Spandidos Publications Logo
  • About
    • About Spandidos
    • Aims and Scopes
    • Abstracting and Indexing
    • Editorial Policies
    • Reprints and Permissions
    • Job Opportunities
    • Terms and Conditions
    • Contact
  • Journals
    • All Journals
    • Oncology Letters
      • Oncology Letters
      • Information for Authors
      • Editorial Policies
      • Editorial Board
      • Aims and Scope
      • Abstracting and Indexing
      • Bibliographic Information
      • Archive
    • International Journal of Oncology
      • International Journal of Oncology
      • Information for Authors
      • Editorial Policies
      • Editorial Board
      • Aims and Scope
      • Abstracting and Indexing
      • Bibliographic Information
      • Archive
    • Molecular and Clinical Oncology
      • Molecular and Clinical Oncology
      • Information for Authors
      • Editorial Policies
      • Editorial Board
      • Aims and Scope
      • Abstracting and Indexing
      • Bibliographic Information
      • Archive
    • Experimental and Therapeutic Medicine
      • Experimental and Therapeutic Medicine
      • Information for Authors
      • Editorial Policies
      • Editorial Board
      • Aims and Scope
      • Abstracting and Indexing
      • Bibliographic Information
      • Archive
    • International Journal of Molecular Medicine
      • International Journal of Molecular Medicine
      • Information for Authors
      • Editorial Policies
      • Editorial Board
      • Aims and Scope
      • Abstracting and Indexing
      • Bibliographic Information
      • Archive
    • Biomedical Reports
      • Biomedical Reports
      • Information for Authors
      • Editorial Policies
      • Editorial Board
      • Aims and Scope
      • Abstracting and Indexing
      • Bibliographic Information
      • Archive
    • Oncology Reports
      • Oncology Reports
      • Information for Authors
      • Editorial Policies
      • Editorial Board
      • Aims and Scope
      • Abstracting and Indexing
      • Bibliographic Information
      • Archive
    • Molecular Medicine Reports
      • Molecular Medicine Reports
      • Information for Authors
      • Editorial Policies
      • Editorial Board
      • Aims and Scope
      • Abstracting and Indexing
      • Bibliographic Information
      • Archive
    • World Academy of Sciences Journal
      • World Academy of Sciences Journal
      • Information for Authors
      • Editorial Policies
      • Editorial Board
      • Aims and Scope
      • Abstracting and Indexing
      • Bibliographic Information
      • Archive
    • International Journal of Functional Nutrition
      • International Journal of Functional Nutrition
      • Information for Authors
      • Editorial Policies
      • Editorial Board
      • Aims and Scope
      • Abstracting and Indexing
      • Bibliographic Information
      • Archive
    • International Journal of Epigenetics
      • International Journal of Epigenetics
      • Information for Authors
      • Editorial Policies
      • Editorial Board
      • Aims and Scope
      • Abstracting and Indexing
      • Bibliographic Information
      • Archive
    • Medicine International
      • Medicine International
      • Information for Authors
      • Editorial Policies
      • Editorial Board
      • Aims and Scope
      • Abstracting and Indexing
      • Bibliographic Information
      • Archive
  • Articles
  • Information
    • Information for Authors
    • Information for Reviewers
    • Information for Librarians
    • Information for Advertisers
    • Conferences
  • Language Editing
Spandidos Publications Logo
  • About
    • About Spandidos
    • Aims and Scopes
    • Abstracting and Indexing
    • Editorial Policies
    • Reprints and Permissions
    • Job Opportunities
    • Terms and Conditions
    • Contact
  • Journals
    • All Journals
    • Biomedical Reports
      • Information for Authors
      • Editorial Policies
      • Editorial Board
      • Aims and Scope
      • Abstracting and Indexing
      • Bibliographic Information
      • Archive
    • Experimental and Therapeutic Medicine
      • Information for Authors
      • Editorial Policies
      • Editorial Board
      • Aims and Scope
      • Abstracting and Indexing
      • Bibliographic Information
      • Archive
    • International Journal of Epigenetics
      • Information for Authors
      • Editorial Policies
      • Editorial Board
      • Aims and Scope
      • Abstracting and Indexing
      • Bibliographic Information
      • Archive
    • International Journal of Functional Nutrition
      • Information for Authors
      • Editorial Policies
      • Editorial Board
      • Aims and Scope
      • Abstracting and Indexing
      • Bibliographic Information
      • Archive
    • International Journal of Molecular Medicine
      • Information for Authors
      • Editorial Policies
      • Editorial Board
      • Aims and Scope
      • Abstracting and Indexing
      • Bibliographic Information
      • Archive
    • International Journal of Oncology
      • Information for Authors
      • Editorial Policies
      • Editorial Board
      • Aims and Scope
      • Abstracting and Indexing
      • Bibliographic Information
      • Archive
    • Medicine International
      • Information for Authors
      • Editorial Policies
      • Editorial Board
      • Aims and Scope
      • Abstracting and Indexing
      • Bibliographic Information
      • Archive
    • Molecular and Clinical Oncology
      • Information for Authors
      • Editorial Policies
      • Editorial Board
      • Aims and Scope
      • Abstracting and Indexing
      • Bibliographic Information
      • Archive
    • Molecular Medicine Reports
      • Information for Authors
      • Editorial Policies
      • Editorial Board
      • Aims and Scope
      • Abstracting and Indexing
      • Bibliographic Information
      • Archive
    • Oncology Letters
      • Information for Authors
      • Editorial Policies
      • Editorial Board
      • Aims and Scope
      • Abstracting and Indexing
      • Bibliographic Information
      • Archive
    • Oncology Reports
      • Information for Authors
      • Editorial Policies
      • Editorial Board
      • Aims and Scope
      • Abstracting and Indexing
      • Bibliographic Information
      • Archive
    • World Academy of Sciences Journal
      • Information for Authors
      • Editorial Policies
      • Editorial Board
      • Aims and Scope
      • Abstracting and Indexing
      • Bibliographic Information
      • Archive
  • Articles
  • Information
    • For Authors
    • For Reviewers
    • For Librarians
    • For Advertisers
    • Conferences
  • Language Editing
Login Register Submit
  • This site uses cookies
  • You can change your cookie settings at any time by following the instructions in our Cookie Policy. To find out more, you may read our Privacy Policy.

    I agree
Search articles by DOI, keyword, author or affiliation
Search
Advanced Search
presentation
Experimental and Therapeutic Medicine
Join Editorial Board Propose a Special Issue
Print ISSN: 1792-0981 Online ISSN: 1792-1015
Journal Cover
March-April 2010 Volume 1 Issue 2

Full Size Image

Sign up for eToc alerts
Recommend to Library

Journals

International Journal of Molecular Medicine

International Journal of Molecular Medicine

International Journal of Molecular Medicine is an international journal devoted to molecular mechanisms of human disease.

International Journal of Oncology

International Journal of Oncology

International Journal of Oncology is an international journal devoted to oncology research and cancer treatment.

Molecular Medicine Reports

Molecular Medicine Reports

Covers molecular medicine topics such as pharmacology, pathology, genetics, neuroscience, infectious diseases, molecular cardiology, and molecular surgery.

Oncology Reports

Oncology Reports

Oncology Reports is an international journal devoted to fundamental and applied research in Oncology.

Experimental and Therapeutic Medicine

Experimental and Therapeutic Medicine

Experimental and Therapeutic Medicine is an international journal devoted to laboratory and clinical medicine.

Oncology Letters

Oncology Letters

Oncology Letters is an international journal devoted to Experimental and Clinical Oncology.

Biomedical Reports

Biomedical Reports

Explores a wide range of biological and medical fields, including pharmacology, genetics, microbiology, neuroscience, and molecular cardiology.

Molecular and Clinical Oncology

Molecular and Clinical Oncology

International journal addressing all aspects of oncology research, from tumorigenesis and oncogenes to chemotherapy and metastasis.

World Academy of Sciences Journal

World Academy of Sciences Journal

Multidisciplinary open-access journal spanning biochemistry, genetics, neuroscience, environmental health, and synthetic biology.

International Journal of Functional Nutrition

International Journal of Functional Nutrition

Open-access journal combining biochemistry, pharmacology, immunology, and genetics to advance health through functional nutrition.

International Journal of Epigenetics

International Journal of Epigenetics

Publishes open-access research on using epigenetics to advance understanding and treatment of human disease.

Medicine International

Medicine International

An International Open Access Journal Devoted to General Medicine.

Journal Cover
March-April 2010 Volume 1 Issue 2

Full Size Image

Sign up for eToc alerts
Recommend to Library

  • Article
  • Citations
    • Cite This Article
    • Download Citation
    • Create Citation Alert
    • Remove Citation Alert
    • Cited By
  • Similar Articles
    • Related Articles (in Spandidos Publications)
    • Similar Articles (Google Scholar)
    • Similar Articles (PubMed)
  • Download PDF
  • Download XML
  • View XML
Article

Thymoquinone hydrazone derivatives cause cell cycle arrest in p53-competent colorectal cancer cells

  • Authors:
    • André Wirries
    • Sandra Breyer
    • Karl Quint
    • Rainer Schobert
    • Matthias Ocker
  • View Affiliations / Copyright

    Affiliations: Department of Medicine 1, University Hospital Erlangen, 91054 Erlangen, Germany
  • Pages: 369-375
    |
    Published online on: March 1, 2010
       https://doi.org/10.3892/etm_00000058
  • Expand metrics +
Metrics: Total Views: 0 (Spandidos Publications: | PMC Statistics: )
Metrics: Total PDF Downloads: 0 (Spandidos Publications: | PMC Statistics: )
Cited By (CrossRef): 0 citations Loading Articles...

This article is mentioned in:



Abstract

Thymoquinone (TQ), the major compound of black seed oil, has been shown to induce pro-apoptotic signaling pathways in various human cancer models. Although TQ is commonly used in traditional medicine, its use in humans is limited due to its chemical properties and poor membrane penetration capacity. We therefore attached saturated and unsaturated fatty acid residues to TQ and evaluated the effect on cell proliferation, apoptosis and underlying signaling pathways in HCT116 and HCT116p53−/− colon cancer and HepG2 hepatoma cells in vitro. Treatment with thymoquinone-4-α-linolenoylhydrazone (TQ-H-10) or thymoquinone-4-palmitoylhydrazone (TQ-H-11) induced a cytostatic effect, particularly in p53-competent HCT116 cells, mediated by an up-regulation of p21cip1/waf1 and a down-regulation of cyclin E, and associated with an S/G2 arrest of the cell cycle. Cells lacking p53 (HCT116p53−/−) or HepG2 liver cancer cells showed only a minor response to TQ-H-10. These findings demonstrate that derivatives of TQ inhibit cell proliferation dependent on p53 status by activating the cell cycle inhibitor p21cip1/waf1 at lower concentrations than unmodified TQ. Structural modifications can therefore contribute to the further clinical development of TQ.

Introduction

Colorectal cancer still represents a major medical challenge. Besides improving current available therapies, new treatment methods must be evaluated in order to provide improved outcomes for patients with advanced stages of the disease. A variety of plant-derived drugs have recently been explored for anticancer efficacy (1). It has been demonstrated that thymoquinone (TQ), which is the major compound of black seed (Nigella sativa) oil, traditionally used in Mediterranean and Arab medicine, possesses significant anticancer effects in various cancer models (2).

We previously showed that TQ induces apoptosis through p53-dependent pathways in human colon cancer cells and animal models (3,4). Although LD50 values for TQ in mice and rats indicate that high doses are tolerable in vivo (5), the high concentrations required impair these positive effects. In addition, due to its chemical structure (2-isopropyl-5-methylbenzo-1,4-quinone), TQ is unstable under physiologic conditions and in aqueous solutions, and shows only a low capacity to penetrate through biologic membranes. Recently, we demonstrated that the chemical modification of TQ by attachment of saturated and unsaturated fatty acid side chains enhanced the biological efficacy of TQ by increasing ROS production and inducing apoptosis in HL-60 leukaemia and 518A2 melanoma cells (6). Besides having a cytotoxic effect, TQ has been demonstrated to interfere with the cell cycle by inhibiting the activity of polo-like kinase 1 (PLK1), which is a key regulator of mitosis progression and is itself regulated by p53 (7).

Based on these findings, we developed further TQ derivatives which, in the present study, were investigated for their cell cycle regulating activity in HCT116 colon cancer cells and the human hepatoma cell line HepG2. Dependent on p53 status, these new molecules induced a cytostatic effect at low concentrations by the up-regulation of p21cip1/waf1 and the suppression of cyclin E.

Materials and methods

Design and synthesis of thymoquinone derivatives

The thymoquinone hydrazones (TQ-H) were prepared from TQ and α-linolenic acid or hexadecanoic acid, respectively, according to a previously applied general procedure (6).

Cell growth and treatment

Human HCT116 colon cancer cells (wild-type and derivatives lacking p53) and human HepG2 hepatocellular carcinoma cells were cultivated in RPMI-1640 medium supplemented with 10% fetal bovine serum (FBS), 1% penicillin and 0.5% streptomycin in an atmosphere of 5% CO2 at 37°C. Cell cultures were grown on Nunc EasyFlasks (Thermo Fisher Scientific, Roskilde, Denmark). Cell culture media and supplements were obtained from Biochrom, Berlin, Germany. Cell lines were obtained from the German Collection of Microorganisms and Cell Cultures (DSMZ, Braunschweig, Germany); HCT116p53−/− cells were a gift from B. Vogelstein (Johns Hopkins University, Baltimore, MD, USA).

For 24–72 h of treatment, 105 or 5×104 cells were seeded in 6-well plates and allowed to adhere overnight. TQ derivatives were added at different concentrations (0.01–10 μM) for the indicated time points.

Cell number and cell cycle analysis

Treated cells were washed with phosphate-buffered saline (PBS; Biochrom) and lysed by incubation with trypsin/EDTA (Biochrom). Cell number was determined by counting the viable cells after trypan blue staining in a Neubauer chamber as described previously (8). Apoptosis and DNA content were determined by flow cytometry on a FACSCalibur fluorescence activated cell sorter (BD Bioscience, Heidelberg, Germany) after staining with hypotonic propidium iodide solution (0.1% sodium citrate, 0.1% Triton X-100 and 50 μg/ml propidium iodide; all from Sigma, Deisenhofen, Germany) as described previously (8). For each sample, 10,000 events were collected, and the percentage of cells with a subdiploid DNA content in different phases of the cell cycle was determined using CellQuest software (BD Bioscience). Results displayed in the graphs and diagrams are the mean and standard deviation of three independent experiments.

Protein extraction and Western blot analysis

Total protein was extracted after treatment under the indicated conditions using Jie's protein extraction buffer as described previously (9). Proteins were quantified using the Pierce BCA Protein Assay kit (Thermo Scientific, Rockford, IL, USA) according to the manufacturer's protocol. Samples were subjected to gel electrophoresis on NuPAGE Bis-Tris Gels (Invitrogen, Carlsbad, CA, USA) for 50 min at 200 V and 125 mA. Proteins were then transferred to a nitrocellulose transfer membrane (Whatman, Dassel, Germany) at 90 V for 30 min. Membranes were blocked at 4°C overnight using PBS with 0.1% Tween-20 and 5% low fat milk powder, and then probed with primary antibodies (Table I) for 90 min at room temperature (RT). Membranes were washed three times with blocking buffer and incubated with appropriate secondary antibodies for 1 h at RT (Table I). Reactive bands were visualized using enhanced chemiluminescence (ECL) and exposure to X-ray films. Densitometry analysis was performed using GelScan 5 software (BioSciTec, Frankfurt, Germany). All membranes were stripped with glycine-buffer (pH 2.0) and reprobed with an anti-β-actin antibody to show equal loading of the lanes.

Table I.

Western blot antibodies.

Table I.

Western blot antibodies.

AntigenManufacturer; DilutionSecond antibody; Dilution
p21cip1/waf1BD Bioscience, mouse monoclonal; 1:500Mouse, 1:1000
p53BD Bioscience, mouse monoclonal; 1:500Mouse; 1:1000
Cyclin AAbcam, mouse monoclonal; 1:500Mouse; 1:1000
Cyclin DAbcam, rabbit monoclonal; 1:200Rabbit; 1:1000
Cyclin EAbcam, rabbit polyclonal; 1:200Rabbit; 1:1000
β-actinSigma, mouse monoclonal; 1:2000Mouse; 1:1000
RNA extraction, cDNA synthesis and quantitative real-time PCR

Total RNA was extracted using peqGOLD RNA Pure (Peqlab, Erlangen, Germany) according to the manufacturer's instructions. cDNA synthesis was performed as described previously using oligo(dT)15 primer and random hexamer primer (both from Promega, Mannheim, Germany) with 100 U SuperScript II reverse transcriptase (Invitrogen). Relative transcript levels were quantified by real-time RT-PCR using 2 μl of template cDNA on a thermal cycler system (CFX96 Real Time System, C1000 Thermal Cycler; BioRad). Quantitect Primers for human CCNA2, CCND2, CCNE2, TP53, CDKN1A as well as GAPDH were obtained from Qiagen (Hilden, Germany). PCR was performed with the Absolute SYBR Green Fluorescein Mix (Thermo Scientific, ABgene House, Epsom, Surrey, UK) according to the manufacturer's instructions. Data were analyzed with Bio-Rad CFX Manager software. Results were normalized to GAPDH levels. Samples were analyzed in duplicate.

Statistical analysis

Significance was calculated using the t-test for paired samples. P<0.05 was regarded as significant.

Results

Thymoquinone hydrazone derivatives inhibit proliferation of human colon cancer cells in vitro

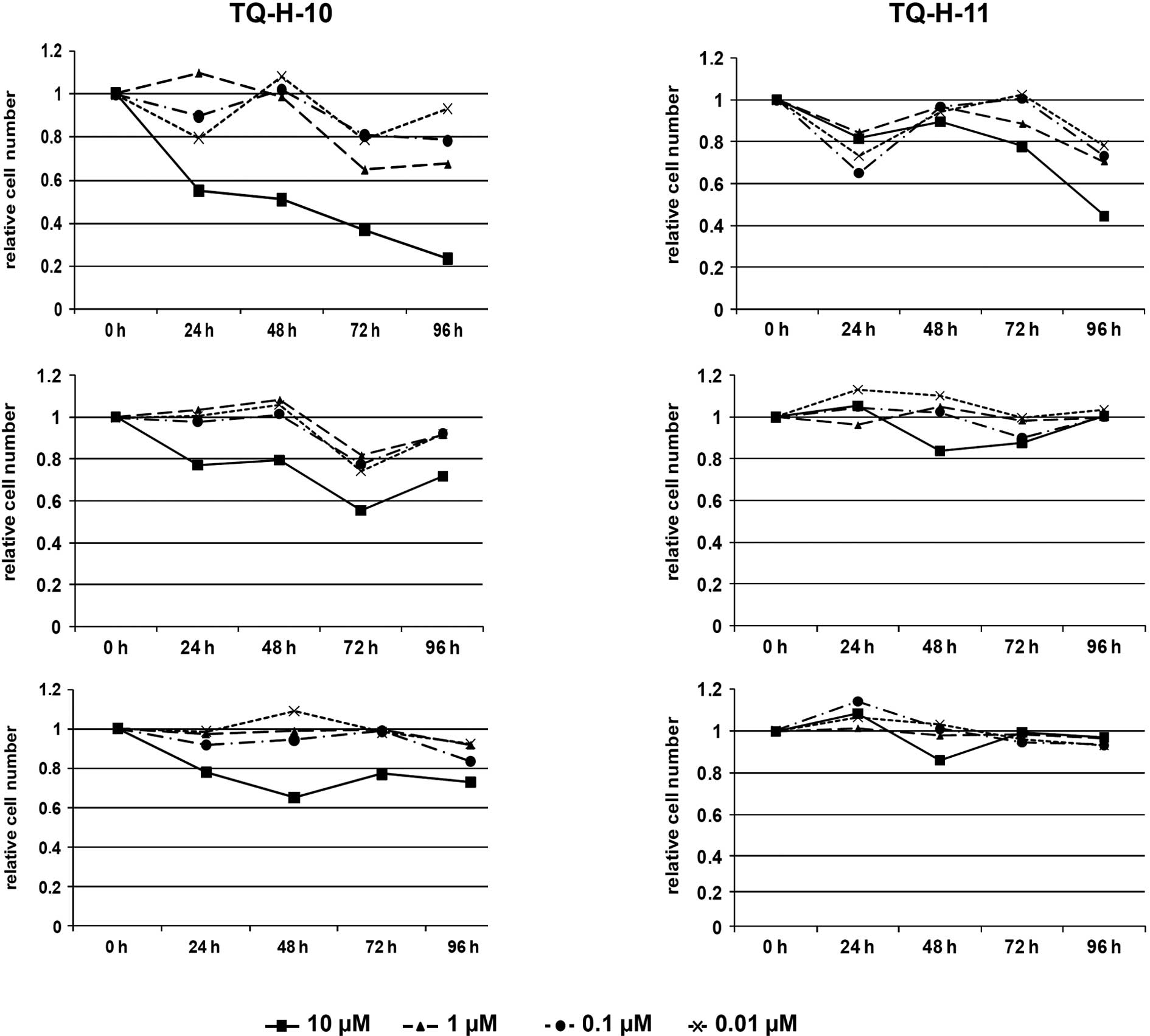
Human HCT116 colon cancer cells and the derivative lacking p53 (HCT116p53−/−), as well as the human HepG2 liver cancer cell line, were exposed to different concentrations of thymoquinone hydrazone derivatives (TQ-H) for 24–96 h at concentrations of 0.1 to 10 μM, thus not exceeding cytotoxic doses (IC50, 40 μM), as reported previously (10). As shown in Fig. 2, the viable cell count revealed significant effects of the two investigated TQ-H derivatives.

Figure 2.

Cell counts of viable cells after 24–96 h of treatment with different thymoquinone hydrazone derivatives. The HCT116 (A and D), HCT-116p53−/− (B and E) and HepG2 (C and F) cell lines are shown according to treatment with 0.01–10 μM thymoquinone hydrazone derivatives (TQ-H-10: A–C; TQ-H-11: D–F). Each graph shows one cell line treated with one derivative according to the duration of treatment, expressed relative to an untreated control. Controls are set as 1.0 at every time point and are not shown separately. Results are the mean of three independent experiments.

HCT116 cells proved to be most sensitive to treatment with either thymoquinone-4-α-linolenoylhydrazone (TQ-H-10) or thymoquinone-4-palmitoylhydrazone (TQ-H-11) (Fig. 2A and D). At 10 μM, both compounds significantly decreased the number of viable cells to 24% of the untreated controls for TQ-H-10 and 45% for TQ-H-11 after 96 h. Lower concentrations also reduced cell proliferation in this cell line to 65 and 80% at 1 and 0.1 μM, respectively, for TQ-H-10, and to ∼75% for TQ-H-11. In contrast, reduction in cell proliferation was less pronounced for HCT116p53−/− cells (Fig. 2B and E). In these cells, only 10 μM of TQ-H-10 led to a decrease in cell number of ∼58% after 72 h and 72% after 96 h; lower concentrations of TQ-H-10 did not affect cell proliferation. Surprisingly, TQ-H-11 was ineffective even at 10 μM. A similar pattern was observed for the human HepG2 liver cancer cell line (Fig. 2C and F). Only 10 μM of TQ-H-10 led to a significant decrease in cell number at 48–96 h, ranging from 65 to 75% of the untreated controls. Lower concentrations of TQ-H-10 as well as all tested concentrations of TQ-H-11 were ineffective.

TQ-H derivatives induce changes in the distribution of cell cycle phases

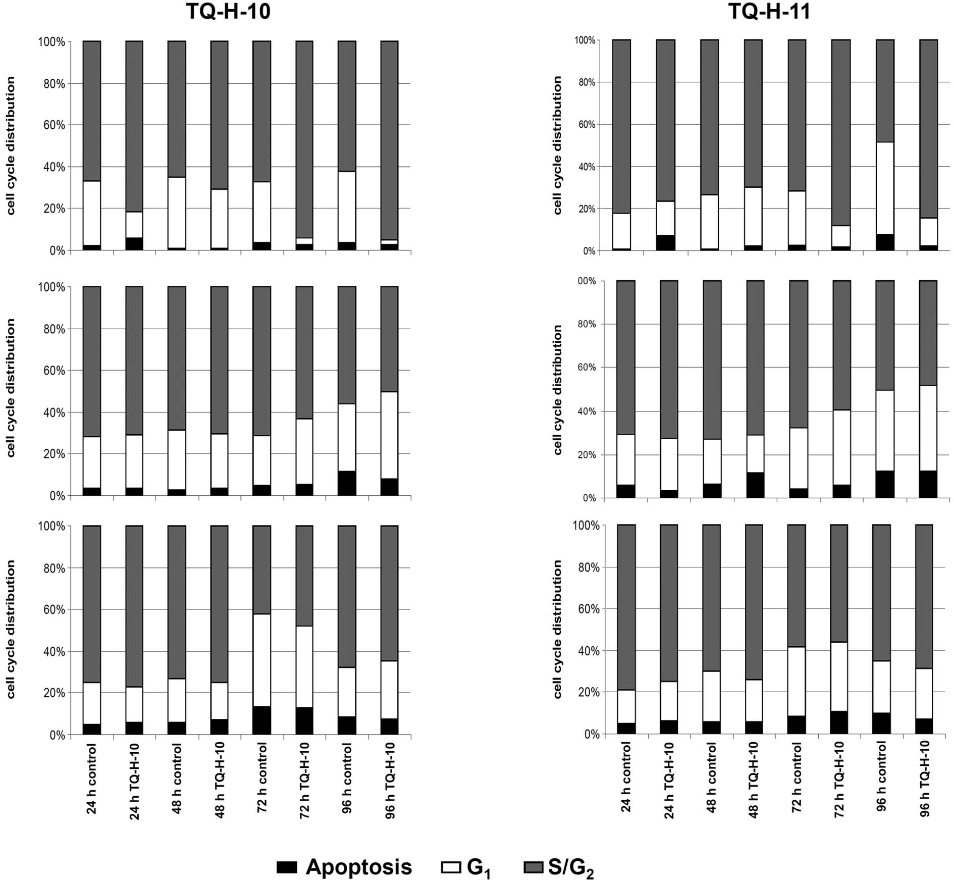
Cell cycle distribution and apoptosis were determined by flow cytometry after propidium iodide staining. In parallel to cell counting experiments, HCT116 cells proved to be most sensitive to treatment with 10 μM TQ-H-10 or TQ-H-11 (Fig. 3A and D). Both compounds induced a significant shift in the cell cycle distribution towards the S/G2 phase after 72 and 96 h. In detail, the amount of cells in the S/G2 phase increased from 67.8 to 89.1% and from 62.4 to 88.6% after 72 or 96 h of treatment with TQ-H-10. TQ-H-11 increased this parameter from 72.3 to 88.1% and from 49.2 to 84.5%, respectively. Representative flow cytometry scans are shown in Fig. 4. Similar to the results described above, neither TQ-H-10 nor TQ-H-11 influenced the distribution of the cell cycle at 10 μM in either the HCT116p53−/− (Fig. 3B and C) or HepG2 cells (Fig. 3E and F).

Figure 3.

Relative distribution of cell cycle phases in each cell line and treatment according to flow cytometry. Distribution of cell cycle phases was scored using Cell Quest Software in HCT116 (A and D), HCT116p53−/− (B and E) and HepG2 (C and F) cells after 24–96 h treatment with 10 μM TQ-H-10 (A–C) or TQ-H-11 (D–F). Results are the mean of three independent experiments.

Figure 4.

Representative flow cytometry histograms of HCT116 cells treated with TQ-H-10 or TQ-H-11. Cells were treated for 48 h (A and C) or 72 h (B and D) with 10 μM of TQ-H-10 (A and B) and TQ-H-11 (C and D). Each graph shows treated cells (10 μM) (black line) compared to untreated controls (grey line). Cells treated with TQ-H-10 show a shift in the distribution of cell cycle phases after propidium iodide staining towards more S/G2 and less G1 phase (A and B) cells. Treatment with TQ-H-11 shows a similar but lesser effect (C and D). No treatment indicates an increase in apoptosis as determined by sub-G1 events. Each analysis was carried out in triplicate.

Molecular analysis of cell cycle regulating factors after TQ-H treatment

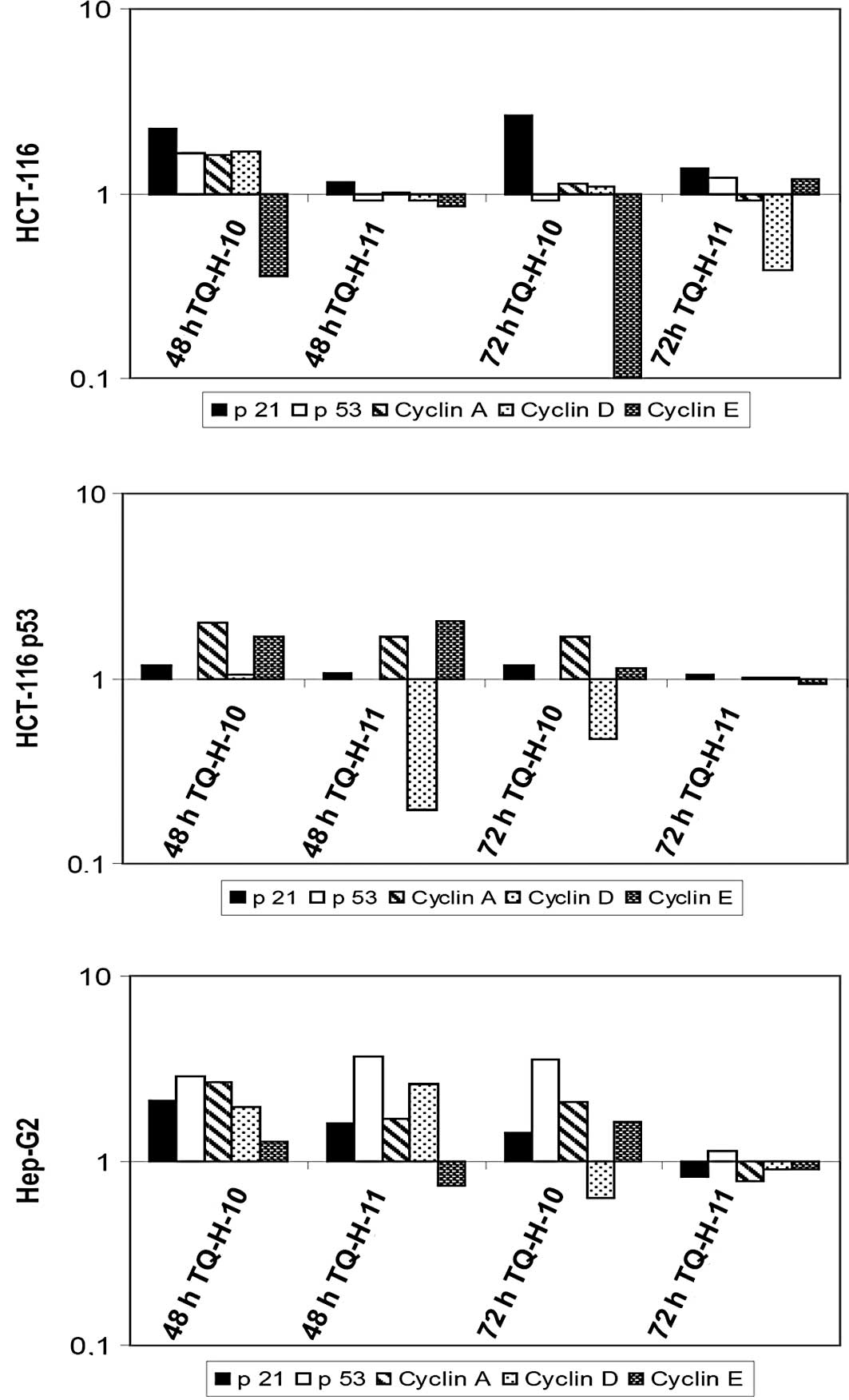
To investigate which factors are involved in TQ-H-mediated cell cycle arrest and to determine the influence of p53 status on the observed results, we performed quantitative real-time RT-PCR and Western blotting on all tested cell lines after 48 and 72 h of incubation with 10 μM TQ-H-10 and TQ-H-11.

Compared to untreated controls, TQ-H-10 induced a significant increase in the mRNA levels of p21cip1/waf1 and a pronounced down-regulation of cyclin E in HCT116 cells (Fig. 5A). TQ-H-11 led only to a down-regulation of cyclin D after 72 h, while all other parameters remained unchanged. In line with the view that p21cip1/waf1 is a transcriptional target of p53 (11), no significant increase in p21cip1/waf1 was observed in HCT116p53−/− cells (Fig. 5B). However, both compounds led to a suppression of cyclin D mRNA levels after 48 h (TQ-H-11) or 72 h (TQ-H-10). In HepG2 cells, which showed the greatest resistance to TQ-H treatments, no significant down-regulation of cell cycle-associated genes was observed (Fig. 5C). In this cell line, the increased expression of p53 and cyclins A, D and E was observed, which supports the findings regarding cell death and cell proliferation.

Figure 5.

Quantitative real-time PCR of cell cycle-related genes. Shown are the mean mRNA levels of cell cycle-related genes (p21cip1/waf1, p53 and cyclins A, D and E) after 48 and 72 h treatment with TQ-H-10 or TQ-H-11 in HCT116 (A), HCT116p53−/− (B) and HepG2 (C) cells. Results were normalized to GAPDH and are expressed relative to untreated controls set at 1.0.

To confirm these results, quantitative Western blotting was performed (Fig. 6). In line with the previously described findings, the most resistant HepG2 cells showed a pronounced down-regulation of p21cip1/waf1 and p53, while cyclin levels were mostly unaffected at 48 h. In the sensitive HCT116 cell line, we observed no increase in p21cip1/waf1 protein, but found a pronounced down-regulation of cyclins A and E, particularly after 72 h of incubation with both TQ derivatives. At the protein level, HCT116p53−/− cells also showed a down-regulation of cyclins A and E after a 72-h treatment with 10 μM TQ-H-11, while other parameters remained largely unaffected. Again, expression of p21cip1/waf1 was unchanged in these p53-deficient cells after treatment with either of the TQ compounds.

Figure 6.

Western blot analysis of cell cycle-related genes. The depicted representative blots show changes in the protein expression of p21cip1/waf1, p53 and cyclins A, D and E. Cells were incubated with 10 μM TQ-H-10 or TQ-H-11. Bands were normalized to β-actin content and quantified relative to untreated controls using GelScan software.

Discussion

Black seed (Nigella sativa) and its oil have traditionally been used in Arab and Mediterranean medicine for a variety of diseases, and have also become popular as food supplements in Western countries. Thymoquinone (TQ) was identified as the major active constituent of black seed essential oil (1), and has been demonstrated to exert anticancer effects in various models of human cancer (2,3,10,12–14). Several molecular pathways of TQ activity in cancer cells have recently been described, for example, activation of caspases or p53-dependent mechanisms of cell growth control (4,15–17). Although these pre-clinical and experimental data provide encouraging evidence for a clinical application of TQ, its use in humans is limited due to its low chemical stability and poor solubility in aqueous solutions. We previously showed that the modification of TQ structure by attaching fatty acids enhances the pro-apoptotic and antiproliferative properties of the molecule (6). In the present study, we investigated the molecular effects associated with unsaturated (TQ-H-10) and saturated (TQ-H-11) fatty acid modifications of TQ in the human HCT116 colorectal cancer cell line and in a derivative lacking p53 (HCT116p53−/−), as well as in the human HepG2 hepatocellular carcinoma cell line (p53 wild-type).

Our previous work showed that TQ effectively inhibits the proliferation of HCT116 cells at concentrations of 40 μM or higher (4,10). Modification of TQ with an unsaturated fatty acid enhanced this effect and resulted in significant growth inhibition, even at 10 μM, in p53-competent HCT116 cells (Fig. 2). This was associated with an increase in the S/G2 cell population (Figs. 3 and 4). Notably, this effect was not observed in either HCT116p53−/− or HepG2 cells, indicating a differential intracellular metabolism in liver and colon cell types as well as a dependency on p53 to inhibit cell cycle progression. Although previous studies have demonstrated a good apoptotic response to TQ in p53-deficient cells as well (15,17), these results were obtained at higher concentrations of native TQ, which may also induce a non-specific cytotoxic reaction, for example, due to formation of oxidative stress which we demonstrated previously (6).

A molecular pathway analysis by quantitative RT-PCR and Western blotting revealed stable expression of the cell cycle inhibitor p21cip1/waf1 in responsive HCT116 cells, but not in the other investigated cell lines (Figs. 5 and 6). Although an increase in p53 mRNA was observed in HepG2 cells, this up-regulation was not observed at the protein level, indicating a post-transcriptional processing of p53 mRNA (18). The observed growth inhibition and redistribution of cells to the S/G2 phase was confirmed using PCR based on the observed strong down-regulation of mRNA for cyclins D and E. Notably, TQ has previously been shown to induce G0/G1 arrest in various cancer cell lines (12,16), suggesting a different interaction caused by the unsaturated fatty acid residue in TQ-H-10. Although this observation is in line with the known cell cycle inhibition properties of p21cip1/waf1 (19,20), the down-regulation, particularly of cyclin E, which is crucial for progression from the G1 to S phase (20,21), is in contrast to our results. However, recent reports suggest the possibility for cells to enter the S phase even when lacking CDK2/cyclin E complex activity (19,20,22), and knockout mice for either cyclin E or CDK2 also showed normal development (23). It is currently assumed that other cyclins can rescue the lack of CDK2/cyclin E in this setting, and we observed a slight increase in cyclin A expression, which might be sufficient to promote cell cycle progression. As cyclin E overexpression is commonly observed in human malignancies and has also been proposed as a prognostic marker (21,22,24–28), our findings indicate a beneficial effect, especially on cyclin E-positive tumors, by treatment with TQ-H derivatives. This effect is enhanced by covalent linkage to unsaturated fatty acid structures, resulting in extensive antiproliferative effects as described above.

Acknowledgements

The excellent technical assistant of Astrid Taut and Isabel Zeitträger is gratefully acknowledged.

References

1. 

Amin A, Gali-Muhtasib H, Ocker M and Schneider-Stock R: Overview of major classes of plant-derived anticancer drugs. Int J Biomed Sci. 5:1–11. 2009.PubMed/NCBI

2. 

Worthen DR, Ghosheh OA and Crooks PA: The in vitro anti-tumor activity of some crude and purified components of blackseed, Nigella sativa L. Anticancer Res. 18:1527–1532. 1998.PubMed/NCBI

3. 

Gali-Muhtasib H, Diab-Assaf M, Boltze C, et al: Thymoquinone extracted from black seed triggers apoptotic cell death in human colorectal cancer cells via a p53-dependent mechanism. Int J Oncol. 25:857–866. 2004.PubMed/NCBI

4. 

Gali-Muhtasib H, Kuester D, Mawrin C, et al: Thymoquinone triggers inactivation of the stress response pathway sensor CHEK1 and contributes to apoptosis in colorectal cancer cells. Cancer Res. 68:5609–5618. 2008. View Article : Google Scholar : PubMed/NCBI

5. 

Al-Ali A, Alkhawajah AA, Randhawa MA and Shaikh NA: Oral and intraperitoneal LD50 of thymoquinone, an active principle of Nigella sativa, in mice and rats. J Ayub Med Coll Abbottabad. 20:25–27. 2008.PubMed/NCBI

6. 

Breyer S, Effenberger K and Schobert R: Effects of thymoquinone-fatty acid conjugates on cancer cells. ChemMedChem. 4:761–768. 2009. View Article : Google Scholar : PubMed/NCBI

7. 

Martin BT and Strebhardt K: Polo-like kinase 1: target and regulator of transcriptional control. Cell Cycle. 5:2881–2885. 2006. View Article : Google Scholar : PubMed/NCBI

8. 

Okamoto K, Neureiter D, Alinger B, et al: The dual EGF/VEGF receptor tyrosine kinase inhibitor AEE788 inhibits growth of human hepatocellular carcinoma xenografts in nude mice. Int J Oncol. 33:733–742. 2008.PubMed/NCBI

9. 

Jabari S, Meissnitzer M, Quint K, et al: Cellular plasticity of trans- and dedifferentiation markers in human hepatoma cells in vitro and in vivo. Int J Oncol. 35:69–80. 2009.PubMed/NCBI

10. 

Gali-Muhtasib H, Ocker M, Kuester D, et al: Thymoquinone reduces mouse colon tumor cell invasion and inhibits tumor growth in murine colon cancer models. J Cell Mol Med. 12:330–342. 2008. View Article : Google Scholar : PubMed/NCBI

11. 

Ocker M and Schneider-Stock R: Histone deacetylase inhibitors: signalling towards p21cip1/waf1. Int J Biochem Cell Biol. 39:1367–1374. 2007. View Article : Google Scholar : PubMed/NCBI

12. 

Shoieb AM, Elgayyar M, Dudrick PS, Bell JL and Tithof PK: In vitro inhibition of growth and induction of apoptosis in cancer cell lines by thymoquinone. Int J Oncol. 22:107–113. 2003.

13. 

Tan M, Norwood A, May M, Tucci M and Benghuzzi H: Effects of (-)epigallocatechin gallate and thymoquinone on proliferation of a PANC-1 cell line in culture. Biomed Sci Instrum. 42:363–371. 2006.PubMed/NCBI

14. 

Edris AE: Anti-cancer properties of Nigella spp. essential oils and their major constituents, thymoquinone and beta-elemene. Curr Clin Pharmacol. 4:43–46. 2009.

15. 

El-Mahdy MA, Zhu Q, Wang QE, Wani G and Wani AA: Thymoquinone induces apoptosis through activation of caspase-8 and mitochondrial events in p53-null myeloblastic leukemia HL-60 cells. Int J Cancer. 117:409–417. 2005. View Article : Google Scholar : PubMed/NCBI

16. 

Gali-Muhtasib HU, Abou Kheir WG, Kheir LA, Darwiche N and Crooks PA: Molecular pathway for thymoquinone-induced cell-cycle arrest and apoptosis in neoplastic keratinocytes. Anticancer Drugs. 15:389–399. 2004. View Article : Google Scholar : PubMed/NCBI

17. 

Roepke M, Diestel A, Bajbouj K, et al: Lack of p53 augments thymoquinone-induced apoptosis and caspase activation in human osteosarcoma cells. Cancer Biol Ther. 6:160–169. 2007. View Article : Google Scholar : PubMed/NCBI

18. 

Kruse JP and Gu W: Modes of p53 regulation. Cell. 137:609–622. 2009. View Article : Google Scholar

19. 

Sanchez I and Dynlacht BD: New insights into cyclins, CDKs and cell cycle control. Semin Cell Dev Biol. 16:311–321. 2005. View Article : Google Scholar : PubMed/NCBI

20. 

Sherr CJ and Roberts JM: CDK inhibitors: positive and negative regulators of G1-phase progression. Genes Dev. 13:1501–1512. 1999. View Article : Google Scholar : PubMed/NCBI

21. 

Ekholm-Reed S, Mendez J, Tedesco D, Zetterberg A, Stillman B and Reed SI: Deregulation of cyclin E in human cells interferes with prereplication complex assembly. J Cell Biol. 165:789–800. 2004. View Article : Google Scholar : PubMed/NCBI

22. 

Hwang HC and Clurman BE: Cyclin E in normal and neoplastic cell cycles. Oncogene. 24:2776–2786. 2005. View Article : Google Scholar : PubMed/NCBI

23. 

Mendez J: Cell proliferation without cyclin E-CDK2. Cell. 114:398–399. 2003. View Article : Google Scholar : PubMed/NCBI

24. 

Keck JM, Summers MK, Tedesco D, et al: Cyclin E over-expression impairs progression through mitosis by inhibiting APC(Cdh1). J Cell Biol. 178:371–385. 2007. View Article : Google Scholar : PubMed/NCBI

25. 

Schraml P, Bucher C, Bissig H, et al: Cyclin E overexpression and amplification in human tumours. J Pathol. 200:375–382. 2003. View Article : Google Scholar : PubMed/NCBI

26. 

Muller-Tidow C, Metzger R, Kugler K, et al: Cyclin E is the only cyclin-dependent kinase 2-associated cyclin that predicts metastasis and survival in early stage non-small cell lung cancer. Cancer Res. 61:647–653. 2001.PubMed/NCBI

27. 

Erlanson M and Landberg G: Prognostic implications of p27 and cyclin E protein contents in malignant lymphomas. Leuk Lymphoma. 40:461–470. 2001. View Article : Google Scholar : PubMed/NCBI

28. 

Wingate H, Puskas A, Duong M, et al: Low molecular weight cyclin E is specific in breast cancer and is associated with mechanisms of tumor progression. Cell Cycle. 8:1062–1068. 2009. View Article : Google Scholar : PubMed/NCBI

Related Articles

  • Abstract
  • View
  • Download
  • Twitter
Copy and paste a formatted citation
Spandidos Publications style
Wirries A, Breyer S, Quint K, Schobert R and Ocker M: Thymoquinone hydrazone derivatives cause cell cycle arrest in p53-competent colorectal cancer cells . Exp Ther Med 1: 369-375, 2010.
APA
Wirries, A., Breyer, S., Quint, K., Schobert, R., & Ocker, M. (2010). Thymoquinone hydrazone derivatives cause cell cycle arrest in p53-competent colorectal cancer cells . Experimental and Therapeutic Medicine, 1, 369-375. https://doi.org/10.3892/etm_00000058
MLA
Wirries, A., Breyer, S., Quint, K., Schobert, R., Ocker, M."Thymoquinone hydrazone derivatives cause cell cycle arrest in p53-competent colorectal cancer cells ". Experimental and Therapeutic Medicine 1.2 (2010): 369-375.
Chicago
Wirries, A., Breyer, S., Quint, K., Schobert, R., Ocker, M."Thymoquinone hydrazone derivatives cause cell cycle arrest in p53-competent colorectal cancer cells ". Experimental and Therapeutic Medicine 1, no. 2 (2010): 369-375. https://doi.org/10.3892/etm_00000058
Copy and paste a formatted citation
x
Spandidos Publications style
Wirries A, Breyer S, Quint K, Schobert R and Ocker M: Thymoquinone hydrazone derivatives cause cell cycle arrest in p53-competent colorectal cancer cells . Exp Ther Med 1: 369-375, 2010.
APA
Wirries, A., Breyer, S., Quint, K., Schobert, R., & Ocker, M. (2010). Thymoquinone hydrazone derivatives cause cell cycle arrest in p53-competent colorectal cancer cells . Experimental and Therapeutic Medicine, 1, 369-375. https://doi.org/10.3892/etm_00000058
MLA
Wirries, A., Breyer, S., Quint, K., Schobert, R., Ocker, M."Thymoquinone hydrazone derivatives cause cell cycle arrest in p53-competent colorectal cancer cells ". Experimental and Therapeutic Medicine 1.2 (2010): 369-375.
Chicago
Wirries, A., Breyer, S., Quint, K., Schobert, R., Ocker, M."Thymoquinone hydrazone derivatives cause cell cycle arrest in p53-competent colorectal cancer cells ". Experimental and Therapeutic Medicine 1, no. 2 (2010): 369-375. https://doi.org/10.3892/etm_00000058
Follow us
  • Twitter
  • LinkedIn
  • Facebook
About
  • Spandidos Publications
  • Careers
  • Cookie Policy
  • Privacy Policy
How can we help?
  • Help
  • Live Chat
  • Contact
  • Email to our Support Team