Spandidos Publications Logo
  • About
    • About Spandidos
    • Aims and Scopes
    • Abstracting and Indexing
    • Editorial Policies
    • Reprints and Permissions
    • Job Opportunities
    • Terms and Conditions
    • Contact
  • Journals
    • All Journals
    • Oncology Letters
      • Oncology Letters
      • Information for Authors
      • Editorial Policies
      • Editorial Board
      • Aims and Scope
      • Abstracting and Indexing
      • Bibliographic Information
      • Archive
    • International Journal of Oncology
      • International Journal of Oncology
      • Information for Authors
      • Editorial Policies
      • Editorial Board
      • Aims and Scope
      • Abstracting and Indexing
      • Bibliographic Information
      • Archive
    • Molecular and Clinical Oncology
      • Molecular and Clinical Oncology
      • Information for Authors
      • Editorial Policies
      • Editorial Board
      • Aims and Scope
      • Abstracting and Indexing
      • Bibliographic Information
      • Archive
    • Experimental and Therapeutic Medicine
      • Experimental and Therapeutic Medicine
      • Information for Authors
      • Editorial Policies
      • Editorial Board
      • Aims and Scope
      • Abstracting and Indexing
      • Bibliographic Information
      • Archive
    • International Journal of Molecular Medicine
      • International Journal of Molecular Medicine
      • Information for Authors
      • Editorial Policies
      • Editorial Board
      • Aims and Scope
      • Abstracting and Indexing
      • Bibliographic Information
      • Archive
    • Biomedical Reports
      • Biomedical Reports
      • Information for Authors
      • Editorial Policies
      • Editorial Board
      • Aims and Scope
      • Abstracting and Indexing
      • Bibliographic Information
      • Archive
    • Oncology Reports
      • Oncology Reports
      • Information for Authors
      • Editorial Policies
      • Editorial Board
      • Aims and Scope
      • Abstracting and Indexing
      • Bibliographic Information
      • Archive
    • Molecular Medicine Reports
      • Molecular Medicine Reports
      • Information for Authors
      • Editorial Policies
      • Editorial Board
      • Aims and Scope
      • Abstracting and Indexing
      • Bibliographic Information
      • Archive
    • World Academy of Sciences Journal
      • World Academy of Sciences Journal
      • Information for Authors
      • Editorial Policies
      • Editorial Board
      • Aims and Scope
      • Abstracting and Indexing
      • Bibliographic Information
      • Archive
    • International Journal of Functional Nutrition
      • International Journal of Functional Nutrition
      • Information for Authors
      • Editorial Policies
      • Editorial Board
      • Aims and Scope
      • Abstracting and Indexing
      • Bibliographic Information
      • Archive
    • International Journal of Epigenetics
      • International Journal of Epigenetics
      • Information for Authors
      • Editorial Policies
      • Editorial Board
      • Aims and Scope
      • Abstracting and Indexing
      • Bibliographic Information
      • Archive
    • Medicine International
      • Medicine International
      • Information for Authors
      • Editorial Policies
      • Editorial Board
      • Aims and Scope
      • Abstracting and Indexing
      • Bibliographic Information
      • Archive
  • Articles
  • Information
    • Information for Authors
    • Information for Reviewers
    • Information for Librarians
    • Information for Advertisers
    • Conferences
  • Language Editing
Spandidos Publications Logo
  • About
    • About Spandidos
    • Aims and Scopes
    • Abstracting and Indexing
    • Editorial Policies
    • Reprints and Permissions
    • Job Opportunities
    • Terms and Conditions
    • Contact
  • Journals
    • All Journals
    • Biomedical Reports
      • Information for Authors
      • Editorial Policies
      • Editorial Board
      • Aims and Scope
      • Abstracting and Indexing
      • Bibliographic Information
      • Archive
    • Experimental and Therapeutic Medicine
      • Information for Authors
      • Editorial Policies
      • Editorial Board
      • Aims and Scope
      • Abstracting and Indexing
      • Bibliographic Information
      • Archive
    • International Journal of Epigenetics
      • Information for Authors
      • Editorial Policies
      • Editorial Board
      • Aims and Scope
      • Abstracting and Indexing
      • Bibliographic Information
      • Archive
    • International Journal of Functional Nutrition
      • Information for Authors
      • Editorial Policies
      • Editorial Board
      • Aims and Scope
      • Abstracting and Indexing
      • Bibliographic Information
      • Archive
    • International Journal of Molecular Medicine
      • Information for Authors
      • Editorial Policies
      • Editorial Board
      • Aims and Scope
      • Abstracting and Indexing
      • Bibliographic Information
      • Archive
    • International Journal of Oncology
      • Information for Authors
      • Editorial Policies
      • Editorial Board
      • Aims and Scope
      • Abstracting and Indexing
      • Bibliographic Information
      • Archive
    • Medicine International
      • Information for Authors
      • Editorial Policies
      • Editorial Board
      • Aims and Scope
      • Abstracting and Indexing
      • Bibliographic Information
      • Archive
    • Molecular and Clinical Oncology
      • Information for Authors
      • Editorial Policies
      • Editorial Board
      • Aims and Scope
      • Abstracting and Indexing
      • Bibliographic Information
      • Archive
    • Molecular Medicine Reports
      • Information for Authors
      • Editorial Policies
      • Editorial Board
      • Aims and Scope
      • Abstracting and Indexing
      • Bibliographic Information
      • Archive
    • Oncology Letters
      • Information for Authors
      • Editorial Policies
      • Editorial Board
      • Aims and Scope
      • Abstracting and Indexing
      • Bibliographic Information
      • Archive
    • Oncology Reports
      • Information for Authors
      • Editorial Policies
      • Editorial Board
      • Aims and Scope
      • Abstracting and Indexing
      • Bibliographic Information
      • Archive
    • World Academy of Sciences Journal
      • Information for Authors
      • Editorial Policies
      • Editorial Board
      • Aims and Scope
      • Abstracting and Indexing
      • Bibliographic Information
      • Archive
  • Articles
  • Information
    • For Authors
    • For Reviewers
    • For Librarians
    • For Advertisers
    • Conferences
  • Language Editing
Login Register Submit
  • This site uses cookies
  • You can change your cookie settings at any time by following the instructions in our Cookie Policy. To find out more, you may read our Privacy Policy.

    I agree
Search articles by DOI, keyword, author or affiliation
Search
Advanced Search
presentation
International Journal of Molecular Medicine
Join Editorial Board Propose a Special Issue
Print ISSN: 1107-3756 Online ISSN: 1791-244X
Journal Cover
August-2018 Volume 42 Issue 2

Full Size Image

Sign up for eToc alerts
Recommend to Library

Journals

International Journal of Molecular Medicine

International Journal of Molecular Medicine

International Journal of Molecular Medicine is an international journal devoted to molecular mechanisms of human disease.

International Journal of Oncology

International Journal of Oncology

International Journal of Oncology is an international journal devoted to oncology research and cancer treatment.

Molecular Medicine Reports

Molecular Medicine Reports

Covers molecular medicine topics such as pharmacology, pathology, genetics, neuroscience, infectious diseases, molecular cardiology, and molecular surgery.

Oncology Reports

Oncology Reports

Oncology Reports is an international journal devoted to fundamental and applied research in Oncology.

Experimental and Therapeutic Medicine

Experimental and Therapeutic Medicine

Experimental and Therapeutic Medicine is an international journal devoted to laboratory and clinical medicine.

Oncology Letters

Oncology Letters

Oncology Letters is an international journal devoted to Experimental and Clinical Oncology.

Biomedical Reports

Biomedical Reports

Explores a wide range of biological and medical fields, including pharmacology, genetics, microbiology, neuroscience, and molecular cardiology.

Molecular and Clinical Oncology

Molecular and Clinical Oncology

International journal addressing all aspects of oncology research, from tumorigenesis and oncogenes to chemotherapy and metastasis.

World Academy of Sciences Journal

World Academy of Sciences Journal

Multidisciplinary open-access journal spanning biochemistry, genetics, neuroscience, environmental health, and synthetic biology.

International Journal of Functional Nutrition

International Journal of Functional Nutrition

Open-access journal combining biochemistry, pharmacology, immunology, and genetics to advance health through functional nutrition.

International Journal of Epigenetics

International Journal of Epigenetics

Publishes open-access research on using epigenetics to advance understanding and treatment of human disease.

Medicine International

Medicine International

An International Open Access Journal Devoted to General Medicine.

Journal Cover
August-2018 Volume 42 Issue 2

Full Size Image

Sign up for eToc alerts
Recommend to Library

  • Article
  • Citations
    • Cite This Article
    • Download Citation
    • Create Citation Alert
    • Remove Citation Alert
    • Cited By
  • Similar Articles
    • Related Articles (in Spandidos Publications)
    • Similar Articles (Google Scholar)
    • Similar Articles (PubMed)
  • Download PDF
  • Download XML
  • View XML
Article Open Access

Physcion 8‑O‑β‑glucopyranoside extracted from Polygonum cuspidatum exhibits anti‑proliferative and anti‑inflammatory effects on MH7A rheumatoid arthritis‑derived fibroblast‑like synoviocytes through the TGF‑β/MAPK pathway

  • Authors:
    • Qin Geng
    • Qiaofeng Wei
    • Shujun Wang
    • Huili Qi
    • Qin Zhu
    • Xia Liu
    • Xiaojun Shi
    • Shuyun Wen
  • View Affiliations / Copyright

    Affiliations: Department of Rheumatology, Shandong Zibo Central Hospital, Zibo, Shandong 255036, P.R. China, Dezhou People's Hospital, Department of Traditional Chinese Medicine Rheumatology, Dezhou, Shandong 253000, P.R. China
    Copyright: © Geng et al. This is an open access article distributed under the terms of Creative Commons Attribution License.
  • Pages: 745-754
    |
    Published online on: April 30, 2018
       https://doi.org/10.3892/ijmm.2018.3649
  • Expand metrics +
Metrics: Total Views: 0 (Spandidos Publications: | PMC Statistics: )
Metrics: Total PDF Downloads: 0 (Spandidos Publications: | PMC Statistics: )
Cited By (CrossRef): 0 citations Loading Articles...

This article is mentioned in:



Abstract

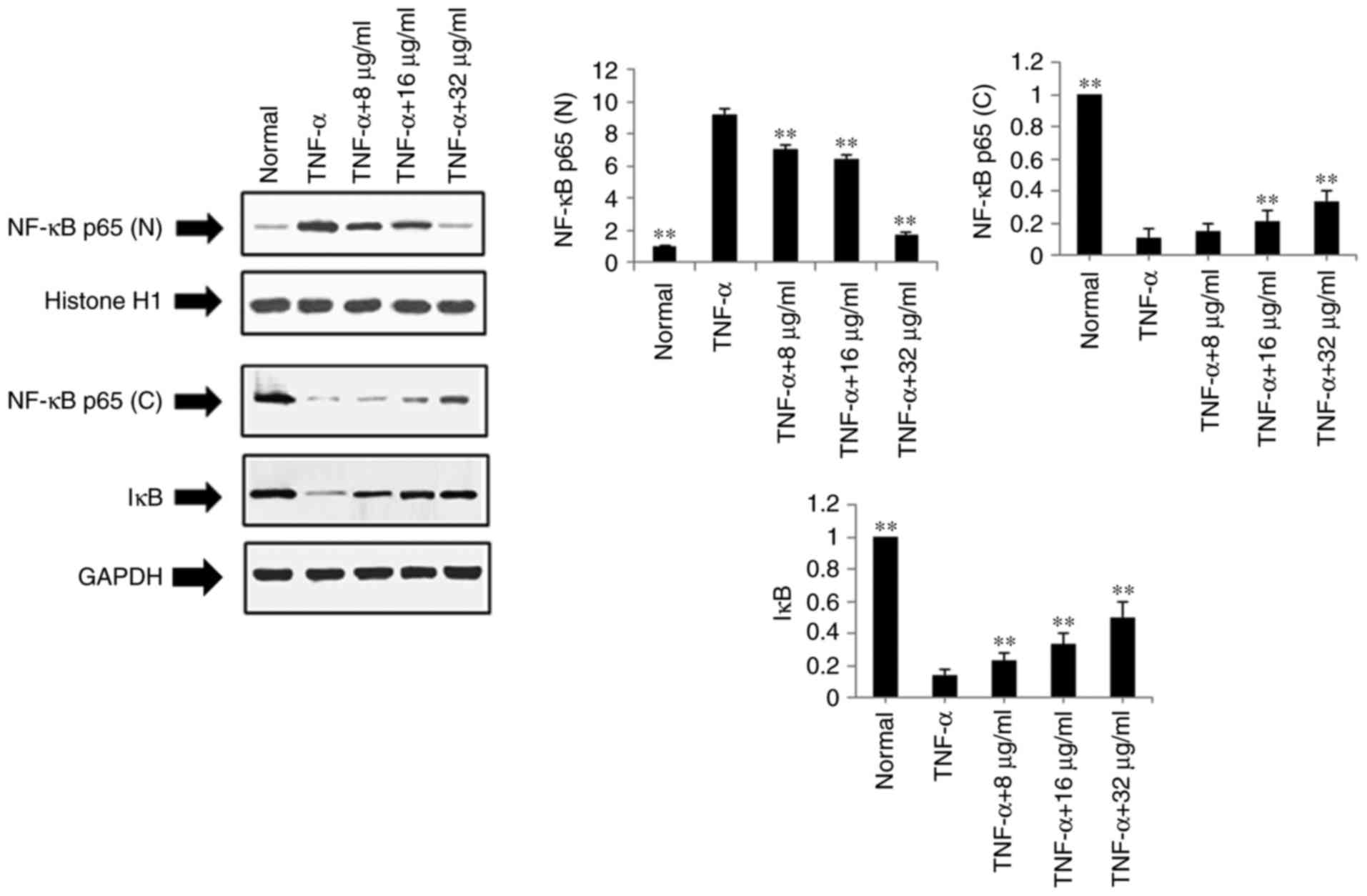
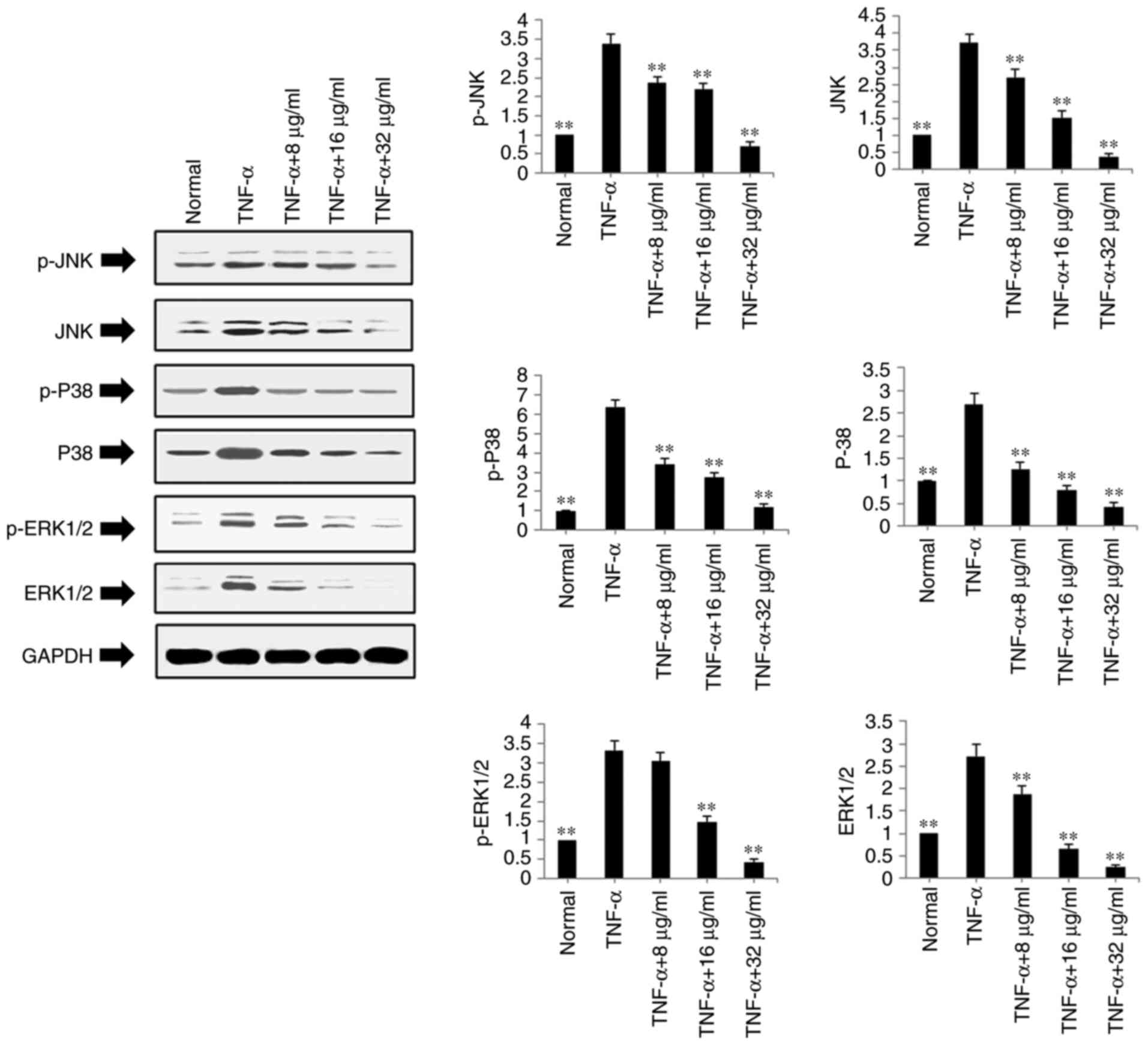
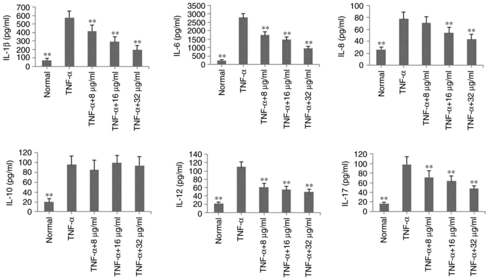
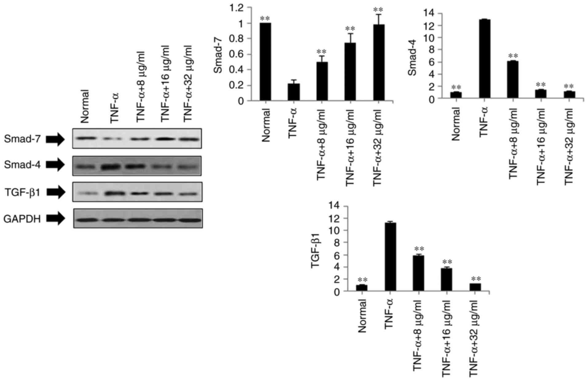
The present study aimed to investigate the anti‑arthritic effect of physcion 8‑O‑β‑glucopyranoside (POGD) and its possible mechanisms. The anti‑proliferative effects of POGD on MH7A cells were detected using a CCK‑8 assay, and the release of pro‑inflammatory cytokines, interleukin (IL)‑1β, IL‑6, IL‑8, IL‑12 and IL‑17A, were determined by ELISA. A type II collagen‑induced arthritis (CIA) rat model was established to evaluate the anti‑arthritic effect of POGD in vivo. The paw volumes, arthritis indices and serum levels of tumor necrosis factor (TNF)‑α, IL‑1β, IL‑6, IL‑8, IL‑17A were determined by ELISA. The mRNA expression levels of matrix metalloproteinase (MMP)‑2, MMP‑3, MMP‑9, vascular endothelial growth factor and cyclooxygenase‑2 were determined by reverse transcription‑quantitative polymerase chain reaction analysis, and the expression levels of transforming growth factor (TGF)‑β1, small mothers against decapentaplegic (Smad)4, Smad7, c‑Jun N‑terminal kinase (JNK), phosphorylated (p‑)JNK, p‑P38, P38, p‑extracellular signal‑regulated kinase (ERK)1/2, ERK1/2, nuclear factor (NF)‑κB p65 in the nucleus (N), cytosolic NF‑κB p65 (C), and inhibitor of NF‑κB (IκB) were determined by western blot analysis. The results indicated that POGD significantly inhibited MH7A cell growth. POGD markedly inhibited paw swelling and the arthritis indices of the CIA rats, and POGD may also inhibit the release of pro‑inflammatory cytokines. Furthermore, POGD downregulated the expression levels of TGF‑β1, Smad4, NF‑κB p65 (N), p38, p‑p38, p‑ERK1/2, JNK, p‑JNK, TGF‑β1, Smad4, p‑JNK, JNK, p‑P38, P38, p‑ERK1/2, ERK1/2 and NF‑κB p65 (N), and upregulated the Smad7, NF‑κB p65 (C) and IκB in TNF‑α induced MH7A cells. In conclusion, the results suggested that POGD is a promising potential anti‑inflammatory drug, and that POGD may decrease the expression of pro‑inflammatory cytokines and mediators via inhibiting the TGF‑β/NF‑κB/mitogen‑activated protein kinase pathways.
View Figures

Figure 1

Figure 2

Figure 3

Figure 4

Figure 5

Figure 6

Figure 7

Figure 8

Figure 9

View References

1 

Okada Y, Wu D, Trynka G, Raj T, Terao C, Ikari K, Kochi Y, Ohmura K, Suzuki A, Yoshida S, et al: Genetics of rheumatoid arthritis contributes to biology and drug discovery. Nature. 506:376–381. 2014. View Article : Google Scholar : PubMed/NCBI

2 

Fry J, Moulds A, Strube G and Gambrill E: Rheumatic diseases. In: The family good health guide. Springer. 157–164. 1982.

3 

Collison J: Experimental arthritis: Do you want to treat arthritis? IDO2. Nat Rev Rheumatol. 13:196–197. 2017.PubMed/NCBI

4 

Firestein GS and McInnes IB: Immunopathogenesis of rheumatoid arthritis. Immunity. 46:183–196. 2017. View Article : Google Scholar : PubMed/NCBI

5 

Calabrese LH, Calabrese C and Kirchner E: The 2015 American college of rheumatology guideline for the treatment of rheumatoid arthritis should include new standards for hepatitis B screening: Comment on the article by Singh et al. Arthritis Care Res. 68:723–724. 2016. View Article : Google Scholar

6 

Singh JA, Saag KG, Bridges SL Jr, Akl EA, Bannuru RR, Sullivan MC, Vaysbrot E, McNaughton C, Osani M, Shmerling RH, et al: 2015 American college of rheumatology guideline for the treatment of rheumatoid arthritis. Arthritis Rheumatol. 68:1–26. 2016. View Article : Google Scholar

7 

Mor A, Abramson SB and Pillinger MH: The fibroblast-like synovial cell in rheumatoid arthritis: A key player in inflammation and joint destruction. Clin Immunol. 115:118–128. 2005. View Article : Google Scholar : PubMed/NCBI

8 

Peng W, Qin R, Li X and Zhou H: Botany, phytochemistry, pharmacology, and potential application of Polygonum cuspidatum Sieb.et Zucc.: A review. J Ethnopharmacol. 148:729–745. 2013. View Article : Google Scholar : PubMed/NCBI

9 

Xie QC and Yang YP: Anti-proliferative of physcion 8-O-β-glucopyranoside isolated from Rumex japonicus Houtt. on A549 cell lines via inducing apoptosis and cell cycle arrest. BMC Complement Altern Med. 14:3772014. View Article : Google Scholar

10 

Zhao KS, Jin C, Huang X, Liu J, Yan WS, Huang Q and Kan W: The mechanism of Polydatin in shock treatment. Clin Hemorheol Microcirc. 29:211–217. 2003.

11 

Bralley EE, Greenspan P, Hargrove JL, Wicker L and Hartle DK: Topical anti-inflammatory activity of Polygonum cuspidatum extract in the TPA model of mouse ear inflammation. J Inflamm. 5:12008. View Article : Google Scholar

12 

Hsu CY, Chan YP and Chang J: Antioxidant activity of extract from Polygonum cuspidatum. Biol Res. 40:13–21. 2007. View Article : Google Scholar : PubMed/NCBI

13 

Kimura Y and Okuda H: Resveratrol isolated from Polygonum cuspidatum root prevents tumor growth and metastasis to lung and tumor-induced neovascularization in Lewis lung carcinoma-bearing mice. J Nutri. 131:1844–1849. 2001. View Article : Google Scholar

14 

Zhang H, Yu CH, Jiang YP, Peng C, He K, Tang JY and Xin HL: Protective effects of polydatin from Polygonum cuspidatum against carbon tetrachloride-induced liver injury in mice. PLoS One. 7:e465742012. View Article : Google Scholar : PubMed/NCBI

15 

Livak KJ and Schmittgen TD: Analysis of relative gene expression data using real-time quantitative PCR and the 2−ΔΔC T method. Methods. 25:402–408. 2001. View Article : Google Scholar

16 

Pu J, Fang FF, Li XQ, Shu ZH, Jiang YP, Han T, Peng W and Zheng CJ: Matrine exerts a strong anti-arthritic effect on type II collagen-induced arthritis in rats by inhibiting inflammatory responses. Int J Mol Sci. 17:E14102016. View Article : Google Scholar : PubMed/NCBI

17 

Tran CN, Lundy SK and Fox DA: Synovial biology and T cells in rheumatoid arthritis. Pathophysiology. 12:183–189. 2005. View Article : Google Scholar : PubMed/NCBI

18 

Ospelt C and Gay S: The role of resident synovial cells in destructive arthritis. Best Prac Res Clin Rheumatol. 22:239–252. 2008. View Article : Google Scholar

19 

Zuo J, Xia Y, Li X, Ou-Yang Z and Chen JW: Selective modulation of MAPKs contribute to the anti-proliferative and anti-inflammatory activities of 17-dihydroxy-3,4-dimethoxyxanthone in rheumatoid arthritis-derived fibroblast-like synoviocyte MH7A cells. J Ethnopharmacol. 168:248–254. 2015. View Article : Google Scholar : PubMed/NCBI

20 

Myers LK, Rosloniec EF, Cremer MA and Kang AH: Collagen-induced arthritis, an animal model of autoimmunity. Life Sci. 61:1861–1878. 1997. View Article : Google Scholar : PubMed/NCBI

21 

Giles JT, Bartlett SJ, Gelber AC, Nanda S, Fontaine K, Ruffing V and Bathon JM: Tumor necrosis factor inhibitor therapy and risk of serious postoperative orthopedic infection in rheumatoid arthritis. Arthritis Rheum. 55:333–337. 2006. View Article : Google Scholar : PubMed/NCBI

22 

Umar S, Hedaya O, Singh AK and Ahmed S: Thymoquinone inhibits TNF-α-induced inflammation and cell adhesion in rheumatoid arthritis synovial fibroblasts by ASK1 regulation. Toxicol Appl Pharmacol. 287:299–305. 2015. View Article : Google Scholar : PubMed/NCBI

23 

Lianxu C, Hongti J and Changlong Y: NF-kappaBp65-specific siRNA inhibits expression of genes of COX-2, NOS-2 and MMP-9 in rat IL-1beta-induced and TNF-alpha-induced chon-drocytes. Osteoarthritis Cartilage. 14:367–376. 2006. View Article : Google Scholar

24 

Tian J, Chen JW, Gao JS, Li L and Xie X: Resveratrol inhibits TNF-α-induced IL-1β, MMP-3 production in human rheumatoid arthritis fibroblast-like synoviocytes via modulation of PI3k inase/Akt pathway. Rheumatol Int. 33:1829–1835. 2013. View Article : Google Scholar : PubMed/NCBI

25 

Burrage PS, Mix KS and Brinckerhoff CE: Matrix metalloproteinases: Role in arthritis. Front Biosci. 11:529–543. 2006. View Article : Google Scholar

26 

Aggarwal BB, Shishodia S, Sandur SK, Pandey MK and Sethi G: Inflammation and cancer: How hot is the link. Biochem Pharmacol. 72:1605–1621. 2006. View Article : Google Scholar : PubMed/NCBI

27 

Hawkey CJ: COX-2 inhibitors. Lancet. 353:307–314. 1999. View Article : Google Scholar : PubMed/NCBI

28 

Koch A: Angiogenesis as a target in rheumatoid arthritis. Ann Rheum Dis. 62(Suppl 2): ii60–ii67. 2003. View Article : Google Scholar : PubMed/NCBI

29 

Nagashima M, Yoshino S, Ishiwata T and Asano G: Role of vascular endothelial growth factor in angiogenesis of rheumatoid arthritis. J Rheumatol. 22:1624–1630. 1995.PubMed/NCBI

30 

Paleolog EM, Young S, Stark AC, McCloskey RV, Feldmann M and Maini RN: Modulation of angiogenic vascular endothelial growth factor by tumor necrosis factor α and interleukin-1 in rheumatoid arthritis. Arthritis Rheum. 41:1258–1265. 1998. View Article : Google Scholar : PubMed/NCBI

31 

Cheon H, YU SJ, Yoo DH, Chae IJ, Song GG and Sohn J: Increased expression of pro-inflammatory cytokines and metalloproteinase-1 by TGF-beta1 in synovial fibroblasts from rheumatoid arthritis and normal individuals. Clin Exp Immunol. 127:547–552. 2002. View Article : Google Scholar : PubMed/NCBI

32 

Goldring S: Pathogenesis of bone and cartilage destruction in rheumatoid arthritis. Rheumatology. 42(Suppl 2): ii11–ii16. 2003. View Article : Google Scholar : PubMed/NCBI

33 

Keyse SM: Dual-specificity MAP kinase phosphatases (MKPs) and cancer. Cancer Metastasis Rev. 27:253–261. 2008. View Article : Google Scholar : PubMed/NCBI

34 

Kaminska B: MAPK signalling pathways as molecular targets for anti-inflammatory therapy-from molecular mechanisms to therapeutic benefits. Biochim Biophys Acta. 1754:253–262. 2005. View Article : Google Scholar : PubMed/NCBI

35 

Johnson GL and Lapadat R: Mitogen-activated protein kinase pathways mediated by ERK, JNK, and p38 protein kinases. Science. 298:1911–1912. 2002. View Article : Google Scholar : PubMed/NCBI

36 

Baker RG, Hayden MS and Ghosh S: NF-κB, inflammation, and metabolic disease. Cell Metab. 13:11–22. 2011. View Article : Google Scholar : PubMed/NCBI

37 

Vallabhapurapu S and Karin M: Regulation and function of NF-kappaB transcription factors in the immune system. Ann Rev Immunol. 27:693–733. 2009. View Article : Google Scholar

38 

Beg AA and Baldwin AS Jr: The I kappa B proteins: Multifunctional regulators of Rel/NF-kappa B transcription factors. Genes Dev. 7:2064–2070. 1993. View Article : Google Scholar : PubMed/NCBI

39 

Lyss G, Knorre A, Schmidt TJ, Pahl HL and Merfort I: The anti-inflammatory sesquiterpene lactone helenalin inhibits the transcription factor NF-kappaB by directly targeting p65. J Biol Chem. 273:33508–33516. 1998. View Article : Google Scholar : PubMed/NCBI

Related Articles

  • Abstract
  • View
  • Download
  • Twitter
Copy and paste a formatted citation
Spandidos Publications style
Geng Q, Wei Q, Wang S, Qi H, Zhu Q, Liu X, Shi X and Wen S: Physcion 8‑O‑β‑glucopyranoside extracted from Polygonum cuspidatum exhibits anti‑proliferative and anti‑inflammatory effects on MH7A rheumatoid arthritis‑derived fibroblast‑like synoviocytes through the TGF‑β/MAPK pathway. Int J Mol Med 42: 745-754, 2018.
APA
Geng, Q., Wei, Q., Wang, S., Qi, H., Zhu, Q., Liu, X. ... Wen, S. (2018). Physcion 8‑O‑β‑glucopyranoside extracted from Polygonum cuspidatum exhibits anti‑proliferative and anti‑inflammatory effects on MH7A rheumatoid arthritis‑derived fibroblast‑like synoviocytes through the TGF‑β/MAPK pathway. International Journal of Molecular Medicine, 42, 745-754. https://doi.org/10.3892/ijmm.2018.3649
MLA
Geng, Q., Wei, Q., Wang, S., Qi, H., Zhu, Q., Liu, X., Shi, X., Wen, S."Physcion 8‑O‑β‑glucopyranoside extracted from Polygonum cuspidatum exhibits anti‑proliferative and anti‑inflammatory effects on MH7A rheumatoid arthritis‑derived fibroblast‑like synoviocytes through the TGF‑β/MAPK pathway". International Journal of Molecular Medicine 42.2 (2018): 745-754.
Chicago
Geng, Q., Wei, Q., Wang, S., Qi, H., Zhu, Q., Liu, X., Shi, X., Wen, S."Physcion 8‑O‑β‑glucopyranoside extracted from Polygonum cuspidatum exhibits anti‑proliferative and anti‑inflammatory effects on MH7A rheumatoid arthritis‑derived fibroblast‑like synoviocytes through the TGF‑β/MAPK pathway". International Journal of Molecular Medicine 42, no. 2 (2018): 745-754. https://doi.org/10.3892/ijmm.2018.3649
Copy and paste a formatted citation
x
Spandidos Publications style
Geng Q, Wei Q, Wang S, Qi H, Zhu Q, Liu X, Shi X and Wen S: Physcion 8‑O‑β‑glucopyranoside extracted from Polygonum cuspidatum exhibits anti‑proliferative and anti‑inflammatory effects on MH7A rheumatoid arthritis‑derived fibroblast‑like synoviocytes through the TGF‑β/MAPK pathway. Int J Mol Med 42: 745-754, 2018.
APA
Geng, Q., Wei, Q., Wang, S., Qi, H., Zhu, Q., Liu, X. ... Wen, S. (2018). Physcion 8‑O‑β‑glucopyranoside extracted from Polygonum cuspidatum exhibits anti‑proliferative and anti‑inflammatory effects on MH7A rheumatoid arthritis‑derived fibroblast‑like synoviocytes through the TGF‑β/MAPK pathway. International Journal of Molecular Medicine, 42, 745-754. https://doi.org/10.3892/ijmm.2018.3649
MLA
Geng, Q., Wei, Q., Wang, S., Qi, H., Zhu, Q., Liu, X., Shi, X., Wen, S."Physcion 8‑O‑β‑glucopyranoside extracted from Polygonum cuspidatum exhibits anti‑proliferative and anti‑inflammatory effects on MH7A rheumatoid arthritis‑derived fibroblast‑like synoviocytes through the TGF‑β/MAPK pathway". International Journal of Molecular Medicine 42.2 (2018): 745-754.
Chicago
Geng, Q., Wei, Q., Wang, S., Qi, H., Zhu, Q., Liu, X., Shi, X., Wen, S."Physcion 8‑O‑β‑glucopyranoside extracted from Polygonum cuspidatum exhibits anti‑proliferative and anti‑inflammatory effects on MH7A rheumatoid arthritis‑derived fibroblast‑like synoviocytes through the TGF‑β/MAPK pathway". International Journal of Molecular Medicine 42, no. 2 (2018): 745-754. https://doi.org/10.3892/ijmm.2018.3649
Follow us
  • Twitter
  • LinkedIn
  • Facebook
About
  • Spandidos Publications
  • Careers
  • Cookie Policy
  • Privacy Policy
How can we help?
  • Help
  • Live Chat
  • Contact
  • Email to our Support Team