 1792-0981 Online ISSN: 1792-1015
Journal Cover
November-2022 Volume 24 Issue 5

Full Size Image

Sign up for eToc alerts
Recommend to Library

Journals

International Journal of Molecular Medicine

International Journal of Molecular Medicine

International Journal of Molecular Medicine is an international journal devoted to molecular mechanisms of human disease.

International Journal of Oncology

International Journal of Oncology

International Journal of Oncology is an international journal devoted to oncology research and cancer treatment.

Molecular Medicine Reports

Molecular Medicine Reports

Covers molecular medicine topics such as pharmacology, pathology, genetics, neuroscience, infectious diseases, molecular cardiology, and molecular surgery.

Oncology Reports

Oncology Reports

Oncology Reports is an international journal devoted to fundamental and applied research in Oncology.

Experimental and Therapeutic Medicine

Experimental and Therapeutic Medicine

Experimental and Therapeutic Medicine is an international journal devoted to laboratory and clinical medicine.

Oncology Letters

Oncology Letters

Oncology Letters is an international journal devoted to Experimental and Clinical Oncology.

Biomedical Reports

Biomedical Reports

Explores a wide range of biological and medical fields, including pharmacology, genetics, microbiology, neuroscience, and molecular cardiology.

Molecular and Clinical Oncology

Molecular and Clinical Oncology

International journal addressing all aspects of oncology research, from tumorigenesis and oncogenes to chemotherapy and metastasis.

World Academy of Sciences Journal

World Academy of Sciences Journal

Multidisciplinary open-access journal spanning biochemistry, genetics, neuroscience, environmental health, and synthetic biology.

International Journal of Functional Nutrition

International Journal of Functional Nutrition

Open-access journal combining biochemistry, pharmacology, immunology, and genetics to advance health through functional nutrition.

International Journal of Epigenetics

International Journal of Epigenetics

Publishes open-access research on using epigenetics to advance understanding and treatment of human disease.

Medicine International

Medicine International

An International Open Access Journal Devoted to General Medicine.

Journal Cover
November-2022 Volume 24 Issue 5

Full Size Image

Sign up for eToc alerts
Recommend to Library

  • Article
  • Citations
    • Cite This Article
    • Download Citation
    • Create Citation Alert
    • Remove Citation Alert
    • Cited By
  • Similar Articles
    • Related Articles (in Spandidos Publications)
    • Similar Articles (Google Scholar)
    • Similar Articles (PubMed)
  • Download PDF
  • Download XML
  • View XML

  • Supplementary Files
    • Supplementary_Data.pdf
Article Open Access

Clinical and radiomic factors for predicting invasiveness in pulmonary ground‑glass opacity

  • Authors:
    • Yutao Dang
    • Ruotian Wang
    • Kun Qian
    • Jie Lu
    • Yi Zhang
  • View Affiliations / Copyright

    Affiliations: Department of Thoracic Surgery, Xuanwu Hospital, Capital Medical University, Beijing 100053, P.R. China, Department of Radiology, Xuanwu Hospital, Capital Medical University, Beijing 100053, P.R. China
    Copyright: © Dang et al. This is an open access article distributed under the terms of Creative Commons Attribution License.
  • Article Number: 685
    |
    Published online on: September 22, 2022
       https://doi.org/10.3892/etm.2022.11621
  • Expand metrics +
Metrics: Total Views: 0 (Spandidos Publications: | PMC Statistics: )
Metrics: Total PDF Downloads: 0 (Spandidos Publications: | PMC Statistics: )
Cited By (CrossRef): 0 citations Loading Articles...

This article is mentioned in:



Abstract

Patients with preinvasive or invasive pulmonary ground‑glass opacity (GGO) often face different clinical treatments and prognoses. The present study aimed to identify the invasiveness of pulmonary GGO by analysing clinical and radiomic features. Patients with pulmonary GGOs who were treated between January 2014 and February 2019 were included. Clinical features were collected, while radiomic features were extracted from computed tomography records using the three‑dimensional Slicer software. Predictors of GGO invasiveness were selected by least absolute shrinkage and selection operator logistic regression analysis, and receiver operating characteristic (ROC) curves were drawn for each prediction model. A total of 194 patients with pulmonary GGOs were included in the present study. The maximum diameter of the solid component, waveletHLL_ngtdm_Coarseness (P=0.03), waveletLHH_firstorder_Maximum (P<0.01) and waveletLLH_glrlm_LongRunEmphasis (P<0.01) were significant predictors of invasive lung GGOs. The area under the ROC curve (AUC) for the prediction models of clinical features and radiomic features was 0.755 and 0.719, respectively, whereas the AUC for the combined prediction model was 0.864 (95% CI, 0.802‑0.926). Finally, a nomogram was established for individualized prediction of invasiveness. The combination of radiomic and clinical features can enable the differentiation between preinvasive and invasive GGOs. The present results can provide some basis for the best choice of treatment in patients with lung GGOs.

Introduction

The diagnosis rate of pulmonary ground-glass opacity (GGO) has increased significantly with the application of high-resolution chest computed tomography (CT) (1,2). Previous studies have demonstrated that 63-92.6% of persistent GGOs are precancerous lesions or early stage adenocarcinoma (3,4). According to the Internal Association for the Study of Lung Cancer and the American Thoracic Society and European Respiratory Society classification in 2011, adenocarcinoma is classified as atypical adenomatous hyperplasia (AAH), adenocarcinoma in situ (AIS), minimally invasive adenocarcinoma (MIA) and invasive adenocarcinoma (IA) (5). Generally, preinvasive GGOs consist of AAH and AIS, whereas MIA and IA are categorized as invasive lesions (6). To date, the treatment of pulmonary GGOs has often been based on CT manifestations and clinical experience. AAH and AIS are pure GGOs (pGGOs) or mixed GGOs featuring a few solid components on chest CT (7,8), and this type of preinvasive nodule often needs close follow-up or limited resection (9,10). Mixed GGOs with more solid components tend to be invasive lesions and often require segmentectomy or lobectomy with lymph node dissection. Following appropriate surgery, compared with the 100% 5-year disease-free survival (DFS) rate associated with AAH and AIS and the ~100% 5-year DFS rate associated with MIA (11), the 5-year DFS rate of patients with IA remains poor, with previous studies reporting values of 70.5-88.0% (12-16). Therefore, the identification of invasiveness of pulmonary GGOs is important for assessing prognosis and for the decision-making process regarding the choice of the optimal clinical treatment.

Radiomics refers to extrapolation of quantitative clinical features from radiology images (17). In oncology, tumour radiomic features measured by analysing imaging data, including nodal shape and volume, as well as intensity and a series of ‘texture’ features, can be used to investigate the correlation among the diagnosis, prediction and prognosis of patients with cancer (18-20). The purpose of the present study was to determine the invasiveness of GGOs on the basis of the clinical and radiomic features from chest CT.

Patients and methods

Patient selection and grouping

The present study considered for inclusion a total of 268 patients who underwent surgery for pulmonary GGOs at Xuanwu Hospital (Capital Medical University, Beijing, China) between January 2014 and February 2019 (301 GGOs in total; 2 patients had three GGOs and 29 had two GGOs, while the rest had one GGO). The inclusion criteria were as follows: i) Complete records of the patient clinical characteristics, including sex, age, smoking history, family history of lung cancer and pathological type; ii) complete non-enhanced chest CT data within 2 months of the operation; and iii) final pathology results indicating malignant lesions, including AAH, AIS, MIA and IA. The exclusion criteria were as follows: i) Patients had undergone puncture biopsy, radiotherapy, radiofrequency ablation or other treatment of GGOs before the chest CT examination; and ii) the maximum diameter of GGOs on CT images was >3 cm. After evaluation against the inclusion and exclusion criteria, a total of 184 patients with 194 GGOs were included in the present study.

According to the pathology results, the patients who were ultimately included were divided into two groups: i) The preinvasive GGO group, composed of patients with preinvasive lesions, including AAH and AIS; and ii) the invasive GGO group, composed of patients with invasive lesions, including MIA and IA.

Ethics approval and consent to participate

The present study was approved by the Medical Research Ethics Committee of Shijingshan Hospital of Beijing City (Beijing, China; approval no. 2020-12). All the procedures involving human participants were performed in accordance with the ethical standards of both institutional and national research committees. Written informed consent was obtained before surgery from either the patients or their representatives.

Clinical feature selection

A review of the relevant literature was performed to select clinical predictors of GGO invasiveness. The predictors included age, sex, smoking history, family history [positive family history of lung cancer was defined as having a first-degree relative (parent, sibling or child) with lung cancer], nodule location, pathological type, the maximum diameter of the GGO in the three-dimensional (3D) image [the value of the maximum diameter was consistent with the value of ‘original_shape_Maximum3DDiameter’, which is a shape-based radiomic feature extracted by 3D Slicer software (version 4.6.2; http://www.slicer.org) and the GGO consolidation (defined as the maximum dimensions of the area of increased opacification that completely obscured the underlying vascular markings). Subsequently, a 2-round Delphi study (21) was performed using online surveys, and age, sex, smoking history, family history and GGO consolidation were ultimately selected as independent predictors.

Chest CT examination and general imaging feature acquisition

All the preoperative chest CT scans were non-enhanced and performed with one of two machines (Sensation Cardiac 64 or Somatom Definition Flash; Siemens Healthineers). All the CT examinations were performed using the following parameters: 120 kVp; pitch, 1.2; 100-200 mAsec; and collimation, 5.0 mm. The chest CT images of the patients were analysed by two radiologists. The largest diameter of the tumour and consolidation components were separately measured on the lung and mediastinal windows. The final result was determined by averaging the results reported by the two radiologists.

CT texture analysis (TA) Radiomic feature extraction

CT data in DICOM format were imported into 3D-Slicer software. The volume of interest (VOI) was obtained by semiautomatic segmentation using the Segment Editor function. The VOI was then normalized by the NormalizeImageFilter function. Before performing the radiomic feature extraction with SlicerRadiomics (version 2.1.0; https://www.slicer.org/wiki/Documentation/Nightly/Extensions/Radiomics), grey-level discretization and voxel resampling were performed. All the features were calculated with a fixed bin width of 25 HU, and resampling to a voxel size of 0.6x0.6x5.0 mm3 was applied. The radiomic characteristics were divided into the following 107 original features: i) Shape-based (14 features); ii) grey-level dependence matrix (14 features); iii) first-order statistics (18 features); iv) grey-level co-occurrence matrix (24 features); v) grey-level run-length matrix (16 features); vi) grey-level size zone matrix (16 features); and vii) neighbouring grey tone difference matrix (five features). In addition, eight groups of wavelet features were calculated based on the intensity and texture features of the original image using a wavelet filter. Wavelet features are obtained by transforming domain representations of tumor intensity and textural features. These features were applied as either a high (H) or low pass (L) filter in each of the three dimensions (x-axis, from left to right; y-axis, from posterior to anterior; z-axis, from inferior to superior): Wavelet-LHL, wavelet-LHH, wavelet-HLL, wavelet-LLH, wavelet-HLH, wavelet-HHH, wavelet-HHL and wavelet-LLL (22). Each intensity or texture feature extracted from the volume of interest is subjected to eight ways of wavelet transform, and finally eight sets of wavelet transform features (a total of 744 features) are obtained (23). Therefore, the features are concentrated in different frequency ranges within the tumour volume. The process of radiomic feature extraction was consistent with the methods previously described (24).

Stable radiomic feature selection

To obtain stable radiomic features, each image data point was subjected twice to VOI segmentation and radiomic feature extraction. The intraclass correlation coefficient (ICC) for each radiomic feature was calculated and the stable radiomic features were selected as ICC >0.75.

Selection of prediction factors and establishment of prediction model

The patients enrolled in the present study were divided into training and validation cohorts. Multivariate logistic regression analysis with the backwards method (25) was used to select independent predictors from clinical features, including consolidation, age, family history, sex and smoking history, in the training cohort, and receiver operating characteristic (ROC) curves were plotted. Area under the ROC curve (AUC) values represent the predictive ability of the clinical prediction model. For radiomic features, the minimax concave penalty least absolute shrinkage and selection operator (MCP-LASSO) algorithm and 10-fold cross-validation were used to identify independent predictors for distinguishing the two pathological subtypes in the training cohort. Next, ROC curves representing the radiomic prediction model were plotted and the AUC values were calculated. Finally, all the meaningful predictors were used to build a combined prediction model, which was compared with the clinical prediction and radiomic prediction models. Moreover, the validation cohort was used to demonstrate the prediction ability of the prediction models. A nomogram was constructed to predict the invasiveness of individual GGOs, and a decision curve analysis (DCA) was performed and plotted.

Statistical analysis

The means of continuous variables were compared using the independent Student's t-test (normally distributed data) or Mann-Whitney U test (non-normally distributed data) and the Pearson χ2 test was used to analyse differences between categorical variables in two groups using SPSS (version 22.0; IBM Corp.). R software (version 3.5.2; http://www.R-project.org) was also used for data analysis. ICC was calculated using the ‘psych’ package (version 1.9.12.31; https://personality-project.org/r/psych) in R. The ‘MASS’ package (version 7.3-51.4; http://cran.stat.auckland.ac.nz/web/packages/MASS/) was used for logistic regression in the clinical features group. MCP-LASSO regression analysis was performed for radiomic features and combined predictors selection using the ‘ncvreg’ package (version 3.11.2; http://pbreheny.github.io/ncvreg) in R. The ROC curves were built using the ‘pROC’ (version 1.16.1; http://expasy.org/tools/pROC/) and ‘ggplot2’ (version 3.2.1; http://ggplot2.tidyverse.org) packages in R. The ‘OptimalCutpoints’ package (version 1.1-5; http://cran.stat.auckland.ac.nz/web/packages/OptimalCutpoints/) was used for cut-off calculation in R software. A nomogram was formulated using the package ‘rms’ (version 6.1-1; https://hbiostat.org/R/rms/) in R software. The concordance index (C-index), which represents the performance of the nomogram, was calculated with the ‘rcorrcens’ function present in the ‘Hmisc’ package (version 4.3-1; https://github.com/harrelfe/Hmisc) in R software. The ROC curves of the training cohort and validation cohort were compared by DeLong's test. P<0.05 was considered to indicate a statistically significant difference. The related computerized programs with R are listed in Appendix S1.

Results

Clinical features

A total of 184 patients were included in the present study (Fig. 1). Among these 184 patients, 10 presented two GGOs, while the remaining patients presented a single GGO, for a total of 194 GGOs. Of these 194 GGOs, 72 (including 21 AAH and 51 AIS) were in the preinvasive GGO group and 122 (including 31 MIA and 91 IA) were in the invasive GGO group. The clinical features of the two groups of patients were analysed (Table I) and there were no significant differences with regard to sex (P=0.757), age (P=0.364), smoking history (P=0.725), family history (P=0.266) or nodule location (P=0.585) between the preinvasive GGO and invasive GGO groups. However, there were significant differences in the maximum diameter (P<0.001) and consolidation (P<0.001) between the two groups. All the GGOs were divided into two groups: i) The clinical training group, which included 136 patients who were hospitalized between January 2014 and January 2018, with 144 GGOs; and ii) the clinical validation cohort, which included 48 patients who were hospitalized between February 2018 and February 2019, with 50 GGOs.

Figure 1

Flow chart of GGO selection. The present study considered a total of 301 GGOs for inclusion. After evaluation against the inclusion and exclusion criteria, a total of 194 GGOs were selected. GGO, ground-glass opacity; CT, computed tomography.

Table I

Clinical features of all patients.

Table I

Clinical features of all patients.

CharacteristicsPreinvasive GGOInvasive GGOTotal P-valuea
Number of patients72122194 
Sex, n (%)   0.757
     Male24 (35.3)44 (64.7)68 
     Female48 (38.1)78 (61.9)126 
Age, yearsb59.1±1.0560.31±8.19 0.364
Smoking history, n (%)   0.725
     Non-smokers54 (36.2)95 (63.8)149 
     Smokers18 (40.0)27 (60.0)45 
Family history, n (%)   0.266
     No61 (39.4)94 (60.6)155 
     Yes11 (28.2)28 (71.8)39 
Maximum_diameter, cmb0.97±0.421.43±0.63 <0.001
Consolidationb0.13±0.030.65±0.50 <0.001
Location, n (%)   0.585
     Right upper27 (37.5)45 (62.5)72 
     Right middle6 (54.5)5 (45.5)11 
     Right low9 (29.0)22 (71.0)31 
     Left upper21 (40.4)31 (59.6)52 
     Left low9 (32.1)19 (67.9)28 

[i] aP-value was based on comparison between preinvasive group and invasive group.

[ii] bMean ± standard deviation. GGO, ground-glass opacity.

Radiomic feature selection

Through TA of each patient's chest CT images, 851 radiomic features were obtained, including 107 original features and eight groups of wavelet features (each group contained 93 wavelet feature factors) obtained by decomposition of the original features (with the exception of 14 shape features). With an ICC >0.75 as the threshold, 613 stable radiomic features were identified, including 528 wavelet features and 85 original features (Fig. 2).

Figure 2

ICC histogram of all texture features. According to the size of the ICC, the texture features were divided into two groups: ICC >0.75 and ICC ≤0.75. ICC, intragroup correlation coefficient.

Clinical prediction model

The logistic regression analysis results revealed that consolidation was an independent predictor of invasiveness in the training cohort of 144 GGOs (P<0.001; Fig. 3). The ROC curve based on these plots was used to represent the clinical prediction model (clinical training cohort) of clinical features for the invasiveness of GGO. The cut-off value of consolidation was 0.23 cm (sensitivity, 0.681; specificity, 0.792; positive predictive value, 0.849; negative predictive value, 0.592; Fig. 3). The formula for calculating the clinical prediction model score was as follows: Clinical-score=-0.312+2.588 x consolidation.

Figure 3

Clinical prediction model of ground-glass opacity invasion. The receiver operating characteristic curve for the training group (clinical training; AUC, 0.755) and validation group (clinical validation; AUC, 0.874). AUC, area under the curve.

Radiomic prediction model

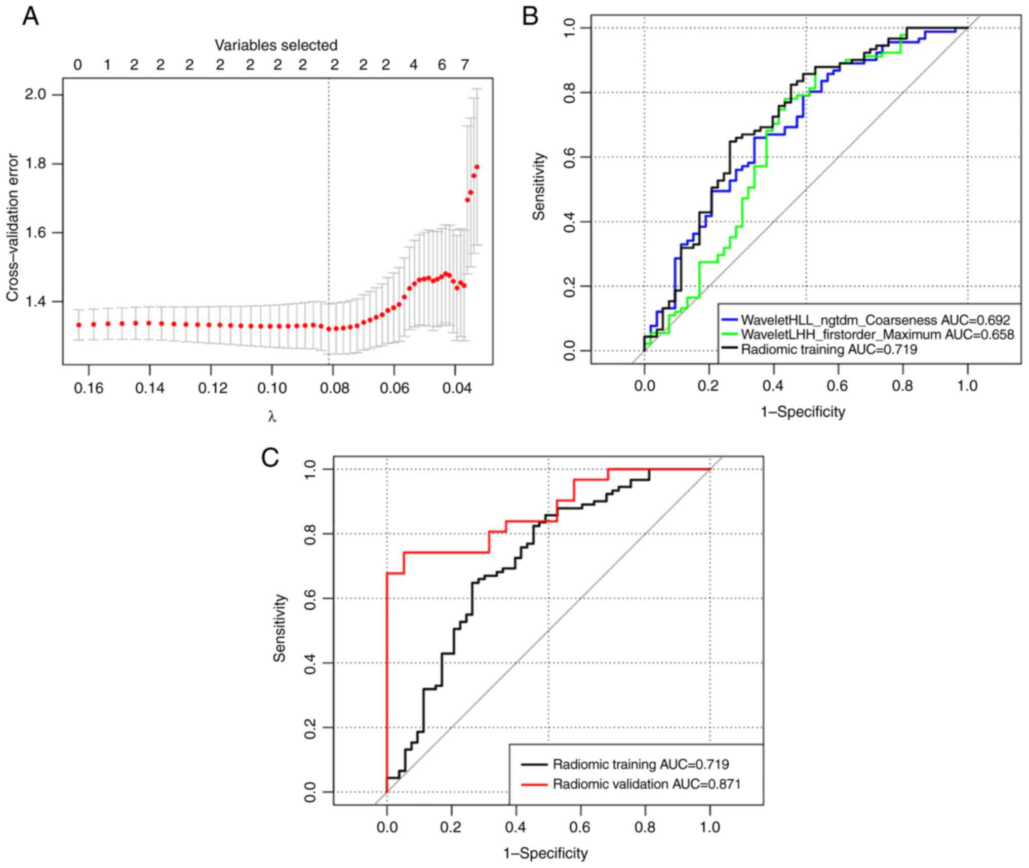
After MCP-LASSO regression analysis and 10-fold cross-validation of 613 radiomic features in the clinical training cohort of 144 GGOs, two radiomic features, waveletHLL_ngtdm_Coarseness (P<0.01) and waveletLHH_firstorder_Maximum (P=0.01), were identified as independent predictors of invasiveness. ROC curves were drawn based on these radiomic features. In the prediction model, the AUCs of the texture features waveletHLL_ngtdm_Coarseness and waveletLHH_firstorder_Maximum were 0.692 (95% CI, 0.60-0.783) and 0.658 (95% CI, 0.557-0.758), respectively. The ability of a single texture feature to predict GGO invasiveness was poor. The combined predictive ability of all the texture features, radiomic training, was 0.719 (95% CI, 0.628-0.81), indicating improved predictive ability (Fig. 4). The formula for calculating the radiomic prediction model score was as follows: Radiomic-score=2.422-23.616 x waveletHLL_ngtdm_Coarseness-0.007 x waveletLHH_firstorder_Maximum.

Figure 4

Radiomic feature selection and development of the radiomic prediction model. (A) The least absolute shrinkage and selection operator algorithm and 10-fold cross-validation for radiomic predictor selection. The optimal l value is 0.081 at the minimum cross-validation error (1.32) and the corresponding number of predictors is two. (B) ROC curve for invasiveness prediction with radiomic predictors alone and combined in the training cohort. (C) ROC curve for the training cohort (radiomic training) and validation cohort (radiomic validation) with corresponding AUCs of 0.719 and 0.871, respectively (P=0.025). AUC, area under the curve; ROC, receiver operating characteristic.

Combined prediction model

Consolidation, waveletHLL_ngtdm_Coarseness, waveletLLH_glrlm_LongRunEmphasis and waveletLHH_firstorder_Maximum were selected from all the clinical and radiomic features by MCP-LASSO regression analysis and 10-fold cross-validation to construct the combined prediction model. The ROC curves are shown in Fig. 5. The combined prediction model score was calculated as follows: Combined-score=4.508+3.11 x consolidation-waveletHLL_ngtdm_Coarseness-0.827 x waveletHLL_glrlm_LongRunEmphasis-0.015 x waveletLHH_firstorder_Maximum.

Figure 5

Development of the combined prediction model. (A) The least absolute shrinkage and selection operator algorithm and 10-fold cross-validation for combined predictor selection. When the minimum cross validation error is 1.09, the optimal l value is 0.061 and the corresponding number of non-zero coefficients is four. (B) ROC curves of the combined prediction model for the training cohort (combined training; AUC, 0.864) and the validation cohort (combined validation; AUC, 0.937). (C) ROC curves are shown to describe the discrimination of the clinical prediction model (clinical training), the general imaging prediction model (imaging training), the radiomic prediction model (radiomic training) and the combined prediction model (combined training). AUC, area under the curve; ROC, receiver operating characteristic.

The sensitivity, specificity, positive predictive value, negative predictive value, accuracy, AUC and 95% CI of each prediction model in the training cohort and validation cohort were calculated to show the predictive ability (Table II). The predictive ability of the combined prediction model (AUC, 0.864; 95% CI, 0.802-0.926) was improved compared with that of any single prediction model developed with clinical (AUC, 0.755; 95% CI, 0.682-0.827) or radiomic (AUC, 0.719; 95% CI, 0.628-0.81) features.

Table II

Diagnostic accuracy and AUC of prediction models.

Table II

Diagnostic accuracy and AUC of prediction models.

GroupsCohortSEN, %SPE, %PPV, %NPV, %Accuracy, %AUC95% CIP-value
ClinicalTraining68.179.284.959.272.20.7550.682-0.8270.04
 Validation80.689.592.668.873.90.840.787-0.961 
RadiomicTraining64.873.680.854.968.10.7190.628-0.810.025
 Validation74.294.795.869.282.00.8710.776-0.966 
CombinedTraining82.475.585.271.479.90.8640.802-0.9260.109
 Validation83.994.796.378.388.00.9370.873-1.0 

[i] SEN, sensitivity; SPE, specificity; PPV, positive predictive value; NPV, negative predictive value; AUC, area under curve.

Nomogram establishment and validation

Based on the four predictors selected in the combined model, a nomogram was constructed to predict the individual invasiveness of GGOs (Fig. 6). In the training cohort, the C-index of the invasion prediction nomogram was 0.864 (95% CI, 0.833-0.895), while it was 0.815 (95% CI, 0.905-0.969) in the verification cohort. The nomogram was subjected to 1,000 bootstrap resamples for internal validation and the calibration curve was plotted (Fig. 7). The mean absolute errors of the calibration curves were 0.027 in the training cohort and 0.031 in the validation cohort.

Figure 6

Nomogram that incorporated all the significant predictors of invasiveness is constructed with the training cohort. The predictors included radiomic1 (waveletHLL_ngtdm_Coarseness), radiomic2 (waveletLHH_firstorder_Maximum), Radiomic3 (waveletLLH_glrlm_LongRunEmphasis) and consolidation. The sum of points received for each variable value was located on the total points axis and a line was drawn downwards to the prediction axis to determine the probability of invasiveness.

Figure 7

Calibration curve of the nomogram for predicting the probability of invasiveness. Probability of invasiveness in (A) the training cohort and (B) the validation cohort. The actual probability of invasiveness is plotted on the y-axis; the nomogram-predicted probability of invasiveness is plotted on the x-axis.

DCA

DCA is a method used to evaluate prediction models (26). The clinical decision curve was analysed based on the selected predictors (Fig. 8). A total of three predictive models of GGO invasiveness, namely the clinical, radiomic and combined models, were used in the training and verification groups. The results are presented in Fig. 8A and B, where the x-axis shows the threshold probability (Pt) and the y-axis shows the net benefit, which was calculated by adding the advantages (true-positive) and subtracting the disadvantages (false-positive). Within a large range of Pt values (20-90%; Fig. 8), the combined model has a greater net benefit than the clinical and radiomic models. For example, when the threshold probability was 45%, the net benefit rate was 46.7% in the combined model, 36.2% in the clinical model and 38.1% in the radiomic model. Therefore, the combined model has more clinical significance in predicting the invasiveness of GGOs.

Figure 8

Clinical decision curve analysis. (A) Training and (B) validation group.

Discussion

To date, it is still a challenge for thoracic surgeons to select the best treatment for pulmonary GGOs. The main reason is that it is difficult to classify GGOs before surgery, although a new classification of pulmonary adenocarcinoma was defined in 2011(27). Preoperative percutaneous CT-guided fine-needle aspiration biopsy, endobronchial ultrasonography images and virtual bronchoscopy have been used for the pathological diagnosis of GGOs, but the diagnostic yield remains lower for smaller pGGOs (28,29). An increasing number of studies have focused on identifying imaging biomarkers for GGO classification through chest CT, especially for the identification of invasive GGO lesions (30-40).

On chest CT, preinvasive GGOs often appear as pGGOs, while invasive GGOs more often appear as larger, mixed GGOs (29-32). Eguchi et al (33) reported that if the diameter of a pGGO is >11 mm, it is likely to be invasive. Li et al (34) reported a cut-off diameter of 13.5 mm for evaluating the invasiveness of GGO nodules. In 2013, Lee et al (16) reported that the cut-off diameter for invasive GGOs was 14 mm. Another study published in 2019 reported that in the partly solid group of GGOs, a diameter >1 cm was a significant factor for predicting invasiveness (35). A study performed on 232 patients and published in 2015 found that the solid component sizes with lung window setting (SCLW) and whole tumour sizes with mediastinal window setting (WTMV) were significantly correlated with tumour pathological invasion (36). The ROC curve analysis showed that for all subjects, the predictability of invasive results based on solid component size (such as SCLW and WTMV) was improved compared with that based on the whole tumour size (the maximum diameter of lung window tumour). This conclusion is in agreement with the results of the present study. However, the maximum tumour diameter was not an independent predictor of GGO invasion, while consolidation was an independent predictor of GGO invasion.

TA is an important type of medical image processing that can measure the tissue heterogeneity characteristics otherwise not observable by naked eyes, and can quantitatively display subtle changes in the image pixel values and arrangement (17). To the best of our knowledge, only a few studies have introduced TA and radiomic features of chest CT to the differentiation of invasive pulmonary GGOs. Chae et al (37) demonstrated that in part-solid GGOs, higher kurtosis and a smaller mass could significantly differentiate preinvasive lesions from invasive pulmonary adenocarcinomas (IPAs). Li et al (38) found that the voxel count and the correlation feature [correlation is a value between 0 (uncorrelated) and 1 (perfectly correlated) showing the linear dependency of gray level values to their respective voxels in the GLCM] were significant differentiators of preinvasive lesions from IPAs and MIAs. Another study in 2018 found that pGGOs or mixed lesions and fractal dimension were predictors of IAs that appear as GGOs (39). In another study, a support vector machine trained on all the heterogeneity indicators showed high accuracy (88.1%) in differentiating between indolent and invasive lesions (40). In these studies, only 2D or 3D original texture features were used and wavelet transform features were excluded. To the best of our knowledge, the present study is the first that enrolled 107 original features and eight groups of wavelet features (each group containing 93 wavelet feature factors) for radiomic predictor selection to differentiate the invasiveness of GGOs. For high-dimensional data, to avoid overfitting in the prediction, MCP-LASSO regression and 10-fold cross-validation analysis were used to identify relevant variables for the subsequent establishment of the radiomic prediction model. Finally, waveletHLL_ngtdm_Coarseness and waveletLHH_firstorder_Maximum were selected as independent predictors of invasiveness. Ngtdm_Coarseness is a measure of the average difference between the centre voxel and its neighbourhood, and is an indicator of the spatial change rate (41,42). A higher value indicates a lower spatial rate of change and a more uniform local texture. In the present study, the regression coefficient of waveletHLL_ngtdm_coarseness was -23.616, which indicated that the more uniform GGO the lower the probability of invasiveness. Firstorder_Maximum is the maximum grey intensity in the region of interest (43). The regression coefficient of waveletLHH_firstorder_Maximum was -0.007, which indicated that the smaller the maximum grey intensity of GGO the higher the probability of invasiveness. The AUCs of waveletHLL_ngtdm_Coarseness and waveletLHH_firstorder_Maximum were 0.692 (95% CI, 0.60-0.783) and 0.658 (95% CI, 0.557-0.758), respectively. However, the combination of the two radiomic predictors showed improved predictive ability for GGO invasion (training group: AUC, 0.719; 95% CI, 0.628-0.81; validation group: AUC, 0.87; 95% CI, 0.776-0.966).

In the combined prediction model for differentiating the invasiveness of GGOs, predictors were selected from all six clinical features and 613 stable radiomic features. Consolidation, waveletHLL_ngtdm_Coarseness, waveletLHH_firstorder_ Maximum and waveletLLH_glrlm_LongRunEmphasis were considered. Glrlm_LongRunEmphais is a measure of the distribution of long run lengths, and it can reflect the distribution or adjacent relationships of pixels in the images (44). The regression coefficient of waveletLLH_ glrlm_Longrunemphasis was -0.827, which indicated that GGOs with shorter long-range lengths and finer textures are more likely to be invasive. The predictive ability of the combined prediction model was improved compared with that of any single prediction model developed with clinical or radiomic features. The nomogram for the individual prediction model was constructed with the four predictors. Each GGO has a corresponding value of consolidation, waveletHLL_ngtdm_Coarseness, waveletLLH_glrlm_LongRunEmphasis and waveletLHH_firstorder_Maximum and the total score was calculated. In clinical application, the probability of the invasiveness of GGO with a total score >220 is >95% (Fig S1). Clinically, for such nodules, radical surgery such as lobectomy or segmental resection and lymph node dissection are preferred. For nodules with a total score <160, the probability of invasiveness is <10% (Fig S1). Clinically, regular observation or localized resection are the main methods. The cutoff point of the nomogram is 0.5 and the corresponding total score is 185. The GGO can be diagnosed as having invasive potential GGO when the total score is >185. The C-index (training cohort: 0.864; 95% CI, 0.833-0.895; and validation cohort: 0.937; 95% CI, 0.905-0.969) and the calibration curve showed that the nomogram used in the present study had good prediction ability.

Traditional diagnostic test indicators, such as sensitivity, specificity and AUC, only measure the diagnostic accuracy of the prediction model, but fail to consider the clinical utility of a specific model. The advantage of DCA is that it integrates the preferences of patients or decision makers into the analysis (26). In the present study, three predictive models of GGO invasiveness were analysed using DCA, and the combined model showed more clinical significance in predicting the invasiveness of GGOs.

The present study has some limitations. Due to the small sample size, the pGGO group was not analysed individually. Although we hypothesized that the maximum diameter and some radiomic features might show a good prediction ability for invasiveness in the pGGO group, this hypothesis needs to be confirmed by studies with larger sample sizes in the future.

In conclusion, the combined prediction model constructed with clinical and radiomic predictors showed a good ability to predict invasiveness in GGOs. The present study may help thoracic surgeons select the optimal treatment for patients with pulmonary GGOs.

Supplementary Material

Related computerized programs for statistical analysis with R
The distribution of the scores in the training set and validation set.

Acknowledgements

Not applicable.

Funding

Funding: This study was supported by the Beijing Municipal Administration of Hospital Clinical Medicine Development of Special Funding Support (grant no. XMLX201702).

Availability of data and materials

The datasets used and/or analysed during the current study are available from the corresponding author on reasonable request. All codes used with R are available in Appendix S1.

Authors' contributions

YD was responsible for conceiving and designing the study, data analysis, writing of the manuscript and all manuscript revisions. RW and KQ were responsible for patient data collection and analysis. JL was responsible for CT data collection and editing of the manuscript. YZ was responsible for project conceptualization, manuscript revisions and editing of the manuscript. YD and YZ confirm the authenticity of all the raw data. All authors read and approved the final manuscript.

Ethics approval and consent to participate

The present study was approved by the Medical Research Ethics Committee of Shijingshan Hospital of Beijing City (Beijing, China; approval no. 2020-12). All the procedures involving human participants were performed in accordance with the ethical standards of both institutional and national research committees. Written informed consent was obtained before surgery from either the patients or their representatives.

Patient consent for publication

Not applicable.

Competing interests

The authors declare that they have no competing interests.

References

1 

Tsutsui S, Ashizawa K, Minami K, Tagawa T, Nagayasu T, Hayashi T and Uetani M: Multiple focal pure ground-glass opacities on high-resolution CT images: Clinical significance in patients with lung cancer. AJR Am J Roentgenol. 195:W131–W138. 2010.PubMed/NCBI View Article : Google Scholar

2 

Miller A, Markowitz S, Manowitz A and Miller JA: Lung cancer screening using low-dose high-resolution CT scanning in a high-risk workforce: 3500 nuclear fuel workers in three US states. Chest. 125 (Suppl 5):152S–153S. 2004.PubMed/NCBI

3 

Migliore M, Fornito M, Palazzolo M, Criscione A, Gangemi M, Borrata F, Vigneri P, Nardini M and Dunning J: Ground glass opacities management in the lung cancer screening era. Ann Transl Med. 6(90)2018.PubMed/NCBI View Article : Google Scholar

4 

Ye T, Deng L, Xiang J, Zhang Y, Hu H, Sun Y, Li Y, Shen L, Wang S, Xie L and Chen H: Predictors of pathologic tumor invasion and prognosis for ground glass opacity featured lung adenocarcinoma. Ann Thorac Surg. 106:1682–1690. 2018.PubMed/NCBI View Article : Google Scholar

5 

Travis WD, Brambilla E, Noguchi M, Nicholson AG, Geisinger KR, Yatabe Y, Beer DG, Powell CA, Riely GJ, Van Schil PE, et al: International association for the study of lung cancer/American thoracic society/European respiratory society international multidisciplinary classification of lung adenocarcinoma. J Thorac Oncol. 6:244–285. 2011.PubMed/NCBI View Article : Google Scholar

6 

Dai J, Yu G and Yu J: Can CT imaging features of ground-glass opacity predict invasiveness? A meta-analysis. Thorac Cancer. 9:452–458. 2018.PubMed/NCBI View Article : Google Scholar

7 

Park CM, Goo JM, Lee HJ, Lee CH, Kim HC, Chung DH and Im JG: CT findings of atypical adenomatous hyperplasia in the lung. Korean J Radiol. 7:80–86. 2006.PubMed/NCBI View Article : Google Scholar

8 

Nagao M, Murase K, Yasuhara Y, Ikezoe J, Eguchi K, Mogami H, Mandai K, Nakata M and Ooshiro Y: Measurement of localized ground-glass attenuation on thin-section computed tomography images: Correlation with the progression of bronchioloalveolar carcinoma of the lung. Invest Radiol. 37:692–697. 2002.PubMed/NCBI View Article : Google Scholar

9 

Van Schil PE, Asamura H, Rusch VW, Mitsudomi T, Tsuboi M, Brambilla E and Travis WD: Surgical implications of the new IASLC/ATS/ERS adenocarcinoma classification. Eur Respir J. 39:478–486. 2012.PubMed/NCBI View Article : Google Scholar

10 

Koike T, Togashi K, Shirato T, Sato S, Hirahara H, Sugawara M, Oguma F, Usuda H and Emura I: Limited resection for noninvasive bronchioloalveolar carcinoma diagnosed by intraoperative pathologic examination. Ann Thorac Surg. 88:1106–1111. 2009.PubMed/NCBI View Article : Google Scholar

11 

Pedersen JH, Saghir Z, Wille MM, Thomsen LH, Skov BG and Ashraf H: Ground-glass opacity lung nodules in the era of lung cancer CT screening: Radiology, pathology and clinical management. Oncology (Williston Park). 30:266–274. 2016.PubMed/NCBI

12 

Chou HP, Lin KH, Huang HK, Lin LF, Chen YY, Wu TH, Lee SC, Chang H and Huang TW: Prognostic value of positron emission tomography in resected stage IA non-small cell lung cancer. Eur Radiol. 31:8021–8029. 2021.PubMed/NCBI View Article : Google Scholar

13 

Inoue M, Minami M, Sawabata N, Utsumi T, Kadota Y, Shigemura N and Okumura M: Clinical outcome of resected solid-type small-sized c-stage IA non-small cell lung cancer. Eur J Cardiothorac Surg. 37:1445–1449. 2010.PubMed/NCBI View Article : Google Scholar

14 

Higuchi M, Yaginuma H, Yonechi A, Kanno R, Ohishi A, Suzuki H and Gotoh M: Long-term outcomes after video-assisted thoracic surgery (VATS) lobectomy versus lobectomy via open thoracotomy for clinical stage IA non-small cell lung cancer. J Cardiothorac Surg. 9(88)2014.PubMed/NCBI View Article : Google Scholar

15 

Zhang J, Wu J, Tan Q, Zhu L and Gao W: Why do pathological stage IA lung adenocarcinomas vary from prognosis?: A clinicopathologic study of 176 patients with pathological stage IA lung adenocarcinoma based on the IASLC/ATS/ERS classification. J Thorac Oncol. 8:1196–1202. 2013.PubMed/NCBI View Article : Google Scholar

16 

Lee SM, Park CM, Goo JM, Lee HJ, Wi JY and Kang CH: Invasive pulmonary adenocarcinomas versus preinvasive lesions appearing as ground-glass nodules: Differentiation by using CT features. Radiology. 268:265–273. 2013.PubMed/NCBI View Article : Google Scholar

17 

Lambin P, Rios-Velazquez E, Leijenaar R, Carvalho S, van Stiphout RGPM, Granton P, Zegers CML, Gillies R, Boellard R, Dekker A and Aerts HJWL: Radiomics: Extracting more information from medical images using advanced feature analysis. Eur J Cancer. 48:441–446. 2012.PubMed/NCBI View Article : Google Scholar

18 

Wilson R and Devaraj A: Radiomics of pulmonary nodules and lung cancer. Transl Lung Cancer Res. 6:86–91. 2017.PubMed/NCBI View Article : Google Scholar

19 

Han F, Wang H, Zhang G, Han H, Song B, Li L, Moore W, Lu H, Zhao H and Liang Z: Texture feature analysis for computer-aided diagnosis on pulmonary nodules. J Digit Imaging. 28:99–115. 2015.PubMed/NCBI View Article : Google Scholar

20 

Kumar V, Gu Y, Basu S, Berglund A, Eschrich SA, Schabath MB, Forster K, Aerts HJWL, Dekker A, Fenstermacher D, et al: Radiomics: The process and the challenges. Magn Reson Imaging. 30:1234–1248. 2012.PubMed/NCBI View Article : Google Scholar

21 

Zhao S, Ren W, Zhuang Y and Wang Z: The influence of different segmentation methods on the extraction of imaging histological features of hepatocellular carcinoma CT. J Med Syst. 43:1–7. 2019.PubMed/NCBI View Article : Google Scholar

22 

Çinarer G, Gürsel B and Haşim A: Prediction of glioma grades using deep learning with wavelet radiomic features. Appl Sci. 10(6296)2020.

23 

Korpershoek YJ, Slot JC, Effing TW, Schuurmans MJ and Trappenburg JC: Self-management behaviors to reduce exacerbation impact in COPD patients: A Delphi study. Int J Chron Obstruct Pulmon Dis. 12:2735–2746. 2017.PubMed/NCBI View Article : Google Scholar

24 

Dang Y, Wang R, Qian K, Lu J, Zhang H and Zhang Y: Clinical and radiological predictors of epidermal growth factor receptor mutation in nonsmall cell lung cancer. J Appl Clin Med Phys. 22:271–280. 2021.PubMed/NCBI View Article : Google Scholar

25 

Dong M, Hou G, Li S, Li N, Zhang L and Xu K: Preoperatively estimating the malignant potential of mediastinal lymph nodes: A pilot study toward establishing a robust radiomics model based on contrast-enhanced CT imaging. Front Oncol. 10(558428)2021.PubMed/NCBI View Article : Google Scholar

26 

Vickers AJ and Elkin BB: Decision curve analysis: A novel method for evaluating prediction models. Med Decis Making. 26:565–574. 2006.PubMed/NCBI View Article : Google Scholar

27 

Sun F, Xi J, Zhan C, Yang X, Wang L, Shi Y, Jiang W and Wang Q: Ground glass opacities: Imaging, pathology, and gene mutations. J Thorac Cardiovasc Surg. 156:808–813. 2018.PubMed/NCBI View Article : Google Scholar

28 

Shimizu K, Ikeda N, Tsuboi M, Hirano T and Kato H: Percutaneous CT- guided fine needle aspiration for lung cancer smaller than 2 cm and revealed by ground-glass opacity at CT. Lung Cancer. 51:173–179. 2006.PubMed/NCBI View Article : Google Scholar

29 

Ikezawa Y, Shinagawa N, Sukoh N, Morimoto M, Kikuchi H, Watanabe M, Nakano K, Oizumi S and Nishimura M: Usefulness of endobronchial ultrasonography with a guide sheath and virtual bronchoscopic navigation for ground-glass opacity lesions. Ann Thorac Surg. 103:470–475. 2017.PubMed/NCBI View Article : Google Scholar

30 

Zhang Y, Qiang JW, Ye JD, Ye XD and Zhang J: High resolution CT in differentiating minimally invasive component in early lung adenocarcinoma. Lung Cancer. 84:236–241. 2014.PubMed/NCBI View Article : Google Scholar

31 

Lee HJ, Lee CH, Jeong YJ, Chung DH, Goo JM, Park CM and Austin JHM: IASLC/ATS/ERS international multidisciplinary classification of lung adenocarcinoma: Novel concepts and radiologic implications. J Thorac Imaging. 27:340–353. 2012.PubMed/NCBI View Article : Google Scholar

32 

Kobayashi Y, Ambrogio C and Mitsudomi T: Ground-glass nodules of the lung in never-smokers and smokers: Clinical and genetic insights. Transl Lung Cancer Res. 7:487–497. 2018.PubMed/NCBI View Article : Google Scholar

33 

Eguchi T, Yoshizawa A, Kawakami S, Kumeda H, Umesaki T, Agatsuma H, Sakaizawa T, Tominaga Y, Toishi M and Hashizume M: Tumor size and computed tomography attenuation of pulmonary pure ground-glass nodules are useful for predicting pathological invasiveness. PLoS One. 9(e97867)2014.PubMed/NCBI View Article : Google Scholar

34 

Li M, Wang Y, Chen Y and Zhang Z: Identification of preoperative prediction factors of tumor subtypes for patients with solitary ground-glass opacity pulmonary nodules. J Cardiothorac Surg. 13(9)2018.PubMed/NCBI View Article : Google Scholar

35 

Chen PH, Chang KM, Tseng WC, Chen CH and Chao JI: Invasiveness and surgical timing evaluation by clinical features of ground-glass opacity nodules in lung cancers. Thorac Cancer. 10:2133–2141. 2019.PubMed/NCBI View Article : Google Scholar

36 

Saji H, Matsubayashi J, Akata S, Shimada Y, Kato Y, Kudo Y, Nagao T, Park J, Kakihana M, Kajiwara N, et al: Correlation between whole tumor size and solid component size on high-resolution computed tomography in the prediction of the degree of pathologic malignancy and the prognostic outcome in primary lung adenocarcinoma. Acta Radiol. 56:1187–1195. 2015.PubMed/NCBI View Article : Google Scholar

37 

Chae HD, Park CM, Park SJ, Lee SM, Kim KG and Goo JM: Computerized texture analysis of persistent part-solid ground-glass nodules: Differentiation of preinvasive lesions from invasive pulmonary adenocarcinomas. Radiology. 273:285–293. 2014.PubMed/NCBI View Article : Google Scholar

38 

Li W, Wang X, Zhang Y, Li X, Li Q and Ye Z: Radiomic analysis of pulmonary ground-glass opacity nodules for distinction of preinvasive lesions, invasive pulmonary adenocarcinoma and minimally invasive adenocarcinoma based on quantitative texture analysis of CT. Chin J Cancer Res. 30:415–424. 2018.PubMed/NCBI View Article : Google Scholar

39 

Xue X, Yang Y, Huang Q, Cui F, Lian Y, Zhang S, Yao L, Peng W, Li X, Pang P, et al: Use of a radiomics model to predict tumor invasiveness of pulmonary adenocarcinomas appearing as pulmonary ground-glass nodules. Biomed Res Int. 2018(6803971)2018.PubMed/NCBI View Article : Google Scholar

40 

Li M, Narayan V, Gill RR, Jagannathan JP, Barile MF, Gao F, Bueno R and Jayender J: Computer-aided diagnosis of ground-glass opacity nodules using open-source software for quantifying tumor heterogeneity. Am J Roentgenol. 209:1216–1227. 2017.PubMed/NCBI View Article : Google Scholar

41 

Haralick RM, Shanmugam K and Dinstein I: Textural features for image classification. IEEE Trans Systems Man Cybernetics. 6:610–621. 1973.PubMed/NCBI View Article : Google Scholar

42 

Zhang Y, Ko CC, Chen JH, Chang KT, Chen TY, Lim SW, Tsui YK and Su MY: Radiomics approach for prediction of recurrence in non-functioning pituitary macroadenomas. Front Oncol. 10(590083)2020.PubMed/NCBI View Article : Google Scholar

43 

Batur A, Kılınçer A, Ateş F, Demir NA and Ergün R: Evaluation of systemic involvement of Coronavirus disease 2019 through spleen; size and texture analysis. Turk J Med Sci. 51:972–980. 2021.PubMed/NCBI View Article : Google Scholar

44 

Chen ZW, Tang K, Zhao YF, Chen YZ, Tang LJ, Li G, Huang OY, Wang XD, Targher G, Byrne CD, et al: Radiomics based on fluoro-deoxyglucose positron emission tomography predicts liver fibrosis in biopsy-proven MAFLD: A pilot study. Int J Med Sci. 18:3624–3630. 2021.PubMed/NCBI View Article : Google Scholar

Related Articles

  • Abstract
  • View
  • Download
  • Twitter
Copy and paste a formatted citation
Spandidos Publications style
Dang Y, Wang R, Qian K, Lu J and Zhang Y: Clinical and radiomic factors for predicting invasiveness in pulmonary ground‑glass opacity. Exp Ther Med 24: 685, 2022.
APA
Dang, Y., Wang, R., Qian, K., Lu, J., & Zhang, Y. (2022). Clinical and radiomic factors for predicting invasiveness in pulmonary ground‑glass opacity. Experimental and Therapeutic Medicine, 24, 685. https://doi.org/10.3892/etm.2022.11621
MLA
Dang, Y., Wang, R., Qian, K., Lu, J., Zhang, Y."Clinical and radiomic factors for predicting invasiveness in pulmonary ground‑glass opacity". Experimental and Therapeutic Medicine 24.5 (2022): 685.
Chicago
Dang, Y., Wang, R., Qian, K., Lu, J., Zhang, Y."Clinical and radiomic factors for predicting invasiveness in pulmonary ground‑glass opacity". Experimental and Therapeutic Medicine 24, no. 5 (2022): 685. https://doi.org/10.3892/etm.2022.11621
Copy and paste a formatted citation
x
Spandidos Publications style
Dang Y, Wang R, Qian K, Lu J and Zhang Y: Clinical and radiomic factors for predicting invasiveness in pulmonary ground‑glass opacity. Exp Ther Med 24: 685, 2022.
APA
Dang, Y., Wang, R., Qian, K., Lu, J., & Zhang, Y. (2022). Clinical and radiomic factors for predicting invasiveness in pulmonary ground‑glass opacity. Experimental and Therapeutic Medicine, 24, 685. https://doi.org/10.3892/etm.2022.11621
MLA
Dang, Y., Wang, R., Qian, K., Lu, J., Zhang, Y."Clinical and radiomic factors for predicting invasiveness in pulmonary ground‑glass opacity". Experimental and Therapeutic Medicine 24.5 (2022): 685.
Chicago
Dang, Y., Wang, R., Qian, K., Lu, J., Zhang, Y."Clinical and radiomic factors for predicting invasiveness in pulmonary ground‑glass opacity". Experimental and Therapeutic Medicine 24, no. 5 (2022): 685. https://doi.org/10.3892/etm.2022.11621
Follow us
  • Twitter
  • LinkedIn
  • Facebook
About
  • Spandidos Publications
  • Careers
  • Cookie Policy
  • Privacy Policy
How can we help?
  • Help
  • Live Chat
  • Contact
  • Email to our Support Team