Spandidos Publications Logo
  • About
    • About Spandidos
    • Aims and Scopes
    • Abstracting and Indexing
    • Editorial Policies
    • Reprints and Permissions
    • Job Opportunities
    • Terms and Conditions
    • Contact
  • Journals
    • All Journals
    • Oncology Letters
      • Oncology Letters
      • Information for Authors
      • Editorial Policies
      • Editorial Board
      • Aims and Scope
      • Abstracting and Indexing
      • Bibliographic Information
      • Archive
    • International Journal of Oncology
      • International Journal of Oncology
      • Information for Authors
      • Editorial Policies
      • Editorial Board
      • Aims and Scope
      • Abstracting and Indexing
      • Bibliographic Information
      • Archive
    • Molecular and Clinical Oncology
      • Molecular and Clinical Oncology
      • Information for Authors
      • Editorial Policies
      • Editorial Board
      • Aims and Scope
      • Abstracting and Indexing
      • Bibliographic Information
      • Archive
    • Experimental and Therapeutic Medicine
      • Experimental and Therapeutic Medicine
      • Information for Authors
      • Editorial Policies
      • Editorial Board
      • Aims and Scope
      • Abstracting and Indexing
      • Bibliographic Information
      • Archive
    • International Journal of Molecular Medicine
      • International Journal of Molecular Medicine
      • Information for Authors
      • Editorial Policies
      • Editorial Board
      • Aims and Scope
      • Abstracting and Indexing
      • Bibliographic Information
      • Archive
    • Biomedical Reports
      • Biomedical Reports
      • Information for Authors
      • Editorial Policies
      • Editorial Board
      • Aims and Scope
      • Abstracting and Indexing
      • Bibliographic Information
      • Archive
    • Oncology Reports
      • Oncology Reports
      • Information for Authors
      • Editorial Policies
      • Editorial Board
      • Aims and Scope
      • Abstracting and Indexing
      • Bibliographic Information
      • Archive
    • Molecular Medicine Reports
      • Molecular Medicine Reports
      • Information for Authors
      • Editorial Policies
      • Editorial Board
      • Aims and Scope
      • Abstracting and Indexing
      • Bibliographic Information
      • Archive
    • World Academy of Sciences Journal
      • World Academy of Sciences Journal
      • Information for Authors
      • Editorial Policies
      • Editorial Board
      • Aims and Scope
      • Abstracting and Indexing
      • Bibliographic Information
      • Archive
    • International Journal of Functional Nutrition
      • International Journal of Functional Nutrition
      • Information for Authors
      • Editorial Policies
      • Editorial Board
      • Aims and Scope
      • Abstracting and Indexing
      • Bibliographic Information
      • Archive
    • International Journal of Epigenetics
      • International Journal of Epigenetics
      • Information for Authors
      • Editorial Policies
      • Editorial Board
      • Aims and Scope
      • Abstracting and Indexing
      • Bibliographic Information
      • Archive
    • Medicine International
      • Medicine International
      • Information for Authors
      • Editorial Policies
      • Editorial Board
      • Aims and Scope
      • Abstracting and Indexing
      • Bibliographic Information
      • Archive
  • Articles
  • Information
    • Information for Authors
    • Information for Reviewers
    • Information for Librarians
    • Information for Advertisers
    • Conferences
  • Language Editing
Spandidos Publications Logo
  • About
    • About Spandidos
    • Aims and Scopes
    • Abstracting and Indexing
    • Editorial Policies
    • Reprints and Permissions
    • Job Opportunities
    • Terms and Conditions
    • Contact
  • Journals
    • All Journals
    • Biomedical Reports
      • Information for Authors
      • Editorial Policies
      • Editorial Board
      • Aims and Scope
      • Abstracting and Indexing
      • Bibliographic Information
      • Archive
    • Experimental and Therapeutic Medicine
      • Information for Authors
      • Editorial Policies
      • Editorial Board
      • Aims and Scope
      • Abstracting and Indexing
      • Bibliographic Information
      • Archive
    • International Journal of Epigenetics
      • Information for Authors
      • Editorial Policies
      • Editorial Board
      • Aims and Scope
      • Abstracting and Indexing
      • Bibliographic Information
      • Archive
    • International Journal of Functional Nutrition
      • Information for Authors
      • Editorial Policies
      • Editorial Board
      • Aims and Scope
      • Abstracting and Indexing
      • Bibliographic Information
      • Archive
    • International Journal of Molecular Medicine
      • Information for Authors
      • Editorial Policies
      • Editorial Board
      • Aims and Scope
      • Abstracting and Indexing
      • Bibliographic Information
      • Archive
    • International Journal of Oncology
      • Information for Authors
      • Editorial Policies
      • Editorial Board
      • Aims and Scope
      • Abstracting and Indexing
      • Bibliographic Information
      • Archive
    • Medicine International
      • Information for Authors
      • Editorial Policies
      • Editorial Board
      • Aims and Scope
      • Abstracting and Indexing
      • Bibliographic Information
      • Archive
    • Molecular and Clinical Oncology
      • Information for Authors
      • Editorial Policies
      • Editorial Board
      • Aims and Scope
      • Abstracting and Indexing
      • Bibliographic Information
      • Archive
    • Molecular Medicine Reports
      • Information for Authors
      • Editorial Policies
      • Editorial Board
      • Aims and Scope
      • Abstracting and Indexing
      • Bibliographic Information
      • Archive
    • Oncology Letters
      • Information for Authors
      • Editorial Policies
      • Editorial Board
      • Aims and Scope
      • Abstracting and Indexing
      • Bibliographic Information
      • Archive
    • Oncology Reports
      • Information for Authors
      • Editorial Policies
      • Editorial Board
      • Aims and Scope
      • Abstracting and Indexing
      • Bibliographic Information
      • Archive
    • World Academy of Sciences Journal
      • Information for Authors
      • Editorial Policies
      • Editorial Board
      • Aims and Scope
      • Abstracting and Indexing
      • Bibliographic Information
      • Archive
  • Articles
  • Information
    • For Authors
    • For Reviewers
    • For Librarians
    • For Advertisers
    • Conferences
  • Language Editing
Login Register Submit
  • This site uses cookies
  • You can change your cookie settings at any time by following the instructions in our Cookie Policy. To find out more, you may read our Privacy Policy.

    I agree
Search articles by DOI, keyword, author or affiliation
Search
Advanced Search
presentation
Experimental and Therapeutic Medicine
Join Editorial Board Propose a Special Issue
Print ISSN: 1792-0981 Online ISSN: 1792-1015
Journal Cover
February-2023 Volume 25 Issue 2

Full Size Image

Sign up for eToc alerts
Recommend to Library

Journals

International Journal of Molecular Medicine

International Journal of Molecular Medicine

International Journal of Molecular Medicine is an international journal devoted to molecular mechanisms of human disease.

International Journal of Oncology

International Journal of Oncology

International Journal of Oncology is an international journal devoted to oncology research and cancer treatment.

Molecular Medicine Reports

Molecular Medicine Reports

Covers molecular medicine topics such as pharmacology, pathology, genetics, neuroscience, infectious diseases, molecular cardiology, and molecular surgery.

Oncology Reports

Oncology Reports

Oncology Reports is an international journal devoted to fundamental and applied research in Oncology.

Experimental and Therapeutic Medicine

Experimental and Therapeutic Medicine

Experimental and Therapeutic Medicine is an international journal devoted to laboratory and clinical medicine.

Oncology Letters

Oncology Letters

Oncology Letters is an international journal devoted to Experimental and Clinical Oncology.

Biomedical Reports

Biomedical Reports

Explores a wide range of biological and medical fields, including pharmacology, genetics, microbiology, neuroscience, and molecular cardiology.

Molecular and Clinical Oncology

Molecular and Clinical Oncology

International journal addressing all aspects of oncology research, from tumorigenesis and oncogenes to chemotherapy and metastasis.

World Academy of Sciences Journal

World Academy of Sciences Journal

Multidisciplinary open-access journal spanning biochemistry, genetics, neuroscience, environmental health, and synthetic biology.

International Journal of Functional Nutrition

International Journal of Functional Nutrition

Open-access journal combining biochemistry, pharmacology, immunology, and genetics to advance health through functional nutrition.

International Journal of Epigenetics

International Journal of Epigenetics

Publishes open-access research on using epigenetics to advance understanding and treatment of human disease.

Medicine International

Medicine International

An International Open Access Journal Devoted to General Medicine.

Journal Cover
February-2023 Volume 25 Issue 2

Full Size Image

Sign up for eToc alerts
Recommend to Library

  • Article
  • Citations
    • Cite This Article
    • Download Citation
    • Create Citation Alert
    • Remove Citation Alert
    • Cited By
  • Similar Articles
    • Related Articles (in Spandidos Publications)
    • Similar Articles (Google Scholar)
    • Similar Articles (PubMed)
  • Download PDF
  • Download XML
  • View XML
Article Open Access

Effect of nicotine on cholesterol gallstone formation in C57BL/6J mice fed on a lithogenic diet

  • Authors:
    • Qian Gao
    • Pinduan Bi
    • Qili Mi
    • Ying Guan
    • Jiarui Jiang
    • Xuemei Li
    • Bin Yang
  • View Affiliations / Copyright

    Affiliations: Yunnan Key Laboratory of Tobacco Chemistry, R&D Center of China Tobacco Yunnan Industrial Co. Ltd., Kunming, Yunnan 650106, P.R. China, Department of Hepatobiliary Surgery, The First Affiliated Hospital of Kunming Medical University, Kunming, Yunnan 650032, P.R. China
    Copyright: © Gao et al. This is an open access article distributed under the terms of Creative Commons Attribution License.
  • Article Number: 84
    |
    Published online on: January 3, 2023
       https://doi.org/10.3892/etm.2023.11783
  • Expand metrics +
Metrics: Total Views: 0 (Spandidos Publications: | PMC Statistics: )
Metrics: Total PDF Downloads: 0 (Spandidos Publications: | PMC Statistics: )
Cited By (CrossRef): 0 citations Loading Articles...

This article is mentioned in:


Abstract

Gallstones are diseases of the biliary system caused by cholesterol supersaturation and/or deficiency in bile salts in bile. Early studies have shown that symptomatic gallstones are primarily a disease of non‑smokers, raising the possibility that nicotine can prevent gallstone formation. The present study investigated the effect of nicotine on the formation of cholesterol gallstone in C57BL/6J mice. C57BL/6J mice (eight‑weeks‑old) were fed a normal or lithogenic diet (basic feed 82.45%, fat 15.8%, cholesterol 1.25% and sodium cholate 0.5%) and divided into five groups: normal diet (ND); ND + high dose nicotine (H); lithogenic diet (LD); LD + low dose nicotine (L) and LD + nicotine (H). They were treated with or without nicotine injection for 10 weeks. Nicotine treatment did not change the rate of cholesterol gallstone formation. There was no difference in TNFα, IL‑1β and IL‑6 among the five groups. The LD group showed the highest cholesterol levels and there was significant suppression of the total cholesterol, low‑density lipoprotein‑cholesterol and total bile acid levels in the serum of the nicotine‑treated mice. Quantitative PCR showed nicotine altered few bile acid metabolism‑related genes expression in liver tissue and significantly altered cholesterol‑metabolism genes in gallbladder tissue. Hematoxylin and eosin staining and western blotting showed that protein levels of farnesoid X receptor (FXR) and megalin in the gallbladder increased in the lithogenic‑diet mice, which was significantly suppressed in the nicotine‑treated mice. In vitro studies using gallbladder epithelial cells showed that chenodeoxycholic acids increased megalin expression, which could be attenuated by nicotine. Nicotine could regulate bile acid metabolism via the FXR‑megalin/cubilin pathways, which potentially contribute to cholesterol nucleation and subsequent gallstone formation.

Introduction

Cholesterol gallstones are a major public health problem in all developed countries. In China, ~10-15% of the adult population suffers from cholesterol gallstones (1,2), which constitute one of the commonest and most costly digestive diseases (3). The development of gallstone is influenced by a number of factors, including smoking (4,5). However, several studies suggest that smoking is not a risk factor for gallstones and even has the opposite effect (6,7). In these studies, older smokers had a relatively lower prevalence of gallstones, whereas younger smokers had an increased risk of gallstones (8). Compared with non-smokers, older smokers who smoke for most of their lives have a lower risk of gallstone disease (9). In view of this, it is necessary to understand the possible mechanisms by which smoking may affect gallstone formation. Smoking may change the levels of gallstone-related protein in the gallbladder or bile composition, which could influence gallstone formation (10,11).

Bile acids (BAs), synthesized from cholesterol molecules, serve a critical role in eliminating excess cholesterol from the body and process dietary fat by facilitating the formation of micelles. The formation of gallstones is related to the metabolic disturbance of BAs. BAs, the final product of cholesterol metabolism, are the main component of bile, accounting for 50-70% of the total bile. Almost all patients with gallstone have abnormal BA metabolism (12). When the proportions of different BAs are imbalanced, cholesterol cannot maintain the state of micelles and gradually forms crystals and precipitates, eventually resulting in cholesterol stones (13,14). Thus, it is important to tightly regulate BA synthesis.

Megalin and cubilin proteins are expressed in gallbladder epithelial cells but not in hepatocytes. There are a number of megalin/cubilin ligands in bile, to mediate endocytosis of numerous ligands including high-density lipoprotein (HDL)/apolipoprotein A-I (apoA-I) (15). Dysregulation of megalin and cubilin at the mRNA and protein levels has been found in either humans or mice with gallstones (15,16). A study demonstrates that bile acids can regulate the expression of megalin and cubilin, an effect that appeared to be mediated by the bile acid nuclear hormone receptor farnesoid X receptor (FXR) (17). It is reported that a synthetic FXR agonist could prevent gallstone formation in susceptible wild-type mice that recapitulate human cholesterol gallstone disease (5). Together, they catalyze the synthesis of two major BAs, cholic acid (CA) and chenodeoxycholic acid (CDCA) (18). Therefore, FXR/megalin/cubilin pathway serves an important role in maintaining BA homeostasis (19).

The present study attempted to discover whether nicotine, as a major component of tobacco smoke, could have a preventive effect on gallstone-susceptible C57BL6 mice. In addition, it explored if FXR/megalin/cubilin pathways had participated in this process.

Materials and methods

Animals and diets

Male C57BL6 mice (8 weeks old, 18-20 g, n=50) were purchased from the Central Laboratory of Kunming medical university. Mice were fed on normal rodent feedstuff (cholesterol <0.02%) or a lithogenic diet (1.25% cholesterol plus 0.5% cholic acid and 15.8% buffer) for 4 weeks and divided into five groups (10 mice/group): i) ND (mice fed with normal diet), ii) ND + nicotine (H) (mice fed with normal diet and treated with 6.6 mg/kg/2 days nicotine), ii) LD (mice fed with lithogenic diet), iii) LD + nicotine (L) (mice fed with lithogenic diet and treated with 1.1 mg/kg/2 days nicotine), and v) LD + nicotine (H) (mice fed with lithogenic diet and treated with 6.6 mg/kg/2 days nicotine). Mice of all groups (except group ND) were treated with nicotine (1.1 mg and 6.6 mg) for 10 weeks after being weighed every two days (20-23). All mice in groups received free access to water and were kept under the controlled condition at room temperature (22±3˚C), with a relative humidity of 60-70% and a 12-h light/dark cycle. The mice were anesthetized with 4% chloral hydrate (300 mg/kg) by intraperitoneal injection. Mice were sacrificed with 150 mg/kg pentobarbital sodium by intraperitoneal (i.p.) injection. The animal experiments were approved by the Institutional Animal Care and Use Committee of Kunming medical university (approval no. kmmu2021058).

Collection of gallbladder biles and gallstone and microscopic studies

At week 10 of the diet feeding, non-fasted animals were weighed and anesthetized with an i.p. injection of 35 mg/kg pentobarbital. After cholecystectomy, gallbladder volume was measured by weighing the whole gallbladder and equating gallbladder weight (including stones) with gallbladder volume. Gallbladders were then opened and 5 µl of fresh gallbladder bile was examined for solid and liquid crystals and gallstones. The pooled gallbladder biles were centrifuged at 100,000 x g for 30 min at 37˚C and filtered through a preheated (37˚C) Swinnex-GS filter (0.22 µm) assembly (MilliporeSigma), samples were frozen and stored at -20˚C for further lipid analyses. Mouse blood was collected from the vena cava and separated serum samples were stored in a -80˚C biofreezer. The liver and gallbladder were isolated and frozen in liquid N2 until required for analysis.

Blood chemical analysis

The serum levels of aspartate aminotransferase (AST), alanine aminotransferase (ALT), total cholesterol, HDL-cholesterol, phospholipids and triglycerides were determined using an automated Hitachi Clinical Analyzer (model 7020; Hitachi Ltd.).

Lipid analysis

Levels of bile cholesterol, phospholipid, bile salts as well as cholesterol and triglyceride in bile were determined respectively following the manufacturer's instructions. Bile from 10 mins' drainage was sampled. Bile cholesterol and phospholipid concentrations were determined by Cholesterol E-Test Wako kit (cat. no. 999-02601; FUJIFILM Wako Pure Chemical Corporation) and Phospholipid C-Test Wako kit (cat. no. 433-36201; FUJIFILM Wako Pure Chemical Corporation), respectively. The bile salts concentrations were measured by a Nexera X2 Ultra High-Performance Liquid Chromatography system (Shimadzu, Kyoto, Japan) according to the method of Paulusma et al (24). Briefly, 5 µl of diluted bile (1:100) were spiked with 20 µl of internal standard solution in methanol:water (1:1 v/v). Protein precipitation was performed with 30 µl of methanol, followed by 10,000 x g centrifugation for 10 min at 4˚C. The supernatant was used for LC-MS/MS analysis.

Histopathological stain and Immunohistochemistry analysis

Paraffin-embedded gallbladder and liver sections (5 µm in thickness) were dewaxed twice in xylene solutions for 10 min each and rehydrated in descending alcohol series. Then paraffin sections were stained with hematoxylin for 5 min at room temperature and differentiated with 0.1% hydrochloric acid ethanol for 1 min, followed with eosin for 5 min at room temperature, dehydrated in ascending alcohol series, followed by being cleared twice in xylene solutions for 10 min each. They were observed at x100 magnification under a light microscope.

To confirm the expression of megalin and FXR, 10% formalin (48 h at 20-22˚C)-fixed tissues were embedded in paraffin. The 5 µm paraffin sections were subjected to anti-FXR (1:500, Novus Biologicals) or anti-megalin antibody (1:200, Abcam) overnight at 4˚C and stained with a DAB (3,3'Diaminobenzidine) kit (MXB Biotechnologies) for 15 min at 20-22˚C. The positive staining was taken photograph under a light microscope (magnification, x40).

All samples were blindly inspected by two independent pathologists. Positive immunostaining was visualized as brown granules contained in the cytoplasm. The immunostaining was scored by evaluating the intensity and percentage of positively stained cells. The intensity of FXR or megalin staining was scored as follows: 0, none; 1, weak; 2, moderate; and 3, strong. The percentage scores were assigned, as follows: 1, ≤25; 2, 26-50; 3, 51-75; and 4, >75%. These scores were multiplied to arrive at a final score ranging between 0 and 12.

Cell culture and treatments

The human gallbladder epithelial cell line GBEC were purchased from iCell Bioscience Inc. and were cultured in low-glucose DMEM supplemented with 2 mM glutamine, 1% MEM non-essential amino acids solution, 1% MEM vitamin solution, 7.5% FBS and P/S (all from Gibco; Thermo Fisher Scientific, Inc.). The cells were seeded at ~70-80% confluence in complete media for 24 h and maintained at 37˚C in 5% CO2. For CDCA and nicotine treatments, GBECs were plated at 3x104 cells/cm2 for 48 h and subsequently cultured overnight at 37˚C in the low-serum medium. 10 µM CDCA was added medium for 6 h, then 2 µM nicotine was added. Cells were cultured at 37˚C in 5% CO2 for another 18 h for reverse transcription-quantitative (RT-q) PCR and 48 h for western blot analysis.

RT-qPCR

Total RNA was isolated from 1x105 cells using TRIzol® reagent (Invitrogen; Thermo Fisher Scientific, Inc.) following the manufacturer's instructions and the concentration of RNA was calculated by spectrophotometry. cDNA was prepared using the PrimeScript RT reagent kit with gDNA Eraser (Takara Biotechnology Co., Ltd.). Reverse transcription PCR was performed u sing SYBR Green Premix Ex Taq (Takara) according to the manufacturer's protocols Sequences for the primers used are in Table I. Primer sequences were synthesized by TsingKe Biological Technology.

Table I

Sequences of primers in the present study.

Table I

Sequences of primers in the present study.

Gene namePrimer sequence (5'-3')
FXRForward: GTGGTGGCAAATCCTCCATCAG
 Reverse: AGATTCGCTGGCGTCAGTGTCT
CYP7A1Forward: CACCATTCCTGCAACCTTCTGG
 Reverse: ATGGCATTCCCTCCAGAGCTGA
CYP7B1Forward: CGGAAATCTTCGATGCTCCAAAG
 Reverse: GCTTGTTCCGAGTCCAAAAGGC
CYP8B1Forward: CATGAAGGCTGTGCGTGAGGAA
 Reverse: CATCACGCTGTCCAACACTGGA
CYP27A1Forward: TCAGGAGACCATCGGCACCTTT
 Reverse: CCAGTCACTTCCTTGTGCAAGG
BSEPForward: CCTTGGTAGAGAAGAGGCGACA
 Reverse: ATGGCTACCCTTTGCTTCTGCC
NTCPForward: CCTGATGCCTTTCACTGGCTTC
 Reverse: GGATGGTAGAACAGAGTTGGACG
OATP1Forward: GCTGTTCAGTCTTACGAGTGTGC
 Reverse: CAAGGCATACTGGAGGCAAGCT
OSTαForward: GCCTGCCATTTTCTCCATCTTGG
 Reverse: CAGCACTGTCATCAGGAAGGTC
OSTβForward: CAAGCATGTTCCTCCTGAGAAGG
 Reverse: CTCTTAGGAAGACCTGGCTGTTG
MRP2Forward: TACCAGCGAGTTATCGAAGCGTG
 Reverse: TGCTTCTGACCGCCACTGAGAT
MRP3Forward: ACTTCCTCCGAAACTACGCACC
 Reverse: GCTGGCTCATTGTCTGTCAGGT
MRP4Forward: CACTCAGGAAACGAACCTTCTCC
 Reverse: TTGCACTGCCTGCGTGTTCTCT
NPC1L1Forward: ATCGCACTACCATCCAGGACCTx
 Reverse: CCCAGAGTAGCCTTGGAATCCA
ABCG5Forward: TGCCATCCTGACTTACGGAGAG
 Reverse: CTGCTTTGGGTGTCCACTGATG
SR-BIForward: ACACCCGAATCCTCGCTGGAAT
 Reverse: CCGTTGGCAAACAGAGTATCGG
MegalinForward: CCAATGGACTCACTCTGGACCT
 Reverse: GAATGGAAGGCAGTGCTGATGAC
CubilinForward: TCCGCTTCACATCAGATGGCAG
 Reverse: GGAGCAGTTGAGATTGGGAAGG
β-actinForward: CTGTGCCCATCTACGAGGGCTAT
 Reverse: TTTGATGTCACGCACGATTTCC

[i] FXR, farnesoid X receptor; CYP7A1, cholesterol 7α-hydroxylase; CYP7B1, oxysterol 7α-hydroxylase; CYP7B1, oxysterol 7α-hydroxylase; CYP8B1, sterol 12-α-hydroxylase; CYP27A1, cytochrome P450 family 27 subfamily A member 1; BSEP, bile salt export pump; NTCP, Na+-taurocholate cotransporting polypeptide; OATP1, organic anion transporting polypeptide 1; OST, organic solute transporter; MRP, multidrug resistance-associated protein; NPC1L1, NPC1 like intracellular cholesterol transporter 1; ABC, ATP-binding cassette; SR-BI, scavenger receptor class B member 1.

For reverse transcription PCR, the PCR mixture was denatured at 95˚C for 10 sec, annealed at 60˚C for 20 sec and then extended at 72˚C for 30 sec. This process was repeated for a total of 40 cycles. The relation of NPC1 like intracellular cholesterol transporter 1 (NPC1L1) and sterol regulatory element-binding protein 2 (SREBP-2) mRNA expression with β-actin was calculated based on the threshold cycle (Ct) values. The relative mRNA expression of β-actin was calculated by the inverse log of ΔΔCq (25). All experiments were performed in triplicate.

Western blot analysis

Protein were lysed using RIPA lysis buffer (Beyotime Biotechnology, Inc.). Protein concentration was measured using the bicinchoninic acid (BCA) protein assay (Beyotime Biotechnology, Inc.). Protein samples (20 µg) were separated on 8% SDS-PAGE gels and transferred to polyvinylidene difluoride membranes (MilliporeSigma). Non-specific binding to the membrane was blocked for 1 h at room temperature with 5% fat-free milk in TBST (Tris-buffered saline with 0.1% Tween 20 detergent) and then the membranes were incubated with 1:2,000 FXR primary antibody (cat. no. NB300-259; Novus Biologicals, LLC), 1:1,000 megalin primary antibody (cat. no. ab56014; Abcam) and 1:1,000 cubilin primary antibody (ab251050, Abcam) respectively at 4˚C overnight. Then, the membrane was washed four times with TBST and incubated with a 1:5,000 dilution of the HRP conjugated secondary antibody (cat. no. ab205718; Abcam) at room temperature for 45 mins. After the membrane was washed twice with TBST, membrane-bound antibody was visualized using an enhanced chemiluminescent kit (MilliporeSigma) according to manufacturer's instructions. The densities were quantified via photodensitometric scanning using Quantity One-4.2.3 software (Bio-Rad Laboratories, Inc.).

Statistical analysis

Values are given as the mean ± SD. Statistical differences between multiple groups were compared using Kruskal-Wallis analysis. When statistical significance was identified based on the nonparametric test, Dunn's test was used for multiple comparisons. P<0.05 was considered to indicate a statistically significant difference.

Results

Effects of nicotine on the liver weight-to-body weight ratio and liver function

The liver weight-to-body weight ratio was not significantly different among the different treatment groups. H&E staining of the liver in Fig. 1 did not reveal obvious histomorphological differences among different groups, except the high-dose nicotine treatment which caused liver injury (Fig. 1A).

Figure 1

Nicotine does not affect the liver function in mice fed with ND or LD. (A) No difference observed in pathological morphology of liver tissue by hematoxylin and eosin staining (magnification, x100). (B) ALT and (C) AST serum levels were normal among the five groups. (D) TNFα, (E) IL-1β and (F) IL-6 levels did not change after nicotine injection in mice fed with normal or lithogenic diet. Data are expressed as the mean ± standard deviation of the mean with three independent experiments. *P<0.05 vs. the ND group. ND, normal diet; LD, lithogenic diet; ALT, alanine aminotransferase; AST, aspartate aminotransferase; H, 6.6 mg/kg/2 days nicotine; L, 1.1 mg/kg/2 days nicotine.

Serum ALT and AST levels did not change after low-dose nicotine treatment, but increased in the high-dose nicotine treatment group (Fig. 1B and C). In addition, no significant differences were observed in the levels of inflammatory factors following nicotine treatment (Fig. 1D-F). This suggested that low-dose nicotine treatment showed no significant toxic side effects on liver function after 10 weeks.

Effects of nicotine on gallstone formation

Mice fed with a normal diet treated with high-dose nicotine showed no abnormal behavior and no gallbladder stone formation. Crystals were observed in the lithogenic diet groups. Gross analysis of the gallbladder showed that LD + nicotine groups did not exhibit significant lower stone formation compared to the LD group (Fig. 2A). The gallbladder volume of mice in the LD + nicotine (H) group was lower than that in the LD group, while low concentrations of nicotine did not change gallbladder volume (Fig. 2B; Table II).

Figure 2

Nicotine does not reduce gallstone formation induced by LD. C57BL/6J mice were fed LD for 10 weeks and were administered intraperitoneal injections of nicotine. (A) Image of gallstone formation (magnification, x10) and (B) weight of gallbladder were measured (n=10). Data are expressed as the mean ± standard deviation of the mean with three independent experiments. *P<0.05 vs. the ND group. ND, normal diet; LD, lithogenic diet; H, 6.6 mg/kg/2 days nicotine; L, 1.1 mg/kg/2 days nicotine.

Table II

Gallstone formation rate, gallbladder size and volume in different groups.

Table II

Gallstone formation rate, gallbladder size and volume in different groups.

 Gallbladder size
GroupsFormation rate (%)Length (mm)Width (mm)Volume (µl)
ND06.3±0.66.0±0.5030.02±4.93
ND + nicotine (H)06.2±0.45.9±0.728.95±4.09
LD1007.8±1.13.4±0.467.00±12.84
LD + nicotine (L)907.7±0.95.5±0.961.50±9.52
LD + nicotine (H)907.6±1.06.8±1.853.82±7.25

[i] ND, normal diet; LD, lithogenic diet; H, 6.6 mg/kg/2 days nicotine; L, 1.1 mg/kg/2 days nicotine.

The effect of nicotine on lipid levels in bile and serum

Compared with the LD group, the cholesterol level in the gallbladder bile from the LD + nicotine (H) group was significantly reduced, (Fig. 3A). The cholesterol level did not significantly decrease in LD + nicotine (L) group compared with the LD group. Compared with the LD group, there were no significant differences in the phospholipids and bile salts in the bile of the experimental groups (Fig. 3B and C).

Figure 3

Effects of nicotine on the levels of cholesterol and lipids in the serum and bile. The bile level of (A) cholesterol, not (B) phospholipid or (C) bile salts was significantly elevated in LD groups and reduced in the nicotine treatment group. Compared with the ND group, the serum levels of (D) TG, (E) TC and (F) LDL-C increased, while (G) HDL-C and (H) TBA decreased. Notably, nicotine could attenuate LD-increased TC levels in LD + nicotine (H) group. Data are presented as the mean ± standard deviation (n=10 mice per group). *P<0.05 vs. the ND group; #P<0.05 vs. the LD group. LD, lithogenic diet; ND, normal diet; H, 6.6 mg/kg/2 days nicotine; L, 1.1 mg/kg/2 days nicotine; TG, triglycerides; TC, total cholesterol; LDL-C, low-density lipoprotein-cholesterol; HDL-C, high-density lipoprotein cholesterol; TBA, total bile acids.

Serum lipid levels between different groups were also compared, including triglycerides (TG), total cholesterol (TC), low-density lipoprotein-cholesterol (LDL-C) and high-density lipoprotein cholesterol (HDL-C) and total bile acid (TBA). The results showed that compared with the ND group, the serum levels of TG, TC and LDL-C in the LD group significantly increased, while HDL-C and TBA significantly decreased (Fig. 3D-H). After low-concentration nicotine treatment, the levels of these indicators are unchanged. Compared with the LD group, the serum TG, TC and LDL-C of the mice treated with the high-dose nicotine group decreased significantly, while the levels of HDL-C and TBA increased (Fig. 3D-H).

The effect of nicotine on mRNA expression of BA-related gene in liver tissues

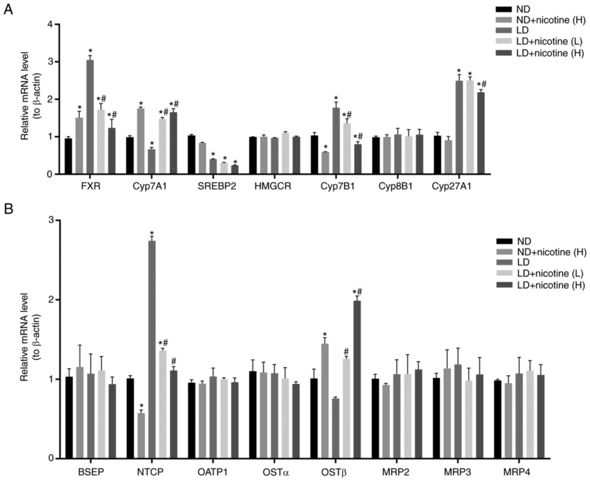
The present study examined major genes involved in bile acid metabolism in liver tissue from mice with or without nicotine treatment. As shown in Fig. 4, compared to the ND group, FXR, cholesterol 7α-hydroxylase (CYP7A1) and oxysterol 7α-hydroxylase (CYP7B1) and Na+-taurocholate cotransporting polypeptide (NTCP) mRNA levels increased, while CYP7A1 and sterol regulatory element-binding protein 2 (SREBP-2) decreased in the LD group. These effects were reversed by high-dose nicotine treatment (Fig. 4). Notably, no changes in some genes expression were observed following nicotine treatment, including 3-hydroxy-3-methylglutaryl-CoA reductase, sterol 12-α-hydroxylase (CYP8B1), organic solute transporter α (OSTα), bile salt export pump (BSEP), organic anion transporting polypeptide 1 (OATP1), multidrug resistance-associated protein (MRP)2, MRP3, MRP4. This suggests that nicotine may induce changes in cholesterol in other ways in addition to partially affecting bile acids.

Figure 4

Effect of nicotine on mRNA expression of bile acid metabolism-related gene in liver tissues. mRNA levels of (A) bile acid synthesis-related genes and (B) bile acid transport-related genes in the livers of mice injected with nicotine were measured by quantitative polymerase chain reaction (n=3). Data are expressed as the mean ± standard deviation of the mean. *P<0.05 vs. the ND group; #P<0.05 vs. the LD group. ND, normal diet; LD, lithogenic diet. FXR, farnesoid X receptor; CYP7A1, cholesterol 7α-hydroxylase; SREBP2. sterol regulatory element-binding protein 2; HMGCR, 3-hydroxy-3-methylglutaryl-CoA reductase; CYP7B1, oxysterol 7α-hydroxylase; CYP27A1, cytochrome P450 family 27 subfamily A member 1; BSEP, bile salt export pump; NTCP, Na+-taurocholate cotransporting polypeptide; OATP1, organic anion transporting polypeptide 1; OST, organic solute transporter; MRP, multidrug resistance-associated protein.

Effect of nicotine on bile acid metabolism in the gallbladder epithelial tissues

The present study investigated the cholesterol metabolism in the gallbladder epithelial cells. It detected the mRNA levels of NPC1L1, ABCG5/G8, SR-BI and megalin/cubilin expression by RT-qPCR. The results showed that compared with the ND group, the expression level of NPC1L1 in the LD group significantly decreased, while megalin, ABCG5/G8 and SR-BI increased. The administration of low and high concentrations of nicotine could attenuate their expression levels (Fig. 5A).

Figure 5

Effect of nicotine on cholesterol metabolism by regulating in the gallbladder epithelial tissues. (A) mRNA levels of bile acid metabolism in the gallbladder epithelial tissues of mice injected with nicotine was measured by quantitative polymerase chain reaction (n=3). (B) Representative western blot analyses and (C-E) immunohistochemical staining of FXR and megalin (magnification, x100). Data are expressed as the mean ± standard deviation of the mean (n=10 mice per group). *P<0.05 vs. the ND group; #P<0.05 vs. the LD group. ND, normal diet; LD, lithogenic diet; H, 6.6 mg/kg/2 days nicotine; L, 1.1 mg/kg/2 days nicotine; NPC1L1, NPC1 like intracellular cholesterol transporter 1; ABC, ATP-binding cassette; SR-BI, scavenger receptor class B member 1; FXR, farnesoid X receptor.

Generally, the FXR-megalin/cubilin signaling pathway regulates cholesterol balance and participates in the formation of stones (17). Therefore, the present study also detected the levels of FXR-megalin/cubilin expression by western blotting and immunohistochemistry. Similar to mRNA expression, nicotine did not alter cubilin protein levels, but restored LD-downregulated FXR and megalin levels (Fig. 5B and C). These results suggest that nicotine can affect the formation process of gallstones by regulating cholesterol metabolism in the gallbladder.

Effect of nicotine on the regulation of FXR/megalin/cubilin protein expression in the gallbladder epithelial cells

As shown in Fig. 6A, the FXR agonists CDCA increased the expression of megalin in GBEC. CDCA clearly increased the expression of FXR and megalin in GBEC, while not changing the expression of cubilin. The nicotine inhibited CDCA-induced expression of FXR and megalin in GBEC. Immunofluorescence analyses of megalin expression in GBEC showed that megalin is expressed in perinuclear and vesicular, decreased by nicotine (Fig. 6B). It suggested that nicotine could regulate FXR and megalin, which might be involved in the regulation of the expression of the genes related to bile acid metabolism.

Figure 6

Effect of nicotine on the regulation of FXR/megalin/cubilin in the gallbladder epithelial cells. (A) GBEC cells were treated with 2 µM nicotine for 48 h, then total cell lysates (40 µg) from GBECs were subjected to western blot analysis. (B) Immunofluorescence for megalin in confluent GBECs treated with nicotine for 48 h in the presence of FXR agonist CDCA (10 µM; magnification, x100). *P<0.05 vs. control; #P<0.05 vs. the CDCA. FXR, farnesoid X receptor; CDCA, chenodeoxycholic acid.

Discussion

Nicotine has a little beneficial effect on human diseases, including colitis and oral ulcers (26-28). The present study investigated the effects of nicotine on cholesterol metabolism and gallstone prevention in gallstone-susceptible C57L mice. It found that nicotine did not prevent cholesterol gallstone formation, but decreased biliary cholesterol secretion, retarding phase transition of cholesterol and that this is likely due to nicotine changing the expression of FXR/megalin pathway.

The present study first investigated the effects of nicotine on liver function. H&E staining and liver function assay showed that nicotine did not induce liver damage. Currently, research on the effects of nicotine on the liver is inconsistent. A few studies suggest that nicotine has toxicity in the liver (29-31). A longer study period would have allowed for potentially increased differences in liver damage levels. By contrast, several studies suggest that chronic nicotine treatment has no significant effect on the liver (32) and even alleviates poison-induced liver injury (33-35). The inconsistency of these findings may be due to differences in the concentration, duration of nicotine treatment and the types of substances that induce liver injury.

The present study next examined the effect of nicotine on gallstone formation and gallbladder bile composition. Neither inhibitory nor increased effect of nicotine on the rate of gallstone formation was observed in LD diet mice. Almost all studies suggest that smoking increases the progression of gallbladder disease, including gallstones (36,37). However, earlier research showed that nicotine can protect against the formation of gallstones (9,38). There may be two reasons for this: i) As well as nicotine, tobacco contains a variety of other substances that promote gallstone formation. ii) Smoking prolongs the maximal gallbladder emptying time and delays gallbladder contraction, then results in bile stasis in gallbladder, which causes most gallbladder disorders (39).

The effect of nicotine on bile cholesterol metabolism was investigated. There were significant changes in the composition of bile after 10 weeks of nicotine treatment with a reduction in total bile cholesterol concentrations. The data showed high concentrations of nicotine increased the TBA levels. Since gallbladder volume and bile secretion were similar before and after nicotine treatment, the increase in TBA may be caused by changes in the ratio of different types of BAs. The rise in total BA concentration in bile tends to reduce gallstone formation by increasing cholesterol solubility (40,41).

FXR can regulate the synthesis of BAs in a tissue-specific manner, regulating bile acid reabsorption, maintaining bile acid cycle homeostasis and reducing cholesterol and fat production (42). In the present study, except BA synthase FXR, CYP7A1 and CYP7B1 and efflux transporters NTCP and organic solute transporter β (OSTβ), nicotine did not change the expression of the efflux transporter BSEP, OATP1, OSTα, MRP2/3/4 and alternative pathway synthase cytochrome P450 Family 27 Subfamily A Member 1 (CYP27A1) and CYP8B1. In addition to bile acid metabolism mediated by the enterohepatic circulation, a study suggested that attention should be paid to cholesterol metabolism in gallbladder epithelial cells (43), as the gallbladder has the capacity to actively absorb cholesterol from bile and thereby modulate bile cholesterol content. Thus far, the expression of cubilin and megalin, ATP binding cassette subfamily G (ACBG)5/8, scavenger receptor class B type I (SR-BI), has been reported in the apical side of gallbladder epithelial cells (44). However, further elucidation of the mechanism is required.

The qPCR data showed that nicotine could attenuate LD-downregulation of NPC1L1 and reduce the expression of megalin, ABCG5/G8 and SR-BI. In addition, megalin and cubilin, which are expressed on the gallbladder but not on hepatocytes, are also regulated by bile acids and their receptor FXR (16). This indicates that FXR/megalin/cubilin may serve a central role in the pathophysiology of gallstones. In the study of Tsaroucha et al (15), the megalin and cubilin mRNA levels are low in gallstone tissues, but the study of Erranz et al (16) showed megalin protein levels were upregulated by a lithogenic diet. This is mainly because CA, not cholesterol, increases the expression of megalin, but does not affect the expression of cubilin (16). The present study used a similar lithogenic diet, which contained the natural FXR agonists CA. The data demonstrated that FXR/megalin protein expression increased in the LD group during gallstone formation, low or high-dose nicotine could decrease megalin mRNA and protein expression, but cubilin expression did not change. These data indicated that nicotine may act on cholesterol metabolism in gallbladder cells and may be involved in the process of gallstones formation. However, further assessment of the direct effect of megalin and cubilin regulated by nicotine on gallstone formation is required.

There are several limitations to the present study. First, it did not conduct an in-depth analysis for microscopic examination of the gallbladder and list all abnormal findings such as cells, crystals or other components. Second, it did not analyze the difference in stones composition and load between the three groups. Third, although a number of useful aspects of the lithogenic process can be studied using animal models, they are not 100% identical to humans. Moreover, a number of changes apparently associated with gallstone formation may be a function of heredity.

The present study demonstrated that nicotine did not prevent LD-induced gallstone formation. However, nicotine could regulate FXR, sterol regulatory element-binding protein 2, CYP7A1, NTCP and OSTβ in the liver and ABCG5/8, NPC1L1, SR-BI and megalin in the gallbladder. These genes are associated synthesis, transformation and transportation of bile acid. Thus, despite unlikely therapeutic applications, nicotine might have potential beneficial effects for anti-lithogenic activity.

Acknowledgements

Not applicable.

Funding

Funding: The present study was supported by The Research Foundation of China Tobacco Company [grant no. 110201901021 (JY-08)]; The Research Foundation of China Tobacco Yunnan Industrial Co., Ltd. (grant no. 2020539200340213) and Yunnan Provincial Fund for High Level Reserve Talents in Health Science (grant no. H-2018068).

Availability of data and materials

All data generated or analyzed during this study are included in this published article.

Authors' contributions

QG, XL and BY conceived and designed the study. QG, PB and QM contributed to the experiments, acquisition of data and comments and editorial review of the manuscript. YG and JJ analyzed data and revised the manuscript critically for important intellectual content. QG, PB, XL and BY contributed to interpretation of data and drafted the article. All authors read and approved the final version of the manuscript. BY and QG confirm the authenticity of all the raw data.

Ethics approval and consent to participate

The animal experiments were approved by the Institutional Animal Care and Use Committee of Kunming Medical University (approval no. kmmu2021058).

Patient consent for publication

Not applicable.

Competing interests

Note that QG, QM, YG, JJ and XL are employees of the Yunnan Key Laboratory of Tobacco Chemistry, R&D Center of China Tobacco Yunnan Industrial Co. Ltd. who also funded the present study, which explored the effect of nicotine on cholesterol gallstone formation in C57BL/6J mice fed on a lithogenic diet.

References

1 

Di Ciaula A and Portincasa P: Recent advances in understanding and managing cholesterol gallstones. F1000Res. 7(F1000 Faculty Rev-1529)2018.PubMed/NCBI View Article : Google Scholar

2 

Hsing AW, Gao YT, Han TQ, Rashid A, Sakoda LC, Wang BS, Shen MC, Zhang BH, Niwa S, Chen J and Fraumeni JF Jr: Gallstones and the risk of biliary tract cancer: A population-based study in China. Br J Cancer. 97:1577–1582. 2007.PubMed/NCBI View Article : Google Scholar

3 

Sutherland JM, Mok J, Liu G, Karimuddin A and Crump T: A cost-utility study of laparoscopic cholecystectomy for the treatment of symptomatic gallstones. J Gastrointest Surg. 24:1314–1319. 2020.PubMed/NCBI View Article : Google Scholar

4 

Rebholz C, Krawczyk M and Lammert F: Genetics of gallstone disease. Eur J Clin Invest. 48(e12935)2018.PubMed/NCBI View Article : Google Scholar

5 

Arrese M, Cortés V, Barrera F and Nervi F: Nonalcoholic fatty liver disease, cholesterol gallstones, and cholecystectomy: New insights on a complex relationship. Curr Opin Gastroenterol. 34:90–96. 2018.PubMed/NCBI View Article : Google Scholar

6 

Yuan S, Giovannucci EL and Larsson SC: Gallstone disease, diabetes, calcium, triglycerides, smoking and alcohol consumption and pancreatitis risk: Mendelian randomization study. NPJ Genom Med. 6(27)2021.PubMed/NCBI View Article : Google Scholar

7 

Kono S, Eguchi H, Honjo S, Todoroki I, Oda T, Shinchi K, Ogawa S and Nakagawa K: Cigarette smoking, alcohol use, and gallstone risk in Japanese men. Digestion. 65:177–183. 2002.PubMed/NCBI View Article : Google Scholar

8 

Kim HS, Cho SK, Kim CS and Park JS: Big data and analysis of risk factors for gallbladder disease in the young generation of Korea. PLoS One. 14(e0211480)2019.PubMed/NCBI View Article : Google Scholar

9 

Rhodes M and Venables C: Symptomatic gallstones-a disease of non-smokers? Digestion. 49:221–226. 1991.PubMed/NCBI View Article : Google Scholar

10 

Jørgensen T: Gall stones in a Danish population. Relation to weight, physical activity, smoking, coffee consumption, and diabetes mellitus. Gut. 30:528–534. 1989.PubMed/NCBI View Article : Google Scholar

11 

Mohr GC, Kritz-Silverstein D and Barrett-Connor E: Plasma lipids and gallbladder disease. Am J Epidemiol. 134:78–85. 1991.PubMed/NCBI View Article : Google Scholar

12 

Claudel T, Zollner G, Wagner M and Trauner M: Role of nuclear receptors for bile acid metabolism, bile secretion, cholestasis, and gallstone disease. Biochim Biophys Acta. 1812:867–878. 2011.PubMed/NCBI View Article : Google Scholar

13 

Cedó L, Farràs M, Lee-Rueckert M and Escolà-Gil JC: Molecular insights into the mechanisms underlying the cholesterol-lowering effects of phytosterols. Curr Med Chem. 26:6704–6723. 2019.PubMed/NCBI View Article : Google Scholar

14 

Rudling M, Laskar A and Straniero S: Gallbladder bile supersaturated with cholesterol in gallstone patients preferentially develops from shortage of bile acids. J Lipid Res. 60:498–505. 2019.PubMed/NCBI View Article : Google Scholar

15 

Tsaroucha AK, Chatzaki E, Lambropoulou M, Despoudi K, Laftsidis P, Charsou C, Polychronidis A, Papadopoulos N and Simopoulos CE: Megalin and cubilin in the human gallbladder epithelium. Clin Exp Med. 8:165–170. 2008.PubMed/NCBI View Article : Google Scholar

16 

Erranz B, Miquel JF, Argraves WS, Barth JL, Pimentel F and Marzolo MP: Megalin and cubilin expression in gallbladder epithelium and regulation by bile acids. J Lipid Res. 45:2185–2198. 2004.PubMed/NCBI View Article : Google Scholar

17 

Marzolo MP and Farfán P: New insights into the roles of megalin/LRP2 and the regulation of its functional expression. Biol Res. 44:89–105. 2011.PubMed/NCBI View Article : Google Scholar

18 

Housset C, Chrétien Y, Debray D and Chignard N: Functions of the gallbladder. Compr Physiol. 6:1549–1577. 2016.PubMed/NCBI View Article : Google Scholar

19 

Willnow TE and Christ A: Endocytic receptor LRP2/megalin-of holoprosencephaly and renal Fanconi syndrome. Pflugers Arch. 469:907–916. 2017.PubMed/NCBI View Article : Google Scholar

20 

Tsounapi P, Honda M, Dimitriadis F, Kimura Y, Shimizu S, Kawamoto B, Hikita K, Saito M, Sofikitis N and Takenaka A: MP07-15 alterations in oxidative stress parameters in the testis and epididymis in a nicotine-exposed rat model. Can nicotine-abstinence overcome the oxidative damage? J Urol. 197(e87)2017.

21 

Moschetta A, Bookout AL and Mangelsdorf DJ: Prevention of cholesterol gallstone disease by FXR agonists in a mouse model. Nat Med. 10:1352–1358. 2004.PubMed/NCBI View Article : Google Scholar

22 

Young JW, Finlayson K, Spratt C, Marston HM, Crawford N, Kelly JS and Sharkey J: Nicotine improves sustained attention in mice: Evidence for involvement of the alpha7 nicotinic acetylcholine receptor. Neuropsychopharmacology. 29:891–900. 2004.PubMed/NCBI View Article : Google Scholar

23 

Berrendero F, Mendizábal V, Robledo P, Galeote L, Bilkei-Gorzo A, Zimmer A and Maldonado R: Nicotine-induced antinociception, rewarding effects, and physical dependence are decreased in mice lacking the preproenkephalin gene. J Neurosci. 25:1103–1112. 2005.PubMed/NCBI View Article : Google Scholar

24 

Paulusma CC, Groen A, Kunne C, Ho-Mok KS, Spijkerboer AL, Rudi de Waart D, Hoek FJ, Vreeling H, Hoeben KA, van Marle J, et al: Atp8b1 deficiency in mice reduces resistance of the canalicular membrane to hydrophobic bile salts and impairs bile salt transport. Hepatology. 44:195–204. 2006.PubMed/NCBI View Article : Google Scholar

25 

Livak KJ and Schmittgen TD: Analysis of relative gene expression data using real-time quantitative PCR and the 2(-Delta Delta C(T)) method. Methods. 25:402–408. 2001.PubMed/NCBI View Article : Google Scholar

26 

Baron JA: Beneficial effects of nicotine and cigarette smoking: The real, the possible and the spurious. Br Med Bull. 52:58–73. 1996.PubMed/NCBI View Article : Google Scholar

27 

Wolf R, Wolf D and Ruocco V: The benefits of smoking in skin diseases 1. Clin Dermatol. 16:641–647. 1998.PubMed/NCBI View Article : Google Scholar

28 

Wasilewski A, Zielińska M, Storr M and Fichna J: Beneficial effects of probiotics, prebiotics, synbiotics, and psychobiotics in inflammatory bowel disease. Inflamm Bowel Dis. 21:1674–1682. 2015.PubMed/NCBI View Article : Google Scholar

29 

Mosher LR: Nicotinic acid side effects and toxicity: A review. Am J Psychiatry. 126:1290–1296. 1970.PubMed/NCBI View Article : Google Scholar

30 

Rutledge SM and Asgharpour A: Smoking and liver disease. Gastroenterol Hepatol (NY). 16:617–625. 2020.PubMed/NCBI

31 

Li G, Chan YL, Wang B, Saad S, George J, Oliver BG and Chen H: E-cigarettes damage the liver and alter nutrient metabolism in pregnant mice and their offspring. Ann N Y Acad Sci. 1475:64–77. 2020.PubMed/NCBI View Article : Google Scholar

32 

Yue J, Miksys S, Hoffmann E and Tyndale RF: Chronic nicotine treatment induces rat CYP2D in the brain but not in the liver: An investigation of induction and time course: 2006 Innovations in neuropsychopharmacology award. J Psychiatry Neurosci. 33:54–63. 2008.PubMed/NCBI

33 

Chen XM, Li FQ, Yan S, Wu XC and Tang CL: Nicotine alleviates the liver inflammation of non-alcoholic steatohepatitis induced by high-fat and high-fructose in mice. Beijing Da Xue Xue Bao Yi Xue Ban. 48:777–782. 2016.PubMed/NCBI(In Chinese).

34 

Zhang D, Dai J, Cao Y, Wang Z and Qiao Z and Qiao Z: Nicotine exposure of male mice protects offspring against carbon tetrachloride-induced acute liver injury. J Biochem Mol Toxicol. 36(e23069)2022.PubMed/NCBI View Article : Google Scholar

35 

Zhao J, Park S, Kim JW, Qi J, Zhou Z, Lim CW and Kim B: Nicotine attenuates concanavalin A-induced liver injury in mice by regulating the α7-nicotinic acetylcholine receptor in Kupffer cells. Int Immunopharmacol. 78(106071)2020.PubMed/NCBI View Article : Google Scholar

36 

Shabanzadeh DM and Novovic S: Alcohol, smoking and benign hepato-biliary disease. Best Pract Res Clin Gastroenterol. 31:519–527. 2017.PubMed/NCBI View Article : Google Scholar

37 

Aune D, Vatten LJ and Boffetta P: Tobacco smoking and the risk of gallbladder disease. Eur J Epidemiol. 31:643–653. 2016.PubMed/NCBI View Article : Google Scholar

38 

Kono S, Shinichi K, Ikeda N, Yanai F and Imanishi K: Prevalence of gallstone disease in relation to smoking, alcohol use, obesity, and glucose tolerance: A study of self-defense officials in Japan. Am J Epidemiol. 136:787–794. 1992.PubMed/NCBI View Article : Google Scholar

39 

Degirmenci B, Albayrak R, Haktanir A, Acar M and Yucel A: Acute effect of smoking on gallbladder emptying and refilling in chronic smokers and nonsmokers: A sonographic study. World J Gastroenterol. 12:5540–5543. 2006.PubMed/NCBI View Article : Google Scholar

40 

Trautwein EA, Kunath-Rau A and Erbersdobler HF: Increased fecal bile acid excretion and changes in the circulating bile acid pool are involved in the hypocholesterolemic and gallstone-preventive actions of psyllium in hamsters. J Nutr. 129:896–902. 1999.PubMed/NCBI View Article : Google Scholar

41 

Di Ciaula A, Garruti G, Lunardi Baccetto R, Molina-Molina E, Bonfrate L, Wang DQ and Portincasa P: Bile acid physiology. Ann Hepatol. 16 (Suppl 1):s4–s14. 2017.PubMed/NCBI View Article : Google Scholar

42 

Stofan M and Guo GL: Bile acids and FXR: Novel targets for liver diseases. Front Med (Lausanne). 7(544)2020.PubMed/NCBI View Article : Google Scholar

43 

Dikkers A and Tietge UJF: The neglected cousin of the hepatocyte: How gallbladder epithelial cells might contribute to cholesterol gallstone formation. Dig Dis Sci. 58:296–298. 2013.PubMed/NCBI View Article : Google Scholar

44 

Miquel J, Moreno M, Amigo L, Molina H, Mardones P, Wistuba II and Rigotti A: Expression and regulation of scavenger receptor class B type I (SR-BI) in gall bladder epithelium. Gut. 52:1017–1024. 2003.PubMed/NCBI View Article : Google Scholar

Related Articles

  • Abstract
  • View
  • Download
  • Twitter
Copy and paste a formatted citation
Spandidos Publications style
Gao Q, Bi P, Mi Q, Guan Y, Jiang J, Li X and Yang B: Effect of nicotine on cholesterol gallstone formation in C57BL/6J mice fed on a lithogenic diet. Exp Ther Med 25: 84, 2023.
APA
Gao, Q., Bi, P., Mi, Q., Guan, Y., Jiang, J., Li, X., & Yang, B. (2023). Effect of nicotine on cholesterol gallstone formation in C57BL/6J mice fed on a lithogenic diet. Experimental and Therapeutic Medicine, 25, 84. https://doi.org/10.3892/etm.2023.11783
MLA
Gao, Q., Bi, P., Mi, Q., Guan, Y., Jiang, J., Li, X., Yang, B."Effect of nicotine on cholesterol gallstone formation in C57BL/6J mice fed on a lithogenic diet". Experimental and Therapeutic Medicine 25.2 (2023): 84.
Chicago
Gao, Q., Bi, P., Mi, Q., Guan, Y., Jiang, J., Li, X., Yang, B."Effect of nicotine on cholesterol gallstone formation in C57BL/6J mice fed on a lithogenic diet". Experimental and Therapeutic Medicine 25, no. 2 (2023): 84. https://doi.org/10.3892/etm.2023.11783
Copy and paste a formatted citation
x
Spandidos Publications style
Gao Q, Bi P, Mi Q, Guan Y, Jiang J, Li X and Yang B: Effect of nicotine on cholesterol gallstone formation in C57BL/6J mice fed on a lithogenic diet. Exp Ther Med 25: 84, 2023.
APA
Gao, Q., Bi, P., Mi, Q., Guan, Y., Jiang, J., Li, X., & Yang, B. (2023). Effect of nicotine on cholesterol gallstone formation in C57BL/6J mice fed on a lithogenic diet. Experimental and Therapeutic Medicine, 25, 84. https://doi.org/10.3892/etm.2023.11783
MLA
Gao, Q., Bi, P., Mi, Q., Guan, Y., Jiang, J., Li, X., Yang, B."Effect of nicotine on cholesterol gallstone formation in C57BL/6J mice fed on a lithogenic diet". Experimental and Therapeutic Medicine 25.2 (2023): 84.
Chicago
Gao, Q., Bi, P., Mi, Q., Guan, Y., Jiang, J., Li, X., Yang, B."Effect of nicotine on cholesterol gallstone formation in C57BL/6J mice fed on a lithogenic diet". Experimental and Therapeutic Medicine 25, no. 2 (2023): 84. https://doi.org/10.3892/etm.2023.11783
Follow us
  • Twitter
  • LinkedIn
  • Facebook
About
  • Spandidos Publications
  • Careers
  • Cookie Policy
  • Privacy Policy
How can we help?
  • Help
  • Live Chat
  • Contact
  • Email to our Support Team