Spandidos Publications Logo
  • About
    • About Spandidos
    • Aims and Scopes
    • Abstracting and Indexing
    • Editorial Policies
    • Reprints and Permissions
    • Job Opportunities
    • Terms and Conditions
    • Contact
  • Journals
    • All Journals
    • Oncology Letters
      • Oncology Letters
      • Information for Authors
      • Editorial Policies
      • Editorial Board
      • Aims and Scope
      • Abstracting and Indexing
      • Bibliographic Information
      • Archive
    • International Journal of Oncology
      • International Journal of Oncology
      • Information for Authors
      • Editorial Policies
      • Editorial Board
      • Aims and Scope
      • Abstracting and Indexing
      • Bibliographic Information
      • Archive
    • Molecular and Clinical Oncology
      • Molecular and Clinical Oncology
      • Information for Authors
      • Editorial Policies
      • Editorial Board
      • Aims and Scope
      • Abstracting and Indexing
      • Bibliographic Information
      • Archive
    • Experimental and Therapeutic Medicine
      • Experimental and Therapeutic Medicine
      • Information for Authors
      • Editorial Policies
      • Editorial Board
      • Aims and Scope
      • Abstracting and Indexing
      • Bibliographic Information
      • Archive
    • International Journal of Molecular Medicine
      • International Journal of Molecular Medicine
      • Information for Authors
      • Editorial Policies
      • Editorial Board
      • Aims and Scope
      • Abstracting and Indexing
      • Bibliographic Information
      • Archive
    • Biomedical Reports
      • Biomedical Reports
      • Information for Authors
      • Editorial Policies
      • Editorial Board
      • Aims and Scope
      • Abstracting and Indexing
      • Bibliographic Information
      • Archive
    • Oncology Reports
      • Oncology Reports
      • Information for Authors
      • Editorial Policies
      • Editorial Board
      • Aims and Scope
      • Abstracting and Indexing
      • Bibliographic Information
      • Archive
    • Molecular Medicine Reports
      • Molecular Medicine Reports
      • Information for Authors
      • Editorial Policies
      • Editorial Board
      • Aims and Scope
      • Abstracting and Indexing
      • Bibliographic Information
      • Archive
    • World Academy of Sciences Journal
      • World Academy of Sciences Journal
      • Information for Authors
      • Editorial Policies
      • Editorial Board
      • Aims and Scope
      • Abstracting and Indexing
      • Bibliographic Information
      • Archive
    • International Journal of Functional Nutrition
      • International Journal of Functional Nutrition
      • Information for Authors
      • Editorial Policies
      • Editorial Board
      • Aims and Scope
      • Abstracting and Indexing
      • Bibliographic Information
      • Archive
    • International Journal of Epigenetics
      • International Journal of Epigenetics
      • Information for Authors
      • Editorial Policies
      • Editorial Board
      • Aims and Scope
      • Abstracting and Indexing
      • Bibliographic Information
      • Archive
    • Medicine International
      • Medicine International
      • Information for Authors
      • Editorial Policies
      • Editorial Board
      • Aims and Scope
      • Abstracting and Indexing
      • Bibliographic Information
      • Archive
  • Articles
  • Information
    • Information for Authors
    • Information for Reviewers
    • Information for Librarians
    • Information for Advertisers
    • Conferences
  • Language Editing
Spandidos Publications Logo
  • About
    • About Spandidos
    • Aims and Scopes
    • Abstracting and Indexing
    • Editorial Policies
    • Reprints and Permissions
    • Job Opportunities
    • Terms and Conditions
    • Contact
  • Journals
    • All Journals
    • Biomedical Reports
      • Information for Authors
      • Editorial Policies
      • Editorial Board
      • Aims and Scope
      • Abstracting and Indexing
      • Bibliographic Information
      • Archive
    • Experimental and Therapeutic Medicine
      • Information for Authors
      • Editorial Policies
      • Editorial Board
      • Aims and Scope
      • Abstracting and Indexing
      • Bibliographic Information
      • Archive
    • International Journal of Epigenetics
      • Information for Authors
      • Editorial Policies
      • Editorial Board
      • Aims and Scope
      • Abstracting and Indexing
      • Bibliographic Information
      • Archive
    • International Journal of Functional Nutrition
      • Information for Authors
      • Editorial Policies
      • Editorial Board
      • Aims and Scope
      • Abstracting and Indexing
      • Bibliographic Information
      • Archive
    • International Journal of Molecular Medicine
      • Information for Authors
      • Editorial Policies
      • Editorial Board
      • Aims and Scope
      • Abstracting and Indexing
      • Bibliographic Information
      • Archive
    • International Journal of Oncology
      • Information for Authors
      • Editorial Policies
      • Editorial Board
      • Aims and Scope
      • Abstracting and Indexing
      • Bibliographic Information
      • Archive
    • Medicine International
      • Information for Authors
      • Editorial Policies
      • Editorial Board
      • Aims and Scope
      • Abstracting and Indexing
      • Bibliographic Information
      • Archive
    • Molecular and Clinical Oncology
      • Information for Authors
      • Editorial Policies
      • Editorial Board
      • Aims and Scope
      • Abstracting and Indexing
      • Bibliographic Information
      • Archive
    • Molecular Medicine Reports
      • Information for Authors
      • Editorial Policies
      • Editorial Board
      • Aims and Scope
      • Abstracting and Indexing
      • Bibliographic Information
      • Archive
    • Oncology Letters
      • Information for Authors
      • Editorial Policies
      • Editorial Board
      • Aims and Scope
      • Abstracting and Indexing
      • Bibliographic Information
      • Archive
    • Oncology Reports
      • Information for Authors
      • Editorial Policies
      • Editorial Board
      • Aims and Scope
      • Abstracting and Indexing
      • Bibliographic Information
      • Archive
    • World Academy of Sciences Journal
      • Information for Authors
      • Editorial Policies
      • Editorial Board
      • Aims and Scope
      • Abstracting and Indexing
      • Bibliographic Information
      • Archive
  • Articles
  • Information
    • For Authors
    • For Reviewers
    • For Librarians
    • For Advertisers
    • Conferences
  • Language Editing
Login Register Submit
  • This site uses cookies
  • You can change your cookie settings at any time by following the instructions in our Cookie Policy. To find out more, you may read our Privacy Policy.

    I agree
Search articles by DOI, keyword, author or affiliation
Search
Advanced Search
presentation
Experimental and Therapeutic Medicine
Join Editorial Board Propose a Special Issue
Print ISSN: 1792-0981 Online ISSN: 1792-1015
Journal Cover
March-2023 Volume 25 Issue 3

Full Size Image

Sign up for eToc alerts
Recommend to Library

Journals

International Journal of Molecular Medicine

International Journal of Molecular Medicine

International Journal of Molecular Medicine is an international journal devoted to molecular mechanisms of human disease.

International Journal of Oncology

International Journal of Oncology

International Journal of Oncology is an international journal devoted to oncology research and cancer treatment.

Molecular Medicine Reports

Molecular Medicine Reports

Covers molecular medicine topics such as pharmacology, pathology, genetics, neuroscience, infectious diseases, molecular cardiology, and molecular surgery.

Oncology Reports

Oncology Reports

Oncology Reports is an international journal devoted to fundamental and applied research in Oncology.

Experimental and Therapeutic Medicine

Experimental and Therapeutic Medicine

Experimental and Therapeutic Medicine is an international journal devoted to laboratory and clinical medicine.

Oncology Letters

Oncology Letters

Oncology Letters is an international journal devoted to Experimental and Clinical Oncology.

Biomedical Reports

Biomedical Reports

Explores a wide range of biological and medical fields, including pharmacology, genetics, microbiology, neuroscience, and molecular cardiology.

Molecular and Clinical Oncology

Molecular and Clinical Oncology

International journal addressing all aspects of oncology research, from tumorigenesis and oncogenes to chemotherapy and metastasis.

World Academy of Sciences Journal

World Academy of Sciences Journal

Multidisciplinary open-access journal spanning biochemistry, genetics, neuroscience, environmental health, and synthetic biology.

International Journal of Functional Nutrition

International Journal of Functional Nutrition

Open-access journal combining biochemistry, pharmacology, immunology, and genetics to advance health through functional nutrition.

International Journal of Epigenetics

International Journal of Epigenetics

Publishes open-access research on using epigenetics to advance understanding and treatment of human disease.

Medicine International

Medicine International

An International Open Access Journal Devoted to General Medicine.

Journal Cover
March-2023 Volume 25 Issue 3

Full Size Image

Sign up for eToc alerts
Recommend to Library

  • Article
  • Citations
    • Cite This Article
    • Download Citation
    • Create Citation Alert
    • Remove Citation Alert
    • Cited By
  • Similar Articles
    • Related Articles (in Spandidos Publications)
    • Similar Articles (Google Scholar)
    • Similar Articles (PubMed)
  • Download PDF
  • Download XML
  • View XML

  • Supplementary Files
    • Supplementary_Data1.pdf
    • Supplementary_Data2.pdf
Article Open Access

Platelet‑related parameters as potential biomarkers for the prognosis of sepsis

  • Authors:
    • Chao Zhang
    • Xueyi Shang
    • Yuan Yuan
    • Yan Li
  • View Affiliations / Copyright

    Affiliations: Hebei Key Laboratory of Nerve Injury and Repair, Institute of Basic Medicine, Chengde Medical University, Chengde, Hebei 067000, P.R. China, Department of Critical Care Medicine, The Fifth Medical Center, Chinese People's Liberation Army General Hospital, Beijing 100071, P.R. China, State Key Laboratory of Pathogens and Biosecurity, Beijing Institute of Microbiology and Epidemiology, Academy of Military Medical Sciences, Beijing 100071, P.R. China
    Copyright: © Zhang et al. This is an open access article distributed under the terms of Creative Commons Attribution License.
  • Article Number: 133
    |
    Published online on: February 10, 2023
       https://doi.org/10.3892/etm.2023.11832
  • Expand metrics +
Metrics: Total Views: 0 (Spandidos Publications: | PMC Statistics: )
Metrics: Total PDF Downloads: 0 (Spandidos Publications: | PMC Statistics: )
Cited By (CrossRef): 0 citations Loading Articles...

This article is mentioned in:



Abstract

Early diagnosis and accurate prognosis are key for reducing the fatality rate and medical expenses associated with sepsis. Platelets are involved in the delayed tissue injury that occurs during sepsis. Therefore, the aim of the present study was to investigate the usefulness of platelets and associated parameters as prognostic markers of sepsis. The present study collected patient samples based on The Third International Consensus Definitions for Sepsis and Septic Shock criteria. Platelet‑associated parameters were detected by flow cytometry and their correlation with clinical scores and prognoses was analyzed. Considering the association between endothelial cells and platelet activation, levels of plasma tumor necrosis factor‑like weak inducer of apoptosis (TWEAK) and angiopoietin‑2 (Ang‑2) were analyzed by ELISA. The results showed significant differences in platelet P‑selectin expression and phosphatidylserine exposure, mitochondrial membrane potential (Mmp)‑Index values and plasma levels of TWEAK and Ang‑2 between patients and healthy controls (P<0.05). Except for P‑selectin and TWEAK levels, all parameters were correlated with clinical scores (acute physiology and chronic health evaluation II and sequential/sepsis‑related organ failure assessment). Additionally, platelet Mmp‑Index between admission and the end of therapy was only different in non‑survivors (P<0.001) and platelet phosphatidylserine exposure was significantly lower in survivors (P=0.006). Therefore, of the parameters tested, the dynamic monitoring of phosphatidylserine exposure, platelet Mmp‑Index values and plasma Ang‑2 levels had the most potential for the assessment of disease severity and clinical outcomes.

Introduction

At present, it is estimated that 48.9 million patients worldwide have sepsis and related diseases and 19.7% of all deaths globally are related to sepsis (1). Sepsis involves multiple processes, including inflammation, immunity, coagulation and neuroendocrine responses. The pathophysiological mechanism is complex and the clinical manifestations of patients vary (2). Consequently, there is a lack of rapid, sensitive and specific diagnostic biomarkers. Excessive inflammation caused by infection is the defining feature of sepsis. Inflammatory responses induce a ‘waterfall cascade‘ reaction; therefore, early diagnosis and treatment are key to reduce the in-hospital mortality of patients with sepsis.

To date, ~200 sepsis-associated biomarkers have been reported in the literature, with novel biomarkers being identified. Commonly used markers include acute-phase proteins [C-reactive protein (CRP) and procalcitonin], cytokines (interleukin-6, interleukin-10 and interleukin-8), cell surface proteins (human leukocyte antigen-DR, soluble triggering receptor expressed on myeloid cells-1 and soluble urokinase plasminogen activator receptor), vascular endothelial cell-associated factors (cell adhesion molecule, angiopoietin and endothelial cell specific molecule-1) and coagulation-associated parameters (antithrombin III, plasminogen activator inhibitor, mean platelet volume and platelet count). Ideal biomarkers would be useful for early diagnosis, risk stratification, prognosis assessment and treatment response monitoring. Most existing markers lack a theoretical basis for routine clinical practice because of inadequate sensitivity, specificity or clinical evaluation ability (3-5).

Early diagnosis and effective treatment not only improve the prognosis of sepsis but also decrease the mortality and medical costs associated with sepsis. Several studies have shown that platelets are key players in sepsis. For example, platelets are involved in sepsis-associated inflammation, vascular contracture, thrombosis and delayed tissue damage following ischemia (6-9). Therefore, the analysis of changes in platelets and associated factors in sepsis can be used to assess the development of the disease. In inflammatory and infectious conditions, commonly used platelet parameters include platelet count, mean platelet volume, platelet distribution width, platelet large cell ratio and plateletcrit (PCT). Changes in these parameters are not only associated with occurrence of inflammatory diseases such as pneumonia, ankylosing spondylitis, Hashimoto's thyroiditis, acute appendicitis, infective endocarditis and psoriasis (10-15), but also regularly occur when the body is infected with COVID-19, H7N9, malaria, melioidosis and dengue (16-20). Our previous studies showed that certain bacterial pathogenic factors (such as suilysin, pneumolysin and streptolysin) may induce platelet activation, leading to increased expression of CD41a and P-selectin (also known as CD62P) on the surface of platelets (21,22).

Given the platelet-pathogen interactions shown in our aforementioned studies, the proposed role of activated platelets in multiorgan injury during sepsis and therapeutic potential of platelets in sepsis treatment (21,22), a prospective research method was applied in the present study to collect blood samples considered relevant based on The Third International Consensus Definitions for Sepsis and Septic Shock (Sepsis-3) (23). A platelet activation detection system using flow cytometry was established, and platelet activation specificity (P-selectin expression), apoptosis (loss of plasma membrane asymmetry and phosphatidylserine exposure) and mitochondrial membrane potential (Mmp)-Index values in patients diagnosed with sepsis were analyzed. Furthermore, the correlations between these factors and the commonly used acute physiology and chronic health evaluation II (APACHE II) and sequential/sepsis-related organ failure assessment (SOFA) clinical scores were analyzed (7,24).

As biomarkers, platelet-associated parameters include not only biomolecules expressed by platelets but also certain biomolecules that exist in the external environment and may affect the physiological activity of platelets. Therefore, in the present study, tumor necrosis factor (TNF)-like weak inducer of apoptosis (TWEAK) and angiopoietin-2 (Ang-2) were considered to be markers that are associated with platelets (25,26). Finally, the findings of the present study were compared with previous literature (27-30) and case studies (25,30-34) to evaluate these five parameters as potential biomarkers in sepsis and to understand the dynamic evaluation of sepsis (correlations with clinical scores) and patient prognosis. The present results provide a foundation for subsequent analysis in large-sample, prospective and multicenter studies.

Materials and methods

Study population

The present study was a retrospective analysis of prospectively collected data from The Fifth Medical Center of the Chinese People's Liberation Army General Hospital (Beijing, China) from September 2017 to January 2019. The criterion for inclusion was an initial diagnosis of sepsis; patients with traumatic coagulopathy and primary blood system disorders were excluded. Sepsis was defined according to the Sepsis-3 criteria, which describes sepsis as the life-threatening organ dysfunction caused by a dysregulated host response to infection (23). Organ dysfunction was indicated by an increase in the SOFA score ≥2 points. Septic shock was defined as a subset of sepsis in which persisting hypotension requiring vasopressors to maintain a mean arterial pressure of ≥65 mmHg and serum lactate levels >2 mmol/l despite adequate volume resuscitation, were found. Additionally, the APACHE II scoring system was utilized, which quantifies and evaluates the degree of abnormality in a number of physiological parameters and is widely used because its disease severity classification system is based on objective physiological parameters. To diagnose and clinically assess the condition of patients, SOFA scores for sepsis and septic shock were utilized. The severity of illness was assessed with APACHE II and SOFA scores on the days of blood collection. The present study was approved by the Medical Ethics Committee of The Fifth Medical Center, Chinese People's Liberation Army General Hospital (approval no. ky-2019-1-4; Beijing, China) and all subjects provided written informed consent. All procedures involving human participants were performed in accordance with The Declaration of Helsinki.

Blood samples

From September 2017 to January 2019, the development of initial suspected sepsis was tracked in 96 patients (age, 18-71 years; 40 males and 56 females). As controls, 25 healthy adult volunteers (age, 25-56 years; 17 males and 8 females) were recruited at the same time, according to local laws and regulations (21,22). A total of ~2 ml blood was collected within the first 48 h of hospital admission from all patients and the blood was also collected from healthy adult volunteers. To dynamically analyze the laboratory parameters, blood samples were also obtained from each patient at the treatment endpoint, in accordance with clinical assessment of the patient by the critical care team. The end of therapy (before discharge or death) was the preferred time for treatment endpoint blood extraction. After patients reached the treatment endpoint, the test results of laboratory parameters from blood samples meeting the criterion for inclusion were analyzed. Notably, unlike previous studies (31-33) in which blood was collected at a fixed time (typically 7 or 14 days after admission) and compared with admission samples, the present study directly collected samples at the treatment endpoint after fully considering the dynamic changes in the individual condition and uncertain characteristics of prognosis of each patient. Platelet-rich plasma (PRP) and plasma samples were separated for further analysis. Approximately half of the blood sample was used to separate PRP and the remaining fraction was used to separate plasma. The anti-coagulated blood was centrifuged for 10 min at 146 x g at room temperature to obtain PRP, then centrifuged for 10 min at 1,200 x g to obtain plasma. Plasma was stored at -70˚C until further use.

Platelet activation

P-selectin (CD62P), an indicator of platelet activation, is stored in α-granules of platelets and rapidly transported to the plasma membrane upon activation. P-selectin is hypothesized to mediate the initial adhesive interactions of activated platelets to neutrophils and monocytes during hemostasis. Phycoerythrin (PE)-conjugated CD62P monoclonal antibody (catalogue number: 555524, BD Biosciences) was used to detect changes in platelet activation, according to the manufacturer's instructions. Briefly, 100 µl blood and 15 µl PE-conjugated CD62P monoclonal antibody were co-incubated for 30 min at 37˚C in the dark. Blood samples were immediately prepared for flow cytometry using OptiLyse C No-Wash Lysing Solution (catalogue number: A11895, Beckman Coulter, Inc.) according to the manufacturer's instructions. Before analysis with a flow cytometer (BD Accuri C6) and FlowJo v.10.7. (BD Biosciences), the samples were filtered with a 70-µm cell strainer (BD Biosciences). A total of 20,000 events were acquired and platelets were detected in the platelet-specific gate (35) and channels (FL2) by flow cytometry. An increase in mean FL2 represented enhanced platelet activation. A parallel incubation in which PE-labeled mouse IgG κ isotype control (BD Biosciences) was added instead of PE-conjugated CD62P monoclonal antibody was used as a negative control. Results were calculated as the mean of triplicate readings for each patient.

Platelet Mmp

Depolarization of Mmp (ΔΨm) is observed during early apoptosis (31). Changes in platelet Mmp were determined by staining with cationic dye 5,5',6,6'-tetrachloro-1,1',3,3'-tetraethylbenzimidazolylcarbocyanine iodide (JC-1; Molecular Probes; Thermo Fisher Scientific, Inc). Specifically, 50 µl PRP was incubated with 500 µl JC-1 working solution at 37˚C with 5% CO2 for 10 min in the dark. Following filtration with a 70-µm cell strainer, samples were analyzed with a flow cytometer (BD Biosciences) Accuri C6) and FlowJo v.10.7. (BD Biosciences). A total of 20,000 events were acquired and platelets were detected in the platelet-specific gate. The results are presented as a ratio of the mean FL2 and FL1; decrease in the FL2:FL1 ratio (Mmp-Index) indicated a loss in Mmp (31). A parallel incubation in which carbonyl cyanide m-chlorophenylhydrazone (MedChemExpress) at 25 µM was added instead of JC-1 as control.

Platelet plasma membrane asymmetry

Platelet apoptosis is characterized by certain morphological features, including loss of plasma membrane asymmetry and phosphatidylserine exposure (25,36). Changes in platelet plasma membrane asymmetry were measured using allophycocyanin (APC)-conjugated annexin V (BD Biosciences) binding to phosphatidylserine translocated from the inner to the outer leaflet of the plasma membrane. For the detection of phosphatidylserine exposure, 50 µl PRP was incubated with 5 µl APC-conjugated annexin V and 10 µl fluorescein isothiocyanate (FITC)-conjugated CD41a monoclonal antibody (catalogue number: 555466, BD Biosciences) for 30 min at room temperature in the dark. Following filtration with a 70-µm cell strainer, samples were analyzed with flow cytometer (BD Accuri C6) and FlowJo v.10.7. (BD Biosciences). A total of 20,000 events were acquired and platelets were detected in the platelet-specific gate (32). The gates for intact platelets were set using the FITC-conjugated CD41a antibody. An increase in mean FL4 indicated enhanced platelet apoptosis. The mean of triplicate readings for each patient was recorded.

Analysis of TWEAK and Ang-2 plasma levels

TWEAK is involved in various inflammatory responses, including promoting apoptosis and neovascularization, as well as inducing expression of endothelial cell adhesion molecules and pro-inflammatory cytokines (25). Ang-2 belongs to a family of vascular growth factors and is associated with disrupted vascularization, promoted cell death and neovascularization (26). The plasma levels of TWEAK and Ang-2 were investigated using commercially available ELISA kits (Human TWEAK ELISA kit, Catalogue number: ELH-TWEAK; Human ANGPT2 ELISA kit, Catalogue number: ELH-Angiopoietin2; RayBiotech, Inc.), according to the manufacturer's instructions.

Statistical analysis

Normally distributed data are expressed as the mean ± standard deviation of triplicate readings. Differences between groups were analyzed using unpaired Student's t-test, one-way ANOVA followed by Tukey's multiple comparison test or mixed ANOVA followed by Bonferroni's multiple comparison method. Receiver operator characteristic (ROC) curves were used to identify association between biomarkers and diagnosis (sepsis or septic shock). Correlations between laboratory parameters and clinical disease score were calculated using Spearman's rank correlation coefficients. Statistical analysis was performed using SPSS software (IBM Corp.; version 22.0) and GraphPad Prism 9 (GraphPad Software, Inc.). P<0.05 was considered to indicate a statistically significant difference.

Results

Characteristics of subjects

When combining the results of clinical diagnosis, patient prognosis and sample collection, 39 samples from patients without sepsis and 26 patients lacking blood samples from the treatment endpoint were. A total of 31 patients (mean age, 66.00±15.51 years; 19 males and 12 females) with sepsis or septic shock were included in the study (Table I). The overall mortality rate was 51.61% (16 patients were deceased). The mean APACHE II and SOFA scores were 21.48±5.82 and 8.06±2.99, respectively. The mean platelet count in the patients was 158.39±94.0x109/l. The cause of disease was pulmonary infection in 24 patients, urinary infection in two patients, abdominal infection in one patient and bloodstream infection in four patients. The 25 healthy controls comprised 17 males and 8 females with a mean age of 39.20±9.46 years. Additionally, considering the possible impact of the age difference between patient and control groups on the results, its influence was clarified through correlation analysis. There were no significant correlations between patient age and other platelet-associated parameters in patients with sepsis (Fig. S1). The study design is illustrated in Fig. 1, and representative flow cytometry dot plots of platelet-associated markers are shown in Fig. S2.

Figure 1

Flow chart of the study design.

Table I

Demographic and clinical characteristics of subjects included in analysis.

Table I

Demographic and clinical characteristics of subjects included in analysis.

CharacteristicSepsis (n=19)Septic shock (n=12)Control (n=25)
Mean age, years66.94±14.5264.58±17.4639.20±9.46
Sex, n   
     Male10917
     Female938
Non-survivors, n97NA
APACHE II score21.16±6.2322.00±5.33NA
SOFA score7.53±3.018.92±2.87NA
Mean platelet count, x1011/l1.69±0.831.41±1.091.86±0.44
Site of infection, n   
     Pulmonary159NA
     Urinary11NA
     Abdominal10NA
     Bloodstream22NA

[i] Non-survivors, patients who were deceased at the end of clinical treatment. Data are presented as the mean ± standard deviation. APACHE II, acute physiology and chronic health evaluation II; SOFA, sequential/sepsis-related organ failure assessment; NA, not applicable.

Laboratory parameters of patients with sepsis and septic shock

Parameters were significantly different between the patients and healthy controls (P-values ranged from <0.0001 to 0.0330; Table II). ROC curve (Fig. S3) revealed the following area under the curve (AUC) values: Platelet activation, 1.0 (P<0.0001); Mmp-Index, 0.76 (P=0.0009); apoptosis of platelets, 0.96 (P<0.0001); plasma TWEAK level, 0.72 (P=0.0055) and plasma Ang-2 level, 0.92 (P<0.0001). Furthermore, patients with septic shock exhibited higher levels of phosphatidylserine on the surface of platelets than patients with sepsis (P=0.0004).

Table II

Laboratory parameters.

Table II

Laboratory parameters.

 P-value
ParameterSepsisSeptic shockControlSepsis vs. controlSeptic shock vs. controlSepsis vs. septic shock
Platelet activation (CD62P-PE)1,196.9±543.51,215.2±723.6328.9±16.8<0.0001<0.00010.9940
Mmp-Index2.9±1.02.1±1.43.8±0.80.0330<0.00010.0490
Apoptosis (Annexin V-APC)398.4±48.7498.8±125.2333.6±24.30.0060<0.00010.0004
TWEAK, pg/ml158.6±63.1165.0±52.6273.4±145.90.00500.00700.9560
Ang-2, ng/ml5.8±4.77.6±4.91.4±0.60.0040<0.00010.0020

[i] Data are presented as the mean ± standard deviation. Mmp, mitochondrial membrane potential; TWEAK, tumor necrosis factor-like weak inducer of apoptosis; Ang-2, angiopoietin-2; APC, allophycocyanin; PE, phycoerythrin.

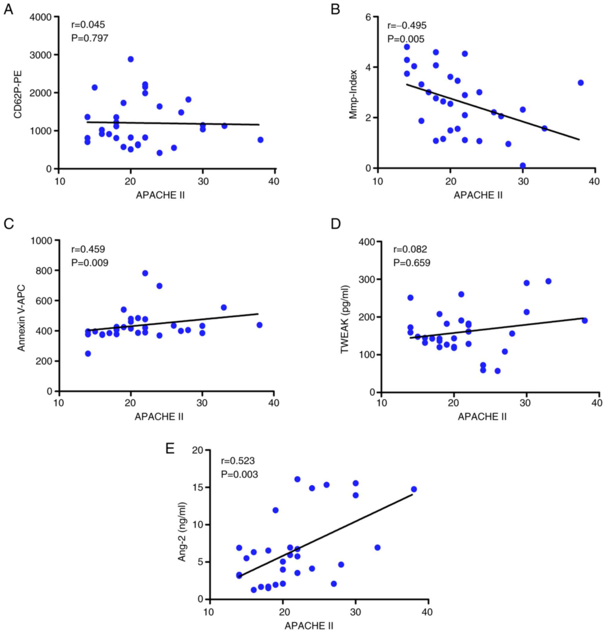
Correlation between laboratory parameters and APACHE II scores

When stratifying patients with sepsis and septic shock by clinical condition, the APACHE II score of patients was significantly correlated with platelet Mmp-Index (r=-0.495, P=0.005; Fig. 2B), phosphatidylserine exposure (r=0.459, P=0.009; Fig. 2C) and Ang-2 levels (r=0.523, P=0.003; Fig. 2E). Therefore, the changes in these three parameters reflected disease status and were correlated with APACHE II score. By contrast, there were no significant correlations with APACHE II score for the other two parameters, namely platelet activation (r=0.045, P=0.797) and plasma TWEAK levels (r=0.082, P=0.659; Fig. 2A and D).

Figure 2

Correlation of laboratory parameters with APACHE II score. Platelet (A) activation, (B) Mmp-Index and (C) apoptosis. Plasma (D) TWEAK and (E) Ang-2 levels. P<0.05 was considered to indicate a statistically significant difference; r-values indicate correlation coefficient. APACHE II, acute physiology and chronic health evaluation II; Mmp, mitochondrial membrane potential; TWEAK, tumor necrosis factor-like weak inducer of apoptosis; Ang-2, angiopoietin-2; APC, allophycocyanin; PE, phycoerythrin.

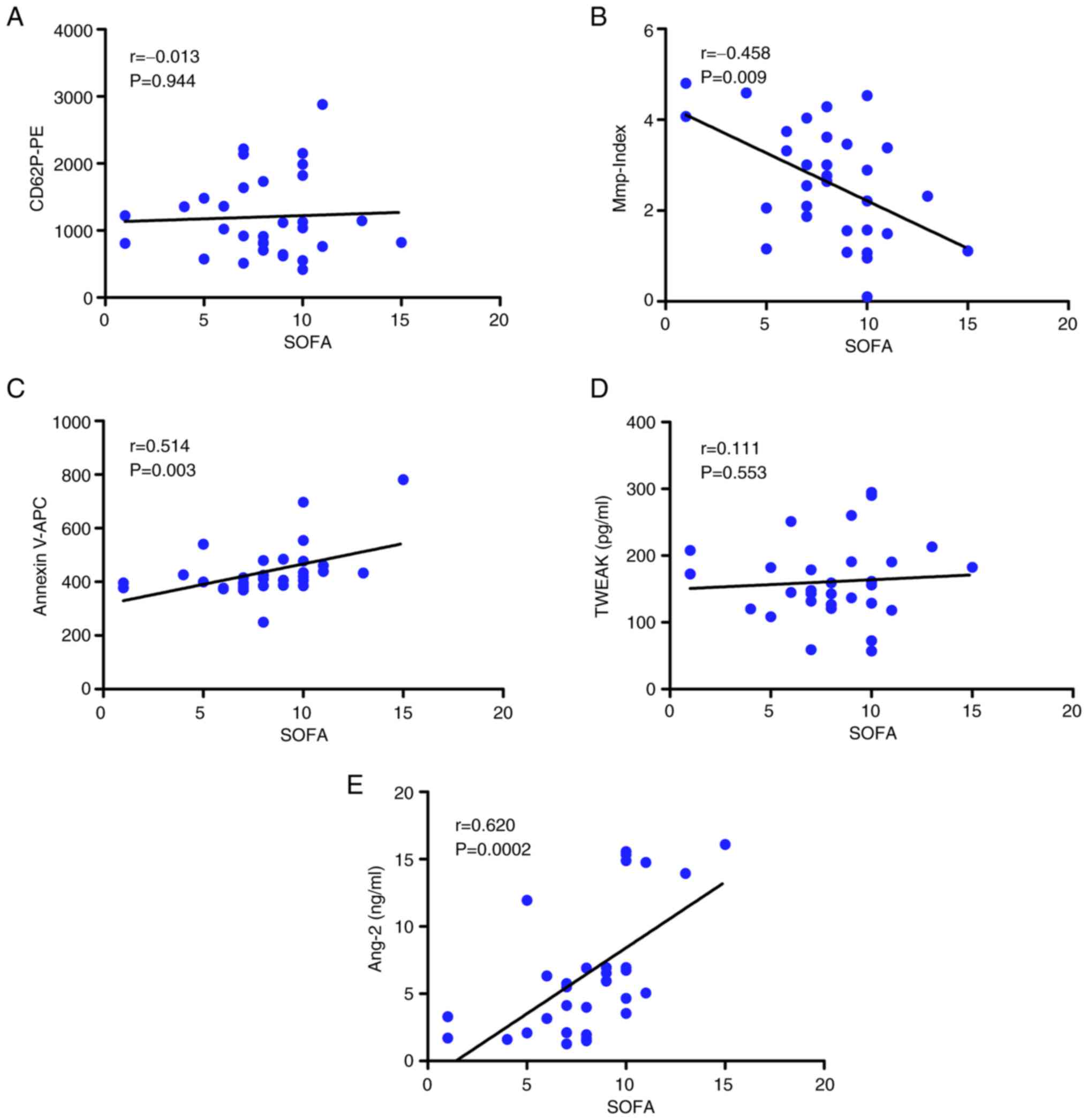
Correlation between laboratory parameters and SOFA scores

The SOFA score of patients (sepsis and septic shock groups) was significantly correlated with platelet Mmp-Index (r=-0.458, P=0.009; Fig. 3B), phosphatidylserine exposure (r=0.514, P=0.003; Fig. 3C) and Ang-2 levels (r=0.620, P=0.0002; Fig. 3E). SOFA score was not significantly correlated with platelet activation (r=-0.013, P=0.944) or plasma TWEAK levels (r=0.111, P=0.553; Fig. 3A and D).

Figure 3

Correlation of laboratory parameters with SOFA score. Platelet (A) activation, (B) Mmp-Index and (C) apoptosis. Plasma (D) TWEAK and (E) Ang-2 levels. P<0.05 was considered to indicate a statistically significant difference; r-values represent the correlation coefficient. SOFA, sequential/sepsis-related organ failure assessment; Mmp, mitochondrial membrane potential; TWEAK, tumor necrosis factor-like weak inducer of apoptosis; Ang-2, angiopoietin-2; APC, allophycocyanin; PE, phycoerythrin.

Correlation between laboratory parameters and clinical disease outcome

The prognostic determination in sepsis is key; therefore the present study analyzed the correlation between specific detection indicators and clinical outcomes to provide a basis for assessing clinical progression of the disease.

Laboratory parameters of all participants were compared between the surviving patients and the healthy (control) group. There were significant between-group differences in platelet activation (1,060.13±336.18 vs. 328.94±16.82, P<0.001; Fig. 4A), phosphatidylserine exposure (389.68±27.15 vs. 333.55±24.27, P<0.001; Fig. 4C) and plasma levels of TWEAK (169.04±79.03 vs. 273.41±145.98, P=0.006; Fig. 4D) and Ang-2 (2.28±1.08 vs. 1.40±0.62, P=0.01; Fig. 4E), but not in platelet Mmp-Index values (3.2807±0.94 vs. 3.80±0.84, P=0.077; Fig. 4B). However, in patients with sepsis, no significant correlations were detected between patient age and platelet activation (r=-0.147, P=0.437), Mmp-Index values (r=-0.128, P=0.499), phosphatidylserine exposure (r=0.264, P=0.158) or plasma levels of TWEAK (r=0.312, P=0.093) or Ang-2 (r=0.148, P=0.436; Fig. S1). These results indicated that notable changes in the parameters had occurred within a short period after disease onset in the survivor group and between-group differences were not attributable to age difference.

Figure 4

Laboratory parameters in the survivor and control groups. Platelet (A) activation, (B) Mmp-Index and (C) apoptosis. Plasma (D) TWEAK and (E) Ang-2 levels. *P<0.05, **P<0.01 and ***P<0.001. Mmp, mitochondrial membrane potential; TWEAK, tumor necrosis factor-like weak inducer of apoptosis; Ang-2, angiopoietin-2; APC, allophycocyanin; PE, phycoerythrin; ns, not significant.

Samples were grouped by clinical disease outcomes in the treatment endpoint group and a mixed ANOVA with clinical disease outcomes (level 2, survivors and non-survivors) as a between-subject comparison and sample extraction time (level 2, admission and treatment endpoint) as a within-subject comparison was used (Tables SI and SII). The results revealed significant group-by-time interactions for platelet activation level (F=17.188, P<0.001), Mmp-Index (F=24.855, P<0.001), phosphatidylserine exposure (F=8.410, P=0.007) and Ang-2 (F=21.055, P<0.001). No significant group-by-time interactions for TWEAK (F=1.036, P=0.317) were found (Tables SII). Simple effects analysis was performed for clinical outcome at each level of time, with an α level of 0.0125 for each test. The results revealed significant differences in platelet Mmp-Index (P<0.001), phosphatidylserine exposure (P=0.001) and plasma Ang-2 levels (P<0.001) between survivors and non-survivors. By contrast, platelet activation (P=0.028) and plasma TWEAK levels (P=0.299) were not significantly different between survivors and non-survivors (Fig. 5A-E; Table SI). Furthermore, among the survivors, the admission and treatment endpoint groups were compared; phosphatidylserine exposure (P=0.006) and plasma Ang-2 levels (P=0.007) were significantly different (Fig. 5C and E). However, there were no significant differences in platelet activation (P=0.039) and Mmp-Index values (P=0.038) or plasma TWEAK levels (P=0.550; Fig. 5A, B and D). In the group of non-survivors, there were significant differences in platelet activation (P=0.003) and Mmp-Index values (P<0.001) and plasma Ang-2 (P=0.004; Fig. 5A, B and E), but not in phosphatidylserine exposure (P=0.019) or plasma levels of TWEAK (P=0.138; Fig. 5C and D).

Figure 5

Laboratory parameters of survivors and non-survivors in the patient group. Platelet (A) activation, (B) Mmp-Index and (C) apoptosis. Plasma (D) TWEAK and (E) Ang-2 levels. The solid circles and triangles represent admission and treatment endpoint, respectively. Simple effects analysis was conducted at each level of sample extraction time (admission and treatment endpoint) with an α level of 0.0125 for each test. Mmp, mitochondrial membrane potential; TWEAK, tumor necrosis factor-like weak inducer of apoptosis; Ang-2, angiopoietin-2; ns, not significant.

This suggested that platelet activation and Mmp-Index and plasma Ang-2 in patients in non-survivors was significantly different compared with when they were admitted to hospital. Additionally, due to the limited sample size of the present study, the potential impact of sex differences was analyzed. Sex had no effect on the results (Fig. S4; Tables SIII and SIV).

Discussion

Although critical care technologies have improved, the prevalence and fatality rates of sepsis are still increasing (1,2). A frequent complication of sepsis is the development of organ dysfunction (1,2). Platelets are implicated in endothelial damage and take part in the pathogenesis of tissue damage in sepsis. For example, in sepsis-induced acute kidney injury, leukocytes and platelet adhesion dysfunction induce renal microvascular alterations (8). The pathogenesis of sepsis is complicated and has not yet been fully elucidated. As an independent risk factor, thrombocytopenia is used to predict prognosis of critically ill patients, and platelets play an important role in thrombocytopenia, sepsis inflammation and blood coagulation (37). Therefore, platelet-associated parameters may provide effective biomarkers for disease prognosis.

Platelet activation and sepsis are connected and activated platelets undergo apoptosis (3,6,25). The present study involved three apoptosis-associated parameters, namely platelet Mmp-Index, phosphatidylserine exposure and plasma TWEAK levels. The mitochondria-mediated intrinsic pathway and death receptor-mediated extrinsic pathway are the primary initiators of apoptosis. During the early stages of apoptosis induced by the intrinsic pathway, Mmp depolarization is often observed, leading to changes in certain morphological features, including loss of plasma membrane asymmetry and phosphatidylserine exposure (38). TWEAK belongs to the TNF receptor superfamily and induces platelet apoptosis via the extrinsic pathway (25). Therefore, in addition to analysis of platelet Mmp-Index values and phosphatidylserine exposure, TWEAK was assessed.

To the best of our knowledge, the present study is the first to demonstrate that the detected parameters had specificity as biomarkers for diagnosing sepsis in all patients. Additionally, correlations were observed between phosphatidylserine exposure, platelet Mmp-Index values, plasma Ang-2 levels and clinical scores.

ROC curve analysis demonstrated that the platelet activation level was more powerful than the other parameters for prediction of sepsis and septic shock in patients. The AUC of the platelet activation level was 1.0 with an optimal cut-off of 359.5. By comparison, AUCs of platelet Mmp-Index, apoptosis of platelets, and plasma levels of TWEAK and Ang-2 were 0.76, 0.96, 0.72 and 0.92, respectively. This analysis supports the conclusion that platelet activation may be a useful risk factor in sepsis. Meta-analyses have shown that the cut-off value of plasma Ang-2 as a biomarker is 3.2 ng/ml (33,39). The present study found a cut-off value of plasma Ang-2 of 2.85 ng/ml. This discrepancy may be due to the criteria for volunteers that were included. Therefore, further large-sample, multicenter studies are required to verify these results.

In the present study, P-selectin expression on platelets and plasma TWEAK levels were not correlated with clinical score. One possible explanation for these results is that the enrolled patients had different basic diseases. In patients with sepsis who undergo direct hemoperfusion with polymyxin B immobilized cartridge treatment, TNF expression and serum release are enhanced during inflammation (25). However, animal experiments suggest that TWEAK is stably expressed in multiple tissues, and its mRNA expression level is downregulated in autoimmune disease (34,35). In line with these results, the present study showed a decrease in plasma TWEAK levels between the admission and treatment endpoint groups Certain studies have shown that, although TWEAK is associated with TNF superfamily ligands and metabolic status of patients, there is no correlation between TWEAK and body mass index, age, sex or underlying disease (25,40). This indicates that decreased plasma TWEAK levels are a general feature of sepsis. TWEAK levels have been shown to be independent of disease stage (34,40).

The results of the current study are different from those reported by Gründler et al (31). In their study, significant recovery of platelet Mmp-Index was observed in the group of survivors (0.235 to 0.9), whereas persistently low platelet Mmp-Index values (<0.5) were recorded in non-survivors group. The inconsistencies between these results may be associated with multiple factors. Firstly, the criteria for assessing the study groups were different. In the present study, data was collected from the treatment endpoint, which is different from the 7th day of admission to the hospital used in the aforementioned study. Secondly, the grouping of patients between was different. The present study used the Sepsis-3 criteria, in which severe sepsis is not included as a concept.

There is an interaction between endothelial cells and platelets. The structural stability of endothelial cells is associated with changes in platelet function (41). Among the endothelial angiopoietins associated with stability of the vascular endothelium structure, Ang-1 and Ang-2 have been studied in depth (42,43). There are several reports on Ang-2/Ang-1, Ang-1/TEK tyrosine kinase (Tie-2) and Ang-2/Tie-2 as prognostic biomarkers (41,44,45). The extensive loss of vascular endothelial function is related to the severity of disease (44-46). Kümpers et al (32) injected lipopolysaccharide (4 ng/kg) into 22 healthy volunteers and found that the Ang-2 levels in their blood reached a peak of 4.5 h after injection. Ang-2 levels also peaked earlier than endothelial cell-specific adhesion molecules, such as E-selectin and intercellular adhesion molecule-1, demonstrating that Ang-2 responded faster than other sepsis-associated biomarkers and therefore had advantages in the early diagnosis of sepsis. The results of the present study demonstrated that patients who survived had significantly lower post-treatment plasma Ang-2 levels compared with those measured on admission to the hospital. These results are consistent with previous studies (32,41,45), suggesting that the use of plasma Ang-2 alone for prognostic evaluation is effective. Additionally, a meta-analysis by Liu et al (46) indicated that the sensitivity of Ang-2 level alone (82%) for sepsis diagnosis is higher than the sensitivities of the current commonly used (46,47) clinical markers PCT (79%) and CRP (75%).

Here, the results on platelet phosphatidylserine exposure were notable. This parameter is associated with the pathological mechanism of sepsis, which is evident by its correlation with clinical scores. However, there was no significant difference in the detection value of phosphatidylserine exposure in patients with sepsis with clinical outcomes at admission. Levels of phosphatidylserine in platelets was found to be significantly lower in survivors than in non-survivors. This suggested that sepsis aggravated apoptosis of platelets in patients with different clinical outcomes. Therefore, the potential use of platelet phosphatidylserine exposure as a biomarker for prognosis of sepsis needs to be verified with a larger number of samples.

Because of the limited sample size, the patients and controls in the present study were not completely matched for sex and age. However, there were no significant correlations between patient age or sex and other platelet-associated parameters in patients with sepsis. Certain reports have indicated that expression levels of cytokines, such as TWEAK, are correlated with the sex and age of patients with sepsis (40,41,44). Therefore, these inconsistencies need to be further evaluated in a study with a larger number of samples.

In summary, sepsis is a complicated disease due to the combined effects of bacterial toxins, inflammatory mediators, reactive oxygen species and imbalances between energy supply and demand (1,4-6). Here, the dynamic monitoring of phosphatidylserine exposure, platelet Mmp-Index values and plasma Ang-2 levels was effective for prognosis assessment of sepsis.

Supplementary Material

Correlation of laboratory parameters with patient age at admission. Platelet (A) activation, (B) Mmp-Index and (C) apoptosis. Plasma (D) TWEAK and (E) Ang-2 levels. P<0.05 was considered to indicate a statistically significant difference; r-values indicate correlation coefficient. Mmp, mitochondrial membrane potential; TWEAK, tumor necrosis factor-like weak inducer of apoptosis; Ang-2, angiopoietin-2; APC, allophycocyanin; PE, phycoerythrin.
Representative flow cytometry dot plots of platelet-associated markers. G1 gate was set based on the reaction of the platelets with CD62P-PE. Q2 gate was set based on the reaction of the platelets with FITC-conjugated CD41a antibody/APC-conjugated annexin V. P1 and P2 gates were set based on the reaction of the platelets with cationic dye JC-1. Healthy indicates the healthy control group. SSC-A, side scatter-area; APC, allophycocyanin; PE, phycoerythrin; FITC, fluorescein isothiocyanate; Mmp, mitochondrial membrane potential.
ROC curves of laboratory parameters for the diagnosis of sepsis and septic shock. Platelet (A) activation, (B) Mmp-Index and (C) apoptosis. Plasma (D) TWEAK and (E) Ang-2 levels. ROC, receiver operator curve; AUC, area under the curve; Mmp, mitochondrial membrane potential; TWEAK, tumor necrosis factor-like weak inducer of apoptosis; Ang-2, angiopoietin-2; APC, allophycocyanin; PE, phycoerythrin. P<0.05 was considered to indicate a statistically significant difference.
Laboratory parameters of males and females in the patient group. Platelet (A) activation, (B) Mmp-Index and (C) apoptosis. Plasma (D) TWEAK and (E) Ang-2 levels. The solid circles and triangles represent admission and treatment endpoint, respectively. Simple effects analysis was conducted at each level of sample extraction time (admission and treatment endpoint), with an α level of 0.0125 for each test. Mmp, mitochondrial membrane potential; TWEAK, tumor necrosis factor-like weak inducer of apoptosis; Ang-2, angiopoietin-2; ns, not significant.
Analysis of platelet-related parameters between survivors and non-survivors.
Repeated measures of platelet-related parameters between groups (non-survivors vs. survivors).
Analysis of platelet-related parameters between males and females.
Repeated measures of platelet-related parameters between group factor (male vs. female).

Acknowledgements

Not applicable.

Funding

Funding: The present study was supported by the National Science and Technology Major Project (grant no. 2018ZX10713002-002-004), the National Natural Science Foundation of China (grant no. 81571959) and the Hebei Medical Science Research Project Plan (grant no. 20220408).

Availability of data and materials

The datasets used and/or analyzed during the current study are available from the corresponding author on reasonable request.

Authors' contributions

CZ, YY and YL designed the study and revised the manuscript. CZ and XS confirm the authenticity of all the raw data. CZ, YY and XS contributed to acquisition, analysis and interpretation of the data. CZ and YY wrote the manuscript. All authors have read and approved the final manuscript.

Ethics approval and consent to participate

The present study was approved by the Medical Ethics Committee of The Fifth Medical Center, Chinese People's Liberation Army General Hospital (approval no. ky-2019-1-4; Beijing, China) and all subjects provided their written informed consent.

Patient consent for publication

Not applicable.

Competing interests

The authors declare that they have no competing interests.

References

1 

Rudd KE, Johnson SC, Agesa KM, Shackelford KA, Tsoi D, Kievlan DR, Colombara DV, Ikuta KS, Kissoon N, Finfer S, et al: Global, regional, and national sepsis incidence and mortality, 1990-2017: Analysis for the Global Burden of Disease Study. Lancet. 395:200–211. 2020.PubMed/NCBI View Article : Google Scholar

2 

An G and Cockrell RC: Agent-based modeling of systemic inflammation: A pathway toward controlling sepsis. Methods Mol Biol. 2321:231–257. 2021.PubMed/NCBI View Article : Google Scholar

3 

Kataria Y and Remick D: Sepsis Biomarkers. Methods Mol Biol. 2321:177–189. 2021.PubMed/NCBI View Article : Google Scholar

4 

Cantey JB and Lee JH: Biomarkers for the diagnosis of neonatal sepsis. Clin Perinatol. 48:215–227. 2021.PubMed/NCBI View Article : Google Scholar

5 

Odum JD, Wong HR and Stanski NL: A Precision medicine approach to biomarker utilization in pediatric sepsis-associated acute kidney injury. Front Pediatr. 9(632248)2021.PubMed/NCBI View Article : Google Scholar

6 

Dewitte A, Lepreux S, Villeneuve J, Rigothier C, Combe C, Ouattara A and Ripoche J: Blood platelets and sepsis pathophysiology: A new therapeutic prospect in critically [corrected] ill patients. Ann Intensive Care. 7(115)2017.PubMed/NCBI View Article : Google Scholar

7 

Al Saleh K and Al Qahtani RM: Platelet count patterns and patient outcomes in sepsis at a tertiary care center: Beyond the APACHE score. Medicine (Baltimore). 100(e25013)2021.PubMed/NCBI View Article : Google Scholar

8 

Bouglé A and Duranteau J: Pathophysiology of sepsis-induced acute kidney injury: The role of global renal blood flow and renal vascular resistance. Contrib Nephrol. 174:89–97. 2011.PubMed/NCBI View Article : Google Scholar

9 

Ge S, Ma Y, Xie M, Qiao T and Zhou J: The role of platelet to mean platelet volume ratio in the identification of adult-onset still's disease from sepsis. Clinics (Sao Paulo). 76(e2307)2021.PubMed/NCBI View Article : Google Scholar

10 

You S, Sun X, Zhou Y, Zhong C, Chen J, Zhai W and Cao Y: The prognostic significance of white blood cell and platelet count for inhospital mortality and pneumonia in acute ischemic stroke. Curr Neurovasc Res. 18:427–434. 2021.PubMed/NCBI View Article : Google Scholar

11 

Beyan C and Beyan E: Is mean platelet volume and inflammatory activity really correlated in patients with ankylosing spondylitis. Mod Rheumatol. 30(410)2020.PubMed/NCBI View Article : Google Scholar

12 

Demir AD: Relationship of the platelet distribution width/platelet count ratio with thyroid antibody levels in patients with Hashimoto's thyroiditis. J Int Med Res. 49(3000605211043241)2021.PubMed/NCBI View Article : Google Scholar

13 

Shen G, Li S, Shao Z, Liu L, Liu Q, Yu H, Wang H and Mei Z: Platelet indices in patients with acute appendicitis: A systematic review with meta-analysis. Updates Surg. 73:1327–1341. 2021.PubMed/NCBI View Article : Google Scholar

14 

Zhou Y, Wei F and Liu C: Mean platelet volume/platelet count ratio predicts long-term mortality in patients with infective endocarditis. Biomark Med. 14:823–827. 2020.PubMed/NCBI View Article : Google Scholar

15 

Li L, Yu J and Zhou Z: Platelet-associated parameters in patients with psoriasis: A PRISMA-compliant systematic review and meta-analysis. Medicine (Baltimore). 100(e28234)2021.PubMed/NCBI View Article : Google Scholar

16 

Jiang SQ, Huang QF, Xie WM, Lv C and Quan XQ: . The association between severe COVID-19 and low platelet count: Evidence from 31 observational studies involving 7613 participants. Br J Haematol. 190:e29–e33. 2020.PubMed/NCBI View Article : Google Scholar

17 

Chen Y, Yang Y, Cheng J, Lu J and Hu W: Platelet count and mortality of H7N9 infected patients in Guangdong, China. Platelets. 31:268–271. 2020.PubMed/NCBI View Article : Google Scholar

18 

Leli C, Di Matteo L, Gotta F, Vay D, Cavallo V, Mazzeo R, Busso S, Carrabba L and Rocchetti A: Clinical utility of platelet count for screening of malaria. New Microbiol. 43:89–92. 2020.PubMed/NCBI

19 

Kirby P, Smith S, Ward L, Hanson J and Currie BJ: Clinical Utility of Platelet Count as a Prognostic Marker for Melioidosis. Am J Trop Med Hyg. 100:1085–1087. 2019.PubMed/NCBI View Article : Google Scholar

20 

Shah D, Khataniar M, Sawhney A, Nautiyal M, Desai R and Kakar A: An observational study to see the correlation between trends of platelet counts and immature platelet fraction in dengue infection. Trop Doct. 51:378–381. 2021.PubMed/NCBI View Article : Google Scholar

21 

Zhang S, Zheng Y, Chen S, Huang S, Liu K, Lv Q, Jiang Y and Yuan Y: Suilysin-induced platelet-neutrophil complexes formation is triggered by pore formation-dependent calcium Influx. Sci Rep. 6(36787)2016.PubMed/NCBI View Article : Google Scholar

22 

Zhang S, Wang J, Chen S, Yin J, Pan Z, Liu K, Li L, Zheng Y, Yuan Y and Jiang Y: Effects of suilysin on streptococcus suis-induced platelet aggregation. Front Cell Infect Microbiol. 6(128)2016.PubMed/NCBI View Article : Google Scholar

23 

Singer M, Deutschman CS, Seymour CW, Shankar-Hari M, Annane D, Bauer M, Bellomo R, Bernard GR, Chiche JD, Coopersmith CM, et al: The third international consensus definitions for sepsis and septic shock (Sepsis-3). JAMA. 315:801–810. 2016.PubMed/NCBI View Article : Google Scholar

24 

Wang H, Kang X, Shi Y, Bai ZH, Lv JH, Sun JL and Pei HH: SOFA score is superior to APACHE-II score in predicting the prognosis of critically ill patients with acute kidney injury undergoing continuous renal replacement therapy. Ren Fail. 42:638–645. 2020.PubMed/NCBI View Article : Google Scholar

25 

Nagai M, Hirayama K, Ebihara I, Higuchi T, Imaizumi M, Maruyama H, Miyamoto Y, Kakita T, Ogawa Y, Fujita S, et al: Serum TNF-related and weak inducer of apoptosis levels in septic shock patients. Ther Apher Dial. 15:342–348. 2011.PubMed/NCBI View Article : Google Scholar

26 

Michels M, van der Ven AJ, Djamiatun K, Fijnheer R, de Groot PG, Griffioen AW, Sebastian S, Faradz SM and de Mast Q: Imbalance of angiopoietin-1 and angiopoetin-2 in severe dengue and relationship with thrombocytopenia, endothelial activation, and vascular stability. Am J Trop Med Hyg. 87:943–946. 2012.PubMed/NCBI View Article : Google Scholar

27 

Karabulut B and Alatas SO: Diagnostic Value of neutrophil to lymphocyte ratio and mean platelet volume on early onset neonatal sepsis on term neonate. J Pediatr Intensive Care. 10:143–147. 2021.PubMed/NCBI View Article : Google Scholar

28 

McDonald B and Dunbar M: Platelets and Intravascular Immunity: Guardians of the vascular space during bloodstream infections and sepsis. Front Immunol. 10(2400)2019.PubMed/NCBI View Article : Google Scholar

29 

Mangalesh S, Dudani S and Malik A: Platelet Indices and their kinetics predict mortality in patients of sepsis. Indian J Hematol Blood Transfus. 24:1–9. 2021.PubMed/NCBI View Article : Google Scholar

30 

Tunjungputri RN, van de Heijden W, Urbanus RT, de Groot PG, van der Ven A and de Mast Q: Higher platelet reactivity and platelet-monocyte complex formation in Gram-positive sepsis compared to Gram-negative sepsis. Platelets. 28:595–601. 2017.PubMed/NCBI View Article : Google Scholar

31 

Gründler K, Angstwurm M, Hilge R, Baumann P, Annecke T, Crispin A, Sohn HY, Massberg S and Kraemer BF: Platelet mitochondrial membrane depolarization reflects disease severity in patients with sepsis and correlates with clinical outcome. Crit Care. 18(R31)2014.PubMed/NCBI View Article : Google Scholar

32 

Kümpers P, van Meurs M, David S, Molema G, Bijzet J, Lukasz A, Biertz F, Haller H and Zijlstra JG: Time course of angiopoietin-2 release during experimental human endotoxemia and sepsis. Crit Care. 13(R64)2009.PubMed/NCBI View Article : Google Scholar

33 

Yamakawa K, Ogura H, Koh T, Ogawa Y, Matsumoto N, Kuwagata Y and Shimazu T: Platelet mitochondrial membrane potential correlates with severity in patients with systemic inflammatory response syndrome. J Trauma Acute Care Surg. 74:411–417. 2013.PubMed/NCBI View Article : Google Scholar

34 

Abós B, Pérez-Fernández E, Morel E, Perdiguero P and Tafalla C: Pro-Inflammatory and B Cell Regulating Capacities of TWEAK in Rainbow Trout (Oncorhynchus mykiss). Front Immunol. 12(748836)2021.PubMed/NCBI View Article : Google Scholar

35 

Manu V, Chakrabarty BK and Singh S: Analysis of platelet-activating factors in severe sepsis by flow cytometry and its correlation with clinical sepsis scoring system: A pilot study. Med J Armed Forces India. 75:429–36. 2019.PubMed/NCBI View Article : Google Scholar

36 

Lhermusier T, Chap H and Payrastre B: Platelet membrane phospholipid asymmetry: From the characterization of a scramblase activity to the identification of an essential protein mutated in Scott syndrome. J Thromb Haemost. 9:1883–1891. 2011.PubMed/NCBI View Article : Google Scholar

37 

Vinholt PJ: The role of platelets in bleeding in patients with thrombocytopenia and hematological disease. Clin Chem Lab Med. 57:1808–1817. 2019.PubMed/NCBI View Article : Google Scholar

38 

Hanafi MMM, Afzan A, Yaakob H, Aziz R, Sarmidi MR, Wolfender JL and Prieto JM: In Vitro Pro-apoptotic and anti-migratory effects of Ficus deltoidea L. plant extracts on the human prostate cancer cell lines PC3. Front Pharmacol. 8(895)2017.PubMed/NCBI View Article : Google Scholar

39 

Cao Y, Ma W, Liu Z, Pei Y, Zhu Y, Chen F, Zou L, Jiang Y, Liu X, Huang J, et al: Early predictive value of platelet function for clinical outcome in sepsis. J Infect. 84:628–636. 2022.PubMed/NCBI View Article : Google Scholar

40 

Roderburg C, Benz F, Schüller F, Pombeiro I, Hippe HJ, Frey N, Trautwein C, Luedde T, Koch A, Tacke F and Luedde M: Serum levels of TNF receptor ligands are dysregulated in sepsis and predict mortality in Critically Ill patients. PLoS One. 11(e0153765)2016.PubMed/NCBI View Article : Google Scholar

41 

Melendez E, Whitney JE, Norton JS, Silverman M, Harju-Baker S, Mikacenic C, Wurfel MM and Liles WC: Systemic Angiopoietin-1/2 dysregulation in pediatric sepsis and septic shock. Int J Med Sci. 16:318–323. 2019.PubMed/NCBI View Article : Google Scholar

42 

Hussain RM, Neiweem AE, Kansara V, Harris A and Ciulla TA: Tie-2/Angiopoietin pathway modulation as a therapeutic strategy for retinal disease. Expert Opin Investig Drugs. 28:861–869. 2019.PubMed/NCBI View Article : Google Scholar

43 

Khan M, Aziz AA, Shafi NA, Abbas T and Khanani AM: Targeting Angiopoietin in Retinal Vascular Diseases: A Literature review and summary of clinical trials involving faricimab. Cells. 9(1869)2020.PubMed/NCBI View Article : Google Scholar

44 

Wright JK, Hayford K, Tran V, Al Kibria GM, Baqui A, Manajjir A, Mahmud A, Begum N, Siddiquee M, Kain KC and Farzin A: Biomarkers of endothelial dysfunction predict sepsis mortality in young infants: A matched case-control study. BMC Pediatr. 18(118)2018.PubMed/NCBI View Article : Google Scholar

45 

Fang Y, Li C, Shao R, Yu H, Zhang Q and Zhao L: Prognostic significance of the angiopoietin-2/angiopoietin-1 and angiopoietin-1/Tie-2 ratios for early sepsis in an emergency department. Crit Care. 19(367)2015.PubMed/NCBI View Article : Google Scholar

46 

Liu Y, Hou JH, Li Q, Chen KJ, Wang SN and Wang JM: Biomarkers for diagnosis of sepsis in patients with systemic inflammatory response syndrome: A systematic review and meta-analysis. Springerplus. 5(2091)2016.PubMed/NCBI View Article : Google Scholar

47 

Matowicka-Karna J: Markers of inflammation, activation of blood platelets and coagulation disorders in inflammatory bowel diseases. Postepy Hig Med Dosw. 70:305–312. 2016.PubMed/NCBI View Article : Google Scholar

Related Articles

  • Abstract
  • View
  • Download
  • Twitter
Copy and paste a formatted citation
Spandidos Publications style
Zhang C, Shang X, Yuan Y and Li Y: Platelet‑related parameters as potential biomarkers for the prognosis of sepsis. Exp Ther Med 25: 133, 2023.
APA
Zhang, C., Shang, X., Yuan, Y., & Li, Y. (2023). Platelet‑related parameters as potential biomarkers for the prognosis of sepsis. Experimental and Therapeutic Medicine, 25, 133. https://doi.org/10.3892/etm.2023.11832
MLA
Zhang, C., Shang, X., Yuan, Y., Li, Y."Platelet‑related parameters as potential biomarkers for the prognosis of sepsis". Experimental and Therapeutic Medicine 25.3 (2023): 133.
Chicago
Zhang, C., Shang, X., Yuan, Y., Li, Y."Platelet‑related parameters as potential biomarkers for the prognosis of sepsis". Experimental and Therapeutic Medicine 25, no. 3 (2023): 133. https://doi.org/10.3892/etm.2023.11832
Copy and paste a formatted citation
x
Spandidos Publications style
Zhang C, Shang X, Yuan Y and Li Y: Platelet‑related parameters as potential biomarkers for the prognosis of sepsis. Exp Ther Med 25: 133, 2023.
APA
Zhang, C., Shang, X., Yuan, Y., & Li, Y. (2023). Platelet‑related parameters as potential biomarkers for the prognosis of sepsis. Experimental and Therapeutic Medicine, 25, 133. https://doi.org/10.3892/etm.2023.11832
MLA
Zhang, C., Shang, X., Yuan, Y., Li, Y."Platelet‑related parameters as potential biomarkers for the prognosis of sepsis". Experimental and Therapeutic Medicine 25.3 (2023): 133.
Chicago
Zhang, C., Shang, X., Yuan, Y., Li, Y."Platelet‑related parameters as potential biomarkers for the prognosis of sepsis". Experimental and Therapeutic Medicine 25, no. 3 (2023): 133. https://doi.org/10.3892/etm.2023.11832
Follow us
  • Twitter
  • LinkedIn
  • Facebook
About
  • Spandidos Publications
  • Careers
  • Cookie Policy
  • Privacy Policy
How can we help?
  • Help
  • Live Chat
  • Contact
  • Email to our Support Team