Spandidos Publications Logo
  • About
    • About Spandidos
    • Aims and Scopes
    • Abstracting and Indexing
    • Editorial Policies
    • Reprints and Permissions
    • Job Opportunities
    • Terms and Conditions
    • Contact
  • Journals
    • All Journals
    • Oncology Letters
      • Oncology Letters
      • Information for Authors
      • Editorial Policies
      • Editorial Board
      • Aims and Scope
      • Abstracting and Indexing
      • Bibliographic Information
      • Archive
    • International Journal of Oncology
      • International Journal of Oncology
      • Information for Authors
      • Editorial Policies
      • Editorial Board
      • Aims and Scope
      • Abstracting and Indexing
      • Bibliographic Information
      • Archive
    • Molecular and Clinical Oncology
      • Molecular and Clinical Oncology
      • Information for Authors
      • Editorial Policies
      • Editorial Board
      • Aims and Scope
      • Abstracting and Indexing
      • Bibliographic Information
      • Archive
    • Experimental and Therapeutic Medicine
      • Experimental and Therapeutic Medicine
      • Information for Authors
      • Editorial Policies
      • Editorial Board
      • Aims and Scope
      • Abstracting and Indexing
      • Bibliographic Information
      • Archive
    • International Journal of Molecular Medicine
      • International Journal of Molecular Medicine
      • Information for Authors
      • Editorial Policies
      • Editorial Board
      • Aims and Scope
      • Abstracting and Indexing
      • Bibliographic Information
      • Archive
    • Biomedical Reports
      • Biomedical Reports
      • Information for Authors
      • Editorial Policies
      • Editorial Board
      • Aims and Scope
      • Abstracting and Indexing
      • Bibliographic Information
      • Archive
    • Oncology Reports
      • Oncology Reports
      • Information for Authors
      • Editorial Policies
      • Editorial Board
      • Aims and Scope
      • Abstracting and Indexing
      • Bibliographic Information
      • Archive
    • Molecular Medicine Reports
      • Molecular Medicine Reports
      • Information for Authors
      • Editorial Policies
      • Editorial Board
      • Aims and Scope
      • Abstracting and Indexing
      • Bibliographic Information
      • Archive
    • World Academy of Sciences Journal
      • World Academy of Sciences Journal
      • Information for Authors
      • Editorial Policies
      • Editorial Board
      • Aims and Scope
      • Abstracting and Indexing
      • Bibliographic Information
      • Archive
    • International Journal of Functional Nutrition
      • International Journal of Functional Nutrition
      • Information for Authors
      • Editorial Policies
      • Editorial Board
      • Aims and Scope
      • Abstracting and Indexing
      • Bibliographic Information
      • Archive
    • International Journal of Epigenetics
      • International Journal of Epigenetics
      • Information for Authors
      • Editorial Policies
      • Editorial Board
      • Aims and Scope
      • Abstracting and Indexing
      • Bibliographic Information
      • Archive
    • Medicine International
      • Medicine International
      • Information for Authors
      • Editorial Policies
      • Editorial Board
      • Aims and Scope
      • Abstracting and Indexing
      • Bibliographic Information
      • Archive
  • Articles
  • Information
    • Information for Authors
    • Information for Reviewers
    • Information for Librarians
    • Information for Advertisers
    • Conferences
  • Language Editing
Spandidos Publications Logo
  • About
    • About Spandidos
    • Aims and Scopes
    • Abstracting and Indexing
    • Editorial Policies
    • Reprints and Permissions
    • Job Opportunities
    • Terms and Conditions
    • Contact
  • Journals
    • All Journals
    • Biomedical Reports
      • Information for Authors
      • Editorial Policies
      • Editorial Board
      • Aims and Scope
      • Abstracting and Indexing
      • Bibliographic Information
      • Archive
    • Experimental and Therapeutic Medicine
      • Information for Authors
      • Editorial Policies
      • Editorial Board
      • Aims and Scope
      • Abstracting and Indexing
      • Bibliographic Information
      • Archive
    • International Journal of Epigenetics
      • Information for Authors
      • Editorial Policies
      • Editorial Board
      • Aims and Scope
      • Abstracting and Indexing
      • Bibliographic Information
      • Archive
    • International Journal of Functional Nutrition
      • Information for Authors
      • Editorial Policies
      • Editorial Board
      • Aims and Scope
      • Abstracting and Indexing
      • Bibliographic Information
      • Archive
    • International Journal of Molecular Medicine
      • Information for Authors
      • Editorial Policies
      • Editorial Board
      • Aims and Scope
      • Abstracting and Indexing
      • Bibliographic Information
      • Archive
    • International Journal of Oncology
      • Information for Authors
      • Editorial Policies
      • Editorial Board
      • Aims and Scope
      • Abstracting and Indexing
      • Bibliographic Information
      • Archive
    • Medicine International
      • Information for Authors
      • Editorial Policies
      • Editorial Board
      • Aims and Scope
      • Abstracting and Indexing
      • Bibliographic Information
      • Archive
    • Molecular and Clinical Oncology
      • Information for Authors
      • Editorial Policies
      • Editorial Board
      • Aims and Scope
      • Abstracting and Indexing
      • Bibliographic Information
      • Archive
    • Molecular Medicine Reports
      • Information for Authors
      • Editorial Policies
      • Editorial Board
      • Aims and Scope
      • Abstracting and Indexing
      • Bibliographic Information
      • Archive
    • Oncology Letters
      • Information for Authors
      • Editorial Policies
      • Editorial Board
      • Aims and Scope
      • Abstracting and Indexing
      • Bibliographic Information
      • Archive
    • Oncology Reports
      • Information for Authors
      • Editorial Policies
      • Editorial Board
      • Aims and Scope
      • Abstracting and Indexing
      • Bibliographic Information
      • Archive
    • World Academy of Sciences Journal
      • Information for Authors
      • Editorial Policies
      • Editorial Board
      • Aims and Scope
      • Abstracting and Indexing
      • Bibliographic Information
      • Archive
  • Articles
  • Information
    • For Authors
    • For Reviewers
    • For Librarians
    • For Advertisers
    • Conferences
  • Language Editing
Login Register Submit
  • This site uses cookies
  • You can change your cookie settings at any time by following the instructions in our Cookie Policy. To find out more, you may read our Privacy Policy.

    I agree
Search articles by DOI, keyword, author or affiliation
Search
Advanced Search
presentation
International Journal of Molecular Medicine
Join Editorial Board Propose a Special Issue
Print ISSN: 1107-3756 Online ISSN: 1791-244X
Journal Cover
March-2026 Volume 57 Issue 3

Full Size Image

Sign up for eToc alerts
Recommend to Library

Journals

International Journal of Molecular Medicine

International Journal of Molecular Medicine

International Journal of Molecular Medicine is an international journal devoted to molecular mechanisms of human disease.

International Journal of Oncology

International Journal of Oncology

International Journal of Oncology is an international journal devoted to oncology research and cancer treatment.

Molecular Medicine Reports

Molecular Medicine Reports

Covers molecular medicine topics such as pharmacology, pathology, genetics, neuroscience, infectious diseases, molecular cardiology, and molecular surgery.

Oncology Reports

Oncology Reports

Oncology Reports is an international journal devoted to fundamental and applied research in Oncology.

Experimental and Therapeutic Medicine

Experimental and Therapeutic Medicine

Experimental and Therapeutic Medicine is an international journal devoted to laboratory and clinical medicine.

Oncology Letters

Oncology Letters

Oncology Letters is an international journal devoted to Experimental and Clinical Oncology.

Biomedical Reports

Biomedical Reports

Explores a wide range of biological and medical fields, including pharmacology, genetics, microbiology, neuroscience, and molecular cardiology.

Molecular and Clinical Oncology

Molecular and Clinical Oncology

International journal addressing all aspects of oncology research, from tumorigenesis and oncogenes to chemotherapy and metastasis.

World Academy of Sciences Journal

World Academy of Sciences Journal

Multidisciplinary open-access journal spanning biochemistry, genetics, neuroscience, environmental health, and synthetic biology.

International Journal of Functional Nutrition

International Journal of Functional Nutrition

Open-access journal combining biochemistry, pharmacology, immunology, and genetics to advance health through functional nutrition.

International Journal of Epigenetics

International Journal of Epigenetics

Publishes open-access research on using epigenetics to advance understanding and treatment of human disease.

Medicine International

Medicine International

An International Open Access Journal Devoted to General Medicine.

Journal Cover
March-2026 Volume 57 Issue 3

Full Size Image

Sign up for eToc alerts
Recommend to Library

  • Article
  • Citations
    • Cite This Article
    • Download Citation
    • Create Citation Alert
    • Remove Citation Alert
    • Cited By
  • Similar Articles
    • Related Articles (in Spandidos Publications)
    • Similar Articles (Google Scholar)
    • Similar Articles (PubMed)
  • Download PDF
  • Download XML
  • View XML
Review Open Access

Mangiferin in human disease: Multifaceted mechanisms and applications (Review)

  • Authors:
    • Yaling Dai
    • Qiuling Huang
    • Mengquan Tan
    • Zhifu Wang
    • Cai Jiang
    • Zheng Liu
    • Shenghang Zhang
    • Siyuan Song
  • View Affiliations / Copyright

    Affiliations: Fujian Key Laboratory of Aptamers Technology, 900th Hospital of Joint Logistics Support Force, Fuzhou, Fujian 350025, P.R. China, Center for Integrated Traditional Chinese and Western Medicine, Xiamen Xianyue Hospital, Xiamen, Fujian 361000, P.R. China, Institute of Rehabilitation Industry, Fujian University of Traditional Chinese Medicine, Fuzhou, Fujian 350122, P.R. China, Acupuncture and Moxibustion College, Fujian University of Traditional Chinese Medicine, Fuzhou, Fujian 350122, P.R. China, Rehabilitation Medicine Center, Fuzhou University Affiliated Provincial Hospital, Fuzhou, Fujian 350001, P.R. China, Department of Pathology, University of Texas MD Anderson Cancer Center, Houston, TX 77030, USA, Department of Neuroscience, Baylor College of Medicine, Houston, TX 77030, USA
    Copyright: © Dai et al. This is an open access article distributed under the terms of Creative Commons Attribution License.
  • Article Number: 65
    |
    Published online on: January 21, 2026
       https://doi.org/10.3892/ijmm.2026.5736
  • Expand metrics +
Metrics: Total Views: 0 (Spandidos Publications: | PMC Statistics: )
Metrics: Total PDF Downloads: 0 (Spandidos Publications: | PMC Statistics: )
Cited By (CrossRef): 0 citations Loading Articles...

This article is mentioned in:


Abstract

Mangiferin (MGF) is a natural C‑glucosyl xanthone with multitarget activity relevant to metabolic, inflammatory and cancer diseases. Notably, MGF modulates AMP‑activated protein kinase, NF‑κB, PI3K/AKT and MAPK signaling; through these pathways, it affects glucose and lipid metabolism, oxidative stress, apoptosis and inflammatory responses. In metabolic disorders, MGF has been shown to improve insulin sensitivity, support mitochondrial function and reduce diabetic complications. In cancer models, MGF suppresses proliferation, invasion and angiogenesis, and can influence antitumor immunity in the tumor microenvironment. Anti‑inflammatory actions include decreased cytokine release and regulation of the NLR family pyrin domain‑containing 3 inflammasome. Notably, clinical translation remains limited due to its low aqueous solubility, poor oral bioavailability and rapid metabolism. However, benefits of nanocarrier delivery, structural optimization and combination therapy have been reported, which may improve exposure and efficacy in experimental systems. Furthermore, safety signals in animals are favorable at relevant doses, but clinical evidence remains limited. In conclusion, the present review summarizes the pharmacodynamics and mechanisms of MGF across major disease settings and identifies key gaps for translation. Priorities include standardized clinical trials, optimization of delivery strategies, and rigorous assessment of long‑term safety and efficacy.

Introduction

Mangiferin (MGF) is a yellow crystalline flavonoid with a molecular weight of 422.34 g/mol (Fig. 1). Despite its low water solubility (0.111 mg/ml) (1) and poor oral bioavailability (~1.2%) (2,3), due to its limited lipophilicity and intestinal permeability (4), MGF has been identified in 96 species, 28 genera and 19 families of angiosperms (5). Its unique structure, featuring a catechol moiety and a C-glucosidic linkage, contributes to its interactions with diverse biological targets and underpins its broad pharmacological activities. Moreover, MGF complies with Lipinski's rule of five, suggesting favorable drug-like properties despite its absorption limitations (6). MGF isolated from indica rice leaves has various pharmacological benefits; notably, it exhibits potent, broad-spectrum antimicrobial activity against diverse fungal and bacterial pathogens, with minimum inhibitory concentration (MIC) values of 1.95-62.5 and 1.95-31.25 μg/ml, respectively (7). In addition, it exerts wide-ranging pharmacological effects by modulating key metabolic pathways, including glycolysis, the tricarboxylic acid (TCA) cycle, and lipid and amino acid metabolism, supporting its potential use in treating metabolic disorders such as hyperlipidemia and hyperglycemia (8). Additionally, MGF has neuroprotective, anti-inflammatory and anticancer effects by reducing oxidative stress, inhibiting proinflammatory signaling, and suppressing tumor proliferation and metastasis. Advances in formulation and drug delivery strategies are expected to further improve its clinical applicability across various diseases (4,9).

Chemical structure of mangiferin.

Figure 1

Chemical structure of mangiferin.

The present review has three objectives. First, the current evidence on MGF was organized by mechanism, focusing on AMP-activated protein kinase (AMPK), NF-κB, PI3K/Akt, MAPK and NLR family pyrin domain-containing 3 (NLRP3) pathways, and their relation to metabolic regulation, oxidative stress, apoptosis, angiogenesis and immune modulation. Second, the preclinical efficacy of MGF across metabolic, inflammatory and cancer models was evaluated using reproducible endpoints, such as insulin sensitivity, fibrotic markers, tumor growth, invasion and MMP-9 activity. Third, key barriers to translation, including low solubility, poor oral bioavailability and rapid metabolism, were examined, and delivery and structural optimization strategies that may improve exposure were assessed. Evidence selection prioritized primary studies and systematic analyses with prespecified methods. By integrating data on molecular mechanisms, pharmacology and drug-delivery strategies, the present review aims to identify consistent efficacy signals, highlight areas of uncertainty and propose priorities for future human studies.

Literature search strategy

To ensure the comprehensiveness and reliability of the present review, a structured literature search was conducted in the PubMed (https://pubmed.ncbi.nlm.nih.gov/), Web of Science (http://www.webofscience.com/), Scopus (http://www.scopus.com/) and Google Scholar (http://scholar.google.com/) databases. The search included studies published between January 2000 and June 2025. The following key words and their combinations were searched: 'mangiferin', 'pharmacological activity', 'bioavailability', 'metabolism', 'toxicity', 'mechanism of action' and 'therapeutic potential'. The inclusion criteria were as follows: i) Original research or review articles investigating the pharmacological, biochemical or clinical properties of MGF; ii) studies providing mechanistic, pharmacokinetic (PK) or toxicological data; and iii) publications written in English and indexed in peer-reviewed journals. The exclusion criteria were as follows: i) Non-peer-reviewed materials, conference abstracts or duplicated data; ii) studies using complex herbal mixtures without quantifiable MGF content; and iii) articles lacking sufficient methodological detail or outcome data. References were screened by title, abstract and full text, and only those meeting the inclusion criteria were included in the final review.

Historical discovery, botanical sources and early pharmacological insights into MGF

The chemical structure of MGF, identified as a 1,3,6,7-tetrahydroxyxanthone C-glucoside, was first elucidated by Aritomi and Kawasaki in 1969 (10). However, detailed structural characterization via nuclear magnetic resonance spectroscopy and X-ray diffraction was not achieved until the early 2000s (11). Between the 1960s and 1980s, MGF and its isomers were isolated from several botanical sources, including Anemarrhena asphodeloides Bunge. A subsequent study broadened its known distribution: In 1995, MGF was detected in ferns from New Zealand, and in 2008, markedly high concentrations (up to 6.12%) were reported in the leaves of wild coffee plants (7). MGF is most abundant in members of the Anacardiaceae family, particularly Mangifera indica L., but it has also been isolated from other medicinal plants, such as Prunus dulcis, Gentiana manshurica, Swertia mussotii and Pyrrosia calvata (12). Advances in phytochemical techniques, including high-performance liquid chromatography and mass spectrometry, have notably improved the precision of MGF identification and quantification across diverse plant matrices.

An early pharmacological study explored the physiological and therapeutic effects of MGF (10). A previous study demonstrated that the substance possesses a spectrum of biological activities beyond its initial inotropic effect on frog hearts, including immunomodulatory, reproductive, antitumor and antiviral properties (13). Metabolic investigations have indicated that MGF is biotransformed by the human intestinal microbiota, with deglycosylation to norathyriol a key step (8). In preclinical PK studies, oral MGF has been shown to exhibit low systemic exposure, which is reflected by its limited detection in the plasma and urine of rodent models (14). These observations have motivated formulation strategies to improve exposure. In 2012, nanostructured lipid carriers were applied to MGF, providing a basis for subsequent nanotechnology-oriented approaches that aim to increase its solubility, stability and oral bioavailability (15).

Absorption and metabolism of MGF

Absorption of MGF

Despite its wide pharmacological spectrum, MGF has low oral bioavailability, largely due to its poor solubility and limited membrane permeability. The stability of its C-glycosidic bond prevents enzymatic cleavage and reduces transmembrane transport, thereby restricting passive absorption across the intestinal epithelium (16). A previous in vivo study demonstrated that only 1.15% of orally administered MGF (30 mg/kg) is bioavailable in mice, whereas intraperitoneal administration results in markedly increased systemic levels. Additionally, extensive first-pass hepatic metabolism further decreases the amount of active MGF entering systemic circulation (17).

Regional differences in intestinal absorption have been reported in rats. In situ perfusion experiments have indicated greater apparent permeability in the duodenum compared with that in the jejunum, and greater permeability in the jejunum than in the ileum, which suggests that the upper small intestine is the principal site of uptake (18). After absorption, MGF is distributed via the circulation to multiple organs, including the heart, liver, spleen, lungs, kidneys, testes and prostate. In rats administered oral MGF, peak concentrations in the plasma, lungs and kidneys have been reported to occur 4-6 h after dosing. Under the reported analytical conditions, MGF is not detected in brain tissue, which is consistent with limited penetration across the blood-brain barrier in this model (19).

Metabolism of MGF

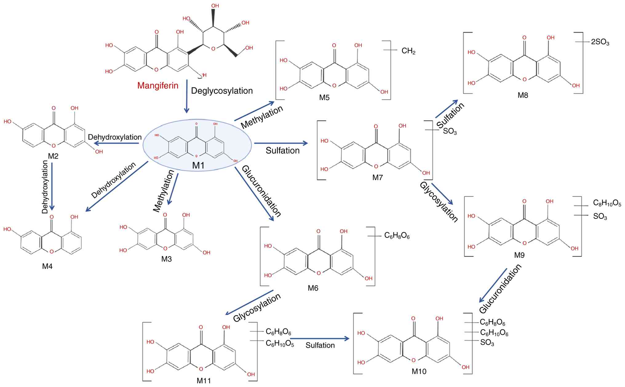
MGF undergoes biotransformation through both microbial and host enzymatic systems. A frequently observed pathway is microbial or enzymatic deglycosylation of C-glucoside, generating the aglycone norathyriol (metabolite M1), which has greater membrane permeability than the parent compound (20). Subsequent phase I reactions (for example, dehydroxylation and O-methylation) and phase II conjugations (including glucuronidation and sulfation) yield additional metabolites with distinct physicochemical properties (21). These steps can occur sequentially or in parallel within the gut lumen and microbiota, the intestinal epithelium and the liver, and the relative contribution of each route depends on the species, dose and formulation (21). A schematic overview of these metabolic routes and representative metabolites is provided in Fig. 2. Thus, while the formation of M1 is well documented (20,21), it should be considered a predominant rather than obligatory initial event in the overall metabolic scheme.

Diagram of the relevant
pharmacological properties of mangiferin and its potential
mechanism of action. The metabolic pathways include the following:
M1, deglycosylation to norathyriol; M2, 1,3,7-trihydroxyxanthone;
M3, methylation to 1,3,6-trihydroxy-7-methoxyxanthone; M4,
dehydroxylation to 1,7-dihydroxyxanthone; M5, further methylation
to methoxy dimethyl xanthone; M6, glucuronidation products; M7,
sulfated derivatives; M8, dithio-sulfate norathyriol; M9, sulfate
norathyriol glucoside; M10, norathyriol glucuronide sulfate; and
M11, norathyriol glucuronide.

Figure 2

Diagram of the relevant pharmacological properties of mangiferin and its potential mechanism of action. The metabolic pathways include the following: M1, deglycosylation to norathyriol; M2, 1,3,7-trihydroxyxanthone; M3, methylation to 1,3,6-trihydroxy-7-methoxyxanthone; M4, dehydroxylation to 1,7-dihydroxyxanthone; M5, further methylation to methoxy dimethyl xanthone; M6, glucuronidation products; M7, sulfated derivatives; M8, dithio-sulfate norathyriol; M9, sulfate norathyriol glucoside; M10, norathyriol glucuronide sulfate; and M11, norathyriol glucuronide.

Specifically, M1 is dehydroxylated to form 1,3,7-trihydroxyxanthone (M2) and 1,7-dihydroxyxanthone (M4), with M2 being the predominant urinary metabolite in rodents (22). Methylation of M1 yields compounds such as 1,3,6-trihydroxy-7-methoxyxanthone (M3) and methoxy dimethyl xanthone (M5). Conjugation reactions generate glucuronide (M6), sulfate (M7) and mixed derivatives, including dithio-sulfate norathyriol (M8), sulfate norathyriol glucoside (M9), norathyriol glucuronide (M11) and its sulfated form (M10) (11,23).

The gut microbiota serves a critical role in the deglycosylation and subsequent metabolism of MGF, representing a key determinant of its systemic availability and pharmacological effects (24). Although microbial metabolism enables the formation of bioactive metabolites, it remains unclear whether MGF itself modulates the composition and function of the gut microbiota. Further research is needed to clarify this bidirectional interaction, and to characterize the full spectrum of bioactive metabolites relevant to disease prevention and therapy (25).

Pharmacological effects of MGF on diabetes

Diabetes mellitus results from impaired pancreatic β-cell function and/or peripheral insulin resistance, ultimately disrupting glucose homeostasis. MGF has notable antidiabetic potential due to its insulinotropic and insulin-sensitizing effects (Fig. 3).

Therapeutic effects of MGF on
diabetes. MGF restores islet function, promotes insulin secretion
and regulates glucose homeostasis. It enhances fatty acid
β-oxidation and glucose transporter 4 expression, alleviates
insulin resistance and reduces diabetic complications. The
AMPK/FoxO3/SIRT3 and PTEN/PI3K/Akt pathways are crucial targets
that contribute to protection against diabetic pulmonary fibrosis,
renal fibrosis and peripheral neuropathy. AMPK, AMP-activated
protein kinase; MGF, mangiferin; SIRT3, sirtuin 3.

Figure 3

Therapeutic effects of MGF on diabetes. MGF restores islet function, promotes insulin secretion and regulates glucose homeostasis. It enhances fatty acid β-oxidation and glucose transporter 4 expression, alleviates insulin resistance and reduces diabetic complications. The AMPK/FoxO3/SIRT3 and PTEN/PI3K/Akt pathways are crucial targets that contribute to protection against diabetic pulmonary fibrosis, renal fibrosis and peripheral neuropathy. AMPK, AMP-activated protein kinase; MGF, mangiferin; SIRT3, sirtuin 3.

β-cell protection and pancreatic regeneration

MGF supports pancreatic function by preserving and regenerating β cells. In animal models of type 1 and type 2 diabetes, tail vein administration of MGF-loaded polymeric nanocarriers (5-10 mg/kg) have been reported to increase β-cell proliferation, inhibit apoptosis and restored insulin secretion, thereby improving glycemic control (26). Similarly, repeated oral administration of MGF (30 or 90 mg/kg for 14 days) in partially pancreatectomized mice may promote islet regeneration through the upregulation of key cell-cycle regulators (such as cyclin D1 and Ki-67) and pancreatic progenitor markers, including Pdx1 and Ngn3 (27).

Insulin sensitization and glucose metabolism

MGF also alleviates insulin resistance by modulating metabolic, inflammatory and oxidative stress pathways. Activation of the peroxisome proliferator-activated receptor (PPAR)α/γ axis enhances fatty acid β-oxidation and upregulates glucose transporter 4 (GLUT4), thereby improving insulin sensitivity (28). Given that chronic inflammation and oxidative stress are central to the development of diabetes (29), MGF mitigates these processes through the inhibition of HIF-1α and NF-κB signaling, the suppression of JNK phosphorylation, and the reduction in endoplasmic reticulum stress, collectively restoring insulin signaling (30).

In addition, MGF directly regulates glucose metabolism. It promotes glycolysis and glycogen synthesis while inhibiting gluconeogenesis by modulating key enzymes such as glycogen synthase kinase 3β (GSK3β), glucose-6-phosphatase and phosphoenolpyruvate carboxykinase. Furthermore, MGF reverses high glucose-induced impairment of GLUT4 translocation and glucose uptake, partly via AMPK activation and Akt phosphorylation, thereby improving hepatic energy metabolism and overall insulin responsiveness (31).

Structural derivatives and therapeutic effects on diabetic complications

Structural modification of MGF has produced more potent derivatives. For example, compound X-3, a semi-synthetic derivative prepared from MGF, has been reported to markedly reduce hyperglycemia and obesity in mice after 8 weeks of oral treatment (40-120 mg/kg), primarily through AMPK pathway activation (32).

In addition to its ability to control glycemia, MGF has shown activity against diabetic complications in preclinical models. In a mouse model of diabetic pulmonary fibrosis, oral administration of 60 mg/kg MGF every 3 days for 4 weeks has been shown to reduce the progression of fibrosis. Reported effects include the inhibition of endothelial-mesenchymal transition and modulation of the AMPK/FoxO3/sirtuin (SIRT)3 pathway, as evidenced by changes in pathway proteins and fibrosis markers (33). In streptozotocin-induced diabetic mice, oral administration of 15-60 mg/kg/day MGF for 4 weeks may attenuate renal injury, which is consistent with diabetic nephropathy. This previous study reported downregulation of phosphatase and tensin homolog (PTEN)/PI3K/Akt signaling, and reduced expression of fibronectin, collagen I and α-smooth muscle actin (α-SMA), along with decreases in renal fibrosis, inflammation and oxidative stress endpoints (34). Taken together, these data support a potential role for MGF in mitigating pulmonary and renal complications of diabetes under experimental conditions, while confirming that the proposed mechanisms, including inhibition of endothelial-mesenchymal transition and modulation of AMPK/FoxO3/SIRT3 signaling in diabetic pulmonary fibrosis, and downregulation of PTEN/PI3K/Akt signaling with reduced fibronectin/collagen I/α-SMA expression in diabetic nephropathy, are supported by molecular endpoints measured in these models (33,34).

In models of diabetic peripheral neuropathy, MGF alleviates neuroinflammation by reducing TNF-α, TGF-β1, IL-1β and IL-6 levels in the sciatic nerve. Concurrently, it enhances antioxidant defenses and upregulates nerve growth factor, thereby promoting nerve regeneration and functional recovery (35).

Anticancer mechanisms of MGF

MGF exerts potent anticancer activity through multiple mechanisms that target key cellular processes underlying tumor initiation and progression. These include the induction of cell cycle arrest, the promotion of apoptosis through various intracellular pathways, the inhibition of tumor invasion and metastasis, the modulation of immune responses, and the enhancement of radiosensitivity in cancer such as glioblastoma (GBM) (36,37). Fig. 4 schematically summarizes the major signaling pathways [such as nuclear factor erythroid 2-related factor 2 (Nrf2)/reactive oxygen species (ROS), ATR/Chk1, CDK1/cyclin B1, NF-κB, PI3K/Akt, MAPK, caspases and microRNAs (miRNAs/miRs)] through which MGF induces apoptosis of tumor cells.

Molecular mechanism of the anticancer
effect of MGF. MGF suppresses tumor growth by promoting apoptosis,
exerting anti-inflammatory effects, regulating mitochondrial
function, modulating autophagy and enhancing immune responses.
Upward and downward arrows indicate activation/upregulation or
inhibition/downregulation by MGF, respectively. Yellow circles
indicate activation of the indicated signaling nodes. GSH,
glutathione; IL-1R, IL-1 receptor; MGF, mangiferin; miR, microRNA;
Nrf2, nuclear factor erythroid 2-related factor 2; p-,
phosphorylated proteins; ROS, reactive oxygen species; TLRs,
Toll-like receptors; TRAF6, TNF receptor-associated factor 6.

Figure 4

Molecular mechanism of the anticancer effect of MGF. MGF suppresses tumor growth by promoting apoptosis, exerting anti-inflammatory effects, regulating mitochondrial function, modulating autophagy and enhancing immune responses. Upward and downward arrows indicate activation/upregulation or inhibition/downregulation by MGF, respectively. Yellow circles indicate activation of the indicated signaling nodes. GSH, glutathione; IL-1R, IL-1 receptor; MGF, mangiferin; miR, microRNA; Nrf2, nuclear factor erythroid 2-related factor 2; p-, phosphorylated proteins; ROS, reactive oxygen species; TLRs, Toll-like receptors; TRAF6, TNF receptor-associated factor 6.

According to previous cancer-related experiments, MGF most consistently modulates four signaling axes that share common upstream triggers and downstream responses (38,39). For NF-κB, typical engagement is inferred from reduced IKKα/IKKβ phosphorylation, stabilization of IκBα, and reduced nuclear p65 DNA binding, with downstream decreases in pro-survival and invasive effectors, such as BCL2L1, BIRC5 and MMP-9 (40-43). For Nrf2, evidence includes diminished Kelch-like ECH-associated protein 1-mediated ubiquitination, increased nuclear Nrf2, and the induction of heme oxygenase (HO)-1, NAD(P)H quinone dehydrogenase 1 (NQO1) and other phase II enzymes, aligning with decreased ROS and lipid peroxidation (44,45). MAPK modulation is context dependent; a number of models show attenuation of ERK1/2, JNK and p38 phosphorylation, reduced activator protein (AP)-1 activity, and consequent decreases in proliferation and cytokine output (38,46). For PI3K/Akt, changes in Akt Thr308/Ser473, and downstream GSK3β and mTOR complex 1 lead to reduced protein synthesis and survival signaling in tumor cells, whereas in metabolic tissues, they support GLUT4 translocation and glycogen synthesis (16,47-54). Notably, crosstalk is evident: AMPK activation can suppress NF-κB priming and MAPK activity, whereas redox shifts through Nrf2 dampen inflammasome priming, which converges on MMP-9 and invasion programs. To aid interpretation, each subsequent subsection in the present review reports on the model, exposure, phosphorylation status of key signaling proteins and a disease-relevant functional endpoint (for example, apoptosis markers, invasion or tumor growth), and provides a brief appraisal of sample size and risks of bias.

Cell cycle arrest via CDK1/cyclin B1

In HL-60 cells, some studies have reported increased CDK1 and cyclin B1 mRNA following MGF exposure, indicating regulation at the transcriptional level in this model (55). However, across tumor cell systems, the functional consequence remains G2/M arrest, with reduced proliferation and increased susceptibility to apoptosis. This outcome is consistent with reports of decreased CDK1/cyclin B1 activity, altered phosphorylation of CDK1 with reduced activating phosphorylation and increased inhibitory phosphorylation, and engagement of checkpoint signaling, including ATR-dependent Chk1 activation, in other tumor cell lines exposed to MGF (56,57). This evidence supports multilevel regulation of the CDK1/cyclin B1 axis by MGF. Differences at the mRNA level are plausibly attributable to the assay, timing, dose and cellular context, whereas the consistent phenotype is G2/M blockade with growth suppression (55-57).

Apoptosis pathways
Caspase activation

The induction of apoptosis via caspase activation is a well-established anticancer mechanism. Caspases are a family of cysteine proteases that execute programmed cell death through a proteolytic cascade. Initiator caspases (such as caspase-8 and -9) activate effector caspases (including caspase-3, -6 and -7), leading to degradation of intracellular components and apoptotic cell death (58,59). MGF has been shown to promote this cascade through multiple upstream regulators, including the Bcl-2 protein family and cytochrome c-mediated pathways (60).

MGF induces apoptosis in nasopharyngeal carcinoma cells by modulating the mitochondrial pathway, decreasing antiapoptotic Bcl-2 and increasing proapoptotic Bax expression (61). In HeLa cervical cancer cells, ethanolic mango peel extract enriched with MGF downregulates Bid, Bcl-2 and pro-caspase-3 and -8, while activating caspases-3, -7, -8 and -9, and cleaving poly(ADP-ribose) polymerase (PARP)-hallmarks of caspase-mediated apoptosis (62).

In SGC-7901 gastric cancer cells, MGF suppresses Bcl-2, Bcl-xL and Mcl-1 expression, and increases Bax, Bad, and cleaved caspase-3 and -9 levels. Additionally, it inhibits the PI3K/Akt/mTOR signaling axis, further promoting apoptosis and suppressing cell survival (47).

Modulation of miRNAs

miRNAs are short, noncoding RNAs that post-transcriptionally regulate gene expression and serve dual roles in cancer as oncogenes or tumor suppressors (63). MGF influences the expression of several miRNAs associated with tumor suppression and apoptosis.

In glioma cells, MGF upregulates miR-15b, which induces apoptosis by downregulating the expression of oncogenic targets such as WNT7A (37,64). Similarly, in prostate cancer PC3 cells, MGF elevates miR-182 levels, leading to decreased Bcl-2 expression and increased apoptotic activity (65). In lung adenocarcinoma models, MGF reduces the expression of miR-27b and miR-92a, two oncogenic miRNAs highly expressed in tumor tissues, thereby inhibiting tumor cell proliferation and promoting apoptosis (66).

Induction of the mitochondrial pathway

MGF also initiates intrinsic apoptosis via the mitochondrial pathway (67). Disruption of mitochondrial membrane potential is a critical early event in the apoptotic cascade and is often regulated by intracellular calcium homeostasis and endoplasmic reticulum stress (68). MGF reduces the mitochondrial membrane potential in HT29 colon cancer cells, leading to mitochondrial outer membrane permeabilization and apoptosis (69). In lung cancer mouse models, MGF alters mitochondrial metabolism by increasing lipid peroxidation and suppressing key TCA cycle and electron transport enzymes, including isocitrate dehydrogenase, succinate dehydrogenase, malate dehydrogenase and α-ketoglutarate dehydrogenase (70). Notably, in models of fluoride-induced neurotoxicity, MGF restores mitochondrial integrity by inhibiting proapoptotic proteins (Bax, caspase-3 and caspase-9) and upregulating Bcl-2. These protective effects are mediated via JNK inhibition and activation of the Nrf2/HO-1 pathway (71). Thus, the ability of MGF to induce mitochondrial dysfunction in cancer cells and preserve mitochondrial health in normal cells reflects its selective cytotoxic potential.

Induction of oxidative stress

ROS serve a paradoxical role in cancer, contributing to tumor initiation while also serving as apoptotic triggers when in excess (72). MGF modulates oxidative stress pathways by interacting with both pro-oxidant and antioxidant systems. MGF activates the Nrf2 pathway, stabilizing Nrf2 protein levels by inhibiting its ubiquitination, which leads to increased transcription of antioxidant enzymes, such as NQO1 (73,74). This activity suppresses intracellular ROS accumulation and induces apoptosis in leukemia HL-60 cells (75). In neuroblastoma SK-N-SH cells, MGF reduces ROS production and the activity of key antioxidants, such as glutathione (GSH), superoxide dismutase (SOD), catalase and GSH peroxidase (GSH-Px), pushing the redox balance toward apoptosis (9,76). Additionally, MGF enhances phase II detoxifying enzymes, including GSH S-transferase, quinone reductase and UDP-glucuronosyltransferase, while reducing lipid peroxidation in lung cancer models (77,78).

In a diethylnitrosamine-induced hepatocellular carcinoma rat model, treatment with MGF has been shown to improve hepatic oxidative stress markers, as follows: Malondialdehyde (MDA) content was reduced, whereas SOD activity and GSH levels were elevated, and tumor formation was attenuated (79). In colorectal cancer, an azoxymethane-induced rat model treated with MGF has been shown to exhibit improved antioxidant enzyme activity, reduced aberrant crypt foci formation and modulation of apoptotic proteins, such as Bax, Bcl-2 and caspase-3, have been reported, linking redox control to tumor suppression in colon tissue (80).

In malignant contexts where antioxidant defenses become critically depleted, MGF-mediated redox modulation may serve as an initiating event that dictates cell fate. Sustained ROS accumulation disrupts mitochondrial integrity, diminishes the membrane potential and promotes apoptotic signaling, as observed in tumor and myoblast models (81). In addition to this proapoptotic cascade, accumulating evidence has suggested that redox regulation itself constitutes a primary mechanistic axis rather than a subordinate branch of apoptosis, reflecting broader control of mitochondrial and metabolic homeostasis (82,83).

In malignant settings with severely depleted antioxidant defenses, persistent ROS elevation can damage mitochondria, impair membrane potential and promote apoptotic signaling. However, available data suggest that MGF-driven restoration of redox homeostasis represents a central mechanistic axis of its antitumor activity, rather than merely a downstream branch of apoptosis (84,85).

Inhibition of tumor invasion via MMP-9 suppression

MMPs, particularly MMP-2, MMP-9 and MMP-11, are critical enzymes involved in tumor invasion, metastasis and angiogenesis (86). Among these proteins, MMP-9 serves a central role in degrading extracellular matrix components, facilitating tumor cell dissemination. MGF has been demonstrated to have a selective inhibitory effect on MMP-9, making it a promising candidate for antimetastatic therapy (87).

MGF inhibits tumor invasion in part by selectively suppressing MMP-9 expression and activity. In human glioma models, MGF reduces phorbol 12-myristate 13-acetate-induced MMP-9 without materially affecting other MMP family members, which is consistent with decreased NF-κB and AP-1 binding to the MMP-9 promoter, and with upstream attenuation of Akt and MAPK signaling (41). A Computational study has provided support for direct interactions between MGF derivatives and the MMP-9 catalytic site, which may contribute to enzymatic inhibition (88).

MGF has also been shown to sensitize glioma cells by modulating signaling pathways involved in MMP-9 regulation, including the NF-κB and PKB/Akt pathways. In metastatic melanoma models, low-dose MGF enhances the antitumor activity of citrus-derived glycosides, partly by increasing TNF-α expression and inhibiting metastasis (89).

Immunomodulatory activity
Suppression of NF-κB signaling

In addition to its downstream effects on apoptosis, NF-κB signaling represents a key immunomodulatory axis. Chronic inflammation drives tumorigenesis in ~20% of cancers (90), largely through activation of the NF-κB pathway (91,92). MGF interferes with multiple nodes of NF-κB signaling, thereby limiting inflammation-driven carcinogenesis (93). NF-κB transcription factors, particularly RelA (p65) and RelB, promote the expression of pro-survival and proinflammatory genes (94). MGF suppresses RelA and RelB expression, reduces NF-κB transcriptional activity, and induces apoptosis in malignancies such as multiple myeloma (95).

In the canonical NF-κB pathway, extracellular stimuli such as pathogen-associated molecular patterns or proinflammatory cytokines (such as IL-1 and TNF-α) activate Toll-like receptors and IL-1 receptor (IL-1R), leading to recruitment of the MyD88-IL-1R-associated kinase 1/4-TNF receptor-associated factor 6 complex (96,97). This initiates downstream signaling via TAK1-TAB1/2 and the IKK complex (IKKα, IKKβ and NEMO), ultimately phosphorylating IκB and releasing the NF-κB p50/p65 dimer for nuclear translocation (98).

MGF effectively interferes with this cascade. In vitro studies have shown that pretreatment with MGF or its enriched extract Vimang reduces the phosphorylation of IKKα and IKKβ without altering their total protein levels (99). Furthermore, MGF impairs the nuclear translocation and DNA-binding activity of p65 in response to TNF-α stimulation (100), thereby disrupting NF-κB-driven transcription and weakening the survival response in tumor cells (101). This NF-κB inhibition is accompanied by classical apoptotic hallmarks. MGF upregulates proapoptotic markers, including cleaved caspase-3, cleaved PARP-1, p53, phosphorylated-p53 and p53-upregulated modulator of apoptosis, while downregulating antiapoptotic proteins, such as survivin and Bcl-xL (40). Additionally, MGF suppresses NF-κB-inducing kinase, further reinforcing the blockade of both the canonical and noncanonical NF-κB pathways, ultimately limiting cancer cell proliferation, metastasis and survival.

MGF also modulates stress and survival pathways that converge on NF-κB. In HL-60 leukemia cells, MGF activates Nrf2 and lowers intracellular ROS, which is consistent with the attenuation of oxidative stress (75). In epithelial cancer models, MGF enhances the cytotoxic effects of chemotherapeutics while suppressing NF-κB activation. In HeLa and HT29 cells, this suppression coincides with improved responses to oxaliplatin and reduced drug resistance. In A549 lung cancer cells, MGF increases the antiproliferative impact of chemotherapy in association with G2/M arrest and inhibition of the PKC-NF-κB axis (56). These apoptotic outcomes are considered secondary to the primary immunomodulatory role of MGF through NF-κB inhibition.

Modulation of immune cells and cytokine responses

In addition to its direct cytotoxicity, MGF modulates host immune responses, enhancing antitumor immunity. It influences various immune cell populations, including macrophages, neutrophils, splenocytes and natural killer (NK) cells, which are critical components of the tumor microenvironment (78). MGF induces cytoskeletal rearrangement in macrophages, alters their morphology and enhances their phagocytic capacity (102). It also modulates immune responses triggered by lipopolysaccharides (LPS), TNF-α and IL-1, potentially limiting tumor-induced DNA damage in normal tissues and mitigating tumor-promoting inflammation (103).

In MDA-MB-231 breast cancer cells, MGF disrupts Rac1/WAVE2 signaling and inhibits cytokine secretion (for example, IL-6 and IL-8), thereby reducing invasive capacity and inflammatory crosstalk (104). Dose-dependent immunostimulatory effects have also been observed in murine models; low concentrations (5-40 mg/ml) enhance the proliferation of splenocytes and thymocytes, whereas higher doses inhibit tumor cell proliferation. MGF activates splenocytes, facilitates plant lectin agglutination and stimulates NK-resistant tumor cell killing by macrophages (105,106).

Radiosensitization in GBM

GBM is a highly aggressive brain tumor with a poor prognosis and a limited response to conventional radiotherapy. While radiotherapy remains a cornerstone of GBM treatment, tumor recurrence due to radioresistance remains a major challenge. Radiosensitizers are pharmacological agents that increase tumor sensitivity to radiation while minimizing harm to normal tissues, representing an attractive adjunct strategy in GBM management.

Recent evidence has suggested that MGF enhances radiosensitivity in GBM through multiple mechanisms. It synergistically inhibits the proliferation of U87 and U118 GBM cells in a dose- and time-dependent manner when combined with radiation. MGF exerts these effects by downregulating MMP-9 expression and modulating miR-15b, thereby disrupting tumor cell survival and invasion (35). Notably, MGF selectively inhibits the nonhomologous end joining pathway, a major DNA repair mechanism in GBM cells, thereby impairing DNA repair following radiation and enhancing radiotherapeutic efficacy. By sensitizing tumor cells to radiation-induced DNA damage, MGF improves therapeutic outcomes without necessitating an increase in radiation dose (36). A comprehensive summary of the targets, dosages, study models, signaling pathways and mechanistic insights associated with MGF across different cancer-related contexts is presented in Table I (4,5,7,8,13-17,55,56,107-114).

Table I

Summary of representative studies on MGF and the underlying molecular mechanisms.

Table I

Summary of representative studies on MGF and the underlying molecular mechanisms.

Target/pathwayDose and durationExperimental model/sample sizeType of studyMajor signaling pathwaysPrincipal findings/cellular products Limitations/remarks(Refs.)
Apoptosis12.5-200 μMCNE2, SGC-7901 gastric carcinoma cellsIn vitroCaspase; PI3K-AktBax (up), Bad (up), Bcl-2 (down); activation of caspase-3/9;Limited to gastric cell lines(4,5)
miRNA modulation12.5-100 mg/mlH2030/H1299/A549 lung cancer cellsIn vitromiR-92a, miR-27bDownregulated oncogenic miRNAs; suppressed proliferation and induced apoptosis in LUAD cellsNo animal or human data(7)
miRNA modulation25-100 μMHuman U87 glioma cellsIn vitroMMP-9/miR-15bMMP-9 (down), miR-15b (down); attenuated invasionMechanism indirect; requires in vivo validation(8)
Mitochondrial pathway1/50/400 μMHT-29 colon adenocarcinoma cells (ATCC HTB-38)In vitroPPAR, SIRT, NF-κB, STAT3, HIF, WntMultitargeting of mitochondrial oxidoreductases and β-oxidation; inhibited proliferation, metastasis, angiogenesisIn vitro only; pharmacokinetic data were not available(13)
Mitochondrial pathway10/25/50 μMSH-SY5Y neuroblastoma cellsIn vitroJNK; Nrf2/HO-1Normalized mitochondrial dynamics, reduced oxidative stressLimited neuronal model(14)
Lipid peroxidation10 μg/mlU-937 macrophagesIn vitroNF-κBInhibited TNF-induced lipid peroxidation; catalase (up); apoptosis protectionPreclinical only(15)
Lipid peroxidation50 mg/kg Benzo(a)pyrene-induced lung cancer in Swiss albino mice (n=6/group)In vivoNF-κB; mitochondrial genesReduced mitochondrial lipid peroxidation; altered TCA/ETC enzymes; induced apoptosisNo chronic safety data(16)
Oxidative-stress pathway50/100/200 mg/kg ×14 daysWistar rats (n=8/group)In vivoNrf2Breg levels, activated Nrf2 antioxidant pathway; proinflammatory mediators (down)Rodent model; needs clinical validation(17)
Cell-cycle proteins0.5/0.75/1 μMHL-60 leukemia cellsIn vitroCDK1/cyclin B1Increased cyclin B1; triggered G2/M arrestShort-term exposure; lacks mechanistic protein validation(55)
Cell-cycle proteins10/50/100 mg/kgA549 lung carcinoma cellsIn vitroCDK1/cyclin B1Induced G2/M-phase arrest; apoptosis via NF-κB inhibitionOnly cell-line data; no in vivo validation(56)
Pharmacokinetics/absorption30 mg/kg (single oral dose)Wistar rats (n=6)In vivo-Peak tissue level in small intestine at 0.5 h (754 ng/ml); nonlinear absorptionNo human PK association(107)
Anti-invasion/anti-metastasis1 mg/ml; 50 μl/wellU87MG/U373MG/CRT-MG glioma cellsIn vitroMMP-9; PI3K-Akt; MAPKSuppressed MMP-9 via inhibition of NF-κB and AP-1; Akt/MAPK phosphorylation (down)No in vivo validation(108)
Anti-inflammatory4.2 mgRAW 264.7 macrophagesIn vitroNF-κBIL-12 (down), TNF-α (up), IL-1 (up), IL-6 (down); anti-inflammatory shiftLacks time-course data(109)
miRNA modulation10/20/40 μMPC3 human prostate cancer cellsIn vitroBcl-2/miR-182Bcl-2 (down), miR-182 (up); promoted apoptosisSingle-cell model(110)
Mitochondrial pathway100 mg/kg × 21 daysER− breast-cancer xenograft mice (n=8)In vivoNF-κB; caspase-3Tumor volume reduced by ~89%, comparable to cisplatin (91.5%)Short duration; no toxicity endpoints(111)
Inflammatory models20-40 μM/5-20 mg/kgRAW264.7 cells and mouse air-pouch model (n=6/group)In vitro and in vivoROS; NF-κBReduced ROS; blocked NF-κB nuclear translocation; suppressed cytokinesDose-dependent effects only short term(112)
Safety/toxicity≤1,000 mg/kg × 28 daysSprague-Dawley rats (n=10/group)In vivo-No abnormal hematology; LD50 >2,000 mg/kgLimited to 28 days(113)
Clinical cognition study300 mg/day × 7 days60 healthy adults, randomized double-blindClinical Cognitive/antioxidantImproved attention and working memory; no adverse eventsShort duration; healthy subjects only(114)

[i] '(up)' indicates upregulation; '(down)' indicates downregulation. AP-1, activator protein-1; ER, estrogen receptor; HO-1, heme oxygenase-1; LD50, lethal dose 50%; LUAD, lung adenocarcinoma; miRNA/miR, microRNA; ETC, electron transport chain; MNF, mangiferin; Nrf2, nuclear factor erythroid 2-related factor 2; Breg, regulatory B cell; PPAR, peroxisome proliferator-activated receptor; ROS, reactive oxygen species; SIRT, sirtuin; TCA, tricarboxylic acid; -, not applicable.

Applications in other diseases

In addition to its well-characterized roles in diabetes and cancer, MGF exerts protective effects across a broad spectrum of pathological conditions. These include inflammatory, neurodegenerative, ocular, renal, cardiovascular, dermatological and infectious diseases (7,36,106,115-118). Although the mechanistic depth of investigation in these fields is comparatively limited, accumulating preclinical and early clinical evidence has underscored the versatile pharmacodynamic (PD) profile of MGF. Its therapeutic actions converge on several core molecular pathways, particularly the suppression of oxidative stress and NF-κB-mediated inflammation, and the activation of AMPK and SIRT1 signaling (119-121). Fig. 5 provides an overview of these shared mechanisms and representative disease contexts, illustrating the diverse yet interconnected pharmacological potential of MGF beyond metabolic and oncological disorders.

Representative therapeutic
applications of MGF and its core molecular mechanisms. MGF exhibits
broad pharmacological activity across multiple organ systems, which
is primarily mediated through the attenuation of oxidative stress
and inflammatory signaling. The core mechanisms include a reduction
in ROS levels, suppression of NF-κB and NLRP3 inflammasome
activation, and activation of the AMPK and SIRT1 pathways. These
convergent regulatory effects underpin the diverse protective
actions of MGF in inflammatory, neurodegenerative, ocular, renal,
cardiovascular, dermatological and infectious diseases. The listed
conditions represent key examples rather than an exhaustive account
of the therapeutic potential of MGF, highlighting its versatility
as a pleiotropic bioactive compound. AMPK, AMP-activated protein
kinase; MGF, mangiferin; NLRP3, NLR family pyrin domain-containing
3; ROS, reactive oxygen species; SIRT, sirtuin.

Figure 5

Representative therapeutic applications of MGF and its core molecular mechanisms. MGF exhibits broad pharmacological activity across multiple organ systems, which is primarily mediated through the attenuation of oxidative stress and inflammatory signaling. The core mechanisms include a reduction in ROS levels, suppression of NF-κB and NLRP3 inflammasome activation, and activation of the AMPK and SIRT1 pathways. These convergent regulatory effects underpin the diverse protective actions of MGF in inflammatory, neurodegenerative, ocular, renal, cardiovascular, dermatological and infectious diseases. The listed conditions represent key examples rather than an exhaustive account of the therapeutic potential of MGF, highlighting its versatility as a pleiotropic bioactive compound. AMPK, AMP-activated protein kinase; MGF, mangiferin; NLRP3, NLR family pyrin domain-containing 3; ROS, reactive oxygen species; SIRT, sirtuin.

Anti-inflammatory effects

Chronic inflammation is a key driver of various pathological conditions, including degenerative, autoimmune and metabolic diseases. MGF, characterized by its C-glucosyl and polyhydroxylated xanthone structure, exhibits potent antioxidant and anti-inflammatory activities by scavenging free radicals and modulating key signaling pathways.

In intervertebral disc degeneration, MGF has been shown to attenuate mitochondrial dysfunction and reduce ROS in human nucleus pulposus cells. It suppresses TNF-α-induced NF-κB activation and downregulates the expression of apoptosis-related markers, including pro-apoptotic caspases and Bcl-2 family proteins, indicating its therapeutic potential for treating degenerative disc disorders (122).

In a rat model of rheumatoid arthritis, MGF (15-45 mg/kg, 2-week administration) inhibits the MAPK and NF-κB pathways, thereby reducing inflammatory cell proliferation, migration and cytokine secretion. MGF also promotes inflammatory apoptosis and attenuates the pathogenic activity of fibroblast-like synoviocytes in arthritic rats (123).

In metabolic inflammation, MGF improves insulin sensitivity and lipid metabolism. In a rodent model of high-fat diet-induced nonalcoholic fatty liver disease (NAFLD), MGF (25-100 mg/kg, 12 weeks) activates AMPK and suppresses NLRP3 inflammasome signaling, reducing hepatic inflammation and steatosis (124). An additional study has confirmed the ability of MGF to inhibit the NF-κB and JNK pathways, with reduced body weight and plasma triglyceride and cholesterol levels in NAFLD mouse models (125).

In models of acute lung injury, pre-administration of MGF (100 mg/kg) suppresses LPS-induced NLRP3 inflammasome activation in macrophages via NF-κB inhibition. This results in reduced inflammatory cytokine production and amelioration of pulmonary pathology (126).

Eye diseases

Oxidative stress serves a central role in the pathogenesis of ocular disorders such as diabetic retinopathy and macular degeneration. MGF has demonstrated therapeutic benefits in preclinical models of retinal and lens injury through antioxidant and antiangiogenic mechanisms (127).

In ischemic retinal injury, MGF downregulates HIF-1α and glial fibrillary acidic protein while upregulating SIRT1, thereby protecting retinal ganglion cells from oxidative damage in mouse models (128). In diabetic retinopathy, MGF inhibits angiogenesis and endothelial cell migration by targeting the PI3K/Akt/mTOR pathway, suggesting potential for clinical translation (129).

Notably, the capacity of MGF to cross the blood-retinal barrier enhances its therapeutic efficacy (130). In streptozotocin-induced diabetic rats, biochemical analysis has revealed that MGF increases antioxidant enzyme activity (SOD, GSH-Px), reduces lipid peroxidation (MDA), and decreases advanced glycation end-products (AGEs) and sorbitol levels in the lens and serum, thereby contributing to the prevention of diabetic ocular complications (131).

Neuroprotection

MGF exhibits robust neuroprotective properties across multiple animal models of neurodegeneration, ischemia and cognitive impairment. Its mechanisms include the modulation of oxidative stress, mitochondrial protection and anti-inflammatory signaling (132).

In 1-methyl-4-phenyl-1,2,3,6-tetrahydropyridine-induced mouse models and α-synuclein overexpression transgenic mouse models of Parkinson's disease, MGF reduces neuroinflammation and oxidative stress by inhibiting NF-κB signaling, resulting in improved motor coordination and neuronal survival in the substantia nigra (133). It also improves memory by enhancing cholinergic transmission through acetylcholinesterase inhibition and NF-κB suppression (134).

In hypoxia/reoxygenation-induced N2a neuroblastoma cell models of ischemic injury, MGF activates the SIRT1/PPARγ coactivator-1α axis to preserve mitochondrial function and reduce neuronal damage (135). A placebo-controlled human study demonstrated that acute MGF administration enhances attention, long-term memory and cognitive performance in healthy adults (136).

MGF also protects against β-amyloid-induced oxidative damage, restoring redox balance and preserving mitochondrial integrity in Alzheimer's disease models, such as amyloid β-treated neuronal cultures and APP/PS1 transgenic mice (137). In aging mice, MGF improves memory, reduces hippocampal pathology, and decreases the β-amyloid burden and lipid peroxidation (138). Furthermore, it enhances hippocampal neuronal excitability and cognitive processing, supporting its potential as a neurocognitive enhancer (139).

Renal protection

Renal dysfunction, often driven by oxidative stress and inflammation, contributes to the pathogenesis of acute and chronic kidney diseases. MGF has demonstrated renoprotective effects across a range of kidney injury models by modulating inflammation, oxidative stress and fibrotic signaling pathways (140).

In vitro studies have shown that MGF suppresses IL-6 and IL-8 production by inhibiting the MAPK and NF-κB pathways, thereby attenuating inflammatory responses in renal epithelial cells (141). In a mouse model of ischemia-reperfusion injury, MGF (10, 30 or 100 mg/kg) protects renal tubular cells by reducing inflammation and apoptosis through activation of the adenosine-CD73 pathway (141). Similarly, in D(+)-galactosamine-induced nephrotoxicity, MGF exhibits antioxidant properties by inhibiting inducible nitric oxide synthase and downregulating NF-κB signaling, leading to improved renal function and histology (142).

MGF (20, 50 or 100 mg/kg) also protects against sepsis-induced acute kidney injury in an LPS-induced sepsis mouse model by preserving the endothelial glycocalyx component syndecan-1, reducing ROS and MDA production, enhancing tight junction integrity, and limiting vascular leakage and inflammation (142).

Diabetic nephropathy is a common microvascular complication of type 1 and type 2 diabetes (143). MGF (50 mg/kg) mitigates renal injury in streptozotocin-induced diabetic mice by modulating hexokinase II-mitochondrial interactions and inhibiting NADPH oxidase 4, thereby reducing oxidative stress (144). Moreover, MGF (12.5, 25 or 50 mg/kg) enhances autophagic flux via AMPK-mTOR signaling, delaying the progression of diabetic nephropathy (145).

MGF also attenuates renal interstitial fibrosis, a hallmark of diabetic kidney disease. In streptozotocin-induced diabetic mice, MGF (15, 30 or 60 mg/kg) suppresses inflammation and oxidative stress by modulating the PTEN/PI3K/Akt pathway, leading to reduced expression of fibrotic markers such as collagen I, fibronectin and α-SMA (34).

Cardiovascular benefits

MGF has lipid-lowering, antioxidant and anti-inflammatory properties that contribute to cardiovascular protection. A randomized, double-blind clinical trial demonstrated that MGF supplementation can markedly decrease serum triglyceride and free fatty acid levels in overweight individuals with hyperlipidemia, highlighting its clinical potential (146).

In high-fat diet-induced hyperlipidemic rats, MGF (50, 100 or 150 mg/kg, orally administered for 6 weeks) has been shown to activate hepatic AMPK, resulting in improved lipid metabolism and reduced circulating free fatty acids (147). Furthermore, in high-fat diet-induced hyperlipidemic rats, MGF-loaded N-succinyl-chitosan-grafted alginate nanoparticles enhance therapeutic efficacy by increasing the hepatic expression of PPARα, carnitine palmitoyltransferase I and FAT/CD36, while suppressing lipogenic genes, such as SREBP-1c, ACC, DGAT2 and MTP (148).

In rat models of diabetic cardiomyopathy, MGF (20 mg/kg for 16 weeks) has been shown to notably decrease ROS production and AGE accumulation, partly through the inhibition of NF-κB signaling. This preserves myocardial function and delays cardiomyopathic remodeling (149).

Dermatological benefits and wound healing

In murine models of contact dermatitis induced by oxazolone, MGF suppresses TNF-α-stimulated macrophage activation and inhibits NF-κB pathway activation, resulting in decreased production of inflammatory mediators and oxidative stress markers (150). Its C-glucosylxanthone structure contributes to its efficacy as a skin-targeted anti-inflammatory compound.

Oxygenated anthraquinone derivatives of MGF, including isobavachalcone, gartanin and glucosylated xanthone, have demonstrated antimicrobial activity against acne-causing bacteria such as Staphylococcus epidermidis. These compounds also inhibit inflammatory pathways, including PPAR and prostaglandin cascades, suggesting their therapeutic potential in both acne and inflammatory dermatoses (151).

In wound healing, MGF-loaded hydrogels or liposomes (10, 20 and 40 μM) have been reported to accelerate flap regeneration in rat models of skin injury. This treatment may inhibit oxidative stress-induced apoptosis, increase the Bcl-2/Bax ratio and decrease cleaved caspase-3 expression (29). MGF also enhances PPARγ expression and suppresses NF-κB activity, further promoting anti-inflammatory and cytoprotective effects in dermal tissues (29).

Antimicrobial actions

MGF possesses broad-spectrum antimicrobial activity against both fungal and bacterial pathogens, including strains involved in drug resistance and biofilm formation. Purified MGF has MIC values ranging from 1.95 to 62.5 μg/ml for fungi and from 1.95 to 31.25 μg/ml for bacteria, with a time-kill study confirming its bactericidal and fungicidal efficacy (1). Extracts from mango leaves, which are rich in MGF, have shown inhibitory activity against gram-positive bacteria (Staphylococcus aureus, Bacillus subtilis, Streptococcus pneumoniae) and gram-negative pathogens (Escherichia coli, Klebsiella pneumoniae, Pseudomonas aeruginosa, Shigella spp.) (114,152,153). Furthermore, MGF derivatives have demonstrated efficacy against K. pneumoniae by disrupting biofilms, impairing virulence factor expression and increasing antibiotic susceptibility (154).

In a murine periodontitis model, oral administration of MGF (50 mg/kg for 8 weeks) has been reported to suppress Porphyromonas gingivalis-induced alveolar bone loss, downregulate TNF-α production and inhibit NF-κB and JAK1/STAT1/3 phosphorylation in the gingival epithelium (155). In Caenorhabditis elegans models infected with P. aeruginosa, MGF compounds regulate quorum sensing pathways and reduce bacterial virulence in both dauer larvae and adult stages, further supporting their anti-infective potential (156).

Translational aspects
PK, and absorption, distribution, metabolism and excretion overview

Orally administered MGF shows low aqueous solubility and limited intestinal permeability, resulting in poor systemic exposure at conventional doses (157-160). After uptake in the proximal small intestine, extensive first-pass metabolism and gut microbiota-mediated deglycosylation (yielding norathyriol and downstream conjugates) further reduce parent drug levels (21,160-162). The tissue distribution in rodents indicates measurable concentrations in the liver, kidney and lung with delayed plasma peaks, whereas brain penetration appears limited under standard conditions (107,163). These properties underscore the need to link PD readouts to exposures achievable with clinically realistic regimens, and to report unbound concentrations where possible.

Key barriers to translation

The main obstacles include: i) Low solubility and permeability [constraining Cmax/area under the curve (AUC) after oral dosing] ((164-166), ii) metabolic lability and conjugation that curtails exposure to the parent compound MGF (21,167,168), iii) variability introduced by microbiome-dependent deglycosylation (165,169), and iv) inconsistent reporting of dose-exposure relationships across preclinical studies (170,171). These issues complicate cross-study comparisons and dose selection for human studies.

Delivery/formulation strategies

Multiple approaches have improved exposure in preclinical systems, including nanostructured lipid carriers, polymeric and chitosan-based nanogels, phospholipid complexes (2,172,173), and targeted nanoparticles designed to enhance intestinal uptake or lymphatic transport and to stabilize MGF against rapid metabolism (172,174-176). Early structure-led strategies (for example, monosodium salts/derivatives) have also reported increased apparent potency or improved tissue delivery in disease models (166,177,178). In the future, head-to-head comparisons using common dose units, matched controls and standardized PK endpoints (AUC, bioavailability, tissue-plasma ratios) will be essential for identifying clinically scalable options (170,179).

Safety/toxicity signals

A nonclinical study has previously reported favorable tolerability at pharmacologically relevant exposures, with adverse findings emerging at substantially higher doses (180). However, several safety uncertainties remain: i) Limited chronic toxicity datasets for purified MGF (as opposed to plant extracts) (108); ii) sparse evaluation of drug-drug interaction risks given pathway cross-talk (for example, with PI3K/Akt, AMPK or NF-κB modulators) (181-183); and iii) incomplete reporting of standardized laboratory safety assessments and histopathology in a number of efficacy-focused studies (184). Extract-based toxicology (such as that assessing mango leaf preparations) should not be overextrapolated to the purified compound without compositional bridging.

Clinical evidence and next steps

Early human data are limited, heterogeneous (often extract-based) and not yet definitive for purified MGF. Small studies suggest metabolic or performance signals in select contexts, but they seldom include rigorous PK/PD integration, dose-ranging or long-term safety monitoring (139,166,185). The next steps include: i) Phase I studies with single- and multiple-ascending doses of purified MGF and exposure-enhancing formulations; ii) assessment of the effects of food intake on MGF PKs and bioequivalence for leading delivery platforms, including nanostructured lipid carriers, phospholipid complexes and chitosan-based nanoparticles; iii) PK/PD modeling anchored to validated mechanistic biomarkers (such as p65 nuclear translocation, Nrf2 target induction) and disease-relevant functional endpoints; and iv) randomized, controlled phase II trials using clinically translatable doses and standardized safety surveillance.

Evidence gaps

Preclinical findings regarding MGF are promising; however, the evidence base shows important gaps that limit translation. Notably, the results vary across cell lines and animal strains, and several mechanisms that are frequently cited (for example, NF-κB or MMP-9 modulation, G2/M arrest and AMPK activation) appear to be highly context dependent, with inconsistent replication under different stimuli or dosing conditions (4,13,117,124,186,187). A number of studies rely on single models, small or unreported sample sizes, and pretreatment designs rather than therapeutic intervention after disease onset, which reduces external validity (117,188). PK constraints remain under-characterized, including oral exposure at clinically relevant doses, the relative contribution of metabolites such as norathyriol, tissue penetration in target organs and the variability introduced by different formulations (21,159,162). Material standardization is uneven, with frequent use of extracts or nanoparticles without full reporting of purity, content uniformity or release profiles, making cross-study comparisons difficult and weakening conclusions regarding the active entity (161,181). Mechanistic claims often rely on surrogate protein readouts, such as changes in pathway marker proteins (for example, NF-κB p65 nuclear translocation or AMPK phosphorylation), without orthogonal validation or causal rescue experiments, and dose-response and time-course data are incomplete for several indications (13,186,189). Comparative efficacy vs. standard of care is rarely tested, and combination studies seldom include PK or PD interaction assessments. Furthermore, safety reporting is inconsistent, with limited long-term toxicity, immunomodulatory risk and drug-drug interaction data, and with few studies that stratify patients by sex or age (184,185,190). Human evidence remains sparse, with a lack of standardized endpoints, validated translational biomarkers, and prospective trials that incorporate randomization, blinding and predefined primary outcomes (184,191). Addressing these gaps will require well-powered, rigorously controlled studies that integrate exposure-response relationships, prespecified functional end points and reproducible materials, together with head-to-head and combination designs that reflect real clinical use.

Conclusion and future prospects

MGF, a natural C-glucosylxanthone, has broad pharmacological effects, including antidiabetic, anticancer, anti-inflammatory, antioxidant and neuroprotective activities, with low toxicity and good biocompatibility, making it a promising therapeutic candidate.

Notably, the clinical use of MGF is limited by poor solubility and low oral bioavailability. Advances such as nanogels, lipid carriers and phospholipid complexes have improved absorption and stability (23,192,193). Structural modifications and derivatives such as monosodium MGF also enhance efficacy, partly via the modulation of oxidative stress pathways (194). Future work should focus on optimized delivery systems, rational structural designs, and rigorous clinical trials to confirm safety and dosing (170). Building on the growing preclinical base, next-step studies should prioritize clinically scalable formulations, such as polymeric or lipid nanocarriers, self-microemulsifying drug delivery systems (forming fine oil-in-water microemulsions in the gastrointestinal tract) and solid lipid nanoparticles (lipid-based colloidal carriers), cyclodextrin inclusions and phospholipid complexes, supported by standardized chemistry, manufacturing and controls characterization and direct PK comparisons with conventional extracts (195,196). This approach is justified by consistent improvements in solubility, uptake and systemic exposure demonstrated in nanodelivery research, as well as by early human PK findings that MGF monosodium salt substantially increases bioavailability compared with the parent compound (166,195). These PK advantages make dose finding and scheduling practically feasible in phase I/II trials. To ensure translational credibility, forthcoming clinical studies should integrate exposure-response analysis and biomarker verification, quantifying indicators such as Nrf2 target induction, NF-κB suppression, and oxidative or DNA damage markers in accessible tissues or circulating immune cells. Consistent with the development principles proposed by previous scholars, these strategies effectively integrate formulation, dosage and PDs into a coherent translational framework (166,195,197).

Deeper investigations into signaling pathways, including the NF-κB, Nrf2 and AMPK pathways, will further clarify the underlying mechanisms of MGF and support its clinical translation (184,198,199). Mechanistically enriched studies should define, for each indication discussed in this review (for example, cancer, inflammatory disorders and liver disease), the predominant signaling axis, distinguishing between redox-regulated Nrf2 signaling, inflammatory NF-κB activation and metabolic AMPK modulation, as summarized in reviews of the molecular mechanisms of MGF in cancer/inflammation and liver disease, including the NF-κB, Nrf2 and AMPK pathways (198,199). Such resolution will guide rational combinations, for example, pairing MGF with radiotherapy or cytotoxic drugs where redox priming or DNA-repair interference is desired or combining with immunomodulators where NF-κB/innate signaling is dominant (200-202). This pathway-specific combination strategy, which pairs MGF with radiotherapy or cytotoxic agents for redox priming or DNA-repair interference, or with immunomodulators that act on the dominant NF-κB/innate signaling pathway, is inspired by prior 'redox-directed' therapeutic approaches, and is further supported by MGF studies showing Nrf2-centred and AMPK-linked anti-inflammatory effects (75,120). Together, a biomarker-driven, pathway-specific strategy may result in MGF progressing from a broadly-acting pleiotropic lead compound to a precisely targeted therapeutic candidate for defined patient subgroups.

In conclusion, MGF represents a compelling natural compound with substantial therapeutic potential. With continued advancements in formulation science, structural modification and clinical validation, MGF may emerge as a clinically valuable agent in modern pharmacotherapy. Overcoming its current limitations through interdisciplinary innovation will be essential to determining its full potential in the prevention and treatment of metabolic, inflammatory, infectious, degenerative and neoplastic diseases.

Availability of data and materials

Not applicable.

Authors' contributions

YD, QH and MT contributed equally to the conception and design of the review, performed the literature search, screened the articles, extracted and synthesized the data, and drafted the initial manuscript. SZ and ZW participated in the literature search and data extraction, performed extensive analysis and interpretation of the data, summarized and organized the extracted findings, and assisted with figure and table preparation. CJ contributed to the organization and interpretation of the extracted data, and critically revised the manuscript for important intellectual content. ZL and SS conceived and supervised the study, resolved discrepancies in study selection and data interpretation, provided critical revision of the manuscript, and are the corresponding authors. Data authentication is not applicable. All authors read and approved the final manuscript.

Ethics approval and consent to participate

Not applicable.

Patient consent for publication

Not applicable.

Competing interests

The authors declare that they have no competing interests.

Abbreviations:

AGE

advanced glycation end-products

AMPK

AMP-activated protein kinase

PPAR

peroxisome proliferator-activated receptor

PTEN

phosphatase and tensin homolog

ROS

reactive oxygen species

SIRT

sirtuin

SOD

superoxide dismutase

Acknowledgements

The authors would like to thank Professor Yi Wang (University of Electronic Science and Technology of China, Chengdu, China), for her valuable guidance and assistance in preparing this manuscript.

Funding

This work was supported by the Fujian Provincial Natural Science Foundation (grant no. 2025J08106), the National Natural Science Foundation of China (grant no. 82505722) and the National Natural Science Foundation of China (grant no. 82474616).

References

1 

Wang M, Liang Y, Chen K, Wang M, Long X, Liu H, Sun Y and He B: The management of diabetes mellitus by mangiferin: Advances and prospects. Nanoscale. 14:2119–2135. 2022. View Article : Google Scholar : PubMed/NCBI

2 

Bhattacharyya S, Ahmmed SM, Saha BP and Mukherjee PK: Soya phospholipid complex of mangiferin enhances its hepatoprotectivity by improving its bioavailability and pharmacokinetics. J Sci Food Agric. 94:1380–1388. 2014. View Article : Google Scholar

3 

Mei S, Perumal M, Battino M, Kitts DD, Xiao J, Ma H and Chen X: Mangiferin: A review of dietary sources, absorption, metabolism, bioavailability, and safety. Crit Rev Food Sci Nutr. 63:3046–3064. 2023. View Article : Google Scholar

4 

Morozkina SN, Nhung Vu TH, Generalova YE, Snetkov PP and Uspenskaya MV: Mangiferin as new potential anti-cancer agent and mangiferin-integrated polymer systems-a novel research direction. Biomolecules. 11:792021. View Article : Google Scholar : PubMed/NCBI

5 

Wang M, Zhang Z, Huo Q, Wang M, Sun Y, Liu H, Chang J, He B and Liang Y: Targeted polymeric nanoparticles based on mangiferin for enhanced protection of pancreatic β-cells and type 1 diabetes mellitus efficacy. ACS Appl Mater Interfaces. 14:11092–11103. 2022. View Article : Google Scholar : PubMed/NCBI

6 

Akkewar AS, Mishra KA and Sethi KK: Mangiferin: A natural bioactive immunomodulating glucosylxanthone with potential against cancer and rheumatoid arthritis. J Biochem Mol Toxicol. 38:e237652024. View Article : Google Scholar : PubMed/NCBI

7 

Yehia RS and Altwaim SA: An insight into in vitro antioxidant, antimicrobial, cytotoxic, and apoptosis induction potential of mangiferin, a bioactive compound derived from mangifera indica. Plants (Basel). 12:15392023.PubMed/NCBI

8 

Xiang G, Guo S, Xing N, Du Q, Qin J, Gao H, Zhang Y and Wang S: Mangiferin, a potential supplement to improve metabolic syndrome: Current status and future opportunities. Am J Chin Med. 52:355–386. 2024. View Article : Google Scholar : PubMed/NCBI

9 

Li HW, Lan TJ, Yun CX, Yang KD, Du ZC, Luo XF, Hao EW and Deng JG: Mangiferin exerts neuroprotective activity against lead-induced toxicity and oxidative stress via Nrf2 pathway. Chin Herb Med. 12:36–46. 2020.

10 

Aritomi M and Kawasaki T: A new xanthone C-glucoside, position isomer of mangiferin, from anemarrhena asphodeloides bunge. Tetrahedron Lett. 12:941–944. 1969. View Article : Google Scholar

11 

Talamond P, Conejero GV, Verdeil JL and Poëssel JL: Isolation of C-glycosyl xanthones from coffea pseudozanguebariae and their location. Nat Prod Commun. 6:1885–1888. 2011.

12 

Vyas A, Syeda K, Ahmad A, Padhye S and Sarkar FH: Perspectives on medicinal properties of mangiferin. Mini Rev Med Chem. 12:412–425. 2012. View Article : Google Scholar : PubMed/NCBI

13 

Du S, Liu H, Lei T, Xie X, Wang H, He X, Tong R and Wang Y: Mangiferin: An effective therapeutic agent against several disorders (review). Mol Med Rep. 18:4775–4786. 2018.PubMed/NCBI

14 

Kavitha M, Nataraj J, Essa MM, Memon MA and Manivasagam T: Mangiferin attenuates MPTP induced dopaminergic neurodegeneration and improves motor impairment, redox balance and bcl-2/bax expression in experimental Parkinson's disease mice. Chem Biol Interact. 206:239–247. 2013. View Article : Google Scholar : PubMed/NCBI

15 

Hudecová A, Kusznierewicz B, Hašplová K, Huk A, Magdolenová Z, Miadoková E, Gálová E and Dušinská M: Gentiana asclepiadea exerts antioxidant activity and enhances DNA repair of hydrogen peroxide- and silver nanoparticles-induced DNA damage. Food Chem Toxicol. 50:3352–3359. 2012. View Article : Google Scholar : PubMed/NCBI

16 

Andreu GP, Delgado R, Velho JA, Curti C and Vercesi AE: Iron complexing activity of mangiferin, a naturally occurring glucosylxanthone, inhibits mitochondrial lipid peroxidation induced by Fe2+-citrate. Eur J Pharmacol. 513:47–55. 2005. View Article : Google Scholar : PubMed/NCBI

17 

Gu PC, Wang L, Han MN, Peng J, Shang JC, Pan YQ and Han WL: Comparative pharmacokinetic study of mangiferin in normal and alloxan-induced diabetic rats after oral and intravenous administration by UPLC-MS/MS. Pharmacology. 103:30–37. 2019. View Article : Google Scholar

18 

Liu H, Wu B, Pan G, He L, Li Z, Fan M, Jian L, Chen M, Wang K and Huang C: Metabolism and pharmacokinetics of mangiferin in conventional rats, pseudo-germ-free rats, and streptozotocin-induced diabetic rats. Drug Metab Dispos. 40:2109–2118. 2012. View Article : Google Scholar : PubMed/NCBI

19 

Gelabert-Rebato M, Wiebe JC, Martin-Rincon M, Gericke N, Perez-Valera M, Curtelin D, Galvan-Alvarez V, Lopez-Rios L, Morales-Alamo D and Calbet JAL: Mangifera indica l. Leaf extract in combination with luteolin or quercetin enhances VO2peak and peak power output, and preserves skeletal muscle function during ischemia-reperfusion in humans. Front Physiol. 9:7402018. View Article : Google Scholar :

20 

Ehianeta TS, Laval SP and Yu B: Bio- and chemical syntheses of mangiferin and congeners. Biofactors. 42:445–458. 2016. View Article : Google Scholar : PubMed/NCBI

21 

Tian X, Gao Y, Xu Z, Lian S, Ma Y, Guo X, Hu P, Li Z and Huang C: Pharmacokinetics of mangiferin and its metabolite-norathyriol, part 1: Systemic evaluation of hepatic first-pass effect in vitro and in vivo. Biofactors. 42:533–544. 2016. View Article : Google Scholar : PubMed/NCBI

22 

Hasanah U, Miki K, Nitoda T and Kanzaki H: Aerobic bioconversion of c-glycoside mangiferin into its aglycone norathyriol by an isolated mouse intestinal bacterium. Biosci Biotechnol Biochem. 85:989–997. 2021. View Article : Google Scholar : PubMed/NCBI

23 

Li X, Jafari SM, Zhou F, Hong H, Jia X, Mei X, Hou G, Yuan Y, Liu B, Chen S, et al: The intracellular fate and transport mechanism of shape, size and rigidity varied nanocarriers for understanding their oral delivery efficiency. Biomaterials. 294:1219952023. View Article : Google Scholar : PubMed/NCBI

24 

Furlanetto V, Kalyani DC, Kostelac A, Puc J, Haltrich D, Hällberg BM and Divne C: Structural and functional characterization of a gene cluster responsible for deglycosylation of C-glucosyl flavonoids and xanthonoids by deinococcus aerius. J Mol Biol. 436:1685472024. View Article : Google Scholar : PubMed/NCBI

25 

Pereira QC, Fortunato IM, Oliveira FS, Alvarez MC, Santos TWD and Ribeiro ML: Polyphenolic compounds: Orchestrating intestinal microbiota harmony during aging. Nutrients. 16:10662024. View Article : Google Scholar : PubMed/NCBI

26 

Kaur P, Gupta RC, Dey A, Malik T and Pandey DK: Optimization of harvest and extraction factors by full factorial design for the improved yield of C-glucosyl xanthone mangiferin from swertia chirata. Sci Rep. 11:163462021. View Article : Google Scholar : PubMed/NCBI

27 

Suman RK, Borde MK, Mohanty IR and Singh HK: Mechanism of action of natural dipeptidyl peptidase-IV inhibitors (berberine and mangiferin) in experimentally induced diabetes with metabolic syndrome. Int J Appl Basic Med Res. 13:133–142. 2023. View Article : Google Scholar : PubMed/NCBI

28 

Shimada T, Nagai E, Harasawa Y, Watanabe M, Negishi K, Akase T, Sai Y, Miyamoto K and Aburada M: Salacia reticulata inhibits differentiation of 3T3-l1 adipocytes. J Ethnopharmacol. 136:67–74. 2011. View Article : Google Scholar : PubMed/NCBI

29 

Mao X, Liu L, Cheng L, Cheng R, Zhang L, Deng L, Sun X, Zhang Y, Sarmento B and Cui W: Adhesive nanoparticles with inflammation regulation for promoting skin flap regeneration. J Control Release. 297:91–101. 2019. View Article : Google Scholar : PubMed/NCBI

30 

Yang CQ, Xu JH, Yan DD, Liu BL, Liu K and Huang F: Mangiferin ameliorates insulin resistance by inhibiting inflammation and regulatiing adipokine expression in adipocytes under hypoxic condition. Chin J Nat Med. 15:664–673. 2017.PubMed/NCBI

31 

Fan X, Jiao G, Pang T, Wen T, He Z, Han J, Zhang F and Chen W: Ameliorative effects of mangiferin derivative TPX on insulin resistance via PI3k/AKT and AMPK signaling pathways in human HepG2 and HL-7702 hepatocytes. Phytomedicine. 114:1547402023. View Article : Google Scholar : PubMed/NCBI

32 

Han J, Yi J, Liang F, Jiang B, Xiao Y, Gao S, Yang N, Hu H, Xie WF and Chen W: X-3, a mangiferin derivative, stimulates AMP-activated protein kinase and reduces hyperglycemia and obesity in db/db mice. Mol Cell Endocrinol. 405:63–73. 2015. View Article : Google Scholar : PubMed/NCBI

33 

Fu TL, Li GR, Li DH, He RY, Liu BH, Xiong R, Xu CZ, Lu ZL, Song CK, Qiu HL, et al: Mangiferin alleviates diabetic pulmonary fibrosis in mice via inhibiting endothelial-mesenchymal transition through AMPK/FoxO3/SIRT3 axis. Acta Pharmacol Sin. 45:1002–1018. 2024. View Article : Google Scholar : PubMed/NCBI

34 

Song Y, Liu W, Tang K, Zang J, Li D and Gao H: Mangiferin alleviates renal interstitial fibrosis in streptozotocin-induced diabetic mice through regulating the PTEN/PI3k/Akt signaling pathway. J Diabetes Res. 2020:94817202020. View Article : Google Scholar : PubMed/NCBI

35 

Shivam and Gupta AK: Neuroprotective effects of isolated mangiferin from swertia chirayita leaves regulating oxidative pathway on streptozotocin-induced diabetic neuropathy in experimental rats. Cent Nerv Syst Agents Med Chem. 24:182–195. 2024. View Article : Google Scholar : PubMed/NCBI

36 

Iqbal H, Inam-Ur-Raheem M, Munir S, Rabail R, Kafeel S, Shahid A, Mousavi Khaneghah A and Aadil RM: Therapeutic potential of mangiferin in cancer: unveiling regulatory pathways, mechanisms of action, and bioavailability enhancements-an updated review. Food Sci Nutr. 12:1413–1429. 2024. View Article : Google Scholar : PubMed/NCBI

37 

Xiao J, Liu L, Zhong Z, Xiao C and Zhang J: Mangiferin regulates proliferation and apoptosis in glioma cells by induction of microRNA-15b and inhibition of MMP-9 expression. Oncol Rep. 33:2815–2820. 2015. View Article : Google Scholar : PubMed/NCBI

38 

Gold-Smith F, Fernandez A and Bishop K: Mangiferin and cancer: Mechanisms of action. Nutrients. 8:3962016. View Article : Google Scholar : PubMed/NCBI

39 

Rahmani AH, Almatroudi A, Allemailem KS, Alharbi HOA, Alwanian WM, Alhunayhani BA, Algahtani M, Theyab A, Almansour NM, Algefary AN, et al: Role of mangiferin in management of cancers through modulation of signal transduction pathways. Biomedicines. 11:32052023. View Article : Google Scholar : PubMed/NCBI

40 

Takeda T, Tsubaki M, Sakamoto K, Ichimura E, Enomoto A, Suzuki Y, Itoh T, Imano M, Tanabe G, Muraoka O, et al: Mangiferin, a novel nuclear factor kappa b-inducing kinase inhibitor, suppresses metastasis and tumor growth in a mouse metastatic melanoma model. Toxicol Appl Pharmacol. 306:105–112. 2016. View Article : Google Scholar : PubMed/NCBI

41 

Jung JS, Jung K, Kim DH and Kim HES: Selective inhibition of MMP-9 gene expression by mangiferin in PMA-stimulated human astroglioma cells: involvement of PI3k/akt and MAPK signaling pathways. Pharmacol Res. 66:95–103. 2012. View Article : Google Scholar : PubMed/NCBI

42 

Dilshara MG, Kang CH, Choi YH and Kim GY: Mangiferin inhibits tumor necrosis factor-α-induced matrix metalloproteinase-9 expression and cellular invasion by suppressing nuclear factor-κB activity. BMB Rep. 48:559–564. 2015. View Article : Google Scholar : PubMed/NCBI

43 

Shoji K, Tsubaki M, Yamazoe Y, Satou T, Itoh T, Kidera Y, Tanimori Y, Yanae M, Matsuda H, Taga A, et al: Mangiferin induces apoptosis by suppressing Bcl-xL and XIAP expressions and nuclear entry of NF-κB in HL-60 cells. Arch Pharm Res. 34:469–475. 2011. View Article : Google Scholar : PubMed/NCBI

44 

Gong M, Li Y, Ye X, Zhang L, Wang Z, Xu X, Shen Y and Zheng C: Loss-of-function mutations in KEAP1 drive lung cancer progression via KEAP1/NRF2 pathway activation. Cell Commun Signal. 18:982020. View Article : Google Scholar : PubMed/NCBI

45 

DeBlasi JM, Falzone A, Caldwell S, Prieto-Farigua N, Prigge JR, Schmidt EE, Chio IIC, Karreth FA and DeNicola GM: Distinct nrf2 signaling thresholds mediate lung tumor initiation and progression. Cancer Res. 83:1953–1967. 2023. View Article : Google Scholar : PubMed/NCBI

46 

Pal PB, Sinha K and Sil PC: Mangiferin attenuates diabetic nephropathy by inhibiting oxidative stress mediated signaling cascade, TNFα related and mitochondrial dependent apoptotic pathways in streptozotocin-induced diabetic rats. PLoS One. 9:e1072202014. View Article : Google Scholar

47 

Du M, Wen G, Jin J, Chen Y, Cao J and Xu A: Mangiferin prevents the growth of gastric carcinoma by blocking the PI3K-Akt signalling pathway. Anticancer Drugs. 29:167–175. 2018. View Article : Google Scholar

48 

Zou B, Wang H, Liu Y, Qi P, Lei T, Sun M and Wang Y: Mangiferin induces apoptosis in human ovarian adenocarcinoma OVCAR3 cells via the regulation of Notch3. Oncol Rep. 38:1431–1441. 2017. View Article : Google Scholar : PubMed/NCBI

49 

Xia J, Li X, Yao J, Song D, Gu Z, Zheng G and Tu C: Mangiferin targets PFKFB3 to inhibit glioblastoma progression by suppressing glycolysis and PI3k/AKT/mTOR signaling. Brain Res Bull. 230:1115202025. View Article : Google Scholar : PubMed/NCBI

50 

Girón MD, Sevillano N, Salto R, Haidour A, Manzano M, Jiménez ML, Rueda R and López-Pedrosa JM: Salacia oblonga extract increases glucose transporter 4-mediated glucose uptake in L6 rat myotubes: Role of mangiferin. Clin Nutr. 28:565–574. 2009. View Article : Google Scholar : PubMed/NCBI

51 

Apontes P, Liu Z, Su K, Benard O, Youn DY, Li X, Li W, Mirza RH, Bastie CC, Jelicks LA, et al: Mangiferin stimulates carbohydrate oxidation and protects against metabolic disorders induced by high-fat diets. Diabetes. 63:3626–3636. 2014. View Article : Google Scholar : PubMed/NCBI

52 

Singh AK, Raj V, Keshari AK, Rai A, Kumar P, Rawat A, Maity B, Kumar D, Prakash A, De A, et al: Isolated mangiferin and naringenin exert antidiabetic effect via PPAR(γ)/GLUT4 dual agonistic action with strong metabolic regulation. Chem Biol Interact. 280:33–44. 2018. View Article : Google Scholar

53 

Mistry J, Biswas M, Sarkar S and Ghosh S: Antidiabetic activity of mango peel extract and mangiferin in alloxan-induced diabetic rats. Future J Pharm. 9:222023. View Article : Google Scholar

54 

Alsaedi AQ, Nader MA, El-Kashef DH and Abdelmageed ME: Mangiferin mitigates dexamethasone-induced insulin resistance in rats: Insight into vascular dysfunction and hepatic steatosis. Front Pharmacol. 16:15727582025. View Article : Google Scholar : PubMed/NCBI

55 

Żuryń A, Krajewski A, Szulc D, Litwiniec A and Grzanka A: Activity of cyclin B1 in HL-60 cells treated with etoposide. Acta Histochem. 118:537–543. 2016. View Article : Google Scholar : PubMed/NCBI

56 

Shi W, Deng J, Tong R, Yang Y, He X, Lv J, Wang H, Deng S, Qi P, Zhang D and Wang Y: Molecular mechanisms underlying mangiferin-induced apoptosis and cell cycle arrest in A549 human lung carcinoma cells. Mol Med Rep. 13:3423–3432. 2016. View Article : Google Scholar : PubMed/NCBI

57 

Pal-Ghosh R, Xue D, Warburton R, Hill N, Polgar P and Wilson JL: CDC2 is an important driver of vascular smooth muscle cell proliferation via FOXM1 and PLK1 in pulmonary arterial hypertension. Int J Mol Sci. 22:69432021. View Article : Google Scholar : PubMed/NCBI

58 

Gonnella R, Zarrella R, Di Crosta M, Benedetti R, Arena A, Santarelli R, Gilardini Montani MS, D'Orazi G and Cirone M: HSP110 inhibition in primary effusion lymphoma cells: One molecule, many pro-survival targets. Cancers (Basel). 15:56512023. View Article : Google Scholar : PubMed/NCBI

59 

Huysentruyt J, Steels W, Ruiz Perez M, Verstraeten B, Vadi M, Divert T, Flies K, Takahashi N, Lambrecht BN, Declercq W, et al: RIPK1 protects naive and regulatory T cells from TNFR1-induced apoptosis. Cell Death Differ. 31:820–832. 2024. View Article : Google Scholar : PubMed/NCBI

60 

Liu Z, Li Y, Zhu Y, Li N, Li W, Shang C, Song G, Li S, Cong J, Li T, et al: Apoptin induces pyroptosis of colorectal cancer cells via the GSDME-dependent pathway. Int J Biol Sci. 18:717–730. 2022. View Article : Google Scholar : PubMed/NCBI

61 

Pan LL, Wang AY, Huang YQ, Luo Y and Ling M: Mangiferin induces apoptosis by regulating Bcl-2 and bax expression in the CNE2 nasopharyngeal carcinoma cell line. Asian Pac J Cancer Prev. 15:7065–7068. 2014. View Article : Google Scholar : PubMed/NCBI

62 

Kim H, Kim H, Mosaddik A, Gyawali R, Ahn KS and Cho SK: Induction of apoptosis by ethanolic extract of mango peel and comparative analysis of the chemical constitutes of mango peel and flesh. Food Chem. 133:416–422. 2012. View Article : Google Scholar : PubMed/NCBI

63 

Budakoti M, Panwar AS, Molpa D, Singh RK, Busselberg D, Mishra AP, Coutinho HDM and Nigam M: Micro-RNA: The darkhorse of cancer. Cell Signal. 83:1099952021. View Article : Google Scholar : PubMed/NCBI

64 

Maclean JA II, King ML, Okuda H and Hayashi K: WNT7a regulation by mir-15b in ovarian cancer. PLoS One. 11:e01561092016. View Article : Google Scholar : PubMed/NCBI

65 

Li M, Ma H, Yang L and Li P: Mangiferin inhibition of proliferation and induction of apoptosis in human prostate cancer cells is correlated with downregulation of b-cell lymphoma-2 and upregulation of microRNA-182. Oncol Lett. 11:817–822. 2016. View Article : Google Scholar : PubMed/NCBI

66 

Chi XJ, Meng JJ, Lin CY, Su QS, Qin YY, Wei RH, Lan D and Huang C: Mangiferin inhibits human lung adenocarcinoma by suppressing MiR-27b and MiR-92a. Evid Based Complement Alternat Med. 2021:28229502021. View Article : Google Scholar : PubMed/NCBI

67 

Green DR: The mitochondrial pathway of apoptosis: Part I: MOMP and beyond. Cold Spring Harb Perspect Biol. 14:a0410382022. View Article : Google Scholar : PubMed/NCBI

68 

Bhat TA, Chaudhary AK, Kumar S, O'Malley J, Inigo JR, Kumar R, Yadav N and Chandra D: Endoplasmic reticulum-mediated unfolded protein response and mitochondrial apoptosis in cancer. Biochim Biophys Acta Rev Cancer. 1867:58–66. 2017. View Article : Google Scholar

69 

Rodriguez-Gonzalez JC, Hernández-Balmaseda I, Declerck K, Pérez-Novo C, Logie E, Theys C, Jakubek P, Quiñones-Maza OL, Dantas-Cassali G, Carlos Dos Reis D, et al: Antiproliferative, antiangiogenic, and antimetastatic therapy response by mangiferin in a syngeneic immunocompetent colorectal cancer mouse model involves changes in mitochondrial energy metabolism. Front Pharmacol. 12:6701672021. View Article : Google Scholar : PubMed/NCBI

70 

Rajendran P, Ekambaram G and Sakthisekaran D: Effect of mangiferin on benzo(a)pyrene induced lung carcinogenesis in experimental swiss albino mice. Nat Prod Res. 22:672–680. 2008. View Article : Google Scholar : PubMed/NCBI

71 

Tang Z, Lai CC, Luo J, Ding YT, Chen Q and Guan ZZ: Mangiferin prevents the impairment of mitochondrial dynamics and an increase in oxidative stress caused by excessive fluoride in SH-SY5Y cells. J Biochem Mol Toxicol. 35:e227052021. View Article : Google Scholar : PubMed/NCBI

72 

Hajam YA, Rani R, Ganie SY, Sheikh TA, Javaid D, Qadri SS, Pramodh S, Alsulimani A, Alkhanani MF, Harakeh S, et al: Oxidative stress in human pathology and aging: molecular mechanisms and perspectives. Cells. 11:5522022. View Article : Google Scholar : PubMed/NCBI

73 

Ren J, Su D, Li L, Cai H, Zhang M, Zhai J, Li M, Wu X and Hu K: Anti-inflammatory effects of aureusidin in LPS-stimulated RAW264.7 macrophages via suppressing NF-κB and activating ROS- and MAPKs-dependent Nrf2/HO-1 signaling pathways. Toxicol Appl Pharmacol. 387:1148462020. View Article : Google Scholar

74 

Qin ZZ, Ruan J, Lee MR, Sun K, Chen P, Chen Y, Hong M, Xia LH, Fang J and Tang H: Mangiferin promotes bregs level, activates Nrf2 antioxidant signaling, and inhibits proinflammatory cytokine expression in murine splenic mononuclear cells in vitro. Curr Med Sci. 41:454–464. 2021. View Article : Google Scholar : PubMed/NCBI

75 

Zhao J, Zhang B, Li S, Zeng L, Chen Y and Fang J: Mangiferin increases nrf2 protein stability by inhibiting its ubiquitination and degradation in human HL60 myeloid leukemia cells. Int J Mol Med. 33:1348–1354. 2014. View Article : Google Scholar : PubMed/NCBI

76 

Kavitha M, Manivasagam T, Essa MM, Tamilselvam K, Selvakumar GP, Karthikeyan S, Thenmozhi JA and Subash S: Mangiferin antagonizes rotenone: induced apoptosis through attenuating mitochondrial dysfunction and oxidative stress in SK-N-SH neuroblastoma cells. Neurochem Res. 39:668–676. 2014. View Article : Google Scholar : PubMed/NCBI

77 

Walia V, Chaudhary SK and Kumar Sethiya N: Therapeutic potential of mangiferin in the treatment of various neuropsychiatric and neurodegenerative disorders. Neurochem Int. 143:1049392021. View Article : Google Scholar

78 

Rui R, Zhou L and He S: Cancer immunotherapies: Advances and bottlenecks. Front Immunol. 14:12124762023. View Article : Google Scholar : PubMed/NCBI

79 

Yang G, Shang X, Cui G, Zhao L, Zhao H and Wang N: Mangiferin attenuated diethynitrosamine-induced hepatocellular carcinoma in sprague-dawley rats via alteration of oxidative stress and apoptotic pathway. J Environ Pathol Toxicol Oncol. 38:1–12. 2019. View Article : Google Scholar : PubMed/NCBI

80 

Abdul-Aziz Ahmed K, Jabbar AAJ, Abdulla MA, Zuhair Alamri Z, Ain Salehen N, Abdel Aziz Ibrahim I, Almaimani G, Bamagous GA, Almaimani RA, Almasmoum HA, et al: Mangiferin (mango) attenuates AOM-induced colorectal cancer in rat's colon by augmentation of apoptotic proteins and antioxidant mechanisms. Sci Rep. 14:8132024. View Article : Google Scholar : PubMed/NCBI

81 

Padma VV, Kalaiselvi P, Yuvaraj R and Rabeeth M: Mangiferin induces cell death against rhabdomyosarcoma through sustained oxidative stress. Integr Med Res. 4:66–75. 2015. View Article : Google Scholar : PubMed/NCBI

82 

Song J, Li Y, Song J, Hou F, Liu B and Li A: Mangiferin protects mitochondrial function by preserving mitochondrial hexokinase-II in vessel endothelial cells. Biochim Biophys Acta Mol Basis Dis. 1863:1829–1839. 2017. View Article : Google Scholar : PubMed/NCBI

83 

Imran M, Arshad MS, Butt MS, Kwon JH, Arshad MU and Sultan MT: Mangiferin: A natural miracle bioactive compound against lifestyle related disorders. Lipids Health Dis. 16:842017. View Article : Google Scholar : PubMed/NCBI

84 

Trachootham D, Alexandre J and Huang P: Targeting cancer cells by ROS-mediated mechanisms: A radical therapeutic approach? Nat Rev Drug Discov. 8:579–591. 2009. View Article : Google Scholar : PubMed/NCBI

85 

Ismail MB, Rajendran P, Abuzahra HM and Veeraraghavan VP: Mangiferin inhibits apoptosis in doxorubicin-induced vascular endothelial cells via the Nrf2 signaling pathway. Int J Mol Sci. 22:42592021. View Article : Google Scholar : PubMed/NCBI

86 

Kucharczyk K, Florczak A, Kaminska A, Guzniczak N, Sikorska A, Deptuch T and Dams-Kozlowska H: MMPs-responsive silk spheres for controlled drug release within tumor microenvironment. Int J Biol Macromol. 269:1320162024. View Article : Google Scholar : PubMed/NCBI

87 

Chen J, Liu Z, Fang H, Su Q, Fan Y, Song L and He S: Therapeutic efficacy of a novel self-assembled immunostimulatory siRNA combining apoptosis promotion with RIG-I activation in gliomas. J Transl Med. 22:3952024. View Article : Google Scholar : PubMed/NCBI

88 

Gálvez-Rodríguez A, Ferino-Pérez A, Rodríguez-Riera Z, Guerra IR and Jáuregui-Haza UJ: In silico evaluation of new mangiferin-based positron emission tomography radiopharmaceuticals through the inhibition of metalloproteinase-9. J Mol Graph Model. 124:1085692023. View Article : Google Scholar : PubMed/NCBI

89 

Delgado-Hernández R, Hernández-Balmaseda I, Rodeiro-Guerra I, Cesar Rodriguez Gonzalez J, De Wever O, Logie E, Declerck K, Pérez-Novo C and Vanden Berghe W: Anti-angiogenic effects of mangiferin and mechanism of action in metastatic melanoma. Melanoma Res. 30:39–51. 2020. View Article : Google Scholar

90 

Prata C, Angeloni C and Maraldi T: Strategies to counteract oxidative stress and inflammation in chronic-degenerative diseases 2.0. Int J Mol Sci. 25:50262024. View Article : Google Scholar : PubMed/NCBI

91 

Ghodsi A, Hidalgo A and Libreros S: Lipid mediators in neutrophil biology: Inflammation, resolution and beyond. Curr Opin Hematol. 31:175–192. 2024. View Article : Google Scholar : PubMed/NCBI

92 

Lu C, Deng S, Liu Y, Yang S, Qin D, Zhang L, Wang RR and Zhang Y: Inhibition of macrophage MAPK/NF-κB pathway and th2 axis by mangiferin ameliorates MC903-induced atopic dermatitis. Int Immunopharmacol. 133:1120382024. View Article : Google Scholar

93 

Nilkhet S, Mongkolpobsin K, Sillapachaiyaporn C, Wongsirojkul N, Tencomnao T and Chuchawankul S: M1 macrophages polarized by crude polysaccharides isolated from auricularia polytricha exhibit anti-tumor effect on human breast cancer cells. Sci Rep. 14:81792024. View Article : Google Scholar : PubMed/NCBI

94 

Li SZ, Shu QP, Zhou HM, Liu YY, Fan MQ, Liang XY, Qi LZ, He YN, Liu XY, Du XH, et al: CLK2 mediates IκBα-independent early termination of NF-κB activation by inducing cytoplasmic redistribution and degradation. Nat Commun. 15:39012024. View Article : Google Scholar

95 

Wu Y, Yao X, Shi X, Xu Z, Ren J, Shi M, Li M, Liu J and Du X: Myeloma extracellular vesicle-derived RAGE increases inflammatory responses and myotube atrophy in multiple myeloma through activation of the TLR4/NF-κB p65 pathway. Apoptosis. 29:849–864. 2024. View Article : Google Scholar

96 

Cui Y, Li Z, Ni L, Yu S, Shan X, Hu P, Ji Z, Jing W, Zhou Y, Wang B, et al: Induction of MTHFD2 in macrophages inhibits reactive oxygen species-mediated NF-κB activation and protects against inflammatory responses. J Immunol. 212:1345–1356. 2024. View Article : Google Scholar : PubMed/NCBI

97 

Zheng M, Liu W, Zhang R, Jiang D, Shi Y, Wu Y, Ge F and Chen C: E3 ubiquitin ligase BCA2 promotes breast cancer stemness by up-regulation of SOX9 by LPS. Int J Biol Sci. 20:2686–2697. 2024. View Article : Google Scholar : PubMed/NCBI

98 

Eisa NH, Helmy SA, El-Kashef DH, El-Sherbiny M and Elsherbiny NM: Pramipexole protects against diabetic neuropathy: effect on oxidative stress, TLR4/IRAK-1/TRAF-6/NF-κB and downstream inflammatory mediators. Int Immunopharmacol. 128:1115142024. View Article : Google Scholar

99 

García-Rivera D, Delgado R, Bougarne N, Haegeman G and Berghe WV: Gallic acid indanone and mangiferin xanthone are strong determinants of immunosuppressive anti-tumour effects of mangifera indica l. Bark in MDA-MB231 breast cancer cells. Cancer Lett. 305:21–31. 2011. View Article : Google Scholar : PubMed/NCBI

100 

Dai C, Yu L, Wang Z, Deng P, Li L, Gu Z, He X, Wang J and Yuan J: Mangiferin and taurine ameliorate MSRV infection by suppressing NF-κB signaling. Microbiol Spectr. 11:e05146222023. View Article : Google Scholar

101 

Gálvez-Rodríguez A, Ferino-Pérez A, Rodríguez-Riera Z, Rodeiro Guerra I, řeha D, Minofar B and Jáuregui-Haza UJ: Explaining the interaction of mangiferin with MMP-9 and NF-κβ: A computational study. J Mol Model. 28:2662022. View Article : Google Scholar

102 

Chen Q, Wang S, Bao R, Wang D, Wu Y, Zhang Y, Liu M and Wang T: Combination of mangiferin and T0901317 targeting autophagy promotes cholesterol efflux from macrophage foam cell in atherosclerosis. Chin Med. 19:52024. View Article : Google Scholar : PubMed/NCBI

103 

Zhu P, Liu C, Li B, Zhao C, Zhou T, Xue X and Zhang B: Mangiferin attenuates IL-1β-induced chondrocytes apoptosis. Zhong Nan Da Xue Xue Bao Yi Xue Ban. 46:25–31. 2021.In Chinese, English. PubMed/NCBI

104 

Deng Q, Tian YX and Liang J: Mangiferin inhibits cell migration and invasion through Rac1/WAVE2 signalling in breast cancer. Cytotechnology. 70:593–601. 2018. View Article : Google Scholar : PubMed/NCBI

105 

Shang HS, Chen CJ, Shih YL, Peng SF, Chen YL, Liu KC, Huang HC, Hsueh SC, Chen KW, Lu HF, et al: Mangiferin induces immune responses and evaluates the survival rate in WEHI-3 cell generated mouse leukemia in vivo. Environ Toxicol. 36:77–85. 2021. View Article : Google Scholar

106 

Jeong JJ, Jang SE, Hyam SR, Han MJ and Kim DH: Mangiferin ameliorates colitis by inhibiting IRAK1 phosphorylation in NF-κB and MAPK pathways. Eur J Pharmacol. 740:652–661. 2014. View Article : Google Scholar : PubMed/NCBI

107 

Kammalla AK, Ramasamy MK, Inampudi J, Dubey GP, Agrawal A and Kaliappan I: Comparative pharmacokinetic study of mangiferin after oral administration of pure mangiferin and US patented polyherbal formulation to rats. AAPS PharmSciTech. 16:250–258. 2015. View Article : Google Scholar :

108 

Reddeman RA, Glávits R, Endres JR, Clewell AE, Hirka GB, Vértesi A, Béres E and Szakonyiné IP: A toxicological evaluation of mango leaf extract (mangifera indica) containing 60% mangiferin. J Toxicol. 2019:47630152019. View Article : Google Scholar : PubMed/NCBI

109 

Zhang Q, Kong X, Yuan H, Guan H, Li Y and Niu Y: Mangiferin improved palmitate-induced-insulin resistance by promoting free fatty acid metabolism in HepG2 and c2c12 cells via PPARα: mangiferin improved insulin resistance. J Diabetes Res. 2019:20526752019. View Article : Google Scholar

110 

Jeyakodi S, Krishnakumar A, Dalal M and Shetty BS: Assessment of efficacy and safety of mangifera indica extract (stadice®) for cognitive function: A randomized, double-blind, placebo-controlled study. Cureus. 16:e657512024.

111 

Bulugonda RK, Kumar KA, Gangappa D, Beeda H, Philip GH, Muralidhara Rao D and Faisal SM: Mangiferin from pueraria tuberosa reduces inflammation via inactivation of NLRP3 inflammasome. Sci Rep. 7:426832017. View Article : Google Scholar : PubMed/NCBI

112 

Jyotshna, Khare P and Shanker K: Mangiferin: A review of sources and interventions for biological activities. Biofactors. 42:504–514. 2016. View Article : Google Scholar : PubMed/NCBI

113 

Irshad N, Naeem H, Shahbaz M, Imran M, Mujtaba A, Hussain M, Al Abdulmonem W, Alsagaby SA, Yehuala TF, Abdelgawad MA, et al: Mangiferin: An effective agent against human malignancies. Food Sci Nutr. 12:7137–7157. 2024. View Article : Google Scholar : PubMed/NCBI

114 

Prado Y, Merino N, Acosta J, Herrera JA, Luque Y, Hernández I, Prado E, Garrido G, Delgado R and Rodeiro I: Acute and 28-day subchronic toxicity studies of mangiferin, a glucosyl xanthone isolated from mangifera indica L. Stem bark. J Pharm Pharmacogn Res. 3:13–23. 2015. View Article : Google Scholar

115 

Feng ST, Wang ZZ, Yuan YH, Sun HM, Chen NH and Zhang Y: Mangiferin: a multipotent natural product preventing neurodegeneration in Alzheimer's and Parkinson's disease models. Pharmacol Res. 146:1043362019. View Article : Google Scholar : PubMed/NCBI

116 

Santonocito D, Vivero-Lopez M, Lauro MR, Torrisi C, Castelli F, Sarpietro MG and Puglia C: Design of nanotechnological carriers for ocular delivery of mangiferin: Preformulation study. Molecules. 27:13282022. View Article : Google Scholar : PubMed/NCBI

117 

Suchal K, Malik S, Khan SI, Malhotra RK, Goyal SN, Bhatia J, Kumari S, Ojha S and Arya DS: Protective effect of mangiferin on myocardial ischemia-reperfusion injury in streptozotocin-induced diabetic rats: Role of AGE-RAGE/MAPK pathways. Sci Rep. 7:420272017. View Article : Google Scholar : PubMed/NCBI

118 

Espinosa-Espinosa L, Garduño-Siciliano L, Rodriguez-Canales M, Hernandez-Portilla LB, Canales-Martinez MM and Rodriguez-Monroy MA: The wound-healing effect of mango peel extract on incision wounds in a murine model. Molecules. 27:2592022. View Article : Google Scholar : PubMed/NCBI

119 

Pal PB, Sinha K and Sil PC: Mangiferin, a natural xanthone, protects murine liver in Pb(II) induced hepatic damage and cell death via MAP kinase, NF-κB and mitochondria dependent pathways. PLoS One. 8:e568942013. View Article : Google Scholar

120 

Chen X and Huang J: Mangiferin inhibits hypoxia/reoxygenation-induced alveolar epithelial cell injury via the SIRT1/AMPK signaling pathway. Exp Ther Med. 22:12202021. View Article : Google Scholar : PubMed/NCBI

121 

Sadhukhan P, Saha S, Dutta S and Sil PC: Mangiferin ameliorates cisplatin induced acute kidney injury by upregulating Nrf-2 via the activation of PI3K and exhibits synergistic anticancer activity with cisplatin. Front Pharmacol. 9:6382018. View Article : Google Scholar : PubMed/NCBI

122 

Li W, Wang K, Liu Y, Wu H, He Y, Li C, Wang Q, Su X, Yan S, Su W, et al: A novel drug combination of mangiferin and cinnamic acid alleviates rheumatoid arthritis by inhibiting TLR4/NFκB/NLRP3 activation-induced pyroptosis. Front Immunol. 13:9129332022. View Article : Google Scholar

123 

Radu AF and Bungau SG: Management of rheumatoid arthritis: An overview. Cells. 10:28572021. View Article : Google Scholar : PubMed/NCBI

124 

Yong Z, Ruiqi W, Hongji Y, Ning M, Chenzuo J, Yu Z, Zhixuan X, Qiang L, Qibing L, Weiying L and Xiaopo Z: Mangiferin ameliorates HFD-induced NAFLD through regulation of the AMPK and NLRP3 inflammasome signal pathways. J Immunol Res. 2021:40845662021. View Article : Google Scholar : PubMed/NCBI

125 

Wang H, Zhu YY, Wang L, Teng T, Zhou M, Wang SG, Tian YZ, Du L, Yin XX and Sun Y: Mangiferin ameliorates fatty liver via modulation of autophagy and inflammation in high-fat-diet induced mice. Biomed Pharmacother. 96:328–335. 2017. View Article : Google Scholar : PubMed/NCBI

126 

Li N, Xiong R, He R, Liu B, Wang B and Geng Q: Mangiferin mitigates lipopolysaccharide-induced lung injury by inhibiting NLRP3 inflammasome activation. J Inflamm Res. 14:2289–2300. 2021. View Article : Google Scholar : PubMed/NCBI

127 

Saccà SC, Cutolo CA, Ferrari D, Corazza P and Traverso CE: The eye, oxidative damage and polyunsaturated fatty acids. Nutrients. 10:6682018. View Article : Google Scholar : PubMed/NCBI

128 

Kim SJ, Sung MS, Heo H, Lee JH and Park SWO: Mangiferin protects retinal ganglion cells in ischemic mouse retina via SIRT1. Curr Eye Res. 41:844–855. 2016. View Article : Google Scholar

129 

Fung TH, Patel B, Wilmot EG and Amoaku WM: Diabetic retinopathy for the non-ophthalmologist. Clin Med (Lond). 22:112–116. 2022. View Article : Google Scholar : PubMed/NCBI

130 

Shi J, Lv H, Tang C, Li Y, Huang J and Zhang H: Mangiferin inhibits cell migration and angiogenesis via PI3k/AKT/mTOR signaling in high glucose- and hypoxia-induced RRCECs. Mol Med Rep. 23:4732021. View Article : Google Scholar :

131 

Li X, Cui X, Wang J, Yang J, Sun X, Li X, Zhu Q and Li W: Rhizome of Anemarrhena asphodeloides counteracts diabetic ophthalmopathy progression in streptozotocin-induced diabetic rats. Phytother Res. 27:1243–1250. 2013. View Article : Google Scholar

132 

Hayes MT: Parkinson's disease and parkinsonism. Am J Med. 132:802–807. 2019. View Article : Google Scholar : PubMed/NCBI

133 

Li Y, Xia Y, Yin S, Wan F, Hu J, Kou L, Sun Y, Wu J, Zhou Q, Huang J, et al: Targeting microglial α-synuclein/TLRs/NF-kappaB/NLRP3 inflammasome axis in Parkinson's disease. Front Immunol. 12:7198072021. View Article : Google Scholar

134 

Chu YC, Yang CS, Cheng MJ, Fu SL and Chen JJ: Comparison of various solvent extracts and major bioactive components from unsalt-fried and salt-fried rhizomes of anemarrhena asphodeloides for antioxidant, anti-α-glucosidase, and anti-acetylcholinesterase activities. Antioxidants (Basel). 11:3852022. View Article : Google Scholar

135 

Chen M, Wang Z, Zhou W, Lu C, Ji T, Yang W, Jin Z, Tian Y, Lei W, Wu S, et al: SIRT1/PGC-1α signaling activation by mangiferin attenuates cerebral hypoxia/reoxygenation injury in neuroblastoma cells. Eur J Pharmacol. 907:1742362021. View Article : Google Scholar

136 

Arora MK, Kisku A and Jangra A: Mangiferin ameliorates intracerebroventricular-quinolinic acid-induced cognitive deficits, oxidative stress, and neuroinflammation in wistar rats. Indian J Pharmacol. 52:296–305. 2020. View Article : Google Scholar : PubMed/NCBI

137 

Liu T, Song Y and Hu A: Neuroprotective mechanisms of mangiferin in neurodegenerative diseases. Drug Dev Res. 82:494–502. 2021. View Article : Google Scholar : PubMed/NCBI

138 

Du Z, Fanshi F, Lai YH, Chen JR, Hao E, Deng J and Hsiao CD: Mechanism of anti-dementia effects of mangiferin in a senescence accelerated mouse (SAMP8) model. Biosci Rep. 39:BSR201904882019. View Article : Google Scholar : PubMed/NCBI

139 

López-Ríos L, Wiebe JC, Vega-Morales T and Gericke N: Central nervous system activities of extract mangifera indica L. J Ethnopharmacol. 260:1129962020. View Article : Google Scholar : PubMed/NCBI

140 

Ho HJ and Shirakawa H: Oxidative stress and mitochondrial dysfunction in chronic kidney disease. Cells. 12:882022. View Article : Google Scholar

141 

Wang B, Wan J, Gong X, Kuang G, Cheng X and Min S: Mangiferin attenuates renal ischemia-reperfusion injury by inhibiting inflammation and inducing adenosine production. Int Immunopharmacol. 25:148–154. 2015. View Article : Google Scholar

142 

Zhang D, Han S, Zhou Y, Qi B and Wang X: Therapeutic effects of mangiferin on sepsis-associated acute lung and kidney injuries via the downregulation of vascular permeability and protection of inflammatory and oxidative damages. Eur J Pharm Sci. 152:1054002020. View Article : Google Scholar : PubMed/NCBI

143 

Samsu N: Diabetic nephropathy: Challenges in pathogenesis, diagnosis, and treatment. Biomed Res Int. 2021:14974492021. View Article : Google Scholar : PubMed/NCBI

144 

Xu GK, Sun CY, Qin XY, Han Y, Li Y, Xie GY and Min-Jian Q: Effects of ethanol extract of bombax ceiba leaves and its main constituent mangiferin on diabetic nephropathy in mice. Chin J Nat Med. 15:597–605. 2017.PubMed/NCBI

145 

Wang X, Gao L, Lin H, Song J, Wang J, Yin Y, Zhao J, Xu X, Li Z and Li L: Mangiferin prevents diabetic nephropathy progression and protects podocyte function via autophagy in diabetic rat glomeruli. Eur J Pharmacol. 824:170–178. 2018. View Article : Google Scholar : PubMed/NCBI

146 

Chen L, Li S, Zhu J, You A, Huang X, Yi X and Xue M: Mangiferin prevents myocardial infarction-induced apoptosis and heart failure in mice by activating the Sirt1/FoxO3a pathway. J Cell Mol Med. 25:2944–2955. 2021. View Article : Google Scholar : PubMed/NCBI

147 

Han J, Yang N, Zhang F, Zhang C, Liang F, Xie W and Chen W: Rhizoma anemarrhenae extract ameliorates hyperglycemia and insulin resistance via activation of AMP-activated protein kinase in diabetic rodents. J Ethnopharmacol. 172:368–376. 2015. View Article : Google Scholar : PubMed/NCBI

148 

Wang Y, Karmakar T, Ghosh N, Basak S and Gopal Sahoo N: Targeting mangiferin loaded n-succinyl chitosan-alginate grafted nanoparticles against atherosclerosis-a case study against diabetes mediated hyperlipidemia in rat. Food Chem. 370:1313762022. View Article : Google Scholar

149 

Hou J, Zheng D, Fung G, Deng H, Chen L, Liang J, Jiang Y and Hu Y: Mangiferin suppressed advanced glycation end products (AGEs) through NF-κB deactivation and displayed anti-inflammatory effects in streptozotocin and high fat diet-diabetic cardiomyopathy rats. Can J Physiol Pharmacol. 94:332–340. 2016. View Article : Google Scholar : PubMed/NCBI

150 

Zhao Y, Wang W, Wu X, Ma X, Qu R, Chen X, Liu C, Liu Y, Wang X, Yan P, et al: Mangiferin antagonizes TNF-α-mediated inflammatory reaction and protects against dermatitis in a mice model. Int Immunopharmacol. 45:174–179. 2017. View Article : Google Scholar : PubMed/NCBI

151 

Gunter NV, Teh SS, Lim YM and Mah SH: Natural xanthones and skin inflammatory diseases: Multitargeting mechanisms of action and potential application. Front Pharmacol. 11:5942022020. View Article : Google Scholar

152 

Kumar M, Saurabh V, Tomar M, Hasan M, Changan S, Sasi M, Maheshwari C, Prajapati U, Singh S, Prajapat RK, et al: Mango (mangifera indica l.) Leaves: nutritional composition, phytochemical profile, and health-promoting bioactivities. Antioxidants (Basel). 10:2292021.

153 

Ouf SA, Galal AMF, Ibrahim HS, Hassan AZ, Mekhael MKG, El-Yasergy KF, El-Ghany MNA, Rizk MA and Hanna AG: Phytochemical and antimicrobial investigation of the leaves of five egyptian mango cultivars and evaluation of their essential oils as preservatives materials. J Food Sci Technol. 58:3130–3142. 2021. View Article : Google Scholar : PubMed/NCBI

154 

Saifi S, Ashraf A, Hasan GM, Shamsi A and Hassan MI: Insights into the preventive actions of natural compounds against klebsiella pneumoniae infections and drug resistance. Fitoterapia. 173:1058112024. View Article : Google Scholar : PubMed/NCBI

155 

Li H, Wang Q, Ding Y, Bao C and Li W: Mangiferin ameliorates porphyromonas gingivalis-induced experimental periodontitis by inhibiting phosphorylation of nuclear factor-κB and janus kinase 1-signal transducer and activator of transcription signaling pathways. J Periodontal Res. 52:1–7. 2017. View Article : Google Scholar

156 

Angusamy A, Balasubramanian V, Arunmurugan B, Arunachalam K, Issac Abraham SVP, Murugesan S, Krishnasamy B, Sundaram J and Arumugam VR: Anti-infective potential of plant-derived quorum sensing inhibitors against multi-drug resistant human and aquatic bacterial pathogens. World J Microbiol Biotechnol. 39:1472023. View Article : Google Scholar : PubMed/NCBI

157 

Ma H, Chen H, Sun L, Tong L and Zhang T: Improving permeability and oral absorption of mangiferin by phospholipid complexation. Fitoterapia. 93:54–61. 2014. View Article : Google Scholar

158 

Pacheco-Ordaz RN, Antunes-Ricardo M, Gutiérrez-Uribe JA and González-Aguilar GA: Intestinal permeability and cellular antioxidant activity of phenolic compounds from mango (mangifera indica cv. Ataulfo) peels. Int J Mol Sci. 19:5142018. View Article : Google Scholar : PubMed/NCBI

159 

Hou S, Wang F, Li Y, Li Y, Wang M, Sun D and Sun C: Pharmacokinetic study of mangiferin in human plasma after oral administration. Food Chem. 132:289–294. 2012. View Article : Google Scholar : PubMed/NCBI

160 

Bunt D, Schwalbe M, Hayeeawaema F and El Aidy S: Gut microbiota-mediated conversion of mangiferin to norathyriol alters short chain fatty acid and urate metabolism. Gut Microbes. 17:25084222025. View Article : Google Scholar : PubMed/NCBI

161 

Barakat S, Nasr M, Ahmed RF, Badawy S and Mortada N: Recent formulation advances of mangiferin. Rev Bras Farmacogn. 32:871–882. 2022. View Article : Google Scholar

162 

Guo X, Cheng M, Hu P, Shi Z, Chen S, Liu H, Shi H, Xu Z, Tian X and Huang C: Absorption, metabolism, and pharmacokinetics profiles of norathyriol, an aglycone of mangiferin, in rats by HPLC-MS/MS. J Agric Food Chem. 66:12227–12235. 2018. View Article : Google Scholar : PubMed/NCBI

163 

Lin A, Li J, Li D, Jin H and Liu Y: Tissue distribution study of mangiferin after intragastric administration of mangiferin monomer, rhizoma anemarrhenae, and rhizoma anemarrhenae-phellodendron decoctions in normal or type 2 diabetic rats by LC-MS/MS. J Chromatogr B Analyt Technol Biomed Life Sci. 1122-1123:18–28. 2019. View Article : Google Scholar : PubMed/NCBI

164 

Al-Madhagi H: From nature to nanotechnology: The bioactivities of mangiferin explored. Nanotechnol Sci Appl. 18:277–294. 2025. View Article : Google Scholar : PubMed/NCBI

165 

Shaikh I and Tatapudi HK: A review on formulation and analytical aspect of mangiferin a natural phenolic xanthonoid. Discov Chem. 2:1152025. View Article : Google Scholar

166 

Fuentes-Rios D, Sanchez-Rodriguez A, Lopez-Rios L, Garcia-Gonzalez E, Martinez-Canton M, Galvan-Alvarez V, Gallego-Selles A, Martin-Rincon M, Calbet JAL and Vega-Morales T: Human pharmacokinetic profiling and comparative analysis of mangiferin and its monosodium derivative from mangifera indica extracts using UHPLC-MS/MS with (1)h NMR and MALDI-TOF confirmation. Molecules. 30:4612025. View Article : Google Scholar : PubMed/NCBI

167 

Zhou H, Song S, Lan X, Li Y, Yuan X, Yang J, Li M, Cao T and Zhang J: Comprehensive profiling of mangiferin metabolites in vivo and in vitro based on the 'drug metabolite clusters' analytical strategy. ACS Omega. 8:9934–9946. 2023. View Article : Google Scholar : PubMed/NCBI

168 

van der Merwe JD, Joubert E, Manley M, de Beer D, Malherbe CJ and Gelderblom WCA: Mangiferin glucuronidation: Important hepatic modulation of antioxidant activity. Food Chem Toxicol. 50:808–815. 2012. View Article : Google Scholar

169 

Souza JR, Trevisan MTS, Feitosa JP, Ricardo NGM, Hull WE, Erben G, Würtele G, Breuer A, Frei E and Ulrich CM: Transformation of mangiferin to norathyriol by human fecal matrix in anaerobic conditions: Comprehensive NMR of the xanthone metabolites, antioxidant capacity, and comparative cytotoxicity against cancer cell lines. Nat Prod Commun. Mar 5–2020.Epub ahead of print.

170 

Sarfraz M, Khan A, Batiha GE, Akhtar MF, Saleem A, Ajiboye BO, Kamal M, Ali A, Alotaibi NM, Aaghaz S, et al: Nanotechnology-based drug delivery approaches of mangiferin: Promises, reality and challenges in cancer chemotherapy. Cancers (Basel). 15:41942023. View Article : Google Scholar : PubMed/NCBI

171 

Shaikenov RO, Klimshina VI, Morozkina SN and Snetkov PP: Polymeric matrices for mangiferin delivery: Ways to enhance bioavailability and therapeutic effect. Eng Proc. 87:782025.

172 

Razura-Carmona FF, Pérez-Larios A, González-Silva N, Herrera-Martínez M, Medina-Torres L, Sáyago-Ayerdi SG and Sánchez-Burgos JA: Mangiferin-loaded polymeric nanoparticles: Optical characterization, effect of anti-topoisomerase I, and cytotoxicity. Cancers (Basel). 11:19652019. View Article : Google Scholar : PubMed/NCBI

173 

Samadarsi R and Dutta D: Anti-oxidative effect of mangiferin-chitosan nanoparticles on oxidative stress-induced renal cells. Int J Biol Macromol. 151:36–46. 2020. View Article : Google Scholar : PubMed/NCBI

174 

Zhang Y, Wang Y, Li X, Nie D, Liu C and Gan Y: Ligand-modified nanocarriers for oral drug delivery: Challenges, rational design, and applications. J Control Release. 352:813–832. 2022. View Article : Google Scholar : PubMed/NCBI

175 

Ejazi SA, Louisthelmy R and Maisel K: Mechanisms of nanoparticle transport across intestinal tissue: An oral delivery perspective. ACS Nano. 17:13044–13061. 2023. View Article : Google Scholar : PubMed/NCBI

176 

Wang H, Shao W, Lu X, Gao C, Fang L, Yang X and Zhu P: Synthesis, characterization, and in vitro anti-tumor activity studies of the hyaluronic acid-mangiferin-methotrexate nanodrug targeted delivery system. Int J Biol Macromol. 239:1242082023. View Article : Google Scholar : PubMed/NCBI

177 

Guo H, Chen M, Li M, Hu M, Chen B and Zhou C: Pharmacokinetic comparisons of mangiferin and mangiferin monosodium salt in rat plasma by UPLC-MS/MS. J Chem. Nov 14–2019.Epub ahead of print. View Article : Google Scholar

178 

Lin H, Teng H, Wu W, Li Y, Lv G, Huang X, Yan W and Lin Z: Pharmacokinetic and metabolomic analyses of mangiferin calcium salt in rat models of type 2 diabetes and non-alcoholic fatty liver disease. BMC Pharmacol Toxicol. 21:592020. View Article : Google Scholar : PubMed/NCBI

179 

Faria M, Björnmalm M, Thurecht KJ, Kent SJ, Parton RG, Kavallaris M, Johnston APR, Gooding JJ, Corrie SR, Boyd BJ, et al: Minimum information reporting in bio-nano experimental literature. Nat Nanotechnol. 13:777–785. 2018. View Article : Google Scholar : PubMed/NCBI

180 

Sellamuthu PS, Muniappan BP, Perumal SM and Kandasamy M: Antihyperglycemic effect of mangiferin in streptozotocin induced diabetic rats. J Health Sci. 55:206–214. 2009. View Article : Google Scholar

181 

Rodeiro I, José Gómez-Lechón M, Perez G, Hernandez I, Herrera JA, Delgado R, Castell JV and Teresa Donato M: Mangifera indica L. Extract and mangiferin modulate cytochrome p450 and UDP-glucuronosyltransferase enzymes in primary cultures of human hepatocytes. Phytother Res. 27:745–752. 2013. View Article : Google Scholar

182 

Sun D, Zhang CZ, Ran RX, Cao YF, Du Z, Fu ZW, Huang CT, Zhao ZY, Zhang WH and Fang ZZ: In vitro comparative study of the inhibitory effects of mangiferin and its aglycone norathyriol towards UDP-glucuronosyl transferase (UGT) isoforms. Molecules. 22:10082017. View Article : Google Scholar : PubMed/NCBI

183 

Chieli E, Romiti N, Rodeiro I and Garrido G: In vitro effects of mangifera indica and polyphenols derived on ABCB1/p-glycoprotein activity. Food Chem Toxicol. 47:2703–2710. 2009. View Article : Google Scholar : PubMed/NCBI

184 

Shang Y, Tian J, Zhang Z, Luo L, Saeheng S, Qiu S, Zhou R, Chen J and Li L: Mangiferin: Sources, anti-inflammatory activities, and molecular mechanisms. J Agric Food Chem. 73:27145–27160. 2025. View Article : Google Scholar : PubMed/NCBI

185 

Na L, Zhang Q, Jiang S, Du S, Zhang W, Li Y, Sun C and Niu Y: Mangiferin supplementation improves serum lipid profiles in overweight patients with hyperlipidemia: A double-blind randomized controlled trial. Sci Rep. 5:103442015. View Article : Google Scholar : PubMed/NCBI

186 

Peng ZG, Yao YB, Yang J, Tang YL and Huang X: Mangiferin induces cell cycle arrest at G2/M phase through ATR-Chk1 pathway in HL-60 leukemia cells. Genet Mol Res. 14:4989–5002. 2015. View Article : Google Scholar : PubMed/NCBI

187 

Li J, Liu M, Yu H, Wang W, Han L, Chen Q, Ruan J, Wen S, Zhang Y and Wang T: Mangiferin improves hepatic lipid metabolism mainly through its metabolite-norathyriol by modulating SIRT-1/AMPK/SREBP-1c signaling. Front Pharmacol. 9:2012018. View Article : Google Scholar : PubMed/NCBI

188 

Bhatia J, Suchal K, Bhargava P, Malik S and Arya D: Evaluation of the cardioprotective effect of mangiferin in an experimental model of ischemia reperfusion injury. J Hypertens. 39:e2802021. View Article : Google Scholar

189 

Zivković J, Kumar KA, Rushendran R, Ilango K, Fahmy NM, El-Nashar HAS, El-Shazly M, Ezzat SM, Melgar-Lalanne G, Romero-Montero A, et al: Pharmacological properties of mangiferin: Bioavailability, mechanisms of action and clinical perspectives. Naunyn Schmiedebergs Arch Pharmacol. 397:763–781. 2024. View Article : Google Scholar

190 

Ren K, Li H, Zhou HF, Liang Y, Tong M, Chen L, Zheng XL and Zhao GJ: Mangiferin promotes macrophage cholesterol efflux and protects against atherosclerosis by augmenting the expression of ABCA1 and ABCG1. Aging (Albany NY). 11:10992–11009. 2019. View Article : Google Scholar : PubMed/NCBI

191 

Minniti G, Laurindo LF, Machado NM, Duarte LG, Guiguer EL, Araujo AC, Dias JA, Lamas CB, Nunes YC, Bechara MD, et al: Mangifera indica L., By-products, and mangiferin on cardio-metabolic and other health conditions: A systematic review. Life (Basel). 13:22702023.PubMed/NCBI

192 

Shen JM, Xu L, Lu Y, Cao HM, Xu ZG, Chen T and Zhang HX: Chitosan-based luminescent/magnetic hybrid nanogels for insulin delivery, cell imaging, and antidiabetic research of dietary supplements. Int J Pharm. 427:400–409. 2012. View Article : Google Scholar : PubMed/NCBI

193 

Khurana RK, Bansal AK, Beg S, Burrow AJ, Katare OP, Singh KK and Singh B: Enhancing biopharmaceutical attributes of phospholipid complex-loaded nanostructured lipidic carriers of mangiferin: Systematic development, characterization and evaluation. Int J Pharm. 518:289–306. 2017. View Article : Google Scholar

194 

Zhao C, Pu Z, Gao J, Liu C, Xing J, Lang W, Chen J, Yuan C and Zhou C: 'Multiomics' analyses combined with systems pharmacology reveal the renoprotection of mangiferin monosodium salt in rats with diabetic nephropathy: Focus on improvements in renal ferroptosis, renal inflammation, and podocyte insulin resistance. J Agric Food Chem. 71:358–381. 2023. View Article : Google Scholar

195 

Vishwakarma KK, Hafeez A, Usmani SA, Noor L and Khan IR: Nanocarrier-based delivery approaches of mangiferin: an updated review on leveraging biopharmaceutical characteristics of the bioactive. Curr Pharm Biotechnol. Sep 23–2024.Epub ahead of print. PubMed/NCBI

196 

Melo-Betances E, Rodríguez-Bautista CC and Núñez-Sellés AJ: Synthesis of mangiferin derivatives, complexes, and carriers as potential therapeutic candidates for cancer treatment: An update. Front Pharmacol. 16:15987192025. View Article : Google Scholar : PubMed/NCBI

197 

Wondrak GT: Redox-directed cancer therapeutics: Molecular mechanisms and opportunities. Antioxid Redox Signal. 11:3013–3069. 2009. View Article : Google Scholar : PubMed/NCBI

198 

Li L, Dong Y, Liu X and Wang M: Mangiferin for the management of liver diseases: A review. Foods. 12:24692023. View Article : Google Scholar : PubMed/NCBI

199 

Mei S, Ma H and Chen X: Anticancer and anti-inflammatory properties of mangiferin: A review of its molecular mechanisms. Food Chem Toxicol. 149:1119972021. View Article : Google Scholar : PubMed/NCBI

200 

du Plessis-Stoman D, du Preez J and van de Venter M: Combination treatment with oxaliplatin and mangiferin causes increased apoptosis and downregulation of NFκB in cancer cell lines. Afr J Tradit Complement Altern Med. 8:177–184. 2011.

201 

Mu F, Liu T, Zheng H, Xie X, Lei T, He X, Du S, Tong R and Wang Y: Mangiferin induces radiosensitization in glioblastoma cells by inhibiting nonhomologous end joining. Oncol Rep. 40:3663–3673. 2018.PubMed/NCBI

202 

Wei Z, Yan L, Chen Y, Bao C and Deng J and Deng J: Mangiferin inhibits macrophage classical activation via downregulating interferon regulatory factor 5 expression. Mol Med Rep. 14:1091–1098. 2016. View Article : Google Scholar : PubMed/NCBI

Related Articles

  • Abstract
  • View
  • Download
  • Twitter
Copy and paste a formatted citation
Spandidos Publications style
Dai Y, Huang Q, Tan M, Wang Z, Jiang C, Liu Z, Zhang S and Song S: <p>Mangiferin in human disease: Multifaceted mechanisms and applications (Review)</p>. Int J Mol Med 57: 65, 2026.
APA
Dai, Y., Huang, Q., Tan, M., Wang, Z., Jiang, C., Liu, Z. ... Song, S. (2026). <p>Mangiferin in human disease: Multifaceted mechanisms and applications (Review)</p>. International Journal of Molecular Medicine, 57, 65. https://doi.org/10.3892/ijmm.2026.5736
MLA
Dai, Y., Huang, Q., Tan, M., Wang, Z., Jiang, C., Liu, Z., Zhang, S., Song, S."<p>Mangiferin in human disease: Multifaceted mechanisms and applications (Review)</p>". International Journal of Molecular Medicine 57.3 (2026): 65.
Chicago
Dai, Y., Huang, Q., Tan, M., Wang, Z., Jiang, C., Liu, Z., Zhang, S., Song, S."<p>Mangiferin in human disease: Multifaceted mechanisms and applications (Review)</p>". International Journal of Molecular Medicine 57, no. 3 (2026): 65. https://doi.org/10.3892/ijmm.2026.5736
Copy and paste a formatted citation
x
Spandidos Publications style
Dai Y, Huang Q, Tan M, Wang Z, Jiang C, Liu Z, Zhang S and Song S: <p>Mangiferin in human disease: Multifaceted mechanisms and applications (Review)</p>. Int J Mol Med 57: 65, 2026.
APA
Dai, Y., Huang, Q., Tan, M., Wang, Z., Jiang, C., Liu, Z. ... Song, S. (2026). <p>Mangiferin in human disease: Multifaceted mechanisms and applications (Review)</p>. International Journal of Molecular Medicine, 57, 65. https://doi.org/10.3892/ijmm.2026.5736
MLA
Dai, Y., Huang, Q., Tan, M., Wang, Z., Jiang, C., Liu, Z., Zhang, S., Song, S."<p>Mangiferin in human disease: Multifaceted mechanisms and applications (Review)</p>". International Journal of Molecular Medicine 57.3 (2026): 65.
Chicago
Dai, Y., Huang, Q., Tan, M., Wang, Z., Jiang, C., Liu, Z., Zhang, S., Song, S."<p>Mangiferin in human disease: Multifaceted mechanisms and applications (Review)</p>". International Journal of Molecular Medicine 57, no. 3 (2026): 65. https://doi.org/10.3892/ijmm.2026.5736
Follow us
  • Twitter
  • LinkedIn
  • Facebook
About
  • Spandidos Publications
  • Careers
  • Cookie Policy
  • Privacy Policy
How can we help?
  • Help
  • Live Chat
  • Contact
  • Email to our Support Team