Spandidos Publications Logo
  • About
    • About Spandidos
    • Aims and Scopes
    • Abstracting and Indexing
    • Editorial Policies
    • Reprints and Permissions
    • Job Opportunities
    • Terms and Conditions
    • Contact
  • Journals
    • All Journals
    • Oncology Letters
      • Oncology Letters
      • Information for Authors
      • Editorial Policies
      • Editorial Board
      • Aims and Scope
      • Abstracting and Indexing
      • Bibliographic Information
      • Archive
    • International Journal of Oncology
      • International Journal of Oncology
      • Information for Authors
      • Editorial Policies
      • Editorial Board
      • Aims and Scope
      • Abstracting and Indexing
      • Bibliographic Information
      • Archive
    • Molecular and Clinical Oncology
      • Molecular and Clinical Oncology
      • Information for Authors
      • Editorial Policies
      • Editorial Board
      • Aims and Scope
      • Abstracting and Indexing
      • Bibliographic Information
      • Archive
    • Experimental and Therapeutic Medicine
      • Experimental and Therapeutic Medicine
      • Information for Authors
      • Editorial Policies
      • Editorial Board
      • Aims and Scope
      • Abstracting and Indexing
      • Bibliographic Information
      • Archive
    • International Journal of Molecular Medicine
      • International Journal of Molecular Medicine
      • Information for Authors
      • Editorial Policies
      • Editorial Board
      • Aims and Scope
      • Abstracting and Indexing
      • Bibliographic Information
      • Archive
    • Biomedical Reports
      • Biomedical Reports
      • Information for Authors
      • Editorial Policies
      • Editorial Board
      • Aims and Scope
      • Abstracting and Indexing
      • Bibliographic Information
      • Archive
    • Oncology Reports
      • Oncology Reports
      • Information for Authors
      • Editorial Policies
      • Editorial Board
      • Aims and Scope
      • Abstracting and Indexing
      • Bibliographic Information
      • Archive
    • Molecular Medicine Reports
      • Molecular Medicine Reports
      • Information for Authors
      • Editorial Policies
      • Editorial Board
      • Aims and Scope
      • Abstracting and Indexing
      • Bibliographic Information
      • Archive
    • World Academy of Sciences Journal
      • World Academy of Sciences Journal
      • Information for Authors
      • Editorial Policies
      • Editorial Board
      • Aims and Scope
      • Abstracting and Indexing
      • Bibliographic Information
      • Archive
    • International Journal of Functional Nutrition
      • International Journal of Functional Nutrition
      • Information for Authors
      • Editorial Policies
      • Editorial Board
      • Aims and Scope
      • Abstracting and Indexing
      • Bibliographic Information
      • Archive
    • International Journal of Epigenetics
      • International Journal of Epigenetics
      • Information for Authors
      • Editorial Policies
      • Editorial Board
      • Aims and Scope
      • Abstracting and Indexing
      • Bibliographic Information
      • Archive
    • Medicine International
      • Medicine International
      • Information for Authors
      • Editorial Policies
      • Editorial Board
      • Aims and Scope
      • Abstracting and Indexing
      • Bibliographic Information
      • Archive
  • Articles
  • Information
    • Information for Authors
    • Information for Reviewers
    • Information for Librarians
    • Information for Advertisers
    • Conferences
  • Language Editing
Spandidos Publications Logo
  • About
    • About Spandidos
    • Aims and Scopes
    • Abstracting and Indexing
    • Editorial Policies
    • Reprints and Permissions
    • Job Opportunities
    • Terms and Conditions
    • Contact
  • Journals
    • All Journals
    • Biomedical Reports
      • Information for Authors
      • Editorial Policies
      • Editorial Board
      • Aims and Scope
      • Abstracting and Indexing
      • Bibliographic Information
      • Archive
    • Experimental and Therapeutic Medicine
      • Information for Authors
      • Editorial Policies
      • Editorial Board
      • Aims and Scope
      • Abstracting and Indexing
      • Bibliographic Information
      • Archive
    • International Journal of Epigenetics
      • Information for Authors
      • Editorial Policies
      • Editorial Board
      • Aims and Scope
      • Abstracting and Indexing
      • Bibliographic Information
      • Archive
    • International Journal of Functional Nutrition
      • Information for Authors
      • Editorial Policies
      • Editorial Board
      • Aims and Scope
      • Abstracting and Indexing
      • Bibliographic Information
      • Archive
    • International Journal of Molecular Medicine
      • Information for Authors
      • Editorial Policies
      • Editorial Board
      • Aims and Scope
      • Abstracting and Indexing
      • Bibliographic Information
      • Archive
    • International Journal of Oncology
      • Information for Authors
      • Editorial Policies
      • Editorial Board
      • Aims and Scope
      • Abstracting and Indexing
      • Bibliographic Information
      • Archive
    • Medicine International
      • Information for Authors
      • Editorial Policies
      • Editorial Board
      • Aims and Scope
      • Abstracting and Indexing
      • Bibliographic Information
      • Archive
    • Molecular and Clinical Oncology
      • Information for Authors
      • Editorial Policies
      • Editorial Board
      • Aims and Scope
      • Abstracting and Indexing
      • Bibliographic Information
      • Archive
    • Molecular Medicine Reports
      • Information for Authors
      • Editorial Policies
      • Editorial Board
      • Aims and Scope
      • Abstracting and Indexing
      • Bibliographic Information
      • Archive
    • Oncology Letters
      • Information for Authors
      • Editorial Policies
      • Editorial Board
      • Aims and Scope
      • Abstracting and Indexing
      • Bibliographic Information
      • Archive
    • Oncology Reports
      • Information for Authors
      • Editorial Policies
      • Editorial Board
      • Aims and Scope
      • Abstracting and Indexing
      • Bibliographic Information
      • Archive
    • World Academy of Sciences Journal
      • Information for Authors
      • Editorial Policies
      • Editorial Board
      • Aims and Scope
      • Abstracting and Indexing
      • Bibliographic Information
      • Archive
  • Articles
  • Information
    • For Authors
    • For Reviewers
    • For Librarians
    • For Advertisers
    • Conferences
  • Language Editing
Login Register Submit
  • This site uses cookies
  • You can change your cookie settings at any time by following the instructions in our Cookie Policy. To find out more, you may read our Privacy Policy.

    I agree
Search articles by DOI, keyword, author or affiliation
Search
Advanced Search
presentation
Experimental and Therapeutic Medicine
Join Editorial Board Propose a Special Issue
Print ISSN: 1792-0981 Online ISSN: 1792-1015
Journal Cover
May-2025 Volume 29 Issue 5

Full Size Image

Sign up for eToc alerts
Recommend to Library

Journals

International Journal of Molecular Medicine

International Journal of Molecular Medicine

International Journal of Molecular Medicine is an international journal devoted to molecular mechanisms of human disease.

International Journal of Oncology

International Journal of Oncology

International Journal of Oncology is an international journal devoted to oncology research and cancer treatment.

Molecular Medicine Reports

Molecular Medicine Reports

Covers molecular medicine topics such as pharmacology, pathology, genetics, neuroscience, infectious diseases, molecular cardiology, and molecular surgery.

Oncology Reports

Oncology Reports

Oncology Reports is an international journal devoted to fundamental and applied research in Oncology.

Experimental and Therapeutic Medicine

Experimental and Therapeutic Medicine

Experimental and Therapeutic Medicine is an international journal devoted to laboratory and clinical medicine.

Oncology Letters

Oncology Letters

Oncology Letters is an international journal devoted to Experimental and Clinical Oncology.

Biomedical Reports

Biomedical Reports

Explores a wide range of biological and medical fields, including pharmacology, genetics, microbiology, neuroscience, and molecular cardiology.

Molecular and Clinical Oncology

Molecular and Clinical Oncology

International journal addressing all aspects of oncology research, from tumorigenesis and oncogenes to chemotherapy and metastasis.

World Academy of Sciences Journal

World Academy of Sciences Journal

Multidisciplinary open-access journal spanning biochemistry, genetics, neuroscience, environmental health, and synthetic biology.

International Journal of Functional Nutrition

International Journal of Functional Nutrition

Open-access journal combining biochemistry, pharmacology, immunology, and genetics to advance health through functional nutrition.

International Journal of Epigenetics

International Journal of Epigenetics

Publishes open-access research on using epigenetics to advance understanding and treatment of human disease.

Medicine International

Medicine International

An International Open Access Journal Devoted to General Medicine.

Journal Cover
May-2025 Volume 29 Issue 5

Full Size Image

Sign up for eToc alerts
Recommend to Library

  • Article
  • Citations
    • Cite This Article
    • Download Citation
    • Create Citation Alert
    • Remove Citation Alert
    • Cited By
  • Similar Articles
    • Related Articles (in Spandidos Publications)
    • Similar Articles (Google Scholar)
    • Similar Articles (PubMed)
  • Download PDF
  • Download XML
  • View XML
Review Open Access

Anti‑atherosclerotic effect of aged garlic extract: Mode of action and therapeutic benefits (Review)

  • Authors:
    • Satomi Miki
    • Miyuki Takashima
    • Jun-Ichiro Suzuki
  • View Affiliations / Copyright

    Affiliations: Central Research Institute, Wakunaga Pharmaceutical Co., Ltd., Hiroshima 739-1195, Japan, Drug Discovery Laboratory, Wananga Pharmaceutical Co., Ltd., Hiroshima 739-1195, Japan
    Copyright: © Miki et al. This is an open access article distributed under the terms of Creative Commons Attribution License.
  • Article Number: 104
    |
    Published online on: March 26, 2025
       https://doi.org/10.3892/etm.2025.12854
  • Expand metrics +
Metrics: Total Views: 0 (Spandidos Publications: | PMC Statistics: )
Metrics: Total PDF Downloads: 0 (Spandidos Publications: | PMC Statistics: )
Cited By (CrossRef): 0 citations Loading Articles...

This article is mentioned in:



Abstract

Atherosclerosis, a chronic inflammatory disease characterized by plaque buildup within the arteries that obstructs blood flow and significantly increases the morbidity and mortality rates associated with cardiovascular diseases caused by impaired blood flow due to vascular stenosis or occlusion, such as angina and myocardial infarction. The development of atherosclerosis involves a complex interplay of endothelial dysfunction, accumulation of oxidized low‑density lipoprotein and macrophage‑driven inflammation. The risk factors for atherosclerosis include chronic inflammation, hyperlipidemia and hypertension. Effective management of these risk factors can prevent and delay the onset and progression of atherosclerosis. Garlic and its processed preparations have previously been utilized to mitigate cardiovascular risk factors and continue to be used in traditional medicine in several countries. Among these preparations, aged garlic extract (AGE) has been shown to improve atherosclerosis in clinical trials and animal studies. AGE contains various compounds with potential anti‑atherosclerotic properties, such as S‑1‑propenylcysteine, S‑allylcysteine and other sulfur‑containing constituents, which may help prevent the development and progression of atherosclerosis. The present manuscript reviewed and discussed the anti‑atherogenic effect of AGE and its constituents by highlighting their mode of action and potential benefits for prevention and therapy in the management of atherosclerosis.

1. Introduction

Cardiovascular diseases (CVDs) including coronary heart disease, cerebrovascular disease and rheumatic heart disease are the leading cause of death worldwide, claiming ~17.9 million lives annually. The major cause of CVDs is atherosclerosis, an inflammatory disease that occurs in vessel walls (1,2). The development of arteriosclerosis is associated with various factors, including increased shear stress due to hypertension (3,4), inflammation induced by damage-associated molecular patterns (DAMPs) from dead cells (5-7) and augmentation of oxidation and glycation products resulting from hyperlipidemia including hypercholesterolemia (8,9) and hyperglycemia (10,11). These factors contribute to the damage of vascular endothelial cells, which subsequently leads to the accumulation of low-density lipoprotein (LDL) cholesterol and migration of circulating monocytes into the blood vessel wall (12,13). The infiltrated monocytes differentiate into macrophages, which phagocytose oxidized LDL (oxLDL) and become foam cells, leading to the formation of plaque with a lipid core (14,15). Subsequently, the progression of fibrosis and calcification of the plaque make the plaque unstable and prone to rupture. Plaque rupture and subsequent thrombus formation can trigger cerebral or myocardial infarction (16). Thus, proper reduction of these risk factors can help prevent and/or slow both the onset and progression of atherosclerosis.

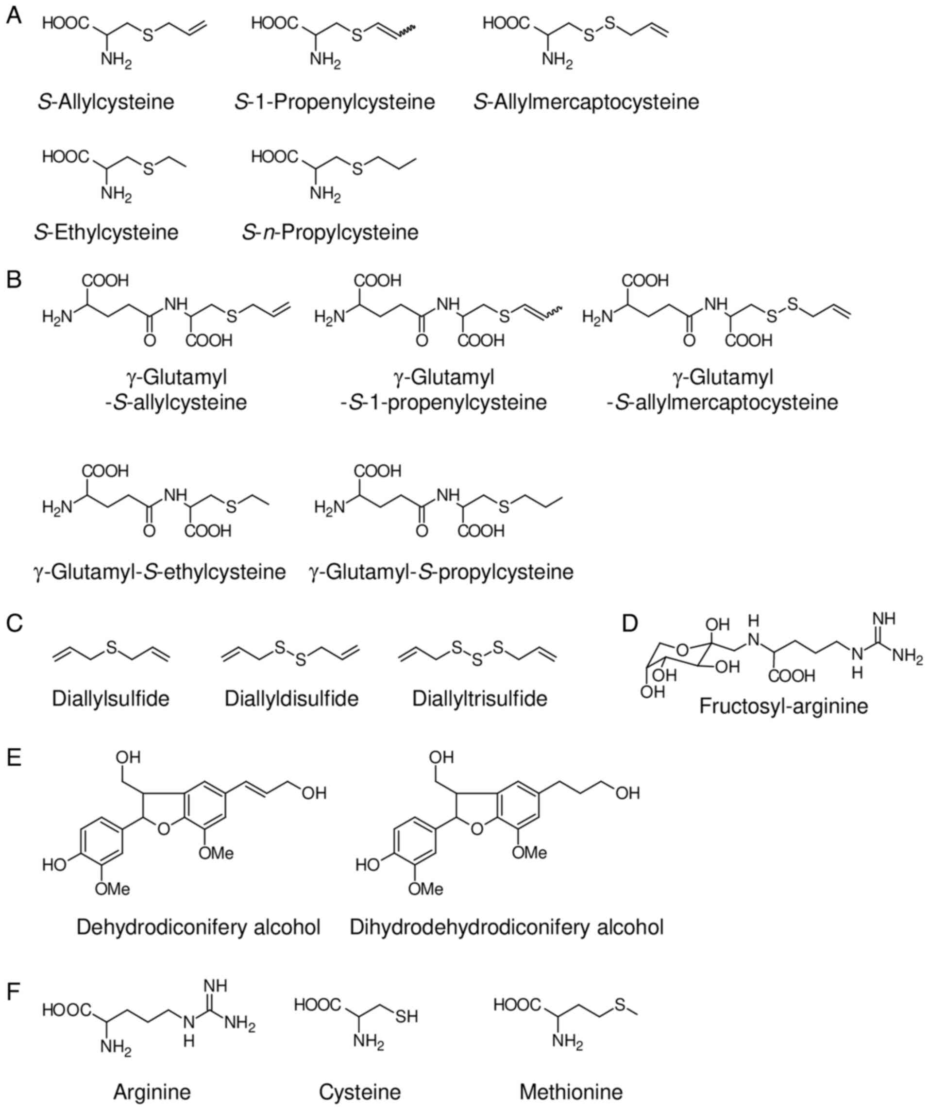
Garlic has been previously reported to be effective in inhibiting the pathogenesis of CVDs and to help prevent chronic diseases such as diabetes mellitus, cranial nerve disease and cancer (17). Aged garlic extract (AGE), prepared by aging crushed raw garlic in water-soluble ethanol for at least 10 months, contains a variety of compounds produced through aging processes. These constituents include S-alk(en)ylcysteine compounds such as S-allylcysteine (SAC), S-1-propenylcysteine (S1PC™; Wakunaga Holdings Co., Ltd.), S-allylmercaptocysteine (SAMC), S-propylcysteine (SPC) and S-ethylcysteine (SEC); diallyl polysulfide compounds such as diallyl sulfide (DAS), diallyl disulfide (DADS) and diallyl trisulfide (DATS); Maillard reaction-related compounds such as fructosyl-L-arginine (Fru-Arg); phenolic compounds such as dehydrodiconiferyl alcohol (DDC) and dihydrodehydrodiconiferyl alcohol (DDDC); and amino acids such as L-arginine, L-cysteine and L-methionine (Fig. 1) (18,19). However, AGE contains fewer irritating compounds, such as allicin, when compared with raw garlic and causes little damage to the gastric mucosa (20,21). Efendy et al (22) first reported in 1997 that AGE inhibits the development of experimental atherosclerosis in rabbits. Since then, the anti-atherosclerotic effects of AGE have been demonstrated in various clinical (23-36) and animal studies (19,22,37-40). For example, clinical trials have shown that AGE can reduce lipid-rich low attenuation plaque by ~30% (24,26) and inhibit the progression of vascular calcification by ~65% (27,29,30).

Figure 1

Chemical structure of major constituents in aged garlic extract. (A) S-Alk(en)ylcysteine, (B) ɤ-glutamylpeptide derivatives, (C) allylpolysulfides, (D) maillard reaction-relating compounds, (E) phenolic compounds and (F) amino acids.

This review aimed to highlight the beneficial effects and underlying mechanisms of action of AGE and its active constituents in mitigating risk factors associated with the onset of atherosclerosis and modulating key processes in its progression. Additionally, the clinical relevance, availability and potential applications of AGE in the prevention and treatment of atherosclerosis was explored.

2. Effect of AGE and its constituents on risk factors for atherosclerosis

Atherosclerosis is a complex multifactorial disease triggered by several risk factors, such as chronic inflammation, hypercholesteremia and hypertension. The prevention and treatment of atherosclerosis requires the control of risk factors. In the following section, the effect of AGE and its key constituents on these risk factors will be reviewed (Fig. 2).

Figure 2

Process of plaque formation. (A) Endothelial dysfunction. Damage to vascular endothelial cells by inflammatory mediators and ROS reduces endothelial barrier function and induces infiltration of circulating monocytes and lipids into the vascular intima. (B) Foam cell formation and macrophage polarization. Infiltrating monocytes differentiate into macrophages, which take up oxLDL via scavenger receptors, including CD36, to form foam cells. Macrophages polarize into inflammatory M1 macrophages and anti-inflammatory M2 macrophages depending on the plaque microenvironment. M1 macrophages release inflammatory factors to exacerbate inflammation, promoting plaque formation, while M2 macrophages release anti-inflammatory cytokines and efferocytose foam cells and apoptotic cells, contributing to plaque regression. (C) Plaque calcification and platelet aggregation. Dedifferentiated VSMCs, which have been dedifferentiated by exacerbated inflammation, migrate and proliferate in the intima, inducing uptake of oxLDL and fibrosis and calcification on the plaque surface. As the disease progresses and the plaque becomes unstable, platelets adhere and aggregate at the site of endothelial cell loss, forming a thrombus that can occlude blood vessels and induce cardiovascular disease. CCL2, C-C motif chemokine ligand 2; ECM, extracellular matrix; ECs, endothelial cells; ICAM-1, intercellular adhesion molecule-1; LDL, low-density lipoprotein; MMP, matrix metalloproteinase; oxLDL, oxidized LDL; ROS, reactive oxygen species; VCAM-1, vascular cell adhesion molecule-1; VSMCs, vascular smooth muscle cells.

Chronic inflammation

Chronic inflammation associated with obesity and aging is characterized by persistent and prolonged low-grade inflammation, often triggered by DAMPs released from dead cells (41,42). This type of inflammation serves a crucial role in the initiation and progression of atherosclerosis. Furthermore, autoimmune diseases such as systemic lupus erythematosus, antiphospholipid syndrome and rheumatoid arthritis, which also induce chronic inflammation, are associated with an increased risk for atherosclerosis. Patients with these autoimmune diseases face a significantly increased risk of developing new atherosclerotic plaques, 3.3-50.0 times higher compared with healthy individuals (43,44). Notably, the production of DAMPs, which mediate chronic inflammation, is influenced by various factors, such as smoking, obesity and hyperlipidemia (6). The key DAMPs involved in this process include the chromatin protein high mobility group box 1, S100 calcium-binding protein A (S100A) 8, S100A9, S100A12 and oxLDL (5,6). These molecules further perpetuate the inflammatory response, contributing to the progression of atherosclerosis. In addition, these DAMPs serve a critical role in inducing the release of pro-inflammatory cytokines, such as IL-6 and TNF-α. The recognition and binding of DAMPs by pattern recognition receptors, particularly Toll-like receptor 4 (TLR4) and receptor for advanced glycation end products, are central to this inflammatory response. This pathway underscores the complex interplay between chronic inflammation and the pathophysiological processes driving atherosclerosis, DAMPs being key mediators in both the initiation and progression of the disease (7,45,46).

Previous studies have demonstrated that AGE induced a 20% decrease in IL-6 production in patients with coronary artery calcium scores <5 and in healthy adults with obesity (47,48). In addition, in vitro studies have reported that several AGE-constituents, S1PC, DADS and DATS inhibit IL-6 production induced by lipopolysaccharide (LPS), a TLR4 agonist (49-52). Among these components, DADS and DATS suppress TLR4 signaling by inhibiting NF-κB, whereas S1PC acts through a distinct mechanism. Specifically, S1PC induces the degradation of the adapter protein myeloid differentiation primary response 88 by activating autophagy (51,52). Thus, S1PC has been reported to exhibit anti-inflammatory effects through a novel mechanism involving the suppression of TLR4 signaling by activating autophagy. However, since the mechanism of autophagy activation by S1PC is not yet fully understood, the anti-inflammatory effects mediated by this mechanism require further investigation. In addition, several AGE constituents have been reported to inhibit autoimmune diseases. For example, DADS prevents cartilage destruction, ameliorates arthritis and reduces inflammation by decreasing the expression of pro-inflammatory cytokines in arthritis rat models (53). Furthermore, L-arginine improves arthritis and mitigates inflammatory bone loss by reducing the number of osteoclasts (54).

These findings suggest that AGE may suppress chronic inflammation, a key risk factor for atherosclerosis by suppressing TLR signaling, which is a primary trigger of inflammation, potentially acting prophylactically to inhibit the progression of atherosclerosis.

Hypercholesterolemia

Hypercholesterolemia contributes to the development of atherosclerosis. The risk for atherosclerosis increases by 2-3% for each 1% rise in the serum cholesterol level (55,56). Conversely, lowering serum cholesterol by 10% can reduce the risk for atherosclerosis by 50% in 40 year old men and by 25% in 60 year old men over a 5 year period according to the results of an epidemiological survey (55,56). Hypercholesterolemia enhances the production of reactive oxygen species (ROS), which promotes the secretion of several pro-inflammatory cytokines, including IL-1, IL-2, IL-6, IL-8, TNF-α and IFN-γ, by activating NF-κB (55,57,58). Supplementation with AGE alone or in combination with B vitamins has been shown to decrease total cholesterol (TC) level by ~7% in clinical studies (36,59-61) and ~15% in animal studies (40,59). AGE has also been shown to inhibit cholesterol synthesis in rat hepatocytes, thus it is suggested that the cooperative action of several components of AGE, such as SAC, SPC, SEC, γ-glutamyl SAC and γ-glutamyl SPC, may contribute to its effect (59). These studies suggest that AGE decreases TC, which may contribute to the prevention of atherosclerosis.

Hypertension

Hypertension has been shown to significantly elevate the risk for developing atherosclerosis in clinical trials (62). According to epidemiological research, arterial hypertension was identified as the most crucial cardiovascular risk factor, contributing to 48% of all strokes and 18% of all coronary events (62). A randomized trial with 3,845 participants, averaging 83 years in age, demonstrated that reducing blood pressure from 161/84 to 144/78 mmHg decreased the risk for cerebral circulatory disorders by 30% and cardiovascular events by 23% (62,63). Additionally, in patients with vascular disease or diabetes mellitus plus an additional cardiovascular risk factor, treatment with ramipril, an angiotensin-converting enzyme inhibitor, resulted in a 22% reduction in the composite endpoint of cardiovascular death, myocardial infarction and stroke (64). Therefore, antihypertensive therapy is important for the prevention or improvement of atherosclerosis. AGE has been reported to improve not only atherosclerosis but also hypertension in several clinical trials. The AGE-treated group demonstrated a decreased mean systolic blood pressure (SBP) by ~10 mm Hg after 12 weeks of administration (65-67). In addition, it has been reported that active components of AGE, including S1PC and SAC, reduce blood pressure. The repeated administration of S1PC for 10 weeks significantly decreases SBP of spontaneously hypertensive rats (68). Furthermore, it was reported that the single administration of S1PC reduces SBP after 3 h via the central histamine H3 receptor by altering histidine metabolism (69,70). Moreover, administration of SAC has been shown to decrease SBP in both ovariectomized and five-sixths of a group of nephrectomized rats (71,72). These results suggested that AGE may help prevent atherosclerosis by mitigating hypertension, which is a risk factor for the development of atherosclerosis.

Since AGE contains multiple bioactive components that act on various targets through different mechanisms, they have the potential to simultaneously improve major risk factors for atherosclerosis, such as chronic inflammation, dyslipidemia and hypertension. By acting on these factors, AGE may help prevent the progression of atherosclerosis.

3. Effect of AGE and its components on vascular endothelial function

Vascular endothelial cells, located on the innermost layer of blood and lymphatic vessels, serve crucial roles in delivering oxygen and nutrients, regulating blood flow, modulating immune cell trafficking and maintaining tissue homeostasis (73). C-reactive protein (CRP), induced by inflammation, can cause endothelial dysfunction by directly damaging endothelial cells and reducing the number and function of endothelial progenitor cells (43,44,74). Endothelial injury triggers ROS production and vascular inflammation, increasing the expression levels of intercellular adhesion molecule-1 (ICAM-1) and vascular cell adhesion molecule-1 (VCAM-1) on the cell surface and the secretion of C-C motif chemokine ligand 2 (CCL2) (75). This disrupts tight junctions, which normally restrict the entry of circulating substances and immune cells from the bloodstream into the vessel wall, allowing monocytes to infiltrate the vessel wall (76). Non-inflammatory Ly6Clow monocytes typically patrol the vasculature to phagocytose and scavenge debris and maintain endothelial integrity. By contrast, the number of inflammatory Ly6Chi monocytes increases during chronic inflammation and hypercholesterolemia, preferentially adhere to activated endothelium, infiltrate the vessel wall and differentiate into lesional macrophages (77-80).

This infiltration of Ly6Chi monocytes corresponds to the early stages of atherosclerosis development, with Ly6Chi monocytes eventually transforming into foam cells that accumulate in blood vessels (Fig. 2A) (76-79). The following mechanisms of actions discussed relate to the effects of AGE and its components in protecting vascular endothelial function.

Antioxidative effect on vascular endothelial cells

AGE, SAC and Fru-Arg have been reported to inhibit the production of H2O2 and lipid peroxides induced by oxLDL through ROS. These compounds promote the nuclear accumulation of nuclear factor erythroid 2-related factor 2 (Nrf2), which is a transcription factor activated in response to oxidation, and increase the gene and protein expression level of the antioxidant enzymes heme oxygenase 1 (HO-1) and glutamate-cysteine ligase modifier subunit (GCLM) in human umbilical vein endothelial cells (HUVECs), thereby improving endothelial dysfunction. This change is accompanied by an increase in the intracellular level of the antioxidant glutathione, suggesting that AGE and its constituents exert antioxidant activity to prevent oxLDL-induced oxidation and cellular damage (81-86). It has also been shown that S1PC enhances activation of the Nrf2 pathway in the presence of a nitric oxide (NO) donor by promoting the degradation of broad complex, tramtrack and bric-a-brac domain and cap'n'collar homology 1, a transcriptional repressor of Nrf2 (87,88). Additionally, SAC has been shown to activate endothelial nitric oxide synthase (eNOS) in endothelial cells and promote NO production (89,90). These results suggest that AGE and its constituents may act together to increase the cellular antioxidant capacity through enhancement of the Nrf2 pathway and ameliorate the vascular endothelial cell dysfunction and exacerbated inflammation caused by oxidation (Fig. 3A).

Figure 3

Effect of AGE and its constituents in the processes of plaque formation. The inhibitory effects of AGE and their constituents on the plaque formation processes. (A) Endothelial dysfunction, (B) foam cell formation (macrophage cholesterol influx/efflux), (C) macrophage polarization and (D) plaque calcification and platelet aggregation. ABCA1, ATP-binding cassette transporter A1; ABCG1, ATP-binding cassette transporter G1; AGE, aged garlic extract; CCL2, C-C motif chemokine ligand 2; DADS, diallyl disulfide; DAS, diallyl sulfide; DATS, diallyl trisulfide; DDC, dehydrodiconiferyl alcohol; DDDC, dihydrodehydrodiconiferyl alcohol; ECM, extracellular matrix; Fru-Arg, fructosyl-L-arginine; HDL, high-density lipoprotein; IL, interleukin; LDL, low-density lipoprotein; MMP, matrix metalloproteinase; oxLDL, oxidized LDL; ROS, reactive oxygen species; SAC, S-allylcysteine; SAMC, S-allylmercaptocysteine; S1PC, S-1-propenylcysteine; TBX2, thromboxane B2; VSMCs, vascular smooth muscle cells.

Monocyte adhesion

DDC and DDDC, identified as antioxidants in AGE, have been shown to suppress VCAM-1 expression induced by LPS or advanced glycation end products in HUVECs by inhibiting the JNK/c-Jun pathway, but not the NF-κB pathway, thereby preventing the adhesion of THP-1 monocytes to the surface of HUVECs (91). Similarly, DAS, DADS and DATS, which are minor constituents of AGE (18), suppress oxLDL-induced VCAM-1 and E-selectin expression levels on the cell surface, reducing the adhesion of the human promyelocytic leukemia cell line HL-60 to HUVECs (92). Notably, the inhibitory potency of these sulfur-containing compounds increases with the number of sulfur atoms, in the order of DATS > DADS > DAS (92). Their mechanisms involve activation of the PI3K/protein kinase (PK) B signaling pathway to suppress E-selectin expression and dephosphorylation of PKA and cAMP response element binding protein to reduce VCAM-1 expression levels, each of which is mediated through the PKB/PI3K signaling pathway (92). Additionally, AGE and S1PC inhibit the secretion of CCL2, a chemokine that attracts monocytes (51,93). In addition, L-arginine, a major amino acid in AGE, suppresses IL-1β-induced VCAM-1 and ICAM-1 expression, inhibiting the adhesion of human peripheral blood-derived monocytes to HUVECs (94). L-arginine also exhibits anti-atherosclerotic effects, such as reducing lipid deposition in the aorta, improving flow-dependent vasodilation and preventing monocyte adhesion to the vascular surface in a hypercholesterolemic rabbit atherosclerosis model (95,96).

These findings suggest that multiple constituents in AGE suppress the adhesion of monocytes to vascular endothelial cells by not only reducing the expression of adhesion molecules on endothelial cells but also inhibiting the secretion of chemokines, such as CCL2, that attract monocytes (Fig. 3A).

Endothelial barrier function

Vascular endothelial cells adhere to each other through adherens junctions including vascular endothelial (VE)-cadherin, and tight junctions including claudin, occludin and zonula occludens-1 (ZO-1). These junctions restrict the entry of circulating substances and immune cells from the blood into the vessel wall (13). Disruption of this barrier function by inflammation and oxidation leads to the entry of lipids and circulating immune cells into the intima, increasing lipid deposition and vascular inflammation in the aorta (12,13). Kunimura et al (97) reported that AGE and S1PC, but not SAC and SAMC, inhibited cell permeability by suppressing TNF-α-induced downregulation of VE-cadherin, claudin-5 and ZO-1 through the suppression of the Rho guanine nucleotide exchange factor-H1/RhoA/Rac pathway in HUVECs. These results suggest that AGE prevents the disruption of tight junctions caused by inflammation and maintains the integrity of intercellular adhesion (Fig. 3A).

In summary, AGE and its components maintain vascular endothelial barrier function and prevent monocyte adhesion and infiltration, which may consequently inhibit atherosclerotic plaque development (Fig. 3A).

4. Effect of AGE and its constituents on foam cell formation

LDL in blood enters the vascular intima through the gaps between endothelial cells, where it is oxidized by ROS derived from vascular endothelial cells and macrophages, and is subsequently deposited in the vascular intima as oxLDL (2). Macrophages take up oxLDL via scavenger receptors (SRs) such as SR-AI, CD36 or lectin-like oxidized low-density lipoprotein receptor 1 (LOX-1), and the excessive uptake of oxLDL transforms macrophages into foam cells, resulting in the development of an atherosclerotic plaque (Fig. 2B) (14-16). Atherosclerotic lesions were reduced in an atherosclerosis model of mice lacking theses SRs (98-100). Thus, the suppressed expression of SRs in macrophages may contribute to the inhibition of foam cell formation and plaque development. It has been reported that AGE suppresses peroxisome proliferator-activated receptor γ-mediated CD36 expression and inhibits the intracellular uptake of oxLDL in macrophages derived from the human monocyte THP-1 cell line (101-103). On the other hands, macrophages also efflux free cholesterol (FC) converted from oxLDL via ABC transporters, such as ABCA1 and ABCG1, which are necessary for high-density lipoprotein (HDL) synthesis. This FC is subsequently incorporated into HDL and transported back to the liver (15,104). In clinical trials and animal experiments, AGE increased plasma HDL-cholesterol concentration, suggesting that it may improve cholesterol metabolism (36,40,59-61). In addition, SAC increased ABCA1 gene and protein expression levels in THP-1-derived macrophages, which may improve cholesterol metabolism (105). It has been reported that depletion of macrophage-specific ABCA1 and ABCG1 exacerbates plaque formation (106-108), whereas overexpression of ABCA1 is protective against atherosclerosis (109).

Thus, AGE may reduce cholesterol accumulation in macrophages by suppressing the expression of SRs and increasing the expression of ABC transporters. These results also suggest that AGE inhibits the progression of atherosclerotic lesions by reducing foam cell formation (Fig. 3B).

5. Effect of AGE and its constituents on macrophage polarization

Macrophages polarize into two major phenotypes: Inflammatory M1 macrophages and anti-inflammatory M2 macrophages, depending on the arterial plaque microenvironment (110). In plaque lesions, M2 macrophages are more dominant compared with M1 macrophages from the early stages of plaque formation until plaque stabilization. They contribute to plaque stabilization through the efflux of cholesterol, production of anti-inflammatory cytokines, phagocytosis of apoptotic cells and collagen production induced by TGF-β, thereby regulating plaque progression (110). However, as plaque formation progresses and a lipid and necrotic core is formed, M1 macrophages become dominant. This shift leads to the production of inflammatory cytokines, increased lipid accumulation due to decreased cholesterol efflux and thinning of the cap caused by the production of matrix metalloproteinases, resulting in an unstable plaque and an increased risk of rupture (Fig. 2B) (111-113). Crocin, an active ingredient of Crocus sativus L., and pomegranate juice increased the number of M2 macrophages and inhibited the progression of aortic plaque formation in atherosclerotic mice (114,115). Therefore, it is important to maintain the predominance of M2 macrophages over M1 macrophages to inhibit plaque progression or to stabilize plaques (110,116).

AGE has been reported to decrease the expression levels of M1 macrophage markers and increase the expression levels of M2 macrophage markers in aortic and splenic lymphocytes. The active component responsible for this effect of AGE is S1PC, which has been shown in vitro to prolong IL-10-mediated STAT3 activation, thereby promoting polarization into M2c macrophages with a high IL-10 production capacity (38). Additionally, DADS, another active component of AGE, reduces the number of M1 macrophages by suppressing LPS-induced NF-κB activation through the Nrf2 pathway, thereby inhibiting polarization into M1 macrophages and reducing inflammation (117).

However, since macrophage polarization is influenced by the microenvironment, it is crucial to investigate whether AGE or its components can induce M2 macrophage polarization within the context of a chronic inflammatory environment, such as that found in atherosclerotic plaques. Notably, clinical trials have demonstrated that drugs such as pioglitazone and thiazolidinediones, which promote polarization towards M2 macrophages, significantly suppressed atherosclerosis in patients with type 2 diabetes (116,118-120). Consequently, therapeutic strategies targeting M2 macrophage polarization have emerged as promising avenues for atherosclerosis treatment (116). These clinical observations suggest that AGE and its components might contribute to atheroprotection by promoting a shift towards the M2 macrophage phenotype (Fig. 3C). However, the polarization of macrophages within atherosclerotic plaques is a complex process involving various subpopulations. Further research is needed to pinpoint the specific macrophage subsets affected by AGE and to elucidate the underlying molecular mechanisms that drive these changes.

6. Effect of AGE and its constituents on vascular calcification and platelet aggregation

Vascular calcification

Vascular smooth muscle cells (VSMCs) are typically present in the vascular media and are involved in vascular contraction and relaxation. However, they dedifferentiate and migrate into the vascular intima in response to cytokines, growth factors released from damaged vascular endothelial cells and activated macrophages (121,122). Migrated VSMCs proliferate in the vascular intima and change to various phenotypes, such as foam cell-like and osteoblast-like cells, and are involved in the development of plaque formation (121,122). In calcified plaque lesions, VSMCs upregulate the expression of osteogenesis-related factors including alkaline phosphatase (ALP), runt-related transcription factor 2, osteopontin and bone morphogenetic protein 2, suggesting that the proliferation of osteoblast-like VSMCs contributes to plaque calcification (Fig. 2C) (122).

Several clinical trials have reported that AGE administered for 1 year improved the coronary artery calcification scores of patients with coronary artery disease (27,29,30,123), suggesting that AGE may regulate the activation of osteoblast-like VSMCs. In addition, DDC has been shown to significantly inhibit ALP activity induced by culturing human coronary artery smooth muscle cells with dexamethasone and the culture supernatant of THP-1 derived macrophages (124). These findings suggest that AGE and DDC may inhibit plaque calcification by suppressing the osteogenic differentiation of VSMCs (Fig. 3D) (27,29,30,123,124).

Platelet aggregation

Plaque rupture and subsequent thrombus formation trigger arterial stenosis and disrupt blood flow in the late stage of atherosclerosis. Platelets bind to von Willebrand factor (VWF) present in the exposed subendothelial collagen layer due to plaque rupture via the glycoprotein (GP) complexes. Platelets adhering to subendothelial tissue release ADP, thrombin and thromboxane A2, promoting platelet activation. Activated platelets bind to VWF and fibrinogen via GP complex (GPIIb/IIIa) to form platelet aggregates, which become thrombi (125,126). The thrombus is stabilized by fibrin, which is produced from fibrinogen, and promotes the blood clotting reaction on the platelet membrane (125-127). This thrombus can cause stenosis, occlusion or dissection of blood vessels (Fig. 2C).

Steiner and Li (128) reported that in the blood of patients with moderate hypercholesterolemia taking AGE for 6 weeks, collagen-, epinephrine- and ADP-induced platelet aggregation was reduced, and platelet adhesion to collagen, VWF and fibrinogen was inhibited. Additionally, ADP-induced platelet aggregation was suppressed in the blood of normolipidemic subjects who took AGE for 13 weeks (129). Although AGE inhibits platelet aggregation, no serious adverse events have been reported when AGE is used in combination with the anticoagulant warfarin, indicating it may be relatively safe to use (130). Furthermore, serum from apolipoprotein E-knockout mice, whose atherosclerosis improved after 12 weeks of AGE feeding, showed a significant decrease in the concentration of thromboxane B2, a marker of platelet activation, suggesting that AGE may inhibit platelet aggregation by suppressing platelet activation (39). Platelets are activated through MAPK kinase by several agonists, such as ADP and collagen (131-133). It has been reported that platelets from rats treated with AGE for 2 weeks exhibit inhibited collagen-induced platelet aggregation and suppressed the phosphorylation of ERK, p38 and JNK (134). In addition, studies on human platelets have suggested that AGE may inhibit platelet activation by reducing ADP-induced Ca2+ influx into the cell, thereby inhibiting GPIIb/IIIa activation (135-137). It has been reported that L-arginine, L-cysteine and L-methionine, which are components of AGE, inhibit ADP-induced platelet aggregation, while DATS inhibits collagen- and thrombin-induced platelet aggregation (19,138). Therefore, it is possible that AGE may inhibit atherothrombosis by suppressing platelet aggregation through the collaborative action of its multiple pharmacologically active components (Fig. 3D).

These findings suggest that AGE may prevent plaque rupture by inhibiting calcification of advanced atherosclerotic lesions. Additionally, if plaques do rupture, AGE may inhibit platelet aggregation, thereby reducing the risk of subsequent myocardial infarction and angina pectoris (Fig. 3D).

7. Future directions and limitations of current assessments

Establishing the causal relationship between AGE intake and its diverse pharmacological effects in clinical trials has inherent limitations due to the complexity of its mechanisms of action and various confounding factors. Furthermore, the underlying mechanisms driving AGE's broad biological activities remain largely elusive, in part due to the presence of numerous bioactive compounds. Developing robust targeting and screening systems is essential for identifying these active constituents and their specific roles. A comprehensive understanding of AGE's multifaceted biological effects is therefore imperative, and OMICS-based approaches, including proteomics and miRNA analysis using clinical, animal and cell samples, could facilitate this process by identifying key molecular targets and regulatory pathways (139-144).

In clinical studies conducted to date, the effect of AGE has been evaluated for up to 1 year; however, its effects on the onset and progression of atherosclerosis are expected to become clearer with longer-term follow-up studies. Therefore, large, randomized, double-blind clinical trials with long-term treatment and follow-up periods are needed to assess the effects of AGE on the development and progression of atherosclerosis, as well as their impact on the clinical outcomes of patients with atherosclerosis. Additionally, the dosage of AGE in clinical trials for atherosclerosis treatment varies between 1,000-2,400 mg/day, depending on the trial (27,29,30,123). Determining the optimal dosage for each target disease through dose-response testing and similar assessments remains a critical challenge.

To advance AGE research, it is essential to comprehensively characterize its bioactive components, their kinetics and their precise mechanisms of action. Future investigations should also focus on identifying key active constituents, elucidating their molecular targets and exploring AGE's potential synergistic effects with existing drugs, its applicability to clinical trials and its relevance beyond atherosclerosis.

8. Conclusion

The multifactorial mechanism involving endothelial dysfunction, oxLDL accumulation, macrophage-induced inflammation and other risk factors in the development of atherosclerosis makes it difficult to prevent and treat the disease with a single target or mechanism. In this context, AGE has potential therapeutic and preventive applications, as it contains multiple active components and causes few side effects. AGE and its components exhibit diverse mechanisms of action that affect various aspects of disease progression, such as reducing risk factors like chronic inflammation, hyperlipidemia and hypertension, suppressing endothelial dysfunction, reducing oxLDL formation and increasing in HDL levels, reducing foam cell formation and promoting M2 macrophage polarization and suppressing platelet aggregation.

These effects of AGE can be attributed to its pharmacologically active sulfur-containing components, which have demonstrated inhibitory actions on various stages of atherosclerosis progression. By acting on multiple pathways simultaneously, AGE exhibits a unique multi-target approach to atherosclerosis prevention and treatment, with its constituents acting synergistically (Fig. 3). Notably, AGE has also been shown to delay coronary artery calcification in patients undergoing statin therapy without affecting side effects, suggesting its potential to complement the effects of existing atherosclerosis drugs.

Despite promising preclinical and clinical evidence, the intricate mechanisms underlying the diverse biological activities of AGE remain largely elusive. Contributing to this complexity is the presence of a wide array of bioactive compounds within AGE. Developing robust targeting and screening systems is crucial for identifying these active constituents. To this end, a comprehensive understanding of the multifaceted biological effects of AGE is imperative. Future research should utilize chemical proteomics and network pharmacology approaches to identify active constituents, target molecules and mechanisms of action, thereby elucidating the effects of AGE. A comprehensive characterization of AGE is essential, and these findings should be leveraged to explore its potential synergistic effects with existing drugs, its applicability to clinical trials and its relevance beyond atherosclerosis.

Acknowledgements

Not applicable.

Funding

Funding: No funding was received.

Availability of data and materials

Not applicable.

Author's contributions

SM and JIS conceived this review. SM, MT and JIS analyzed the relevant literature. SM and JIS wrote the manuscript. SM constructed the figures. MT and JIS critically revised the manuscript. All authors read and approved the final version of the manuscript. Data authentication is not available.

Ethics approval and consent to participate

Not applicable.

Patient consent for publication

Not applicable.

Competing interests

The authors declare that they have no competing interests.

References

1 

Mani V, Durmus C, Khushaim W, Ferreira DC, Timur S, Arduini F and Salama KN: Multiplexed sensing techniques for cardiovascular disease biomarkers-A review. Biosens Bioelectron. 216(114680)2022.PubMed/NCBI View Article : Google Scholar

2 

Khatana C, Saini NK, Chakrabarti S, Saini V, Sharma A, Saini RV and Saini AK: Mechanistic insights into the oxidized low-density lipoprotein-induced atherosclerosis. Oxid Med Cell Longev. 2020(5245308)2020.PubMed/NCBI View Article : Google Scholar

3 

Heo KS, Fujiwara K and Abe JI: Shear stress and atherosclerosis. Mol Cells. 37:435–440. 2014.PubMed/NCBI View Article : Google Scholar

4 

J M, L N, A V, E C, V L, K BS, L L, T G, M P and P M: Wall shear stress alteration: A local risk factor of atherosclerosis. Curr Atheroscler Rep. 24:143–151. 2022.PubMed/NCBI View Article : Google Scholar

5 

Singh P and Ali SA: Multifunctional role of S100 protein family in the immune system: An update. Cells. 11(2274)2022.PubMed/NCBI View Article : Google Scholar

6 

Schiopu A and Cotoi OS: S100A8 and S100A9: DAMPs at the crossroads between innate immunity, traditional risk factors, and cardiovascular disease. Mediators Inflamm. 2013(828354)2013.PubMed/NCBI View Article : Google Scholar

7 

Averill MM, Kerkhoff C and Bornfeldt KE: S100A8 and S100A9 in cardiovascular biology and disease. Arterioscler Thromb Vasc Biol. 32:223–229. 2012.PubMed/NCBI View Article : Google Scholar

8 

Tietge UJF: Hyperlipidemia and cardiovascular disease: Inflammation, dyslipidemia, and atherosclerosis. Curr Opin Lipidol. 25:94–95. 2014.PubMed/NCBI View Article : Google Scholar

9 

Ross R and Harker L: Hyperlipidemia and atherosclerosis. Science. 193:1094–1100. 1976.PubMed/NCBI View Article : Google Scholar

10 

Bornfeldt KE and Tabas I: Insulin resistance, hyperglycemia, and atherosclerosis. Cell Metab. 14:575–585. 2011.PubMed/NCBI View Article : Google Scholar

11 

Aronson D and Rayfield EJ: How hyperglycemia promotes atherosclerosis: Molecular mechanisms. Cardiovasc Diabetol. 1(1)2002.PubMed/NCBI View Article : Google Scholar

12 

Zhang L and Lei S: Changes of junctions of endothelial cells in coronary sclerosis: A review. Chronic Dis Transl Med. 2:22–26. 2016.PubMed/NCBI View Article : Google Scholar

13 

Chistiakov DA, Orekhov AN and Bobryshev YV: Endothelial barrier and its abnormalities in cardiovascular disease. Front Physiol. 6(365)2015.PubMed/NCBI View Article : Google Scholar

14 

Chistiakov DA, Bobryshev YV and Orekhov AN: Macrophage-mediated cholesterol handling in atherosclerosis. J Cell Mol Med. 20:17–28. 2016.PubMed/NCBI View Article : Google Scholar

15 

Chistiakov DA, Melnichenko AA, Myasoedova VA, Grechko AV and Orekhov AN: Mechanisms of foam cell formation in atherosclerosis. J Mol Med (Berl). 95:1153–1165. 2017.PubMed/NCBI View Article : Google Scholar

16 

Falk E: Pathogenesis of atherosclerosis. J Am Coll Cardiol. 47 (8 Suppl):C7–C12. 2006.PubMed/NCBI View Article : Google Scholar

17 

Rahman K: Garlic and aging: New insights into an old remedy. Ageing Res Rev. 2:39–56. 2003.PubMed/NCBI View Article : Google Scholar

18 

Kodera Y, Kurita M, Nakamoto M and Matsutomo T: Chemistry of aged garlic: Diversity of constituents in aged garlic extract and their production mechanisms via the combination of chemical and enzymatic reactions. Exp Ther Med. 19:1574–1584. 2020.PubMed/NCBI View Article : Google Scholar

19 

Allison GL, Lowe GM and Rahman K: Aged garlic extract and its constituents inhibit platelet aggregation through multiple mechanisms. J Nutr. 136 (3 Suppl):782S–788S. 2006.PubMed/NCBI View Article : Google Scholar

20 

Hoshino T, Kashimoto N and Kasuga S: Effects of garlic preparations on the gastrointestinal mucosa. J Nutr. 131 (3S):1109S–1113S. 2001.PubMed/NCBI View Article : Google Scholar

21 

Sumiyoshi H, Kanezawa A, Masamoto K, Harada H, Nakagami S, Yokota A, Nishikawa M and Nakagawa S: Chronic toxicity test of garlic extract in rats. J Toxicol Sci. 9:61–75. 1984.PubMed/NCBI View Article : Google Scholar : (In Japanese).

22 

Efendy JL, Simmons DL, Campbell GR and Campbell JH: The effect of the aged garlic extract, ‘Kyolic’, on the development of experimental atherosclerosis. Atherosclerosis. 132:37–42. 1997.PubMed/NCBI View Article : Google Scholar

23 

Weiss N, Ide N, Abahji T, Nill L, Keller C and Hoffmann U: Aged garlic extract improves homocysteine-induced endothelial dysfunction in macro- and microcirculation. J Nutr. 136 (3 Suppl):750S–754S. 2006.PubMed/NCBI View Article : Google Scholar

24 

Shaikh K, Kinninger A, Cherukuri L, Birudaraju D, Nakanishi R, Almeida S, Jayawardena E, Shekar C, Flores F, Hamal S, et al: Aged garlic extract reduces low attenuation plaque in coronary arteries of patients with diabetes: A randomized, double-blind, placebo-controlled study. Exp Ther Med. 19:1457–1461. 2020.PubMed/NCBI View Article : Google Scholar

25 

Gómez-Arbeláez D, Lahera V, Oubiña P, Valero-Muñoz M, de Las Heras N, Rodríguez Y, García RG, Camacho PA and López-Jaramillo P: Aged garlic extract improves adiponectin levels in subjects with metabolic syndrome: A double-blind, placebo-controlled, randomized, crossover study. Mediators Inflamm. 2013(285795)2013.PubMed/NCBI View Article : Google Scholar

26 

Matsumoto S, Nakanishi R, Li D, Alani A, Rezaeian P, Prabhu S, Abraham J, Fahmy MA, Dailing C, Flores F, et al: Aged garlic extract reduces low attenuation plaque in coronary arteries of patients with metabolic syndrome in a prospective randomized double-blind study. J Nutr. 146:427S–432S. 2016.PubMed/NCBI View Article : Google Scholar

27 

Wlosinska M, Nilsson AC, Hlebowicz J, Hauggaard A, Kjellin M, Fakhro M and Lindstedt S: The effect of aged garlic extract on the atherosclerotic process-a randomized double-blind placebo-controlled trial. BMC Complement Med Ther. 20(132)2020.PubMed/NCBI View Article : Google Scholar

28 

Williams MJA, Sutherland WHF, McCormick MP, Yeoman DJ and de Jong SA: Aged garlic extract improves endothelial function in men with coronary artery disease. Phytother Res. 19:314–319. 2005.PubMed/NCBI View Article : Google Scholar

29 

Budoff M: Aged garlic extract retards progression of coronary artery calcification. J Nutr. 136 (3 Suppl):741S–744S. 2006.PubMed/NCBI View Article : Google Scholar

30 

Hom C, Budoff M and Luo Y: The effects of aged garlic extract on coronary artery calcification progression and blood pressure. J Am Coll Cardiol. 65(A1472)2015.

31 

Budoff MJ, Takasu J, Flores FR, Niihara Y, Lu B, Lau BH, Rosen RT and Amagase H: Inhibiting progression of coronary calcification using aged garlic extract in patients receiving statin therapy: A preliminary study. Prev Med. 39:985–991. 2004.PubMed/NCBI View Article : Google Scholar

32 

Zeb I, Ahmadi N, Flores F and Budoff MJ: Randomized trial evaluating the effect of aged garlic extract with supplements versus placebo on adipose tissue surrogates for coronary atherosclerosis progression. Coron Artery Dis. 29:325–328. 2018.PubMed/NCBI View Article : Google Scholar

33 

Ahmadi N, Nabavi V, Hajsadeghi F, Zeb I, Flores F, Ebrahimi R and Budoff M: Aged garlic extract with supplement is associated with increase in brown adipose, decrease in white adipose tissue and predict lack of progression in coronary atherosclerosis. Int J Cardiol. 168:2310–2314. 2013.PubMed/NCBI View Article : Google Scholar

34 

Larijani VN, Ahmadi N, Zeb I, Khan F, Flores F and Budoff M: Beneficial effects of aged garlic extract and coenzyme Q10 on vascular elasticity and endothelial function: The FAITH randomized clinical trial. Nutrition. 29:71–75. 2013.PubMed/NCBI View Article : Google Scholar

35 

Zeb I, Ahmadi N, Nasir K, Kadakia J, Larijani VN, Flores F, Li D and Budoff MJ: Aged garlic extract and coenzyme Q10 have favorable effect on inflammatory markers and coronary atherosclerosis progression: A randomized clinical trial. J Cardiovasc Dis Res. 3:185–190. 2012.PubMed/NCBI View Article : Google Scholar

36 

Budoff MJ, Ahmadi N, Gul KM, Liu ST, Flores FR, Tiano J, Takasu J, Miller E and Tsimikas S: Aged garlic extract supplemented with B vitamins, folic acid and L-arginine retards the progression of subclinical atherosclerosis: A randomized clinical trial. Prev Med. 49:101–107. 2009.PubMed/NCBI View Article : Google Scholar

37 

Yeh YY and Yeh SM: Homocysteine-lowering action is another potential cardiovascular protective factor of aged garlic extract. J Nutr. 136 (3 Suppl):745S–749S. 2006.PubMed/NCBI View Article : Google Scholar

38 

Miki S, Suzuki JI, Takashima M, Ishida M, Kokubo H and Yoshizumi M: S-1-Propenylcysteine promotes IL-10-induced M2c macrophage polarization through prolonged activation of IL-10R/STAT3 signaling. Sci Rep. 11(22469)2021.PubMed/NCBI View Article : Google Scholar

39 

Morihara N, Hino A, Miki S, Takashima M and Suzuki JI: Aged garlic extract suppresses inflammation in apolipoprotein E-knockout mice. Mol Nutr Food Res. 61(1700308)2017.PubMed/NCBI View Article : Google Scholar

40 

Morihara N, Hino A, Yamaguchi T and Suzuki JI: Aged garlic extract suppresses the development of atherosclerosis in apolipoprotein E-knockout mice. J Nutr. 146:460S–463S. 2016.PubMed/NCBI View Article : Google Scholar

41 

Li X, Li C, Zhang W, Wang Y, Qian P and Huang H: Inflammation and aging: Signaling pathways and intervention therapies. Signal Transduct Target Ther. 8(239)2023.PubMed/NCBI View Article : Google Scholar

42 

He Y, Chen Y, Yao L, Wang J, Sha X and Wang Y: The inflamm-aging model identifies key risk factors in atherosclerosis. Front Genet. 13(865827)2022.PubMed/NCBI View Article : Google Scholar

43 

Raj R, Thomas S and Gorantla V: Accelerated atherosclerosis in rheumatoid arthritis: A systematic review. F1000Res. 11(466)2022.PubMed/NCBI View Article : Google Scholar

44 

Adawi M, Firas S and Blum A: Rheumatoid Arthritis and Atherosclerosis. IMAJ. 21:460–463. 2019.PubMed/NCBI

45 

Sreejit G, Abdel Latif A, Murphy AJ and Nagareddy PR: Emerging roles of neutrophil-borne S100A8/A9 in cardiovascular inflammation. Pharmacol Res. 161(105212)2020.PubMed/NCBI View Article : Google Scholar

46 

Roh JS and Sohn DH: Damage-associated molecular patterns in inflammatory diseases. Immune Netw. 18(e27)2018.PubMed/NCBI View Article : Google Scholar

47 

Wlosinska M, Nilsson AC, Hlebowicz J, Fakhro M, Malmsjö M and Lindstedt S: Aged garlic extract reduces IL-6: A double-blind placebo-controlled trial in females with a low risk of cardiovascular disease. Evid Based Complement Alternat Med. 2021(6636875)2021.PubMed/NCBI View Article : Google Scholar

48 

Xu C, Mathews AE, Rodrigues C, Eudy BJ, Rowe CA, O'Donoughue A and Percival SS: Aged garlic extract supplementation modifies inflammation and immunity of adults with obesity: A randomized, double-blind, placebo-controlled clinical trial. Clin Nutr ESPEN. 24:148–155. 2018.PubMed/NCBI View Article : Google Scholar

49 

Lee HH, Han MH, Hwang HJ, Kim GY, Moon SK, Hyun JW, Kim WJ and Choi YH: Diallyl trisulfide exerts anti-inflammatory effects in lipopolysaccharide-stimulated RAW 264.7 macrophages by suppressing the Toll-like receptor 4/nuclear factor-κB pathway. Int J Mol Med. 35:487–495. 2015.PubMed/NCBI View Article : Google Scholar

50 

Lee HH, Jeong JW, Hong SH, Park C, Kim BW and Choi YH: Diallyl trisulfide suppresses the production of lipopolysaccharide-induced inflammatory mediators in BV2 microglia by decreasing the NF-κB pathway activity associated with toll-like Receptor 4 and CXCL12/CXCR4 pathway blockade. J Cancer Prev. 23:134–140. 2018.PubMed/NCBI View Article : Google Scholar

51 

Suzuki JI, Kodera Y, Miki S, Ushijima M, Takashima M, Matsutomo T and Morihara N: Anti-inflammatory action of cysteine derivative S-1-propenylcysteine by inducing MyD88 degradation. Sci Rep. 8(14148)2018.PubMed/NCBI View Article : Google Scholar

52 

Suzuki J, Miki S, Ushijima M and Kodera Y: Regulation of immune response by S-1-propenylcysteine through autophagy-mediated protein degradation. Exp Ther Med. 19:1570–1573. 2020.PubMed/NCBI View Article : Google Scholar

53 

Chen Y, Xue R, Jin X and Tan X: Antiarthritic activity of diallyl disulfide against freund's adjuvant-induced arthritic rat model. J Environ Pathol Toxicol Oncol. 37:291–303. 2018.PubMed/NCBI View Article : Google Scholar

54 

Cao S, Li Y, Song R, Meng X, Fuchs M, Liang C, Kachler K, Meng X, Wen J, Schlötzer-Schrehardt U, et al: L-arginine metabolism inhibits arthritis and inflammatory bone loss. Ann Rheum Dis. 83:72–87. 2024.PubMed/NCBI View Article : Google Scholar

55 

Prasad K and Mishra M: Mechanism of hypercholesterolemia-induced atherosclerosis. Rev Cardiovasc Med. 23(212)2022.PubMed/NCBI View Article : Google Scholar

56 

Davis CE, Rifkind BM, Brenner H and Gordon DJ: A single cholesterol measurement underestimates the risk of coronary heart disease. An empirical example from the lipid research clinics mortality follow-up study. JAMA. 264:3044–3046. 1990.PubMed/NCBI

57 

Minatel IO, Francisqueti FV, Corrêa CR and Pereira Lima GPP: Antioxidant activity of Ƴ-oryzanol: A complex network of interactions. Int J Mol Sci. 17(1107)2016.PubMed/NCBI View Article : Google Scholar

58 

Ranneh Y, Ali F, Akim AM, Hamid HA, Khazaai H and Fadel A: Crosstalk between reactive oxygen species and pro-inflammatory markers in developing various chronic diseases: A review. Appl Biol Chem. 60:327–338. 2017.

59 

Yeh YY and Liu L: Cholesterol-lowering effect of garlic extracts and organosulfur compounds: Human and animal studies. J Nutr. 131 (3S):989S–993S. 2001.PubMed/NCBI View Article : Google Scholar

60 

Steiner M, Khan AH, Holbert D and Lin RIS: A double-blind crossover study in moderately hypercholesterolemic men that compared the effect of aged garlic extract and placebo administration on blood lipids. Am J Clin Nutr. 64:866–870. 1996.PubMed/NCBI View Article : Google Scholar

61 

Lau BHS: Suppression of LDL oxidation by garlic compounds is a possible mechanism of cardiovascular health benefit. J Nutr. 136 (3 Suppl):765S–768S. 2006.PubMed/NCBI View Article : Google Scholar

62 

Poznyak AV, Sadykhov NK, Kartuesov AG, Borisov EE, Melnichenko AA, Grechko AV and Orekhov AN: Hypertension as a risk factor for atherosclerosis: Cardiovascular risk assessment. Front Cardiovasc Med. 9(959285)2022.PubMed/NCBI View Article : Google Scholar

63 

Visseren F, Mach F, Smulders YM, Carballo D, Koskinas KC, Bäck M, Benetos A, Biffi A, Boavida JM, Capodanno D, et al: 2021 ESC guidelines on cardiovascular disease prevention in clinical practice. Eur Heart J. 42:3227–3337. 2021.PubMed/NCBI View Article : Google Scholar

64 

Maraj I, Makaryus JN, Ashkar A, McFarlane SI and Makaryus AN: Hypertension management in the high cardiovascular risk population. Int J Hypertens. 2013(382802)2013.PubMed/NCBI View Article : Google Scholar

65 

Ried K, Frank OR and Stocks NP: Aged garlic extract reduces blood pressure in hypertensives: A dose-response trial. Eur J Clin Nutr. 67:64–70. 2013.PubMed/NCBI View Article : Google Scholar

66 

Ried K, Travica N and Sali A: The effect of aged garlic extract on blood pressure and other cardiovascular risk factors in uncontrolled hypertensives: The AGE at heart trial. Integr Blood Press Control. 9:9–21. 2016.PubMed/NCBI View Article : Google Scholar

67 

Ried K, Travica N and Sali A: The effect of kyolic aged garlic extract on gut microbiota, inflammation, and cardiovascular markers in hypertensives: The GarGIC trial. Front Nutr. 5(122)2018.PubMed/NCBI View Article : Google Scholar

68 

Matsutomo T, Ushijima M, Kodera Y, Nakamoto M, Takashima M, Morihara N and Tamura K: Metabolomic study on the antihypertensive effect of S-1-propenylcysteine in spontaneously hypertensive rats using liquid chromatography coupled with quadrupole-orbitrap mass spectrometry. J Chromatogr B Analyt Technol Biomed Life Sci. 1046:147–155. 2017.PubMed/NCBI View Article : Google Scholar

69 

Matsutomo T, Ushijima M, Kunimura K and Ohtani M: Metabolomic study reveals the acute hypotensive effect of S-1-propenylcysteine accompanied by alteration of the plasma histidine level in spontaneously hypertensive rats. J Pharm Biomed Anal. 168:148–154. 2019.PubMed/NCBI View Article : Google Scholar

70 

Ushijima M, Takashima M, Kunimura K, Kodera Y, Morihara N and Tamura K: Effects of S-1-propenylcysteine, a sulfur compound in aged garlic extract, on blood pressure and peripheral circulation in spontaneously hypertensive rats. J Pharm Pharmacol. 70:559–565. 2018.PubMed/NCBI View Article : Google Scholar

71 

Cruz C, Correa-Rotter R, Sánchez-González DJ, Hernández-Pando R, Maldonado PD, Martínez-Martínez CM, Medina-Campos ON, Tapia E, Aguilar D, Chirino YI and Pedraza-Chaverri J: Renoprotective and antihypertensive effects of S-allylcysteine in 5/6 nephrectomized rats. Am J Physiol Renal Physiol. 293:F1691–F1698. 2007.PubMed/NCBI View Article : Google Scholar

72 

Halim RM, Kamisah Y, Aziz NF, Sudirman UM, Ahmad NAN, Kok-Yong C and Zainalabidin S: Pakistan veterinary journal S-allylcysteine supplementation effects on vascular and bone health in ovariectomized wistar rats. Pakistan Vet J. 41(507)2021.

73 

Trimm E and Red-Horse K: Vascular endothelial cell development and diversity. Nat Rev Cardiol. 20:197–210. 2023.PubMed/NCBI View Article : Google Scholar

74 

Badimon L, Peña E, Arderiu G, Padró T, Slevin M, Vilahur G and Chiva-Blanch G: C-reactive protein in atherothrombosis and angiogenesis. Front Immunol. 9(430)2018.PubMed/NCBI View Article : Google Scholar

75 

Čejková S, Králová-Lesná I and Poledne R: Monocyte adhesion to the endothelium is an initial stage of atherosclerosis development. Cor Vasa. 58:e419–e425. 2016.

76 

Glass CK and Witztum JL: Atherosclerosis. The road ahead. Cell. 104:503–516. 2001.PubMed/NCBI View Article : Google Scholar

77 

Schiopu A, Nadig SN, Cotoi OS, Hester J, Van Rooijen N and Wood KJ: Inflammatory Ly-6C(hi) monocytes play an important role in the development of severe transplant arteriosclerosis in hyperlipidemic recipients. Atherosclerosis. 223:291–298. 2012.PubMed/NCBI View Article : Google Scholar

78 

Woollard KJ and Geissmann F: Monocytes in atherosclerosis: Subsets and functions. Nat Rev Cardiol. 7:77–86. 2010.PubMed/NCBI View Article : Google Scholar

79 

Hilgendorf I, Swirski FK and Robbins CS: Monocyte fate in atherosclerosis. Arterioscler Thromb Vasc Biol. 35:272–279. 2015.PubMed/NCBI View Article : Google Scholar

80 

Pang J, Maienschein-Cline M and Koh TJ: Enhanced proliferation of Ly6C+ monocytes/macrophages contributes to chronic inflammation in skin wounds of diabetic mice. J Immunol. 206:621–630. 2021.PubMed/NCBI View Article : Google Scholar

81 

Ho SE, Ide N and Lau BH: S-allyl cysteine reduces oxidant load in cells involved in the atherogenic process. Phytomedicine. 8:39–46. 2001.PubMed/NCBI View Article : Google Scholar

82 

Ide N and Lau BH: S-allylcysteine attenuates oxidative stress in endothelial cells. Drug Dev Ind Pharm. 25:619–624. 1999.PubMed/NCBI View Article : Google Scholar

83 

Ide N and Lau BH: Garlic compounds minimize intracellular oxidative stress and inhibit nuclear factor-kappa b activation. J Nutr. 131 (3S):1020S–1026S. 2001.PubMed/NCBI View Article : Google Scholar

84 

Ide N and Lau BH: Garlic compounds protect vascular endothelial cells from oxidized low density lipoprotein-induced injury. J Pharm Pharmacol. 49:908–911. 1997.PubMed/NCBI View Article : Google Scholar

85 

Ide N, Lau BH, Ryu K, Matsuura H and Itakura Y: Antioxidant effects of fructosyl arginine, a Maillard reaction product in aged garlic extract. J Nutr Biochem. 10:372–376. 1999.PubMed/NCBI View Article : Google Scholar

86 

Hiramatsu K, Tsuneyoshi T, Ogawa T and Morihara N: Aged garlic extract enhances heme oxygenase-1 and glutamate-cysteine ligase modifier subunit expression via the nuclear factor erythroid 2-related factor 2-antioxidant response element signaling pathway in human endothelial cells. Nutr Res. 36:143–149. 2016.PubMed/NCBI View Article : Google Scholar

87 

Tsuneyoshi T, Kunimura K and Morihara N: S-1-Propenylcysteine augments BACH1 degradation and heme oxygenase 1 expression in a nitric oxide-dependent manner in endothelial cells. Nitric Oxide. 84:22–29. 2019.PubMed/NCBI View Article : Google Scholar

88 

Tsuneyoshi T: BACH1 mediates the antioxidant properties of aged garlic extract. Exp Ther Med. 19:1500–1503. 2020.PubMed/NCBI View Article : Google Scholar

89 

Kim KM, Chun SB, Koo MS, Choi WJ, Kim TW, Kwon YG, Chung HT, Billiar TR and Kim YM: Differential regulation of NO availability from macrophages and endothelial cells by the garlic component S-allyl cysteine. Free Radic Biol Med. 30:747–756. 2001.PubMed/NCBI View Article : Google Scholar

90 

Geddo F, Querio G, Asteggiano A, Antoniotti S, Porcu A, Occhipinti A, Medana C and Gallo MP: Improving endothelial health with food-derived H2S donors: An in vitro study with S-allyl cysteine and with a black-garlic extract enriched in sulfur-containing compounds. Food Funct. 14:4163–4172. 2023.PubMed/NCBI View Article : Google Scholar

91 

Tsuneyoshi T, Kanamori Y, Matsutomo T and Morihara N: Dehydrodiconiferyl alcohol suppresses monocyte adhesion to endothelial cells by attenuation of JNK signaling pathway. Biochem Biophys Res Commun. 465:408–413. 2015.PubMed/NCBI View Article : Google Scholar

92 

Lei YP, Chen HW, Sheen LY and Lii CK: Diallyl disulfide and diallyl trisulfide suppress oxidized LDL-induced vascular cell adhesion molecule and E-selectin expression through protein kinase A- and B-dependent signaling pathways. J Nutr. 138:996–1003. 2008.PubMed/NCBI View Article : Google Scholar

93 

Miki S, Inokuma KI, Takashima M, Nishida M, Sasaki Y, Ushijima M, Suzuki JI and Morihara N: Aged garlic extract suppresses the increase of plasma glycated albumin level and enhances the AMP-activated protein kinase in adipose tissue in TSOD mice. Mol Nutr Food Res. 61(1600797)2017.PubMed/NCBI View Article : Google Scholar

94 

Adams MR, Jessup W, Hailstones D and Celermajer DS: L-arginine reduces human monocyte adhesion to vascular endothelium and endothelial expression of cell adhesion molecules. Circulation. 95:662–668. 1997.PubMed/NCBI View Article : Google Scholar

95 

Cooke JP, Singer AH, Tsao P, Zera P, Rowan RA and Billingham ME: Antiatherogenic effects of L-arginine in the hypercholesterolemic rabbit. J Clin Invest. 90:1168–1172. 1992.PubMed/NCBI View Article : Google Scholar

96 

Tsao PS, McEvoy LM, Drexler H, Butcher EC and Cooke JP: Enhanced endothelial adhesiveness in hypercholesterolemia is attenuated by L-arginine. Circulation. 89:2176–2182. 1994.PubMed/NCBI View Article : Google Scholar

97 

Kunimura K, Miki S, Takashima M and Suzuki JI: S-1-propenylcysteine improves TNF-α-induced vascular endothelial barrier dysfunction by suppressing the GEF-H1/RhoA/Rac pathway. Cell Commun Signal. 19(17)2021.PubMed/NCBI View Article : Google Scholar

98 

Mehta JL, Sanada N, Hu CP, Chen J, Dandapat A, Sugawara F, Satoh H, Inoue K, Kawase Y, Jishage K, et al: Deletion of LOX-1 reduces atherogenesis in LDLR knockout mice fed high cholesterol diet. Circ Res. 100:1634–1642. 2007.PubMed/NCBI View Article : Google Scholar

99 

Febbraio M, Podrez EA, Smith JD, Hajjar DP, Hazen SL, Hoff HF, Sharma K and Silverstein RL: Targeted disruption of the class B scavenger receptor CD36 protects against atherosclerotic lesion development in mice. J Clin Invest. 105:1049–1056. 2000.PubMed/NCBI View Article : Google Scholar

100 

Kunjathoor VV, Febbraio M, Podrez EA, Moore KJ, Andersson L, Koehn S, Rhee JS, Silverstein R, Hoff HF and Freeman MW: Scavenger receptors class A-I/II and CD36 are the principal receptors responsible for the uptake of modified low density lipoprotein leading to lipid loading in macrophages. J Biol Chem. 277:49982–49988. 2002.PubMed/NCBI View Article : Google Scholar

101 

Morihara N, Ide N and Weiss N: Aged garlic extract inhibits CD36 expression in human macrophages via modulation of the PPARgamma pathway. Phytother Res. 24:602–608. 2010.PubMed/NCBI View Article : Google Scholar

102 

Ide N, Keller C and Weiss N: Aged garlic extract inhibits homocysteine-induced CD36 expression and foam cell formation in human macrophages. J Nutr. 136 (3 Suppl):755S–758S. 2006.PubMed/NCBI View Article : Google Scholar

103 

Morihara N, Ide N and Weiss N: Aged garlic extract inhibits homocysteine-induced scavenger receptor CD36 expression and oxidized low-density lipoprotein cholesterol uptake in human macrophages in vitro. J Ethnopharmacol. 134:711–716. 2011.PubMed/NCBI View Article : Google Scholar

104 

Matsuo M: ABCA1 and ABCG1 as potential therapeutic targets for the prevention of atherosclerosis. J Pharmacol Sci. 148:197–203. 2022.PubMed/NCBI View Article : Google Scholar

105 

Malekpour-Dehkordi Z, Javadi E, Doosti M, Paknejad M, Nourbakhsh M, Yassa N, Gerayesh-Nejad S and Heshmat R: S-Allylcysteine, a garlic compound, increases ABCA1 expression in human THP-1 macrophages. Phytother Res. 27:357–361. 2013.PubMed/NCBI View Article : Google Scholar

106 

Lammers B, Zhao Y, Foks AC, Hildebrand RB, Kuiper J, van Berkel TJC and van Eck M: Leukocyte ABCA1 remains atheroprotective in splenectomized LDL receptor knockout mice. PLoS One. 7(e48080)2012.PubMed/NCBI View Article : Google Scholar

107 

Yvan-Charvet L, Ranalletta M, Wang N, Han S, Terasaka N, Li R, Welch C and Tall AR: Combined deficiency of ABCA1 and ABCG1 promotes foam cell accumulation and accelerates atherosclerosis in mice. J Clin Invest. 117:3900–3908. 2007.PubMed/NCBI View Article : Google Scholar

108 

Wang X, Collins HL, Ranalletta M, Fuki IV, Billheimer JT, Rothblat GH, Tall AR and Rader DJ: Macrophage ABCA1 and ABCG1, but not SR-BI, promote macrophage reverse cholesterol transport in vivo. J Clin Invest. 117:2216–2224. 2007.PubMed/NCBI View Article : Google Scholar

109 

Van Eck M, Singaraja RR, Ye D, Hildebrand RB, James ER, Hayden MR and Van Berkel TJ: Macrophage ATP-binding cassette transporter A1 overexpression inhibits atherosclerotic lesion progression in low-density lipoprotein receptor knockout mice. Arterioscler Thromb Vasc Biol. 26:929–934. 2006.PubMed/NCBI View Article : Google Scholar

110 

Wu J, He S, Song Z, Chen S, Lin X, Sun H, Zhou P, Peng Q, Du S, Zheng S and Liu X: Macrophage polarization states in atherosclerosis. Front Immunol. 14(1185587)2023.PubMed/NCBI View Article : Google Scholar

111 

Bisgaard LS, Mogensen CK, Rosendahl A, Cucak H, Nielsen LB, Rasmussen SE and Pedersen TX: Bone marrow-derived and peritoneal macrophages have different inflammatory response to oxLDL and M1/M2 marker expression-implications for atherosclerosis research. Sci Rep. 6(35234)2016.PubMed/NCBI View Article : Google Scholar

112 

Khallou-Laschet J, Varthaman A, Fornasa G, Compain C, Gaston AT, Clement M, Dussiot M, Levillain O, Graff-Dubois S, Nicoletti A and Caligiuri G: Macrophage plasticity in experimental atherosclerosis. PLoS One. 5(e8852)2010.PubMed/NCBI View Article : Google Scholar

113 

Seifert R, Kuhlmann MT, Eligehausen S, Kiefer F, Hermann S and Schäfers M: Molecular imaging of MMP activity discriminates unstable from stable plaque phenotypes in shear-stress induced murine atherosclerosis. PLoS One. 13(e0204305)2018.PubMed/NCBI View Article : Google Scholar

114 

Li J, Lei HT, Cao L, Mi YN, Li S and Cao YX: Crocin alleviates coronary atherosclerosis via inhibiting lipid synthesis and inducing M2 macrophage polarization. Int Immunopharmacol. 55:120–127. 2018.PubMed/NCBI View Article : Google Scholar

115 

Aharoni S, Lati Y, Aviram M and Fuhrman B: Pomegranate juice polyphenols induce a phenotypic switch in macrophage polarization favoring a M2 anti-inflammatory state. Biofactors. 41:44–51. 2015.PubMed/NCBI View Article : Google Scholar

116 

Bi Y, Chen J, Hu F, Liu J, Li M and Zhao L: M2 macrophages as a potential target for antiatherosclerosis treatment. Neural Plast. 2019(6724903)2019.PubMed/NCBI View Article : Google Scholar

117 

Zhang XN, Zhao N, Guo FF, Wang YR, Liu SX and Zeng T: Diallyl disulfide suppresses the lipopolysaccharide-driven inflammatory response of macrophages by activating the Nrf2 pathway. Food Chem Toxicol. 159(112760)2022.PubMed/NCBI View Article : Google Scholar

118 

Xiang AH, Peters RK, Kjos SL, Ochoa C, Marroquin A, Goico J, Tan S, Wang C, Azen SP, Liu CR, et al: Effect of thiazolidinedione treatment on progression of subclinical atherosclerosis in premenopausal women at high risk for type 2 diabetes. J Clin Endocrinol Metab. 90:1986–1991. 2005.PubMed/NCBI View Article : Google Scholar

119 

Pioglitazone inhibits progression of atherosclerosis. Nat Clin Pract Cardiovasc Med. 5(512)2008.

120 

Nakayama T, Komiyama N, Yokoyama M, Namikawa S, Kuroda N, Kobayashi Y and Komuro I: Pioglitazone induces regression of coronary atherosclerotic plaques in patients with type 2 diabetes mellitus or impaired glucose tolerance: A randomized prospective study using intravascular ultrasound. Int J Cardiol. 138:157–165. 2010.PubMed/NCBI View Article : Google Scholar

121 

Chen R, McVey DG, Shen D, Huang X and Ye S: Phenotypic switching of vascular smooth muscle cells in atherosclerosis. J Am Heart Assoc. 12(e031121)2023.PubMed/NCBI View Article : Google Scholar

122 

Durham AL, Speer MY, Scatena M, Giachelli CM and Shanahan CM: Role of smooth muscle cells in vascular calcification: Implications in atherosclerosis and arterial stiffness. Cardiovasc Res. 114:590–600. 2018.PubMed/NCBI View Article : Google Scholar

123 

Hom C, Luo Y and Budoff MJ: The effects of aged garlic extract on coronary artery calcification progression. J Nutr Food Sci. S5(005)2015.

124 

Yamakawa T, Matsutomo T, Hofmann T and Kodera Y: Aged garlic extract and one of the constituent, (+)-(2S,3R)-dehydrodiconiferyl alcohol, inhibits alkaline phosphatase activity induced by inflammation factors in human vascular smooth muscle cells. Food Nutr Sci. 5:177–184. 2014.

125 

Jackson SP: The growing complexity of platelet aggregation. Blood. 109:5087–5095. 2007.PubMed/NCBI View Article : Google Scholar

126 

Bye AP, Unsworth AJ and Gibbins JM: Platelet signaling: A complex interplay between inhibitory and activatory networks. J Thromb Haemost. 14:918–930. 2016.PubMed/NCBI View Article : Google Scholar

127 

Asada Y, Yamashita A, Sato Y and Hatakeyama K: Pathophysiology of atherothrombosis: Mechanisms of thrombus formation on disrupted atherosclerotic plaques. Pathol Int. 70:309–322. 2020.PubMed/NCBI View Article : Google Scholar

128 

Steiner M and Li W: Aged garlic extract, a modulator of cardiovascular risk factors: A dose-finding study on the effects of AGE on platelet functions. J Nutr. 131 (3S):980S–984S. 2001.PubMed/NCBI View Article : Google Scholar

129 

Rahman K and Billington D: Dietary supplementation with aged garlic extract inhibits ADP-induced platelet aggregation in humans. J Nutr. 130:2662–2665. 2000.PubMed/NCBI View Article : Google Scholar

130 

Macan H, Uykimpang R, Alconcel M, Takasu J, Razon R, Amagase H and Niihara Y: Aged garlic extract may be safe for patients on warfarin therapy. J Nutr. 136 (3 Suppl):793S–795S. 2006.PubMed/NCBI View Article : Google Scholar

131 

Li Z, Delaney MK, O'Brien KA and Du X: Signaling during platelet adhesion and activation. Arterioscler Thromb Vasc Biol. 30:2341–2349. 2010.PubMed/NCBI View Article : Google Scholar

132 

Yacoub D, Théorêt JF, Villeneuve L, Abou-Saleh H, Mourad W, Allen BG and Merhi Y: Essential role of protein kinase C delta in platelet signaling, alpha IIb beta 3 activation, and thromboxane A2 release. J Biol Chem. 281:30024–30035. 2006.PubMed/NCBI View Article : Google Scholar

133 

Lannan KL, Sahler J, Kim N, Spinelli SL, Maggirwar SB, Garraud O, Cognasse F, Blumberg N and Phipps RP: Breaking the mold: Transcription factors in the anucleate platelet and platelet-derived microparticles. Front Immunol. 6(48)2015.PubMed/NCBI View Article : Google Scholar

134 

Morihara N and Hino A: Aged garlic extract suppresses platelet aggregation by changing the functional property of platelets. J Nat Med. 71:249–256. 2017.PubMed/NCBI View Article : Google Scholar

135 

Allison GL, Lowe GM and Rahman K: Aged garlic extract may inhibit aggregation in human platelets by suppressing calcium mobilization. J Nutr. 136 (3 Suppl):789S–792S. 2006.PubMed/NCBI View Article : Google Scholar

136 

Rahman K, Lowe GM and Smith S: Aged garlic extract inhibits human platelet aggregation by altering intracellular signaling and platelet shape change. J Nutr. 146:410S–415S. 2016.PubMed/NCBI View Article : Google Scholar

137 

Allison GL, Lowe GM and Rahman K: Aged garlic extract inhibits platelet activation by increasing intracellular cAMP and reducing the interaction of GPIIb/IIIa receptor with fibrinogen. Life Sci. 91:1275–1280. 2012.PubMed/NCBI View Article : Google Scholar

138 

Qi R, Liao F, Inoue K, Yatomi Y, Sato K and Ozaki Y: Inhibition by diallyl trisulfide, a garlic component, of intracellular Ca(2+) mobilization without affecting inositol-1,4, 5-trisphosphate [IP(3)] formation in activated platelets. Biochem Pharmacol. 60:1475–1483. 2000.

139 

Tian KJ, Yang Y, Chen GS, Deng NH, Tian Z, Bai R, Zhang F and Jiang ZS: Omics research in atherosclerosis. Mol Cell Biochem: Oct 24, 2024 (Epub ahead of print).

140 

Duan M, Zhao WL, Zhou L, Novák P, Zhu X and Yin K: Omics research in vascular calcification. Clin Chim Acta. 511:319–328. 2020.PubMed/NCBI View Article : Google Scholar

141 

Wu X and Zhang H: Omics approaches unveiling the biology of human atherosclerotic plaques. Am J Pathol. 194:482–498. 2024.PubMed/NCBI View Article : Google Scholar

142 

Das V, Zhang X, Djordjevic D, Bergman Q, Narayanan S, Shungin D, Chemaly M, Karadimou G, Vuckovic S, Prasad I, et al: Multi-omics integration from a large human biobank identifies key molecular mechanisms and signatures of atherosclerotic plaque instability. Atherosclerosis. 395 (Suppl 1)(S117757)2024.

143 

Sánchez-Cabo F, Fuster V, Silla-Castro JC, González G, Lorenzo-Vivas E, Alvarez R, Callejas S, Benguría A, Gil E, Núñez E, et al: Subclinical atherosclerosis and accelerated epigenetic age mediated by inflammation: A multi-omics study. Eur Heart J. 44:2698–2709. 2023.PubMed/NCBI View Article : Google Scholar

144 

Kardassis D, Vindis C, Stancu CS, Toma L, Gafencu AV, Georgescu A, Alexandru-Moise N, Molica F, Kwak BR, Burlacu A, et al: Unravelling molecular mechanisms in atherosclerosis using cellular models and omics technologies. Vascul Pharmacol. 158(107452)2024.PubMed/NCBI View Article : Google Scholar : (Epub ahead of print).

Related Articles

  • Abstract
  • View
  • Download
  • Twitter
Copy and paste a formatted citation
Spandidos Publications style
Miki S, Takashima M and Suzuki J: Anti‑atherosclerotic effect of aged garlic extract: Mode of action and therapeutic benefits (Review). Exp Ther Med 29: 104, 2025.
APA
Miki, S., Takashima, M., & Suzuki, J. (2025). Anti‑atherosclerotic effect of aged garlic extract: Mode of action and therapeutic benefits (Review). Experimental and Therapeutic Medicine, 29, 104. https://doi.org/10.3892/etm.2025.12854
MLA
Miki, S., Takashima, M., Suzuki, J."Anti‑atherosclerotic effect of aged garlic extract: Mode of action and therapeutic benefits (Review)". Experimental and Therapeutic Medicine 29.5 (2025): 104.
Chicago
Miki, S., Takashima, M., Suzuki, J."Anti‑atherosclerotic effect of aged garlic extract: Mode of action and therapeutic benefits (Review)". Experimental and Therapeutic Medicine 29, no. 5 (2025): 104. https://doi.org/10.3892/etm.2025.12854
Copy and paste a formatted citation
x
Spandidos Publications style
Miki S, Takashima M and Suzuki J: Anti‑atherosclerotic effect of aged garlic extract: Mode of action and therapeutic benefits (Review). Exp Ther Med 29: 104, 2025.
APA
Miki, S., Takashima, M., & Suzuki, J. (2025). Anti‑atherosclerotic effect of aged garlic extract: Mode of action and therapeutic benefits (Review). Experimental and Therapeutic Medicine, 29, 104. https://doi.org/10.3892/etm.2025.12854
MLA
Miki, S., Takashima, M., Suzuki, J."Anti‑atherosclerotic effect of aged garlic extract: Mode of action and therapeutic benefits (Review)". Experimental and Therapeutic Medicine 29.5 (2025): 104.
Chicago
Miki, S., Takashima, M., Suzuki, J."Anti‑atherosclerotic effect of aged garlic extract: Mode of action and therapeutic benefits (Review)". Experimental and Therapeutic Medicine 29, no. 5 (2025): 104. https://doi.org/10.3892/etm.2025.12854
Follow us
  • Twitter
  • LinkedIn
  • Facebook
About
  • Spandidos Publications
  • Careers
  • Cookie Policy
  • Privacy Policy
How can we help?
  • Help
  • Live Chat
  • Contact
  • Email to our Support Team