Concentrated growth factor increases Schwann cell proliferation and neurotrophic factor secretion and promotes functional nerve recovery in vivo
- Authors:
- Published online on: December 18, 2015 https://doi.org/10.3892/ijmm.2015.2438
- Pages: 493-500
Abstract
Introduction
Dental implants are commonly used in dentistry to replace missing teeth. Despite the high success rate of dental implants, complications are often encountered. A lot of complications occur during the implant surgery, when vital structures such as the nerves, vessels and sinus space are injured. Of these complications, nerve injury is one of the most unpleasant and troublesome for both the patient and dentist (1). Nerve injury may occur during anesthetic injection, flap reflection, flap traction and implant osteotomy (2,3) in the inferior alveolar, mental and lingual nerves. Alteration in sensation manifests in the mucosa, lower lip and chin after the nerve injury, and ranges from mild numbness to complete anesthesia (2,3).
Generally, the first choice in treating the nerve injury is a combination of medication and physiotherapy (4). Common medication includes oral steroids to reduce neuritis and edema, vitamin B12 to promote regeneration of nerve terminals, and adenosine triphosphate (ATP) to increase blood flow by vasodilation (5). Physiotherapy, including laser therapy and hot-pack treatment, is also effective at increasing regional blood flow (5). However, as reported by Kim et al (4) these therapies are limited in their ability to treat nerve injury. Nearly 70% of patients with inferior alveolar nerve injury showed no improvement in sensation or dysesthesia with medication or physiotherapy, possibly due to the low plasma concentration of the medicine at the nerve injury sites and the short length of the physiotherapy treatment (4).
As an alternative treatment for nerve injury, growth factors have also been previously studied, owing to the modulatory role they play in the secretion of neurotrophic factors and proliferation of neural cells (6,7). An appropriate source for delivering growth factors is through platelet concentrates. Platelets are known to release a variety of growth factors, such as platelet-derived growth factor (PDGF), vascular endothelial growth factor (VEGF), transforming growth factor (TGF) and insulin-like growth factor (IGF) (8,9). Numerous techniques have been developed to make platelet concentrates (8,10), and concentrated growth factor (CGF) belongs to a new generation of platelet concentrates, which was first introduced by Sacco (unpublished data). CGF, which is generated by centrifuging venous blood, has a fibrin matrix that contains a high concentration of platelets, leukocytes and growth factors. CGF has been found to increase bone formation (11–13), the proliferation of periodontal ligament cells (14), and the syndesmosis union rate in cases of total ankle replacement (15) depending on the released growth factors. However, the effect of CGF on peripheral nerve regeneration has not been investigated previously, to the best of our knowledge.
Schwan cells (SCs) have been shown to play a critical and substantial role in peripheral nerve regeneration. Following peripheral nerve injury, SCs proliferate, form a Büngner belt and devour the debris of denatured axons and myelin together with macrophages. At the same time, SCs also secrete a range of neurotrophic factors, including nerve growth factor (NGF) and glial cell line-derived neurotrophic factor (GDNF), which play neuron-protective and axon-inducive roles. It has previously been suggested that the proliferation and increased secretory function of Schwan cells contribute to the regeneration of neural tissue (16–19).
The aims of the present study were as follows: i) to investigate the effect of CGF on the proliferation and secretion of neurotrophic factors in SCs in vitro; and ii) to evaluate functional nerve recovery following CGF treatment using a rat model of sciatic nerve crush injury in vivo. The final purpose of this study was to examine the possibility of CGF being clinically applied as a treatment for nerve injuries caused by dental implant surgery.
Materials and methods
Preparation of CGF
All experiments were carried out in accordance with the Guidance Suggestions for the Care and Use of Laboratory Animals, formulated by the Ministry of Science and Technology of China. CGF was prepared according to Sacco's protocol (unpublished data). For the purposes of our study, a total of 46 Wistar rats (10–12 weeks old, weighing 250 g) were purchased from the Center for Laboratory Animals, Medical College, Jilin University, Jilin, China. These rats (a different set of rats for each) was used for the preparation of CGF and for the model of sciatic nerve crush injury. In our study, 46 rats were used in total, among which 12 were used in the in vivo experiments and 34 were used to prepare the CGF extract for the in vitro experiments. For the in vivo experiments, 6 rats were used to draw blood to prepare the CGF membrane and 6 were used for functional analysis. We ensured that all rats had similar platelet counts by subjecting the whole blood of the rats to platelet counting using a cell counter (MEK-6318K, Nihon Kohden, Tokyo, Japan). The rats showed a mean platelet count of 680×109/l. Briefly, for the preparation of CGF, 5 ml venous blood was drawn from each Wistar rat, into a sterile glass tube without any anticoagulant solution. The tube was subsequently immediately centrifuged at 400 × g in Medifuge (Silfradent, Sofia, Italy) at a fixed temperature, and the rotor turned at alternating, controlled speeds. Following centrifugation, the blood in the tube was separated into three layers. CGF was the middle layer, and it was mechanically separated and gently compressed into a thin membrane. All animal experiments were approved by the Ethics Committee of Jilin University.
Scanning electron microscopy (SEM)
In the present study, the surface structure of CGF was observed using an SEM microscope (S-3400N; Hitachi High-Technologies America, Schaumburg, IL, USA). The CGF membrane was fixed in 2.5% glutaraldehyde solution (Sigma-Aldrich) and dehydrated by passing through a graded series of ethanol-water mixtures. After drying, the sample was coated with gold, and examined using SEM. The SEM images were subsequently exported to cellSens Entry software (Olympus Life Science, Europe GMBH, Hamburg, Germany), in order to measure the pore size of CGF based on the smallest and largest identifiable pores in the representative image.
Preparation of CGF extract
In order to minimize the difference between different CGF membranes, the soluble component of CGF was used to produce conditioned media to treat the SC cell line in culture. To make the conditioned medium, two CGF membranes were placed in a 15-ml flacon tube containing 5 ml fresh Dulbecco's modified Eagle's medium (DMEM; Gibco, Carlsbad, CA, USA) without fetal bovine serum. The medium was marked as 200% CGF. It was collected 7 days later and centrifuged (400 × g for 5 min) to pellet the platelets and red blood cells. The 200% CGF was diluted to obtain 100 and 50% CGF. All the extracts were stored at −80°C for future use.
Cell proliferation assay
The number of viable cells was evaluated by cell counting kit-8 (CCK-8) assay. The RSC96 Schwann cell line, which was obtained from The Chinese Academy of Sciences (Shanghai, China), is a spontaneously transformed rat Schwann cell line derived from the long-term culture of rat primary SCs. To test the effect of CGF on cell proliferation, RSC96 SCs were seeded into 96-well plates at a density of 1,000 cells/well in DMEM, and allowed to attach overnight in a humidified atmosphere at 37°C with 5% CO2. Subsequently, the culture medium was changed to DMEM or CGF extracts supplemented with 10% FBS (Gibco, Sydney, Australia). CGF extracts at different concentrations (200, 100 and 50%) were used in order to find the optimal concentration. At 1, 3 and 5 days following treatment, 10 µl CCK-8 reagent (Dojindo, Kumamoto, Japan) was added to each well. After 1 h incubation at 37°C, the absorbance values were measured at 450 nm using a microplate reader (Infinite 200 Pro, Tecan, Männedorf, Switzerland).
Cell cycle analysis
RSC96 Schwann cells were seeded in 6-well plates. After pre-incubation, the culture medium was changed to DMEM or CGF extract (100%) supplemented with 10% FBS. At 1, 2 and 3 days, cells were detached from plate surfaces using 0.25% EDTA-free trypsin, and fixed with 70% alcohol for 30 min at 4°C. Cells were then washed twice with PBS, centrifuged, and labeled with 0.5 ml propidium iodide (Dingguo, Beijing, China). Cells were then incubated for 30 min in the dark at 4°C and detected by a flow cytometer (BD Pharmingen, San Diego, CA, USA).
Reverse transcription-quantitative PCR (RT-qPCR)
The mRNA expression of NGF and GDNF was analyzed by RT-qPCR. RSC96 Schwann cells were seeded into 6-well plates, and the culture medium was changed to DMEM or CGF extract (100%) supplemented with 10% FBS. At 1, 2 and 3 days after culture, total RNA was extracted using TRIzol reagent (Invitrogen, Carlsbad, CA, USA) and was reverse transcribed using a Revert Aid kit according to the manufacturer's instructions (Takara Bio, Otsu, Japan). SYBR Premix Ex Taq (Takara Bio) was used to assess NGF and GDNF gene expression in an Exicycler 96 real-time PCR system (Bioneer, Daejeon, Korea). Samples were normalized to glyceraldehyde-3-phosphate-dehydrogenase (GAPDH). Changes in gene expression were calculated using the 2−ΔΔCt method. The primer sequences were as follows: NGF forward, 5′-TCAACA GGACTCACAGGAGCA-3′ and reverse, 5′-GGTCTTATC TCCAACCCACACAC-3′ ; GDNF forward, 5′-CAGAGGGAA AGGTCGCAGAG-3′ and reverse, 5′-ATCAGTTCCTCCTTG GTTTCGTAG-3′; and GAPDH forward 5′-GGCACAGTC AAGGCTGAGAATG-3′ and reverse, 5′-ATGGTGGTGAAG ACGCCAGTA-3′, as previously reported (20).
Western blot analysis
The protein expression of NGF and GDNF was investigated by western blot analysis. RSC96 Schwann cells were seeded into 6-well plates, and culture medium was changed to DMEM or CGF extract (100%) supplemented with 10% FBS. At days 1, 2 and 3, cells were washed twice using PBS, and then lysed on ice with lysis solution [radioimmunoprecipitation assay buffer with 1% phenylmethylsulfonyl fluoride (Biyuntian, Haimen, China)]. Cell lysates were collected and centrifuged at 10,000 × g for 10 min at 4°C. Supernatants were collected, and protein concentrations were determined using a bicinchoninic acid assay (BCA). The extracted proteins were mixed with 5X loading buffer and degenerated in boiling water for 5 min. Equal amounts of protein (40 µg) were loaded onto a polyacrymide gel and run at 80 V for 150 min, and were then transferred to polyvinylidene fluoride film (Millipore, Bedford, MA, USA) at 70 V for 90 min. The membranes were blocked with skimmed powdered milk for 90 min, and then incubated with primer antibodies against NGF (rabbit anti-rat, 1:1,000, cat. no. WL0151; Wanleibio, Shenyang, China) and GDNF (rabbit anti-rat, 1:400, cat. no. PB0045; Boster Biological Technology, Ltd. (Wuhan, China) overnight at 4°C. Samples were eluted four times with TTBS and then incubated with horseradish peroxidase- conjugated secondary antibodies (goat anti-rabbit, 1:5,000, cat. no. A0208, Biyuntian) for 45 min at 37°C. An ECL chemiluminescence assay was used for chemiluminescence-based immunodetection of HRP. The intensities of the bands, which are representative of protein levels, were determined using Gel-Pro-Analyzer 3.0 (Media Cybernetics, Rockville, MD, USA). β-actin was used to normalize target proteins.
Animals and surgical procedures
A rat model of sciatic nerve crush injury has been previously used as a model of axonotmesis (21). Briefly, rats weighing 250 g were anesthetized by injection of sodium pentobarbital (30 mg/kg). Surgical sites were shaved and prepared. Both the left and the right sciatic nerves were exposed. Subsequently, no. 5 jeweler's forceps were applied to crush each nerve for 10 sec above the bifurcation of the sciatic nerve. Both right and left nerves of each rat were crushed, but only the right was treated with CGF membrane (not CGF extract) and the left was used as a blank control without CGF membrane. CGF was used only to cover the right sciatic nerve crush sites. After surgery, the musculature and the skin were sutured separately.
Functional analysis
Functional nerve recovery of the animals was assessed through the use of a sciatic functional index (SFI), according to the methods reported by Bain et al (22). Walking track analysis was performed 7 days after the surgery. Briefly, the hind feet of the rats were colored with ink before they walked, in order that they would leave footprints on the paper. SFI was calculated using the following formula: SFI = −38.3 × (EPL − NPL)/NPL + 109.5 × (ETS − NTS)/ NTS + 13.3 × (EIT−NIT)/NIT − 8.8. In this formula, PL indicates the length of the third toe to the heel; TS, the length of the first to the fifth toe; PL, the length of the second to the forth toe; E represented the CGF-treated side and N represented the non-Walking track analysis treated side. Generally, a value of SFI which was approximately −100 indicated total nerve impairment, and 0 indicated normal nerve function. Following functional analysis, the rats were sacrificed by exsanguination via the abdominal aorta.
Statistical analysis
Data are expressed as the means ± standard deviation and were analyzed using one-way analysis of variance (ANOVA) with Tukey's HSD comparison test or by independent-samples t-test. A p-value <0.05 was considered to indicate a statistically significant difference.
Results
Characteristics of CGF
Following centrifugation of the whole blood, three layers were observed in the tube (Fig. 1A). The uppermost layer was a clear fluid, which was the blood serum. This is composed of the blood plasma without fibrinogen and coagulation factors. The middle layer resembled a yellow non-transparent gel, which was CGF; this layer was composed of the large, dense polymerized fibrin blocks with aggregated platelets and CGFs. The bottom layer, which looked like a dark reddish dense gel, mainly consisted of red blood cells. CGF was mechanically separated by cutting off the red dense gel and then compressing it into a thin membrane. SEM analysis (Fig. 1B) revealed that CGF had a fiber-like appearance with a pore size ranging from 0.1 to 1.0 µm. The fibers were discrete and were arranged in a dense random mesh-like network. An aggregate of platelets was also observed to be trapped in the fibrin mesh.
Cell proliferation
The effects of CGF extracts on the proliferation of RSC96 Schwann cells are shown in Fig. 2A. CGF was found to increase SC proliferation; this increase was concentration-dependent up to 200%, when levels dropped. The optical densities (indicative of the number of cells) of the CGF-treated cells were significantly higher than those of the DMEM-treated cells at 1, 3 and 5 days (p<0.05). In particular, the cells treated with 100% CGF group but not 200% produced the highest optical densities of all (p<0.05) at different time points. Therefore, 100% CGF was selected as the optimal concentration for later experiments.
Cell cycle analysis
Flow cytometry was used to study cell cycle distribution by measuring DNA content. Cell cycle refers to the period from the end of mitosis to the formation of new cells, which includes four stages, namely G1, S, G2 and M phases. The cell proliferation index (PI) is the percentage of cells in the S plus G2/M phases. It is one of the most important indexes for cell proliferation. We noted that at 1, 2 and 3 days after CGF treatment the PI in CGF-treated cells was significantly higher than those treated with the control (p<0.05) (Fig. 2B).
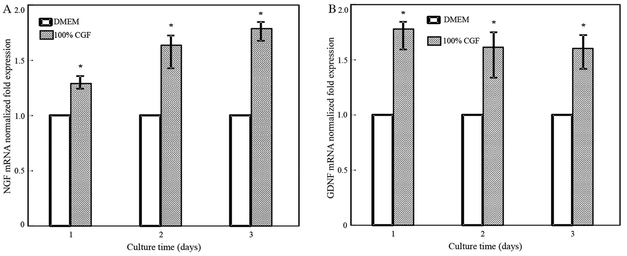
mRNA expression
RT-qPCR was performed to detect mRNA expression of RSC96 Schwann cells, which were treated with DMEM or CGF extract. There was no significant difference in NGF and GDNF mRNA expression in the DMEM-treated cells at different time points. The mRNA expression of NGF and GDNF in the CGF-treated cells was significantly higher than those treated with DMEM (p<0.05) (Fig. 3).
Protein expression
The effects of CGF extract on neurotrophic protein secretion in RSC96 Schwann cell are illustrated in Fig. 4. NGF protein expression significantly (p<0.05) increased on days 2 and 3; GDNF protein expression significantly (p<0.05) increased on day 3. The levels of NGF protein expression increased approximately 1.1-fold on day 2 and 1.5-fold on day 3. Levels of GDNF protein expression increased approximately 1.3-fold on day 3.
Functional recovery
The results of the functional nerve recovery test using the walking track indicated different degrees of nerve injury in rats 7 days after the surgery, as reflected by different SFIs. The SFI value was significantly increased in the CGF-treated side compared with the non-treated side (p<0.05), indicating improved functional nerve recovery in the CGF-treated group (Fig. 5).
Discussion
Nerve injury has previously been shown to be one of the most serious complications of dental implant surgery. Moreover, local delivery of growth factors has proven effective in the treatment of nerve injury. CGF is rich in growth factors and has gained considerable popularity owing to its autologous nature, easy collection, simple and cost-effective preparation, and safe clinical application, without the risks associated with immunological rejection. In the present study, we demonstrated that CGF promoted SC proliferation and the secretion of neurotrophic factors in vitro, and enhanced functional nerve recovery after injury in vivo, suggesting that CGF provides a way to regenerate iatrogenic nerve injuries caused by dental implants.
In the present study, an RSC96 Schwann cell line was selected and subsequently subjected to CGF treatment. Since the RSC96 Schwann cell line was derived from rats, therefore rat venous blood was used to prepare CGFs in this experiment. The inferior vena cava was used to obtain 5 ml of blood from each rat, as it is possible to obtain more blood from here, as compared to other locations such as rat tail veins, which provide limited and insufficient (23) amounts of blood for making CGF. Reproducibility of the experiment was ensured by the following, as Li et al have also reported (24): i) CGF was prepared under consistent preparation conditions, including using a specially programmed centrifuge with fixed temperature and control speed; ii) all blood-collecting procedures were finished within 90 sec; iii) the rats used in the experiment were of similar weight and platelet counts; and iv) mixed CGF extracts were used instead of CGF membranes to treat the SCs.
The structure of the fibrin mesh and concentration of leukocytes are known to affect the release of growth factors from platelet concentrates (25,26). CGF belongs to the third generation of platelet concentrate; platelet-rich plasma (PRP) was the first generation, and platelet-rich fibrin (PRF) the second generation (27). It has been shown that PRP formed an unstable matrix that disaggregated after less than 5 days and led to a quick release of growth factors. PRF, formed by progressive polymerization, had a more structured fibrin network that was shown to be intact after 7 days and led to greater growth factor release. Moreover, SEM analysis demonstrated that CGF had a natural fibrin framework and many platelets were trapped in this fibrin mesh, similar to PRF (28). This kind of structure protects growth factors from proteolysis, and results in lower and sustained release of growth factors from the fibrin concentrates (29).
CGF membranes were soaked in medium for 7 days to obtain the extracts used in this study. This time period was applied based on certain previous studies which have investigated the release dynamics of growth factors in platelet concentrates (25,30,31). The release of VEGF and TGF-β1 peaked at 8 h in PRP and at day 7 in PRF. IGF-1 and PDGF were almost completely released from PRF within the first 8 h and gradually released from PRF for the first 3 days. These findings suggest that day 7 is a suitable time point for collecting the majority of growth factors released from platelet concentrates (25,30,31).
The fast proliferation of Schwann cells supports the rapid regeneration of injured peripheral nerves by providing bioactive substrates needed for axonal outgrowth (32). In this study, both a CCK-8 assay and cell cycle analysis indicated that CGF promoted RSC96 Schwann cell proliferation. Similar results have previously been reported, that CGF stimulated the proliferation of periodontal ligament stem cells (14) and bone marrow stromal cells (BMSCs) (33). In the present study, although the effect of CGF on cell proliferation was noted to be dose-dependent, the increasing CGF concentration did not always cause increasing proliferation. We noted that the optimal concentration of CGF extract (100%) had the most beneficial effect on RSC96 Schwann cells. Both increased and decreased concentrations exerted a suboptimal effect on cell proliferation. This is in line with the conclusions of Graziani et al (34), who investigated the effect of different platelet concentrations on osteoblasts and fibroblasts. They made maximally concentrated platelet preparations of 420–550% which were diluted with DMEM to attain concentrations of 250 and 100%. They found that maximal platelet concentration resulted in inferior proliferation compared with concentrations of 250 and 100%. Liu et al have suggested that decreased proliferation is pH dependent: high concentrations of platelet preparations result in pH changes that negatively affect proliferation (35).
Aside from proliferation, in the present study we also examined RSC96 Schwann cell function by assessing their secretion of NGF and GDNF. NGF plays a critical role in nerve regeneration in the peripheral nerve system. A reduction in the secretion of NGF results in the failure of axonal regeneration (36). GDNF belongs to the TGF-β family of neurotrophic factors and plays various and distinct roles in the neuronal signaling pathways (37). In our present study, both the mRNA and protein expression levels of NGF and GDNF were increased by CGF. Similar results have been previously reported, that NGF and GDNF expression was promoted by platelet concentrates (20). The mechanisms responsible for this can be explained as follows. Many growth factors such as IGF, TGF and PDGF are released from CGF. It has previously been shown that Schwann cells express growth factor receptors, such as the IGF receptor, TGF-β receptor and platelet-derived growth factor receptor (38–40). These findings suggest that CGF modulates SC secretion through IGF-related, TGF-related and PDGF-related pathways.
In the present study, we noted that CGF served to improve functional nerve recovery in a rat model of sciatic nerve crush injury. This is consistent with reports that platelet concentrates increased nerve regeneration after injury to the facial (41) and sciatic nerve (42) in animal models. These results suggest that CGF works in vivo, thus supporting the clinical use of CGF to treat nerve injuries caused by dental implants. Compared with PRP and PRF, CGF contains more growth factors, and we suggest that it helps the nerves recover in a shorter period of time.
CGF is an autogenously generated complex that contains fibrin matrix and growth factors; it is used in dentistry for bone regeneration. In the present study we demonstrated the following: i) CGF increased SC proliferation and secretion of neurotrophic factors in vitro; and ii) CGF enhanced functional nerve recovery in an animal model. These findings suggest that CGF has the potential to enhance peripheral nerve regeneration, and thus is a promising treatment for nerve injury caused by dental implant surgery. Further study is required to elucidate the dominant growth factor-related pathway by which CGF modulates cell proliferation and secretion. Neurophysiological experiments should also be evaluated in vivo in order to investigate the effect of CGF on nerve repair.
Acknowledgments
Financial support from the Funding for Top Talents among PhD students in Jilin University, the National Natural Science Foundation of China (Youth Scholar program, grant no. 81400487), Jilin Province Science Foundation for Youths (grant no. 20150520043JH) and the Excellent Youth Scholars of Bethune Medical Department in Jilin University (grant no. 2013208064) is gratefully acknowledged.
References
|
Misch K and Wang HL: Implant surgery complications: etiology and treatment. Implant Dent. 17:159–168. 2008. View Article : Google Scholar : PubMed/NCBI | |
|
Juodzbalys G, Wang HL, Sabalys G, Sidlauskas A and Galindo-Moreno P: Inferior alveolar nerve injury associated with implant surgery. Clin Oral Implants Res. 24:183–190. 2013. View Article : Google Scholar | |
|
Alhassani AA and AlGhamdi AS: Inferior alveolar nerve injury in implant dentistry: diagnosis, causes, prevention, and management. J Oral Implantol. 36:401–407. 2010. View Article : Google Scholar : PubMed/NCBI | |
|
Kim YT, Pang KM, Jung HJ, Kim SM, Kim MJ and Lee JH: Clinical outcome of conservative treatment of injured inferior alveolar nerve during dental implant placement. J Korean Assoc Oral Maxillofac Surg. 39:127–133. 2013. View Article : Google Scholar | |
|
Fukuda K, Ichinohe T and Kaneko Y: Pain management for nerve injury following dental implant surgery at Tokyo Dental College Hospital. Int J Dent. 2012:2094742012. View Article : Google Scholar : PubMed/NCBI | |
|
Lee JY, Jahng JW, Kim SM, Kim MJ and Lee JH: Simultaneous inferior alveolar nerve regeneration and osseointegration with a nerve growth factor-supplying implant: a preliminary study. J Oral Maxillofac Surg. 73:410–423. 2015. View Article : Google Scholar | |
|
Lee JY, Kim SM, Kim MJ and Lee JH: Controlled release of nerve growth factor from heparin-conjugated fibrin gel within the nerve growth factor-delivering implant. J Korean Assoc Oral Maxillofac Surg. 40:3–10. 2014. View Article : Google Scholar : PubMed/NCBI | |
|
Choukroun J, Diss A, Simonpieri A, Girard MO, Schoeffler C, Dohan SL, Dohan AJ, Mouhyi J and Dohan DM: Platelet-rich fibrin (PRF): a second-generation platelet concentrate. Part IV: clinical effects on tissue healing. Oral Surg Oral Med Oral Pathol Oral Radiol Endod. 101:e56–e60. 2006. View Article : Google Scholar : PubMed/NCBI | |
|
Intini G: The use of platelet-rich plasma in bone reconstruction therapy. Biomaterials. 30:4956–4966. 2009. View Article : Google Scholar : PubMed/NCBI | |
|
Marx RE, Carlson ER, Eichstaedt RM, Schimmele SR, Strauss JE and Georgeff KR: Platelet-rich plasma: growth factor enhancement for bone grafts. Oral Surg Oral Med Oral Pathol Oral Radiol Endod. 85:638–646. 1998. View Article : Google Scholar : PubMed/NCBI | |
|
Kim TH, Kim SH, Sándor GK and Kim YD: Comparison of platelet-rich plasma (PRP), platelet-rich fibrin (PRF), and concentrated growth factor (CGF) in rabbit-skull defect healing. Arch Oral Biol. 59:550–558. 2014. View Article : Google Scholar : PubMed/NCBI | |
|
Kim JM, Sohn DS, Bae MS, Moon JW, Lee JH and Park IS: Flapless transcrestal sinus augmentation using hydrodynamic piezoelectric internal sinus elevation with autologous concentrated growth factors alone. Implant Dent. 23:168–174. 2014. View Article : Google Scholar : PubMed/NCBI | |
|
Sohn DS, Heo JU, Kwak DH, Kim DE, Kim JM, Moon JW, Lee JH and Park IS: Bone regeneration in the maxillary sinus using an autologous fibrin-rich block with concentrated growth factors alone. Implant Dent. 20:389–395. 2011.PubMed/NCBI | |
|
Yu B and Wang Z: Effect of concentrated growth factors on beagle periodontal ligament stem cells in vitro. Mol Med Rep. 9:235–242. 2014. | |
|
Coetzee JC, Pomeroy GC, Watts JD and Barrow C: The use of autologous concentrated growth factors to promote syndesmosis fusion in the agility total ankle replacement. A preliminary study. Foot Ankle Int. 26:840–846. 2005.PubMed/NCBI | |
|
Wakatsuki S, Araki T and Sehara-Fujisawa A: Neuregulin-1/glial growth factor stimulates Schwann cell migration by inducing α5 β1 integrin-ErbB2-focal adhesion kinase complex formation. Genes Cells. 19:66–77. 2014. View Article : Google Scholar | |
|
Yazdani SO, Golestaneh AF, Shafiee A, Hafizi M, Omrani HA and Soleimani M: Effects of low level laser therapy on proliferation and neurotrophic factor gene expression of human schwann cells in vitro. J Photochem Photobiol B. 107:9–13. 2012. View Article : Google Scholar | |
|
Luo L, Gan L, Liu Y, Tian W, Tong Z, Wang X, Huselstein C and Chen Y: Construction of nerve guide conduits from cellulose/soy protein composite membranes combined with Schwann cells and pyrroloquinoline quinone for the repair of peripheral nerve defect. Biochem Biophys Res Commun. 457:507–513. 2015. View Article : Google Scholar : PubMed/NCBI | |
|
Jiang M, Cheng Q, Su W, Wang C, Yang Y, Cao Z and Ding F: The beneficial effect of chitooligosaccharides on cell behavior and function of primary Schwann cells is accompanied by up-regulation of adhesion proteins and neurotrophins. Neurochem Res. 39:2047–2057. 2014. View Article : Google Scholar : PubMed/NCBI | |
|
Zheng C, Zhu Q, Liu X, Huang X, He C, Jiang L, Quan D, Zhou X and Zhu Z: Effect of platelet-rich plasma (PRP) concentration on proliferation, neurotrophic function and migration of Schwann cells in vitro. J Tissue Eng Regen Med. May 31–2013.Epub ahead of print. View Article : Google Scholar : PubMed/NCBI | |
|
Bridge PM, Ball DJ, Mackinnon SE, Nakao Y, Brandt K, Hunter DA and Hertl C: Nerve crush injuries - a model for axonotmesis. Exp Neurol. 127:284–290. 1994. View Article : Google Scholar : PubMed/NCBI | |
|
Bain JR, Mackinnon SE and Hunter DA: Functional evaluation of complete sciatic, peroneal, and posterior tibial nerve lesions in the rat. Plast Reconstr Surg. 83:129–138. 1989. View Article : Google Scholar : PubMed/NCBI | |
|
Diehl KH, Hull R, Morton D, Pfister R, Rabemampianina Y, Smith D, Vidal JM and van de Vorstenbosch C; European Federation of Pharmaceutical Industries Association and Europ ean Centre for the Validation of Alternative Methods: A good practice guide to the administration of substances and removal of blood, including routes and volumes. J Appl Toxicol. 21:15–23. 2001. View Article : Google Scholar : PubMed/NCBI | |
|
Li Q, Pan S, Dangaria SJ, Gopinathan G, Kolokythas A, Chu S, Geng Y, Zhou Y and Luan X: Platelet-rich fibrin promotes periodontal regeneration and enhances alveolar bone augmentation. BioMed Res Int. 2013:6380432013. View Article : Google Scholar : PubMed/NCBI | |
|
Schär MO, Diaz-Romero J, Kohl S, Zumstein MA and Nesic D: Platelet-rich concentrates differentially release growth factors and induce cell migration in vitro. Clin Orthop Relat Res. 473:1635–1643. 2015. View Article : Google Scholar : PubMed/NCBI | |
|
Dohan Ehrenfest DM, Bielecki T, Jimbo R, Barbé G, Del Corso M, Inchingolo F and Sammartino G: Do the fibrin architecture and leukocyte content influence the growth factor release of platelet concentrates? An evidence-based answer comparing a pure platelet-rich plasma (P-PRP) gel and a leukocyte- and platelet-rich fibrin (L-PRF). Curr Pharm Biotechnol. 13:1145–1152. 2012. View Article : Google Scholar | |
|
Rodella LF, Favero G, Boninsegna R, Buffoli B, Labanca M, Scarì G, Sacco L, Batani T and Rezzani R: Growth factors, CD34 positive cells, and fibrin network analysis in concentrated growth factors fraction. Microsc Res Tech. 74:772–777. 2011. View Article : Google Scholar : PubMed/NCBI | |
|
Li Q, Reed DA, Min L, Gopinathan G, Li S, Dangaria SJ, Li L, Geng Y, Galang MT, Gajendrareddy P, et al: Lyophilized platelet-rich fibrin (PRF) promotes craniofacial bone regeneration through Runx2. Int J Mol Sci. 15:8509–8525. 2014. View Article : Google Scholar : PubMed/NCBI | |
|
Lundquist R, Dziegiel MH and Agren MS: Bioactivity and stability of endogenous fibrogenic factors in platelet-rich fibrin. Wound Repair Regen. 16:356–363. 2008. View Article : Google Scholar : PubMed/NCBI | |
|
Zumstein MA, Berger S, Schober M, Boileau P, Nyffeler RW, Horn M and Dahinden CA: Leukocyte- and platelet-rich fibrin (L-PRF) for long-term delivery of growth factor in rotator cuff repair: review, preliminary results and future directions. Curr Pharm Biotechnol. 13:1196–1206. 2012. View Article : Google Scholar | |
|
Dohan Ehrenfest DM, de Peppo GM, Doglioli P and Sammartino G: Slow release of growth factors and thrombospondin-1 in Choukroun's platelet-rich fibrin (PRF): a gold standard to achieve for all surgical platelet concentrates technologies. Growth Factors. 27:63–69. 2009. View Article : Google Scholar | |
|
Liang W, Ge S, Yang L, Yang M, Ye Z, Yan M, Du J and Luo Z: Ginsenosides Rb1 and Rg1 promote proliferation and expression of neurotrophic factors in primary Schwann cell cultures. Brain Res. 1357:19–25. 2010. View Article : Google Scholar : PubMed/NCBI | |
|
Honda H, Tamai N, Naka N, Yoshikawa H and Myoui A: Bone tissue engineering with bone marrow-derived stromal cells integrated with concentrated growth factor in Rattus norvegicus calvaria defect model. J Artif Organs. 16:305–315. 2013. View Article : Google Scholar : PubMed/NCBI | |
|
Graziani F, Ivanovski S, Cei S, Ducci F, Tonetti M and Gabriele M: The in vitro effect of different PRP concentrations on osteoblasts and fibroblasts. Clin Oral Implants Res. 17:212–219. 2006. View Article : Google Scholar : PubMed/NCBI | |
|
Liu Y1, Kalén A, Risto O and Wahlström O: Fibroblast proliferation due to exposure to a platelet concentrate in vitro is pH dependent. Wound Repair Regen. 10:336–340. 2002. View Article : Google Scholar : PubMed/NCBI | |
|
Zhou YK, Liang Z, Guo Y, Zhang HT and Wang KH: High glucose upregulates CYP24A1 expression which attenuates the ability of 1,25(OH)2D3 to increase NGF secretion in a rat Schwann cell line RSC96. Mol Cell Endocrinol. 404:75–81. 2015. View Article : Google Scholar : PubMed/NCBI | |
|
Shakhbazau A, Mohanty C, Shcharbin D, Bryszewska M, Caminade AM, Majoral JP, Alant J and Midha R: Doxycycline- regulated GDNF expression promotes axonal regeneration and functional recovery in transected peripheral nerve. J Control Release. 172:841–851. 2013. View Article : Google Scholar : PubMed/NCBI | |
|
Cheng HL, Shy M and Feldman EL: Regulation of insulin-like growth factor-binding protein-5 expression during Schwann cell differentiation. Endocrinology. 140:4478–4485. 1999.PubMed/NCBI | |
|
D'Antonio M, Droggiti A, Feltri ML, Roes J, Wrabetz L, Mirsky R and Jessen KR: TGFbeta type II receptor signaling controls Schwann cell death and proliferation in developing nerves. J Neurosci. 26:8417–8427. 2006. View Article : Google Scholar : PubMed/NCBI | |
|
Badache A and De Vries GH: Neurofibrosarcoma-derived Schwann cells overexpress platelet-derived growth factor (PDGF) receptors and are induced to proliferate by PDGF BB. J Cell Physiol. 177:334–342. 1998. View Article : Google Scholar : PubMed/NCBI | |
|
Cho HH, Jang S, Lee SC, Jeong HS, Park JS, Han JY, Lee KH and Cho YB: Effect of neural-induced mesenchymal stem cells and platelet-rich plasma on facial nerve regeneration in an acute nerve injury model. Laryngoscope. 120:907–913. 2010.PubMed/NCBI | |
|
Lichtenfels M, Colomé L, Sebben AD and Braga-Silva J: Effect of platelet rich plasma and platelet rich fibrin on sciatic nerve regeneration in a rat model. Microsurgery. 33:383–390. 2013. View Article : Google Scholar : PubMed/NCBI |








