Spandidos Publications Logo
  • About
    • About Spandidos
    • Aims and Scopes
    • Abstracting and Indexing
    • Editorial Policies
    • Reprints and Permissions
    • Job Opportunities
    • Terms and Conditions
    • Contact
  • Journals
    • All Journals
    • Oncology Letters
      • Oncology Letters
      • Information for Authors
      • Editorial Policies
      • Editorial Board
      • Aims and Scope
      • Abstracting and Indexing
      • Bibliographic Information
      • Archive
    • International Journal of Oncology
      • International Journal of Oncology
      • Information for Authors
      • Editorial Policies
      • Editorial Board
      • Aims and Scope
      • Abstracting and Indexing
      • Bibliographic Information
      • Archive
    • Molecular and Clinical Oncology
      • Molecular and Clinical Oncology
      • Information for Authors
      • Editorial Policies
      • Editorial Board
      • Aims and Scope
      • Abstracting and Indexing
      • Bibliographic Information
      • Archive
    • Experimental and Therapeutic Medicine
      • Experimental and Therapeutic Medicine
      • Information for Authors
      • Editorial Policies
      • Editorial Board
      • Aims and Scope
      • Abstracting and Indexing
      • Bibliographic Information
      • Archive
    • International Journal of Molecular Medicine
      • International Journal of Molecular Medicine
      • Information for Authors
      • Editorial Policies
      • Editorial Board
      • Aims and Scope
      • Abstracting and Indexing
      • Bibliographic Information
      • Archive
    • Biomedical Reports
      • Biomedical Reports
      • Information for Authors
      • Editorial Policies
      • Editorial Board
      • Aims and Scope
      • Abstracting and Indexing
      • Bibliographic Information
      • Archive
    • Oncology Reports
      • Oncology Reports
      • Information for Authors
      • Editorial Policies
      • Editorial Board
      • Aims and Scope
      • Abstracting and Indexing
      • Bibliographic Information
      • Archive
    • Molecular Medicine Reports
      • Molecular Medicine Reports
      • Information for Authors
      • Editorial Policies
      • Editorial Board
      • Aims and Scope
      • Abstracting and Indexing
      • Bibliographic Information
      • Archive
    • World Academy of Sciences Journal
      • World Academy of Sciences Journal
      • Information for Authors
      • Editorial Policies
      • Editorial Board
      • Aims and Scope
      • Abstracting and Indexing
      • Bibliographic Information
      • Archive
    • International Journal of Functional Nutrition
      • International Journal of Functional Nutrition
      • Information for Authors
      • Editorial Policies
      • Editorial Board
      • Aims and Scope
      • Abstracting and Indexing
      • Bibliographic Information
      • Archive
    • International Journal of Epigenetics
      • International Journal of Epigenetics
      • Information for Authors
      • Editorial Policies
      • Editorial Board
      • Aims and Scope
      • Abstracting and Indexing
      • Bibliographic Information
      • Archive
    • Medicine International
      • Medicine International
      • Information for Authors
      • Editorial Policies
      • Editorial Board
      • Aims and Scope
      • Abstracting and Indexing
      • Bibliographic Information
      • Archive
  • Articles
  • Information
    • Information for Authors
    • Information for Reviewers
    • Information for Librarians
    • Information for Advertisers
    • Conferences
  • Language Editing
Spandidos Publications Logo
  • About
    • About Spandidos
    • Aims and Scopes
    • Abstracting and Indexing
    • Editorial Policies
    • Reprints and Permissions
    • Job Opportunities
    • Terms and Conditions
    • Contact
  • Journals
    • All Journals
    • Biomedical Reports
      • Information for Authors
      • Editorial Policies
      • Editorial Board
      • Aims and Scope
      • Abstracting and Indexing
      • Bibliographic Information
      • Archive
    • Experimental and Therapeutic Medicine
      • Information for Authors
      • Editorial Policies
      • Editorial Board
      • Aims and Scope
      • Abstracting and Indexing
      • Bibliographic Information
      • Archive
    • International Journal of Epigenetics
      • Information for Authors
      • Editorial Policies
      • Editorial Board
      • Aims and Scope
      • Abstracting and Indexing
      • Bibliographic Information
      • Archive
    • International Journal of Functional Nutrition
      • Information for Authors
      • Editorial Policies
      • Editorial Board
      • Aims and Scope
      • Abstracting and Indexing
      • Bibliographic Information
      • Archive
    • International Journal of Molecular Medicine
      • Information for Authors
      • Editorial Policies
      • Editorial Board
      • Aims and Scope
      • Abstracting and Indexing
      • Bibliographic Information
      • Archive
    • International Journal of Oncology
      • Information for Authors
      • Editorial Policies
      • Editorial Board
      • Aims and Scope
      • Abstracting and Indexing
      • Bibliographic Information
      • Archive
    • Medicine International
      • Information for Authors
      • Editorial Policies
      • Editorial Board
      • Aims and Scope
      • Abstracting and Indexing
      • Bibliographic Information
      • Archive
    • Molecular and Clinical Oncology
      • Information for Authors
      • Editorial Policies
      • Editorial Board
      • Aims and Scope
      • Abstracting and Indexing
      • Bibliographic Information
      • Archive
    • Molecular Medicine Reports
      • Information for Authors
      • Editorial Policies
      • Editorial Board
      • Aims and Scope
      • Abstracting and Indexing
      • Bibliographic Information
      • Archive
    • Oncology Letters
      • Information for Authors
      • Editorial Policies
      • Editorial Board
      • Aims and Scope
      • Abstracting and Indexing
      • Bibliographic Information
      • Archive
    • Oncology Reports
      • Information for Authors
      • Editorial Policies
      • Editorial Board
      • Aims and Scope
      • Abstracting and Indexing
      • Bibliographic Information
      • Archive
    • World Academy of Sciences Journal
      • Information for Authors
      • Editorial Policies
      • Editorial Board
      • Aims and Scope
      • Abstracting and Indexing
      • Bibliographic Information
      • Archive
  • Articles
  • Information
    • For Authors
    • For Reviewers
    • For Librarians
    • For Advertisers
    • Conferences
  • Language Editing
Login Register Submit
  • This site uses cookies
  • You can change your cookie settings at any time by following the instructions in our Cookie Policy. To find out more, you may read our Privacy Policy.

    I agree
Search articles by DOI, keyword, author or affiliation
Search
Advanced Search
presentation
International Journal of Molecular Medicine
Join Editorial Board Propose a Special Issue
Print ISSN: 1107-3756 Online ISSN: 1791-244X
Journal Cover
March-2016 Volume 37 Issue 3

Full Size Image

Sign up for eToc alerts
Recommend to Library

Journals

International Journal of Molecular Medicine

International Journal of Molecular Medicine

International Journal of Molecular Medicine is an international journal devoted to molecular mechanisms of human disease.

International Journal of Oncology

International Journal of Oncology

International Journal of Oncology is an international journal devoted to oncology research and cancer treatment.

Molecular Medicine Reports

Molecular Medicine Reports

Covers molecular medicine topics such as pharmacology, pathology, genetics, neuroscience, infectious diseases, molecular cardiology, and molecular surgery.

Oncology Reports

Oncology Reports

Oncology Reports is an international journal devoted to fundamental and applied research in Oncology.

Experimental and Therapeutic Medicine

Experimental and Therapeutic Medicine

Experimental and Therapeutic Medicine is an international journal devoted to laboratory and clinical medicine.

Oncology Letters

Oncology Letters

Oncology Letters is an international journal devoted to Experimental and Clinical Oncology.

Biomedical Reports

Biomedical Reports

Explores a wide range of biological and medical fields, including pharmacology, genetics, microbiology, neuroscience, and molecular cardiology.

Molecular and Clinical Oncology

Molecular and Clinical Oncology

International journal addressing all aspects of oncology research, from tumorigenesis and oncogenes to chemotherapy and metastasis.

World Academy of Sciences Journal

World Academy of Sciences Journal

Multidisciplinary open-access journal spanning biochemistry, genetics, neuroscience, environmental health, and synthetic biology.

International Journal of Functional Nutrition

International Journal of Functional Nutrition

Open-access journal combining biochemistry, pharmacology, immunology, and genetics to advance health through functional nutrition.

International Journal of Epigenetics

International Journal of Epigenetics

Publishes open-access research on using epigenetics to advance understanding and treatment of human disease.

Medicine International

Medicine International

An International Open Access Journal Devoted to General Medicine.

Journal Cover
March-2016 Volume 37 Issue 3

Full Size Image

Sign up for eToc alerts
Recommend to Library

  • Article
  • Citations
    • Cite This Article
    • Download Citation
    • Create Citation Alert
    • Remove Citation Alert
    • Cited By
  • Similar Articles
    • Related Articles (in Spandidos Publications)
    • Similar Articles (Google Scholar)
    • Similar Articles (PubMed)
  • Download PDF
  • Download XML
  • View XML
Article

Lipoxin A4 exerts protective effects against experimental acute liver failure by inhibiting the NF-κB pathway

  • Authors:
    • Xueqiang Jiang
    • Zhihao Li
    • Shengfang Jiang
    • Xuefei Tong
    • Xiaojing Zou
    • Wan Wang
    • Zhengang Zhang
    • Liang Wu
    • Deying Tian
  • View Affiliations / Copyright

    Affiliations: Department of Infection, Dongfeng Hospital Affiliated to Hubei Medical University, Shiyan, Hubei 442008, P.R. China, Department of Pharmacy, Dongfeng General Hospital Affiliated to Hubei Medical University, Shiyan, Hubei 442008, P.R. China, Center of Reproductive Medicine, People's Hospital Affiliated to Hubei Medical University, Shiyan, Hubei 442000, P.R. China, Shennong Wudang Institute of Traditional Chinese Medicine, Shiyan Hospital of TCM Affiliated to Hubei University of Chinese Medicine, Shiyan, Hubei 442012, P.R. China, Department of Emergency, Tongji Hospital, Tongji Medical College of Huazhong University of Science and Technology, Wuhan, Hubei 430030, P.R. China, Department of Infection, Tongji Hospital, Tongji Medical College of Huazhong University of Science and Technology, Wuhan, Hubei 430030, P.R. China
  • Pages: 773-780
    |
    Published online on: February 5, 2016
       https://doi.org/10.3892/ijmm.2016.2483
  • Expand metrics +
Metrics: Total Views: 0 (Spandidos Publications: | PMC Statistics: )
Metrics: Total PDF Downloads: 0 (Spandidos Publications: | PMC Statistics: )
Cited By (CrossRef): 0 citations Loading Articles...

This article is mentioned in:



Abstract

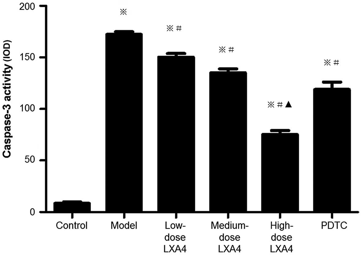
Although rare, acute liver failure (ALF) is associated with high levels of mortality, warranting the development of novel therapies. Nuclear factor-κB (NF-κB), tumor necrosis factor-α (TNF-α), and interleukin-6 (IL-6) play roles in ALF. Lipoxin A4 (LXA4) has been shown to alleviate inflammation in non-hepatic tissues. In the present study, we explored whether LXA4 exerted hepatoprotective effects in a rat model of ALF. A rat model of ALF was generated by intraperitoneal injections of D-galactosamine (300 mg/kg) and lipopolysaccharide (50 µg/kg). Animals were randomly assigned to: control group (no ALF); model group (ALF); and the groups treated with a low dose (0.5 µg/kg), medium dose (1 µg/kg), and high dose (2 µg/kg) of LXA4 (all with ALF); and pyrrolidine dithiocarbamate (PDTC)-treated group (ALF and 100 mg/kg PDTC, an inhibitor of NF-κB). Liver histology was measured using H&E staining, serum levels by ELISA, and liver mRNA expression was measured by RT-PCR for the detection of the pro‑inflammatory cytokines TNF-α and IL-6. Liver cell apoptosis (as measured using the TUNEL method and examining caspase-3 activity), and Kupffer cell NF-κB activity [using an electrophoretic mobility shift assay (EMSA)] were examined. Serum levels of transaminases, TNF-α and interleukin-6 (IL-6) were substantially higher in the model group compared to controls. In the model group, significant increases in TNF-α and IL-6 mRNA expression, TUNEL‑positive cells, and caspase-3 activity in the liver tissue were noted. LXA4 improved liver pathology and significantly decreased the indicators of inflammatory response and apoptosis in a dose-dependent manner. High-dose LXA4 provided better protection than PDTC. LXA4 administration significantly decreased NF-κB expression in hepatocytes and Kupffer cells. These results indicated that LXA4 inhibited NF-κB activation, reduced the secretion of pro-inflammatory cytokines, and inhibited apoptosis of liver cells, thereby exerting protective effects against ALF.
View Figures

Figure 1

Figure 2

Figure 3

Figure 4

Figure 5

Figure 6

Figure 7

Figure 8

View References

1 

Panackel C, Thomas R, Sebastian B and Mathai SK: Recent advances in management of acute liver failure. Indian J Crit Care Med. 19:27–33. 2015. View Article : Google Scholar : PubMed/NCBI

2 

Bernal W, Auzinger G, Dhawan A and Wendon J: Acute liver failure. Lancet. 376:190–201. 2010. View Article : Google Scholar : PubMed/NCBI

3 

Serhan CN: Pro-resolving lipid mediators are leads for resolution physiology. Nature. 510:92–101. 2014. View Article : Google Scholar : PubMed/NCBI

4 

Buckley CD, Gilroy DW and Serhan CN: Proresolving lipid mediators and mechanisms in the resolution of acute inflammation. Immunity. 40:315–327. 2014. View Article : Google Scholar : PubMed/NCBI

5 

Serhan CN, Krishnamoorthy S, Recchiuti A and Chiang N: Novel anti-inflammatory - pro-resolving mediators and their receptors. Curr Top Med Chem. 11:629–647. 2011. View Article : Google Scholar :

6 

Jin SW, Zhang L, Lian QQ, Liu D, Wu P, Yao SL and Ye DY: Posttreatment with aspirin-triggered lipoxin A4 analog attenuates lipopolysaccharide-induced acute lung injury in mice: the role of heme oxygenase-1. Anesth Analg. 104:369–377. 2007. View Article : Google Scholar : PubMed/NCBI

7 

Walker J, Dichter E, Lacorte G, Kerner D, Spur B, Rodriguez A and Yin K: Lipoxin A4 increases survival by decreasing systemic inflammation and bacterial load in sepsis. Shock. 36:410–416. 2011. View Article : Google Scholar : PubMed/NCBI

8 

Abdelmoaty S, Wigerblad G, Bas DB, Codeluppi S, Fernandez-Zafra T, El-Awady S, Moustafa Y, Abdelhamid AD, Brodin E and Svensson CI: Spinal actions of lipoxin A4 and 17(R)-resolvin D1 attenuate inflammation-induced mechanical hypersensitivity and spinal TNF release. PLoS One. 8:e755432013. View Article : Google Scholar : PubMed/NCBI

9 

Börgeson E, Docherty NG, Murphy M, Rodgers K, Ryan A, O'Sullivan TP, Guiry PJ, Goldschmeding R, Higgins DF and Godson C: Lipoxin A4 and benzo-lipoxin A4 attenuate experimental renal fibrosis. FASEB J. 25:2967–2979. 2011. View Article : Google Scholar

10 

Martins V, Valença SS, Farias-Filho FA, Molinaro R, Simões RL, Ferreira TP, e Silva PM, Hogaboam CM, Kunkel SL, Fierro IM, et al: ATLa, an aspirin-triggered lipoxin A4 synthetic analog, prevents the inflammatory and fibrotic effects of bleomycin-induced pulmonary fibrosis. J Immunol. 182:5374–5381. 2009. View Article : Google Scholar : PubMed/NCBI

11 

Planagumà A, Kazani S, Marigowda G, Haworth O, Mariani TJ, Israel E, Bleecker ER, Curran-Everett D, Erzurum SC, Calhoun WJ, et al: Airway lipoxin A4 generation and lipoxin A4 receptor expression are decreased in severe asthma. Am J Respir Crit Care Med. 178:574–582. 2008. View Article : Google Scholar : PubMed/NCBI

12 

Xia J, Zhou XL, Zhao Y, Zhu YQ, Jiang S and Ni SZ: Roles of lipoxin A4 in preventing paracetamol-induced acute hepatic injury in a rabbit model. Inflammation. 36:1431–1439. 2013. View Article : Google Scholar : PubMed/NCBI

13 

Wu SH, Liao PY, Dong L and Chen ZQ: Signal pathway involved in inhibition by lipoxin A(4) of production of interleukins induced in endothelial cells by lipopolysaccharide. Inflamm Res. 57:430–437. 2008. View Article : Google Scholar : PubMed/NCBI

14 

Sun T, Yu E, Yu L, Luo J, Li H and Fu Z: LipoxinA(4) induced antinociception and decreased expression of NF-κB and pro-inflammatory cytokines after chronic dorsal root ganglia compression in rats. Eur J Pain. 16:18–27. 2012. View Article : Google Scholar

15 

Nishiokada A, Miyoshi M, Fujiwara M, Aoyama-Ishikawa M, Nishiyama Y, Kai M, Maeshige N, Takahashi M, Hamada Y, Usami Y and Usami M: Changes of hepatic lipid mediators associated with intake of high-fat diet for 12 weeks in endotoxemic rats using LC-ESI-MS/MS. Clin Nutr. 33:S22–S23. 2014. View Article : Google Scholar

16 

El-Agamy DS, Makled MN and Gamil NM: Protective effects of BML-111 against acetaminophen-induced acute liver injury in mice. J Physiol Biochem. 70:141–149. 2014. View Article : Google Scholar

17 

Zhou XY, Yu ZJ, Yan D, Wang HM, Huang YH, Sha J, Xu FY, Cai ZY and Min WP: BML-11, a lipoxin receptor agonist, protected carbon tetrachloride-induced hepatic fibrosis in rats. Inflammation. 36:1101–1106. 2013. View Article : Google Scholar : PubMed/NCBI

18 

Liao W, Zeng F, Kang K, Qi Y, Yao L, Yang H, Ling L, Wu N and Wu D: Lipoxin A4 attenuates acute rejection via shifting TH1/TH2 cytokine balance in rat liver transplantation. Transplant Proc. 45:2451–2454. 2013. View Article : Google Scholar : PubMed/NCBI

19 

Hao H, Liu M, Wu P, Cai L, Tang K, Yi P, Li Y, Chen Y and Ye D: Lipoxin A4 and its analog suppress hepatocellular carcinoma via remodeling tumor microenvironment. Cancer Lett. 309:85–94. 2011. View Article : Google Scholar : PubMed/NCBI

20 

Knook DL, Blansjaar N and Sleyster EC: Isolation and characterization of Kupffer and endothelial cells from the rat liver. Exp Cell Res. 109:317–329. 1977. View Article : Google Scholar : PubMed/NCBI

21 

Kono H, Wheeler MD, Rusyn I, Lin M, Seabra V, Rivera CA, Bradford BU, Forman DT and Thurman RG: Gender differences in early alcohol-induced liver injury: role of CD14, NF-kappaB, and TNF-alpha. Am J Physiol Gastrointest Liver Physiol. 278:G652–G661. 2000.PubMed/NCBI

22 

Su GL, Goyert SM, Fan MH, Aminlari A, Gong KQ, Klein RD, Myc A, Alarcon WH, Steinstraesser L, Remick DG and Wang SC: Activation of human and mouse Kupffer cells by lipopolysaccharide is mediated by CD14. Am J Physiol Gastrointest Liver Physiol. 283:G640–G645. 2002. View Article : Google Scholar : PubMed/NCBI

23 

Wu Z, Kong X, Zhang T, Ye J, Fang Z and Yang X: Pseudo-ephedrine/ephedrine shows potent anti-inflammatory activity against TNF-α-mediated acute liver failure induced by lipopolysaccharide/D-galactosamine. Eur J Pharmacol. 724:112–121. 2014. View Article : Google Scholar

24 

Tuñón MJ, Alvarez M, Culebras JM and González-Gallego J: An overview of animal models for investigating the pathogenesis and therapeutic strategies in acute hepatic failure. World J Gastroenterol. 15:3086–3098. 2009. View Article : Google Scholar : PubMed/NCBI

25 

Cosgrove BD, Cheng C, Pritchard JR, Stolz DB, Lauffenburger DA and Griffith LG: An inducible autocrine cascade regulates rat hepatocyte proliferation and apoptosis responses to tumor necrosis factor-alpha. Hepatology. 48:276–288. 2008. View Article : Google Scholar : PubMed/NCBI

26 

Tacke F, Luedde T and Trautwein C: Inflammatory pathways in liver homeostasis and liver injury. Clin Rev Allergy Immunol. 36:4–12. 2009. View Article : Google Scholar

27 

Aroucha DC, do Carmo RF, Moura P, Silva JL, Vasconcelos LR, Cavalcanti MS, Muniz MT, Aroucha ML, Siqueira ER, Cahú GG, et al: High tumor necrosis factor-α/interleukin-10 ratio is associated with hepatocellular carcinoma in patients with chronic hepatitis C. Cytokine. 62:421–425. 2013. View Article : Google Scholar : PubMed/NCBI

28 

Głowacki MK, Cieśla A, Cibor D, Owczarek D, Mach T, Wiliński J and Wiliński B: Selected apoptotic markers in serum of patients with chronic viral hepatitis C. Przegl Lek. 71:369–373. 2014.

29 

Hammam O, Mahmoud O, Zahran M, Sayed A, Salama R, Hosny K and Farghly A: A Possible role for TNF-α in coordinating inflammation and angiogenesis in chronic liver disease and hepatocellular carcinoma. Gastrointest Cancer Res. 6:107–114. 2013.PubMed/NCBI

30 

Kiki I, Yilmaz O, Erdem F, Gundogdu M, Demircan B and Bilici M: Tumour necrosis factor-alpha levels in hepatitis B virus-related chronic active hepatitis and liver cirrhosis and its relationship to Knodell and Child-Pugh scores. Int J Clin Pract. 60:1075–1079. 2006. View Article : Google Scholar : PubMed/NCBI

31 

Zou Z, Li B, Xu D, Zhang Z, Zhao JM, Zhou G, Sun Y, Huang L, Fu J, Yang Y, et al: Imbalanced intrahepatic cytokine expression of interferon-gamma, tumor necrosis factor-alpha, and interleukin-10 in patients with acute-on-chronic liver failure associated with hepatitis B virus infection. J Clin Gastroenterol. 43:182–190. 2009. View Article : Google Scholar

32 

Mao WL, Chen Y, Chen YM and Li LJ: Changes of serum cytokine levels in patients with acute on chronic liver failure treated by plasma exchange. J Clin Gastroenterol. 45:551–555. 2011. View Article : Google Scholar

33 

Nowak M, Gaines GC, Rosenberg J, Minter R, Bahjat FR, Rectenwald J, MacKay SL, Edwards CK III and Moldawer LL: LPS-induced liver injury in D-galactosamine-sensitized mice requires secreted TNF-alpha and the TNF-p55 receptor. Am J Physiol Regul Integr Comp Physiol. 278:R1202–R1209. 2000.PubMed/NCBI

34 

Huang YH, Wang HM, Cai ZY, Xu FY and Zhou XY: Lipoxin A4 inhibits NF-κB activation and cell cycle progression in RAW264.7 cells. Inflammation. 37:1084–1090. 2014. View Article : Google Scholar : PubMed/NCBI

35 

Nemeth E, Baird AW and O'Farrelly C: Microanatomy of the liver immune system. Semin Immunopathol. 31:333–343. 2009. View Article : Google Scholar : PubMed/NCBI

36 

Norris CA, He M, Kang LI, Ding MQ, Radder JE, Haynes MM, Yang Y, Paranjpe S, Bowen WC and Orr A: Synthesis of IL-6 by hepatocytes is a normal response to common hepatic stimuli. PLoS One. 9:e960532014. View Article : Google Scholar : PubMed/NCBI

37 

Börgeson E, Johnson AM, Lee YS, Till A, Syed GH, Ali-Shah ST, Guiry PJ, Dalli J, Colas RA, Serhan CN, et al: Lipoxin A4 attenuates obesity-induced adipose inflammation and associated liver and kidney disease. Cell Metab. 22:125–137. 2015. View Article : Google Scholar : PubMed/NCBI

38 

Ogushi I, Iimuro Y, Seki E, Son G, Hirano T, Hada T, Tsutsui H, Nakanishi K, Morishita R, Kaneda Y and Fujimoto J: Nuclear factor kappa B decoy oligodeoxynucleotides prevent endotoxin-induced fatal liver failure in a murine model. Hepatology. 38:335–344. 2003. View Article : Google Scholar : PubMed/NCBI

39 

Hoffmann F, Sass G, Zillies J, Zahler S, Tiegs G, Hartkorn A, Fuchs S, Wagner J, Winter G, Coester C, et al: A novel technique for selective NF-kappaB inhibition in Kupffer cells: contrary effects in fulminant hepatitis and ischaemia-reperfusion. Gut. 58:1670–1678. 2009. View Article : Google Scholar : PubMed/NCBI

40 

Hagar HH: An insight into the possible protective effect of pyrrolidine dithiocarbamate against lipopolysaccharide-induced oxidative stress and acute hepatic injury in rats. Saudi Pharm J. 17:259–267. 2009. View Article : Google Scholar : PubMed/NCBI

Related Articles

  • Abstract
  • View
  • Download
  • Twitter
Copy and paste a formatted citation
Spandidos Publications style
Jiang X, Li Z, Jiang S, Tong X, Zou X, Wang W, Zhang Z, Wu L and Tian D: Lipoxin A4 exerts protective effects against experimental acute liver failure by inhibiting the NF-κB pathway. Int J Mol Med 37: 773-780, 2016.
APA
Jiang, X., Li, Z., Jiang, S., Tong, X., Zou, X., Wang, W. ... Tian, D. (2016). Lipoxin A4 exerts protective effects against experimental acute liver failure by inhibiting the NF-κB pathway. International Journal of Molecular Medicine, 37, 773-780. https://doi.org/10.3892/ijmm.2016.2483
MLA
Jiang, X., Li, Z., Jiang, S., Tong, X., Zou, X., Wang, W., Zhang, Z., Wu, L., Tian, D."Lipoxin A4 exerts protective effects against experimental acute liver failure by inhibiting the NF-κB pathway". International Journal of Molecular Medicine 37.3 (2016): 773-780.
Chicago
Jiang, X., Li, Z., Jiang, S., Tong, X., Zou, X., Wang, W., Zhang, Z., Wu, L., Tian, D."Lipoxin A4 exerts protective effects against experimental acute liver failure by inhibiting the NF-κB pathway". International Journal of Molecular Medicine 37, no. 3 (2016): 773-780. https://doi.org/10.3892/ijmm.2016.2483
Copy and paste a formatted citation
x
Spandidos Publications style
Jiang X, Li Z, Jiang S, Tong X, Zou X, Wang W, Zhang Z, Wu L and Tian D: Lipoxin A4 exerts protective effects against experimental acute liver failure by inhibiting the NF-κB pathway. Int J Mol Med 37: 773-780, 2016.
APA
Jiang, X., Li, Z., Jiang, S., Tong, X., Zou, X., Wang, W. ... Tian, D. (2016). Lipoxin A4 exerts protective effects against experimental acute liver failure by inhibiting the NF-κB pathway. International Journal of Molecular Medicine, 37, 773-780. https://doi.org/10.3892/ijmm.2016.2483
MLA
Jiang, X., Li, Z., Jiang, S., Tong, X., Zou, X., Wang, W., Zhang, Z., Wu, L., Tian, D."Lipoxin A4 exerts protective effects against experimental acute liver failure by inhibiting the NF-κB pathway". International Journal of Molecular Medicine 37.3 (2016): 773-780.
Chicago
Jiang, X., Li, Z., Jiang, S., Tong, X., Zou, X., Wang, W., Zhang, Z., Wu, L., Tian, D."Lipoxin A4 exerts protective effects against experimental acute liver failure by inhibiting the NF-κB pathway". International Journal of Molecular Medicine 37, no. 3 (2016): 773-780. https://doi.org/10.3892/ijmm.2016.2483
Follow us
  • Twitter
  • LinkedIn
  • Facebook
About
  • Spandidos Publications
  • Careers
  • Cookie Policy
  • Privacy Policy
How can we help?
  • Help
  • Live Chat
  • Contact
  • Email to our Support Team