Spandidos Publications Logo
  • About
    • About Spandidos
    • Aims and Scopes
    • Abstracting and Indexing
    • Editorial Policies
    • Reprints and Permissions
    • Job Opportunities
    • Terms and Conditions
    • Contact
  • Journals
    • All Journals
    • Oncology Letters
      • Oncology Letters
      • Information for Authors
      • Editorial Policies
      • Editorial Board
      • Aims and Scope
      • Abstracting and Indexing
      • Bibliographic Information
      • Archive
    • International Journal of Oncology
      • International Journal of Oncology
      • Information for Authors
      • Editorial Policies
      • Editorial Board
      • Aims and Scope
      • Abstracting and Indexing
      • Bibliographic Information
      • Archive
    • Molecular and Clinical Oncology
      • Molecular and Clinical Oncology
      • Information for Authors
      • Editorial Policies
      • Editorial Board
      • Aims and Scope
      • Abstracting and Indexing
      • Bibliographic Information
      • Archive
    • Experimental and Therapeutic Medicine
      • Experimental and Therapeutic Medicine
      • Information for Authors
      • Editorial Policies
      • Editorial Board
      • Aims and Scope
      • Abstracting and Indexing
      • Bibliographic Information
      • Archive
    • International Journal of Molecular Medicine
      • International Journal of Molecular Medicine
      • Information for Authors
      • Editorial Policies
      • Editorial Board
      • Aims and Scope
      • Abstracting and Indexing
      • Bibliographic Information
      • Archive
    • Biomedical Reports
      • Biomedical Reports
      • Information for Authors
      • Editorial Policies
      • Editorial Board
      • Aims and Scope
      • Abstracting and Indexing
      • Bibliographic Information
      • Archive
    • Oncology Reports
      • Oncology Reports
      • Information for Authors
      • Editorial Policies
      • Editorial Board
      • Aims and Scope
      • Abstracting and Indexing
      • Bibliographic Information
      • Archive
    • Molecular Medicine Reports
      • Molecular Medicine Reports
      • Information for Authors
      • Editorial Policies
      • Editorial Board
      • Aims and Scope
      • Abstracting and Indexing
      • Bibliographic Information
      • Archive
    • World Academy of Sciences Journal
      • World Academy of Sciences Journal
      • Information for Authors
      • Editorial Policies
      • Editorial Board
      • Aims and Scope
      • Abstracting and Indexing
      • Bibliographic Information
      • Archive
    • International Journal of Functional Nutrition
      • International Journal of Functional Nutrition
      • Information for Authors
      • Editorial Policies
      • Editorial Board
      • Aims and Scope
      • Abstracting and Indexing
      • Bibliographic Information
      • Archive
    • International Journal of Epigenetics
      • International Journal of Epigenetics
      • Information for Authors
      • Editorial Policies
      • Editorial Board
      • Aims and Scope
      • Abstracting and Indexing
      • Bibliographic Information
      • Archive
    • Medicine International
      • Medicine International
      • Information for Authors
      • Editorial Policies
      • Editorial Board
      • Aims and Scope
      • Abstracting and Indexing
      • Bibliographic Information
      • Archive
  • Articles
  • Information
    • Information for Authors
    • Information for Reviewers
    • Information for Librarians
    • Information for Advertisers
    • Conferences
  • Language Editing
Spandidos Publications Logo
  • About
    • About Spandidos
    • Aims and Scopes
    • Abstracting and Indexing
    • Editorial Policies
    • Reprints and Permissions
    • Job Opportunities
    • Terms and Conditions
    • Contact
  • Journals
    • All Journals
    • Biomedical Reports
      • Information for Authors
      • Editorial Policies
      • Editorial Board
      • Aims and Scope
      • Abstracting and Indexing
      • Bibliographic Information
      • Archive
    • Experimental and Therapeutic Medicine
      • Information for Authors
      • Editorial Policies
      • Editorial Board
      • Aims and Scope
      • Abstracting and Indexing
      • Bibliographic Information
      • Archive
    • International Journal of Epigenetics
      • Information for Authors
      • Editorial Policies
      • Editorial Board
      • Aims and Scope
      • Abstracting and Indexing
      • Bibliographic Information
      • Archive
    • International Journal of Functional Nutrition
      • Information for Authors
      • Editorial Policies
      • Editorial Board
      • Aims and Scope
      • Abstracting and Indexing
      • Bibliographic Information
      • Archive
    • International Journal of Molecular Medicine
      • Information for Authors
      • Editorial Policies
      • Editorial Board
      • Aims and Scope
      • Abstracting and Indexing
      • Bibliographic Information
      • Archive
    • International Journal of Oncology
      • Information for Authors
      • Editorial Policies
      • Editorial Board
      • Aims and Scope
      • Abstracting and Indexing
      • Bibliographic Information
      • Archive
    • Medicine International
      • Information for Authors
      • Editorial Policies
      • Editorial Board
      • Aims and Scope
      • Abstracting and Indexing
      • Bibliographic Information
      • Archive
    • Molecular and Clinical Oncology
      • Information for Authors
      • Editorial Policies
      • Editorial Board
      • Aims and Scope
      • Abstracting and Indexing
      • Bibliographic Information
      • Archive
    • Molecular Medicine Reports
      • Information for Authors
      • Editorial Policies
      • Editorial Board
      • Aims and Scope
      • Abstracting and Indexing
      • Bibliographic Information
      • Archive
    • Oncology Letters
      • Information for Authors
      • Editorial Policies
      • Editorial Board
      • Aims and Scope
      • Abstracting and Indexing
      • Bibliographic Information
      • Archive
    • Oncology Reports
      • Information for Authors
      • Editorial Policies
      • Editorial Board
      • Aims and Scope
      • Abstracting and Indexing
      • Bibliographic Information
      • Archive
    • World Academy of Sciences Journal
      • Information for Authors
      • Editorial Policies
      • Editorial Board
      • Aims and Scope
      • Abstracting and Indexing
      • Bibliographic Information
      • Archive
  • Articles
  • Information
    • For Authors
    • For Reviewers
    • For Librarians
    • For Advertisers
    • Conferences
  • Language Editing
Login Register Submit
  • This site uses cookies
  • You can change your cookie settings at any time by following the instructions in our Cookie Policy. To find out more, you may read our Privacy Policy.

    I agree
Search articles by DOI, keyword, author or affiliation
Search
Advanced Search
presentation
International Journal of Molecular Medicine
Join Editorial Board Propose a Special Issue
Print ISSN: 1107-3756 Online ISSN: 1791-244X
Journal Cover
July-2023 Volume 52 Issue 1

Full Size Image

Sign up for eToc alerts
Recommend to Library

Journals

International Journal of Molecular Medicine

International Journal of Molecular Medicine

International Journal of Molecular Medicine is an international journal devoted to molecular mechanisms of human disease.

International Journal of Oncology

International Journal of Oncology

International Journal of Oncology is an international journal devoted to oncology research and cancer treatment.

Molecular Medicine Reports

Molecular Medicine Reports

Covers molecular medicine topics such as pharmacology, pathology, genetics, neuroscience, infectious diseases, molecular cardiology, and molecular surgery.

Oncology Reports

Oncology Reports

Oncology Reports is an international journal devoted to fundamental and applied research in Oncology.

Experimental and Therapeutic Medicine

Experimental and Therapeutic Medicine

Experimental and Therapeutic Medicine is an international journal devoted to laboratory and clinical medicine.

Oncology Letters

Oncology Letters

Oncology Letters is an international journal devoted to Experimental and Clinical Oncology.

Biomedical Reports

Biomedical Reports

Explores a wide range of biological and medical fields, including pharmacology, genetics, microbiology, neuroscience, and molecular cardiology.

Molecular and Clinical Oncology

Molecular and Clinical Oncology

International journal addressing all aspects of oncology research, from tumorigenesis and oncogenes to chemotherapy and metastasis.

World Academy of Sciences Journal

World Academy of Sciences Journal

Multidisciplinary open-access journal spanning biochemistry, genetics, neuroscience, environmental health, and synthetic biology.

International Journal of Functional Nutrition

International Journal of Functional Nutrition

Open-access journal combining biochemistry, pharmacology, immunology, and genetics to advance health through functional nutrition.

International Journal of Epigenetics

International Journal of Epigenetics

Publishes open-access research on using epigenetics to advance understanding and treatment of human disease.

Medicine International

Medicine International

An International Open Access Journal Devoted to General Medicine.

Journal Cover
July-2023 Volume 52 Issue 1

Full Size Image

Sign up for eToc alerts
Recommend to Library

  • Article
  • Citations
    • Cite This Article
    • Download Citation
    • Create Citation Alert
    • Remove Citation Alert
    • Cited By
  • Similar Articles
    • Related Articles (in Spandidos Publications)
    • Similar Articles (Google Scholar)
    • Similar Articles (PubMed)
  • Download PDF
  • Download XML
  • View XML
Article Open Access

Impact of serum‑free media on the expansion and functionality of CD19.CAR T‑cells

  • Authors:
    • Franziska Eberhardt
    • Angela Hückelhoven-Krauss
    • Alexander Kunz
    • Genqiao Jiang
    • Tim Sauer
    • Avinoam Reichman
    • Brigitte Neuber
    • Kathrin Böpple
    • Anita Schmitt
    • Carsten Müller-Tidow
    • Michael Schmitt
    • Anna Keib
  • View Affiliations / Copyright

    Affiliations: Department of Hematology, Oncology and Rheumatology, Heidelberg University Hospital, D-69120 Heidelberg, Germany, Bosch Health Campus, D-70376 Stuttgart, Germany
    Copyright: © Eberhardt et al. This is an open access article distributed under the terms of Creative Commons Attribution License.
  • Article Number: 58
    |
    Published online on: May 26, 2023
       https://doi.org/10.3892/ijmm.2023.5261
  • Expand metrics +
Metrics: Total Views: 0 (Spandidos Publications: | PMC Statistics: )
Metrics: Total PDF Downloads: 0 (Spandidos Publications: | PMC Statistics: )
Cited By (CrossRef): 0 citations Loading Articles...

This article is mentioned in:



Abstract

Fetal bovine serum (FBS) or human serum is widely used in the production of chimeric antigen receptor (CAR) T‑cells. In order to overcome a lot‑to‑lot inconsistency, the use of chemically defined medium that is free of animal-components would be highly desirable. The present study compared three serum‑free media [Prime‑XV™ T Cell CDM, Fujifilm™ (FF), LymphoONE™ T‑Cell Expansion Xeno‑Free Medium, Takara Bio™ (TB) and TCM GMP‑Prototype, CellGenix™ (CG)] to the standard CAR T‑cell medium containing FBS (RCF). After 12 days of CD19.CAR T‑cell culture, the expansion, viability, transduction efficiency and phenotype were assessed using flow cytometry. The functionality of CAR T‑cells was evaluated using intracellular staining, a chromium release assay and a long‑term co‑culture assay. Expansion and viability did not differ between the CAR T‑cells generated in serum‑free media compared to the standard FBS‑containing medium. The CG CAR T‑cells had a statistically significant higher frequency of IFNγ+ and IFNγ+TNF‑α+ CAR T‑cells than the CAR T‑cells cultured with FBS (22.5 vs. 7.6%, P=0.0194; 15.3 vs. 6.2%, P=0.0399, respectively) as detected by intracellular cytokine staining. The CAR T‑cells generated with serum‑free media exhibited a higher cytotoxicity than the CAR T‑cells cultured with FBS in the evaluation by chromium release assay [CG vs. RCF (P=0.0182), FF vs. RCF (P=0.0482) and TB vs. RCF (P=0.0482)]. Phenotyping on day 12 of CAR T‑cell production did not reveal a significant difference in the expression of the exhaustion markers, programmed cell death protein 1, lymphocyte‑activation gene 3 and T‑cell immunoglobulin and mucin‑domain containing‑3. The CAR T‑cells cultured in FF had a higher percentage of central memory CAR T‑cells (40.0 vs. 14.3%, P=0.0470) than the CAR T‑cells cultured with FBS, whereas the CAR T‑cells in FF (6.2 vs. 24.2%, P=0.0029) and CG (11.0% vs. 24.2%, P=0.0468) had a lower frequency of naïve CAR T‑cells. On the whole, the present study demonstrates that in general, the functionality and expansion of CAR T cells are maintained in serum‑free media. Given the advantages of freedom from bovine material and consistent quality, serum‑free media hold promise for the future development of the field of GMP manufacturing of CAR T‑cells.

Introduction

Chimeric antigen receptor (CAR) T-cell therapy is considered to be a promising immunotherapeutic treatment strategy for the treatment of patients with relapsed or refractory B-cell malignancies. Clinical trials have shown promising remission rates for patients with B-lymphoblastic acute leukemia (B-ALL) and B-cell non-Hodgkin lymphoma who were treated with CD19-specific CAR T-cells (1-5). Based on these results, Kymriah™ (Tisagenlecleucel, Novartis) and Yescarta™ (Axicabtagene Ciloleucel, Kite Pharma/Gilead) were the first two CD19 CAR T-cell products to be approved by the Food and Drug Administration (FDA) in the United States in 2017 for the treatment of relapsed or refractory B-ALL (r/r B-ALL) (Kymriah™) and relapsed or refractory diffuse large B-cell lymphoma (r/r DLBCL) (Yescarta™) (6,7). Indications were extended in the following years, and the CD19 CAR T-cell products Tecartus™ (Brexucabtagene Autoleucel, Kite Pharma/Gilead) and Breyanzi™ (Lisocabtagene Maraleucel, Juno Therapeutics/BMS) have recently obtained market access (8). Additionally, academic institutions began their own good manufacturing production (GMP) of CD19 CAR T-cells (9). Whereas the commercially available products contain a second-generation CAR, a third-generation CD19 CAR is currently being evaluated for safety and efficacy within the HD-CAR-1 trial (9). In contrast to second-generation CARs, third-generation CARs contain two intracellular costimulatory domains (e.g., CD28 and 4-1BB) instead of only one (10,11).

For the GMP-compliant manufacturing of CAR T-cell products, different types of media are currently being used. Media containing fetal bovine serum (FBS) is still most commonly used in GMP core facilities worldwide (12). FBS is nutrient-rich containing growth factors, hormones, vitamins, buffering proteins and ions, but does not mirror well the condition within the human body following the application of the CAR T-cells, as the composition of nutrients between fetal bovine and human serum (HS) differs significantly (13). In addition, ethical and ecological aspects have to be taken into consideration whenever FBS is used. Consequently, an increasing number of GMP laboratories have begun to optimize HS containing media formulations for CAR T-cell production (14-16). It is considered that HS supplies nutrients and growth factors to the T-cell culture that more closely imitates the human microenvironment. However, as the composition of HS and FBS depend on the donor, product-to-product-inconsistency is a major concern (17). Furthermore, the risk of contamination of HS and FBS is also a critical aspect. FBS could theoretically transmit bovine spongiform encephalopathy (BSE) and viral pathogens. Moreover, HS also carries the risk of viral contamination (17,18). Therefore, serum must be tested in depth prior to its use in GMP manufacturing, thus leading to increased costs.

As a result, there is a trend towards the use of defined medium formulations with or without chemically defined animal (xeno)-free components for the production of CAR T-cells. Serum-free medium does not contain serum but can include purified or synthetic ingredients. Smith et al (19) revealed similar expansion rates for T-cells cultured in xeno-free medium compared to media supplemented with HS or FBS. Furthermore, the T-cells expanded in xeno-free medium exhibited a higher percentage of central memory T-cells and the growth of lentivirus-mediated gene transduced T-cells was comparable (19). Coeshott et al (20) used xeno-free medium to expand T-cells in a functionally closed, automated bioreactor system in a large scale. The phenotyping of expanded T-cells displayed high rates of central memory T-cells compared to before seeding.

The aim of the present study was to compare the effects of four different xeno-free T-cell culture media (TCM) to the standard media (RCF) containing 10% FBS for the production of a third-generation CD19 CAR T-cell product with respect to CAR T-cell transduction efficiency, expansion, viability, cytotoxicity and phenotype (Table I). CTS™ OpTmizer™ Pro SFM, Thermo Fisher Gibco™ (TF) is a serum-free medium (SFM), whereas Prime-XV™ T Cell CDM, Fujifilm™ (FF) is a chemically defined, animal component-free medium. LymphoONE™ T-Cell Expansion Xeno-Free Medium, Takara Bio™ (TB) contains pharmaceutical-grade HS albumin and recombinant human insulin. Similarly, TCM GMP-Prototype, CellGenix™ (CG) includes HS albumin and recombinant human insulin and transferrin.

Table I

Media composition.

Table I

Media composition.

Basal mediumCTS™ OpTmizer™ Pro SFM, Thermo Fisher Gibco™ (TF)Prime-XV™ T Cell CDM, Fujifilm™ (FF)LymphoONE™ T-Cell Expansion Xeno-Free Medium, (TB)TCM GMP-Prototype, CellGenix™ (CG)45% Click's Medium (EHAA), Fujifilm™ (RCF)
Other medium----45% RPMI
SupplementCTS™ OpTmizer™ T-Cell Expansion Supplement, Thermo Fisher Gibco™----
Serum----10% FBS
L-glutamine2 mMN/AaYesN/Aa2 mM
Pharmaceutical-grade human proteinsYes, e.g., albuminNoAlbuminAlbumin-
Recombinant human proteinsNoYes, e.g., albuminInsulinInsulin and transferrin-
Antibiotics-- +/-Streptomycin--

a No information is available.

Materials and methods

Ficoll separation

The isolation of peripheral blood mononuclear cells (PBMCs) was performed for 5 healthy donor buffy coats provided by the blood bank of the University Hospital of Mannheim (DRK-Blutspendedienst Baden-Württemberg-Hessen) by separation with Ficoll [Ficolite-H (Human), Linaris Biologische Produkte GmbH]. PBMCs were cryopreserved with 90% FBS (Thermo Fisher Scientific, Inc.) and 10% dimethyl sulfoxide (DMSO; SERVA Electrophoresis GmbH) until the CAR T-cell manufacturing process. Ethical approval and written consent to participate was obtained. Ethical approval was obtained from the Medical Faculty of the University of Heidelberg (reference no. S-254/2016).

Production of retroviral vector

To produce the third-generation retroviral vector SFG.CAR.CD19/CD28/4-1BB/CD3ζ, plasmids were kindly provided by Professor Malcolm Brenner (Baylor College of Medicine, Houston, TX, USA). 293T cells (DSMZ, cat. no. ACC 635) were co-transfected with the specific retroviral vector plasmid carrying the gene of interest (3.75 µg), the gag-pol plasmid PegPam3 (3.75 µg) and the envelope plasmid RDF (2,5 µg). 293T cells were cultured in Iscove's modified Dulbecco's medium (IMDM) GlutaMax-I (Thermo Fisher Scientific, Inc.) supplemented with 10% FBS and 0,1 mM sodium pyruvate (Thermo Fisher Scientific, Inc.). For transfection, 470 µl IMDM GlutaMax-I and 30 µl GeneJuice Transfection Reagent (Merck KGaA) were added to the plasmids and incubated for 15 min at room temperature. The suspension was then added in a dropwise manner to the 100-mm dish. Following 48 h of incubation at 37°C and 5% CO2, the retroviral supernatant was collected, and new medium was added to the dishes. Following 72 h of incubation in total, the collection process was repeated. The retroviral supernatant was stored at -80°C.

T-cell activation

The thawing and activation of PBMCs was performed on day 0 of the transduction process. A total of 1×106 PBMCs per well were activated in a non-tissue culture 24-well plate (Corning, Inc.) coated with anti-CD3 (clone: OKT3; cat. no. 317301; BioLegend; dilution, 1 µg/ml;) and anti-CD28 (clone: CD28.2; cat. no. 302901; BioLegend; dilution, 1 µg/ml) monoclonal antibodies. The PBMCs were cultured in CTS™ OpTmizer™ Pro SFM (TF; Thermo Fisher Scientific, Inc.), Prime-XV T Cell CDM (FF; FUJIFILM Wako Pure Chemical Corporation), LymphoONE™ T-Cell Expansion Xeno-Free Medium (TB; Takara Bio, Inc.), TCM GMP-Prototype (CG; CellGenix Inc.) or in CAR medium (RCF) containing 45% Roswell Park Memorial Institute (RPMI)-1640 medium (Thermo Fisher Scientific, Inc.), 45% Eagle's Ham's amino acids (EHAA) Clicks medium (FUJIFILM Wako Pure Chemical Corporation), 10% FBS and 2 mmol/l Gluta-MAX™ Supplement (Thermo Fisher Scientific, Inc.). A total of 10 ng/ml of IL-7 (R&D Systems, Inc.) and 5 ng/ml of IL-15 (R&D Systems, Inc.) were added to all media.

Transduction

The cells were transduced on day 2 using the vector SFG.CAR.CD19/CD28/4-1BB/CD3ζ. The wells for the CAR T-cells were coated with RetroNectin (Takara Bio, Inc.) at a concentration of 7 µg/ml and stored overnight at 4°C. On the day of transduction, the wells were washed, and the retroviral supernatant was added to the wells. The plates were then centrifuged at 2,000 × g for 90 min at room temperature. Activated T-cells were harvested and 1×105 cells per well were seeded in the corresponding medium in the 24-well plate. The plates were centrifuged at 500 × g for 4min at room temperature and cultured at 37°C 5% CO2 until day 5.

Cell expansion and viability

Following transduction, the CAR T-cells and non-transduced T-cells were cultured in the respective media with the addition of cytokines. Feeding was performed every 2-3 days adding fresh medium with cytokines. On day 12, the expansion and viability of the CAR T-cells and non-transduced cells were determined by counting the cells with Trypan blue (Merck KGaA) in a counting chamber (NanoEnTek, Inc.). All cell lines were tested by polymerase chain reaction (PCR) to be mycoplasma-free.

Cell lines

The Burkitt lymphoma cell line, Daudi (cat. no. ACC 78), obtained from the German Collection of Microorganisms and Cell Culture (DSMZ) was used as CD19-positive target cell line. As a CD19-negative target cell line, the chronic myeloid leukemia cell line, K-562 (cat. no. ACC 10), also obtained from DSMZ, was used. The target cells were cultured in RPMI (Thermo Fisher Scientific, Inc.) supplemented with 10% FBS (Thermo Fisher Scientific, Inc.) and 2 mM L-glutamine at 37°C and 5% CO2 and the cell concentration were hold at 0.1-1×106/ml. The cells were thawed 1 week prior to the experiments. The cells were washed and cultured in the corresponding media when added to the experiments.

Immunophenotyping

Flow cytometry was performed on a BD™ LSRII Flow Cytometry Cell Analyzer (BD Biosciences). For immunophenotyping, the following monoclonal antibodies were used: CD3 (UCHT1; no. 300424; 2/100 µl), CD4 (OKT4; cat. no. 317408; 2/100 µl), CD8 (SK1; cat. no. 344732; 2/100 µl), CD14 (63D3; cat. no. 367112; 2/100 µl), CD27 (M-T271; cat. no. 356418; 2/100 µl), CD45RO (UCHL1; cat. no. 304228; 2/100 µl), CCR7/CD197 (G043H7; no. 353214; 2/100 µl), T-cell immunoglobulin and mucin-domain containing-3 (TIM-3)/CD366 (F38-2E2; cat. no. 345008; 2/100 µl), programmed cell death protein 1 (PD-1; A17188B; cat. no. 621616; 2/100 µl) and lymphocyte-activation gene 3 (LAG-3)/CD223 (7H2C65; cat. no. 369212; 2/100 µl), all from BioLegend, and CD45RA (MEM-56; cat. no. MHCD45RA17; 2/100 µl) from Thermo Fisher Scientific, Inc. In addition, 7-aminoactinomycin (7-AAD; BD Biosciences; no. 555816; 5/100 µl) was used to detect dead cells. To stain the CD19. CAR, a goat anti-human F(ab)2 IgG (H+L) antibody (Jackson ImmunoResearch Europe, Ltd.; cat. no. 109-116-088; 0.5/100 µl) conjugated with PE was used. Compensation was based on PBMCs and controls including a non-transduced control and fluorescence minus one control were realized.

Intracellular staining

Cytokine release was measured on day 13 of CAR T-cell manufacturing. A total of 2×105 CAR T-cells were co-cultured with 4×105 Daudi or K562 cells for 6 h at 37°C and 5% CO2 following the addition of 1X Brefeldin A (BioLegend) and CD107a (H4A3; BD Biosciences). After the incubation time the plate was stored at 4°C overnight as previously described (21). NEAR-IR (Thermo Fisher Scientific, Inc.) staining was performed at 4°C for 30 min to distinguish viable and dead cells. For surface marker staining, CD3 (same as above), CD4 (same as above), CD8 (same as above), CD20 (2H7; cat. no. 302310; BioLegend; 2/100 µl) and CAR antibody (same as above) were used. For fixation and permeabilization, the FoxP3 Staining Buffer Set (Miltenyi Biotec GmbH) was used. Intracellular cytokine staining was performed using TNF-α (Mab11; cat. no. 562783; BD Biosciences; 1/100 µl) and IFNγ (4S.B3; cat. no. 502546; BioLegend; 2/100 µl) antibodies. Multi-parametric cytometry was performed using a LSRII flow cytometer (BD Biosciences). Unstimulated control and unspecific-stimulated control served as negative controls.

Co-culture

Day 12 of the CAR T-cell manufacturing process was regarded as day 0 of co-culture. A total of 0.15×105 CAR T-cells or non-transduced T-cells were co-cultured in an effector-to-target cell ratio of 1:2 in the corresponding medium. Flow cytometry was performed on days 5, 10, 15, 20, 25 and 30. On days 5, 10, 15, 20 and 25, 3×104 Daudi cells were added to the remaining wells. The antibodies CD3 (same as above), CD4 (same as above), CAR (same as above), CD45RA (same as above), CCR7 (G043H7, cat. no. 353226; BioLegend; 2/100 µl), CD20 (same as above), PD-1 (29F.1A12; cat. no. 135224; BioLegend; 2/100 µl), TIM-3 (same as above) and LAG-3 (11C3C65; cat. no. 369318; BioLegend; 2/100 µl) were used for staining.

Chromium release assay

The tumor cell lines, Daudi and K-562, were incubated with 51Cr (Hartmann Analytic) for 2 h at 37°C and 5% CO2. The ratio of effector to target cells was 30:1, 10:1, 3:1 and 1:1. A total of 5×103 target cells were co-cultured with the effector cells in each well for 4 h at 37°C and 5% CO2; 1% Triton X-100 (Merck KGaA) served as a maximum release control. For spontaneous release control, cell culture medium was used. Ultima Gold (PerkinElmer, Inc.) was added to the co-culture supernatant, and the vials were measured using a 1414 WinSpectral liquid scintillation counter (PerkinElmer, Inc.). All experiments were performed in triplicate. To calculate the specific lysis caused of the CAR T-cells, the following formula was used: [(experimental release-spontaneous release)/(maximum release-spontaneous release)] ×100.

Extraction of genomic DNA

Genomic DNA was obtained from cryopreserved CD19.CAR T-cells. They were cryopreserved at day 14 of CAR T-cell culture in freezing medium composed of 10% DMSO (SERVA Electrophoresis GmbH) and 90% FBS (Thermo Fisher Scientific, Inc.). Genomic DNA was extracted using the QIAamp® DNA Blood Mini kit (Qiagen GmbH). DNA concentration was measured using UV spectroscopy (NAnoDrop OneC, Thermo Fisher Scientific, Inc.) and adjusted to 20 ng/µl.

Quantitative PCR (qPCR)

For the assessment of the vector copy number of CD19.CAR T-cells, a single copy gene (SCG)-based duplex (DP)-qPCR assay (SCG-DP-PCR) was performed as described by Kunz et al (22). For quantification the 2−ΔΔCt method (23) was used. The sequence of the forward primer was 5′-AGC TGC CGA TTT CCA GAA GA-3′ and that of the reverse primer was 5′-GCG CTC CTG CTG AAC TTC A-3′. RNaseP served as a reference gene and the Copy Number Reference Assay, RNaseP (cat. no. 4403326; Applied Biosystems) which contains RNaseP gene-specific forward primer, reverse primer, and probe (VIC/TAMRA) was used. A total of 100 ng genomic DNA were used for the two simultaneous amplifications of the CAR transgene and the SCG RNaseP supported by the StepOnePlus real-time PCR system (Thermo Fisher Scientific, Inc.). Following conditions were set up for thermocycling: 2 min for 50°C, 10 min for 95°C, followed by 40 cycles of 15 sec 95°C and 1 min 60°C. H2O and non-transduced cells served as negative controls.

Statistical analysis

Flow cytometric analysis was performed using FlowJo 10.8 software (BD Biosciences). GraphPad Prism 9 (GraphPad Software, Inc.) was used for statistical analysis. To compare multiple groups with a single independent variable, a one-way ANOVA with a subsequent Dunnett's multiple comparisons test was used. For the analysis of multiple groups with two independent variables, a two-way ANOVA test with Dunnett's multiple comparisons test was used. P<0.05 was considered to indicate a statistically significant difference.

Results

Comparison of expansion, viability and transduction rates

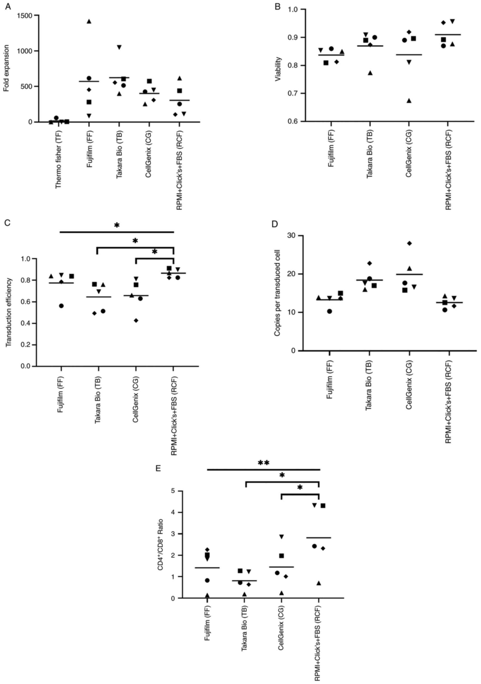
The expansion of the different CAR T-cell products was assessed on day 12 following initial stimulation (Fig. 1A). No significant difference (mixed-effects analysis, P=0.1248) was observed. T-cells cultured in TF exhibited a low expansion and were excluded for further analysis due to the small cell number which was often not sufficient to reach similar cell concentrations in the experiments. The viability was comparable for all four T-cell products (Fig. 1B). The transduction efficiency (Fig. 1C) differed significantly depending on the medium (one-way ANOVA, P=0.0094) and was highest for the T-cells cultured in RPMI + Click's + FBS (RCF). Compared to the cells cultured in RCF, the transduction efficiency for the T-cells cultured in CG (Dunnett's test, P=0.0358) and TB (Dunnett's test, P=0.0167) was lower. By contrast, a trend towards a lower amount of integrated vector copies was noted for the CAR T-cells manufactured in RCF and FF media, even though the difference did not reach statistical significance (Fig. 1D). As regards the CD4+/CD8+ ratio, CAR T-cell products cultured in TB and CG contained a significantly lower population of CD4+ cells than the cells cultured in RCF media (Dunnett's test, P=0.0319 and P=0.0232, respectively; Fig. 1E).

Figure 1

Expansion, viability, transduction rate, CD4+/CD8+ ratio and vector copy number of CD19.CAR T-cell culture. (A) Expansion on day 12 of T-cells cultured in five different media. (B) Viability of T-cells cultured in four different media assessed on day 12. (C) Transduction efficiency of CD19.CAR T-cell culture on day 12 of expansion in four different media. (D) Vector copy numbers of CD19.CAR T-cells cultured in four different media are shown. (E) CD4+/CD8+ ratio of 7AAD-CD19.CAR+ T cells cultured in four different media. (A-E) Each symbol represents a separate donor (n=5). Short horizontal lines indicate the mean of data in each experimental group. Data were analyzed by one-way ANOVA (represented by a longer horizontal line above the data) with Dunnett's multiple comparison test (represented as brackets). *P<0.05 and **P<0.01. CAR, chimeric antigen receptor.

Increased IFNγ release of third-generation CAR T-cells generated in serum-free media

In order to investigate whether the type of media used for CAR T-cell production affects the secretion of stimulatory cytokines upon antigen stimulation, the different CD19 CAR T-cell products were co-cultured with CD19+ Daudi cells and the intracellular expression of IFNγ and TNF-α was determined using flow cytometry at 6 h following stimulation. IFNγ secretion depended significantly on the media which was used for CAR T-cell production (Fig. 2A; one-way ANOVA, P=0.0098). CAR T-cells cultured in CG released the highest levels of IFNγ in comparison to CAR T-cells cultured in RCF (Dunnett' test, P=0.0194). The CAR T-cells produced in TB exhibited the second highest release of IFNγ (Dunnett's test, P=0.0336). The TNF-α release of the four different groups exhibited no significant difference, whereas the percentage of CAR T-cells expressing IFNγ and TNF-α was significant (one-way ANOVA, P=0.0231). CG yielded the highest percentage of cells expressing IFNγ and TNF-α (Dunnett's test, P=0.0399). The separate analysis of CD4+ and CD8+ CAR T-cells revealed a similar result. The IFNγ release of CD4+ CAR T-cells differed, depending on which medium was used for production (one-way ANOVA, P=0.0167; Fig. 2B). The highest percentage of IFNγ-expressing cells were the cells cultured in CG. The findings for IFNγ- and TNF-α-positive cells in CD4+ CAR T-cells were similar. The distribution of these cells depending on the medium was significant (one-way ANOVA, P=0.0173), and the CD4+ CAR T cells cultured in CG expressed the highest levels of IFNγ and TNF-α. Additionally, the expression of TNF-α in CD4+ CAR T-cells exhibited significant differences (one-way ANOVA, P=0.0248). The cells produced in RCF had the highest expression, whereas CD4+ CAR T-cells produced in FF had the lowest level. In addition, the distribution of IFNγ-releasing cells of CD8+ CAR T-cells was significant (one-way ANOVA, P=0.0264; Fig. 2C) and again, CAR T-cells produced in CG had the highest percentage of IFNγ-positive CD8+ CAR T-cells (Dunnett's test, P=0.0450). The difference in IFNγ- and TNF-α-positive cells was likewise significant (one-way ANOVA, P=0.0393). The representative flow cytometry patterns in each medium plotted for IFNγ and TNF-α and gated for CAR T-cells are presented in Fig. 2D.

Figure 2

Intracellular staining of CD19.CAR T-cells cultured in four different media. (A-C) Cells expressing IFNγ, TNF-α or IFNγ and TNF-α are shown as a percentage of all CAR T-cells, CD4+ CAR T-cells or CD8+ CAR T-cells. Box and whisker plots represent median, upper and lower quartiles and minimum and maximum (n=5). The line indicates a comparison using one-way ANOVA, whereas the brackets indicate comparisons using Dunnett's test. *P<0.05 and **P<0.01. (D) Representative data of one healthy donor from five independent experiments are shown. CAR T-cells were assessed using anti-TNF-α and anti-IFNγ antibodies by flow cytometry. Plots are gated on live CAR T-cells. CAR T-cells stimulated with CD19+ tumor cells are shown in blue, whereas non-transduced T-cells are visualized as a control in orange. CAR, chimeric antigen receptor.

Serum-free media increase the short-term cytotoxicity of third-generation CAR T-cells

The chromium release assay was performed to investigate the short-term cytotoxicity of the different CAR T-cell products, which can be reached within 4 h. The difference of the percentage of killed tumor cells in the chromium release assay was significant on average for all four effector-to-target-cell ratios (Fig. 3). The P-value in a one-way ANOVA test was P=0.0071. The CAR T-cells produced and cultured in CG exhibited the highest cytotoxicity (CG vs. RCF: Dunnett's test, P=0.0182). In addition, the CAR T-cells cultured in FF exhibited a high cytotoxicity (FF vs. RCF: Dunnett's test, P=0.0482) followed by the CAR T-cells cultured in TB (TB vs. RCF: Dunnett's test, P=0.0428). The CAR T-cells cultured in RCF exhibited the lowest cytotoxicity. Consequently, the lowest rate of killed tumor cells was observed with CAR T cells generated with FBS.

Figure 3

Chromium release assay. (A-D) Data of five unique donors of chromium release assay are shown. Each color/symbol represents a separate donor. Experiments were performed in triplicate and are represented as the mean ± SD. The mean value of all five donors is shown as a connecting line. The ratio of effector to target cells was 30:1, 10:1, 3:1 and 1:1 and non-transduced cells (NT) were used as a control. The results of chromium release assays for each respective medium are shown. (E) The mean value is shown as a connecting line for each medium separately. Data were analyzed using one-way ANOVA (represented by a longer vertical line) with Dunnett's multiple comparison test (represented as brackets). *P<0.05 and **P<0.01.

Serum-containing media improve the long-term functionality of CAR T-cells

Long-term functionality was tested by the co-culture of tumor cells and CAR T-cells. CAR T-cells were cultured in the corresponding medium which was also used for expansion and on days 0, 5, 10, 15, 20 and 25 of co-culture, the tumor cells were added. Assessment using flow cytometry was effective on days 5, 10, 15, 20, 25 and 30 prior to the addition of new tumor cells. The cells cultured in RCF exhibited the highest expansion of CAR T-cells (Fig. 4A) and these CAR T-cells were most efficient in eliminating tumor cells (Fig. 4B) compared to all other CAR T-cell products. The cells cultured in FF exhibited the second-best result. The absolute cell counts of cells cultured in TB and CG were comparable.

Figure 4

Cytotoxicity of CAR T-cells in a long-term co-culture. (A and B) Absolute cell counts of (A) CAR T-cells and (B) Daudi cells following co-culture in the corresponding medium are shown. Before adding new tumor cells to the CAR T-cells every 5 days, the co-culture was measured using flow cytometry. The mean ± SEM values are displayed. (C) The ratio of CAR T-cells per µl/Daudi cells per µl at different time points of co-culture are shown in the heatmap. Blue symbolizes a ratio of >1, whereas red symbolizes a ratio of <1. Therefore, blue indicates the overgrowth of CAR T-cells and the lysis of tumor cells, while red indicates an insufficient killing of tumor cells. Data are displayed separately for every donor. CAR, chimeric antigen receptor.

Another interesting aspect was the ratio of CAR T-cells to Daudi cells for every single co-culture. These data are presented in Fig. 4C. The quotient was highest for cells cultured in RCF followed by cells cultured in FF. Additionally, the donor-to-donor variability can be observed in Fig. 4C. Therefore, the different groups of co-culture were not compared statistically and a descriptive analysis was performed. Consequently, RCF improves the long-term functionality of CAR T-cells.

CAR T-cells cultured in serum-free media exhibit a unique phenotype

The first phenotyping of CAR T-cells was completed using flow cytometry on day 12 of CAR T-cell production (Fig. 5A and B). On day 12, the CAR T-cells produced and cultured in FF exhibited a high percentage of central memory CAR T-cells in comparison to the CAR T-cells cultured in RCF (one-way ANOVA, P=0.0087; Dunnett's test, FF vs. RCF, P=0.0470). The CAR T-cells cultured in TB and CG exhibited a lower percentage of central memory than CAR T-cells cultured in RCF (one-way ANOVA, P=0.0087; Dunnett's test, TB vs. RCF: P=0.0210 and CG vs. RCF: P=0.0092, respectively). The distribution of naïve CAR T-cells did not differ significantly between the CAR T-cells cultured in TB and RCF; however, the CAR T-cells cultured in CG and FF exhibited a significantly lower percentage of naïve CAR T-cells (one-way ANOVA, P=0.0014; Dunnett's test, CG vs. RCF: P=0.0468 and FF vs. RCF: P=0.0029, respectively). The percentage of effector memory CAR T-cells cultured in FF, TB and CG did not differ significantly in comparison to that of the CAR T-cells cultured in RCF (one-way ANOVA, P=0.0172; Dunnett's test, not significant). Only the CAR T-cells cultured in FF exhibited a significantly lower percentage of terminally differentiated effector memory cells (EMRA) in comparison to the CAR T-cells cultured in RCF (one-way ANOVA, P=0.0098; Dunnett's test, FF vs. RCF, P=0.0010). Of note is also the balanced distribution of all four CAR T-cell subtypes when cultured in RCF.

Figure 5

Phenotyping of CAR T-cells. (A) Phenotyping of CAR T-cells on day 12 of production was assessed using flow cytometry. Each donor is visualized separately. (B) Phenotyping of CAR T-cells on day 12 visualized separately for EMRA, EM, naïve and CM CAR T-cells. Data were analyzed using one-way ANOVA of all five donors followed by Dunnett's multiple comparisons test (represented as brackets). *P<0.05 and **P<0.01. Boxes show the mean and error bars indicate SEM. (C-F) Phenotyping of CAR T-cells co-cultured with tumor cells. Absolute cell count of CAR T-cells divided to the four different CAR T-cell types, EMRA, EM, naïve and CM. Boxes show the mean and error bars indicate SEM. CAR, chimeric antigen receptor; EMRA, effector memory cells re-expressing RA; EM, effector memory cells; naïve, naïve cells; CM, central memory cells.

The phenotypic characteristics of the CAR T-cell products were also determined upon repeated antigen stimulation during the co-culture assay. The assessment of phenotypes was repetitively performed for the entire co-culture (Fig. 5C-F). The CAR T-cells cultured in FF and RCF exhibited the highest percentage of undifferentiated cells; i.e., naïve and central memory cells. The CAR T-cells cultured in RCF had the highest percentage of effector memory cells, whereas the CAR T-cells cultured in CG and FF had the highest cell count of EMRA CAR T-cells.

Serum-containing medium reduces the exhaustion of third-generation CAR T-cells during long-term co-culture

The expression of surface markers associated with T-cell exhaustion, such as lymphocyte-activation gene 3 (LAG-3), programmed cell death protein 1 (PD-1) and T-cell immunoglobulin and mucin-domain containing-3 (TIM-3) were evaluated using flow cytometry on day 12 of CAR T-cell production, which corresponds to day 0 of co-culture and every 5 days after each antigen stimulation thereafter (Fig. 6). The baseline values prior to the start of the co-culture were similar for all different CAR T-cell products. In general, a trend towards an increase in the percentage of LAG-3-, PD-1- and TIM-3-expressing T-cells was observed for all CAR T-cell products with repetitive antigen stimulation. However, the CAR T-cells generated in RCF exhibited a significantly lower expression of LAG-3 and TIM-3 at day 30 than the CAR T-cells cultured in FF, TB and CG (LAG-3: Dunnett's test, P=0.0205, P=0.0306 and not significant, respectively; TIM-3: Dunnett's test, P=0.0034, P=0.0159 and P=0.0294, respectively). By contrast, we didn't find any difference in the level of PD-1 expression between the different groups.

Figure 6

Exhaustion markers of CAR T-cells. The levels of exhaustion markers (A) LAG-3, (B) PD-1 and (C) TIM-3 in CAR T-cells co-cultured with tumor cells are shown. Graphs show the mean values. Data were analyzed using a two-way ANOVA followed by Dunnett's multiple comparison test. P-values of Dunnett's multiple comparison test at day 30 are represented as brackets. *P<0.05 and **P<0.01. CAR, chimeric antigen receptor; LAG-3, lymphocyte-activation gene 3; PD-1, programmed cell death protein 1; TIM-3, T-cell immunoglobulin and mucin-domain containing-3.

Discussion

It was recently demonstrated that CAR T-cell therapy is a promising approach which can be used to treat patients with refractory and relapsed hematological malignancies (1-5). Therefore, an increasing number of pharmaceutical companies and academic institutions entered the GMP manufacturing process of CAR T-cells. FBS and HS are widely used, leading to the intensive testing of the different batches to reduce lot-to-lot inconsistency. To overcome this time- and cost-consuming test procedure, serum-free media may represent a potential solution.

Serum-free media often include pharmaceutical-grade and/or recombinant human proteins. Pharmaceutical-grade human proteins are obtained from pooled human plasma (24). The more donors are included, the higher is the lot-to-lot consistency. However, differences between the different batches cannot completely be excluded. Furthermore, the purification process and several manufacturing steps lead to the structural alternations of human proteins. Olsen et al (25) reported an impaired binding capacity of pharmaceutical-grade HS albumin for drugs and named the stabilizers caprylic acid and N-acetyl-DL-tryptophan as probable reason. Park et al (26) examined the crystal structure of pharmaceutical-grade HS albumin, which had bound fatty acids and tryptophan; they concluded a reduced biorelevance of HS albumin.

By contrast, recombinant proteins are produced under well-defined conditions, although the purification process also alters the protein structure. The structure of recombinant HS albumin was found to be of the same pharmaceutical grade as human serum albumin (27-29). Consequently, Prime-XV™ T Cell CDM, Fujifilm™ (FF) stands out due to the exclusive use of recombinant human serum proteins. FF will have the highest lot-to-lot consistency with the same structural quality. CTS™ OpTmizer™ Pro SFM, Thermofisher Gibco™ (TF), LymphoONE™ T-Cell Expansion Xeno-Free Medium, Takara Bio™ (TB) and TCM GMP-Prototype, CellGenix™ (CG) all include pharmaceutical-grade HS albumin, which is not completely chemically definable.

The present study observed a notably low expansion rate in TF. According to the manufacturer, this medium is better suited for workflows >15 days. Thus, this was excluded as the experimental workflow used herein was too short for the use of TF.

The transduction procedure and expansion of CAR T-cells needs to be further improved with respect to media formulations to achieve enhanced antitumor activity (18). Herein, no significant difference was observed between the CAR T-cell cultures with four different culture media regarding expansion, viability and vector copy numbers. However, the transduction rate was lower in CAR T-cell cultures with TB and CG, thus demonstrating that FF is better suited for the transduction process than TB and CG.

In vitro potency assays reflect the biological activity of CAR T-cell products and have to be performed for the quality control of GMP production (30,31). They are currently used to evaluate the functionality of CAR T-cell products, even though it is not clear whether this is predictive of the in vivo antitumor activity. In the present study, CAR T-cells cultured in CG exhibited the highest short-time cytotoxicity in the chromium release assay followed by FF and TB. These results suggest a superior biological activity, whereas CAR T-cells cultured in RCF had the worst in vitro potency. Moreover, CAR T-cells cultured with CG exhibited the highest cytokine release followed by CAR T-cells generated in TB. CAR T-cells cultured in FF and RCF had lower cytokine levels, suggesting lower activation. However, CAR T-cells with lower levels of cytokine release were found in previous studies with lower levels of clinical toxicity and with consistently good anti-lymphoma activity (32). Therefore, CAR T-cells generated in FF appear to be advantageous, when compared to other serum-free media due to the high potency observed in the chromium release assay and low potential side-effects through lower cytokine levels. However, it should be mentioned that CAR T-cells cultured in RCF exhibited a better long-term functionality in the co-culture assay. This assay was performed with the corresponding medium which was also used for the production and expansion of CAR T-cells. This fact probably influences the outcome of the single co-cultures and highlights the importance of media providing nutrients. Nevertheless, in vivo, all CAR T-cell products would face the same serum-containing conditions. Therefore, the quality of the starting product is considered of particular importance.

Furthermore, previous studies have suggested an association between the frequency of CAR T-cells with a less differentiated phenotype and long-term remission rates due to enhanced persistence (33,34). Subsequently, CAR T-cell effector function and therapeutic potential is increased (35). Blaeschke et al (36) produced CAR T-cells with central memory and stem cell memory subtype in an automated system, and reported high expansion rates, specific cytotoxicity and cytokine expression. Apparently, CAR T-cell cultures with mainly undifferentiated CAR T-cell subtypes are not restricted as regards expansion and potency (34). In the present study, CAR T-cells cultured in TB and particularly, FF exhibited a high frequency of central memory and naïve CAR T-cells on day 12 of expansion. It can be concluded that CAR T-cells cultured in these media have a favorable phenotype, leading to long-term antitumor activity. However, CAR T-cells cultured with FBS exhibited a superior long-term cytotoxicity when co-cultured with CD19+ target cells. Additionally, CAR T-cells cultured in RCF exhibited the lowest increase of exhaustion markers. The expression of the surface markers, LAG3, PD-1 and TIM-3, is associated with the exhaustion and senescence of T-cells (37). It can thus be concluded that the use of serum-containing media during co-culture reduces the level of exhaustion of CAR T-cells. However, in vivo, all CAR T-cell products would experience the same conditions during repetitive antigen stimulation. Nevertheless, a comparable quality of RCF and the serum-free medium FF can be observed when considering all aspects together (Table II).

Table II

Characteristics and rating of different media.

Table II

Characteristics and rating of different media.

CharacteristicFujifilm (FF)Takara (TB)CellGenix (CG)RPMI + Click's + FBS (RCF)
Expansion3421
Viability1324
Transduction efficiency3124
CD4+/CD8+ ratio3421
Vector copy number3214
Intracellular staining1342
Chromium release assay3241
Co-culture3214
Phenotype4312
Exhaustion3124

[i] All tested media were subjected to a rating for the parameters listed in the left column: From 4 points for optimal performance to 1 point for the least favorable performance. For expansion, viability and transduction efficiency the highest values were considered as favorites. The CD4+/CD8+ ratio and the vector copy number were considered the better the lower the value was. The INFγ+TNF-α+ CAR T-cells were rated for intracellular staining. The cytotoxicity in the chromium release assay and co-culture suited as further characteristic. The phenotyping was rated with the aid of the percentage of naïve and central memory CAR T-cells. To evaluate the exhaustion, the percentage of LAG-3+ CAR T-cells was used, the lower the percentage the better. CAR, chimeric antigen receptor; LAG-3, lymphocyte-activation gene 3.

Another critical aspect which should be considered, is the wide range of costs of different media. The authors calculated a price of ~440€/l for all components of the RCF medium used herein. In comparison, TF, CG and TB are considerably more affordable (~153€/l, ~240€/l and ~255€/l). FF is the only serum-free medium which is more costly than the FBS-containing medium, with ~636€/l. Consequently, the high costs of FF and RCF are an economic disadvantage.

The use of serum, particularly FBS, is ethically and ecologically controversial. For FBS manufacturing, >1,000,000 bovine fetuses are harvested annually (38). Hence, carbon dioxide emissions should not be underestimated. Moreover, the harvest process is ethically questionable. The bovine fetal blood is collected by a cardiac puncture of the unanesthetized fetus (38).

Due to practical reasons for GMP standardization and ethical and ecological concerns, it would be desirable to replace current CAR T-cell culture media with serum-free media. However, it should be mentioned that all serum-free media provide different culture conditions with specific characteristics. Alnabhan et al (17) observed a reduced viability and expansion, a lower CD4/CD8 ratio and a higher frequency of differentiated cells in CAR T-cell culture. By contrast, Xu et al (39) reported an improved proliferation environment in serum-free media for T-cells. Thus, each serum-free medium needs to be regarded individually (Table II). The varying media formulations (Table I) lead to this diversity.

Prime-XV™ T Cell CDM, Fujifilm™ (FF) exhibited some advantages compared to TB and CG, as for example, the freedom of pharmaceutical-grade human proteins, a high cytotoxicity, a lower cytokine release and an undifferentiated phenotype. Based on these observations, it would be reasonable to implement FF in GMP CAR T-cell production.

In conclusion, the use of serum-free media can be recommended for the GMP manufacturing of CAR T-cells. Serum-free media do not lead to a loss of functionality or a slower expansion of CAR T-cells. Serum-free media are produced under very robust conditions. Given the unique characteristics of each serum-free medium, it needs to be selected for each individual purpose. Prime-XV™ T Cell CDM, Fujifilm™ (FF) proved advantageous in the manufacturing process used herein compared to the two other serum-free media.

Availability of data and materials

The datasets used and/or analyzed during the current study are available from the corresponding author on reasonable request.

Authors' contributions

FE, AHK, MS, AS, CMT and AKe were involved in the conceptualization of the study. FE, GJ, BN, TS and AKu were involved in the study methodology. FE and GJ performed the analysis of data. FE was involved in the formal analysis and in the investigative aspects of the study, as well as in the writing and preparation of the original draft. CMT, AS and MS were involved in the provision of financial resources and laboratory facilities. FE, AR, KB and AKu were involved in data curation. TS, AKe, AHK, BN, KB, AS and MS were involved in the writing, reviewing and editing of the manuscript. FE and GJ were involved in data visualization and creating graphs. AK and MS supervised the study. FE and AHK were involved in project administration. AKe and FE confirm the authenticity of all the raw data. All authors have read and agreed to the published version of the manuscript.

Ethics approval and consent to participate

Ethical approval was obtained from the Medical Faculty of the University of Heidelberg (reference no. S-254/2016). Consent to participate was obtained in a written manner.

Patient consent for publication

Not applicable.

Competing interests

The authors declare that they have no competing interests.

Acknowledgments

Not applicable.

Funding

No funding was received.

References

1 

Maude SL, Laetsch TW, Buechner J, Rives S, Boyer M, Bittencourt H, Bader P, Verneris MR, Stefanski HE, Myers GD, et al: Tisagenlecleucel in Children and young adults with B-cell lymphoblastic leukemia. N Engl J Med. 378:439–448. 2018. View Article : Google Scholar : PubMed/NCBI

2 

Schuster SJ, Svoboda J, Chong EA, Nasta SD, Mato AR, Anak Ö, Brogdon JL, Pruteanu-Malinici I, Bhoj V, Landsburg D, et al: Chimeric antigen receptor T cells in refractory B-cell lymphomas. N Engl J Med. 377:2545–2554. 2017. View Article : Google Scholar : PubMed/NCBI

3 

Neelapu SS, Locke FL, Bartlett NL, Lekakis LJ, Miklos DB, Jacobson CA, Braunschweig I, Oluwole OO, Siddiqi T, Lin Y, et al: Axicabtagene ciloleucel CAR T-cell therapy in refractory large B-cell lymphoma. N Engl J Med. 377:2531–2544. 2017. View Article : Google Scholar : PubMed/NCBI

4 

Locke FL, Ghobadi A, Jacobson CA, Miklos DB, Lekakis LJ, Oluwole OO, Lin Y, Braunschweig I, Hill BT, Timmerman JM, et al: Long-term safety and activity of axicabtagene ciloleucel in refractory large B-cell lymphoma (ZUMA-1): A single-arm, multicentre, phase 1-2 trial. Lancet Oncol. 20:31–42. 2019. View Article : Google Scholar :

5 

Kochenderfer JN, Dudley ME, Kassim SH, Somerville RP, Carpenter RO, Stetler-Stevenson M, Yang JC, Phan GQ, Hughes MS, Sherry RM, et al: Chemotherapy-refractory diffuse large B-cell lymphoma and indolent B-cell malignancies can be effectively treated with autologous T cells expressing an anti-CD19 chimeric antigen receptor. J Clin Oncol. 33:540–549. 2015. View Article : Google Scholar :

6 

Beyar-Katz O and Gill S: Advances in chimeric antigen receptor T cells. Curr Opin Hematol. 27:368–377. 2020. View Article : Google Scholar : PubMed/NCBI

7 

Braendstrup P, Levine BL and Ruella M: The long road to the first FDA-approved gene therapy: Chimeric antigen receptor T cells targeting CD19. Cytotherapy. 22:57–69. 2020. View Article : Google Scholar : PubMed/NCBI

8 

Crees ZD and Ghobadi A: Cellular therapy updates in B-cell lymphoma: The state of the CAR-T. Cancers (Basel). 13. pp. 51812021, View Article : Google Scholar

9 

Schubert ML, Schmitt A, Sellner L, Neuber B, Kunz J, Wuchter P, Kunz A, Gern U, Michels B, Hofmann S, et al: Treatment of patients with relapsed or refractory CD19+ lymphoid disease with T lymphocytes transduced by RV-SFG.CD19.CD28.4-1BBzeta retroviral vector: A unicentre phase I/II clinical trial protocol. BMJ Open. 9:e0266442019. View Article : Google Scholar : PubMed/NCBI

10 

Abramson JS: Anti-CD19 CAR T-cell therapy for B-cell non-Hodgkin lymphoma. Transfus Med Rev. 34:29–33. 2020. View Article : Google Scholar

11 

Enblad G, Karlsson H, Gammelgård G, Wenthe J, Lövgren T, Amini RM, Wikstrom KI, Essand M, Savoldo B, Hallböök H, et al: A phase I/IIa trial using CD19-targeted third-generation CAR T cells for lymphoma and leukemia. Clin Cancer Res. 24:6185–6194. 2018. View Article : Google Scholar : PubMed/NCBI

12 

Wang L, Gong W, Wang S, Neuber B, Sellner L, Schubert ML, Hückelhoven-Krauss A, Kunz A, Gern U, Michels B, et al: Improvement of in vitro potency assays by a resting step for clinical-grade chimeric antigen receptor engineered T cells. Cytotherapy. 21:566–578. 2019. View Article : Google Scholar : PubMed/NCBI

13 

Heger JI, Froehlich K, Pastuschek J and Schmidt A, Baer C, Mrowka R, Backsch C, Schleußner E, Markert UR and Schmidt A: Human serum alters cell culture behavior and improves spheroid formation in comparison to fetal bovine serum. Exp Cell Res. 365:57–65. 2018. View Article : Google Scholar : PubMed/NCBI

14 

Brentjens RJ, Rivière I, Park JH, Davila ML, Wang X, Stefanski J, Taylor C, Yeh R, Bartido S, Borquez-Ojeda O, et al: Safety and persistence of adoptively transferred autologous CD19-targeted T cells in patients with relapsed or chemotherapy refractory B-cell leukemias. Blood. 118:4817–4828. 2011. View Article : Google Scholar : PubMed/NCBI

15 

Hollyman D, Stefanski J, Przybylowski M, Bartido S, Borquez-Ojeda O, Taylor C, Yeh R, Capacio V, Olszewska M, Hosey J, et al: Manufacturing validation of biologically functional T cells targeted to CD19 antigen for autologous adoptive cell therapy. J Immunother. 32:169–180. 2009. View Article : Google Scholar : PubMed/NCBI

16 

Kalos M, Levine BL, Porter DL, Katz S, Grupp SA, Bagg A and June CH: T cells with chimeric antigen receptors have potent antitumor effects and can establish memory in patients with advanced leukemia. Sci Transl Med. 3:95ra732011. View Article : Google Scholar : PubMed/NCBI

17 

Alnabhan R, Gaballa A, Mörk LM, Mattsson J, Uhlin M and Magalhaes I: Media evaluation for production and expansion of anti-CD19 chimeric antigen receptor T cells. Cytotherapy. 20:941–951. 2018. View Article : Google Scholar : PubMed/NCBI

18 

Ghassemi S, Martinez-Becerra FJ, Master AM, Richman SA, Heo D, Leferovich J, Tu Y, García-Cañaveras JC, Ayari A, Lu Y, et al: Enhancing chimeric antigen receptor T cell anti-tumor function through advanced media design. Mol Ther Methods Clin Dev. 18:595–606. 2020. View Article : Google Scholar : PubMed/NCBI

19 

Smith C, Økern G, Rehan S, Beagley L, Lee SK, Aarvak T, Schjetne KW and Khanna R: Ex vivo expansion of human T cells for adoptive immunotherapy using the novel xeno-free CTS immune cell serum replacement. Clin Transl Immunology. 4:e312015. View Article : Google Scholar : PubMed/NCBI

20 

Coeshott C, Vang B, Jones M and Nankervis B: Large-scale expansion and characterization of CD3+ T-cells in the quantum® cell expansion system. J Transl Med. 17:2582019. View Article : Google Scholar

21 

Lamoreaux L, Roederer M and Koup R: Intracellular cytokine optimization and standard operating procedure. Nat Protoc. 1:1507–1516. 2006. View Article : Google Scholar

22 

Kunz A, Gern U, Schmitt A, Neuber B, Wang L, Hückelhoven-Krauss A, Michels B, Hofmann S, Müller-Tidow C, Dreger P, et al: Optimized assessment of qPCR-based vector copy numbers as a safety parameter for GMP-grade CAR T cells and monitoring of frequency in patients. Mol Ther Methods Clin Dev. 17:448–454. 2020. View Article : Google Scholar : PubMed/NCBI

23 

Livark KJ and Schmittgen TD: Analysis of relative gene expression data using real-time quantitative PCR and the 2(-Delta Delta C(T)) method. Methods. 25:402–408. 2001. View Article : Google Scholar

24 

Díez JM, Bauman E, Gajardo R and Jorquera JI: Culture of human mesenchymal stem cells using a candidate pharmaceutical grade xeno-free cell culture supplement derived from industrial human plasma pools. Stem Cell Res Ther. 6:282015. View Article : Google Scholar : PubMed/NCBI

25 

Olsen H, Andersen A, Nordbø A, Kongsgaard UE and Børmer OP: Pharmaceutical-grade albumin: Impaired drug-binding capacity in vitro. BMC Clin Pharmacol. 4:42004. View Article : Google Scholar : PubMed/NCBI

26 

Park J, Kim MS, Park T, Kim YH and Shin DH: Crystal structure of pharmaceutical-grade human serum albumin. Int J Biol Macromol. 166:221–228. 2021. View Article : Google Scholar

27 

Sumi A, Okuyama K, Kobayashi K, Ohtani W, Ohmura T and Yokoyama K: Purification of recombinant human serum albumin efficient purification using STREAMLINE. Bioseparation. 8:195–200. 1999. View Article : Google Scholar

28 

Ohtani W, Masaki A, Ikeda Y, Hirose M, Chuganji M, Takeshima K, Kondo M, Sumi A and Ohmura T: Structure of recombinant human serum albumin from Pichia pastoris. Yakugaku Zasshi. 117:220–232. 1997.In Japanese. View Article : Google Scholar : PubMed/NCBI

29 

Watanabe H, Yamasaki K, Kragh-Hansen U, Tanase S, Harada K, Suenaga A and Otagiri M: In vitro and in vivo properties of recombinant human serum albumin from Pichia pastoris purified by a method of short processing time. Pharm Res. 18:1775–1781. 2001. View Article : Google Scholar

30 

European Medicines Agency: Guideline on potency testing of cell based immunotherapy medicinal products for the treatment of cancer. 2016.

31 

Food and Drug Administration: Guidance for industry: Potency tests for cellular and gene therapy products. 2011.

32 

Brudno JN, Lam N, Vanasse D, Shen YW, Rose JJ, Rossi J, Xue A, Bot A, Scholler N, Mikkilineni L, et al: Safety and feasibility of anti-CD19 CAR T cells with fully human binding domains in patients with B-cell lymphoma. Nat Med. 26:270–280. 2020. View Article : Google Scholar : PubMed/NCBI

33 

Oliveira G, Ruggiero E, Stanghellini MT, Cieri N, D'Agostino M, Fronza R, Lulay C, Dionisio F, Mastaglio S, Greco R, et al: Tracking genetically engineered lymphocytes long-term reveals the dynamics of T cell immunological memory. Sci Transl Med. 7:317ra1982015. View Article : Google Scholar : PubMed/NCBI

34 

Hoffmann JM, Schubert ML, Wang L, Hückelhoven A, Sellner L, Stock S, Schmitt A, Kleist C, Gern U, Loskog A, et al: Differences in expansion potential of naive chimeric antigen receptor T cells from healthy donors and untreated chronic lymphocytic leukemia patients. Front Immunol. 8:19562018. View Article : Google Scholar : PubMed/NCBI

35 

Ghassemi S, Nunez-Cruz S, O'Connor RS, Fraietta JA, Patel PR, Scholler J, Barrett DM, Lundh SM, Davis MM, Bedoya F, et al: Reducing ex vivo culture improves the antileukemic activity of chimeric antigen receptor (CAR) T cells. Cancer Immunol Res. 6:1100–1109. 2018. View Article : Google Scholar : PubMed/NCBI

36 

Blaeschke F, Stenger D, Kaeuferle T, Willier S, Lotfi R, Kaiser AD, Assenmacher M, Döring M, Feucht J and Feuchtinger T: Induction of a central memory and stem cell memory phenotype in functionally active CD4+ and CD8+ CAR T cells produced in an automated good manufacturing practice system for the treatment of CD19+ acute lymphoblastic leukemia. Cancer Immunol Immunother. 67:1053–1066. 2018. View Article : Google Scholar : PubMed/NCBI

37 

Wherry EJ and Kurachi M: Molecular and cellular insights into T cell exhaustion. Nat Rev Immunol. 15:486–499. 2015. View Article : Google Scholar : PubMed/NCBI

38 

Jochems CE, van der Valk JB, Stafleu FR and Baumans V: The use of fetal bovine serum: Ethical or scientific problem? Altern Lab Anim. 30:219–227. 2002. View Article : Google Scholar : PubMed/NCBI

39 

Xu H, Wang N, Cao W, Huang L, Zhou J and Sheng L: Influence of various medium environment to in vitro human T cell culture. In Vitro Cell Dev Biol Anim. 54:559–566. 2018. View Article : Google Scholar : PubMed/NCBI

Related Articles

  • Abstract
  • View
  • Download
  • Twitter
Copy and paste a formatted citation
Spandidos Publications style
Eberhardt F, Hückelhoven-Krauss A, Kunz A, Jiang G, Sauer T, Reichman A, Neuber B, Böpple K, Schmitt A, Müller-Tidow C, Müller-Tidow C, et al: Impact of serum‑free media on the expansion and functionality of CD19.CAR T‑cells. Int J Mol Med 52: 58, 2023.
APA
Eberhardt, F., Hückelhoven-Krauss, A., Kunz, A., Jiang, G., Sauer, T., Reichman, A. ... Keib, A. (2023). Impact of serum‑free media on the expansion and functionality of CD19.CAR T‑cells. International Journal of Molecular Medicine, 52, 58. https://doi.org/10.3892/ijmm.2023.5261
MLA
Eberhardt, F., Hückelhoven-Krauss, A., Kunz, A., Jiang, G., Sauer, T., Reichman, A., Neuber, B., Böpple, K., Schmitt, A., Müller-Tidow, C., Schmitt, M., Keib, A."Impact of serum‑free media on the expansion and functionality of CD19.CAR T‑cells". International Journal of Molecular Medicine 52.1 (2023): 58.
Chicago
Eberhardt, F., Hückelhoven-Krauss, A., Kunz, A., Jiang, G., Sauer, T., Reichman, A., Neuber, B., Böpple, K., Schmitt, A., Müller-Tidow, C., Schmitt, M., Keib, A."Impact of serum‑free media on the expansion and functionality of CD19.CAR T‑cells". International Journal of Molecular Medicine 52, no. 1 (2023): 58. https://doi.org/10.3892/ijmm.2023.5261
Copy and paste a formatted citation
x
Spandidos Publications style
Eberhardt F, Hückelhoven-Krauss A, Kunz A, Jiang G, Sauer T, Reichman A, Neuber B, Böpple K, Schmitt A, Müller-Tidow C, Müller-Tidow C, et al: Impact of serum‑free media on the expansion and functionality of CD19.CAR T‑cells. Int J Mol Med 52: 58, 2023.
APA
Eberhardt, F., Hückelhoven-Krauss, A., Kunz, A., Jiang, G., Sauer, T., Reichman, A. ... Keib, A. (2023). Impact of serum‑free media on the expansion and functionality of CD19.CAR T‑cells. International Journal of Molecular Medicine, 52, 58. https://doi.org/10.3892/ijmm.2023.5261
MLA
Eberhardt, F., Hückelhoven-Krauss, A., Kunz, A., Jiang, G., Sauer, T., Reichman, A., Neuber, B., Böpple, K., Schmitt, A., Müller-Tidow, C., Schmitt, M., Keib, A."Impact of serum‑free media on the expansion and functionality of CD19.CAR T‑cells". International Journal of Molecular Medicine 52.1 (2023): 58.
Chicago
Eberhardt, F., Hückelhoven-Krauss, A., Kunz, A., Jiang, G., Sauer, T., Reichman, A., Neuber, B., Böpple, K., Schmitt, A., Müller-Tidow, C., Schmitt, M., Keib, A."Impact of serum‑free media on the expansion and functionality of CD19.CAR T‑cells". International Journal of Molecular Medicine 52, no. 1 (2023): 58. https://doi.org/10.3892/ijmm.2023.5261
Follow us
  • Twitter
  • LinkedIn
  • Facebook
About
  • Spandidos Publications
  • Careers
  • Cookie Policy
  • Privacy Policy
How can we help?
  • Help
  • Live Chat
  • Contact
  • Email to our Support Team