Spandidos Publications Logo
  • About
    • About Spandidos
    • Aims and Scopes
    • Abstracting and Indexing
    • Editorial Policies
    • Reprints and Permissions
    • Job Opportunities
    • Terms and Conditions
    • Contact
  • Journals
    • All Journals
    • Oncology Letters
      • Oncology Letters
      • Information for Authors
      • Editorial Policies
      • Editorial Board
      • Aims and Scope
      • Abstracting and Indexing
      • Bibliographic Information
      • Archive
    • International Journal of Oncology
      • International Journal of Oncology
      • Information for Authors
      • Editorial Policies
      • Editorial Board
      • Aims and Scope
      • Abstracting and Indexing
      • Bibliographic Information
      • Archive
    • Molecular and Clinical Oncology
      • Molecular and Clinical Oncology
      • Information for Authors
      • Editorial Policies
      • Editorial Board
      • Aims and Scope
      • Abstracting and Indexing
      • Bibliographic Information
      • Archive
    • Experimental and Therapeutic Medicine
      • Experimental and Therapeutic Medicine
      • Information for Authors
      • Editorial Policies
      • Editorial Board
      • Aims and Scope
      • Abstracting and Indexing
      • Bibliographic Information
      • Archive
    • International Journal of Molecular Medicine
      • International Journal of Molecular Medicine
      • Information for Authors
      • Editorial Policies
      • Editorial Board
      • Aims and Scope
      • Abstracting and Indexing
      • Bibliographic Information
      • Archive
    • Biomedical Reports
      • Biomedical Reports
      • Information for Authors
      • Editorial Policies
      • Editorial Board
      • Aims and Scope
      • Abstracting and Indexing
      • Bibliographic Information
      • Archive
    • Oncology Reports
      • Oncology Reports
      • Information for Authors
      • Editorial Policies
      • Editorial Board
      • Aims and Scope
      • Abstracting and Indexing
      • Bibliographic Information
      • Archive
    • Molecular Medicine Reports
      • Molecular Medicine Reports
      • Information for Authors
      • Editorial Policies
      • Editorial Board
      • Aims and Scope
      • Abstracting and Indexing
      • Bibliographic Information
      • Archive
    • World Academy of Sciences Journal
      • World Academy of Sciences Journal
      • Information for Authors
      • Editorial Policies
      • Editorial Board
      • Aims and Scope
      • Abstracting and Indexing
      • Bibliographic Information
      • Archive
    • International Journal of Functional Nutrition
      • International Journal of Functional Nutrition
      • Information for Authors
      • Editorial Policies
      • Editorial Board
      • Aims and Scope
      • Abstracting and Indexing
      • Bibliographic Information
      • Archive
    • International Journal of Epigenetics
      • International Journal of Epigenetics
      • Information for Authors
      • Editorial Policies
      • Editorial Board
      • Aims and Scope
      • Abstracting and Indexing
      • Bibliographic Information
      • Archive
    • Medicine International
      • Medicine International
      • Information for Authors
      • Editorial Policies
      • Editorial Board
      • Aims and Scope
      • Abstracting and Indexing
      • Bibliographic Information
      • Archive
  • Articles
  • Information
    • Information for Authors
    • Information for Reviewers
    • Information for Librarians
    • Information for Advertisers
    • Conferences
  • Language Editing
Spandidos Publications Logo
  • About
    • About Spandidos
    • Aims and Scopes
    • Abstracting and Indexing
    • Editorial Policies
    • Reprints and Permissions
    • Job Opportunities
    • Terms and Conditions
    • Contact
  • Journals
    • All Journals
    • Biomedical Reports
      • Information for Authors
      • Editorial Policies
      • Editorial Board
      • Aims and Scope
      • Abstracting and Indexing
      • Bibliographic Information
      • Archive
    • Experimental and Therapeutic Medicine
      • Information for Authors
      • Editorial Policies
      • Editorial Board
      • Aims and Scope
      • Abstracting and Indexing
      • Bibliographic Information
      • Archive
    • International Journal of Epigenetics
      • Information for Authors
      • Editorial Policies
      • Editorial Board
      • Aims and Scope
      • Abstracting and Indexing
      • Bibliographic Information
      • Archive
    • International Journal of Functional Nutrition
      • Information for Authors
      • Editorial Policies
      • Editorial Board
      • Aims and Scope
      • Abstracting and Indexing
      • Bibliographic Information
      • Archive
    • International Journal of Molecular Medicine
      • Information for Authors
      • Editorial Policies
      • Editorial Board
      • Aims and Scope
      • Abstracting and Indexing
      • Bibliographic Information
      • Archive
    • International Journal of Oncology
      • Information for Authors
      • Editorial Policies
      • Editorial Board
      • Aims and Scope
      • Abstracting and Indexing
      • Bibliographic Information
      • Archive
    • Medicine International
      • Information for Authors
      • Editorial Policies
      • Editorial Board
      • Aims and Scope
      • Abstracting and Indexing
      • Bibliographic Information
      • Archive
    • Molecular and Clinical Oncology
      • Information for Authors
      • Editorial Policies
      • Editorial Board
      • Aims and Scope
      • Abstracting and Indexing
      • Bibliographic Information
      • Archive
    • Molecular Medicine Reports
      • Information for Authors
      • Editorial Policies
      • Editorial Board
      • Aims and Scope
      • Abstracting and Indexing
      • Bibliographic Information
      • Archive
    • Oncology Letters
      • Information for Authors
      • Editorial Policies
      • Editorial Board
      • Aims and Scope
      • Abstracting and Indexing
      • Bibliographic Information
      • Archive
    • Oncology Reports
      • Information for Authors
      • Editorial Policies
      • Editorial Board
      • Aims and Scope
      • Abstracting and Indexing
      • Bibliographic Information
      • Archive
    • World Academy of Sciences Journal
      • Information for Authors
      • Editorial Policies
      • Editorial Board
      • Aims and Scope
      • Abstracting and Indexing
      • Bibliographic Information
      • Archive
  • Articles
  • Information
    • For Authors
    • For Reviewers
    • For Librarians
    • For Advertisers
    • Conferences
  • Language Editing
Login Register Submit
  • This site uses cookies
  • You can change your cookie settings at any time by following the instructions in our Cookie Policy. To find out more, you may read our Privacy Policy.

    I agree
Search articles by DOI, keyword, author or affiliation
Search
Advanced Search
presentation
International Journal of Molecular Medicine
Join Editorial Board Propose a Special Issue
Print ISSN: 1107-3756 Online ISSN: 1791-244X
Journal Cover
February-2016 Volume 37 Issue 2

Full Size Image

Sign up for eToc alerts
Recommend to Library

Journals

International Journal of Molecular Medicine

International Journal of Molecular Medicine

International Journal of Molecular Medicine is an international journal devoted to molecular mechanisms of human disease.

International Journal of Oncology

International Journal of Oncology

International Journal of Oncology is an international journal devoted to oncology research and cancer treatment.

Molecular Medicine Reports

Molecular Medicine Reports

Covers molecular medicine topics such as pharmacology, pathology, genetics, neuroscience, infectious diseases, molecular cardiology, and molecular surgery.

Oncology Reports

Oncology Reports

Oncology Reports is an international journal devoted to fundamental and applied research in Oncology.

Experimental and Therapeutic Medicine

Experimental and Therapeutic Medicine

Experimental and Therapeutic Medicine is an international journal devoted to laboratory and clinical medicine.

Oncology Letters

Oncology Letters

Oncology Letters is an international journal devoted to Experimental and Clinical Oncology.

Biomedical Reports

Biomedical Reports

Explores a wide range of biological and medical fields, including pharmacology, genetics, microbiology, neuroscience, and molecular cardiology.

Molecular and Clinical Oncology

Molecular and Clinical Oncology

International journal addressing all aspects of oncology research, from tumorigenesis and oncogenes to chemotherapy and metastasis.

World Academy of Sciences Journal

World Academy of Sciences Journal

Multidisciplinary open-access journal spanning biochemistry, genetics, neuroscience, environmental health, and synthetic biology.

International Journal of Functional Nutrition

International Journal of Functional Nutrition

Open-access journal combining biochemistry, pharmacology, immunology, and genetics to advance health through functional nutrition.

International Journal of Epigenetics

International Journal of Epigenetics

Publishes open-access research on using epigenetics to advance understanding and treatment of human disease.

Medicine International

Medicine International

An International Open Access Journal Devoted to General Medicine.

Journal Cover
February-2016 Volume 37 Issue 2

Full Size Image

Sign up for eToc alerts
Recommend to Library

  • Article
  • Citations
    • Cite This Article
    • Download Citation
    • Create Citation Alert
    • Remove Citation Alert
    • Cited By
  • Similar Articles
    • Related Articles (in Spandidos Publications)
    • Similar Articles (Google Scholar)
    • Similar Articles (PubMed)
  • Download PDF
  • Download XML
  • View XML
Article

Damage to dopaminergic neurons is mediated by proliferating cell nuclear antigen through the p53 pathway under conditions of oxidative stress in a cell model of Parkinson's disease

  • Authors:
    • Da-Wei Li
    • Guang-Ren Li
    • Bei-Lin Zhang
    • Jing-Jing Feng
    • Hua Zhao
  • View Affiliations / Copyright

    Affiliations: Neuroscience Research Center, The First Hospital of Jilin University, Changchun, Jilin 130021, P.R. China, Department of Neurology, The Third Hospital of Jilin University, Changchun, Jilin 130021, P.R. China, Department of Physiology, College of Basic Medical Sciences, Jilin University, Changchun, Jilin 130021, P.R. China
  • Pages: 429-435
    |
    Published online on: December 10, 2015
       https://doi.org/10.3892/ijmm.2015.2430
  • Expand metrics +
Metrics: Total Views: 0 (Spandidos Publications: | PMC Statistics: )
Metrics: Total PDF Downloads: 0 (Spandidos Publications: | PMC Statistics: )
Cited By (CrossRef): 0 citations Loading Articles...

This article is mentioned in:



Abstract

Oxidative stress is widely considered as a central event in the pathogenesis of Parkinson's disease (PD). The mechanisms underlying the oxidative damage-mediated loss of dopaminergic neurons in PD are not yet fully understood. Accumulating evidence has indicated that oxidative DNA damage plays a crucial role in programmed neuronal cell death, and is considered to be at least partly responsible for the degeneration of dopaminergic neurons in PD. This process involves a number of signaling cascades and molecular proteins. Proliferating cell nuclear antigen (PCNA) is a pleiotropic protein affecting a wide range of vital cellular processes, including chromatin remodelling, DNA repair and cell cycle control, by interacting with a number of enzymes and regulatory proteins. In the present study, the exposure of PC12 cells to 1-methyl-4-phenylpyridinium (MPP+) led to the loss of cell viability and decreased the expression levels of PCNA in a dose- and time-dependent manner, indicating that this protein may be involved in the neurotoxic actions of MPP+ in dopaminergic neuronal cells. In addition, a significant upregulation in p53 expression was also observed in this cellular model of PD. p53 is an upstream inducer of PCNA and it has been recognized as a key contributor responsible for dopaminergic neuronal cell death in mouse models of 1-methyl-4-phenyl-1,2,3,6-tetrahydropyridine (MPTP)-induced PD. This indicates that MPP+-induced oxidative damage is mediated by the downregulation of PCNA through the p53 pathway in a cellular model of PD. Thus, our results may provide some novel insight into the molecular mechanisms responsible for the development of PD and provide new possible therapeutic targets for the treatment of PD.

Introduction

Parkinson's disease (PD) is a common and chronic neurode-generative disorder caused by the selective and progressive loss of dopaminergic neurons in the substantia nigra, leading to a depletion of the dopamine neurotransmitter in the striatum (1). While the etiology remains unclear, environmental toxins such as 1-methyl-4-phenyl-1,2,3,6-tetrahydropyridine (MPTP; a lipophilic molecule that rapidly crosses the blood-brain barrier), have been suggested to be involved in the pathogenesis of PD (2–5). Having crossed the barrier, it is oxidized in the brain to its toxic metabolite, 1-methyl-4-phenylpyridinium (MPP+), by monoamine oxidase type B (MAO-B) (6). MPP+ then enters the dopaminergic neurons via the dopamine transporter and is transported to the mitochondria where it causes the inhibition of mitochondrial respiration and energy depletion, by interacting with the respiration complex I (7), leading to reactive oxygen species (ROS) production (8–11). ROS production is widely recognized as a major initiator triggering sequential events leading to the degeneration of dopaminergic neurons (12–15). Postmortem studies of the brains of patients with PD have shown increased levels of 4-hydroxy-2-nonenal (HNE), a by-product of lipid peroxidation (16,17) and carbonyl modifications of soluble proteins (18), supporting the involvement of oxidative damage in dopaminergic neuron degeneration. The well-known parkinsonism inducers, MPTP, rotenone and 6-hydroxydopamine (6-OHDA) have been shown to cause ROS production and the degeneration of dopaminergic neurons in animal models, further supporting the involvement of oxidative stress in the pathogenesis of PD (19–23). The molecular mechanisms responsible for the gradual loss of dopaminergic neurons under conditions of oxidative stress are not yet fully understood.

However, DNA damage-mediated cell death has been suggested to be associated with neuronal cell death in PD (24). This is supported by analyses showing selective increases in levels of DNA and RNA oxidation products, 8-hydroxy-deoxyguanosine and 8-hydroxy-guanosine, in the substantia nigra during postmortem studies of brains affected by PD (25,26). Oxidative DNA damage has also been observed in the brains tissue of mice exposed to MPTP and other neuronal toxins that induce a PD-like pathology (27). Proliferating cell nuclear antigen (PCNA) is a well known determinant of DNA biological function, including DNA replication and repair, as well as cell cycle control (28,29), and thus plays a crucial role in maintaining in the integrity of the genome, as well as cell survival. Previous studies have shown that PCNA plays a role in the repair of DNA damage under conditions of oxidative stress (30,31). In this study, we examined the changes in the levels of this protein in MPP+-stimulated PC12 cells, in order to identify potential causes of dopaminergic neuron degeneration and to elucidate the underlying molecular mechanisms. Our results demonstrated that MPP+ induced the loss of cell viability and the apoptosis of dopaminergic neuronal cells, in a time- and dose-dependent manner. MPP+ also decreased PCNA protein expression, and this was accompanied by the impairment of PC12 cells, suggesting a correlation between the levels of this protein and damage to PC12 cells under conditions of oxidative stress. Notably, MPP+ induced the significant upregulation of p53 expression, which is an upstream modulator of PCNA and has been recognized as a key contributor responsible for dopaminergic neuronal cell death in mouse models of MPTP-induced PD (32,33). Overall, these findings indicate that PCNA may play a crucial role in oxidative stress-induced damage to dopaminergic neurons, thus, providing a therapeutic target for molecular-based strategies in the treatment of PD.

Materials and methods

Drugs and chemicals

All reagents and chemicals were purchased from Sigma-Aldrich (St. Louis, MO, USA) unless stated otherwise.

Cell culture

The rat adrenal pheochromocytoma cell line, PC12, was purchased from the Cell Bank of the Chinese Academy of Sciences (Shanghai, China). The cells were maintained in high glucose Dulbecco's modified Eagle's medium (DMEM) supplemented with 100 U/ml of penicillin, 100 µg/ml of streptomycin, 4 mM L-glutamine and 10% inactivated fetal serum, (Gibco, Grand Island, NY, USA). The cultures were maintained in a 5% CO2 incubator at 37°C.

Cell viability assay

The viability of the PC12 cells was evaluated using the modified 3-(4,5-dimethylthiazol-2-yl)-2,5-diphenyltet-razolium bromide (MTT) assay. MTT is reduced by metabolically active cells to form blue formazan crystals. The PC12 cells were plated on 96-well plates at a density of 30,000 cells/cm2 and incubated for 24 h. To assess the toxicity of MPP+ to the PC12 cells, the cells were exposed to various concentrations of MPP+ (0.5, 1 and 2 mM). MTT solution (5 mg/ml) was then added to each well and the cells were incubated for 4 h. The culture medium was removed, and the formazan crystals were dissolved in dimethyl sulfoxide (DMSO). The absorbance of the colored solution was measured at 570 nm using a microplate reader (Epoch; BioTek, Winooski, VT, USA). The results are expressed as a percentage of the absorbance of the control culture wells (cells not exposed to MPP+). The experiment was repeated 3 times.

Nuclear staining assay

Morphological changes in the cell nuclei induced by MPP+ were evaluated using acridine orange/ethidium bromide (AO/EB) staining. The PC12 cells were plated on 6-well plates at a density of 30,000 cells/cm2 and incubated in DMEM for 24 h. Following exposure to 1 mM MPP+ for 48 h, the cells were washed and resuspended in phosphate-buffered saline (PBS) followed by the addition of AO/EB (final concentration 1 µg/ml). The cells were then examined under a fluorescence microscope (IX71; Olympus Corp., Tokyo, Japan). Living cells with intact structures were stained green, whereas early apoptotic cells exhibited condensed green nuclei, and late apoptotic cells exhibited condensed red-orange chromatin. At least 300 cells were randomly observed and the number of apoptotic cells is expressed as a percentage of the total number of cells counted.

DNA fragmentation assay

DNA denaturation in the apoptotic cells was determined by a single-stranded DNA (ssDNA) assay using an ssDNA apoptosis enzyme-linked immunosorbent assay (ELISA) kit (Chemicon International, Temecula, CA, USA), according to the manufacturer's instructions. This procedure is based on the ability of a monoclonal antibody to detect ssDNA in apoptotic cells but not in necrotic cells. The cells at a concentration of 30,000 cells/cm2 were cultured for 24 h, followed by treatment with various concentrations (0.5, 1, 2 mM) of MPP+. Following 24 h of incubation, the staining of ssDNA was performed, and ssDNA fragmentation was determined by measuring the absorbance at a wavelength of 405 nm using a microplate reader (Epoch; BioTek).

Measurement of oxidative stress

Oxidative stress was measured in the PC12 cells using 2′-7′-dichlorofluorescein diacetate (DCFH-DA) based on the ROS-dependent oxidation of DCFH-DA to fluorescent dichlorofluorescein (DCF). DCFH-DA easily crosses the membrane into cells and is converted into non-fluorescent dichlorofluorescein (DCFH) by intracellular esterase. DCFH is then oxidized into highly fluorescent DCF by intracellular ROS, thereby the density of fluorescence reflects an overall index of oxidative activity. Following exposure, the cells were incubated in bovine serum albumin (BSA)-free DMEM with DCFH-DA at a final concentration of 20 µM for 30 min at 37°C. Thereafter, the cells in each group were analyzed by flow cytometry using the FL1 flow cytometer detection channels (BD Biosciences, San Jose, CA, USA). The excitation wavelength was 485 nm and the reading was performed at 530 nm.

Western blot analysis

Following exposure to MPP+, the PC12 cells were harvested and lysed with cell lysis solution containing 4% sodium dodecyl sulfate (SDS), 2 mM EDTA, 50 mM Tris-HCl (pH 6.8). Equal amounts of protein were loaded onto a 12% SDS-polyacrylamide gel. Following electrophoretic separation, the gels were transferred onto PVDF membranes (Amersham Biosciences, Uppsala, Sweden). The membranes were subsequently incubated in Tris-buffered saline/Tween-20 (TBST) buffer supplemented with 5% fat-free milk for 1 h. The membranes were then blotted with mouse monoclonal anti-rat PCNA antibodies (Cat. no. 610664; BD Biosciences) and mouse monoclonal anti-rat p53 antibodies (Cat. no. 554157; BD Biosciences), and horseradish peroxidase-conjugated anti-mouse secondary antibodies (Cat. no. R-21455; Pierce Biotechnology, Inc., Rockford, IL, USA) were used as the secondary antidodies. β-actin was used as an internal control.

Statistic analysis

Data are expressed as the means ± SEM. Statistical analysis was performed using one-way analysis of variance (ANOVA) or a Student's t-test. A value of P<0.05 was considered to indicate a statistically significant difference.

Results

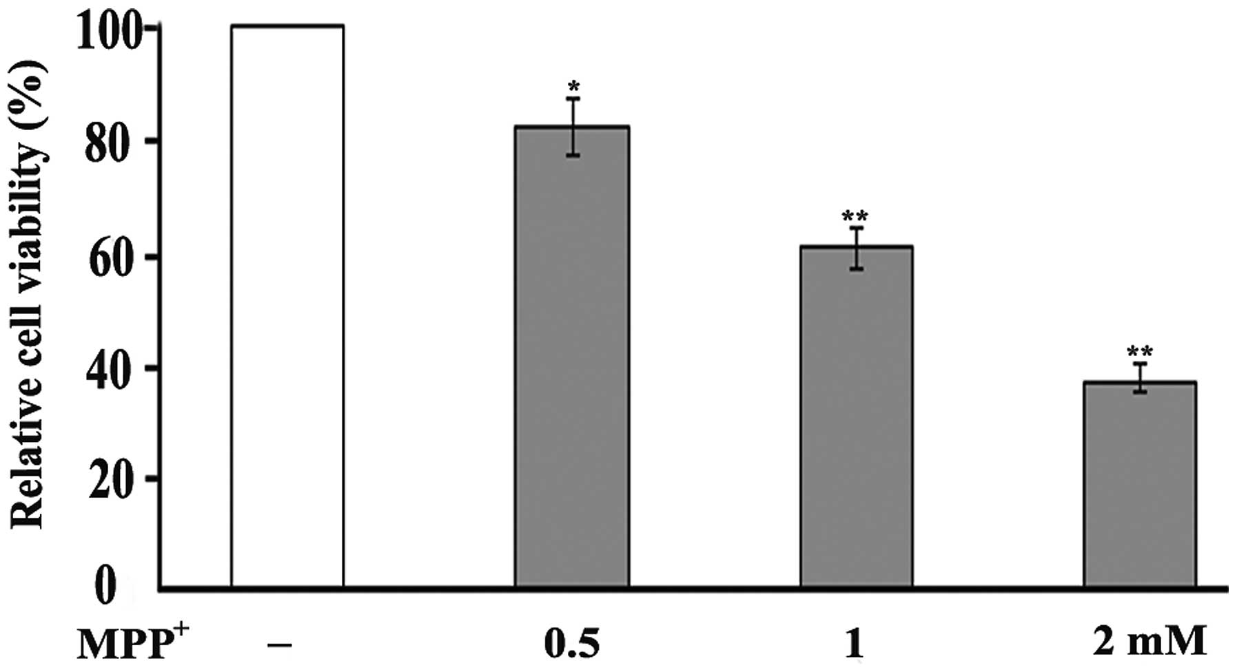
MPP+ induces the loss of the viability of PC12 cells

The oxidative damage induced by MPP+ to the PC12 cells was examined by MTT assay, a colorimetric assay used for measuring the activity of mitochondrial dehydrogenases in metabolically active cells. The measurements revealed a decrease in cell viability following the exposure of PC12 cells to MPP+ in a dose-dependent manner. Following 48 h of exposure to 0.5 mM MPP+, cell viability was reduced to 82% of the control, while exposure to 1 and 2 mM MPP+ decreased cell viability to 61 and 37% of the control, respectively (Fig. 1).

Figure 1

1-Methyl-4-phenylpyridinium (MPP+) reduces the viability of PC12 cells. PC12 cells were exposed to the indicated concentrations of MPP+ for 48 h. Cell viability was determined by an MTT assay as described in the Materials and methods. Data are presented as the means ± SEM of 3 independent experiments performed in sixplicate. *P<0.05 or **P<0.01 vs. control (no exposure).

MPP+ induces the apoptosis of dopaminergic neurons

To examine the MPP+-induced apoptosis of the PC12 cells, an AO/EB staining assay and a DNA fragmentation assay were performed. Apoptosis is a process of programmed cell death characterized by a series of distinct nuclear morphological changes, which can be detected by AO/EB staining. Exposure to MPP+ significantly increased the percentage of apoptotic cells in a concentration-dependent manner (Fig. 2). To further examine the toxic effects of MPP+ on the PC12 cells, DNA fragmentation was investigated by an ssDNA assay. The results revealed an increase in DNA fragmentation following exposure to MPP+ (Fig. 3), thus incating that MPP+ is toxic to PC12 cells.

Figure 2

Effect of 1-methyl-4-phenylpyridinium (MPP+) on neuronal cell apoptosis. (A) PC12 cells were exposed to the indicated concentrations of MPP+ for 48 h, then apoptosis was analyzed using the acridine orange/ethidium bromide staining (AO/EB) assay. (B) The histograms show the percentage of apoptotic cells. Data are presented as the means ± SEM. n=3 experiments. *P<0.05 or **P<0.01 vs. control (no exposure).

Figure 3

Determination of the effects of MPP+ on the apoptosis of PC12 cells using a single-stranded DNA assay. The histograms show the percentage of cells with DNA fragmentation. Data are presented as the means ± SEM. n=3 experiments. *P<0.05 or **P<0.01 vs. control (no exposure).

MPP+ induces the production of ROS

To determine whether MPP+-induced damage is mediated by oxidative damage in PC12 cells, the level of ROS production was evaluated by flow cytometry with DCFH-DA. DCFH-DA is a stable compound that easily diffuses into cells where it is converted into DCFH by intracellular esterase. DCFH is then trapped within cells and oxidized to highly fluorescent DCF by intracellular ROS; thereby, the intensity of the fluorescence produced by DCF may reflect an intracellular oxidative state. Exposure to MPP+ induced a significant increase in DCFH oxidation in the PC12 cells (Fig. 4), which supports the hypothesis that oxidative damage is involved in the degeneration of dopaminergic neurons.

Figure 4

Effects of 1-methyl-4-phenylpyridinium (MPP+) on reactive oxygen species (ROS) production. PC12 cells were exposed to the indicated concentrations of MPP+ for 48 h. The production of ROS in the cells was measured by flow cytometry with DCFH-DA. The graphs display the relative levels of ROS production compared with the control (cells not exposed to MPP+). Data are presented as the means ± SEM. n=3 experiments. **P<0.01 vs. control.

MPP+ decreases PCNA expression in dopaminergic neuronal cells

To determine whether PCNA is involved in dopaminergic neuronal cell death under conditions of oxidative stress, the expression levels of PCNA were measured in a cellular model of MPP+-induced PD. Firstly, we examined whether MPP+ induced toxicity to the PC12 cells in a time-dependent manner. The PC12 cells were exposed to 1 mM MPP+, and then cell viability was determined after 12, 24 and 48 h by an MTT assay. The results revealed that exposure of the PC12 cells to 1 mM MPP+ for 12 h caused cell viability to decrease to 87% of the control, whereas exposure for 24 and 48 h decreased cell viability to 77 and 61% of the control, respectively (Fig. 5A). In addition, exposure to 1 mM MPP+ reduced PCNA protein expression in the PC12 cells. Consistent with the changes observed in cell viability, PCNA expression was decreased from 12 h and further decreased until 48 h following exposure to 1 mM MPP+ in the PC12 cells (Fig. 5B), thus indicating that PCNA is involved in the MPP+-induced degeneration of dopaminergic neurons.

Figure 5

1-Methyl-4-phenylpyridinium (MPP+) reduces cell viability and proliferating cell nuclear antigen (PCNA) expression. (A) PC12 cells were exposed to 1 mM MPP+, then the cell viability was determined after 12, 24 and 48 h using an MTT assay. Data are presented as the means ± SEM of 3 independent experiments performed in sixplicate. Error bars represent the means ± SEM (*P<0.05 and **P<0.01). (B) PCNA protein expression in PC12 cells exposed to 1 mM MPP+ for the indicated periods of time was determined by western blot analysis. Actin expression was used as a loading control.

MPP+ increases the epression of p53 in dopaminergic neurons

In order to elucidate the mechanisms through which MPP+ decreases PCNA expression in MPP+-exposed PC12 cells, we examined a well-known PCNA upstream regulator, p53. p53 has been suggested to play a pivotal role in dopaminergic neuronal cell death in a mouse model of MPTP-induced PD (33,34), and transcriptional activation is the principal mechanism through which PCNA expression is regulated. Our results revealed that p53 expression was upregulated following exposure to 0.5 mM MPP+ and further upregulated following exposure to 1 and 2 mM MPP+ in the PC12 cells (Fig. 6A). In contrast to p53 expression, PCNA expression was decreased in a dose-dependent manner following exposure to the indicated concentrations of MPP+ (Fig. 6B), suggesting a negative correlation between p53 and PCNA expression under conditions of oxidative stress. This further indicates that MPP+-induced oxidative damage is mediated by the downregulation of PCNA through the p53 pathway in a cellular model of PD.

Figure 6

Expression levels of proliferating cell nuclear antigen (PCNA) and p53 in 1-methyl-4-phenylpyridinium (MPP+)-exposed PC12 cells. PC12 cells were exposed to 1 mM MPP+ for 48 h. The expression levels of (A) p53 and (B) PCNA were determined by western blot analysis, and actin expression was used as a loading control.

Discussion

In this study, we demonsrated that the pleio tropic protein PCNA is involved in the damage to dopaminergic neurons in neurodegenerative conditions, and that the downregulated expression of this protein may be mediated by the p53 signaling pathway. PCNA is an essential protein involved in DNA replication and repair (35), and the dysregulation of its expression may aggravate oxidative stress-induced DNA damage, a central event involved in the neuronal cell death in PD (25). The downregulation of PCNA is at least partly responsible for the DNA damage-mediated death of dopaminergic neurons, thus providing a potential target for the molecular-based therapeutic management of PD.

PD is a common neurodegenerative movement disorder, clinically characterized by rigidity, resting tremor, bradykinesia and postural instability, caused by the degeneration and death of dopaminergic neurons in the pars compacta of the substantia nigra (36). Although the cellular and molecular mechanisms underlying the loss of dopaminergic neurons in PD remain unclear, accumulating evidence indicates that increased levels of oxidative stress play a crucial role in triggering a programmed cell death cascade, involved in the pathogenesis of PD (24,37). Oxidative damage is a pathological event responsible for a number of human diseases, including cardiovascular, metabolic, inflammatory and neurodegenerative diseases, as well as cancer (25,27,38–41). Dopaminergic neurons are more prone to oxidative damage due to high levels of lipids, iron as well as dopamine metabolism (42–51). Oxidative stress is mainly elicited by the excessive production of ROS, including hydrogen peroxide (H2O2), superoxide anion and hydroxyl radical (52–54). The overproduction of ROS damages nucleic acids, including DNA and RNA, finally causing cell death. This pathological mechanism is thought to be at least partly responsible for the death of dopaminergic neurons in PD. Postmortem studies on PD-affected brains and on brain tissue from mice exposed to MPTP and other neuronal toxins that induce a PD-like pathology have shown increased oxidative DNA damage, selectively targeting dopaminergic neurons of substantia nigra pars compacta (25,27), strongly implicating DNA damage-induced cell death as a causative factor of PD. DNA is the most important determinant of cell survival and death. Replication and repair are required for DNA integrity, since DNA is frequently subjected to damage by endogenous and environmental toxic agents (55). Under pathological conditions, numerous mechanisms are involved in DNA repair to protect against DNA damage (56,57). PCNA is an essential protein in DNA replication, and its function was originally described as the auxiliary protein of DNA polymerases (35). However, PCNA has also been shown to affect multiple vital cellular processes, including chromatin remodeling, DNA repair and cell cycle control (35,58). PCNA has no intrinsic enzymatic activity, and its complex role in cells depends on its capacity to regulate other proteins. PCNA interacts with a wide range of enzymes and regulatory proteins, such as cyclin-dependent kinases (CDKs) (59) or the CDK inhibitor p21/waf1 (60), which allows this protein to modulate a wide range of biological functions. In differentiated neutrophils, for example, it was found that cytoplasmic PCNA sequesters procaspases and prevents their activation, promoting the cell survival (61). Additionally, PCNA plays a crucial role in the repair of DNA damage under conditions of oxidative stress (30,31). In this study, we found that the neurotoxin, MPP+, a well-established inducer of parkinsonism-like symptoms in humans and primates, induced an increase in ROS productino and in the number of apoptotic dopaminergic neurons, supporting the involvement of oxidative stress in the pathogenesis of PD. Importantly, exposure to MPP+ also decreased the expression level of PCNA in a time- and dose-dependent manner, suggesting the involvement of PCNA in MPP+-induced neuronal toxicity in PD. The downregulation of this protein may aggravate DNA damage under pathological conditions due to the crucial role of PCNA in maintaining DNA integrity against various insults including oxidative damage. However, the mechanisms responsible for this change in PCNA expression in a cellular model of MPP+-induced PD remain unclear.

The transcription factor p53 modulates a set of target genes that are involved in a wide range of cellular processes, including cell cycle progression, DNA repair, apoptosis and cellular stress responses (62–65). p53-dependent apoptosis in neuronal cells is mainly mediated by DNA damage (66,67). The overproduction of ROS activates p53, leading to further DNA damage under conditions of oxidative stress. It is well known that p53 is an upstream inducer of PCNA. The interaction of p53 with the PCNA promoter, the specific sequence for the p53 binding site, regulates the production of this protein. Higher concentrations of wild-type p53 inhibit the PCNA promoter and reduce PCNA expression (68,69). Evidence has indicated that p53 is upregulated and plays a pivotal role in dopaminergic neuronal cell death in mouse models of MPTP-induced PD (33,34). It has been demonstrated that p53 inhibitors are highly effective in reducing damage to dopaminergic neurons and in preserving motor function in a mouse model of PD (33). Consistent with these reports, our results demonstrated that MPP+ significantly increased p53 expression in dopaminergic neuronal cells, supporting the involvement of p53 in the pathogenesis of PD. In addition, a decrease in PCNA expression was also observed in the cells exposed to MPP+, and this expression pattern is in contrast to that of p53 expression, suggesting a negative correlation between p53 and PCNA expression under conditions of oxidative stress. Taken together, these findings suggest that a PCNA-dependent apoptotic pathway is a potential molecular mechanism that is involved in neuronal cell death in PD, and the p53 signaling pathway is also implicated in this process.

In the present study, we present evidence that MPP+-induced oxidative damage is mediated by the downregulation of PCNA through the p53 pathway in a cellular model of PD. The cellular and molecular mechanisms responsible for the effects of PCNA on dopaminergic neurons require further elucidation, and may provide a potential and efficient therapeutic target for molecular-based strategies for the treatment of PD.

Abbreviations:

PD

Parkinson's disease

ROS

reactive oxygen species

MPP+

1-methyl-4-phenylpyridinium

MPTP

1-methyl-4-phenyl-1,2,3,6-tetrahydropyridine

PCNA

proliferating cell nuclear antigen

DCF

2′7′-dichlorodihydrofluorescein

References

1 

Forno LS: Neuropathology of Parkinson's disease. J Neuropathol Exp Neurol. 55:259–272. 1996. View Article : Google Scholar : PubMed/NCBI

2 

Langston JW and Irwin I: MPTP: Current concepts and controversies. Clin Neuropharmacol. 9:485–507. 1986. View Article : Google Scholar : PubMed/NCBI

3 

Kopin IJ and Markey SP: MPTP toxicity: implications for research in Parkinson's disease. Annu Rev Neurosci. 11:81–96. 1988. View Article : Google Scholar : PubMed/NCBI

4 

Heikkila RE, Sieber BA, Manzino L and Sonsalla PK: Some features of the nigrostriatal dopaminergic neurotoxin 1-methyl-4-phenyl-1,2,3,6-tetrahydropyridine (MPTP) in the mouse. Mol Chem Neuropathol. 10:171–183. 1989. View Article : Google Scholar : PubMed/NCBI

5 

Calon F, Lavertu N, Lemieux AM, Morissette M, Goulet M, Grondin R, Blanchet PJ, Bédard PJ and Di Paolo T: Effect of MPTP-induced denervation on basal ganglia GABA(B) receptors: correlation with dopamine concentrations and dopamine transporter. Synapse. 40:225–234. 2001. View Article : Google Scholar : PubMed/NCBI

6 

Chiba K, Trevor A and Castagnoli N Jr: Metabolism of the neurotoxic tertiary amine, MPTP, by brain monoamine oxidase. Biochem Biophys Res Commun. 120:574–578. 1984. View Article : Google Scholar : PubMed/NCBI

7 

Javitch JA, D'Amato RJ, Strittmatter SM and Snyder SH: Parkinsonism-inducing neurotoxin, N-methyl-4-phenyl-1,2,3,6-tetrahydropyridine: uptake of the metabolite N-methyl-4-phenylpyridine by dopamine neurons explains selective toxicity. Proc Natl Acad Sci USA. 82:2173–2177. 1985. View Article : Google Scholar

8 

Akaneya Y, Takahashi M and Hatanaka H: Involvement of free radicals in MPP+ neurotoxicity against rat dopaminergic neurons in culture. Neurosci Lett. 193:53–56. 1995. View Article : Google Scholar : PubMed/NCBI

9 

Jenner P: Oxidative mechanisms in nigral cell death in Parkinson's disease. Mov Disord. 13(Suppl 1): 24–34. 1998.PubMed/NCBI

10 

Przedborski S and Vila M: The 1-methyl-4-phenyl-1,2,3,6-tetra-hydropyridine mouse model: a tool to explore the pathogenesis of Parkinson's disease. Ann N Y Acad Sci. 991:189–198. 2003. View Article : Google Scholar : PubMed/NCBI

11 

Segura Aguilar J and Kostrzewa RM: Neurotoxins and neurotoxic species implicated in neurodegeneration. Neurotox Res. 6:615–630. 2004. View Article : Google Scholar

12 

Schapira AH and Jenner P: Etiology and pathogenesis of Parkinson's disease. Mov Disord. 26:1049–1055. 2011. View Article : Google Scholar : PubMed/NCBI

13 

Zhu J and Chu CT: Mitochondrial dysfunction in Parkinson's disease. J Alzheimers Dis. 20(Suppl 2): S325–S334. 2010.PubMed/NCBI

14 

Parker WD Jr, Parks JK and Swerdlow RH: Complex I deficiency in Parkinson's disease frontal cortex. Brain Res. 1189:215–218. 2008. View Article : Google Scholar

15 

Jenner P and Olanow CW: The pathogenesis of cell death in Parkinson's disease. Neurology. 66(Suppl 4): S24–S36. 2006. View Article : Google Scholar : PubMed/NCBI

16 

Jenner P: Oxidative stress in Parkinson's disease. Ann Neurol. 53(Suppl 3): S26–S38. 2003. View Article : Google Scholar : PubMed/NCBI

17 

Yoritaka A, Hattori N, Uchida K, Tanaka M, Stadtman ER and Mizuno Y: Immunohistochemical detection of 4-hydroxynonenal protein adducts in Parkinson disease. Proc Natl Acad Sci USA. 93:2696–2701. 1996. View Article : Google Scholar : PubMed/NCBI

18 

Floor E and Wetzel MG: Increased protein oxidation in human substantia nigra pars compacta in comparison with basal ganglia and prefrontal cortex measured with an improved dinitrophenyl-hydrazine assay. J Neurochem. 70:268–275. 1998. View Article : Google Scholar : PubMed/NCBI

19 

Callio J, Oury TD and Chu CT: Manganese superoxide dismutase protects against 6-hydroxydopamine injury in mouse brains. J Biol Chem. 280:18536–18542. 2005. View Article : Google Scholar : PubMed/NCBI

20 

Vila M and Przedborski S: Targeting programmed cell death in neurodegenerative diseases. Nat Rev Neurosci. 4:365–375. 2003. View Article : Google Scholar : PubMed/NCBI

21 

Perier C, Bové J, Vila M and Przedborski S: The rotenone model of Parkinson's disease. Trends Neurosci. 26:345–346. 2003. View Article : Google Scholar : PubMed/NCBI

22 

Sun SY, An CN and Pu XP: DJ-1 protein protects dopaminergic neurons against 6-OHDA/MG-132-induced neurotoxicity in rats. Brain Res Bull. 88:609–616. 2012. View Article : Google Scholar : PubMed/NCBI

23 

Heikkila RE, Hess A and Duvoisin RC: Dopaminergic neurotoxicity of 1-methyl-4-phenyl-1,2,5,6-tetrahydropyridine in mice. Science. 224:1451–1453. 1984. View Article : Google Scholar : PubMed/NCBI

24 

Mattson MP: Apoptosis in neurodegenerative disorders. Nat Rev Mol Cell Biol. 1:120–129. 2000. View Article : Google Scholar

25 

Alam ZI, Jenner A, Daniel SE, Lees AJ, Cairns N, Marsden CD, Jenner P and Halliwell B: Oxidative DNA damage in the parkinsonian brain: an apparent selective increase in 8-hydroxyguanine levels in substantia nigra. J Neurochem. 69:1196–1203. 1997. View Article : Google Scholar : PubMed/NCBI

26 

Zhang J, Perry G, Smith MA, Robertson D, Olson SJ, Graham DG and Montine TJ: Parkinson's disease is associated with oxidative damage to cytoplasmic DNA and RNA in substantia nigra neurons. Am J Pathol. 154:1423–1429. 1999. View Article : Google Scholar : PubMed/NCBI

27 

Mandir AS, Przedborski S, Jackson-Lewis V, Wang ZQ, Simbulan-Rosenthal CM, Smulson ME, Hoffman BE, Guastella DB, Dawson VL and Dawson TM: Poly(ADP-ribose) polymerase activation mediates 1-methyl-4-phenyl-1, 2,3,6-tetra-hydropyridine (MPTP)-induced parkinsonism. Proc Natl Acad Sci USA. 96:5774–5779. 1999. View Article : Google Scholar

28 

Tan CK, Castillo C, So AG and Downey KM: An auxiliary protein for DNA polymerase-delta from fetal calf thymus. J Biol Chem. 261:12310–12316. 1986.PubMed/NCBI

29 

Prelich G, Tan CK, Kostura M, Mathews MB, So AG, Downey KM and Stillman B: Functional identity of proliferating cell nuclear antigen and a DNA polymerase-delta auxiliary protein. Nature. 326:517–520. 1987. View Article : Google Scholar : PubMed/NCBI

30 

Burkovics P, Hajdú I, Szukacsov V, Unk I and Haracska L: Role of PCNA-dependent stimulation of 3′-phosphodiesterase and 3′-5′ exonuclease activities of human Ape2 in repair of oxidative DNA damage. Nucleic Acids Res. 37:4247–4255. 2009. View Article : Google Scholar : PubMed/NCBI

31 

Amoroso A, Concia L, Maggio C, Raynaud C, Bergounioux C, Crespan E, Cella R and Maga G: Oxidative DNA damage bypass in Arabidopsis thaliana requires DNA polymerase λ and proliferating cell nuclear antigen 2. Plant Cell. 23:806–822. 2011. View Article : Google Scholar : PubMed/NCBI

32 

Hirata H and Cadet JL: p53-knockout mice are protected against the long-term effects of methamphetamine on dopaminergic terminals and cell bodies. J Neurochem. 69:780–790. 1997. View Article : Google Scholar : PubMed/NCBI

33 

Duan W, Zhu X, Ladenheim B, Yu QS, Guo Z, Oyler J, Cutler RG, Cadet JL, Greig NH and Mattson MP: p53 inhibitors preserve dopamine neurons and motor function in experimental parkinsonism. Ann Neurol. 52:597–606. 2002. View Article : Google Scholar : PubMed/NCBI

34 

Trimmer PA, Smith TS, Jung AB and Bennett JP Jr: Dopamine neurons from transgenic mice with a knockout of the p53 gene resist MPTP neurotoxicity. Neurodegeneration. 5:233–239. 1996. View Article : Google Scholar : PubMed/NCBI

35 

Moldovan GL, Pfander B and Jentsch S: PCNA, the maestro of the replication fork. Cell. 129:665–679. 2007. View Article : Google Scholar : PubMed/NCBI

36 

Samii A, Nutt JG and Ransom BR: Parkinson's disease. Lancet. 363:1783–1793. 2004. View Article : Google Scholar : PubMed/NCBI

37 

Li DW, Yao M, Dong YH, Tang MN, Chen W, Li GR and Sun BQ: Guanosine exerts neuroprotective effects by reversing mitochondrial dysfunction in a cellular model of Parkinson's disease. Int J Mol Med. 34:1358–1364. 2014.PubMed/NCBI

38 

Trachootham D, Alexandre J and Huang P: Targeting cancer cells by ROS-mediated mechanisms: a radical therapeutic approach? Nat Rev Drug Discov. 8:579–591. 2009. View Article : Google Scholar : PubMed/NCBI

39 

Martinon F: Signaling by ROS drives inflammasome activation. Eur J Immunol. 40:616–619. 2010. View Article : Google Scholar : PubMed/NCBI

40 

Bhat AH, Dar KB, Anees S, Zargar MA, Masood A, Sofi MA and Ganie SA: Oxidative stress, mitochondrial dysfunction and neurodegenerative diseases; a mechanistic insight. Biomed Pharmacother. 74:101–110. 2015. View Article : Google Scholar : PubMed/NCBI

41 

He F and Zuo L: Redox roles of reactive oxygen species in cardiovascular diseases. Int J Mol Sci. 16:27770–27780. 2015. View Article : Google Scholar : PubMed/NCBI

42 

Lotharius J and Brundin P: Pathogenesis of Parkinson's disease: dopamine, vesicles and alpha-synuclein. Nat Rev Neurosci. 3:932–942. 2002. View Article : Google Scholar : PubMed/NCBI

43 

Montine KS, Quinn JF, Zhang J, Fessel JP, Roberts LJ II, Morrow JD and Montine TJ: Isoprostanes and related products of lipid peroxidation in neurodegenerative diseases. Chem Phys Lipids. 128:117–124. 2004. View Article : Google Scholar : PubMed/NCBI

44 

Nagatsu T and Sawada M: Molecular mechanism of the relation of monoamine oxidase B and its inhibitors to Parkinson's disease: possible implications of glial cells. J Neural Transm Suppl. 71:53–65. 2006. View Article : Google Scholar

45 

Kumar MJ and Andersen JK: Perspectives on MAO-B in aging and neurological disease: where do we go from here? Mol Neurobiol. 30:77–89. 2004. View Article : Google Scholar : PubMed/NCBI

46 

Norris EH, Giasson BI, Hodara R, Xu S, Trojanowski JQ, Ischiropoulos H and Lee VM: Reversible inhibition of alpha-synuclein fibrillization by dopaminochrome-mediated conformational alterations. J Biol Chem. 280:21212–21219. 2005. View Article : Google Scholar : PubMed/NCBI

47 

Zecca L, Wilms H, Geick S, Claasen JH, Brandenburg LO, Holzknecht C, Panizza ML, Zucca FA, Deuschl G, Sievers J and Lucius R: Human neuromelanin induces neuroinflammation and neurodegeneration in the rat substantia nigra: implications for Parkinson's disease. Acta Neuropathol. 116:47–55. 2008. View Article : Google Scholar : PubMed/NCBI

48 

Sadrzadeh SM and Saffari Y: Iron and brain disorders. Am J Clin Pathol. 121(Suppl): S64–S70. 2004.PubMed/NCBI

49 

Jomova K and Valko M: Advances in metal-induced oxidative stress and human disease. Toxicology. 283:65–87. 2011. View Article : Google Scholar : PubMed/NCBI

50 

Núñez MT, Urrutia P, Mena N, Aguirre P, Tapia V and Salazar J: Iron toxicity in neurodegeneration. Biometals. 25:761–776. 2012. View Article : Google Scholar : PubMed/NCBI

51 

Lan J and Jiang DH: Desferrioxamine and vitamin E protect against iron and MPTP-induced neurodegeneration in mice. J Neural Transm. 104:469–481. 1997. View Article : Google Scholar : PubMed/NCBI

52 

Fang J, Seki T and Maeda H: Therapeutic strategies by modulating oxygen stress in cancer and inflammation. Adv Drug Deliv Rev. 61:290–302. 2009. View Article : Google Scholar : PubMed/NCBI

53 

Fruehauf JP and Meyskens FL Jr: Reactive oxygen species: a breath of life or death? Clin Cancer Res. 13:789–794. 2007. View Article : Google Scholar : PubMed/NCBI

54 

Day BJ: Catalytic antioxidants: A radical approach to new therapeutics. Drug Discov Today. 9:557–566. 2004. View Article : Google Scholar : PubMed/NCBI

55 

Nikitaki Z, Hellweg CE, Georgakilas AG and Ravanat JL: Stress-induced DNA damage biomarkers: applications and limitations. Front Chem. 3:352015. View Article : Google Scholar : PubMed/NCBI

56 

Aziz K, Nowsheen S, Pantelias G, Iliakis G, Gorgoulis VG and Georgakilas AG: Targeting DNA damage and repair: embracing the pharmacological era for successful cancer therapy. Pharmacol Ther. 133:334–350. 2012. View Article : Google Scholar

57 

Smolarz B, Wilczyński J and Nowakowska D: DNA repair mechanisms and human cytomegalovirus (HCMV) infection. Folia Microbiol (Praha). 60:199–209. 2015. View Article : Google Scholar

58 

Mailand N, Gibbs-Seymour I and Bekker-Jensen S: Regulation of PCNA-protein interactions for genome stability. Nat Rev Mol Cell Biol. 14:269–282. 2013. View Article : Google Scholar : PubMed/NCBI

59 

Koundrioukoff S, Jónsson ZO, Hasan S, de Jong RN, van der Vliet PC, Hottiger MO and Hübscher U: A direct interaction between proliferating cell nuclear antigen (PCNA) and Cdk2 targets PCNA-interacting proteins for phosphorylation. J Biol Chem. 275:22882–22887. 2000. View Article : Google Scholar : PubMed/NCBI

60 

Waga S, Hannon GJ, Beach D and Stillman B: The p21 inhibitor of cyclin-dependent kinases controls DNA replication by interaction with PCNA. Nature. 369:574–578. 1994. View Article : Google Scholar : PubMed/NCBI

61 

Witko-Sarsat V, Mocek J, Bouayad D, Tamassia N, Ribeil JA, Candalh C, Davezac N, Reuter N, Mouthon L, Hermine O, et al: Proliferating cell nuclear antigen acts as a cytoplasmic platform controlling human neutrophil survival. J Exp Med. 207:2631–2645. 2010. View Article : Google Scholar : PubMed/NCBI

62 

Polyak K, Xia Y, Zweier JL, Kinzler KW and Vogelstein B: A model for p53-induced apoptosis. Nature. 389:300–305. 1997. View Article : Google Scholar : PubMed/NCBI

63 

Mirza A, Wu Q, Wang L, McClanahan T, Bishop WR, Gheyas F, Ding W, Hutchins B, Hockenberry T, Kirschmeier P, et al: Global transcriptional program of p53 target genes during the process of apoptosis and cell cycle progression. Oncogene. 22:3645–3654. 2003. View Article : Google Scholar : PubMed/NCBI

64 

Vogelstein B, Lane D and Levine AJ: Surfing the p53 network. Nature. 408:307–310. 2000. View Article : Google Scholar : PubMed/NCBI

65 

Zhao R, Gish K, Murphy M, Yin Y, Notterman D, Hoffman WH, Tom E, Mack DH and Levine AJ: Analysis of p53-regulated gene expression patterns using oligonucleotide arrays. Genes Dev. 14:981–993. 2000.PubMed/NCBI

66 

Chipuk JE and Green DR: Dissecting p53-dependent apoptosis. Cell Death Differ. 13:994–1002. 2006. View Article : Google Scholar : PubMed/NCBI

67 

Culmsee C and Mattson MP: p53 in neuronal apoptosis. Biochem Biophys Res Commun. 331:761–777. 2005. View Article : Google Scholar : PubMed/NCBI

68 

Morris GF, Bischoff JR and Mathews MB: Transcriptional activation of the human proliferating-cell nuclear antigen promoter by p53. Proc Natl Acad Sci USA. 93:895–899. 1996. View Article : Google Scholar : PubMed/NCBI

69 

Shivakumar CV, Brown DR, Deb S and Deb SP: Wild-type human p53 transactivates the human proliferating cell nuclear antigen promoter. Mol Cell Biol. 15:6785–6793. 1995z. View Article : Google Scholar

Related Articles

  • Abstract
  • View
  • Download
  • Twitter
Copy and paste a formatted citation
Spandidos Publications style
Li D, Li G, Zhang B, Feng J and Zhao H: Damage to dopaminergic neurons is mediated by proliferating cell nuclear antigen through the p53 pathway under conditions of oxidative stress in a cell model of Parkinson's disease. Int J Mol Med 37: 429-435, 2016.
APA
Li, D., Li, G., Zhang, B., Feng, J., & Zhao, H. (2016). Damage to dopaminergic neurons is mediated by proliferating cell nuclear antigen through the p53 pathway under conditions of oxidative stress in a cell model of Parkinson's disease. International Journal of Molecular Medicine, 37, 429-435. https://doi.org/10.3892/ijmm.2015.2430
MLA
Li, D., Li, G., Zhang, B., Feng, J., Zhao, H."Damage to dopaminergic neurons is mediated by proliferating cell nuclear antigen through the p53 pathway under conditions of oxidative stress in a cell model of Parkinson's disease". International Journal of Molecular Medicine 37.2 (2016): 429-435.
Chicago
Li, D., Li, G., Zhang, B., Feng, J., Zhao, H."Damage to dopaminergic neurons is mediated by proliferating cell nuclear antigen through the p53 pathway under conditions of oxidative stress in a cell model of Parkinson's disease". International Journal of Molecular Medicine 37, no. 2 (2016): 429-435. https://doi.org/10.3892/ijmm.2015.2430
Copy and paste a formatted citation
x
Spandidos Publications style
Li D, Li G, Zhang B, Feng J and Zhao H: Damage to dopaminergic neurons is mediated by proliferating cell nuclear antigen through the p53 pathway under conditions of oxidative stress in a cell model of Parkinson's disease. Int J Mol Med 37: 429-435, 2016.
APA
Li, D., Li, G., Zhang, B., Feng, J., & Zhao, H. (2016). Damage to dopaminergic neurons is mediated by proliferating cell nuclear antigen through the p53 pathway under conditions of oxidative stress in a cell model of Parkinson's disease. International Journal of Molecular Medicine, 37, 429-435. https://doi.org/10.3892/ijmm.2015.2430
MLA
Li, D., Li, G., Zhang, B., Feng, J., Zhao, H."Damage to dopaminergic neurons is mediated by proliferating cell nuclear antigen through the p53 pathway under conditions of oxidative stress in a cell model of Parkinson's disease". International Journal of Molecular Medicine 37.2 (2016): 429-435.
Chicago
Li, D., Li, G., Zhang, B., Feng, J., Zhao, H."Damage to dopaminergic neurons is mediated by proliferating cell nuclear antigen through the p53 pathway under conditions of oxidative stress in a cell model of Parkinson's disease". International Journal of Molecular Medicine 37, no. 2 (2016): 429-435. https://doi.org/10.3892/ijmm.2015.2430
Follow us
  • Twitter
  • LinkedIn
  • Facebook
About
  • Spandidos Publications
  • Careers
  • Cookie Policy
  • Privacy Policy
How can we help?
  • Help
  • Live Chat
  • Contact
  • Email to our Support Team