Spandidos Publications Logo
  • About
    • About Spandidos
    • Aims and Scopes
    • Abstracting and Indexing
    • Editorial Policies
    • Reprints and Permissions
    • Job Opportunities
    • Terms and Conditions
    • Contact
  • Journals
    • All Journals
    • Oncology Letters
      • Oncology Letters
      • Information for Authors
      • Editorial Policies
      • Editorial Board
      • Aims and Scope
      • Abstracting and Indexing
      • Bibliographic Information
      • Archive
    • International Journal of Oncology
      • International Journal of Oncology
      • Information for Authors
      • Editorial Policies
      • Editorial Board
      • Aims and Scope
      • Abstracting and Indexing
      • Bibliographic Information
      • Archive
    • Molecular and Clinical Oncology
      • Molecular and Clinical Oncology
      • Information for Authors
      • Editorial Policies
      • Editorial Board
      • Aims and Scope
      • Abstracting and Indexing
      • Bibliographic Information
      • Archive
    • Experimental and Therapeutic Medicine
      • Experimental and Therapeutic Medicine
      • Information for Authors
      • Editorial Policies
      • Editorial Board
      • Aims and Scope
      • Abstracting and Indexing
      • Bibliographic Information
      • Archive
    • International Journal of Molecular Medicine
      • International Journal of Molecular Medicine
      • Information for Authors
      • Editorial Policies
      • Editorial Board
      • Aims and Scope
      • Abstracting and Indexing
      • Bibliographic Information
      • Archive
    • Biomedical Reports
      • Biomedical Reports
      • Information for Authors
      • Editorial Policies
      • Editorial Board
      • Aims and Scope
      • Abstracting and Indexing
      • Bibliographic Information
      • Archive
    • Oncology Reports
      • Oncology Reports
      • Information for Authors
      • Editorial Policies
      • Editorial Board
      • Aims and Scope
      • Abstracting and Indexing
      • Bibliographic Information
      • Archive
    • Molecular Medicine Reports
      • Molecular Medicine Reports
      • Information for Authors
      • Editorial Policies
      • Editorial Board
      • Aims and Scope
      • Abstracting and Indexing
      • Bibliographic Information
      • Archive
    • World Academy of Sciences Journal
      • World Academy of Sciences Journal
      • Information for Authors
      • Editorial Policies
      • Editorial Board
      • Aims and Scope
      • Abstracting and Indexing
      • Bibliographic Information
      • Archive
    • International Journal of Functional Nutrition
      • International Journal of Functional Nutrition
      • Information for Authors
      • Editorial Policies
      • Editorial Board
      • Aims and Scope
      • Abstracting and Indexing
      • Bibliographic Information
      • Archive
    • International Journal of Epigenetics
      • International Journal of Epigenetics
      • Information for Authors
      • Editorial Policies
      • Editorial Board
      • Aims and Scope
      • Abstracting and Indexing
      • Bibliographic Information
      • Archive
    • Medicine International
      • Medicine International
      • Information for Authors
      • Editorial Policies
      • Editorial Board
      • Aims and Scope
      • Abstracting and Indexing
      • Bibliographic Information
      • Archive
  • Articles
  • Information
    • Information for Authors
    • Information for Reviewers
    • Information for Librarians
    • Information for Advertisers
    • Conferences
  • Language Editing
Spandidos Publications Logo
  • About
    • About Spandidos
    • Aims and Scopes
    • Abstracting and Indexing
    • Editorial Policies
    • Reprints and Permissions
    • Job Opportunities
    • Terms and Conditions
    • Contact
  • Journals
    • All Journals
    • Biomedical Reports
      • Information for Authors
      • Editorial Policies
      • Editorial Board
      • Aims and Scope
      • Abstracting and Indexing
      • Bibliographic Information
      • Archive
    • Experimental and Therapeutic Medicine
      • Information for Authors
      • Editorial Policies
      • Editorial Board
      • Aims and Scope
      • Abstracting and Indexing
      • Bibliographic Information
      • Archive
    • International Journal of Epigenetics
      • Information for Authors
      • Editorial Policies
      • Editorial Board
      • Aims and Scope
      • Abstracting and Indexing
      • Bibliographic Information
      • Archive
    • International Journal of Functional Nutrition
      • Information for Authors
      • Editorial Policies
      • Editorial Board
      • Aims and Scope
      • Abstracting and Indexing
      • Bibliographic Information
      • Archive
    • International Journal of Molecular Medicine
      • Information for Authors
      • Editorial Policies
      • Editorial Board
      • Aims and Scope
      • Abstracting and Indexing
      • Bibliographic Information
      • Archive
    • International Journal of Oncology
      • Information for Authors
      • Editorial Policies
      • Editorial Board
      • Aims and Scope
      • Abstracting and Indexing
      • Bibliographic Information
      • Archive
    • Medicine International
      • Information for Authors
      • Editorial Policies
      • Editorial Board
      • Aims and Scope
      • Abstracting and Indexing
      • Bibliographic Information
      • Archive
    • Molecular and Clinical Oncology
      • Information for Authors
      • Editorial Policies
      • Editorial Board
      • Aims and Scope
      • Abstracting and Indexing
      • Bibliographic Information
      • Archive
    • Molecular Medicine Reports
      • Information for Authors
      • Editorial Policies
      • Editorial Board
      • Aims and Scope
      • Abstracting and Indexing
      • Bibliographic Information
      • Archive
    • Oncology Letters
      • Information for Authors
      • Editorial Policies
      • Editorial Board
      • Aims and Scope
      • Abstracting and Indexing
      • Bibliographic Information
      • Archive
    • Oncology Reports
      • Information for Authors
      • Editorial Policies
      • Editorial Board
      • Aims and Scope
      • Abstracting and Indexing
      • Bibliographic Information
      • Archive
    • World Academy of Sciences Journal
      • Information for Authors
      • Editorial Policies
      • Editorial Board
      • Aims and Scope
      • Abstracting and Indexing
      • Bibliographic Information
      • Archive
  • Articles
  • Information
    • For Authors
    • For Reviewers
    • For Librarians
    • For Advertisers
    • Conferences
  • Language Editing
Login Register Submit
  • This site uses cookies
  • You can change your cookie settings at any time by following the instructions in our Cookie Policy. To find out more, you may read our Privacy Policy.

    I agree
Search articles by DOI, keyword, author or affiliation
Search
Advanced Search
presentation
Experimental and Therapeutic Medicine
Join Editorial Board Propose a Special Issue
Print ISSN: 1792-0981 Online ISSN: 1792-1015
Journal Cover
September-2025 Volume 30 Issue 3

Full Size Image

Sign up for eToc alerts
Recommend to Library

Journals

International Journal of Molecular Medicine

International Journal of Molecular Medicine

International Journal of Molecular Medicine is an international journal devoted to molecular mechanisms of human disease.

International Journal of Oncology

International Journal of Oncology

International Journal of Oncology is an international journal devoted to oncology research and cancer treatment.

Molecular Medicine Reports

Molecular Medicine Reports

Covers molecular medicine topics such as pharmacology, pathology, genetics, neuroscience, infectious diseases, molecular cardiology, and molecular surgery.

Oncology Reports

Oncology Reports

Oncology Reports is an international journal devoted to fundamental and applied research in Oncology.

Experimental and Therapeutic Medicine

Experimental and Therapeutic Medicine

Experimental and Therapeutic Medicine is an international journal devoted to laboratory and clinical medicine.

Oncology Letters

Oncology Letters

Oncology Letters is an international journal devoted to Experimental and Clinical Oncology.

Biomedical Reports

Biomedical Reports

Explores a wide range of biological and medical fields, including pharmacology, genetics, microbiology, neuroscience, and molecular cardiology.

Molecular and Clinical Oncology

Molecular and Clinical Oncology

International journal addressing all aspects of oncology research, from tumorigenesis and oncogenes to chemotherapy and metastasis.

World Academy of Sciences Journal

World Academy of Sciences Journal

Multidisciplinary open-access journal spanning biochemistry, genetics, neuroscience, environmental health, and synthetic biology.

International Journal of Functional Nutrition

International Journal of Functional Nutrition

Open-access journal combining biochemistry, pharmacology, immunology, and genetics to advance health through functional nutrition.

International Journal of Epigenetics

International Journal of Epigenetics

Publishes open-access research on using epigenetics to advance understanding and treatment of human disease.

Medicine International

Medicine International

An International Open Access Journal Devoted to General Medicine.

Journal Cover
September-2025 Volume 30 Issue 3

Full Size Image

Sign up for eToc alerts
Recommend to Library

  • Article
  • Citations
    • Cite This Article
    • Download Citation
    • Create Citation Alert
    • Remove Citation Alert
    • Cited By
  • Similar Articles
    • Related Articles (in Spandidos Publications)
    • Similar Articles (Google Scholar)
    • Similar Articles (PubMed)
  • Download PDF
  • Download XML
  • View XML
Article Open Access

Association of serum proinflammatory factors with clinical response to ranibizumab for diabetic macular edema

  • Authors:
    • Xin Gao
    • Haosheng Li
    • Jiale Diao
    • Dianjun Liu
    • Weifeng Sun
    • Zhe Zhou
  • View Affiliations / Copyright

    Affiliations: Department of Ophthalmology, People's Liberation Army Naval Medical Center, Shanghai 200050, P.R. China, Department of General Medicine, Chinese People's Liberation Army Unit Hospital 94162, Xi'an, Shaanxi 710600, P.R. China, Department of Ophthalmology, Chinese People's Liberation Army Unit Hospital 92493, Huludao, Liaoning 710600, P.R. China, Department of Ophthalmology, Shanghai Changhai Hospital, Navy Military Medical University, Shanghai 200433, P.R. China
    Copyright: © Gao et al. This is an open access article distributed under the terms of Creative Commons Attribution License.
  • Article Number: 177
    |
    Published online on: July 21, 2025
       https://doi.org/10.3892/etm.2025.12927
  • Expand metrics +
Metrics: Total Views: 0 (Spandidos Publications: | PMC Statistics: )
Metrics: Total PDF Downloads: 0 (Spandidos Publications: | PMC Statistics: )
Cited By (CrossRef): 0 citations Loading Articles...

This article is mentioned in:



Abstract

The present study aimed to investigate the role of circulating plasma inflammatory factors as predictors for the clinical response to anti‑vascular endothelial growth factor (VEGF) injections in patients with diabetic macular edema (DME). An observational clinical study was conducted with 58 participants confirmed to have DME involving the foveal center. Participants with a central retinal thickness (CRT) of 320 µm or greater were treated with intravitreal Ranibizumab. CRT, best‑corrected visual acuity (BCVA) and vessel density were assessed at 3‑month intervals during follow‑up. The mean LogMAR BCVA significantly improved from 0.88±0.50 at baseline to 0.681±0.491 at month 3 (P<0.001), while the CRT value decreased from 568.66±105.87 µm at baseline to 450.26±90.22 µm at month 3 (P<0.001). Of the cases, 62.07% showed a favorable anatomic response and 46.55% exhibited a favorable visual acuity response. IL‑17 was linked to a limited anatomic response (P=0.02) and also negatively correlated with a favorable BCVA response (P=0.018). Similar associations were observed for IL‑8, which was associated with a limited anatomic response (P<0.001) and was negatively associated with a favorable BCVA response (P=0.023). Cases that improved by at least two visual acuity lines had notably lower intercellular adhesion molecule (ICAM)‑1 concentrations (P=0.046). Multivariate logistic regression analysis identified IL‑17 and IL‑8 as independent risk factors significantly associated with CRT (IL‑17, P=0.003; IL‑8, P=0.043), while IL‑17 and ICAM‑1 were independent risk factors significantly associated with BCVA (IL‑17, P=0.030; ICAM‑1, P=0.029). In conclusion, elevated levels of serum IL‑17, IL‑8 and ICAM‑1 at baseline are linked to a restricted clinical response to anti‑VEGF therapy for DME.

Introduction

Diabetic retinopathy (DR) is one of the most frequent complications of diabetes that can result in significant consequences, including rapid and irreversible vision loss among the working population (1,2). DR is divided into three categories: No DR, non-proliferative DR (NPDR) and PDR (3). Diabetic macular edema (DME) is recognized as a neurovascular complication of DR with the involvement of inflammatory processes and is the main cause of vision loss in patients with DR (4-6). Intravitreal injection of anti-vascular endothelial growth factor (VEGF) agents has been the main treatment for DME (7,8). These treatments may have potential risks, such as retinal detachment and lens damage, and may not be successful for all individuals (9-11). Therefore, further research on the mechanisms of DME progression is essential to develop new and more effective therapeutic approaches for this condition.

Prolonged hyperglycemia is known to activate pro-inflammatory cascades, which plays a significant role in the pathological responses of DME (12,13). A growing body of evidence supports the presence of a subclinical proinflammatory state in type 2 diabetic patients, as indicated by elevated serum levels of C-reactive protein and other inflammatory cytokines (14,15). In addition to VEGF, various cytokines such as interleukin 6 (IL-6), IL-8, IL-17, intercellular adhesion molecule 1 (ICAM-1, CD54) and interferon-γ have also been implicated (16-19). In conditions of high blood sugar, Müller cells in the retina secrete more IL-17A, potentially leading to functional impairment of Müller cells and worsening diabetes-induced retinal vascular issues and ganglion cell apoptosis (20,21). ICAM-1 plays a significant role in inflammatory responses and the interplay of immune cells in the pathological mechanisms associated with chronic ocular inflammation. The upregulation of ICAM-1 contributes to endothelial cell damage, leukocyte adhesion, hypoxia and disruption of the blood-retinal barrier-all pivotal events in the development of DME (22,23). These pieces of evidence indicate that inflammatory cytokines play an important role in the development, progression and prognosis of DME.

The present study aimed to explore the potential relationship between levels of circulating plasma inflammatory factors and the pattern of macular thickness response. In addition, the research explored the enhancement of visual acuity in patients with DME who underwent anti-VEGF treatment in a practical clinical environment.

Patients and methods

Study population

This observational clinical research enrolled 58 diabetic patients who were hospitalized at the People's Liberation Army (PLA) Naval Medical Center (Shanghai, China) for intravitreal injection treatment from January 2021 to January 2023. Participants met eligibility criteria and underwent an initial baseline disease correlation phase. Diabetic retinopathy severity was graded using the International Clinical Diabetic Retinopathy Disease Severity Scale (24). The following inclusion criteria were applied: Age ≥18 years with type II diabetes mellitus (DM2) and NPDR (if both eyes met the requirements, one eye was randomly included), and optical coherence tomography (OCT) confirmed DME involving the foveal center with a central retinal thickness (CRT) ≥320 µm. The exclusion criteria were as follows: i) Patients who had received laser, anti-VEGF therapy or triamcinolone treatment in the previous 6 months; ii) patients with acute metabolic disorders such as ketoacidosis or hyperosmolar syndrome; iii) patients with a history of cardiocerebrovascular disease, valvular heart disease, stroke, peripheral arterial disease, abnormal liver or kidney function or pregnancy; and iv) patients with uncontrolled hypertension (defined as systolic blood pressure ≥160 mmHg or diastolic blood pressure ≥100 mmHg at baseline); however, patients with controlled hypertension (systolic blood pressure <160 mmHg and diastolic blood pressure <100 mmHg) were included and adjusted for in the analysis.

Study design

This was an observational, cross-sectional study directed to measure serum levels of cytokines and growth factors in patients with DME who were consecutively recruited at the PLA Naval Medical Center (Shanghai, China). The study protocol received approval from the Ethics Committee of the PLA Naval Medical Center (on December 6th, 2020; approval no., AF-HEC-071). All study procedures complied with the principles set forth in the Declaration of Helsinki and written informed consent was obtained from all participants prior to their enrollment in the study.

The primary outcome measure of the present study was the correlation between serum mediator levels and the severity grade of DME as defined by spectral-domain (OCT) measurements of CRT. Other evaluation parameters included best-corrected visual acuity (BCVA), superficial vascular complex (SVC) and deep vascular complex (DVC). Additionally, the study evaluated differences in serum cytokine and growth factor levels between the DME and non-DME groups as a secondary outcome.

Study intervention

All study participants received a monthly intravitreal ranibizumab (Novartis Pharmaceuticals) 0.5 mg/0.05 ml injection 3.5-4 mm from the corneal limbus at baseline, for 3 months (baseline, and 1 month and 2 months after baseline). Serum samples were collected at baseline and week 8, and at the 2-month follow-up, immediately after the third intravitreal injection of ranibizumab. Participants were followed up 3 months after baseline and anatomical response was assessed 1 month after the third and final injection of the study.

Evaluation procedures

All participants underwent a forearm venous puncture for peripheral blood extraction and samples were collected from a peripheral vein in two 8-ml serum tubes. These tubes were gently inverted for good mixing and sat upright for 30 min before centrifuging. The centrifuge was run at 1,000 x g for 10 min at 12˚C, 750-µl serum samples were transferred to a sterile tube and then stored at -80˚C, and enzyme-linked immunosorbent assay (ELISA) was performed using specific enzyme-linked immunosorbent assay kits [IL-17A, cat. no. RAB0262; IL-8, cat. no. RAB0318; placental growth factor, cat. no. RAB0149; VEGF, cat. no. RAB0507; transforming growth factor β2, cat. no. RAB0416; ICAM-1, cat. no. RAB0220; IL-6, cat. no. RAB0308; IL-10, cat. no. RAB0244; vascular intercellular adhesion molecule-1, cat. no. RAB0025; monocyte chemoattractant protein (MCP1), cat. no. RAB0056; IL-1β, cat. no. RAB0273; Sigma-Aldrich; Merck KGaA] according to the manufacturer's instructions.

Statistical analysis

All data were analyzed using SPSS (version 23; IBM Corp.). Normality of continuous variables was assessed using the Shapiro-Wilk test. Mean values across response categories were compared using either the independent-samples T-test or the Mann-Whitney U-test. Linear correlations between systemic factors and quantitative and qualitative outcomes were evaluated at each follow-up point by calculating Pearson or Spearman correlation coefficients (R). Further examination of significant associations was conducted using multiple linear regression or binary logistic regression. P<0.05 was regarded to indicate statistical significance. To minimize the occurrence of false-positive results, the Benjamini-Hochberg procedure was applied to all significant P-values to adjust for the anticipated false discovery rate. Multiple linear regression models were used to assess independent associations between BCVA and predictor variables. The model included adjustments for age, sex and diabetes duration.

Results

Patient characteristics

A total of 69 diabetic patients were recruited for the original baseline study from January 2021 to January 2023 at the PLA Naval Medical Center and 58 participants proceeded to follow-up. The mean age was 66.12±7.28 years and 37 participants (63.8%) were female. The mean baseline LogMAR BCVA was 0.88±0.50 and the OCT CRT was 568.66±105.87 µm. The mean SVC was 0.32±0.06 and the mean DVC was 0.33±0.07. A total of 19 patients (32.8%) had a DM2 duration of ≥20 years, 28 patients (48.3%) were classified as PDR according to the International Clinical Diabetic Retinopathy Disease Severity Scale and 39 patients (67.2%) had previously received laser therapy (Table I).

Table I

Baseline characteristics of the patients (n=58).

Table I

Baseline characteristics of the patients (n=58).

CharacteristicValueNormal range
Sex  
     Male21 (36.2) 
     Female37 (63.8) 
Age, years66.12±7.28 
Eye laterality  
     Left25 (43.1) 
     Right33 (56.9) 
Lens status  
     Intraocular lenses29 (50.0) 
     Lenses29 (50.0) 
Baseline BCVA logMAR0.88±0.50 
Baseline CRT568.66±105.87 
Baseline SVC0.32±0.06 
Baseline DVC0.33±0.07 
Diabetes duration, years  
     0-1010 (17.2) 
     10-1929 (50.0) 
     ≥2019 (32.8) 
DR stage  
     NPDR30 (51.7) 
     PDR28 (48.3) 
Hypertension  
     Yes40 (69.0) 
     No18 (31.0) 
History of laser photocoagulation  
     Yes39 (67.2) 
     No19 (32.8) 
Glycated hemoglobin A1c, %6.87±1.434.0-6.0
GLU, mmol/l8.15±1.463.9-6.1
Urea, mg/dl61.09±19.6422-57
UA, µmol/l260.31±77.13149-416
Scr, µmol/l69.43±19.7053-106

[i] Values are expressed as n (%) or the mean ± standard deviation. BCVA, best corrected visual acuity; CRT, central retinal thickness; SVC, superficial vascular complex; DVC, deep vascular complex; GLU, glucose; UA, uric acid; Scr, serum creatinine.

Treatment responses

Table II summarizes the clinical responses of the patients to ranibizumab treatment. The mean LogMAR BCVA was improved from 0.875±0.504 at baseline to 0.681±0.491 at month 3 (P<0.001) and the CRT value had declined from 568.66±105.87 µm at baseline to 450.26±90.22 at month 3 (P<0.001).

Table II

Changes in clinical characteristics from baseline to month 3.

Table II

Changes in clinical characteristics from baseline to month 3.

ParameterBaselineMonth 3Mean change between baseline and month 3P-value
BCVA, logMAR0.875±0.5040.681±0.4910.194±0.245 (-0.222-1.176)<0.001
CRT, µm568.66±105.87450.26±90.22118.40±62.06 (-15.0-242.0)<0.001
SVC0.317±0.0630.290±0.0430.027±0.079 (-0.163-0.158)0.0540
DVC0.328±0.0750.292±0.0410.035±0.081 (-0.159-0.214)0.0658

[i] Values are expressed as the mean ± standard deviation (range). BCVA, best corrected visual acuity; CRT, central retinal thickness; SVC, superficial vascular complex; DVC, deep vascular complex.

Table III lists the data according to anatomic response categories. The changes in CRT between baseline and month 3 were used to classify patients into responders and non-responders. A total of 36 patients (62.07%) had a favorable anatomical response (CRT reduction ≥20%), and no response (<20% reduction in CRT) was found in 22 cases (37.93%) at the 3-month follow-up.

Table III

Systematic basic laboratory data based on anatomical response patterns.

Table III

Systematic basic laboratory data based on anatomical response patterns.

ParameterResponse (n=36)No response (n=22)Total (n=58)P-value
IL 17, ng/l9.31±1.1610.27±1.619.68±1.410.020
IL 8, ng/l17.05±22.0934.50±28.6223.67±25.97<0.001
IL-6, ng/l2.73±1.512.81±1.552.76±1.510.923
IL-10, ng/l5.46±3.115.88±3.155.62±3.100.586
IL 1β, ng/l3.66±1.683.23±1.613.49±1.650.361
ICAM-1, pg/ml749.37±95.45773.58±146.53758.55±116.810.854
MCP1, ng/l238.82±129.60258.61±182.83246.33±150.740.917

[i] Values are expressed as the mean ± standard deviation. ICAM, intercellular adhesion molecule; MCP, monocyte chemoattractant protein.

Visual acuity ≤0.6 was found in 16 cases (27.59%) at baseline, improving to 36 (62.07%) cases at the 3rd month. An improvement in visual acuity of at least 2 lines was regarded as a ‘response’, and such a ‘response’ was seen in 27 cases (46.55%) at 3 months. There was no significant change in SVC and DVC. Table IV presents the information based on the qualitative outcomes of visual acuity.

Table IV

Systematic baseline laboratory data based on visual acuity response patterns.

Table IV

Systematic baseline laboratory data based on visual acuity response patterns.

ParameterResponse (N=27)No response (N=31)Total (N=58)P-value
IL-17, ng/l9.20±1.2810.10±1.419.68±1.410.018
IL-8, ng/l16.95±18.1429.52±30.3323.67±25.970.023
IL-6, ng/l2.64±1.472.86±1.562.76±1.510.714
IL-10, ng/l5.50±3.425.73±2.855.62±3.100.483
IL-1β, ng/l3.69±1.793.33±1.533.49±1.650.436
ICAM-1, pg/ml724.97±96.42787.81±126.37758.55±116.810.046
MCP1, ng/l220.95±118.58268.43±172.92246.33±150.740.201

[i] Values are expressed as the mean ± standard deviation. ICAM, intercellular adhesion molecule; MCP, monocyte chemoattractant protein.

Association of systemic factors and macular outcomes

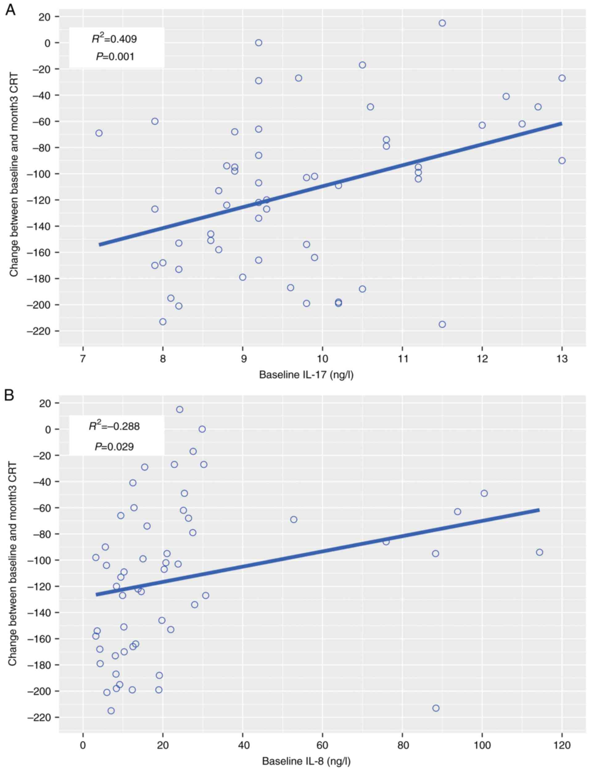
Significant correlations were found between baseline IL-17 and IL-8 concentrations and CRT. In the group with a favorable anatomic response, the level of IL-17 was 9.31±1.16 ng/l, while in the no anatomic response group, the level of IL-17 was 10.27±1.61 ng/l (P=0.02). A similar difference was found for IL-8, where the level in the favorable response group was 17.05±22.09 ng/l, and in the no anatomic response group, it was 34.50±28.62 ng/l (P<0.001). No significant differences were found in IL-6, IL-10, IL-1β, ICAM-1 and MCP1 (Table III). Multivariate logistic regression analysis revealed that both IL-17 and IL-8 were independent risk factors significantly associated with CRT (IL-17, P=0.003; IL-8, P=0.043; Table V). As in the multivariate linear regression, significant correlations were found for CRT and IL-17 (P=0.001, R2=0.409), as well as CRT and IL-8 (P=0.029, R2=0.288), in the scatter plots (Fig. 1A and B).

Scatter plots for the correlation of
baseline IL-17 and IL-8 vs. CRT change (month 3 - baseline) (A)
Baseline IL-17 vs. CRT change (month 3 - baseline). (B) Baseline
IL-8 vs. CRT change (month 3 - baseline). CRT, central retinal
thickness.

Figure 1

Scatter plots for the correlation of baseline IL-17 and IL-8 vs. CRT change (month 3 - baseline) (A) Baseline IL-17 vs. CRT change (month 3 - baseline). (B) Baseline IL-8 vs. CRT change (month 3 - baseline). CRT, central retinal thickness.

Table V

Multivariate linear regression model of change in disease severity.

Table V

Multivariate linear regression model of change in disease severity.

  Changes in BCVA Changes in CRT
ParameterβSEP-valueβSEP-value
IL-17, ng/l-0.0480.0210.03016.6285.3630.003
IL-8, ng/l-0.0010.0010.3830.5960.2870.043
ICAM-1, pg/ml-0.0010.00020.0290.0180.0650.782
R20.2074  0.2312  

[i] SE, standard error; ICAM, intercellular adhesion molecule; BCVA, best corrected visual acuity; CRT, central retinal thickness.

Association of systemic factors and visual outcomes

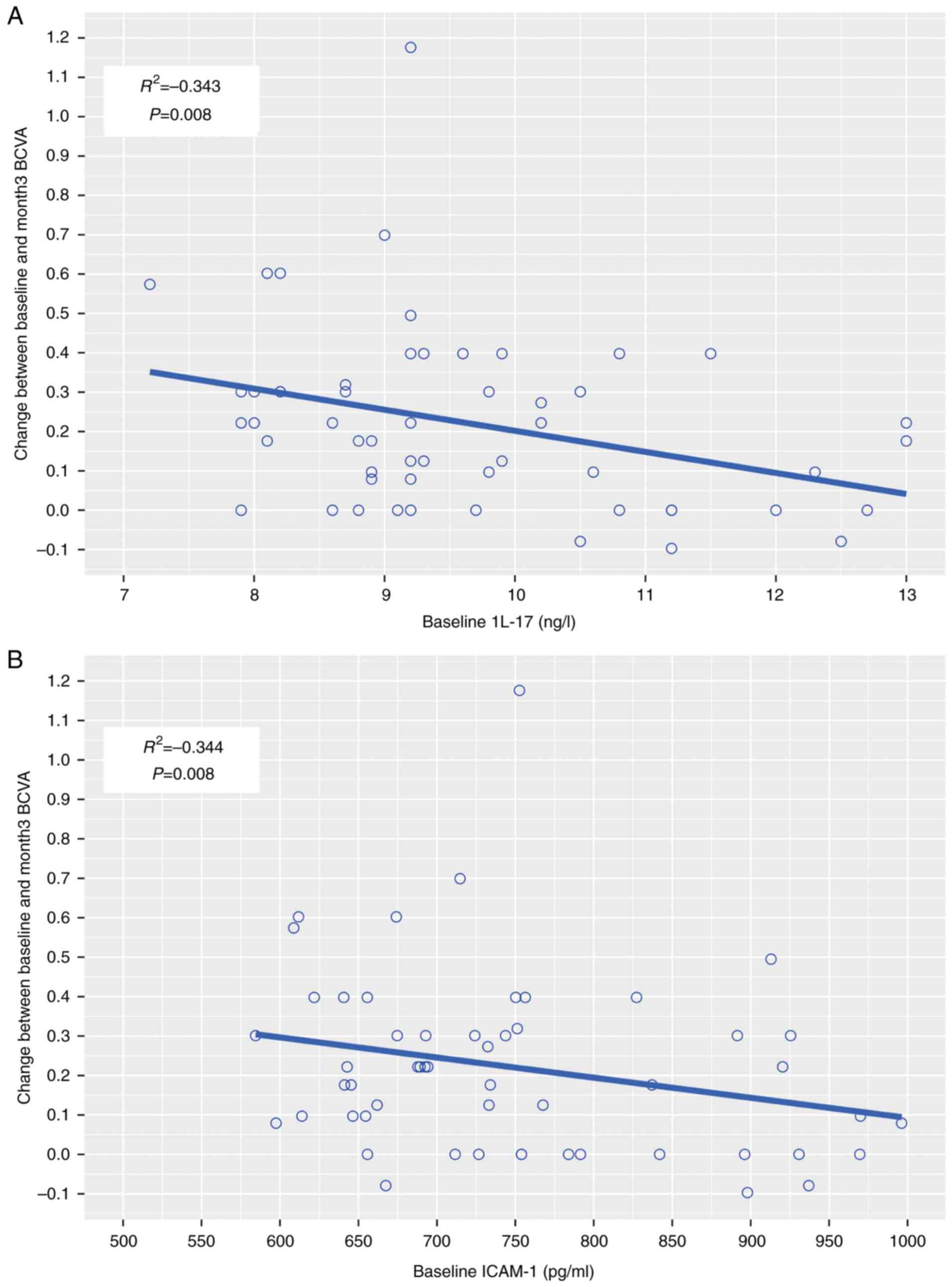
Significant correlations were found between the baseline concentration of IL-17 or IL-8 and ICAM-1 or BCVA. In the group with a favorable BCVA response, the level of IL-17 was 9.20±1.28 ng/l, while in the no BCVA response group, the level of IL-17 was 10.10±1.41 ng/l (P=0.018). IL-8 showed the same trend, as the level of IL-8 in the ‘response’ group and ‘no response’ group was 16.95±18.14 and 29.52±30.33 ng/l, respectively (P=0.023). The outcome was achieved with a significant decrease in the ICAM-1 concentration, as BCVA response of at least two sight lines improved (724.97±96.42 vs. 787.81±126.37 pg/ml, P=0.046; Table IV). Multivariate logistic regression analysis revealed that both IL-17 and ICAM-1 were independent risk factors significantly associated with BCVA (IL-17, P=0.030; ICAM-1, P=0.029) (Table V). As in the multivariate linear regression, significant effects were found for BCVA and IL-17 (P=0.008, R2=0.343), and BCVA and ICAM-1 (P=0.008, R2=0.344), in the correlation plots (Fig. 2A and B).

Scatter plots for the correlation of
baseline IL-17 and ICAM-1 vs. BCVA change (month 3 - baseline). (A)
Baseline IL-17 vs. BCVA change (month 3 - baseline). (B) Baseline
ICAM-1 vs. BCVA change (month 3 - baseline). BCVA, best corrected
visual acuity; ICAM, intercellular adhesion molecule.

Figure 2

Scatter plots for the correlation of baseline IL-17 and ICAM-1 vs. BCVA change (month 3 - baseline). (A) Baseline IL-17 vs. BCVA change (month 3 - baseline). (B) Baseline ICAM-1 vs. BCVA change (month 3 - baseline). BCVA, best corrected visual acuity; ICAM, intercellular adhesion molecule.

Discussion

The present study investigated the clinical response and influencing factors in patients with diabetic retinopathy undergoing ranibizumab treatment. A total of 58 patients were followed up, revealing a decrease in the CRT value from 568.66±105.87 µm at baseline to 450.26±90.22 at 3 months (P<0.001), and an improvement in the average LogMAR BCVA from 0.88±0.50 at baseline to 0.681±0.491 (P<0.001), indicating significant progress. The analysis of systemic factors and clinical outcomes revealed a notable negative correlation between IL-17 or IL-8 concentrations and CRT recovery through multivariate logistic regression. Regarding visual outcomes, concentrations of IL-17, IL-8 and ICAM-1 were significantly associated with BCVA improvement. In the multivariate linear regression, IL-17 and ICAM-1 were identified as risk factors linked to poor BCVA improvement in patients with diabetic retinopathy.

In the assessment of diabetic retinopathy recovery, CRT and BCVA are two key indicators that reflect the patient's visual function status and the extent of the disease. They are crucial for evaluating treatment effectiveness. CRT is defined as the average thickness of the retina between its inner and outer boundaries in the central 1 mm area of all scans performed, and is one of the most commonly used indicators in OCT. In diabetic patients, long-term high blood sugar and changes in blood components can lead to damage to the blood-retinal barrier, causing necrosis of retinal capillary pericytes and endothelial dysfunction. This results in leakage of fluid components from the blood vessels into the retinal gap, leading to changes in retinal tissue such as bleeding, edema and exudation, all of which can increase CRT (25). CRT plays an important role in evaluating the recovery of DME. Monitoring changes in retinal thickness can help detect lesions in a timely manner, assess the trend of disease progression, evaluate treatment effectiveness and guide adjustments in subsequent treatment. In addition, BCVA is an important indicator for assessing visual function status. DME often leads to decreased visual acuity and improvement in BCVA indicates improvement in visual function during the recovery process. By monitoring changes in BCVA, treatment effectiveness can be more intuitively understood and treatment plans can be adjusted promptly to promote the recovery of visual function in patients.

IL-17 is a family of cytokines that includes IL-17A, IL-17B, IL-17C, IL-17D, IL-17E and IL-17F. IL-17A, primarily produced by T helper (Th) 17 cells, an independent lineage of CD4+ T cells, is closely associated with various inflammatory cytokines and has been linked to the development of autoimmune and inflammatory diseases (26,27). Specifically, IL-17A has been implicated in the pathogenesis of diabetes, as it is upregulated in peripheral blood mononuclear cells and plasma from patients with PDR (21,28,29). Additionally, IL-17A has been found to disrupt barriers by compromising the integrity of endothelial cell monolayers and disrupting junction proteins (30,31), thus playing a crucial role in the initiation and progression of diabetic retinopathy (32), Limited research has investigated the influence of circulating IL-17A on diabetic retinopathy prognosis following Ranibizumab treatment. The present study investigated the relationship between circulating IL-17A levels and clinical outcomes in diabetic retinopathy patients. The results showed that higher baseline IL-17 levels were associated with a poorer prognosis in terms of BCVA and CRT. This association may be attributed to the enduring impairment of endothelial cell integrity and retinal barrier function induced by elevated IL-17 levels within the system.

ICAM-1 is a crucial molecular mediator that facilitates the migration of Th17 cells among human retinal vascular endothelial cells (33). ICAM-1 has the potential to stimulate angiogenesis and act as a biomarker for endothelial cell activation or injury (34). Previous studies have indicated that ICAM-1 expression in diabetic patients may increase with the progression of DME, potentially correlating with the severity of DR (35,36). A meta-analysis further demonstrated elevated levels of ICAM-1 in patients with DME, regardless of the diabetes type, with a potential link to DME severity (37). However, a prospective study suggested that while ICAM-1 may be associated with the development of retinal hard exudates, it may not be linked to DR progression (18). This highlights the ongoing uncertainty surrounding the role of ICAM-1 in DR development. In the present study, it was observed that higher baseline ICAM-1 levels were associated with an unfavorable prognosis for BCVA in patients with DME. Furthermore, multivariate linear regression analysis identified ICAM-1 as a risk factor for poor BCVA improvement in patients with DR.

IL-8, an essential chemokine, plays a significant role in various inflammatory diseases and angiogenesis (38,39). There is strong evidence indicating that IL-8 not only contributes to the development of DME, but also correlates with more severe stages of the disease, particularly in PDR and DME (17,40,41). The present research consistently found that higher baseline levels of IL-8 were linked to poor prognosis for CRT and BCVA in patients with DR. Additionally, through multivariate linear regression analysis, IL-8 was identified as a risk factor for limited CRT improvement in patients with DME. Therefore, targeting IL-8 intervention may emerge as a novel strategy for managing diabetic retinopathy.

The present study has certain limitations. First, the results are based on data from a single clinical center, which may not be fully representative of treatment practices globally due to the limited number and diversity of ethnicities included; the study's single institution setting limited the diversity of the cohort in terms of age, sex and DR stage. Therefore, future research will need to utilize larger and more diverse datasets for analysis. In addition, only systematic factors were assessed at baseline, overlooking potential variations in individual cytokine levels at different time-points. Despite these limitations, this study presents compelling evidence that serum biomarkers are correlated with unfavorable clinical outcomes in patients with DR.

In conclusion, the present findings suggest that individuals with elevated levels of serum IL-17, IL-8 and ICAM-1 may have a reduced clinical response to ranibizumab monotherapy. The presence of serum inflammatory factors could potentially influence the effectiveness of anti-VEGF treatment, highlighting the importance of further research into optimizing current treatment approaches.

Acknowledgements

Not applicable.

Funding

Funding: This study was funded by the Clinical Innovation Program of the People's Liberation Army Naval Medical Center, Shanghai (grant no. 22TSJS11).

Availability of data and materials

The data generated in the present study may be requested from the corresponding author.

Authors' contributions

XG was involved in the conceptualization, methodology, investigation, formal analysis and writing the original draft. HL performed data curation, writing of the original draft and language editing. JD contributed with visualization and investigation. DL was responsible for data analysis and revising the manuscript (for intellectual content). WS helped with study design and provided general supervision. ZZ was involved in study design, visualization and writing, reviewing and editing the manuscript. All authors have read and approved the final manuscript. XG and ZZ confirm the authenticity of all the raw data.

Ethics approval and consent to participate

The research methods followed the guidelines established by the Declaration of Helsinki. Ethics approval was obtained from the Ethics Committee of the PLA Naval Medical Center (Shanghai, China; approval no. AF-HEC-071). Written informed consent was obtained from all individual participants included in the study.

Patient consent for publication

Not applicable.

Competing interests

The authors declared that they have no competing interests.

References

1 

American Diabetes Association. 11. microvascular complications and foot care: Standards of medical care in diabetes-2021. Diabetes Care. 44 (Suppl 1):S151–S167. 2021.PubMed/NCBI View Article : Google Scholar

2 

Cheung N, Mitchell P and Wong TY: Diabetic retinopathy. Lancet. 376:124–136. 2010.PubMed/NCBI View Article : Google Scholar

3 

Wang Z, Tang J, Jin E, Zhong Y, Zhang L, Han X, Liu J, Cheng Y, Hou J, Shi X, et al: Serum untargeted metabolomics reveal potential biomarkers of progression of diabetic retinopathy in asians. Front Mol Biosci. 9(871291)2022.PubMed/NCBI View Article : Google Scholar

4 

Peddada KV, Brown A, Verma V and Nebbioso M: Therapeutic potential of curcumin in major retinal pathologies. Int Ophthalmol. 39:725–734. 2019.PubMed/NCBI View Article : Google Scholar

5 

Semeraro F, Morescalchi F, Cancarini A, Russo A, Rezzola S and Costagliola C: Diabetic retinopathy, a vascular and inflammatory disease: Therapeutic implications. Diabetes Metab. 45:517–527. 2019.PubMed/NCBI View Article : Google Scholar

6 

Antonetti DA, Klein R and Gardner TW: Diabetic retinopathy. N Engl J Med. 366:1227–1239. 2012.PubMed/NCBI View Article : Google Scholar

7 

Stitt AW, Curtis TM, Chen M, Medina RJ, McKay GJ, Jenkins A, Gardiner TA, Lyons TJ, Hammes HP, Simó R and Lois N: The progress in understanding and treatment of diabetic retinopathy. Prog Retin Eye Res. 51:156–186. 2016.PubMed/NCBI View Article : Google Scholar

8 

Boyer DS, Hopkins JJ, Sorof J and Ehrlich JS: Anti-vascular endothelial growth factor therapy for diabetic macular edema. Ther Adv Endocrinol Metab. 4:151–169. 2013.PubMed/NCBI View Article : Google Scholar

9 

Lin TW, Chien Y, Lin YY, Wang ML, Yarmishyn AA, Yang YP, Hwang DK, Peng CH, Hsu CC, Chen SJ and Chien KH: Establishing liposome-immobilized dexamethasone-releasing PDMS membrane for the cultivation of retinal pigment epithelial cells and suppression of neovascularization. Int J Mol Sci. 20(241)2019.PubMed/NCBI View Article : Google Scholar

10 

Choi AY, Cho H and Kim YC: Effect of two different doses of intravitreal bevacizumab with temporal retina-sparing laser photocoagulation for retinopathy of prematurity. Int J Ophthalmol. 11:166–169. 2018.PubMed/NCBI View Article : Google Scholar

11 

Heiduschka P, Plagemann T, Li L, Alex AF and Eter N: Different effects of various anti-angiogenic treatments in an experimental mouse model of retinopathy of prematurity. Clin Exp Ophthalmol. 47:79–87. 2019.PubMed/NCBI View Article : Google Scholar

12 

Sophie R, Lu N and Campochiaro PA: Predictors of functional and anatomic outcomes in patients with diabetic macular edema treated with ranibizumab. Ophthalmology. 122:1395–1401. 2015.PubMed/NCBI View Article : Google Scholar

13 

Wang Q, Navitskaya S, Chakravarthy H, Huang C, Kady N, Lydic TA, Chen YE, Yin KJ, Powell FL, Martin PM, et al: Dual anti-inflammatory and anti-angiogenic action of miR-15a in diabetic retinopathy. EBioMedicine. 11:138–150. 2016.PubMed/NCBI View Article : Google Scholar

14 

Temelkova-Kurktschiev T, Henkel E, Koehler C, Karrei K and Hanefeld M: Subclinical inflammation in newly detected type II diabetes and impaired glucose tolerance. Diabetologia. 45(151)2002.PubMed/NCBI View Article : Google Scholar

15 

Pradhan AD, Manson JE, Rifai N, Buring JE and Ridker PM: C-reactive protein, interleukin 6, and risk of developing type 2 diabetes mellitus. JAMA. 286:327–334. 2001.PubMed/NCBI View Article : Google Scholar

16 

Hillier RJ, Ojaimi E, Wong DT, Mak MYK, Berger AR, Kohly RP, Kertes PJ, Forooghian F, Boyd SR, Eng K, et al: Aqueous humor cytokine levels and anatomic response to intravitreal ranibizumab in diabetic macular edema. JAMA Ophthalmol. 136:382–388. 2018.PubMed/NCBI View Article : Google Scholar

17 

Pessoa B, Heitor J, Coelho C, Leander M, Menéres P, Figueira J, Meireles A and Beirão M: Systemic and vitreous biomarkers-new insights in diabetic retinopathy. Graefes Arch Clin Exp Ophthalmol. 260:2449–2460. 2022.PubMed/NCBI View Article : Google Scholar

18 

Muni RH, Kohly RP, Lee EQ, Manson JE, Semba RD and Schaumberg DA: Prospective study of inflammatory biomarkers and risk of diabetic retinopathy in the diabetes control and complications trial. JAMA Ophthalmol. 131:514–521. 2013.PubMed/NCBI View Article : Google Scholar

19 

Li J, Zhao T and Sun Y: Interleukin-17A in diabetic retinopathy: The crosstalk of inflammation and angiogenesis. Biochem Pharmacol. 225(116311)2024.PubMed/NCBI View Article : Google Scholar

20 

Qiu AW, Bian Z, Mao PA and Liu QH: IL-17A exacerbates diabetic retinopathy by impairing Müller cell function via Act1 signaling. Exp Mol Med. 48(e280)2016.PubMed/NCBI View Article : Google Scholar

21 

Qiu AW, Liu QH and Wang JL: Blocking IL-17A alleviates diabetic retinopathy in rodents. Cell Physiol Biochem. 41:960–972. 2017.PubMed/NCBI View Article : Google Scholar

22 

Jonas JB, Tao Y, Neumaier M and Findeisen P: Monocyte chemoattractant protein 1, intercellular adhesion molecule 1, and vascular cell adhesion molecule 1 in exudative age-related macular degeneration. Arch Ophthalmol. 128:1281–1286. 2010.PubMed/NCBI View Article : Google Scholar

23 

Miyamoto K, Khosrof S, Bursell SE, Moromizato Y, Aiello LP, Ogura Y and Adamis AP: Vascular endothelial growth factor (VEGF)-induced retinal vascular permeability is mediated by intercellular adhesion molecule-1 (ICAM-1). Am J Pathol. 156:1733–1739. 2000.PubMed/NCBI View Article : Google Scholar

24 

Haneda S and Yamashita H: International clinical diabetic retinopathy disease severity scale. Nihon Rinsho. 68 (Suppl 9):S228–S235. 2010.PubMed/NCBI(In Japanese).

25 

Bai J, Yang F, Wang R and Yan Q: Ghrelin ameliorates diabetic retinal injury: Potential therapeutic avenues for diabetic retinopathy. Oxid Med Cell Longev. 2021(8043299)2021.PubMed/NCBI View Article : Google Scholar

26 

Gaffen SL: Recent advances in the IL-17 cytokine family. Curr Opin Immunol. 23:613–619. 2011.PubMed/NCBI View Article : Google Scholar

27 

Zhong H and Sun X: Contribution of interleukin-17A to retinal degenerative diseases. Front Immunol. 13(847937)2022.PubMed/NCBI View Article : Google Scholar

28 

Yan A, Zhang Y, Wang X, Cui Y and Tan W: Interleukin 35 regulates interleukin 17 expression and T helper 17 in patients with proliferative diabetic retinopathy. Bioengineered. 13:13293–13299. 2022.PubMed/NCBI View Article : Google Scholar

29 

Marwaha AK, Crome SQ, Panagiotopoulos C, Berg KB, Qin H, Ouyang Q, Xu L, Priatel JJ, Levings MK and Tan R: Cutting edge: Increased IL-17-secreting T cells in children with new-onset type 1 diabetes. J Immunol. 185:3814–3818. 2010.PubMed/NCBI View Article : Google Scholar

30 

Setiadi AF, Abbas AR, Jeet S, Wong K, Bischof A, Peng I, Lee J, Bremer M, Eggers EL, DeVoss J, et al: IL-17A is associated with the breakdown of the blood-brain barrier in relapsing-remitting multiple sclerosis. J Neuroimmunol. 332:147–154. 2019.PubMed/NCBI View Article : Google Scholar

31 

Elahi R, Nazari M, Mohammadi V, Esmaeilzadeh K and Esmaeilzadeh A: IL-17 in type II diabetes mellitus (T2DM) immunopathogenesis and complications; molecular approaches. Mol Immunol. 171:66–76. 2024.PubMed/NCBI View Article : Google Scholar

32 

Zapadka TE, Lindstrom SI, Taylor BE, Lee CA, Tang J, Taylor ZRR, Howell SJ and Taylor PR: RORγt Inhibitor-SR1001 halts retinal inflammation, capillary degeneration, and the progression of diabetic retinopathy. Int J Mol Sci. 21(3547)2020.PubMed/NCBI View Article : Google Scholar

33 

Bharadwaj AS, Schewitz-Bowers LP, Wei L, Lee RW and Smith JR: Intercellular adhesion molecule 1 mediates migration of Th1 and Th17 cells across human retinal vascular endothelium. Invest Ophthalmol Vis Sci. 54:6917–6925. 2013.PubMed/NCBI View Article : Google Scholar

34 

Ding Y, Yang C, Zhou Z, Peng Y, Chen J, Pan S, Xu H, Cai Y, Ou K, Xie W and Wang H: Clinical significance of soluble adhesion molecules in anti-NMDAR encephalitis patients. Ann Clin Transl Neurol. 6:945–953. 2019.PubMed/NCBI View Article : Google Scholar

35 

Nowak M, Wielkoszyński T, Marek B, Kos-Kudła B, Swietochowska E, Siemińska L, Kajdaniuk D, Głogowska-Szelag J and Nowak K: Blood serum levels of vascular cell adhesion molecule (sVCAM-1), intercellular adhesion molecule (sICAM-1) and endothelial leucocyte adhesion molecule-1 (ELAM-1) in diabetic retinopathy. Clin Exp Med. 8:159–164. 2008.PubMed/NCBI View Article : Google Scholar

36 

Blum A, Pastukh N, Socea D and Jabaly H: Levels of adhesion molecules in peripheral blood correlat with stages of diabetic retinopathy and may serve as bio markers for microvascular complications. Cytokine. 106:76–79. 2018.PubMed/NCBI View Article : Google Scholar

37 

Yao Y, Du J, Li R, Zhao L, Luo N, Zhai JY and Long L: Association between ICAM-1 level and diabetic retinopathy: A review and meta-analysis. Postgrad Med J. 95:162–168. 2019.PubMed/NCBI View Article : Google Scholar

38 

Baron VT, Pio R, Jia Z and Mercola D: Early growth response 3 regulates genes of inflammation and directly activates IL6 and IL8 expression in prostate cancer. Br J Cancer. 112:755–764. 2015.PubMed/NCBI View Article : Google Scholar

39 

Alfaro C, Sanmamed MF, Rodríguez-Ruiz ME, Teijeira Á, Oñate C, González Á, Ponz M, Schalper KA, Pérez-Gracia JL and Melero I: Interleukin-8 in cancer pathogenesis, treatment and follow-up. Cancer Treat Rev. 60:24–31. 2017.PubMed/NCBI View Article : Google Scholar

40 

Owen LA and Hartnett ME: Soluble mediators of diabetic macular edema: The diagnostic role of aqueous VEGF and cytokine levels in diabetic macular edema. Curr Diab Rep. 13:476–480. 2013.PubMed/NCBI View Article : Google Scholar

41 

Lee WJ, Kang MH, Seong M and Cho HY: Comparison of aqueous concentrations of angiogenic and inflammatory cytokines in diabetic macular oedema and macular oedema due to branch retinal vein occlusion. Br J Ophthalmol. 96:1426–1430. 2012.PubMed/NCBI View Article : Google Scholar

Related Articles

  • Abstract
  • View
  • Download
  • Twitter
Copy and paste a formatted citation
Spandidos Publications style
Gao X, Li H, Diao J, Liu D, Sun W and Zhou Z: Association of serum proinflammatory factors with clinical response to ranibizumab for diabetic macular edema. Exp Ther Med 30: 177, 2025.
APA
Gao, X., Li, H., Diao, J., Liu, D., Sun, W., & Zhou, Z. (2025). Association of serum proinflammatory factors with clinical response to ranibizumab for diabetic macular edema. Experimental and Therapeutic Medicine, 30, 177. https://doi.org/10.3892/etm.2025.12927
MLA
Gao, X., Li, H., Diao, J., Liu, D., Sun, W., Zhou, Z."Association of serum proinflammatory factors with clinical response to ranibizumab for diabetic macular edema". Experimental and Therapeutic Medicine 30.3 (2025): 177.
Chicago
Gao, X., Li, H., Diao, J., Liu, D., Sun, W., Zhou, Z."Association of serum proinflammatory factors with clinical response to ranibizumab for diabetic macular edema". Experimental and Therapeutic Medicine 30, no. 3 (2025): 177. https://doi.org/10.3892/etm.2025.12927
Copy and paste a formatted citation
x
Spandidos Publications style
Gao X, Li H, Diao J, Liu D, Sun W and Zhou Z: Association of serum proinflammatory factors with clinical response to ranibizumab for diabetic macular edema. Exp Ther Med 30: 177, 2025.
APA
Gao, X., Li, H., Diao, J., Liu, D., Sun, W., & Zhou, Z. (2025). Association of serum proinflammatory factors with clinical response to ranibizumab for diabetic macular edema. Experimental and Therapeutic Medicine, 30, 177. https://doi.org/10.3892/etm.2025.12927
MLA
Gao, X., Li, H., Diao, J., Liu, D., Sun, W., Zhou, Z."Association of serum proinflammatory factors with clinical response to ranibizumab for diabetic macular edema". Experimental and Therapeutic Medicine 30.3 (2025): 177.
Chicago
Gao, X., Li, H., Diao, J., Liu, D., Sun, W., Zhou, Z."Association of serum proinflammatory factors with clinical response to ranibizumab for diabetic macular edema". Experimental and Therapeutic Medicine 30, no. 3 (2025): 177. https://doi.org/10.3892/etm.2025.12927
Follow us
  • Twitter
  • LinkedIn
  • Facebook
About
  • Spandidos Publications
  • Careers
  • Cookie Policy
  • Privacy Policy
How can we help?
  • Help
  • Live Chat
  • Contact
  • Email to our Support Team