Spandidos Publications Logo
  • About
    • About Spandidos
    • Aims and Scopes
    • Abstracting and Indexing
    • Editorial Policies
    • Reprints and Permissions
    • Job Opportunities
    • Terms and Conditions
    • Contact
  • Journals
    • All Journals
    • Oncology Letters
      • Oncology Letters
      • Information for Authors
      • Editorial Policies
      • Editorial Board
      • Aims and Scope
      • Abstracting and Indexing
      • Bibliographic Information
      • Archive
    • International Journal of Oncology
      • International Journal of Oncology
      • Information for Authors
      • Editorial Policies
      • Editorial Board
      • Aims and Scope
      • Abstracting and Indexing
      • Bibliographic Information
      • Archive
    • Molecular and Clinical Oncology
      • Molecular and Clinical Oncology
      • Information for Authors
      • Editorial Policies
      • Editorial Board
      • Aims and Scope
      • Abstracting and Indexing
      • Bibliographic Information
      • Archive
    • Experimental and Therapeutic Medicine
      • Experimental and Therapeutic Medicine
      • Information for Authors
      • Editorial Policies
      • Editorial Board
      • Aims and Scope
      • Abstracting and Indexing
      • Bibliographic Information
      • Archive
    • International Journal of Molecular Medicine
      • International Journal of Molecular Medicine
      • Information for Authors
      • Editorial Policies
      • Editorial Board
      • Aims and Scope
      • Abstracting and Indexing
      • Bibliographic Information
      • Archive
    • Biomedical Reports
      • Biomedical Reports
      • Information for Authors
      • Editorial Policies
      • Editorial Board
      • Aims and Scope
      • Abstracting and Indexing
      • Bibliographic Information
      • Archive
    • Oncology Reports
      • Oncology Reports
      • Information for Authors
      • Editorial Policies
      • Editorial Board
      • Aims and Scope
      • Abstracting and Indexing
      • Bibliographic Information
      • Archive
    • Molecular Medicine Reports
      • Molecular Medicine Reports
      • Information for Authors
      • Editorial Policies
      • Editorial Board
      • Aims and Scope
      • Abstracting and Indexing
      • Bibliographic Information
      • Archive
    • World Academy of Sciences Journal
      • World Academy of Sciences Journal
      • Information for Authors
      • Editorial Policies
      • Editorial Board
      • Aims and Scope
      • Abstracting and Indexing
      • Bibliographic Information
      • Archive
    • International Journal of Functional Nutrition
      • International Journal of Functional Nutrition
      • Information for Authors
      • Editorial Policies
      • Editorial Board
      • Aims and Scope
      • Abstracting and Indexing
      • Bibliographic Information
      • Archive
    • International Journal of Epigenetics
      • International Journal of Epigenetics
      • Information for Authors
      • Editorial Policies
      • Editorial Board
      • Aims and Scope
      • Abstracting and Indexing
      • Bibliographic Information
      • Archive
    • Medicine International
      • Medicine International
      • Information for Authors
      • Editorial Policies
      • Editorial Board
      • Aims and Scope
      • Abstracting and Indexing
      • Bibliographic Information
      • Archive
  • Articles
  • Information
    • Information for Authors
    • Information for Reviewers
    • Information for Librarians
    • Information for Advertisers
    • Conferences
  • Language Editing
Spandidos Publications Logo
  • About
    • About Spandidos
    • Aims and Scopes
    • Abstracting and Indexing
    • Editorial Policies
    • Reprints and Permissions
    • Job Opportunities
    • Terms and Conditions
    • Contact
  • Journals
    • All Journals
    • Biomedical Reports
      • Information for Authors
      • Editorial Policies
      • Editorial Board
      • Aims and Scope
      • Abstracting and Indexing
      • Bibliographic Information
      • Archive
    • Experimental and Therapeutic Medicine
      • Information for Authors
      • Editorial Policies
      • Editorial Board
      • Aims and Scope
      • Abstracting and Indexing
      • Bibliographic Information
      • Archive
    • International Journal of Epigenetics
      • Information for Authors
      • Editorial Policies
      • Editorial Board
      • Aims and Scope
      • Abstracting and Indexing
      • Bibliographic Information
      • Archive
    • International Journal of Functional Nutrition
      • Information for Authors
      • Editorial Policies
      • Editorial Board
      • Aims and Scope
      • Abstracting and Indexing
      • Bibliographic Information
      • Archive
    • International Journal of Molecular Medicine
      • Information for Authors
      • Editorial Policies
      • Editorial Board
      • Aims and Scope
      • Abstracting and Indexing
      • Bibliographic Information
      • Archive
    • International Journal of Oncology
      • Information for Authors
      • Editorial Policies
      • Editorial Board
      • Aims and Scope
      • Abstracting and Indexing
      • Bibliographic Information
      • Archive
    • Medicine International
      • Information for Authors
      • Editorial Policies
      • Editorial Board
      • Aims and Scope
      • Abstracting and Indexing
      • Bibliographic Information
      • Archive
    • Molecular and Clinical Oncology
      • Information for Authors
      • Editorial Policies
      • Editorial Board
      • Aims and Scope
      • Abstracting and Indexing
      • Bibliographic Information
      • Archive
    • Molecular Medicine Reports
      • Information for Authors
      • Editorial Policies
      • Editorial Board
      • Aims and Scope
      • Abstracting and Indexing
      • Bibliographic Information
      • Archive
    • Oncology Letters
      • Information for Authors
      • Editorial Policies
      • Editorial Board
      • Aims and Scope
      • Abstracting and Indexing
      • Bibliographic Information
      • Archive
    • Oncology Reports
      • Information for Authors
      • Editorial Policies
      • Editorial Board
      • Aims and Scope
      • Abstracting and Indexing
      • Bibliographic Information
      • Archive
    • World Academy of Sciences Journal
      • Information for Authors
      • Editorial Policies
      • Editorial Board
      • Aims and Scope
      • Abstracting and Indexing
      • Bibliographic Information
      • Archive
  • Articles
  • Information
    • For Authors
    • For Reviewers
    • For Librarians
    • For Advertisers
    • Conferences
  • Language Editing
Login Register Submit
  • This site uses cookies
  • You can change your cookie settings at any time by following the instructions in our Cookie Policy. To find out more, you may read our Privacy Policy.

    I agree
Search articles by DOI, keyword, author or affiliation
Search
Advanced Search
presentation
Experimental and Therapeutic Medicine
Join Editorial Board Propose a Special Issue
Print ISSN: 1792-0981 Online ISSN: 1792-1015
Journal Cover
January-2023 Volume 25 Issue 1

Full Size Image

Sign up for eToc alerts
Recommend to Library

Journals

International Journal of Molecular Medicine

International Journal of Molecular Medicine

International Journal of Molecular Medicine is an international journal devoted to molecular mechanisms of human disease.

International Journal of Oncology

International Journal of Oncology

International Journal of Oncology is an international journal devoted to oncology research and cancer treatment.

Molecular Medicine Reports

Molecular Medicine Reports

Covers molecular medicine topics such as pharmacology, pathology, genetics, neuroscience, infectious diseases, molecular cardiology, and molecular surgery.

Oncology Reports

Oncology Reports

Oncology Reports is an international journal devoted to fundamental and applied research in Oncology.

Experimental and Therapeutic Medicine

Experimental and Therapeutic Medicine

Experimental and Therapeutic Medicine is an international journal devoted to laboratory and clinical medicine.

Oncology Letters

Oncology Letters

Oncology Letters is an international journal devoted to Experimental and Clinical Oncology.

Biomedical Reports

Biomedical Reports

Explores a wide range of biological and medical fields, including pharmacology, genetics, microbiology, neuroscience, and molecular cardiology.

Molecular and Clinical Oncology

Molecular and Clinical Oncology

International journal addressing all aspects of oncology research, from tumorigenesis and oncogenes to chemotherapy and metastasis.

World Academy of Sciences Journal

World Academy of Sciences Journal

Multidisciplinary open-access journal spanning biochemistry, genetics, neuroscience, environmental health, and synthetic biology.

International Journal of Functional Nutrition

International Journal of Functional Nutrition

Open-access journal combining biochemistry, pharmacology, immunology, and genetics to advance health through functional nutrition.

International Journal of Epigenetics

International Journal of Epigenetics

Publishes open-access research on using epigenetics to advance understanding and treatment of human disease.

Medicine International

Medicine International

An International Open Access Journal Devoted to General Medicine.

Journal Cover
January-2023 Volume 25 Issue 1

Full Size Image

Sign up for eToc alerts
Recommend to Library

  • Article
  • Citations
    • Cite This Article
    • Download Citation
    • Create Citation Alert
    • Remove Citation Alert
    • Cited By
  • Similar Articles
    • Related Articles (in Spandidos Publications)
    • Similar Articles (Google Scholar)
    • Similar Articles (PubMed)
  • Download PDF
  • Download XML
  • View XML

  • Supplementary Files
    • Supplementary_Data1.pdf
    • Supplementary_Data2.pdf
Article Open Access

Establishment and validation of a torsade de pointes prediction model based on human iPSC‑derived cardiomyocytes

  • Authors:
    • Dongsheng Pan
    • Bo Li
    • Sanlong Wang
  • View Affiliations / Copyright

    Affiliations: Graduate School of Peking Union Medical College, Chinese Academy of Medical Sciences and Peking Union Medical College, Beijing 100730, P.R. China, National Center for Safety Evaluation of Drugs, National Institutes for Food and Drug Control, Beijing 100176, P.R. China
    Copyright: © Pan et al. This is an open access article distributed under the terms of Creative Commons Attribution License.
  • Article Number: 61
    |
    Published online on: December 9, 2022
       https://doi.org/10.3892/etm.2022.11760
  • Expand metrics +
Metrics: Total Views: 0 (Spandidos Publications: | PMC Statistics: )
Metrics: Total PDF Downloads: 0 (Spandidos Publications: | PMC Statistics: )
Cited By (CrossRef): 0 citations Loading Articles...

This article is mentioned in:



Abstract

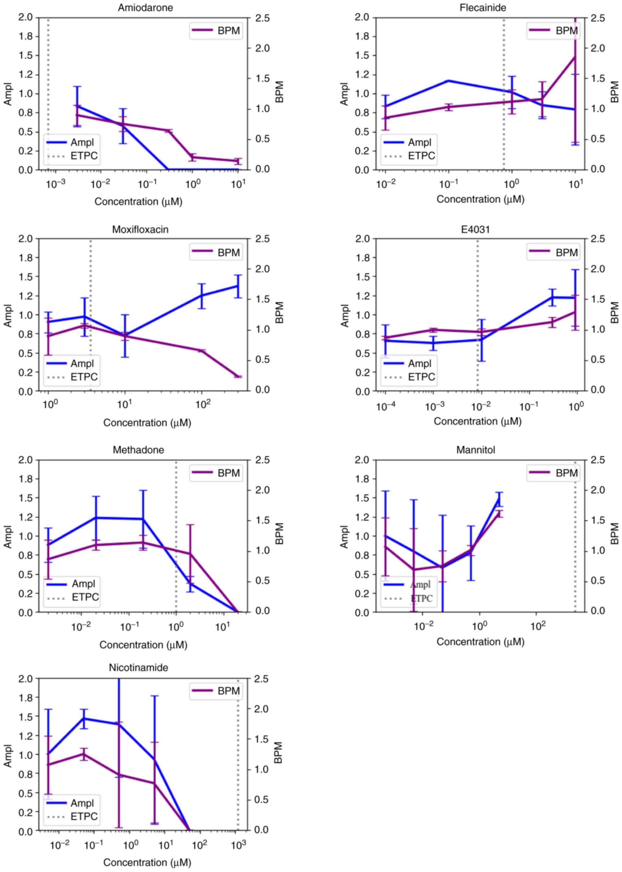
Drug‑induced cardiotoxicity is one of the main causes of drug failure, which leads to subsequent withdrawal from pharmaceutical development. Therefore, identifying the potential toxic candidate in the early stages of drug development is important. Human induced pluripotent stem cell‑derived cardiomyocytes (hiPSC‑CMs) are a useful tool for assessing candidate compounds for arrhythmias. However, a suitable model using hiPSC‑CMs to predict the risk of torsade de pointes (TdP) has not been fully established. The present study aimed to establish a predictive TdP model based on hiPSC‑CMs. In the current study, 28 compounds recommended by the Comprehensive in vitro Proarrhythmia Assay (CiPA) were used as training set and models were established in different risk groups, high‑ and intermediate‑risk versus low‑risk groups. Subsequently, six endpoints of electrophysiological responses were used as potential model predictors. Accuracy, sensitivity and area under the curve (AUC) were used as evaluation indices of the models and seven compounds with known TdP risk were used to verify model differentiation and calibration. The results showed that among the seven models, the AUC of logistic regression and AdaBoost model was higher and had little difference in both training and test sets, which indicated that the discriminative ability and model stability was good and excellent, respectively. Therefore, these two models were taken as submodels, similar weight was configured and a new TdP risk prediction model was constructed using a soft voting strategy. The classification accuracy, sensitivity and AUC of the new model were 0.93, 0.95 and 0.92 on the training set, respectively and all 1.00 on the test set, which indicated good discrimination ability on both training and test sets. The risk threshold was defined as 0.50 and the consistency between the predicted and observed results were 92.8 and 100% on the training and test sets, respectively. Overall, the present study established a risk prediction model for TdP based on hiPSC‑CMs which could be an effective predictive tool for compound‑induced arrhythmias.
View Figures

Figure 1

Figure 2

Figure 3

Figure 4

Figure 5

Figure 6

Figure 7

Figure 8

View References

1 

Frommeyer G and Eckardt L: Drug-induced proarrhythmia: Risk factors and electrophysiological mechanisms. Nat Rev Cardiol. 13:36–47. 2016.PubMed/NCBI View Article : Google Scholar

2 

Vicente J, Zusterzeel R, Johannesen L, Mason J, Sager P, Patel V, Matta MK, Li ZH, Liu J, Garnett C, et al: Mechanistic model-informed proarrhythmic risk assessment of drugs: Review of the ‘CiPA’ initiative and design of a prospective clinical validation study. Clin Pharmacol Ther. 103:54–66. 2018.PubMed/NCBI View Article : Google Scholar

3 

Niemeijer MN, van den Berg ME, Eijgelsheim M, Rijnbeek PR and Stricker BH: Pharmacogenetics of drug-induced QT interval prolongation: An update. Drug Saf. 38:855–867. 2015.PubMed/NCBI View Article : Google Scholar

4 

El-Sherif N and Turitto G: Electrolyte disorders and arrhythmogenesis. Cardiol J. 18:233–245. 2011.PubMed/NCBI

5 

Shah RR: Drugs, QT interval prolongation and ICH E14: The need to get it right. Drug Saf. 28:115–125. 2005.PubMed/NCBI View Article : Google Scholar

6 

Darpo B and Ferber G: The new S7B/E14 question and answer draft guidance for industry: Contents and commentary. J Clin Pharmacol. 61:1261–1273. 2021.PubMed/NCBI View Article : Google Scholar

7 

Vargas HM, Rolf MG, Wisialowski TA, Achanzar W, Bahinski A, Bass A, Benson CT, Chaudhary KW, Couvreur N, Dota C, et al: Time for a fully integrated nonclinical-clinical risk assessment to streamline QT prolongation liability determinations: A pharma industry perspective. Clin Pharmacol Ther. 109:310–318. 2021.PubMed/NCBI View Article : Google Scholar

8 

Sanguinetti MC and Mitcheson JS: Predicting drug-hERG channel interactions that cause acquired long QT syndrome. Trends Pharmacol Sci. 26:119–124. 2005.PubMed/NCBI View Article : Google Scholar

9 

Gintant G, Sager PT and Stockbridge N: Evolution of strategies to improve preclinical cardiac safety testing. Nat Rev Drug Discov. 15:457–471. 2016.PubMed/NCBI View Article : Google Scholar

10 

Zhang S, Zhou Z, Gong Q, Makielski JC and January CT: Mechanism of block and identification of the verapamil binding domain to HERG potassium channels. Circ Res. 84:989–998. 1999.PubMed/NCBI View Article : Google Scholar

11 

Fenichel RR, Malik M, Antzelevitch C, Sanguinetti M, Roden DM, Priori SG, Ruskin JN, Lipicky RJ and Cantilena LR: Independent Academic Task Force. Drug-induced torsades de pointes and implications for drug development. J Cardiovasc Electrophysiol. 15:475–495. 2004.PubMed/NCBI View Article : Google Scholar

12 

Yim DS: Five years of the CiPA project (2013-2018): What did we learn? Transl Clin Pharmacol. 26:145–149. 2018.PubMed/NCBI View Article : Google Scholar

13 

Park JS, Jeon JY, Yang JH and Kim MG: Introduction to in silico model for proarrhythmic risk assessment under the CiPA initiative. Transl Clin Pharmacol. 27:12–18. 2019.PubMed/NCBI View Article : Google Scholar

14 

Wallis R, Benson C, Darpo B, Gintant G, Kanda Y, Prasad K, Strauss DG and Valentin JP: CiPA challenges and opportunities from a non-clinical, clinical and regulatory perspectives. An overview of the safety pharmacology scientific discussion. J Pharmacol Toxicol Methods. 93:15–25. 2018.PubMed/NCBI View Article : Google Scholar

15 

Roden DM: Predicting drug-induced QT prolongation and torsades de pointes. J Physiol. 594:2459–2468. 2016.PubMed/NCBI View Article : Google Scholar

16 

Crestani T, Steichen C, Neri E, Rodrigues M, Fonseca-Alaniz MH, Ormrod B, Holt MR, Pandey P, Harding S, Ehler E and Krieger JE: Electrical stimulation applied during differentiation drives the hiPSC-CMs towards a mature cardiac conduction-like cells. Biochem Biophys Res Commun. 533:376–382. 2020.PubMed/NCBI View Article : Google Scholar

17 

Ando H, Yoshinaga T, Yamamoto W, Asakura K, Uda T, Taniguchi T, Ojima A, Shinkyo R, Kikuchi K, Osada T, et al: A new paradigm for drug-induced torsadogenic risk assessment using human iPS cell-derived cardiomyocytes. J Pharmacol Toxicol Methods. 84:111–127. 2017.PubMed/NCBI View Article : Google Scholar

18 

Huo J, Wei F, Cai C, Lyn-Cook B and Pang L: Sex-related differences in drug-induced QT prolongation and torsades de Pointes: A new model system with human iPSC-CMs. Toxicol Sci. 167:360–374. 2019.PubMed/NCBI View Article : Google Scholar

19 

da Rocha AM, Creech J, Thonn E, Mironov S and Herron TJ: Detection of drug-induced torsades de Pointes arrhythmia mechanisms using hiPSC-CM syncytial monolayers in a high-throughput screening voltage sensitive dye assay. Toxicol Sci. 173:402–415. 2020.PubMed/NCBI View Article : Google Scholar

20 

Raphel F, De Korte T, Lombardi D, Braam S and Gerbeau JF: A greedy classifier optimization strategy to assess ion channel blocking activity and pro-arrhythmia in hiPSC-cardiomyocytes. PLoS Compute Biol. 16(e1008203)2020.PubMed/NCBI View Article : Google Scholar

21 

Blinova K, Dang Q, Millard D, Smith G, Pierson J, Guo L, Brock M, Lu HR, Kraushaar U, Zeng H, et al: International multisite study of human-induced pluripotent stem cell-derived cardiomyocytes for drug proarrhythmic potential assessment. Cell Rep. 24:3582–3592. 2018.PubMed/NCBI View Article : Google Scholar

22 

Tu JV: Advantages and disadvantages of using artificial neural networks versus logistic regression for predicting medical outcomes. J Clin Epidemiol. 49:1225–1231. 1996.PubMed/NCBI View Article : Google Scholar

23 

Heo J, Yoon JG, Park H, Kim YD, Nam HS and Heo JH: Machine learning-based model for prediction of outcomes in acute stroke. Stroke. 50:1263–1265. 2019.PubMed/NCBI View Article : Google Scholar

24 

Sherazi SW, Bae JW and Lee JY: A soft voting ensemble classifier for early prediction and diagnosis of occurrences of major adverse cardiovascular events for STEMI and NSTEMI during 2-year follow-up in patients with acute coronary syndrome. PLoS One. 16(e0249338)2021.PubMed/NCBI View Article : Google Scholar

25 

Asakura K, Hayashi S, Ojima A, Taniguchi T, Miyamoto N, Nakamori C, Nagasawa C, Kitamura T, Osada T, Honda Y, et al: Improvement of acquisition and analysis methods in multi-electrode array experiments with iPS cell-de rived cardiomyocytes. J Pharmacol Toxicol Methods. 75:17–26. 2015.PubMed/NCBI View Article : Google Scholar

26 

Gerds TA, Cai T and Schumacher M: The performance of risk prediction models. Biom J. 50:457–479. 2008.PubMed/NCBI View Article : Google Scholar

27 

Pencina MJ and D'Agostino RB Sr: Evaluating discrimination of risk prediction models: The C statistic. JAMA. 314:1063–1064. 2015.PubMed/NCBI View Article : Google Scholar

28 

Alba AC, Agoritsas T, Walsh M, Hanna S, Iorio A, Devereaux PJ, McGinn T and Guyatt G: Discrimination and calibration of clinical prediction models: Users' guides to the medical literature. JAMA. 318:1377–1384. 2017.PubMed/NCBI View Article : Google Scholar

29 

Ziegler R, Häusermann F, Kirchner S and Polonchuk L: Cardiac safety of kinase inhibitors-improving understanding and prediction of liabilities in drug discovery using human stem cell-derived models. Front Cardiovasc Med. 8(639824)2021.PubMed/NCBI View Article : Google Scholar

30 

Harary I and Farley B: In vitro studies of single isolated beating heart cells. Science. 131:1674–1675. 1960.PubMed/NCBI View Article : Google Scholar

31 

Price PS, Keenan RE and Swartout JC: Characterizing interspecies uncertainty using data from studies of anti-neoplastic agents in animals and humans. Toxicol Appl Pharmacol. 233:64–70. 2008.PubMed/NCBI View Article : Google Scholar

32 

Sheng CC, Amiri-Kordestani L, Palmby T, Force T, Hong CC, Wu JC, Croce K, Kim G and Moslehi J: 21st century cardio-oncology: Identifying cardiac safety signals in the era of personalized medicine. JACC Basic Transl Sci. 1:386–398. 2016.PubMed/NCBI View Article : Google Scholar

33 

Haraguchi Y, Ohtsuki A, Oka T and Shimizu T: Electrophysiological analysis of mammalian cells expressing hERG using automated 384-well-patch-clamp. BMC Pharmacol Toxicol. 16(39)2015.PubMed/NCBI View Article : Google Scholar

34 

Higa A, Hoshi H, Yanagisawa Y, Ito E, Morisawa G, Imai JI, Watanabe S and Takagi M: Evaluation system for arrhythmogenic potential of drugs using human-induced pluripotent stem cell-derived cardiomyocytes and gene expression analysis. J Toxicol Sci. 42:755–761. 2017.PubMed/NCBI View Article : Google Scholar

35 

Abassi YA, Xi B, Li N, Ouyang W, Seiler A, Watzele M, Kettenhofen R, Bohlen H, Ehlich A, Kolossov E, et al: Dynamic monitoring of beating periodicity of stem cell-derived cardiomyocytes as a predictive tool for preclinical safety assessment. Br J Pharmacol. 165:1424–1441. 2012.PubMed/NCBI View Article : Google Scholar

36 

Wang SY, Wang XJ and Ma J: Progress in real time xCELLigence analysis system on drug cardiotoxicity screening. Chin J Pharmacol Toxicol,. 27:908–912. 2013.

37 

Yue Peng, Ying BB, He Min and Yang ChaoWen: Study on hepatotoxicity of different doses of cisplatin in rats. J Toxico l,. 33:302–306. 2019.

38 

Marcu IC, Illaste A, Heuking P, Jaconi ME and Ullrich ND: Functional characterization and comparison of intercellular communication in stem cell-derived cardiomyocytes. Stem Cells. 33:2208–2218. 2015.PubMed/NCBI View Article : Google Scholar

39 

Clements M: Multielectrode array (MEA) assay for profiling electrophysiological drug effects in human stem cell-derived cardiomyocytes. Curr Protoc Toxicol. 68:22.24.21–22.24.32. 2016.PubMed/NCBI View Article : Google Scholar

40 

Halbach M, Egert U, Hescheler J and Banach K: Estimation of action potential changes from field potential recordings in multicellular mouse cardiac myocyte cultures. Cell Physiol Biochem. 13:271–284. 2003.PubMed/NCBI View Article : Google Scholar

41 

Sharifi M, Buzatu D, Harris S and Wilkes J: Development of models for predicting Torsade de Pointes cardiac arrhythmias using perceptron neural networks. BMC Bioinformatics. 18 (Suppl 4)(S497)2017.PubMed/NCBI View Article : Google Scholar

42 

Liu H, Ji M, Luo X, Shen J, Huang X, Hua W, Jiang H and Chen K: New p-methylsulfonamido phenylethylamine analogues as class III antiarrhythmic agents: Design, synthesis, biological assay, and 3D-QSAR analysis. J Med Chem. 45:2953–2969. 2002.PubMed/NCBI View Article : Google Scholar

43 

Chamberlain AM, Boyd CM, Manemann SM, Dunlay SM, Gerber Y, Killian JM, Weston SA and Roger VL: Risk factors for heart failure in the community: Differences by age and ejection fraction. Am J Med. 133:e237–e248. 2020.PubMed/NCBI View Article : Google Scholar

44 

Belkin M, Hsu D, Ma S and Mandal S: Reconciling modern machine-learning practice and the classical bias-variance trade-off. Proc Natl Acad Sci USA. 116:15849–15854. 2019.PubMed/NCBI View Article : Google Scholar

45 

Hatwell J, Gaber MM and Atif Azad RM: Ada-WHIPS: Explaining AdaBoost classification with applications in the health sciences. BMC Med Inform Decis Mak. 20(250)2020.PubMed/NCBI View Article : Google Scholar

46 

Kanda Y, Yamazaki D, Osada T, Yoshinaga T and Sawada K: Development of torsadogenic risk assessment using human induced pluripotent stem cell-derived cardiomyocytes: Japan iPS cardiac safety assessment (JiCSA) update. J Pharmacol Sci. 138:233–239. 2018.PubMed/NCBI View Article : Google Scholar

47 

Aktas MK, Shah AH and Akiyama T: Dofetilide-induced long QT and torsades de pointes. Ann Noninvasive Electrocardiol. 12:197–202. 2007.PubMed/NCBI View Article : Google Scholar

48 

Jaiswal A and Goldbarg S: Dofetilide induced torsade de pointes: Mechanism, risk factors and management strategies. Indian Heart J. 66:640–648. 2014.PubMed/NCBI View Article : Google Scholar

49 

Thomine S, Zimmerman S, Duijn BV, Barbier-Brygoo H and Guern J: Calcium channel antagonists induce direct inhibition of the outward rectifying potassium channel in tobacco protoplasts. FEBS Lett. 340:45–50. 1994.PubMed/NCBI View Article : Google Scholar

50 

Duncan RS, Ridley JM, Dempsey CE, Leishman DJ, Leaney JL, Hancox JC and Witchel HJ: Erythromycin block of the HERG K+ channel: Accessibility to F656 and Y652. Biochem Biophys Res Commun. 341:500–506. 2006.PubMed/NCBI View Article : Google Scholar

51 

van Haarst AD, van 't Klooster GA, van Gerven JM, Schoemaker RC, van Oene JC, Burggraaf J, Coene MC and Cohen AF: The influence of cisapride and clarithromycin on QT intervals in healthy volunteers. Clin Pharmacol Ther. 64:542–546. 1998.PubMed/NCBI View Article : Google Scholar

52 

Vieweg WV, Hancox JC, Hasnain M, Koneru JN, Gysel M and Baranchuk A: Clarithromycin, QTc interval prolongation and torsades de pointes: The need to study case reports. Ther Adv Infect Dis. 1:121–138. 2013.PubMed/NCBI View Article : Google Scholar

53 

Tisdale JE: Drug-induced QT interval prolongation and torsades de pointes: Role of the pharmacist in risk assessment, prevention and management. Can Pharm J (Ott). 149:139–152. 2016.PubMed/NCBI View Article : Google Scholar

54 

Lo YC and Kuo CC: Temperature dependence of the biophysical mechanisms underlying the inhibition and enhancement effect of amiodarone on hERG channels. Mol Pharmacol. 96:330–344. 2019.PubMed/NCBI View Article : Google Scholar

55 

Shenthar J, Rachaiah JM, Pillai V, Chakali SS, Balasubramanian V and Chollenhalli Nanjappa M: Incidence of drug-induced torsades de pointes with intravenous amiodarone. Indian Heart J. 69:707–713. 2017.PubMed/NCBI View Article : Google Scholar

56 

Khan F, Ismail M, Khan Q and Ali Z: Moxifloxacin-induced QT interval prolongation and torsades de pointes: A narrative review. Expert Opin Drug Saf. 17:1029–1039. 2018.PubMed/NCBI View Article : Google Scholar

57 

Behzadi M, Joukar S and Beik A: Opioids and cardiac arrhythmia: A literature review. Med Princ Pract. 27:401–414. 2018.PubMed/NCBI View Article : Google Scholar

58 

Kasama M, Furukawa Y, Oguchi T, Hoyano Y and Chiba S: Effects of low temperature on the chronotropic and inotropic responses to zatebradine, E-4031 and ver apamil in isolated perfused dog atria. Jpn J Pharmacol. 78:493–499. 1998.PubMed/NCBI View Article : Google Scholar

59 

Saeidnia S, Manayi A and Abdollahi M: From in vitro Experiments to in vivo and clinical studies; Pros and cons. Curr Drug Discov Technol. 12:218–224. 2015.PubMed/NCBI View Article : Google Scholar

60 

Zuppinger C, Gibbons G, Dutta-Passecker P, Segiser A, Most H and Suter TM: Characterization of cytoskeleton features and maturation status of cultured human iPSC-derived cardiomyocytes. Eur J Histochem. 61(2763)2017.PubMed/NCBI View Article : Google Scholar

61 

Cai C, Wang S, Xu YJ, Zhang WL, Tang K, Ouyang Q, Lai LH and Pei JF: Transfer learning for drug discovery. J Med Chem. 63:8683–8694. 2020.PubMed/NCBI View Article : Google Scholar

Related Articles

  • Abstract
  • View
  • Download
  • Twitter
Copy and paste a formatted citation
Spandidos Publications style
Pan D, Li B and Wang S: Establishment and validation of a torsade de pointes prediction model based on human iPSC‑derived cardiomyocytes. Exp Ther Med 25: 61, 2023.
APA
Pan, D., Li, B., & Wang, S. (2023). Establishment and validation of a torsade de pointes prediction model based on human iPSC‑derived cardiomyocytes. Experimental and Therapeutic Medicine, 25, 61. https://doi.org/10.3892/etm.2022.11760
MLA
Pan, D., Li, B., Wang, S."Establishment and validation of a torsade de pointes prediction model based on human iPSC‑derived cardiomyocytes". Experimental and Therapeutic Medicine 25.1 (2023): 61.
Chicago
Pan, D., Li, B., Wang, S."Establishment and validation of a torsade de pointes prediction model based on human iPSC‑derived cardiomyocytes". Experimental and Therapeutic Medicine 25, no. 1 (2023): 61. https://doi.org/10.3892/etm.2022.11760
Copy and paste a formatted citation
x
Spandidos Publications style
Pan D, Li B and Wang S: Establishment and validation of a torsade de pointes prediction model based on human iPSC‑derived cardiomyocytes. Exp Ther Med 25: 61, 2023.
APA
Pan, D., Li, B., & Wang, S. (2023). Establishment and validation of a torsade de pointes prediction model based on human iPSC‑derived cardiomyocytes. Experimental and Therapeutic Medicine, 25, 61. https://doi.org/10.3892/etm.2022.11760
MLA
Pan, D., Li, B., Wang, S."Establishment and validation of a torsade de pointes prediction model based on human iPSC‑derived cardiomyocytes". Experimental and Therapeutic Medicine 25.1 (2023): 61.
Chicago
Pan, D., Li, B., Wang, S."Establishment and validation of a torsade de pointes prediction model based on human iPSC‑derived cardiomyocytes". Experimental and Therapeutic Medicine 25, no. 1 (2023): 61. https://doi.org/10.3892/etm.2022.11760
Follow us
  • Twitter
  • LinkedIn
  • Facebook
About
  • Spandidos Publications
  • Careers
  • Cookie Policy
  • Privacy Policy
How can we help?
  • Help
  • Live Chat
  • Contact
  • Email to our Support Team