International Journal of Molecular Medicine is an international journal devoted to molecular mechanisms of human disease.
International Journal of Oncology is an international journal devoted to oncology research and cancer treatment.
Covers molecular medicine topics such as pharmacology, pathology, genetics, neuroscience, infectious diseases, molecular cardiology, and molecular surgery.
Oncology Reports is an international journal devoted to fundamental and applied research in Oncology.
Experimental and Therapeutic Medicine is an international journal devoted to laboratory and clinical medicine.
Oncology Letters is an international journal devoted to Experimental and Clinical Oncology.
Explores a wide range of biological and medical fields, including pharmacology, genetics, microbiology, neuroscience, and molecular cardiology.
International journal addressing all aspects of oncology research, from tumorigenesis and oncogenes to chemotherapy and metastasis.
Multidisciplinary open-access journal spanning biochemistry, genetics, neuroscience, environmental health, and synthetic biology.
Open-access journal combining biochemistry, pharmacology, immunology, and genetics to advance health through functional nutrition.
Publishes open-access research on using epigenetics to advance understanding and treatment of human disease.
An International Open Access Journal Devoted to General Medicine.
Emerging evidence indicates that vitamin D insufficiency is associated with several lung diseases, including asthma and chronic obstructive pulmonary disease (COPD), which may be associated with impaired pulmonary function, and the increased incidence of inflammation and infection (1,2). The exact underlying mechanisms are unknown; however, vitamin D appears to affect the function of inflammatory and structural cells, including lymphocytes, dendritic cells, monocytes and epithelial cells (1,3,4). 1α-hydroxylase is responsible for the final and rate-limiting step in the synthesis of active 1,25-dihydroxyvitamin D3 (1,25 D3) from the circulating or storage form, 25-hydroxyvitamin D3 (25 D3) (5). In 2008, Hansdottir et al reported that airway epithelial cells express 1α-hydroxylase and are able to convert vitamin D from an inactive form into an active one, and that vitamin D affects the expression of vitamin D-driven genes that play a major role in host defense (4). The expression of 1α-hydroxylase in airway epithelial cells suggests a broader role of vitamin D in respiratory diseases.
Airway epithelial cells are not only physical barriers to invaders, but also produce cytokines, such as thymic stromal lymphopoietin (TSLP) in response to allergens (6). The over-expression of the TSLP gene in airway epithelial cells has been shown to lead to asthma and TSLP has been suggested to play an important role in the initiation and maintenance of the allergic immune response (6,7). TSLP expression has been shown to be induced by 1,25 D3 in SCC25 human epithelial tumor cells (derived from a tongue squamous cell carcinoma) (8). It has also been demonstrated that the topical application of 1,25 D3 leads to the induction of TSLP expression in mouse epidermal keratinocytes (9). However, whether vitamin D affects the expression of TSLP in human bronchial epithelial (HBE) cells remains unresolved.
Vitamin D3 upregulated protein 1 (VDUP1) is an endogenous inhibitor of thioredoxin. VDUP1 was originally identified as a differentially expressed gene in 1,25 D3-treated HL-60 leukemia cells (10). It is cytoplasmically located and has been shown to play a multifunctional role in a variety of cellular responses (11,12). Recently, VDUP1 has been shown to play a role in vascular endothelial growth factor (VEGF)- and interleukin-1β-mediated signal transduction pathways (13–15). However, little is known about the expression of VDUP1 in bronchial epithelial cells and its involvement in the activation of these cells.
In this study, to determine whether vitamin D enhances the expression of TSLP in airway epithelial cells and whether VDUP1 is involved in this process, 16-HBE cells were used. This SV40 large T antigen-transformed bronchial epithelial cell line is widely used for the investigation of the functional properties of bronchial epithelial cells (16,17). The results from this study demonstrate that TSLP expression can be manipulated by both inactive and active vitamin D via the VDUP1 pathway, therefore suggesting a novel mechanism by which vitamin D regulates immune function in the lungs.
16-HBE bronchial epithelial cells (Shanghai Fuxiang Biological Technology Co., Ltd., Shanghai, China) were cultured in MEM growth medium (Ginuo Biopharm Technology Co., Shanghai, China) supplemented with 10% fetal calf serum (Invitrogen Life Technologies, Carlsbad, CA, USA) and maintained at 37°C in a humidified incubator in the presence of 5% CO2. Cells were cultured for at least 2 days (70–80% confluence) prior to stimulation with 25 D3 and 1,25 D3 (Sigma, St. Louis, MO, USA) for 6 h with or without pre-treatment with 1,000 nM itraconazole (Sigma) for 2 h (4).
The sequence of the VDUP1-targeting small interfering RNA (siRNA) was as follows: siRNA1 sense, 5′-GUCAGAGG CAAUCAUAUUATT-3′ and antisense, 5′-UAAUAUGAUUG CCUCUGACTG-3′; siRNA2 sense, 5′-CUGUGAAGGUGA UGAUAUUTT-3′ and antisense, 5′-AAUCUCAUCACCUUC ACAGTT-3′; siRNA3 sense, 5′-GAAACAAAUAUGAGUA CAATT-3′ and antisense, 5′-UUGUACUCAUAUUUGUUU CCA-3′; and negative control (NC) sense, 5′-UUCUCCGAACGUGUCACGUTT-3′ and antisense, 5′-ACGUGACACGUU CGGAGAATT-3′. All siRNAs were purchased from Shanghai GenePharma Co., Ltd., Shanghai, China. The 16-HBE cells were seeded at a density of 1.2×105 cells/well in 12-well culture plates and cultured for 2 days. Cells that were 40–60% confluent, were transfected with 5 nM VDUP1-specific siRNA or control siRNA using the HiPerFect transfection reagent (Qiagen, Hilden, Germany) according to the manufacturer’s instructions. The viability of the cells was determined by MTT assay. The transfected cells were cultured for an additional 48 h and then stimulated with 500 nM 25 D3 and 50 nM 1,25 D3 for 6 h.
1,25 D3 was quantified using an enzyme immunoassay kit for 1,25 D3 (Yanjie Biotechnology, Shanghai, China) according to the manufacturer’s instructions.
Gene expression was analyzed by real-time RT-PCR using SYBR® Premix Ex Taq™ (Takara, Dalian, China) and the Mx3005p real-time qPCR system (Stratagene, Santa Clara, CA, USA). Total RNA was extracted with RNAisoPLUS (Takara) following the manufacturer’s instructions and cDNA was synthesized from 500 ng of RNA using the PrimeScript™ RT kit. The qRT-PCR reaction mixture contained 1X SYBR Premix Ex Taq, 200 nM forward and reverse primers and 2 μl cDNA in a final volume of 25 μl. The primers (Invitrogen, Shanghai, China) used were: human TSLP (forward, 5′-GCCCAGGCTATTCGGAAAC-3′ and reverse, 5′-GAAGCGACGCCACAATCC-3′), VDUP1 (forward, 5′-ACTCGTGTCAAAGCCGTTAGGA-3′ and reverse, 5′-AGCTCAAAGCCGAACTTGTACTCA-3′) and β-actin (forward, 5′-GTGGACATCCGCAAAGAC-3′ and reverse, 5′-GAAAGGGTGTAACGCAACT-3′). The PCR cycling conditions were as follows: 95°C for 15 sec, 58°C for 15 sec and 72°C for 15 sec for 40 cycles. The melting curve was made by increasing the temperature from 65 to 95°C at a ramp rate of 2% for 20 min. The qRT-PCR samples were evaluated using a single predominant peak as a quality control. The cycle threshold (Ct) values were used to calculate the relative expression levels of the messenger RNA (mRNA). The expression levels of all genes were normalized to the expression of a reference gene (β-actin).
The cells were washed 3 times with phosphate-buffered saline (PBS) and disrupted in ice-cold lysis buffer (20 mM Tris, 20 mM β-glycerophosphate, 150 mM NaCl, 3 mM EDTA, 3 mM EGTA, 1 mM Na3VO4, 0.5% Nonidet P-40 and 1 mM dithiothreitol). The protein concentration of the lysates was determined using the Bradford protein assay (Nanjing KeyGen Biotech. Co., Ltd., Nanjing, China). Protein (40 μg/lane) was separated on a 10% SDS-polyacrylamide gel and transferred onto a PVDF membrane (Millipore, Billerica, MA, USA). The membrane was blocked with 5% skim milk in Tris-buffered saline with Tween-20 (TBST) (50 mM Tris-HCl, pH 7.5, 150 mM NaCl and 0.05% Tween-20) for 1 h at room temperature and then incubated overnight with rabbit anti-human VDUP1 polyclonal antibody (Santa Cruz Biotechnology, Inc., Santa Cruz, CA, USA) 1:600 at 4°C. The membrane was washed with TBST (3×15-min washes) and incubated in anti-rabbit IgG secondary antibody conjugated with horse-radish peroxidase (Boster Biological Technology, Ltd., Wuhan, China) 1:5,000 for 1 h at room temperature. Protein signal was detected using the SuperECL system (Nanjing KeyGen Biotech. Co., Ltd.) and detected by radiography. The immuno-reactive bands were visualized using a Kodak 2000M camera (Eastman Kodak Co., Rochester, NY, USA) according to the manufacturer’s instructions. An anti-GAPDH goat polyclonal antibody (1:500; Santa Cruz Biotechnology, Inc.) was used to confirm equal loading.
TSLP in culture supernatants were detected by ELISA (R&D Systems, Minneapolis, MN, USA) according to the manufacturer’s instructions and the data were normalized to the total protein amounts in the samples, as determined by Bradford assay (Bio-Rad, Hercules, CA, USA). The minimal detectable level of TSLP was 31.25 pg/ml.
Data are presented as the means ± SEM. Differences among multiple groups were assessed for statistical significance by one-way analysis of variance; Bonferroni’s method was used for multiple comparisons. When 2 groups were being compared we used a one- or two-tailed Student’s t-test depending on the hypothesis in question. A P-value <0.05 was considered to indicate a statistically significant difference.
A previous study demonstrated that respiratory epithelial cells have the enzymatic machinery required to activate vitamin D, which exerts profound effects on epithelial cells (4). To determine whether inactive 25 D3 affects TSLP expression in airway epithelial cells, we first investigated the effects of 25 D3 on the viability of 16-HBE cells. We found no loss in cell viability when the 16-HBE cells were stimulated with various concentrations of 25 D3 (50–1,000 nM) (Fig. 1). Based on our concentration-response curve, TSLP mRNA levels significantly increased at concentrations of 100 nM and peaked at concentrations 500 nM 25 D3 (Fig. 2A). Therefore, we used the concentration of 500 nM in the subsequent experiments. The time-response results revealed that TSLP mRNA (Fig. 2B) and protein (Fig. 2C) levels were significantly upregulated in the cells stimulated with 500 nM 25 D3 for 2 to 24 h.
To assess whether 25 D3 induces VDUP1 expression in 16-HBE cells, we determined the mRNA and protein expression of VDUP1 following treatment with 25 D3 from 0.5 to 24 h. The results indicated that VDUP1 mRNA (Fig. 3A) and protein (Fig. 3B) expression was significantly upregulated in the 16-HBE cells treated with 500 nM 25 D3 for 2 to 24 h when compared with the untreated cells.
To determine the biological function of VDUP1, its expression was silenced by RNA interference. Three RNA duplexes (siRNA1, siRNA2 and siRNA3) directed against VDUP1 were synthesized (see Materials and methods). As shown in Fig. 4A and B, extracts prepared from the cells transfected with either the siRNA2 or siRNA3 duplex showed reduced VDUP1 levels. This effect was more pronounced with the use of siRNA3, wherein VDUP1 expression was <35% of the control (Fig. 4B). siRNA1 and siRNA2 reduced VDUP1 expression to 40–80% of the control. Therefore, we selected VDUP1 siRNA3 in the subsequent experiments.
To elucidate the mechanism behind the 25 D3-induced TSLP production, we investigated whether VDUP1 is involved in this process. We used VDUP1 siRNA3 to suppress VDUP1 expression in the 16-HBE cells. The viability of the cells was >90% in the siRNA-transfected cells. We observed a significantly lower level of TSLP mRNA (Fig. 5A) and protein (Fig 5B) expression in the VDUP1-silenced cells when compared with the control siRNA-treated cells following treatment with 500 nM 25 D3.
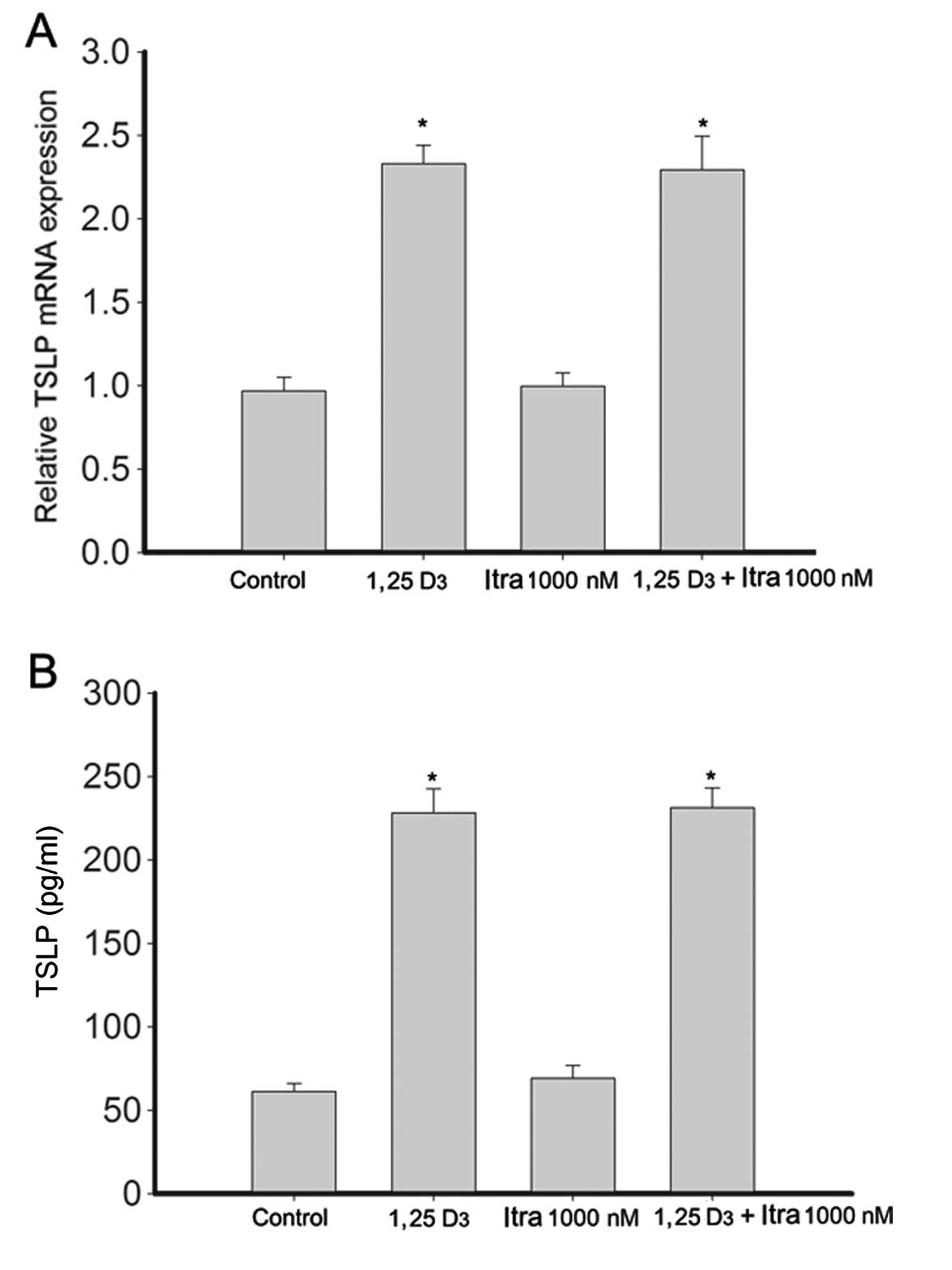
To determine the effect of 1,25 D3, the 16-HBE cells were first treated with increasing concentrations of 25 D3, and the levels of 1,25 D3 in the supernatants were measured after 24 h. Consistent with a previous study (4), our results indicated that the 16-HBE cells converted 25 D3 to 1,25 D3 when exposed to 25 D3 without other stimuli (Fig. 6A). To further link the enzymatic machinery expressed by 16-HBE cells to the 1,25 D3 generation and induction of TSLP expression, we used a chemical inhibitor of 1α-hydroxylase, itraconazole. Pre-treatment of the 16-HBE cells with itraconazole (1,000 nM) significantly reduced their ability to convert 25 D3 to 1,25 D3 (Fig. 6B). We then examined the effects of itraconazole on the induction of TSLP by 25 D3. The results revealed that in the presence of itraconazole (1,000 nM), there was a significantly lower production of TSLP mRNA (Fig. 6C) and protein (Fig. 6D) by 25 D3. These results indicate that in the presence of itraconazole, less 25 D3 is being converted to 1,25 D3, resulting in a reduced production of TSLP.
To further investigate the effect of active vitamin D on TSLP expression in airway epithelial cells, we directly used 1,25 D3 as the stimulator. We found no loss in cell viability when the 16-HBE cells were stimulated with various concentrations of 1,25 D3 (0.1 to 100 nM) (Fig. 7A). Based on the concentration-response curve, TSLP mRNA (Fig. 7B) and protein (Fig. 7C) levels significantly increased at 0.1 nM, and peaked at concentrations of 50 nM 1,25 D3. The levels of TSLP mRNA (Fig. 7D) and protein (Fig. 7E) expression significantly increased at 2 h and peaked at 12 h in the cells exposed to 50 nM 1,25 D3. To determine the role of VDUP1 in this process, we examined the mRNA expression level of VDUP1 at the same time following treatment with 50 nM 1,25 D3 for 6 h and VDUP1 was also manipulated via the siRNA-mediated silencing of VDUP1. The results revealed that VDUP1 mRNA (Fig. 7F) expression was significantly upregulated in the 16-HBE cells treated with 50 nM 1,25 D3 for 6 h when compared with the untreated cells. In comparison with the control siRNA-treated cells, following treatment with 50 nM 1,25 D3, we observed a significantly lower level of TSLP mRNA (Fig. 7G) and protein (Fig. 7H) in the cells in which VDUP1 was silenced. These results suggest that the VDUP1 pathway is involved in the 1,25 D3-induced TSLP expression in 16-HBE cells.
To confirm the specificity of the TSLP production induced by 1,25 D3, we treated the cells with itraconazole, as well as 1,25 D3. We found that in the presence of itraconazole (1,000 nM), a similar induction of TSLP by 1,25 D3 was obsevered (Fig. 8A and B). This further supports our primary hypothesis that 1α-hydroxylase converts inactive vitamin D to active vitamin D and induces TSLP expression in 16-HBE cells.
In the present study, we investigated the effect of 25 D3 and 1,25 D3 on the expression of TSLP in 16-HBE cells and investigated the role of the VDUP1 pathway in this process. To the best of our knowledge, we are the first to demonstrate that: i) 25 D3 and 1,25 D3 upregulate TSLP expression in 16-HBE cells; ii) the silencing of VDUP1 significantly inhibits the 25 D3- and 1,25 D3-mediated induction of TSLP expression; and iii) the inhibition of 1α-hydroxylase by itraconazole partially suppresses the 25 D3- but not the 1,25 D3-induced TSLP expression in 16-HBE cells.
In our study, we found that in comparison with 100 nM 25 D3, only 0.1 nM 1,25 D3 (normal range in the blood, 0.05–0.15 nM) significantly increased the expression of TSLP in airway epithelial cells. It should be noted that the stimulator concentrations of 25 D3 at 500 nM used in the assays in this study are considered supra-physiological (18). This concentration may have enhanced the direct effect of 1,25 D3. Combined with the effects of the 1α-hydroxylase inhibitor in our experiments, 25 D3 was converted to 1,25 D3, resulting in the induction of TSLP expression in 16-HBE cells. The physiological relevance of these findings is also limited by the use of 25 D3 at the concentration of 500 nM. In this study, we observed that the peak of induction of TSLP expression occurred at 6 to 12 h, which indicates that the effect of vitamin D on TSLP gene expression may be an indirect effect, which needs to be further clarified.
Usually, 25 D3 is present at ~1,000-fold higher levels in the blood compared to 1,25 D3, and the low level of 1,25 D3 circulating systemically is likely insufficient to promote optimal immunoregulatory effects in vivo (18). Moreover, the commonly used concentration of 1,25 D3in vivo and in vitro that promotes optimal 1,25 D3-dependent effects in several cell types, ranges from 10 to 100 nM (4,19,20). In the concentration-response curve of 1,25 D3, we observed that the induction of TSLP expression by 1,25 D3 peaked at the concentration of 10–100 nM. Therefore, our data indicate that the airway epithelial cell production of active 1,25 D3 from its inactive precursor is likely to be a crucial factor in the contribution of vitamin D to immune regulation in vivo.
Recently, emerging evidence suggests that vitamin D exerts a protective effect against asthma (2,21,22). Other studies (6,7,23) have indicated that TSLP represents a master switch of allergic inflammation and have established a direct link between TSLP expression in keratinocytes and airway epithelial cells and the pathogenesis of atopic dermatitis and asthma, respectively. It seems that our results contradict those from the abovementioned studies; in fact, the correlation between vitamin D and asthma has been a matter of debate for several years (24–26). A possible direct involvement of vitamin D signaling in atopy is supported by the observation that vitamin D receptor-null mutant mice fail to develop symptoms of experimental asthma. Li et al demonstrated that the topical induction of TSLP expression by 1,25 D3 in mouse epidermal keratinocytes resulted in an atopic dermatitis-like syndrome (9). On the other hand, in combination with the previously known pro-T helper type 2 cytokine function, certain studies have indicated that TSLP plays a role in host defense (27,28). Therefore, it is of interest to elucidate the role of the vitamin D-mediated production of TSLP in airway epithelial cells in asthma.
TSLP has been shown to be produced by airway epithelial cells (6,29,30). However, the definite regulation of TSLP expression needs to be further clarified. TSLP expression has previously been shown to be regulated via the NF-κB signaling pathway in airway epithelial cells (30,31). Tumor necrosis factor-α and interleukin-1β-induced TSLP expression has been shown to be regulated via the mitogen-activated protein kinase pathway in human airway smooth muscle cells (32). Our data demonstrated that the silencing of VDUP1 resulted in a significant reduction in 25 D3 and 1,25 D3-induced TSLP expression. These data suggest a novel pathway of TSLP regulation in airway epithelial cells.
However, the mechanism underlying the VDUP1-mediated upregulation of TSLP expression in 16-HBE cells remains unclear. VDUP1 interacts with the antioxidant, thioredoxin, thereby inhibiting the reducing activity of thioredoxin and blocking the interactions of thioredoxin with other factors, such as apoptosis signal-regulating kinase (12). This increases the vulnerability of cells to oxidative stress. In another study, Tang et al reported that reactive oxygen species mediate the release of TSLP by epithelial cells (33). Thus, the possible underlying mechanism is that VDUP1 promotes oxidative stress, which induces TSLP secretion followed by an increase in reactive oxygen species production through the inhibition of thioredoxin activity.
Of note, previous studies have demonstrated that: i) vitamin D decreases the respiratory syncytial virus-mediated induction of the NF-κB-linked cytokine, interferon-β, and chemokine (C-X-C motif) ligand 10 in airway epithelial cells (34); and ii) Geldmeyer-Hilt et al demonstrated that 1,25 D3 impairs NF-κB activation in human naïve B cells (35). VDUP1 has been shown to suppress tumor necrosis factor-α-induced NF-κB activation in hepatocarcinogenesis (15). Therefore the correlation between vitamin D, VDUP1, NF-κB and TSLP under different circumstances requires further investigation.
There were obvious limitations to this study. First, although our data convincingly demonstrate that vitamin D metabolites increase TSLP expression, the biological consequences of such a regulation were not investigated. Second, the physiological relevance of our experiments was limited by the use of a transformed cell line; the results cannot necessarily be extrapolated to primary cells. Third, itraconazole is a broad spectrum inhibitor of cytochrome P450 enzymes, with activity against CYP24A as well as CYP27B1. The knockdown of CYP27B1 would provide more conclusive evidence that the pathway demonstrated was CYP27B1-dependent.
In conclusion, our data indicate that both inactive 25 D3 and active 1,25 D3 induce TSLP expression in 16-HBE cells, and that VDUP1-associated cell signaling is involved in this process. Further studies are required to determine the role of vitamin D and the mechanisms by which it modulates epithelial TSLP expression in airway diseases.
|
ELISA |
enzyme-linked immunosorbent assay |
|
1,25 D3 |
1,25-dihydroxyvitamin D3 |
|
25 D3 |
25-hydroxyvitamin D3 |
|
HBE cells |
human bronchial epithelial cells |
|
siRNA |
small interfering RNA |
|
TSLP |
thymic stromal lymphopoietin |
|
VDUP1 |
vitamin D3 upregulated protein 1 |
This study was supported by grants from the National Natural Science Foundation of China (nos. 30971328, 81270087, 81270089); and the National Program on Key Basic Research Project (973 Program, 2012CB518203).
|
Pfeffer PE and Hawrylowicz CM: Vitamin D and lung disease. Thorax. 67:1018–1020. 2012. View Article : Google Scholar : PubMed/NCBI | |
|
Brehm JM, Acosta-Pérez E, Klei L, Roeder K, Barmada M, Boutaoui N, Forno E, Kelly R, Paul K, Sylvia J, Litonjua AA, Cabana M, Alvarez M, Colón-Semidey A, Canino G and Celedon C: Vitamin D insufficiency and severe asthma exacerbations in Puerto Rican children. Am J Respir Crit Care Med. 186:140–146. 2012. View Article : Google Scholar : PubMed/NCBI | |
|
Boonstra A, Barrat FJ, Crain C, Heath VL, Savelkoul HF and O’Garra A: 1alpha,25-Dihydroxyvitamin D3 has a direct effect on naive CD4(+) T cells to enhance the development of Th2 cells. J Immunol. 167:4974–4980. 2001.PubMed/NCBI | |
|
Hansdottir S, Monick MM, Hinde SL, Lovan N, Look DC and Hunninghake GW: Respiratory epithelial cells convert inactive vitamin D to its active form: potential effects on host defense. J Immunol. 181:7090–7099. 2008. View Article : Google Scholar : PubMed/NCBI | |
|
Zehnder D, Bland R, Walker EA, Bradwell AR, Howie AJ, Hewison M and Stewart PM: Expression of 25-hydroxyvitamin D3-1alpha-hydroxylase in the human kidney. J Am Soc Nephrol. 10:2465–2473. 1999.PubMed/NCBI | |
|
Soumelis V, Reche PA, Kanzler H, Yuan W, Edward G, Homey B, Gilliet M, Ho S, Antonenko S, Lauerma A, Smith K, Gorman D, Zurawski S, Abrams J, Menon S, McClanahan T, de Waal-Malefyt Rd R, Bazan F, Kastelein RA and Liu YJ: Human epithelial cells trigger dendritic cell mediated allergic inflammation by producing TSLP. Nat Immunol. 3:673–680. 2002.PubMed/NCBI | |
|
Zhou B, Comeau MR, De Smedt T, Liggitt HD, Dahl ME, Lewis DB, Gyarmati D, Aye T, Campbell DJ and Ziegler SF: Thymic stromal lymphopoietin as a key initiator of allergic airway inflammation in mice. Nat Immunol. 6:1047–1053. 2005. View Article : Google Scholar : PubMed/NCBI | |
|
Wang TT, Tavera-Mendoza LE, Laperriere D, Libby E, MacLeod NB, Nagai Y, Bourdeau V, Konstorum A, Lallemant B, Zhang R, Mader S and White JH: Large-scale in silico and microarray-based identification of direct 1,25-dihydroxyvitamin D3 target genes. Mol Endocrinol. 19:2685–2695. 2005. View Article : Google Scholar : PubMed/NCBI | |
|
Li M, Hener P, Zhang Z, Kato S, Metzger D and Chambon P: Topical vitamin D3 and low-calcemic analogs induce thymic stromal lymphopoietin in mouse keratinocytes and trigger an atopic dermatitis. Proc Natl Acad Sci USA. 103:11736–11741. 2006. View Article : Google Scholar : PubMed/NCBI | |
|
Chen KS and DeLuca HF: Isolation and characterization of a novel cDNA from HL-60 cells treated with 1,25-dihydroxyvitamin D-3. Biochim Biophys Acta. 1219:26–32. 1994. View Article : Google Scholar : PubMed/NCBI | |
|
Kim SY, Suh HW, Chung JW, Yoon SR and Choi I: Diverse functions of VDUP1 in cell proliferation, differentiation, and diseases. Cell Mol Immunol. 4:345–351. 2007.PubMed/NCBI | |
|
Junn E, Han SH, Im JY, Yang Y, Cho EW, Um HD, Kim DK, Lee KW, Han PL, Rhee SG and Choi I: Vitamin D3 up-regulated protein 1 mediates oxidative stress via suppressing the thioredoxin function. J Immunol. 164:6287–6295. 2000. View Article : Google Scholar : PubMed/NCBI | |
|
Perrone L, Devi TS, Hosoya K, Terasaki T and Singh LP: Thioredoxin interacting protein (TXNIP) induces inflammation through chromatin modification in retinal capillary endothelial cells under diabetic conditions. J Cell Physiol. 221:262–272. 2009. View Article : Google Scholar | |
|
Zhou R, Tardivel A, Thorens B, Choi I and Tschopp J: Thioredoxin-interacting protein links oxidative stress to inflammasome activation. Nat Immunol. 11:136–140. 2010. View Article : Google Scholar : PubMed/NCBI | |
|
Kwon HJ, Won YS, Suh HW, Jeon JH, Shao Y, Yoon SR, Chung JW, Kim TD, Kim HM, Nam KH, Yoon WK, Kim DG, Kim JH, Kim YS, Kim DY, Kim HC and Choi I: Vitamin D3 upregulated protein 1 suppresses TNF-alpha-induced NF-kappaB activation in hepatocarcinogenesis. J Immunol. 185:3980–3989. 2010. View Article : Google Scholar : PubMed/NCBI | |
|
Cozens AL, Yezzi MJ, Kunzelmann K, Ohrui T, Chin L, Eng K, Finkbeiner WE, Widdicombe JH and Gruenert DC: CFTR expression and chloride secretion in polarized immortal human bronchial epithelial cells. Am J Respir Cell Mol Biol. 10:38–47. 1994. View Article : Google Scholar : PubMed/NCBI | |
|
Profita M, Bonanno A, Siena L, Ferraro M, Montalbano AM, Pompeo F, Riccobono L, Pieper MP and Gjomarkaj M: Acetylcholine mediates the release of IL-8 in human bronchial epithelial cells by a NFκB/ERK-dependent mechanism. Eur J Pharmacol. 582:145–153. 2008.PubMed/NCBI | |
|
Holick MF: Vitamin D deficiency. N Engl J Med. 357:266–281. 2007. View Article : Google Scholar | |
|
Campos LT, Brentani H, Roela RA, Katayama ML, Lima L, Rolim CF, Milani C, Folgueira MA and Brentani MM: Differences in transcriptional effects of 1alpha,25 dihydroxyvitamin D3 on fibroblasts associated to breast carcinomas and from paired normal breast tissues. J Steroid Biochem Mol Biol. 133:12–24. 2013. View Article : Google Scholar : PubMed/NCBI | |
|
Izban MG, Nowicki BJ and Nowicki S: 1,25-Dihydroxyvitamin D3 promotes a sustained LPS-induced NF-kappaB-dependent expression of CD55 in human monocytic THP-1 cells. PLoS One. 7:e493182012. View Article : Google Scholar : PubMed/NCBI | |
|
Wu AC, Tantisira K, Li L, Fuhlbrigge AL, Weiss ST and Litonjua A: Effect of vitamin D and inhaled corticosteroid treatment on lung function in children. Am J Respir Crit Care Med. 186:508–513. 2012. View Article : Google Scholar : PubMed/NCBI | |
|
Xystrakis E, Kusumakar S, Boswell S, Peek E, Urry Z, Richards DF, Adikibi T, Pridgeon C, Dallman M, Loke TK, Robinson DS, Barrat FJ, O’Garra A, Lavender P, Lee TH, Corrigan C and Hawrylowicz CM: Reversing the defective induction of IL-10-secreting regulatory T cells in glucocorticoid-resistant asthma patients. J Clin Invest. 116:146–155. 2006. View Article : Google Scholar : PubMed/NCBI | |
|
Leyva-Castillo JM, Hener P, Jiang H and Li M: TSLP produced by keratinocytes promotes allergen sensitization through skin and thereby triggers atopic march in mice. J Invest Dermatol. 133:154–163. 2012. View Article : Google Scholar | |
|
Back O, Blomquist HK, Hernell O and Stenberg B: Does vitamin D intake during infancy promote the development of atopic allergy? Acta Derm Venereol. 89:28–32. 2009. View Article : Google Scholar : PubMed/NCBI | |
|
Schauber J and Gallo RL: Vitamin D deficiency and asthma: not a strong link - yet. J Allergy Clin Immunol. 121:782–783; author reply. 783–784. 2008. View Article : Google Scholar : PubMed/NCBI | |
|
Ginde AA and Sutherland ER: Vitamin D in asthma: panacea or true promise? J Allergy Clin Immunol. 126:59–60. 2010. View Article : Google Scholar : PubMed/NCBI | |
|
Sonesson A, Kasetty G, Olin AI, Malmsten M, Morgelin M, Sorensen OE and Schmidtchen A: Thymic stromal lymphopoietin exerts antimicrobial activities. Exp Dermatol. 20:1004–1010. 2011. View Article : Google Scholar : PubMed/NCBI | |
|
Kamekura R, Kojima T, Koizumi J, Ogasawara N, Kurose M, Go M, Harimaya A, Murata M, Tanaka S, Chiba H, Himi T and Sawada N: Thymic stromal lymphopoietin enhances tight-junction barrier function of human nasal epithelial cells. Cell Tissue Res. 338:283–293. 2009. View Article : Google Scholar | |
|
Allakhverdi Z, Comeau MR, Jessup HK, Yoon BR, Brewer A, Chartier S, Paquette N, Ziegler SF, Sarfati M and Delespesse G: Thymic stromal lymphopoietin is released by human epithelial cells in response to microbes, trauma, or inflammation and potently activates mast cells. J Exp Med. 204:253–258. 2007. View Article : Google Scholar : PubMed/NCBI | |
|
Kato A, Favoreto S Jr, Avila PC and Schleimer RP: TLR3-and Th2 cytokine-dependent production of thymic stromal lymphopoietin in human airway epithelial cells. J Immunol. 179:1080–1087. 2007. View Article : Google Scholar : PubMed/NCBI | |
|
Lee HC and Ziegler SF: Inducible expression of the proallergic cytokine thymic stromal lymphopoietin in airway epithelial cells is controlled by NFkappaB. Proc Natl Acad Sci USA. 104:914–919. 2007. View Article : Google Scholar : PubMed/NCBI | |
|
Zhang K, Shan L, Rahman MS, Unruh H, Halayko AJ and Gounni AS: Constitutive and inducible thymic stromal lymphopoietin expression in human airway smooth muscle cells: role in chronic obstructive pulmonary disease. Am J Physiol Lung Cell Mol Physiol. 293:L375–L382. 2007. View Article : Google Scholar | |
|
Tang H, Cao W, Kasturi SP, Ravindran R, Nakaya HI, Kundu K, Murthy N, Kepler TB, Malissen B and Pulendran B: The T helper type 2 response to cysteine proteases requires dendritic cell-basophil cooperation via ROS-mediated signaling. Nat Immunol. 11:608–617. 2010. View Article : Google Scholar : PubMed/NCBI | |
|
Hansdottir S, Monick MM, Lovan N, Powers L, Gerke A and Hunninghake GW: Vitamin D decreases respiratory syncytial virus induction of NF-kappaB-linked chemokines and cytokines in airway epithelium while maintaining the antiviral state. J Immunol. 184:965–974. 2010. View Article : Google Scholar | |
|
Geldmeyer-Hilt K, Heine G, Hartmann B, Baumgrass R, Radbruch A and Worm M: 1,25-dihydroxyvitamin D(3) impairs NF-kappaB activation in human naive B cells. Biochem Biophys Res Commun. 407:699–702. 2011. View Article : Google Scholar : PubMed/NCBI |