Spandidos Publications Logo
  • About
    • About Spandidos
    • Aims and Scopes
    • Abstracting and Indexing
    • Editorial Policies
    • Reprints and Permissions
    • Job Opportunities
    • Terms and Conditions
    • Contact
  • Journals
    • All Journals
    • Oncology Letters
      • Oncology Letters
      • Information for Authors
      • Editorial Policies
      • Editorial Board
      • Aims and Scope
      • Abstracting and Indexing
      • Bibliographic Information
      • Archive
    • International Journal of Oncology
      • International Journal of Oncology
      • Information for Authors
      • Editorial Policies
      • Editorial Board
      • Aims and Scope
      • Abstracting and Indexing
      • Bibliographic Information
      • Archive
    • Molecular and Clinical Oncology
      • Molecular and Clinical Oncology
      • Information for Authors
      • Editorial Policies
      • Editorial Board
      • Aims and Scope
      • Abstracting and Indexing
      • Bibliographic Information
      • Archive
    • Experimental and Therapeutic Medicine
      • Experimental and Therapeutic Medicine
      • Information for Authors
      • Editorial Policies
      • Editorial Board
      • Aims and Scope
      • Abstracting and Indexing
      • Bibliographic Information
      • Archive
    • International Journal of Molecular Medicine
      • International Journal of Molecular Medicine
      • Information for Authors
      • Editorial Policies
      • Editorial Board
      • Aims and Scope
      • Abstracting and Indexing
      • Bibliographic Information
      • Archive
    • Biomedical Reports
      • Biomedical Reports
      • Information for Authors
      • Editorial Policies
      • Editorial Board
      • Aims and Scope
      • Abstracting and Indexing
      • Bibliographic Information
      • Archive
    • Oncology Reports
      • Oncology Reports
      • Information for Authors
      • Editorial Policies
      • Editorial Board
      • Aims and Scope
      • Abstracting and Indexing
      • Bibliographic Information
      • Archive
    • Molecular Medicine Reports
      • Molecular Medicine Reports
      • Information for Authors
      • Editorial Policies
      • Editorial Board
      • Aims and Scope
      • Abstracting and Indexing
      • Bibliographic Information
      • Archive
    • World Academy of Sciences Journal
      • World Academy of Sciences Journal
      • Information for Authors
      • Editorial Policies
      • Editorial Board
      • Aims and Scope
      • Abstracting and Indexing
      • Bibliographic Information
      • Archive
    • International Journal of Functional Nutrition
      • International Journal of Functional Nutrition
      • Information for Authors
      • Editorial Policies
      • Editorial Board
      • Aims and Scope
      • Abstracting and Indexing
      • Bibliographic Information
      • Archive
    • International Journal of Epigenetics
      • International Journal of Epigenetics
      • Information for Authors
      • Editorial Policies
      • Editorial Board
      • Aims and Scope
      • Abstracting and Indexing
      • Bibliographic Information
      • Archive
    • Medicine International
      • Medicine International
      • Information for Authors
      • Editorial Policies
      • Editorial Board
      • Aims and Scope
      • Abstracting and Indexing
      • Bibliographic Information
      • Archive
  • Articles
  • Information
    • Information for Authors
    • Information for Reviewers
    • Information for Librarians
    • Information for Advertisers
    • Conferences
  • Language Editing
Spandidos Publications Logo
  • About
    • About Spandidos
    • Aims and Scopes
    • Abstracting and Indexing
    • Editorial Policies
    • Reprints and Permissions
    • Job Opportunities
    • Terms and Conditions
    • Contact
  • Journals
    • All Journals
    • Biomedical Reports
      • Information for Authors
      • Editorial Policies
      • Editorial Board
      • Aims and Scope
      • Abstracting and Indexing
      • Bibliographic Information
      • Archive
    • Experimental and Therapeutic Medicine
      • Information for Authors
      • Editorial Policies
      • Editorial Board
      • Aims and Scope
      • Abstracting and Indexing
      • Bibliographic Information
      • Archive
    • International Journal of Epigenetics
      • Information for Authors
      • Editorial Policies
      • Editorial Board
      • Aims and Scope
      • Abstracting and Indexing
      • Bibliographic Information
      • Archive
    • International Journal of Functional Nutrition
      • Information for Authors
      • Editorial Policies
      • Editorial Board
      • Aims and Scope
      • Abstracting and Indexing
      • Bibliographic Information
      • Archive
    • International Journal of Molecular Medicine
      • Information for Authors
      • Editorial Policies
      • Editorial Board
      • Aims and Scope
      • Abstracting and Indexing
      • Bibliographic Information
      • Archive
    • International Journal of Oncology
      • Information for Authors
      • Editorial Policies
      • Editorial Board
      • Aims and Scope
      • Abstracting and Indexing
      • Bibliographic Information
      • Archive
    • Medicine International
      • Information for Authors
      • Editorial Policies
      • Editorial Board
      • Aims and Scope
      • Abstracting and Indexing
      • Bibliographic Information
      • Archive
    • Molecular and Clinical Oncology
      • Information for Authors
      • Editorial Policies
      • Editorial Board
      • Aims and Scope
      • Abstracting and Indexing
      • Bibliographic Information
      • Archive
    • Molecular Medicine Reports
      • Information for Authors
      • Editorial Policies
      • Editorial Board
      • Aims and Scope
      • Abstracting and Indexing
      • Bibliographic Information
      • Archive
    • Oncology Letters
      • Information for Authors
      • Editorial Policies
      • Editorial Board
      • Aims and Scope
      • Abstracting and Indexing
      • Bibliographic Information
      • Archive
    • Oncology Reports
      • Information for Authors
      • Editorial Policies
      • Editorial Board
      • Aims and Scope
      • Abstracting and Indexing
      • Bibliographic Information
      • Archive
    • World Academy of Sciences Journal
      • Information for Authors
      • Editorial Policies
      • Editorial Board
      • Aims and Scope
      • Abstracting and Indexing
      • Bibliographic Information
      • Archive
  • Articles
  • Information
    • For Authors
    • For Reviewers
    • For Librarians
    • For Advertisers
    • Conferences
  • Language Editing
Login Register Submit
  • This site uses cookies
  • You can change your cookie settings at any time by following the instructions in our Cookie Policy. To find out more, you may read our Privacy Policy.

    I agree
Search articles by DOI, keyword, author or affiliation
Search
Advanced Search
presentation
Experimental and Therapeutic Medicine
Join Editorial Board Propose a Special Issue
Print ISSN: 1792-0981 Online ISSN: 1792-1015
Journal Cover
May-2025 Volume 29 Issue 5

Full Size Image

Sign up for eToc alerts
Recommend to Library

Journals

International Journal of Molecular Medicine

International Journal of Molecular Medicine

International Journal of Molecular Medicine is an international journal devoted to molecular mechanisms of human disease.

International Journal of Oncology

International Journal of Oncology

International Journal of Oncology is an international journal devoted to oncology research and cancer treatment.

Molecular Medicine Reports

Molecular Medicine Reports

Covers molecular medicine topics such as pharmacology, pathology, genetics, neuroscience, infectious diseases, molecular cardiology, and molecular surgery.

Oncology Reports

Oncology Reports

Oncology Reports is an international journal devoted to fundamental and applied research in Oncology.

Experimental and Therapeutic Medicine

Experimental and Therapeutic Medicine

Experimental and Therapeutic Medicine is an international journal devoted to laboratory and clinical medicine.

Oncology Letters

Oncology Letters

Oncology Letters is an international journal devoted to Experimental and Clinical Oncology.

Biomedical Reports

Biomedical Reports

Explores a wide range of biological and medical fields, including pharmacology, genetics, microbiology, neuroscience, and molecular cardiology.

Molecular and Clinical Oncology

Molecular and Clinical Oncology

International journal addressing all aspects of oncology research, from tumorigenesis and oncogenes to chemotherapy and metastasis.

World Academy of Sciences Journal

World Academy of Sciences Journal

Multidisciplinary open-access journal spanning biochemistry, genetics, neuroscience, environmental health, and synthetic biology.

International Journal of Functional Nutrition

International Journal of Functional Nutrition

Open-access journal combining biochemistry, pharmacology, immunology, and genetics to advance health through functional nutrition.

International Journal of Epigenetics

International Journal of Epigenetics

Publishes open-access research on using epigenetics to advance understanding and treatment of human disease.

Medicine International

Medicine International

An International Open Access Journal Devoted to General Medicine.

Journal Cover
May-2025 Volume 29 Issue 5

Full Size Image

Sign up for eToc alerts
Recommend to Library

  • Article
  • Citations
    • Cite This Article
    • Download Citation
    • Create Citation Alert
    • Remove Citation Alert
    • Cited By
  • Similar Articles
    • Related Articles (in Spandidos Publications)
    • Similar Articles (Google Scholar)
    • Similar Articles (PubMed)
  • Download PDF
  • Download XML
  • View XML

  • Supplementary Files
    • Supplementary_Data.pdf
Article

Deciphering the anti‑influenza potential of Eucommiae Cortex based on bioinformatics analysis: In silico and in vitro experiments

  • Authors:
    • Aleksandra Nowakowska
    • Minjee Kim
  • View Affiliations / Copyright

    Affiliations: Department of Biomedical Science and Engineering, Konkuk University Convergence Science and Technology Institute, Konkuk University, Seoul 05029, Republic of Korea
  • Article Number: 106
    |
    Published online on: March 27, 2025
       https://doi.org/10.3892/etm.2025.12856
  • Expand metrics +
Metrics: Total Views: 0 (Spandidos Publications: | PMC Statistics: )
Metrics: Total PDF Downloads: 0 (Spandidos Publications: | PMC Statistics: )
Cited By (CrossRef): 0 citations Loading Articles...

This article is mentioned in:


Abstract

Influenza infections damage the airway and induce the innate immune response that contributes to hyper‑inflammation. Eucommiae Cortex (EC) enhances immune function and suppresses inflammation. To determine potential compounds and targets of EC associated with influenza, bioinformatics analyses and experimental verification were employed. The active compounds of EC were retrieved from the Traditional Chinese Medicine Systems Pharmacology database. The intersecting targets of EC and influenza were determined and examined using network pharmacology to analyze the relationship between the compounds and disease targets. The network identified three main compounds (quercetin, genistein and kaempferol) and four main targets (IL6, BCL2, IL1B and TNF). The ligand‑target binding affinity was calculated by molecular docking, a computational method used in drug design to predict the interaction between the compound and protein target. The docking results revealed that kaempferol and TNF showed the strongest binding affinity. In vitro experiments confirmed the therapeutic effect of EC in influenza virus‑infected Madin‑Darby canine kidney cells. Collectively, the present study identified the active compounds and potential targets of EC in influenza and suggested EC as a future influenza treatment.

Introduction

Influenza is an infectious viral disease that causes mild to severe respiratory complications. The mild symptoms associated with influenza include fever, cough and muscle pains. The severe symptoms include lethal pneumonia due to the virus or secondary bacterial infection (1,2). Influenza viruses are enveloped negative-sense single-strand RNA viruses, which encode viral glycoproteins [haemagglutinin (HA) and neuraminidase (NA)] that facilitate viral entry. The HA and NA viral proteins are the main targets for human antibodies. These proteins also serve as the primary sites for the accumulating mutations in the virus (3,4). This antigenic drift requires frequent updates of influenza vaccines. Therefore, antivirals are essential for treating virus-infected patients and preventing infection in virus-exposed individuals (3,4). There are currently five Food and Drug Administration-approved drugs for influenza: Oseltamivir phosphate, zanamivir, baloxavir, marboxil and peramivir (5). However, the high prevalence of drug resistance is a major challenge (6).

Herbal medicines and natural products exhibit numerous advantages in early intervention, combination therapies and uncomplicated diseases due to their multi-components exerting synergistic effects (7). Eucommiae Cortex (EC) is a traditional medicine used in Asia to tonify the liver and kidney, and also known to be effective in osteoporosis (8). Chemical characterization studies of EC have shown that lignans, iridoids, phenols, steroids and flavonoids are the main bioactive components of EC, which have anti-inflammatory, antioxidant, antitumor and antiviral effects (9,10).

Identifying the molecular mechanisms of plant extracts is complicated due to the synergistic effects of the multiple active compounds and targets involved (11). The concept of bioinformatics analysis using network pharmacology emphasizes ‘multi-target, multi-component therapeutics’ which indicates synergistic and holistic approach (12). Bioinformatics research is time-saving research compared with conventional research and may identify novel compounds and targets of unresolved infectious diseases (13).

In the present study, in an attempt to identify active compounds and targets of EC in influenza, common targets of EC and influenza were retrieved. The active compounds were identified by analyzing the compound-target (C-T) networks, and potential targets were examined by generating a protein-protein interaction (PPI) network. Molecular docking was applied to observe the binding affinity of each ligand and target to identify the main compounds and targets of EC. Further in vitro experiments were conducted to measure antiviral effects to identify the effect of EC on influenza.

Materials and methods

In silico analyses. Active compounds of EC and potential targets of influenza

The active compounds of EC were screened using the Traditional Chinese Medicine Systems Pharmacology (TCMSP) database (https://www.tcmsp-e.com/), a systems pharmacology platform for herbal medicines that integrates pharmacokinetic properties and targets associated with herbal drugs. Potential target genes of EC were investigated using DrugBank (https://go.drugbank.com/) to access disease target in association with the natural compounds. Influenza target genes (Homo sapiens) were retrieved from Kyoto Encyclopedia of Genes and Genomes (KEGG; https://www.genome.jp/kegg/pathway.html) and GeneCards (https://www.genecards.org/) to retrieve gene functions and underlying biological mechanisms. The common intersecting targets were retrieved using Venny-2.1.0 web (https://bioinfogp.cnb.csic.es/tools/venny/).

Network construction and analysis. Network pharmacology is a computational drug design method to identify active compounds and targets through the connection of nodes in a biological network, and further clarify the mechanism of compound actions. The active compounds were screened by analyzing the C-T network constructed using Cytoscape (https://cytoscape.org/, version 3.9.0) to visualize and analyze the networks. The PPI network was generated using the Search Tool for the Retrieval of Interacting Genes/Proteins (STRING) database (https://string-db.org/, version 12.0) to interpret the raw lists of screened targets and determine the functional connections among proteins with a high confidence (0.700) setting. The intersecting core target datasets were imported into Cytoscape (version 3.9.0), and then analyzed to determine hub targets.

Gene Ontology (GO) and pathway enrichment analysis. GO and pathway analyses were performed using the Database for Annotation, Visualization and Integrated Discovery (DAVID; https://david.ncifcrf.gov).

Molecular docking analysis. Molecular docking is a computational modeling method to study and predict the interaction between a compound (or ligand) and a protein target. The method aims to identify the binding sites and evaluate the binding affinity using the scoring system using the AutoDock tool (https://vina.scripps.edu/, ver. 1.1.2) (14). Binding affinity is defined as the strength of the interaction between the ligand and its target based on Gibbs free energy. The smaller the equilibrium dissociation constant value, the greater the binding affinity (15). Active compounds were docked into hub targets obtained from the network for C-T interaction analysis. 3D structures of potential compounds were downloaded from the PubChem database (https://pubchem.ncbi.nlm.nih.gov/) and converted into Protein Data Bank (PDB) files using Biovia Discovery Studio (https://www.3ds.com/products/biovia/discovery-studio, version 20.1.0.19295). The main targets in the 3D version were obtained from the Research Collaboratory for Structural Bioinformatics PDB [https://www.rcsb.org/; for the targets IL-6 (PDB ID: 1P9M), BCL2 (PDB ID: 6GL8), IL1B (PDB ID: 1ITB) and TNF (PDB ID: 1TNF)]. Molecular docking analysis was performed with the AutoDock Vina (ver.1.1.2) option in Pyrx (https://pyrx.sourceforge.io/, ver.0.9.6) based on scoring functions. The 2D interactions of ligands and targets were analyzed using Biovia Discovery Studio.

In vitro analyses. Plant material, cells and viral infection

EC extract was purchased from the National Development Institute of Korean Medicine (https://nikom.or.kr/). The plant source is the stem bark of Eucommia ulmoides Oliver. A total of 3.5 liters of 70% ethanol was added to EC and the sample was extracted for 3 h at room temperature. The solvent was then filtered and separated using filter paper (Hyundai No. 2; cat. no. HD2-090). The filtrate was collected and concentrated under reduced pressure using a rotary vacuum evaporator, followed by freeze-drying to obtain the extract.

Madin-Darby canine kidney (MDCK) cells were purchased from American Type Culture Collection (cat. no. CCL 34) and cultured at 37˚C and 5% CO2 in Minimum Essential Medium (BYLABS) supplemented with 10% fetal bovine serum (Gibco; Thermo Fisher Scientific, Inc.) and 1% penicillin/streptomycin. Human Influenza A subtype H1N1 (Ca/07/09) was supplied by the Centers for Disease Control and Prevention. The virus titer, calculated according to the Reed-Muench endpoint method, was 7x107 50% tissue culture infectious dose (TCID50)/ml (16). All experiments were performed in a biosafety level 2 facility.

Cytotoxicity and antiviral assay

To calculate the 50% cytotoxic concentration (CC50) of the EC extract, the viability of treated cells was determined by a WST assay using an EZ-Cytox kit (Daeil Lab Service, http://www.daeillab.co.kr). MDCK cells were seeded at density 1.5x104 cells/well in a 96-well plate for 24 h, and treated with a series of 2-fold diluted extracts for 48 h. The CC50 value of the extract was calculated by regression analysis based on spectrophotometric measurements at 450 nm performed after 1 h incubation of reagent (10 µl/well) with the cells.

The antiviral properties of the EC extract against H1N1 Influenza A infection at a dose of 100 TCID50/well were characterized by four assays: Pretreatment, attachment inhibition, co-treatment and post-treatment assays. In the pre-treatment assay, cells were treated with non-toxic doses (2-250 µg/ml) of extract and incubated for 1 h at 37˚C, followed by a 1 h infection at 37˚C (100 TCID50/well). In the attachment inhibition and co-treatment experiments, cells were simultaneously co-incubated for 1 h with the virus and different doses (2-250 µg/ml) at 4˚C (attachment inhibition assay) or 37˚C (co-treatment assay). In the post-treatment assay, cells were infected with the virus for 1 h at 37˚C. Following viral removal, cells were treated with EC extract at concentrations ranging from 2-250 µg/ml for 2 days at 37˚C. After 48 h, cell viability was examined using a WST cell viability assay.

Time-of-addition assay

MDCK cells were seeded at density 1.5x104 cells/well and incubated for 24 h at 37˚C. The cell monolayer was infected with the virus at a dose of 100 TCID50/well for 1 h (37˚C). Subsequently, cells were treated (37˚C) with 100 or 200 µg/ml EC extract at 2, 4, 8 and 12 h post-infection. After 48 h, cell viability was evaluated based on spectrophotometric measurements (450 nm) using a WST assay kit (10 µl/well).

Statistical analysis

To evaluate the dose-dependent antiviral effects of the EC extract, significant differences between treatment groups were determined by one-way analysis of variance. Dunnett's test was used to characterize the effective dose of the extract by comparing treated groups with the infected-untreated control group. An unpaired t-test was used to compare the viability of cells treated with an extract at a specific concentration to the negative control (NTC) in cytotoxicity experiment. All statistical analyses were performed using GraphPad Prism 8.0.2 (Dotmatics). P<0.05 was considered to indicate a statistically significant difference. The results reflect an average ± standard deviation of three or more repetitions.

Results

Active compounds and target prediction

A total of 28 active compounds were retrieved from TCMSP based on the criteria of oral bioavailability (OB) ≥30 and drug-likeness (DL) ≥0.18, following database suggestions. Based on other studies of EC, genistein (OB, 17.93; DL, 0.21) was included as an active compound in the present study (17,18). The potential targets regulated by these compounds were determined using the TCMSP and DataBank databases (https://go.drugbank.com/). The targets of influenza were searched in KEGG and GeneCards databases, with the species ‘Homo sapiens’. Overall, 26 intersecting targets were identified (Fig. 1).

Figure 1

Hub target prediction. Targets associated with EC extracts and influenza. A total of 26 hub targets were retrieved. EC, Eucommiae Cortex.

Active compound and target network analysis

For the 28 active compounds, 132 targets were identified using the DrugBank database. The C-T network was constructed using Cytoscape and indicated that 11 active compounds were linked to 26 hub targets. The network contained 37 nodes and 53 edges (Fig. 2). Based on the network, it was identified that quercetin showed the highest degree (degree of 18), followed by genistein (13) and kaempferol (9).

Figure 2

Compound-Disease Target network analysis. The network was constructed and analyzed using Cytoscape. A total of 37 nodes and 53 edges were identified in the network. Diamond nodes indicate compounds and rectangle nodes indicate disease targets. Quercetin showed the highest degree (degree of 18), followed by genistein (13) and kaempferol (10).

Hub target PPI network analysis

The dataset of 26 hub targets of EC associated with influenza was used as a dataset to construct the PPI network in STRING and imported into Cytoscape for network analysis (Fig. 3). According to the database, PPI enrichment showed a P-value <1.0-16 and the average local clustering coefficient was 0.66. The network contained 26 nodes and 80 edges. Based on the network, IL-6 had the highest degree of 14, followed by BCL2, IL1B and TNF (degree of 13).

Figure 3

PPI network analysis. The PPI network shows the link between the hub targets. The degree of a node refers to the number of connections between the proteins. IL-6 had the highest degree of 14, followed by BCL2, IL1B and TNF (degree of 13). Purple nodes indicate compounds of EC and blue nodes indicate the targets. PPI, protein-protein interaction.

KEGG signaling pathway analysis

Based on the 26 hub targets, top 10 KEGG signaling pathways were identified from DAVID and plotted in bubble diagrams (Fig. 4; Table SI). The analysis revealed that ‘influenza A’ was ranked ninth highest in the pathway analysis, and two inflammation-associated pathways (‘IL-17 signaling pathway’ and ‘TNF signaling pathway’) were identified.

Figure 4

Top 10 Kyoto Encyclopedia of Genes and Genomes signaling pathways were plotted in bubble diagrams.

Molecular docking analysis

A total of three active compounds (quercetin, kaempferol and genistein) and four targets (IL-6, BCL2, IL1B and TNF) were selected as main hub targets for EC in influenza based on the highest degree results in two networks. The four main targets were docked with the main compounds using the AutoDock Vina option in Pyrx. The results indicated that kaempferol had the strongest binding with TNF (Table I).

Table I

Binding affinity of Eucommiae Cortex active compounds with influenza targets.

Table I

Binding affinity of Eucommiae Cortex active compounds with influenza targets.

 Binding affinity (kcal/mol)
CompoundIL6 (1P9M)BCL2 (6GL8)IL1B (1ITB)TNF (1TNF)
Quercetin-7.3-6.9-6.6-8.9
Kaempferol-6.9-6.6-6.2-9.1
Genistein-6.6-6.8-6.6-8.8

The 3D- and 2D-interactions of kaempferol and TNF were analyzed using Biovia Discovery Studio (Fig. 5). Kaempferol was found to interact with TNF amino acids PRO100, GLN102 and GLU116 via hydrogen bonds, and GLU116 via a π-anion.

Figure 5

Ligand-receptor interaction of kaempferol-TNF in 3D- and 2D-simulation was constructed and analyzed using Biovia Discovery Studio.

Cytotoxicity and antiviral assay

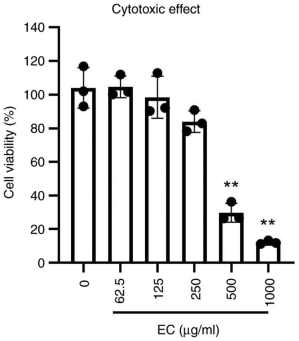
To determine the concentration range of EC extract in vitro, a cytotoxicity assay was performed. Treatment with the concentrations of 500 and 1,000 µg/ml significantly reduced cell viability to 10-30% compared with that of non-treated cells (Fig. 6).

Figure 6

Cytotoxic effect of EC ethanolic extract in Madin-Darby canine kidney cells. Cells were incubated with extract at concentrations of 1,000 µg/ml and below for 48 h at 37˚C with 5% CO2. Cell viability was tested by spectrophotometric measurements based on the WST assay protocol. **P<0.01 vs. untreated control group. EC, Eucommiae Cortex.

A total of four different in vitro antiviral assays were performed to verify the anti-influenza potentials of EC (Fig. 7). The results of pre-treatment and attachment inhibition assays indicated low antiviral activities at the earliest stages of infection. To assess these phases of the Influenza virus infection cycle, experiments were performed by adding the treatment at specific timepoints representing initial virus-host cell interactions: before virus infection (pre-treatment) and during virus adsorption to cells. Only pre-treatment with 250 µg/ml resulted in post-infection cell viability at a significant higher level compared with the other infected groups. Only pre-treatment with 250 µg/ml resulted in post-infection cell viability at a higher level compared with the other infected groups. The co-incubation of the cells with the virus and extract at a concentration between 62.5 and 250 µg/ml effectively inhibited influenza infection and increased cell survival to 80-100%. The anti-influenza properties were most effective at the late stage of infection, which was confirmed by the post-treatment experiment. Inoculation of extract after viral pre-adsorption yielded the best results, showing that extract dilutions down to 2 µg/ml successfully protected cells from infection-induced death

Figure 7

Antiviral properties of the EC extract. The antiviral properties were assessed using (A) Pre-Treatment, (B) Attachment Inhibition, (C) Co-Treatment, and (D) Post-Treatment Assays. Significance: *P<0.05 and **P<0.01 compared to the virus-only control group. EC, Eucommiae Cortex; NTC, not-treated/not-infected group; V(+), infected/not-treated group.

To determine the Selectivity Index (SI), non-linear regression analysis of cytotoxicity and pre-treatment assay outcomes were calculated. The mean CC50 value was >300 µg/ml, while the IC50 value was >13 µg/ml, resulting in an SI index of 23 (Table II).

Table II

CC50, IC50 and SI value of the Eucommiae Cortex ethanolic extract.

Table II

CC50, IC50 and SI value of the Eucommiae Cortex ethanolic extract.

CC50 (µg/ml)IC50 (µg/ml)SI
>300>1323

[i] CC50, 50% cytotoxic concentration; SI, Selectivity Index.

Time-of-addition assay

To determine the time-point of infection, EC extract was added at different time-points (Fig. 8). The highest survival rate was observed at 4 h post-infection, and all the sample-treated groups showed significant improvements in cell conditions compared with the infected-untreated group. These results verified the effective therapeutic activity of EC extract against the H1N1 influenza virus.

Figure 8

Time-of-addition assay. Madin-Darby canine kidney cells were pre-infected for 1 h with the influenza virus. After the virus removal, EC extract treatments started after 2, 4, 8 or 12 h and cell viability was detected after 48 h. **P<0.01 compared with virus-only control. EC, Eucommiae Cortex; NTC, not-infected/not-treated control group; V(+), infected and not-treated group.

Discussion

With the emergence of influenza virus variants, public health needs to acknowledge the need for the development of novel antiviral treatments. In the present study, active compounds of EC and targets associated with influenza were identified using network pharmacology and molecular docking. Antiviral effects were confirmed by in vitro experiments. Based on the bioinformatics analysis, three main compounds (quercetin, genistein and kaempferol) and four hub targets (IL6, BCL2, IL1B and TNF) were identified. The C-T docking results indicated that kaempferol and TNF showed the strongest binding. In the antiviral assays, post-treatment with the EC extract had the most potent effect, indicating its promising potential as a treatment.

Influenza virus initiates the activation of numerous proinflammatory cytokines and chemokines (19). TNF-α is a cytokine that is responsible for the immune response and has been reported to increase susceptibility to H1N1 in humans (19). The upregulation of TNF-α expression can cause an increase in cytokine production via the STAT3, MAPK and NF-κB pathways, which leads to pulmonary edema and lung injury (20). Based on the KEGG and molecular docking results in the present study, the ‘TNF signaling pathway’ was identified as a significant pathway and target, which corresponds to previous research (20).

Kaempferol is a flavonoid found in various plants, and possesses well-known antioxidant, anti-inflammatory and antimicrobial properties (21). Flavonoids, including kaempferol, are reported to be effective viral NA inhibitors (22). Kaempferol compounds from the extract of Eupatorium perfoliatum L. have been reported to be effective against influenza A (23). Another study demonstrated that kaempferol extracted from Brazilian propolis AF-08 suppressed viral growth in the respiratory tract (24). Furthermore, the orally administered kaempferol group in mouse inhibited weight reduction and prolonged survival compared with the non-administered group (24). In the present study, kaempferol was identified as the main active compound in EC extract and it was hypothesized that kaempferol exe5yhrts synergistic effects with other compounds against influenza, which was verified by in vitro experiments.

Network pharmacology is an evidence-based drug discovery approach that explores novel compounds and targets. However, its application to herbal formulas is limited by a lack of standardization studies, and the parameters of OB and DL may vary in clinical cases (25). While the present study showed promising results, the adapted in vitro model is a simplified representation of infection. Given that the pathogenesis and influenza growth kinetics are well described in MDCK cells, this cell line was used in the present investigation (26,27). However, relying on a single cell type may not capture the full spectrum of cellular interactions involved in antiviral activity. Additionally, a fixed viral dose (100 TCID50/well) and specific infection timing may not accurately reflect the dynamics and complexity of the natural course of infection. Furthermore, the current experiments focused on the H1N1 virus, making it impossible to determine whether the observed results apply to other influenza strains. Therefore, further studies, including in vivo experiments, are required in the future.

In conclusion, in silico and in vitro studies were applied to identify novel compounds and targets of EC due to complex matrices of plant extracts (28). Elucidating the underlying pathways is difficult because of the synergistic effects of the active compounds and multiple therapeutic targets (11). Computational research is a promising method to identify novel compounds and targets in natural product studies. It is suggested that the EC extract may possess antiviral potential against influenza and can be developed as a therapeutic application.

Supplementary Material

SRplot 081.

Acknowledgements

Not applicable.

Funding

Funding: The present study was supported by Konkuk University.

Availability of data and materials

The data generated in the present study may be requested from the corresponding author.

Authors' contributions

AN and MK confirm the authenticity of all the raw data. AN and MK contributed to the study conception and design. MK performed material preparation, data collection and analysis, and wrote the first draft of the manuscript. AN conducted the in vitro study. Both authors commented on previous versions of the manuscript. All authors read and approved the final version of the manuscript.

Ethics approval and consent to participate

Not applicable.

Patient consent for publication

Not applicable.

Competing interests

The authors declare that they have no competing interests.

References

1 

Sellers SA, Hagan RS, Hayden FG and Fischer WA: The hidden burden of influenza: A review of the extra-pulmonary complications of influenza infection. Influenza Other Respir Viruses. 11:372–393. 2017.PubMed/NCBI View Article : Google Scholar

2 

Krammer F: The human antibody response to influenza A virus infection and vaccination. Nat Rev Immunol. 19:383–397. 2019.PubMed/NCBI View Article : Google Scholar

3 

Bouvier NM and Palese P: The biology of influenza viruses. Vaccine. 26 (Suppl):D49–D53. 2008.PubMed/NCBI View Article : Google Scholar

4 

Kim H, Webster RG and Webby RJ: Influenza virus: Dealing with a drifting and shifting pathogen. Viral immunol. 31:174–183. 2018.PubMed/NCBI View Article : Google Scholar

5 

Li Y, Huo S, Yin Z, Tian Z, Huang F, Liu P, Liu Y and Yu F: The current state of research on influenza antiviral drug development: drugs in clinical trial and licensed drugs. mBio. 14(e0127323)2023.PubMed/NCBI View Article : Google Scholar

6 

Krammer F, Smith GJD, Fouchier RAM, Peiris M, Kedzierska K, Doherty PC, Palese P, Shaw ML, Treanor J, Webster RG and García-Sastre A: Influenza. Nat Rev Dis Primers. 4(3)2018.PubMed/NCBI View Article : Google Scholar

7 

Zhao L, Yu X, Wu S, Xia K, Wang Y, Qin P, Huang Z, Kang C, Yuan Z and Li Y: Pharmacokinetic profiling and network pharmacology of honey-fried Licorice: An integrative workflow to study traditional Chinese medicines (TCMs). J Chromatogr B Analyt Technol Biomed Life Sci. 1:1248, 124353. 2024.PubMed/NCBI View Article : Google Scholar

8 

Huai Y, Zhang WJ, Wang W, Dang K, Jiang SF, Li DM, Li M, Hao Q, Miao ZP, Li Y and Qian AR: Systems pharmacology dissection of action mechanisms for herbs in osteoporosis treatment. Chin Herb Med. 13:313–331. 2021.PubMed/NCBI View Article : Google Scholar

9 

Zhu MQ and Sun RC: Eucommia ulmoides oliver: A potential feedstock for bioactive products. J Agric Food Chem. 66:5433–5438. 2018.PubMed/NCBI View Article : Google Scholar

10 

Hussain T, Tan B, Liu G, Oladele OA, Rahu N, Tossou MC and Yin Y: Health-promoting properties of eucommia ulmoides: A review. Evid Based Complement Alternat Med. 2016(5202908)2016.PubMed/NCBI View Article : Google Scholar

11 

Kim M, Park KH and Kim YB: Identifying active compounds and targets of Fritillariae thunbergii against influenza-associated inflammation by network pharmacology analysis and molecular docking. Molecules. 25(3853)2020.PubMed/NCBI View Article : Google Scholar

12 

Hopkins AL: Network pharmacology: The next paradigm in drug discovery. Nat Chem Biol. 4:682–690. 2008.PubMed/NCBI View Article : Google Scholar

13 

Yu H, Chen J, Xu X, Li Y, Zhao H, Fang Y, Li X, Zhou W, Wang W and Wang Y: A systematic prediction of multiple drug-target interactions from chemical, genomic, and pharmacological data. PloS One. 7(e37608)2012.PubMed/NCBI View Article : Google Scholar

14 

Agu PC, Afiukwa CA, Orji OU, Ezeh EM, Ofoke IH, Ogbu CO, Ugwuja EI and Aja PM: Molecular docking as a tool for the discovery of molecular targets of nutraceuticals in diseases management. Sci Rep. 13(13398)2023.PubMed/NCBI View Article : Google Scholar

15 

Pantsar T and Poso A: Binding affinity via docking: Fact and fiction. Molecules. 23(1899)2018.PubMed/NCBI View Article : Google Scholar

16 

Reed LJ and Muench H: A simple method of estimating fifty per cent endpoints12. Am J Epidemiol. 27:493–497. 1938.

17 

Tong X, Yang Y, Gong S, Han X, Wu Y and Ma X, Lang S, Ma J and Ma X: Data mining and network pharmacology analysis of kidney-tonifying herbs on the treatment of renal osteodystrophy based on the theory of ‘kidney governing bones’ in traditional Chinese medicine. Evid Based Complement Alternat Med. 30(1116923)2022.PubMed/NCBI View Article : Google Scholar

18 

Feng S, Wang T, Fan L, An X, Ding X, Wang M, Zhai X, Cao Y, He J and Li Y: Exploring the potential therapeutic effect of Eucommia ulmoides-Dipsaci Radix herbal pair on osteoporosis based on network pharmacology and molecular docking technology. RSC Adv. 12:2181–2195. 2022.PubMed/NCBI View Article : Google Scholar

19 

Ramos I and Fernandez-Sesma A: Modulating the innate immune response to influenza a virus: Potential therapeutic use of anti-inflammatory drugs. Front Immunol. 6(361)2015.PubMed/NCBI View Article : Google Scholar

20 

Shi X, Zhou W, Huang H, Zhu H, Zhou P and Ju D: Inhibition of the inflammatory cytokine tumor necrosis factor-alpha with etanercept provides protection against lethal H1N1 influenza infection in mice. Crit Care. 17(R301)2013.PubMed/NCBI View Article : Google Scholar

21 

Periferakis A, Tsigas G, Periferakis AT, Tone CM, Hemes DA, Periferakis K, Troumpata L, Badarau IA, Scheau C, Caruntu A, et al: Kaempferol: A review of current evidence of its antiviral potential. Int J Mol Sci. 24:2023.PubMed/NCBI View Article : Google Scholar

22 

Liu AL, Wang HD, Lee SM, Wang YT and Du GH: Structure-activity relationship of flavonoids as influenza virus neuraminidase inhibitors and their in vitro anti-viral activities. Bioorg Med Chem. 16:7141–7147. 2008.PubMed/NCBI View Article : Google Scholar

23 

Derksen A, Kühn J, Hafezi W, Sendker J, Ehrhardt C, Ludwig S and Hensel A: Antiviral activity of hydroalcoholic extract from Eupatorium perfoliatum L. against the attachment of influenza A virus. J Ethnopharmacol. 188:144–152. 2016.PubMed/NCBI View Article : Google Scholar

24 

Kai H, Obuchi M, Yoshida H, Watanabe W, Tsutsumi S, Park YK, Matsuno K, Yasukawa K and Kurokawa M: In vitro and in vivo anti-influenza virus activities of flavonoids and related compounds as components of Brazilian propolis (AF-08). J Funct Foods. 8:214–223. 2014.

25 

Li Z, Qu B, Wu X, Chen H, Wang J, Zhou L, Wu X and Zhang W: Methodology improvement for network pharmacology to correct the deviation of deduced medicinal constituents and mechanism: Xian-Ling-Gu-Bao as an example. J Ethnopharmacol. 289(115058)2022.PubMed/NCBI View Article : Google Scholar

26 

Chua S, Tan HQ, Engelberg D and Lim LHK: Alternative experimental models for studying influenza proteins, host-virus interactions and anti-influenza drugs. Pharmaceuticals (Basel). 12(147)2019.PubMed/NCBI View Article : Google Scholar

27 

Tsai HC, Lehman CW, Lin CC, Tsai SW and Chen CM: Functional evaluation for adequacy of MDCK-lineage cells in influenza research. BMC Res Notes. 12(101)2019.PubMed/NCBI View Article : Google Scholar

28 

Kim M, Choi H, Kim S, Kang LW and Kim YB: Elucidating the effects of curcumin against influenza using in silico and in vitro approaches. Pharmaceuticals (Basel). 14(880)2021.PubMed/NCBI View Article : Google Scholar

Related Articles

  • Abstract
  • View
  • Download
  • Twitter
Copy and paste a formatted citation
Spandidos Publications style
Nowakowska A and Kim M: Deciphering the anti‑influenza potential of Eucommiae Cortex based on bioinformatics analysis: <em>In silico</em> and <em>in vitro</em> experiments. Exp Ther Med 29: 106, 2025.
APA
Nowakowska, A., & Kim, M. (2025). Deciphering the anti‑influenza potential of Eucommiae Cortex based on bioinformatics analysis: <em>In silico</em> and <em>in vitro</em> experiments. Experimental and Therapeutic Medicine, 29, 106. https://doi.org/10.3892/etm.2025.12856
MLA
Nowakowska, A., Kim, M."Deciphering the anti‑influenza potential of Eucommiae Cortex based on bioinformatics analysis: <em>In silico</em> and <em>in vitro</em> experiments". Experimental and Therapeutic Medicine 29.5 (2025): 106.
Chicago
Nowakowska, A., Kim, M."Deciphering the anti‑influenza potential of Eucommiae Cortex based on bioinformatics analysis: <em>In silico</em> and <em>in vitro</em> experiments". Experimental and Therapeutic Medicine 29, no. 5 (2025): 106. https://doi.org/10.3892/etm.2025.12856
Copy and paste a formatted citation
x
Spandidos Publications style
Nowakowska A and Kim M: Deciphering the anti‑influenza potential of Eucommiae Cortex based on bioinformatics analysis: <em>In silico</em> and <em>in vitro</em> experiments. Exp Ther Med 29: 106, 2025.
APA
Nowakowska, A., & Kim, M. (2025). Deciphering the anti‑influenza potential of Eucommiae Cortex based on bioinformatics analysis: <em>In silico</em> and <em>in vitro</em> experiments. Experimental and Therapeutic Medicine, 29, 106. https://doi.org/10.3892/etm.2025.12856
MLA
Nowakowska, A., Kim, M."Deciphering the anti‑influenza potential of Eucommiae Cortex based on bioinformatics analysis: <em>In silico</em> and <em>in vitro</em> experiments". Experimental and Therapeutic Medicine 29.5 (2025): 106.
Chicago
Nowakowska, A., Kim, M."Deciphering the anti‑influenza potential of Eucommiae Cortex based on bioinformatics analysis: <em>In silico</em> and <em>in vitro</em> experiments". Experimental and Therapeutic Medicine 29, no. 5 (2025): 106. https://doi.org/10.3892/etm.2025.12856
Follow us
  • Twitter
  • LinkedIn
  • Facebook
About
  • Spandidos Publications
  • Careers
  • Cookie Policy
  • Privacy Policy
How can we help?
  • Help
  • Live Chat
  • Contact
  • Email to our Support Team