Spandidos Publications Logo
  • About
    • About Spandidos
    • Aims and Scopes
    • Abstracting and Indexing
    • Editorial Policies
    • Reprints and Permissions
    • Job Opportunities
    • Terms and Conditions
    • Contact
  • Journals
    • All Journals
    • Oncology Letters
      • Oncology Letters
      • Information for Authors
      • Editorial Policies
      • Editorial Board
      • Aims and Scope
      • Abstracting and Indexing
      • Bibliographic Information
      • Archive
    • International Journal of Oncology
      • International Journal of Oncology
      • Information for Authors
      • Editorial Policies
      • Editorial Board
      • Aims and Scope
      • Abstracting and Indexing
      • Bibliographic Information
      • Archive
    • Molecular and Clinical Oncology
      • Molecular and Clinical Oncology
      • Information for Authors
      • Editorial Policies
      • Editorial Board
      • Aims and Scope
      • Abstracting and Indexing
      • Bibliographic Information
      • Archive
    • Experimental and Therapeutic Medicine
      • Experimental and Therapeutic Medicine
      • Information for Authors
      • Editorial Policies
      • Editorial Board
      • Aims and Scope
      • Abstracting and Indexing
      • Bibliographic Information
      • Archive
    • International Journal of Molecular Medicine
      • International Journal of Molecular Medicine
      • Information for Authors
      • Editorial Policies
      • Editorial Board
      • Aims and Scope
      • Abstracting and Indexing
      • Bibliographic Information
      • Archive
    • Biomedical Reports
      • Biomedical Reports
      • Information for Authors
      • Editorial Policies
      • Editorial Board
      • Aims and Scope
      • Abstracting and Indexing
      • Bibliographic Information
      • Archive
    • Oncology Reports
      • Oncology Reports
      • Information for Authors
      • Editorial Policies
      • Editorial Board
      • Aims and Scope
      • Abstracting and Indexing
      • Bibliographic Information
      • Archive
    • Molecular Medicine Reports
      • Molecular Medicine Reports
      • Information for Authors
      • Editorial Policies
      • Editorial Board
      • Aims and Scope
      • Abstracting and Indexing
      • Bibliographic Information
      • Archive
    • World Academy of Sciences Journal
      • World Academy of Sciences Journal
      • Information for Authors
      • Editorial Policies
      • Editorial Board
      • Aims and Scope
      • Abstracting and Indexing
      • Bibliographic Information
      • Archive
    • International Journal of Functional Nutrition
      • International Journal of Functional Nutrition
      • Information for Authors
      • Editorial Policies
      • Editorial Board
      • Aims and Scope
      • Abstracting and Indexing
      • Bibliographic Information
      • Archive
    • International Journal of Epigenetics
      • International Journal of Epigenetics
      • Information for Authors
      • Editorial Policies
      • Editorial Board
      • Aims and Scope
      • Abstracting and Indexing
      • Bibliographic Information
      • Archive
    • Medicine International
      • Medicine International
      • Information for Authors
      • Editorial Policies
      • Editorial Board
      • Aims and Scope
      • Abstracting and Indexing
      • Bibliographic Information
      • Archive
  • Articles
  • Information
    • Information for Authors
    • Information for Reviewers
    • Information for Librarians
    • Information for Advertisers
    • Conferences
  • Language Editing
Spandidos Publications Logo
  • About
    • About Spandidos
    • Aims and Scopes
    • Abstracting and Indexing
    • Editorial Policies
    • Reprints and Permissions
    • Job Opportunities
    • Terms and Conditions
    • Contact
  • Journals
    • All Journals
    • Biomedical Reports
      • Information for Authors
      • Editorial Policies
      • Editorial Board
      • Aims and Scope
      • Abstracting and Indexing
      • Bibliographic Information
      • Archive
    • Experimental and Therapeutic Medicine
      • Information for Authors
      • Editorial Policies
      • Editorial Board
      • Aims and Scope
      • Abstracting and Indexing
      • Bibliographic Information
      • Archive
    • International Journal of Epigenetics
      • Information for Authors
      • Editorial Policies
      • Editorial Board
      • Aims and Scope
      • Abstracting and Indexing
      • Bibliographic Information
      • Archive
    • International Journal of Functional Nutrition
      • Information for Authors
      • Editorial Policies
      • Editorial Board
      • Aims and Scope
      • Abstracting and Indexing
      • Bibliographic Information
      • Archive
    • International Journal of Molecular Medicine
      • Information for Authors
      • Editorial Policies
      • Editorial Board
      • Aims and Scope
      • Abstracting and Indexing
      • Bibliographic Information
      • Archive
    • International Journal of Oncology
      • Information for Authors
      • Editorial Policies
      • Editorial Board
      • Aims and Scope
      • Abstracting and Indexing
      • Bibliographic Information
      • Archive
    • Medicine International
      • Information for Authors
      • Editorial Policies
      • Editorial Board
      • Aims and Scope
      • Abstracting and Indexing
      • Bibliographic Information
      • Archive
    • Molecular and Clinical Oncology
      • Information for Authors
      • Editorial Policies
      • Editorial Board
      • Aims and Scope
      • Abstracting and Indexing
      • Bibliographic Information
      • Archive
    • Molecular Medicine Reports
      • Information for Authors
      • Editorial Policies
      • Editorial Board
      • Aims and Scope
      • Abstracting and Indexing
      • Bibliographic Information
      • Archive
    • Oncology Letters
      • Information for Authors
      • Editorial Policies
      • Editorial Board
      • Aims and Scope
      • Abstracting and Indexing
      • Bibliographic Information
      • Archive
    • Oncology Reports
      • Information for Authors
      • Editorial Policies
      • Editorial Board
      • Aims and Scope
      • Abstracting and Indexing
      • Bibliographic Information
      • Archive
    • World Academy of Sciences Journal
      • Information for Authors
      • Editorial Policies
      • Editorial Board
      • Aims and Scope
      • Abstracting and Indexing
      • Bibliographic Information
      • Archive
  • Articles
  • Information
    • For Authors
    • For Reviewers
    • For Librarians
    • For Advertisers
    • Conferences
  • Language Editing
Login Register Submit
  • This site uses cookies
  • You can change your cookie settings at any time by following the instructions in our Cookie Policy. To find out more, you may read our Privacy Policy.

    I agree
Search articles by DOI, keyword, author or affiliation
Search
Advanced Search
presentation
International Journal of Functional Nutrition
Join Editorial Board Propose a Special Issue
Print ISSN: 2634-7989 Online ISSN: 2634-7237
Journal Cover
January-December 2023 Volume 4 Issue 1

Full Size Image

Sign up for eToc alerts
Recommend to Library

Journals

International Journal of Molecular Medicine

International Journal of Molecular Medicine

International Journal of Molecular Medicine is an international journal devoted to molecular mechanisms of human disease.

International Journal of Oncology

International Journal of Oncology

International Journal of Oncology is an international journal devoted to oncology research and cancer treatment.

Molecular Medicine Reports

Molecular Medicine Reports

Covers molecular medicine topics such as pharmacology, pathology, genetics, neuroscience, infectious diseases, molecular cardiology, and molecular surgery.

Oncology Reports

Oncology Reports

Oncology Reports is an international journal devoted to fundamental and applied research in Oncology.

Experimental and Therapeutic Medicine

Experimental and Therapeutic Medicine

Experimental and Therapeutic Medicine is an international journal devoted to laboratory and clinical medicine.

Oncology Letters

Oncology Letters

Oncology Letters is an international journal devoted to Experimental and Clinical Oncology.

Biomedical Reports

Biomedical Reports

Explores a wide range of biological and medical fields, including pharmacology, genetics, microbiology, neuroscience, and molecular cardiology.

Molecular and Clinical Oncology

Molecular and Clinical Oncology

International journal addressing all aspects of oncology research, from tumorigenesis and oncogenes to chemotherapy and metastasis.

World Academy of Sciences Journal

World Academy of Sciences Journal

Multidisciplinary open-access journal spanning biochemistry, genetics, neuroscience, environmental health, and synthetic biology.

International Journal of Functional Nutrition

International Journal of Functional Nutrition

Open-access journal combining biochemistry, pharmacology, immunology, and genetics to advance health through functional nutrition.

International Journal of Epigenetics

International Journal of Epigenetics

Publishes open-access research on using epigenetics to advance understanding and treatment of human disease.

Medicine International

Medicine International

An International Open Access Journal Devoted to General Medicine.

Journal Cover
January-December 2023 Volume 4 Issue 1

Full Size Image

Sign up for eToc alerts
Recommend to Library

  • Article
  • Citations
    • Cite This Article
    • Download Citation
    • Create Citation Alert
    • Remove Citation Alert
    • Cited By
  • Similar Articles
    • Related Articles (in Spandidos Publications)
    • Similar Articles (Google Scholar)
    • Similar Articles (PubMed)
  • Download PDF
  • Download XML
  • View XML
Article Open Access

Determination of the polyphenolic content and the antioxidant activities of four indigenous Greek red and white wine varieties

  • Authors:
    • Fotios Tekos
    • Maria Gkasdrogka
    • Periklis Vardakas
    • Zoi Skaperda
    • Demetrios Kouretas
  • View Affiliations / Copyright

    Affiliations: Department of Biochemistry and Biotechnology, University of Thessaly, 41500 Larissa, Greece
    Copyright: © Tekos et al. This is an open access article distributed under the terms of Creative Commons Attribution License [CC BY 4.0].
  • Article Number: 3
    |
    Published online on: October 20, 2023
       https://doi.org/10.3892/ijfn.2023.33
  • Expand metrics +
Metrics: Total Views: 0 (Spandidos Publications: | PMC Statistics: )
Metrics: Total PDF Downloads: 0 (Spandidos Publications: | PMC Statistics: )
Cited By (CrossRef): 0 citations Loading Articles...

This article is mentioned in:



Abstract

Greece has a long history in viticulture and vinification, cultivating indigenous and imported grape varietals for the production of fine wines. The dominant Greek red grape varieties are Xinomavro and Agiorgitiko, while the most recognizable Greek white grape varieties are Assyrtiko and Malagouzia. In the present study, the biological activities of monovarietal wines, derived from the aforementioned indigenous Greek grape varieties, were investigated by evaluating their polyphenolic content and antioxidant potency in vitro, using a well‑established panel of cell‑free assays. According to the results obtained, the red wines contained higher levels of polyphenolic compounds and exhibited more prominent antioxidant activities than the white wines. Among the different wine varieties, Xinomavro was the most potent, exhibiting a high concentration of polyphenols and notable antioxidant properties, whereas Malagouzia was the least efficacious. Finally, the correlation analysis between the total polyphenolic content and antioxidant capacity of the red and white wine varieties revealed a proportional correlation in almost all cases, indicating that the antioxidant activities strongly correlated with the phenolic content. Overall, the findings of the present study suggest that the monovarietal wines of these indigenous Greek grape varieties, and particularly Xinomavro, are highly bioactive, and their moderate consumption may be associated with health‑promoting effects.

Introduction

Viticulture and vinification are agricultural activities with a significant socio-economic impact on a global scale (1). The European Union (EU) is the world-leading wine producer and consumer (2). According to the European Commission, the total average wine production in the EU for the financial year 2021-2022 was 152,932,000 hectoliters (3). Despite its alcohol content, a low-to-moderate wine consumption has been associated with beneficial health effects, due to its high abundance in bioactive phytochemicals (4,5). More specifically, previous studies have demonstrated that wine is a rich source of polyphenols, plant secondary metabolites that possess potent antioxidant (6), anti-inflammatory (7) and cardioprotective (8,9) properties.

The wine phenolic composition and content is dependent on several parameters and has a substantial impact on its organoleptic characteristics and health-promoting effects (10). The grapevine variety is a key determinant of the phenolic content, with red varieties containing higher levels of phenol substances than white varieties. In addition to the cultivar, the pedoclimatic conditions, such as soil composition, temperature, relative humidity, exposure to sunlight, rainfall and wind, contribute significantly to the grape phenolic composition (11). Furthermore, the vinification process constitutes a decisive factor in the wine phenolic content. During the red wine vinification process, the grape juice is fermented with all grape parts, including the skin and seeds, resulting in a higher polyphenol extraction in the final product (12). On the contrary, during the white wine vinification process, the grape skin is removed prior to grape juice fermentation, hence decreasing the phenolic concentration (13). Finally, the process of wine aging, particularly in oak barrels, has a considerable impact on the phenolic composition of red wines (12). To be more specific, phenolic compounds released from oak barrels enhance the phenolic content of the aged wine and contribute to color stability, thus protecting against oxidation (14,15). Additionally, during the red wine maturation and aging process, co-pigmentation reactions occur, favored by the presence of oxygen, leading to polymerization or formation of new, more complex and stable pigments (16,17).

Greece is one of the oldest wine-producing regions worldwide, with the first evidence of vinification dating back to the 3rd millennium B.C., during the Minoan civilization. The nutritional value and the health benefits of wine were widely recognized in Ancient Greece. Therefore, wine was an integral part of the daily regimen, also related to economic, social, religious and cultural aspects. Currently, Greece is one the first wine-producing territories in the EU, with 3.2% of the EU area occupied by vines (18). Of particular interest is that the Greek vineyard hosts ~200 indigenous grape cultivars of Vitis vinifera L., 60 of which are extensively used in the winemaking process for the production of fine red and white wines (19).

The dominant Greek red wine varieties are Agiorgitiko and Xinomavro. Agiorgitiko is traditionally cultivated in the Nemea region, in the northeastern part of the Peloponnese, and contributes to the production of the protected designation of origin (PDO) Nemea (20). Xinomavro is cultivated in Northern Greece and contributes to the production of the PDO Naoussa (21). As regards the Greek white wine varieties, Assyrtiko and Malagouzia are definitely the most recognizable. Assyrtiko, a white wine variety considered one of the finest in the Mediterranean basin, originates from the volcanic Aegean island of Santorini and contributes to the production of PDO Santorini (22). Finally, Malagouzia, a white wine variety saved from near extinction in the recent past, is mainly cultivated in Central Greece and Macedonia (23).

Based on the aforementioned information, the aim of the present study was to determine the phenolic content and antioxidant capacity of four indigenous Greek wines, namely the red wine varieties Agiorgitiko and Xinomavro, as well as the white wine varieties, Assyrtiko and Malagouzia. Towards this purpose, a complete set of in vitro cell-free screening techniques was applied for assessing the antiradical, reducing and antigenotoxic properties of the wine varieties (24). The present study aims to improve the current knowledge as regards the bioactivity of these indigenous Greek grape varieties by assessing their bioactive compound content and antioxidant potency, thus enhancing their competitiveness and recognition abroad.

Materials and methods

Sample information and preparation

A total of 32 commercial wines, eight of each wine variety, produced from various regions across Greece and bottled in 750 ml wine bottles, were randomly selected and acquired from a local wine store in Larissa, Greece. The alcohol content of Agiorgitiko wines ranged from 13.5 to 15% v/v with an average of 14.1% v/v, that of Xinomavro wines from 12.5 to 14.5% v/v with an average of 13% v/v, that of Assyrtiko wines from 13.5 to 14.8% v/v with an average of 14.2% v/v, and that of Malagouzia wines from 12.5 to 13.8% v/v with an average of 13% v/v. Each bottle was opened and the wine was divided into aliquots and stored at 4˚C, until further analysis.

Determination of wine total phenolic content (TPC). Folin-Ciocalteu assay

The TPC was evaluated using the Folin-Ciocalteu phenol reagent (FCR; Merck KGaA), as previously described by Singleton et al (25). In detail, 20 µl of each wine sample (dilution 1:2 in deionized water (dH2O) for red wines, no dilution for white wines) was added to test tubes containing 1 ml dH2O. Subsequently, 100 µl FCR were added and the mixture was incubated in the dark at room temperature (RT) for 3 min. Following incubation, 280 µl of 25% w/v sodium carbonate anhydrous (Na2CO3) solution (Honeywell Research Chemicals) and 600 µl dH2O were sequentially added and the mixture was incubated for 1 h in the dark at RT. Following incubation, the optical density (OD) was monitored at 765 nm using a UV/Visible spectrophotometer (U-1500, Hitachi, Ltd.). For the determination of TPC, a standard curve was prepared using various concentrations (50-1,500 µg/ml) of gallic acid. The results were expressed as mg of gallic acid equivalents (GAE)/ml of wine sample.

Determination of wine antioxidant properties. 2,2-Diphenyl-1-picrylhydrazyl radical (DPPH•) scavenging assay

DPPH• scavenging capacity was evaluated on the basis of the method described in the study by Brand-Williams et al (26). More specifically, 50 µl of each wine sample (0.25-8 µl/ml for red wines and 2.5-80 µl/ml for white wines) serially diluted in dH2O was mixed with 900 µl of methanol (MeOH) and 50 µl of DPPH• solution (2 mM; Alfa Aesar) in MeOH. In each experiment, a blank containing 1 ml MeOH and a negative control containing 950 µl MeOH and 50 µl DPPH• solution in MeOH were prepared. Furthermore, vitamin C (Merck KGaA) was used as a positive control. The samples were vortexed vigorously and incubated in the dark at RT for 20 min. The OD was then measured at 517 nm using a UV/Visible spectrophotometer (U-1500, Hitachi, Ltd.). The radical scavenging capacity percentage (% RSC) was calculated using the following equation:

The half-maximal inhibitory concentration (IC50) was calculated from the linear regression curve by plotting the % RSC against the corresponding concentrations. The IC50 value represents the concentration of the wine sample required to neutralize the 50% of the corresponding free radicals. All analyses were carried out in triplicate and at least in two separate occasions.

2,2'-Azinobis-(3-ethylbenzothiazoline-6-sulfonic acid) radical (ABTS•+) scavenging assay. ABTS•+ scavenging capacity was evaluated on the basis of the method described in the study by Cano et al (27). More elaborately, 400 µl dH2O, 500 µl ABTS solution (1 mM; Alfa Aesar) in dH2O, 50 µl hydrogen peroxide (H2O2; 30 µM; Merck KGaA), and 50 µl horseradish peroxidase (HRP; 6 µM; SERVA Electrophoresis GmbH) were sequentially added to test tubes. A blank containing 450 µl dH2O, 500 µl ABTS solution and 50 µl H2O2, as well as a negative control comprising 400 µl dH2O, 500 µl ABTS solution, 50 µl H2O2 and 50 µl HRP were also prepared. Furthermore, vitamin C was used as a positive control. The samples were vortexed vigorously and incubated in the dark at RT for 45 min. Subsequently, 50 µl of each wine sample (0.3125-20 µl/ml for red and white wines) serially diluted in dH2O was added, the samples were vortexed, and the OD was monitored at 730 nm using a UV/Visible spectrophotometer (U-1500, Hitachi, Ltds). The % RSC was calculated using the aforementioned equation. The IC50 value was calculated from the linear regression curve by plotting the % RSC against the corresponding concentrations. All analyses were carried out in triplicate and at least in two separate occasions.

Superoxide radical (O2•−) scavenging assay. The O2•− scavenging capacity was evaluated based on the method described in the study by Gülçin et al (28). More specifically, 50 µl of each wine sample (0.25-8 µl/ml for red wines and 0.625-20 µl/ml for white wines) diluted in dH2O was added to test tubes and mixed with 625 µl Tris-HCl buffer (16 mM, pH 8.0), 125 µl nitro blue tetrazolium (NBT; 300 µM; SERVA Electrophoresis GmbH), 125 µl nicotinamide adenine dinucleotide (NADH; 468 µM; SERVA Electrophoresis GmbH) and 125 µl phenazine methosulfate (PMS; 60 µM; Merck KGaA). A blank containing 800 µl Tris-HCl buffer, 125 µl NBT and 125 µl NADH, as well as a negative control comprising 675 µl Tris-HCl buffer, 125 µl NBT, 125 µl NADH and 125 µl PMS were prepared. Moreover, ellagic acid (Merck KGaA) was used as a positive control. The samples were vortexed vigorously and incubated in the dark at RT for 5 min. The OD was then measured at 560 nm using a UV/Visible spectrophotometer (U-1500, Hitachi. Ltd.). The % RSC was calculated using the aforementioned equation. The IC50 value was calculated from the linear regression curve by plotting the % RSC against the corresponding concentrations. All analyses were carried out in triplicate and at least in two separate occasions.

Reducing power assay. The reducing power was evaluated on the basis of the method described in the study by Yen and Duh (29). In detail, 50 µl of each wine sample (0.25-8 µl/ml for red wines and 1.25-40 µl/ml for white wines) diluted in phosphate buffer (0.2 M, pH 6.6) was added to test tubes and mixed with 200 µl phosphate buffer and 250 µl of 1% w/v potassium ferricyanide {K3[Fe(CN)6]} (PanReac AppliChem, ITW Reagents) in dH2O. In each experiment, a blank containing 500 µl phosphate buffer and a negative control containing 250 µl phosphate buffer and 250 µl of 1% w/v potassium ferricyanide in dH2O were prepared. Additionally, vitamin C was used as a positive control. The samples were vortexed vigorously and incubated at 50˚C for 20 min. Subsequently, 250 µl of 10% trichloroacetic acid (TCA; Merck KGaA) were added to the mixture and the samples were centrifuged (875 x g, 10 min, 25˚C). Following centrifugation, 700 µl of the supernatant was transferred to new test tubes and 250 µl dH2O and 50 µl of 0.1% iron (III) chloride (Merck KGaA) in dH2O were added. The samples were vortexed and incubated in the dark at RT for 10 min. Finally, the OD was measured at 700 nm using a UV/Visible spectrophotometer (U-1500, Hitachi, Ltd.). An absorbance unit 0.5 (AU0.5) value was calculated from the linear regression curve by plotting the OD at 700 nm against the corresponding concentrations. The AU0.5 value represents the concentration of the wine sample required to achieve an OD of 0.5 at 700 nm. All analyses were carried out in triplicate and at least in two separate occasions.

Cupric ion reducing antioxidant capacity (CUPRAC) assay. The reducing ability against copper ions was evaluated on the basis of the method described in the study by Apak et al (30). More specifically, 250 µl copper (II) chloride dihydrate (CuCl2) solution (0.01 M; (Merck KGaA), 250 µl neocuproine (Nc) ethanolic solution (0.0075 M; Merck KGaA), 250 µl ammonium acetate (NH4CH3CO2) solution (1 M, pH 7.0; Honeywell Research Chemicals), 225 µl dH2O, and 50 µl of each wine sample (0.25-8 µl/ml for red wines and 1.25-40 µl/ml for white wines) diluted in dH2O were mixed in test tubes. In each experiment, a blank comprising 250 µl CuCl2 solution, 250 µl NH4CH3CO2 solution and 525 µl dH2O, and a negative control containing 250 µl CuCl2 solution, 250 µl Nc solution, 250 µl NH4CH3CO2 solution and 275 µl dH2O were prepared. Furthermore, vitamin C was used as a positive control. The mixture was vortexed vigorously and incubated in the dark at RT for 30 min. The optical density was then measured at 450 nm using a UV/Visible spectrophotometer (U-1500, Hitachi, Ltd.). An AU0.5 value was calculated from the linear regression curve by plotting the OD at 450 nm against the corresponding concentrations. All analyses were carried out in triplicate and at least in two separate occasions.

Plasmid DNA relaxation assay. The protective ability against oxidative DNA damage was evaluated on the basis of the method previously described by Paul et al (31). More specifically, 3 µl of each wine sample (0.5-8 µl/ml for red wines and 2.5-40 µl/ml for white wines) diluted in sterilized dH2O was mixed with 2 µl plasmid DNA pBluescript II SK (+) (3.2 µg) (Stratagene, Agilent Technologies), 1 µl of sterilized phosphate-buffered saline (PBS; 0.01 M, pH 7.4) (Gibco, Thermo Fischer Scientific, Inc.) and 4 µl of 2,2'-azobis(2-amidinopropane) dihydrochloride (AAPH; 95 mM; Merck KGaA) in sterilized PBS. A negative control comprising 8 µl sterilized PBS and 2 µl plasmid DNA, and a positive control comprising 4 µl sterilized PBS, 2 µl plasmid DNA and 4 µl of AAPH were also prepared. Vitamin C was used as a standard. Furthermore, the plasmid DNA was treated with the highest concentration of each wine sample in order to assess its effects on supercoiled conformation. The samples were vortexed and incubated for 45 min at 37˚C for the thermal decomposition of AAPH and the generation of peroxyl radicals (ROO•). Following incubation, 3 µl of loading buffer were added and the samples were loaded on a 0.8% agarose gel (SERVA Electrophoresis GmbH), stained with ethidium bromide (10 µg/ml) for 30 min at RT and electrophoresed at 70 V for 60 min. The gel was then exposed to UV using the MultiImage Light Cabinet (ProteinSimple). The image was captured and analyzed using a quantification software (AlphaView software, AlphaInnotech). The protective ability of the wine samples was calculated through the following equation:

where ‘S’ stands for the percentage of supercoiled plasmid DNA in samples, ‘So’ stands for the percentage of supercoiled plasmid DNA in the positive control, and ‘Scontrol’ stands for the percentage of supercoiled plasmid DNA in the negative control.

The IC50 value was calculated from the linear regression curve by plotting the % inhibition against the corresponding concentrations. All analyses were conducted at least in two separate occasions.

Statistical analysis

One-way analysis of variance (ANOVA), followed by the Holm-Sidak post hoc test, were performed for multiple pairwise comparisons between the mean IC50 or AU0.5 values of the different wine varieties. An unpaired t-test was performed to compare the mean IC50 or AU0.5 values between the red and white wine varieties. Pearson's correlation coefficient (r) was calculated to determine the correlation between the TPC and antioxidant capacity of the red and white wine varieties. All data are presented as the mean ± standard error of the mean (SEM). A value of P<0.05 was considered to indicate a statistically significant difference. All statistical analyses were performed using GraphPad Prism version 8.0.1 for Windows, GraphPad Software, Inc.

Results

TPC and antioxidant capacity of the different wine varieties

According to the results obtained, all wine varieties exhibited potent antioxidant activities (Fig. 1). Among them, the red wine variety Xinomavro demonstrated the most potent antioxidant capacity, an assertion supported by the lowest IC50 or AU0.5 values in all cell-free assays tested. By contrast, the white wine variety Malagouzia exhibited the weakest antioxidant properties, as denoted by the highest IC50 or AU0.5 values, in all cell-free assays examined.

Figure 1

TPC and the antioxidant activities of Xinomavro, Agiorgitiko, Assyrtiko and Malagouzia wine varieties determined using (A) Folin-Ciocalteu assay, (B) ABTS•+ scavenging assay, (C) DPPH• scavenging assay, (D) O2•- scavenging assay, (E) reducing power assay, (F) CUPRAC assay, and (G) plasmid DNA relaxation assay. *P<0.05, **P<0.01, ***P<0.001 and ****P<0.0001. TPC, total phenolic content; ABTS•+, 2,2'-azinobis-(3-ethylbenzothiazoline-6-sulfonic acid) radical; DPPH•, 2,2-diphenyl-1-picrylhydrazyl radical; O2•-, superoxide radical; CUPRAC, cupric ion reducing antioxidant capacity IC50, half-maximal inhibitory concentration; AU0.5, absorbance unit 0.5.

To begin with TPC, measured using the Folin-Ciocalteu method and presented in Fig. 1A, Xinomavro exhibited the highest TPC, which was calculated at 1.602±0.106 mg GAE/ml, whereas Malagouzia exhibited the lowest, which was calculated at 0.178±0.013 mg GAE/ml. The TPC of Agiorgitiko was calculated at 1.291±0.072 mg GAE/ml and that of Assyrtiko was calculated at 0.284±0.072 mg GAE/ml. The statistical analysis revealed significant differences between the red and white wine varieties, as well as a significant difference between Xinomavro and Agiorgitiko wine varieties.

As regards ABTS•+ radical scavenging assay, illustrated in Fig. 1B, Xinomavro exhibited the highest capacity to neutralize the corresponding free radicals, whereas Malagouzia demonstrated the lowest. More specifically, the IC50 value calculated for Xinomavro was 0.985±0.153 µl/ml, that for Agiorgitiko was 6.441±2.114 µl/ml, that for Assyrtiko was 5.004±1.385 µl/ml and that for Malagouzia was 14.29±3.145 µl/ml. A finding of particular interest was that the IC50 value of Assyrtiko was lower than that of Agiorgitiko. The statistical analysis revealed a significant difference between all wine varieties and Malagouzia. Moreover, the IC50 value calculated for vitamin C was 2.298±0.044 µg/ml (data not shown).

As regards the DPPH• radical scavenging assay depicted in Fig. 1C, Xinomavro exhibited the highest efficacy to scavenge the corresponding free radicals, whereas Malagouzia exhibited the lowest. In particular, the IC50 value calculated for Xinomavro was 1.591±0.260 µl/ml, that for Agiorgitiko was 2.210±0.176 µl/ml, that for Assyrtiko was 12.870±1.808 µl/ml and that for Malagouzia was 22.200±3.046 µl/ml. The statistical analysis revealed significant differences between tje red and white wine varieties, as well as a significant difference between the Assyrtiko and Malagouzia wine varieties. In addition, the IC50 value calculated for vitamin C was 4.565±0.183 µg/ml (data not shown).

As regards the O2•- radical scavenging assay, illustrated in Fig. 1D, Xinomavro demonstrated the most potent ability to scavenge corresponding free radicals, while by contrast, Malagouzia exhibited the weakest. In particular, the IC50 value for Xinomavro was calculated as 2.277±0.260 µl/ml, that for Agiorgitiko was calculated as 3.076±0.300 µl/ml, that for Assyrtiko was calculated as 8.550±0.503 µl/ml and that for Malagouzia was calculated as 12.34±2.08 µl/ml. The statistical analysis revealed significant differences between the red and white wine varieties, as well as a significant difference between the Assyrtiko and Malagouzia wine varieties. Additionally, the IC50 value calculated for ellagic acid was 255.430±8.500 µg/ml (data not shown).

In terms of the reducing power assay, presented in Fig. 1E, Xinomavro exhibited the most prominent reducing properties, whereas Malagouzia exhibited the weakest. In particular, the AU0.5 value calculated for Xinomavro was 1.091±0.100 µl/ml, that for Agiorgitiko was 1.548±0.077 µl/ml, that for Assyrtiko was 8.361±0.909 µl/ml and that for Malagouzia was 12.08±0.974 µl/ml. Statistically significant differences were observed between the red and white wine varieties. Additionally, a statistically significant difference was observed between the Assyrtiko and Malagouzia wine varieties. Moreover, the AU0.5 value calculated for vitamin C was 1.700±0.062 µg/ml (data not shown).

As regards the CUPRAC assay, presented in Fig. 1F, Xinomavro exhibited the highest reducing properties, whereas Malagouzia exhibited the lowest. To be more specific, the AU0.5 value calculated for Xinomavro was 1.531±0.140 µl/ml, that for Agiorgitiko was 2.105±0.188 µl/ml, that for Assyrtiko was 8.552±0.798 µl/ml and that for Malagouzia was 16.24±1.292 µl/ml. The statistical analysis revealed significant differences between the red and white wine varieties, as well as a significant difference between the Assyrtiko and Malagouzia wine varieties. Moreover, the AU0.5 value calculated for vitamin C was 6.551±0.050 µg/ml (data not shown).

Finally, concerning the plasmid DNA relaxation assay, depicted in Fig. 1G, Xinomavro exhibited the highest efficacy to inhibit the formation of the corresponding free radicals, whereas Malagouzia demonstrated the lowest. More elaborately, the IC50 value calculated for Xinomavro was 2.078±0.163 µl/ml, that for Agiorgitiko was 2.547±0.218 µl/ml, that for Assyrtiko was 15.70±1.125 µl/ml and that for Malagouzia was 19.62±1.830 µl/ml. The statistical analysis revealed significant differences between the red and white wine varieties, as well as a significant difference between the Assyrtiko and Malagouzia wine varieties. In addition, the IC50 value calculated for vitamin C was 300.302±21.852 µg/ml (data not shown).

TPC and antioxidant capacity of the red and white wine varieties

In order to compare the TPC and the antioxidant properties between the red and white wine varieties, the IC50 or AU0.5 values of the wine samples of the red or white wine varieties were pooled together and the mean IC50 or AU0.5 values were calculated. According to the results obtained, substantial differences were observed between the red and white wine varieties. To be more specific, the red wine varieties demonstrated a higher phenolic content and more potent antioxidant activities than the white wine varieties, and all differences were statistically significant (Fig. 2).

Figure 2

TPC and the antioxidant activities of the red and white wine varieties determined using the (A) Folin-Ciocalteu assay, (B) ABTS•+ scavenging assay, (C) DPPH• scavenging assay, (D) O2•- scavenging assay, (E) reducing power assay, (F) CUPRAC assay, and (G) plasmid DNA relaxation assay. *P<0.05 and ****P<0.0001. TPC, total phenolic content; ABTS•+, 2,2'-azinobis-(3-ethylbenzothiazoline-6-sulfonic acid) radical; DPPH•, 2,2-diphenyl-1-picrylhydrazyl radical; O2•-, superoxide radical; CUPRAC, cupric ion reducing antioxidant capacity IC50, half-maximal inhibitory concentration; AU0.5, absorbance unit 0.5.

As regards the Folin-Ciocalteu assay, illustrated in Fig. 2A, the TPC for the red wine varieties was calculated 1.446±0.074 mg GAE/ml and that for the white wine varieties was estimated at 0.231±0.019 mg GAE/ml. As regards the ABTS•+ radical scavenging assay, presented in Fig. 2B, the IC50 value for the red wine varieties was estimated at 3.713±1.243 µl/ml and that for the white wine varieties was estimated at 9.648±2.048 µl/ml. Concerning the DPPH• radical scavenging assay (Fig. 2C), the IC50 value for the red wine varieties was calculated at 1.900±0.171 µl/ml and that for the white wine varieties was calculated at 17.530±2.093 µl/ml. In terms of the O2•- radical scavenging assay, presented in Fig. 2D, the IC50 value for the red wine varieties was calculated at 2.676±0.218 µl/ml, while the IC50 value for the white wine varieties was calculated at 10.45±1.144 µl/ml.

With respect to the reducing power assay, illustrated in Fig. 2E, the AU0.5 value for the red wine varieties was calculated at 1.319±0.085 µl/ml and that for the white wine varieties was calculated at 10.22±0.803 µl/ml. Concerning the CUPRAC assay (Fig. 2F), the AU0.5 value for the red wine varieties was estimated at 1.818±0.135 µl/ml and that for the white wine varieties was estimated at 12.39±1.234 µl/ml.

Finally, as regards the antigenotoxic properties, evaluated using plasmid DNA relaxation assay and presented in Fig. 2G, the IC50 value for the red wine varieties was calculated at 2.312±0.145 µl/ml and that for the white wine varieties was calculated at 17.66±1.155 µl/ml.

Correlation between the TPC and antioxidant capacity of the red and white wine varieties

Pearson's correlation coefficient (r) was calculated to determine the correlation between the TPC and antioxidant properties of the red and white wine varieties. The correlation analysis demonstrated significant negative correlations in almost all cases, indicating that the higher the TPC, the lower the IC50 or AU0.5 value, and as a result, the more potent the antioxidant capacity.

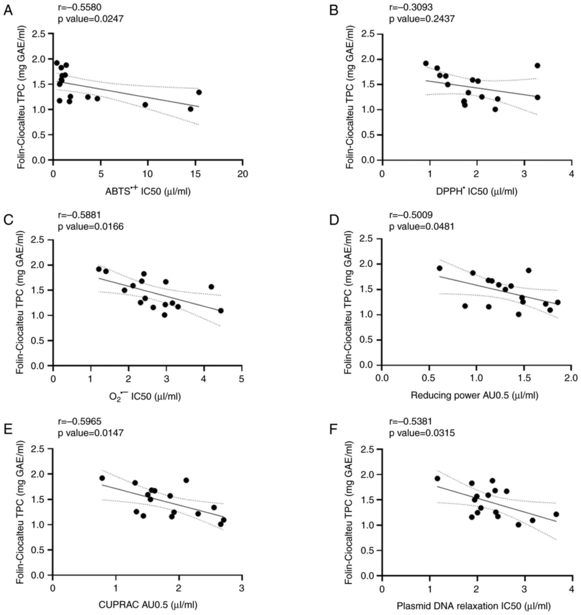
As regards the red wine varieties (Fig. 3), significant negative correlations were observed between the TPC and ABTS•+ radical scavenging assay (r=-0.5580l; Fig. 3A), the O2•- radical scavenging assay (r=-0.5881; Fig. 3C), the reducing power assay (r=-0.5009; Fig. 3D), the CUPRAC assay (r=-0.5965; Fig. 3E) and the plasmid DNA relaxation assay (r=-0.5381; Fig. 3F). The negative correlation detected between TPC and DPPH• radical scavenging assay (r=-0.3093; Fig. 3B) was not significant.

Figure 3

Correlation analysis between TPC and (A) ABTS•+ scavenging assay, (B) DPPH• scavenging assay, (C) O2•- scavenging assay, (D) reducing power assay, (E) CUPRAC assay, and (F) plasmid DNA relaxation assay in the red wine varieties. TPC, total phenolic content; ABTS•+, 2,2'-azinobis-(3-ethylbenzothiazoline-6-sulfonic acid) radical; DPPH•, 2,2-diphenyl-1-picrylhydrazyl radical; O2•-, superoxide radical; CUPRAC, cupric ion reducing antioxidant capacity IC50, half-maximal inhibitory concentration; AU0.5, absorbance unit 0.5.

Concerning the white wine varieties (Fig. 4), significant negative correlations were observed between TPC and ABTS•+ radical scavenging assay (r=-0.6584; Fig. 4A), the DPPH• radical scavenging assay (r=-0.6119; Fig. 4B), the O2•- radical scavenging assay (r=-0.6740; Fig. 4C), the reducing power assay (r=-0.8329; Fig. 4D), the CUPRAC assay (r=-0.8539; the Fig. 4E) and the plasmid DNA relaxation assay (r=-0.5693; Fig. 4F).

Figure 4

Correlation analysis between TPC and (A) ABTS•+ scavenging assay, (B) DPPH• scavenging assay, (C) O2•- scavenging assay, (D) reducing power assay, (E) CUPRAC assay, and (F) plasmid DNA relaxation assay in the white wine varieties. TPC, total phenolic content; ABTS•+, 2,2'-azinobis-(3-ethylbenzothiazoline-6-sulfonic acid) radical; DPPH•, 2,2-diphenyl-1-picrylhydrazyl radical; O2•-, superoxide radical; CUPRAC, cupric ion reducing antioxidant capacity IC50, half-maximal inhibitory concentration; AU0.5, absorbance unit 0.5.

Discussion

In the present study, the phenolic content and the antioxidant potency of four native Greek wine varieties, and more specifically, the red wine varieties, Xinomavro and Agiorgitiko, and the white wine varieties, Assyrtiko and Malagouzia, were thoroughly evaluated using a methodology previously proposed by the authors (24). The utilization of a panel of reliable and valid in vitro cell-free assays represents the first line of screening towards the investigation of the antioxidant activities of natural products that are particularly rich in polyphenolic compounds. It has been well-established that antioxidants exert their protective effects by acting as free radical scavengers, as reducing agents, as metal chelators and as enhancers of antioxidant gene expression (32,33). For this reason, in the present study, the antioxidant activities of Greek wine varieties were assessed multifacetedly on the basis of their antiradical, reducing, and antigenotoxic properties.

Polyphenolic compounds are the main bioactive phytochemicals of wine that exhibit antioxidant potency (34). More specifically, polyphenols protect wine from oxidation, thus extending its shelf life, and exert health-promoting effects in biological systems (35-38). However, the polyphenolic content and profile differs significantly between the red and white wine varieties and, in general, red wine varieties exhibit higher concentrations of phenolic compounds than the white wine varieties (12,39). In particular, the concentration of phenolic compounds in red wines is ~6-fold higher than that in white wines, due to the fact that the red juice is fermented with the grape skins and seeds, wherein the phenolic compounds are mainly concentrated (40). As regards the polyphenolic profile, tannins and anthocyanins are the most abundant polyphenols in red wines, whereas white wines are particularly rich in phenolic acids (41).

The first objective of the present study was to determine the polyphenolic content of the four native Greek wine varieties using the Folin-Ciocalteu method. According to the results obtained, the TPC of red wine varieties was significantly higher than that of the white wine varieties, a finding supported by scientific literature (42-47). As mentioned above, the main reason for the higher levels of polyphenolic compounds in red wines is that the fermentation process of red juice includes all grape parts, resulting in greater polyphenol extraction in the final product (48). Furthermore, in the present study, as regards the TPC of different wine varieties, Xinomavro demonstrated the highest concentration of polyphenolic compounds, whereas Malagouzia exhibited the lowest. A significant difference was also detected between the TPC of the Xinomavro and Agiorgitiko red wine varieties, with Xinomavro exhibiting higher levels of polyphenols. A previous study by the authors investigated the phenolic content and the antioxidant and antimutagenic properties of wine extracts derived from Xinomavro, Agiorgitiko, Assyrtiko and Malagouzia wine varieties, using a battery of in vitro cell-free assays (49). That study reported that the TPC of the red wine extracts was higher than that of the white wine extracts; however, there were no significant differences between the TPC of Xinomavro and Agiorgitiko wine extracts (49).

The quantitative and the qualitative polyphenolic profile determines the biological actions of wine (34,50). For the purpose of evaluating the bioactive load of polyphenolic compounds, the antioxidant activities of the four native Greek wine varieties were assessed on the basis of their free radical scavenging capacity and their reducing properties. According to the results obtained, the red wine varieties demonstrated more potent antioxidant activities than the white wine varieties in all cell-free assays examined. This finding may be attributed to the higher polyphenolic content of the red wine varieties, which is in accordance with findings obtained from previous studies (51-55). Moreover, in the present study, concerning the antioxidant activities of the different wine varieties, Xinomavro exhibited the strongest antioxidant efficacy, whereas Malagouzia demonstrated the weakest in all cell-free assays tested. The obtained results are in line with the findings obtained using the Folin-Ciocalteu method, with Xinomavro wine variety exhibiting the highest TPC and Malagouzia wine variety the slightest.

Finally, the present study investigated the correlation between the TPC and antioxidant activities of the red and white wine varieties. The Pearson's correlation coefficient (r) revealed significant negative correlations between the TPC and antioxidant assays in almost all cases, suggesting that the antioxidant properties of red and white wine varieties are significantly affected by polyphenolic content. In particular, the higher the TPC, the greater the antioxidant activities. As regards the red wine varieties, similar levels of significant strong negative correlations were observed between the TPC and all antioxidant assays, apart from the DPPH• scavenging assay, wherein the negative correlation was not significant. Concerning the white wine varieties, significant strong negative correlations were observed between the TPC and all antioxidant assays. A finding of particular interest was that the highest degree of correlation was observed between the TPC, and the reducing power and CUPRAC assays. To be more specific, these in vitro test tube assays examine the ability of a sample to reduce ferric (Fe3+) to ferrous (Fe2+) ions and cupric (Cu2+) to cuprous (Cu1+) ions, respectively. Reducing agents are strong electron donors, that can reduce oxidized intermediates of lipid peroxidation process in biological systems (56).

Prior to summarizing the conclusions of the particular research, it should be underlined that the findings need to be viewed in light of some limitations. As previously stated, the present study represents the first-line test for evaluating the phenolic content and antioxidant capacity of commercial wines of Agiorgitiko, Xinomavro, Assyrtiko and Malagouzia. Hence, it provides some early, yet valuable, indications of the bioactivity of these indigenous Greek varieties. It has to be mentioned that at this phase of the research project, we did not perform liquid chromatography-high-resolution mass spectrometry to identify and characterize the main phenolics of the selected wines in order to correlate them with their antioxidant properties. Furthermore, the sugar content and flavor are both variables that could have been considered in the determination of the antioxidant potency of wines. To the best of our knowledge, high performance liquid chromatography (HPLC), Fehling's method for reducing sugars and various enzymatic analyses are widely used for the determination of the sugar content; however, no such investigations have been conducted in the present study. Finally, the volatile composition of wine is closely related to its characteristic aroma and flavor (57). Among the other volatile flavor compounds, esters, formed by reactions occurring between alcohols and acids, are responsible for the primary fruit and floral aromas and flavors in wines (58,59). However, the present study did not perform any analysis to determine the volatile composition of the selected wines and, therefore, it is not safe to draw any conclusions as regards the effect of wine flavor on the parameters measured.

Conclusively, the present study reported that the indigenous Greek wine varieties, Xinomavro, Agiorgitiko, Assyrtiko and Malagouzia, are rich sources of phytochemical constituents and exert strong biological activities, attributed to their polyphenolic content. The red wine varieties demonstrate a higher TPC and exhibit more prominent antioxidant activities than the white wine varieties. In addition, among the different wine varieties, Xinomavro exhibited the highest concentration of phenolic compounds and the most robust antioxidant activities. Overall, the findings of the present study dictate that these native Greek wines are highly bioactive, particularly Xinomavro, and their moderate consumption may be related to beneficial health effects, due to their potent antioxidant properties.

Acknowledgements

Not applicable.

Funding

Funding: No funding was received.

Availability of data and materials

The datasets used and/or analyzed during the current study are available from the corresponding author on reasonable request.

Authors' contributions

FT and DK conceptualized the study. FT and MG were involved in the study methodology. FT, PV and ZS were involved in the formal analysis and in data curation. FT, MG and PV were involved in the writing and preparation of the original draft. PV was involved in the writing, reviewing and editing of the manuscript. FT was involved in visualization (creation of the figures for the article). DK supervised the study and was involved in project administration. FT and DK confirm the authenticity of all the raw data. All authors have read and approved the final manuscript.

Ethics approval and consent to participate

Not applicable.

Patient consent for publication

Not applicable.

Competing interests

DK is an Editor of the journal, but had no personal involvement in the reviewing process, or any influence in terms of adjudicating on the final decision, for this article. The other authors declare that they have no competing interests.

References

1 

Buja LM: The history, science, and art of wine and the case for health benefits: Perspectives of an oenophilic cardiovascular pathologist. Cardiovasc Pathol. 60(107446)2022.PubMed/NCBI View Article : Google Scholar

2 

Corsinovi P and Gaeta D: The European wine policies: Regulations and strategies. Palgrave Handb Wine Ind Econ. 265–290. 2019.

3 

European Commission:sDirectorate-General for Agriculture and Rural Development: Wine production and opening stocks. Available from: https://agridata.ec.europa.eu/extensions/DashboardWine/WineProduction.html. Accessed October 3, 2023].

4 

Castaldo L, Narváez A, Izzo L, Graziani G, Gaspari A, Minno GD and Ritieni A: Red wine consumption and cardiovascular health. Molecules. 24(3626)2019.PubMed/NCBI View Article : Google Scholar

5 

Markoski MM, Garavaglia J, Oliveira A, Olivaes J and Marcadenti A: Molecular properties of red wine compounds and cardiometabolic benefits. Nutr Metab Insights. 9:51–57. 2016.PubMed/NCBI View Article : Google Scholar

6 

Giovinazzo G, Carluccio MA and Grieco F: Wine polyphenols and health. In: Bioactive Molecules in Food: Reference Series in Phytochemistry. Mérillon JM and Ramawat K (eds). Springer, Cham. pp1135-1155, 2019.

7 

Di Renzo L, Marsella LT, Carraro A, Valente R, Gualtieri P, Gratteri S, Tomasi D, Gaiotti F and De Lorenzo A: Changes in LDL oxidative status and oxidative and inflammatory gene expression after red wine intake in healthy people: A randomized trial. Mediators Inflamm. 2015(317348)2015.PubMed/NCBI View Article : Google Scholar

8 

Liberale L, Bonaventura A, Montecucco F, Dallegri F and Carbone F: Impact of red wine consumption on cardiovascular health. Curr Med Chem. 26:3542–3566. 2017.PubMed/NCBI View Article : Google Scholar

9 

Poli A, Marangoni F, Avogaro A, Barba G, Bellentani S, Bucci M, Cambieri R, Catapano AL, Costanzo S, Cricelli C, et al: Moderate alcohol use and health: A consensus document. Nutr Metab Cardiovasc Dis. 23:487–504. 2013.PubMed/NCBI View Article : Google Scholar

10 

Merkyte V, Longo E, Windisch G and Boselli E: Phenolic compounds as markers of wine quality and authenticity. Foods. 9(1785)2020.PubMed/NCBI View Article : Google Scholar

11 

Shah MH, Rafique R, Rafique T, Naseer M, Khalil U, Rafique R, Shah MH, Rafique R, Rafique T, Naseer M, et al: Effect of climate change on polyphenols accumulation in grapevine. 2021.

12 

Gutiérrez-Escobar R, Aliaño-González MJ and Cantos-Villar E: Wine polyphenol content and its influence on wine quality and properties: A review. Molecules. 26(718)2021.PubMed/NCBI View Article : Google Scholar

13 

Haseeb S, Alexander B, Santi RL, Liprandi AS and Baranchuk A: What's in wine? A clinician's perspective. Trends Cardiovasc Med. 29:97–106. 2019.PubMed/NCBI View Article : Google Scholar

14 

Zhang B, Cai J, Duan CQ, Reeves MJ and He F: A review of polyphenolics in oak woods. Int J Mol Sci. 16:6978–7014. 2015.PubMed/NCBI View Article : Google Scholar

15 

Rasines-Perea Z, Jacquet R, Jourdes M, Quideau S and Teissedre PL: Ellagitannins and flavano-ellagitannins: Red wines tendency in different areas, barrel origin and ageing time in barrel and bottle. Biomolecules. 9(316)2019.PubMed/NCBI View Article : Google Scholar

16 

Martínez-Gil A, Del Alamo-Sanza M and Nevares I: Evolution of red wine in oak barrels with different oxygen transmission rates. Phenolic compounds and colour. LWT. 158(113133)2022.

17 

Pfahl L, Catarino S, Fontes N, Graça A and Ricardo-Da-Silva J: Effect of barrel-to-barrel variation on color and phenolic composition of a red wine. Foods. 10(1669)2021.PubMed/NCBI View Article : Google Scholar

18 

Vineyards in the EU - statistics - Statistics Explained, 2022. Available from: https://ec.europa.eu/eurostat/statistics-explained/index.php?title=Vineyards_in_the_EU_-_statistics. Accessed July 3, 2023].

19 

Biniari K, Xenaki M, Daskalakis I, Rusjan D, Bouza D and Stavrakaki M: Polyphenolic compounds and antioxidants of skin and berry grapes of Greek Vitis vinifera cultivars in relation to climate conditions. Food Chem. 307(125518)2020.PubMed/NCBI View Article : Google Scholar

20 

Kazou M, Pagiati L, Dotsika E, Proxenia N, Kotseridis Y and Tsakalidou E: The microbial terroir of the nemea zone agiorgitiko cv.: A first metataxonomic approach. Aust J Grape Wine Res. 2023:1–18. 2023.

21 

Koufos GC, Mavromatis T, Koundouras S, Fyllas NM, Theocharis S and Jones GV: Greek wine quality assessment and relationships with climate: Trends, future projections and uncertainties. Water (Switzerland). 14(573)2022.

22 

Frankel C: Volcanoes and Wine: From Pompeii to Napa. Chicago, The University of Chicago Press, 2019.

23 

Skiada FG, Grigoriadou K and Eleftheriou EP: Micropropagation of Vitis vinifera L. cv. ‘Malagouzia’ and ‘Xinomavro’. Cent Eur J Biol. 5:839–852. 2010.

24 

Veskoukis A, Kerasioti E, Priftis A, Kouka P, Spanidis Y, Makri S and Kouretas D: A battery of translational biomarkers for the assessment of the in vitro and in vivo antioxidant action of plant polyphenolic compounds: The biomarker issue. Curr Opin Toxicol. 13:99–109. 2019.

25 

Singleton LV, Orthofer R, Lamuela-Raventós MR, Singleton VL, Orthofer R and Lamuela-Raventós RM: [14] Analysis of total phenols and other oxidation substrates and antioxidants by means of folin-ciocalteu reagent. Methods in Enzymology. 299:152–178. 1999.

26 

Brand-Williams W, Cuvelier ME and Berset C: Use of a free radical method to evaluate antioxidant activity. LWT Food Sci Technol. 28:25–30. 1995.

27 

Cano A, Hernández-Ruíz J, García-Cánovas F, Acosta M and Arnao MB: An end-point method for estimation of the total antioxidant activity in plant material. Phytochem Anal. 9:196–202. 1998.

28 

Gülçin I, Küfrevioǧlu ÖI, Oktay M and Büyükokuroǧlu ME: Antioxidant, antimicrobial, antiulcer and analgesic activities of nettle (Urtica dioica L.). J Ethnopharmacol. 90:205–215. 2004.PubMed/NCBI View Article : Google Scholar

29 

Yen GC and Duh PD: Antioxidative properties of methanolic extracts from peanut hulls. J Am Oil Chem Soc. 70:383–386. 1993.

30 

Apak R, Güçlü K, Özyürek M and Karademir SE: Novel total antioxidant capacity index for dietary polyphenols and vitamins C and E, using their cupric ion reducing capability in the presence of neocuproine: CUPRAC method. J Agric Food Chem. 52:7970–7981. 2004.PubMed/NCBI View Article : Google Scholar

31 

Paul T, Young MJ, Hill IE and Ingold KU: Strand cleavage of supercoiled DNA by water-soluble peroxyl radicals. The overlooked importance of peroxyl radical charge. Biochemistry. 39:4129–4135. 2000.PubMed/NCBI View Article : Google Scholar

32 

Aguilar TAF, Navarro CBH and Pérez JAM: Endogenous antioxidants: A review of their role in oxidative stress. A master regul oxidative stress-transcr factor Nrf2, 2016.

33 

Nimse SB and Pal D: Free radicals, natural antioxidants, and their reaction mechanisms. RSC Adv. 5:27986–28006. 2015.

34 

Buljeta I, Pichler A, Šimunović J and Kopjar M: Beneficial effects of red wine polyphenols on human health: Comprehensive review. Curr Issues Mol Biol. 45:782–798. 2023.PubMed/NCBI View Article : Google Scholar

35 

Ditano-Vázquez P, Torres-Peña JD, Galeano-Valle F, Pérez-Caballero AI, Demelo-Rodríguez P, Lopez-Miranda J, Katsiki N, Delgado-Lista J and Alvarez-Sala-Walther LA: The fluid aspect of the mediterranean diet in the prevention and management of cardiovascular disease and diabetes: The role of polyphenol content in moderate consumption of wine and olive oil. Nutrients. 11(2833)2019.PubMed/NCBI View Article : Google Scholar

36 

Barbalho SM, Ottoboni AMM, Fiorini AMR, Guiguer ÉL, Nicolau CCT, de Alvares Goulart R and Flato UAP: Grape juice or wine: Which is the best option? Crit Rev Food Sci Nutr. 60:3876–3889. 2020.PubMed/NCBI View Article : Google Scholar

37 

Li L and Sun B: Grape and wine polymeric polyphenols: Their importance in enology. Crit Rev Food Sci Nutr. 59:563–579. 2019.PubMed/NCBI View Article : Google Scholar

38 

Tekos F, Skaperda Z, Vardakas P, Kyriazi D, Maravelis GC, Poulas K, Taitzoglou IA, Nepka C and Kouretas D: Redox biomarkers assessment after oral administration of wine extract and grape stem extract in rats and mice. Molecues. 28(1574)2023.PubMed/NCBI View Article : Google Scholar

39 

Myrtsi ED, Koulocheri SD, Iliopoulos V and Haroutounian SA: High-throughput quantification of 32 bioactive antioxidant phenolic compounds in grapes, wines and vinification byproducts by LC-MS/MS. Antioxidants (Basel). 10(1174)2021.PubMed/NCBI View Article : Google Scholar

40 

Hornedo-Ortega R, González-Centeno MR, Chira K, Jourdes M and Teissedre PL, Hornedo-Ortega R, González-Centeno MR, Chira K, Jourdes M and Teissedre PL: Phenolic compounds of grapes and wines: Key compounds and implications in sensory perception. Chem Biochem Winemak Wine Stab Aging, 2020.

41 

Onache PA, Florea A, Geana EI, Ciucure CT, Ionete RE, Sumedrea DI and Tița O: Assessment of bioactive phenolic compounds in musts and the corresponding wines of white and red grape varieties. Appl Sci. 13(5722)2023.

42 

Pandeya A, Rayamajhi S, Pokhrel P and Giri B: Evaluation of secondary metabolites, antioxidant activity, and color parameters of Nepali wines. Food Sci Nutr. 6:2252–2263. 2018.PubMed/NCBI View Article : Google Scholar

43 

Paixão N, Perestrelo R, Marques JC and Câmara JS: Relationship between antioxidant capacity and total phenolic content of red, rosé and white wines. Food Chem. 105:204–214. 2007.

44 

Preserova J, Ranc V, Milde D, Kubistova V and Stavek J: Study of phenolic profile and antioxidant activity in selected Moravian wines during winemaking process by FT-IR spectroscopy. J Food Sci Technol. 52:6405–6414. 2015.PubMed/NCBI View Article : Google Scholar

45 

Fermo P, Comite V, Sredojević M, Ćirić I, Gašić U, Mutić J, Baošić R and Tešić Ž: Elemental analysis and phenolic profiles of selected italian wines. Foods. 10(158)2021.PubMed/NCBI View Article : Google Scholar

46 

Zhu L, Zhang Y, Deng J, Li H and Lu J: Phenolic concentrations and antioxidant properties of wines made from North American grapes grown in China. Molecules. 17:3304–3323. 2012.PubMed/NCBI View Article : Google Scholar

47 

Radeka S, Rossi S, Bestulić E, Budić-Leto I, Ganić KK, Horvat I, Lukić I, Orbanić F, Jurjević TZ and Dvornik Š: Bioactive compounds and antioxidant activity of red and white wines produced from autochthonous croatian varieties: Effect of moderate consumption on human health. Foods. 11(1804)2022.PubMed/NCBI View Article : Google Scholar

48 

Nemzer B, Kalita D, Yashin AY and Yashin YI: Chemical composition and polyphenolic compounds of red wines: Their antioxidant activities and effects on human health-a review. Beverages. 8(1)2021.

49 

Tekos F, Makri S, Skaperda ZV, Patouna A, Terizi K, Kyriazis ID, Kotseridis Y, Mikropoulou EV, Papaefstathiou G, Halabalaki M and Demetrios K: Assessment of antioxidant and antimutagenic properties of red and white wine extracts in vitro. Metab. 11(436)2021.PubMed/NCBI View Article : Google Scholar

50 

Lucarini M, Durazzo A, Lombardi-Boccia G, Souto EB, Cecchini F and Santini A: Wine polyphenols and health: Quantitative research literature analysis. Appl Sci. 11(4762)2021.

51 

Fernández-Pachón MS, Villaño D, García-Parrilla MC and Troncoso AM: Antioxidant activity of wines and relation with their polyphenolic composition. Anal Chim Acta. 513:113–118. 2004.

52 

Tarko T, Duda-Chodak A, Sroka P, Satora P and Jurasz E: Polish wines: Characteristics of cool-climate wines. J Food Compos Anal. 23:463–468. 2010.

53 

Li H, Wang X, Li Y, Li P and Wang H: Polyphenolic compounds and antioxidant properties of selected China wines. Food Chem. 112:454–460. 2009.

54 

Tauchen J, Marsik P, Kvasnicova M, Maghradze D, Kokoska L, Vanek T and Landa P: In vitro antioxidant activity and phenolic composition of Georgian, Central and West European wines. J Food Compos Anal. 41:113–121. 2015.

55 

Staško A, Brezová V, Mazúr M, Čertík M, Kaliňák M and Gescheidt G: A comparative study on the antioxidant properties of Slovakian and Austrian wines. LWT Food Sci Technol. 41:2126–2135. 2008.

56 

Gaschler MM and Stockwell BR: Lipid peroxidation in cell death. Biochem Biophys Res Commun. 482:419–425. 2017.PubMed/NCBI View Article : Google Scholar

57 

Zhu F, Du B and Li J, Zhu F, Du B and Li J: Aroma compounds in wine. Grape Wine Biotechnol, 2016.

58 

Styger G, Prior B and Bauer FF: Wine flavor and aroma. J Ind Microbiol Biotechnol. 38:1145. 2011.PubMed/NCBI View Article : Google Scholar

59 

Liu S, Lou Y, Li Y, Zhao Y, Laaksonen O, Li P, Zhang J, Battino M, Yang B and Gu Q: Aroma characteristics of volatile compounds brought by variations in microbes in winemaking. Food Chem. 420(136075)2023.PubMed/NCBI View Article : Google Scholar

Related Articles

  • Abstract
  • View
  • Download
Copy and paste a formatted citation
Spandidos Publications style
Tekos F, Gkasdrogka M, Vardakas P, Skaperda Z and Kouretas D: Determination of the polyphenolic content and the antioxidant activities of four indigenous Greek red and white wine varieties. Int J Funct Nutr 4: 3, 2023.
APA
Tekos, F., Gkasdrogka, M., Vardakas, P., Skaperda, Z., & Kouretas, D. (2023). Determination of the polyphenolic content and the antioxidant activities of four indigenous Greek red and white wine varieties. International Journal of Functional Nutrition, 4, 3. https://doi.org/10.3892/ijfn.2023.33
MLA
Tekos, F., Gkasdrogka, M., Vardakas, P., Skaperda, Z., Kouretas, D."Determination of the polyphenolic content and the antioxidant activities of four indigenous Greek red and white wine varieties". International Journal of Functional Nutrition 4.1 (2023): 3.
Chicago
Tekos, F., Gkasdrogka, M., Vardakas, P., Skaperda, Z., Kouretas, D."Determination of the polyphenolic content and the antioxidant activities of four indigenous Greek red and white wine varieties". International Journal of Functional Nutrition 4, no. 1 (2023): 3. https://doi.org/10.3892/ijfn.2023.33
Copy and paste a formatted citation
x
Spandidos Publications style
Tekos F, Gkasdrogka M, Vardakas P, Skaperda Z and Kouretas D: Determination of the polyphenolic content and the antioxidant activities of four indigenous Greek red and white wine varieties. Int J Funct Nutr 4: 3, 2023.
APA
Tekos, F., Gkasdrogka, M., Vardakas, P., Skaperda, Z., & Kouretas, D. (2023). Determination of the polyphenolic content and the antioxidant activities of four indigenous Greek red and white wine varieties. International Journal of Functional Nutrition, 4, 3. https://doi.org/10.3892/ijfn.2023.33
MLA
Tekos, F., Gkasdrogka, M., Vardakas, P., Skaperda, Z., Kouretas, D."Determination of the polyphenolic content and the antioxidant activities of four indigenous Greek red and white wine varieties". International Journal of Functional Nutrition 4.1 (2023): 3.
Chicago
Tekos, F., Gkasdrogka, M., Vardakas, P., Skaperda, Z., Kouretas, D."Determination of the polyphenolic content and the antioxidant activities of four indigenous Greek red and white wine varieties". International Journal of Functional Nutrition 4, no. 1 (2023): 3. https://doi.org/10.3892/ijfn.2023.33
Follow us
  • Twitter
  • LinkedIn
  • Facebook
About
  • Spandidos Publications
  • Careers
  • Cookie Policy
  • Privacy Policy
How can we help?
  • Help
  • Live Chat
  • Contact
  • Email to our Support Team