Spandidos Publications Logo
  • About
    • About Spandidos
    • Aims and Scopes
    • Abstracting and Indexing
    • Editorial Policies
    • Reprints and Permissions
    • Job Opportunities
    • Terms and Conditions
    • Contact
  • Journals
    • All Journals
    • Oncology Letters
      • Oncology Letters
      • Information for Authors
      • Editorial Policies
      • Editorial Board
      • Aims and Scope
      • Abstracting and Indexing
      • Bibliographic Information
      • Archive
    • International Journal of Oncology
      • International Journal of Oncology
      • Information for Authors
      • Editorial Policies
      • Editorial Board
      • Aims and Scope
      • Abstracting and Indexing
      • Bibliographic Information
      • Archive
    • Molecular and Clinical Oncology
      • Molecular and Clinical Oncology
      • Information for Authors
      • Editorial Policies
      • Editorial Board
      • Aims and Scope
      • Abstracting and Indexing
      • Bibliographic Information
      • Archive
    • Experimental and Therapeutic Medicine
      • Experimental and Therapeutic Medicine
      • Information for Authors
      • Editorial Policies
      • Editorial Board
      • Aims and Scope
      • Abstracting and Indexing
      • Bibliographic Information
      • Archive
    • International Journal of Molecular Medicine
      • International Journal of Molecular Medicine
      • Information for Authors
      • Editorial Policies
      • Editorial Board
      • Aims and Scope
      • Abstracting and Indexing
      • Bibliographic Information
      • Archive
    • Biomedical Reports
      • Biomedical Reports
      • Information for Authors
      • Editorial Policies
      • Editorial Board
      • Aims and Scope
      • Abstracting and Indexing
      • Bibliographic Information
      • Archive
    • Oncology Reports
      • Oncology Reports
      • Information for Authors
      • Editorial Policies
      • Editorial Board
      • Aims and Scope
      • Abstracting and Indexing
      • Bibliographic Information
      • Archive
    • Molecular Medicine Reports
      • Molecular Medicine Reports
      • Information for Authors
      • Editorial Policies
      • Editorial Board
      • Aims and Scope
      • Abstracting and Indexing
      • Bibliographic Information
      • Archive
    • World Academy of Sciences Journal
      • World Academy of Sciences Journal
      • Information for Authors
      • Editorial Policies
      • Editorial Board
      • Aims and Scope
      • Abstracting and Indexing
      • Bibliographic Information
      • Archive
    • International Journal of Functional Nutrition
      • International Journal of Functional Nutrition
      • Information for Authors
      • Editorial Policies
      • Editorial Board
      • Aims and Scope
      • Abstracting and Indexing
      • Bibliographic Information
      • Archive
    • International Journal of Epigenetics
      • International Journal of Epigenetics
      • Information for Authors
      • Editorial Policies
      • Editorial Board
      • Aims and Scope
      • Abstracting and Indexing
      • Bibliographic Information
      • Archive
    • Medicine International
      • Medicine International
      • Information for Authors
      • Editorial Policies
      • Editorial Board
      • Aims and Scope
      • Abstracting and Indexing
      • Bibliographic Information
      • Archive
  • Articles
  • Information
    • Information for Authors
    • Information for Reviewers
    • Information for Librarians
    • Information for Advertisers
    • Conferences
  • Language Editing
Spandidos Publications Logo
  • About
    • About Spandidos
    • Aims and Scopes
    • Abstracting and Indexing
    • Editorial Policies
    • Reprints and Permissions
    • Job Opportunities
    • Terms and Conditions
    • Contact
  • Journals
    • All Journals
    • Biomedical Reports
      • Information for Authors
      • Editorial Policies
      • Editorial Board
      • Aims and Scope
      • Abstracting and Indexing
      • Bibliographic Information
      • Archive
    • Experimental and Therapeutic Medicine
      • Information for Authors
      • Editorial Policies
      • Editorial Board
      • Aims and Scope
      • Abstracting and Indexing
      • Bibliographic Information
      • Archive
    • International Journal of Epigenetics
      • Information for Authors
      • Editorial Policies
      • Editorial Board
      • Aims and Scope
      • Abstracting and Indexing
      • Bibliographic Information
      • Archive
    • International Journal of Functional Nutrition
      • Information for Authors
      • Editorial Policies
      • Editorial Board
      • Aims and Scope
      • Abstracting and Indexing
      • Bibliographic Information
      • Archive
    • International Journal of Molecular Medicine
      • Information for Authors
      • Editorial Policies
      • Editorial Board
      • Aims and Scope
      • Abstracting and Indexing
      • Bibliographic Information
      • Archive
    • International Journal of Oncology
      • Information for Authors
      • Editorial Policies
      • Editorial Board
      • Aims and Scope
      • Abstracting and Indexing
      • Bibliographic Information
      • Archive
    • Medicine International
      • Information for Authors
      • Editorial Policies
      • Editorial Board
      • Aims and Scope
      • Abstracting and Indexing
      • Bibliographic Information
      • Archive
    • Molecular and Clinical Oncology
      • Information for Authors
      • Editorial Policies
      • Editorial Board
      • Aims and Scope
      • Abstracting and Indexing
      • Bibliographic Information
      • Archive
    • Molecular Medicine Reports
      • Information for Authors
      • Editorial Policies
      • Editorial Board
      • Aims and Scope
      • Abstracting and Indexing
      • Bibliographic Information
      • Archive
    • Oncology Letters
      • Information for Authors
      • Editorial Policies
      • Editorial Board
      • Aims and Scope
      • Abstracting and Indexing
      • Bibliographic Information
      • Archive
    • Oncology Reports
      • Information for Authors
      • Editorial Policies
      • Editorial Board
      • Aims and Scope
      • Abstracting and Indexing
      • Bibliographic Information
      • Archive
    • World Academy of Sciences Journal
      • Information for Authors
      • Editorial Policies
      • Editorial Board
      • Aims and Scope
      • Abstracting and Indexing
      • Bibliographic Information
      • Archive
  • Articles
  • Information
    • For Authors
    • For Reviewers
    • For Librarians
    • For Advertisers
    • Conferences
  • Language Editing
Login Register Submit
  • This site uses cookies
  • You can change your cookie settings at any time by following the instructions in our Cookie Policy. To find out more, you may read our Privacy Policy.

    I agree
Search articles by DOI, keyword, author or affiliation
Search
Advanced Search
presentation
International Journal of Oncology
Join Editorial Board Propose a Special Issue
Print ISSN: 1019-6439 Online ISSN: 1791-2423
Journal Cover
September 2013 Volume 43 Issue 3

Full Size Image

Cover Legend PDF

Sign up for eToc alerts
Recommend to Library

Journals

International Journal of Molecular Medicine

International Journal of Molecular Medicine

International Journal of Molecular Medicine is an international journal devoted to molecular mechanisms of human disease.

International Journal of Oncology

International Journal of Oncology

International Journal of Oncology is an international journal devoted to oncology research and cancer treatment.

Molecular Medicine Reports

Molecular Medicine Reports

Covers molecular medicine topics such as pharmacology, pathology, genetics, neuroscience, infectious diseases, molecular cardiology, and molecular surgery.

Oncology Reports

Oncology Reports

Oncology Reports is an international journal devoted to fundamental and applied research in Oncology.

Experimental and Therapeutic Medicine

Experimental and Therapeutic Medicine

Experimental and Therapeutic Medicine is an international journal devoted to laboratory and clinical medicine.

Oncology Letters

Oncology Letters

Oncology Letters is an international journal devoted to Experimental and Clinical Oncology.

Biomedical Reports

Biomedical Reports

Explores a wide range of biological and medical fields, including pharmacology, genetics, microbiology, neuroscience, and molecular cardiology.

Molecular and Clinical Oncology

Molecular and Clinical Oncology

International journal addressing all aspects of oncology research, from tumorigenesis and oncogenes to chemotherapy and metastasis.

World Academy of Sciences Journal

World Academy of Sciences Journal

Multidisciplinary open-access journal spanning biochemistry, genetics, neuroscience, environmental health, and synthetic biology.

International Journal of Functional Nutrition

International Journal of Functional Nutrition

Open-access journal combining biochemistry, pharmacology, immunology, and genetics to advance health through functional nutrition.

International Journal of Epigenetics

International Journal of Epigenetics

Publishes open-access research on using epigenetics to advance understanding and treatment of human disease.

Medicine International

Medicine International

An International Open Access Journal Devoted to General Medicine.

Journal Cover
September 2013 Volume 43 Issue 3

Full Size Image

Cover Legend PDF

Sign up for eToc alerts
Recommend to Library

  • Article
  • Citations
    • Cite This Article
    • Download Citation
    • Create Citation Alert
    • Remove Citation Alert
    • Cited By
  • Similar Articles
    • Related Articles (in Spandidos Publications)
    • Similar Articles (Google Scholar)
    • Similar Articles (PubMed)
  • Download PDF
  • Download XML
  • View XML
Article

Antioxidant extracts of African medicinal plants induce cell cycle arrest and differentiation in B16F10 melanoma cells

  • Authors:
    • Angelo Gismondi
    • Lorena Canuti
    • Stefania Impei
    • Gabriele Di Marco
    • Maurice Kenzo
    • Vittorio Colizzi
    • Antonella Canini
  • View Affiliations / Copyright

    Affiliations: Department of Biology, University of Rome ‘Tor Vergata’, I-00133 Rome, Italy, S/C 46 P.A. de Lingang Dschange, Cameroon
  • Pages: 956-964
    |
    Published online on: July 1, 2013
       https://doi.org/10.3892/ijo.2013.2001
  • Expand metrics +
Metrics: Total Views: 0 (Spandidos Publications: | PMC Statistics: )
Metrics: Total PDF Downloads: 0 (Spandidos Publications: | PMC Statistics: )
Cited By (CrossRef): 0 citations Loading Articles...

This article is mentioned in:



Abstract

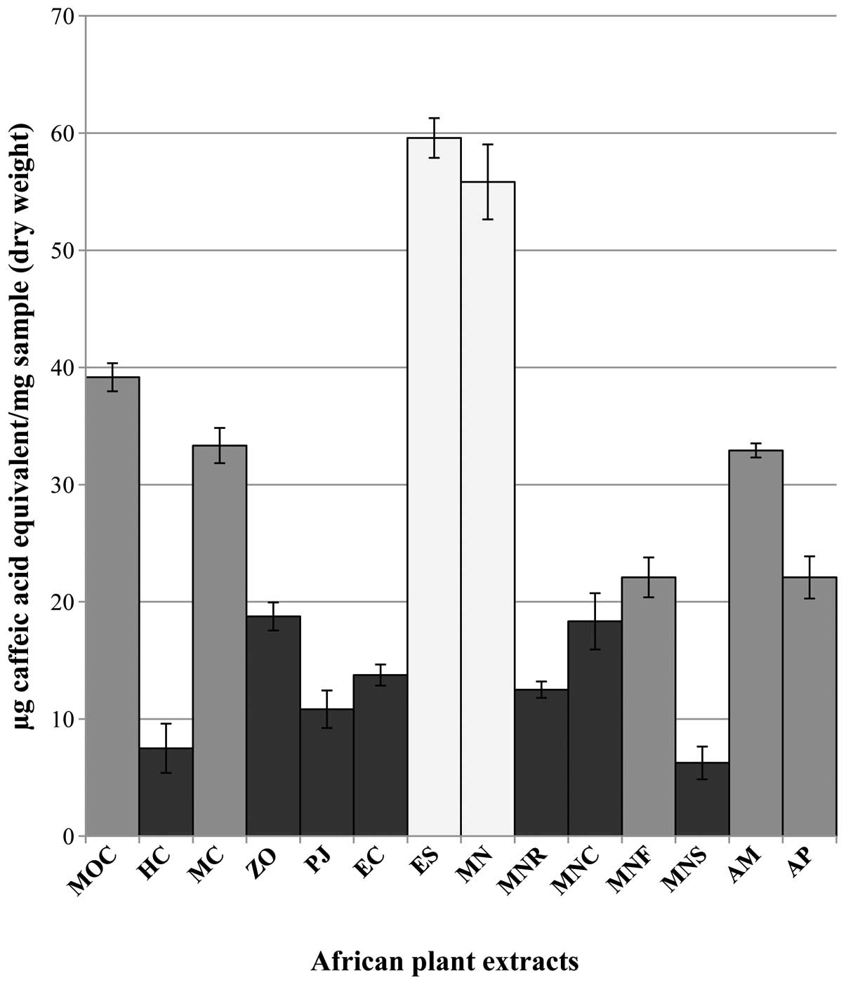
African ethnomedicine is essentially based on the traditional use of vegetal extracts. Since these natural drugs have shown health giving properties, in the present study we increased further the scientific basis supporting these data. We investigated the effects, on murine B16F10 melanoma cells, of plant extracts that were directly obtained by a Cameroon ‘traditional healer’. After a preliminary study on the antioxidant functions of these compounds, already abundant in literature, Moringa oleifera Lam., Eremomastax speciosa (Hochst.) Cufod and Aframomum melegueta K. Schum extracts were individually analyzed. We performed laboratory assessments on these medicinal preparations in order to clearly demonstrate their antineoplastic features. All the treatments caused in tumor cells a great reduction in growth and proliferation rate, cell cycle arrest, increase of p53, p21WAF1/Cip1 and p27Kip1 protein levels and induction of differentiation. These results, on the bioactivity and the biochemical characteristics of African plant extracts, may increase the comprehension of indigenous therapeutic practices and represent the first step for the indivi­duation of new inexpensive and natural drugs able to prevent and contrast cancer onset.
View Figures

Figure 1

Figure 2

Figure 3

Figure 4

Figure 5

Figure 6

Figure 7

Figure 8

Figure 9

Figure 10

Figure 11

Figure 12

View References

1 

Steenkamp V, Mathivha E, Gouws MC and van Rensburg CEJ: Studies on antibacterial, antioxidant and fibroblast growth stimulation of wound healing remedies from South Africa. J Ethnopharmacol. 95:353–357. 2004. View Article : Google Scholar : PubMed/NCBI

2 

Ojewole JAO: Antinociceptive, anti-inflammatory and antidiabetic properties of Hypoxis hemerocallidea Fisch. & CA Mey (Hypoxidaceae) corm [‘African Potato’] aqueous extract in mice and rats. J Ethnopharmacol. 103:126–134. 2006.PubMed/NCBI

3 

Soladoye MO, Amusa NA, Raji-Esan SO, Chukwuma EC and Taiwo AA: Ethnobotanical survey of anti-cancer plants in Ogun State, Nigeria. Ann Biol Res. 1:261–273. 2010.

4 

Farombi OE: African indigenous plants with chemotherapeutic potentials and biotechnological approach to the production of bioactive prophylactic agents. Afr J Biotechnol. 2:662–671. 2003. View Article : Google Scholar

5 

Scott G, Springfield EP and Coldrey N: A pharmacognostical study of 26 South African plant species used as traditional medicines. Pharm Biol. 42:186–213. 2004. View Article : Google Scholar

6 

Atawodi SE: Antioxidant potential of African medicinal plants. Afr J Biotechnol. 4:128–133. 2005.

7 

Manach C, Scalbert A, Morand C, Remesy C and Jimenez L: Polyphenols: food sources and bioavailability. Am J Clin Nutr. 79:727–747. 2004.PubMed/NCBI

8 

Abegaz BM, Ngadjui BT, Dango E and Bezabith MT: Chemistry of the genus Dorstenia psiurus. Curr Org Chem. 4:107–109. 2000. View Article : Google Scholar

9 

Edeoga HO, Okwu DE and Mbaebie BO: Phytochemical constituents of some Nigerian medicinal plants. Afr J Biotechnol. 4:685–688. 2005. View Article : Google Scholar

10 

Jiofack T, Fokunang C, Guedje N, Kemeuze V, Fongnzossie E, Nkongmeneck BA, Mapongmetsem PM and Tsabang N: Ethnobotanical uses of some plants of two ethnoecological regions of Cameroon. AJPP. 3:664–684. 2009.

11 

Steenkamp V and Gouws MC: Cytotoxicity of six South African medicinal plant extracts used in the treatment of cancer. S Afr J Bot. 72:630–633. 2006. View Article : Google Scholar

12 

Singleton VL and Rossi JJA: Colorimetry of total phenolics with phosphomolybdic-phosphotungstic acid reagents. Am J Enol Viticul. 16:144–158. 1965.

13 

Benzie IFF and Strain JJ: The ferric reducing ability of plasma (FRAP) as a measure of antioxidant power: the FRAP assay. Anal Biochem. 239:70–76. 1996. View Article : Google Scholar

14 

Brand-Williams W, Cuvelier ME and Berset C: Use of a free radical method to evaluate antioxidant activity. Food Sci Technol. 28:25–30. 1995.

15 

Gismondi A, Serio M, Canuti L and Canini A: Biochemical, antioxidant and antineoplastic properties of Italian saffron (Crocus sativus L.). AJPS. 3:1573–1580. 2012. View Article : Google Scholar

16 

Fidler IJ: Selection of successive tumor cell lines for metastasis. Nat New Biol. 242:148–149. 1973. View Article : Google Scholar : PubMed/NCBI

17 

Bradford MM: A rapid and sensitive method for the quantitation of microgram quantities of protein utilizing the principle of protein-dye binding. Anal Biochem. 72:248–254. 1976. View Article : Google Scholar : PubMed/NCBI

18 

Gismondi A, Lentini A, Tabolacci C, Provenzano B and Beninati S: Transglutaminase-dependent antiproliferative and differentiative properties of nimesulide on B16–F10 mouse melanoma cells. Amino Acids. 38:257–262. 2010.PubMed/NCBI

19 

Lotan R and Lotan D: Stimulation of melanogenesis in a human melanoma cell by retinoids. Cancer Res. 40:3345–3350. 1980.PubMed/NCBI

20 

Ndenecho EN: Herbalism and resources for the development of ethnopharmacology in Mount Cameroon region. AJPP. 3:78–86. 2009.

21 

Anoosh E, Fathemeh S, Eradatmand AD and Alireza H: Antioxidant activity of methanolic and aqueous extract of Stachys inflate. Adv Environ Biol. 5:12562011.

22 

Sengul M, Yildiz H, Gungor N, Cetin B, Eser Z and Ercisli S: Total phenolic content, antioxidant and antimicrobial activities of some medicinal plants. Pakistan J Pharm Sci. 22:102–106. 2009.PubMed/NCBI

23 

Ho SC and Chang PW: Inhibitory effects of several spices on inflammation caused by advanced glycation end products. AJPS. 3:995–1002. 2012. View Article : Google Scholar

24 

Pan MH and Ho CT: Chemopreventive effects of natural dietary compounds on cancer development. Chem Soc Rev. 37:2258–2574. 2008.

25 

Bajpai M, Mishra A and Prakash D: Antioxidant and free radical scavenging activities of some leafy vegetables. Int J Food Sci Nutr. 56:473–481. 2005. View Article : Google Scholar : PubMed/NCBI

26 

Siddhuraju P and Becker K: Antioxidant properties of various solvent extracts of total phenolic constituents from three different agroclimatic origins of drumstick tree (Moringa oleifera Lam. ) leaves J Agr Food Chem. 51:2144–2155. 2003. View Article : Google Scholar

27 

Sreelatha S and Padma PR: Antioxidant activity and total phenolic content of Moringa oleifera leaves in two stages of maturity. Plant Food Hum Nutr. 64:303–311. 2009. View Article : Google Scholar : PubMed/NCBI

28 

Moyo B, Oyedemi S, Masika PJ and Muchenje V: Polyphenolic content and antioxidant properties of Moringa oleifera leaf extracts and enzymatic activity of liver from goats supplemented with Moringa oleifera leaves/sunflower seed cake. Meat Sci. 91:441–447. 2012.PubMed/NCBI

29 

Ferreira PMP, Farias DF, de Oliveira JTA and de Carvalho AFU: Moringa oleifera: bioactive compounds and nutritional potential. Revista de Nutrição - Campinas. 21:431–437. 2008.

30 

Anwar F, Latif S, Ashraf M and Gilani AH: Moringa oleifera: a food plant with multiple medicinal uses. Phytother Res. 21:17–25. 2007. View Article : Google Scholar

31 

Chumarka P, Khunawat P, Sanvarinda Y, Phornchirasilp S, Morales NP, Phivthongngam L, Ratanachamnong P, Srisawat S and Pongrapeeporn KS: The in vitro and ex vivo antioxidant properties, hypolipidaemic and antiatherosclerotic activities of water extract of Moringa oleifera Lam. leaves J Ethnopharmacol. 116:439–446. 2008. View Article : Google Scholar : PubMed/NCBI

32 

Paliwal R, Sharma V, Pracheta A and Sharma S, Yadav S and Sharma S: Anti-nephrotoxic effect of administration of Moringa oleifera Lam in amelioration of DMBA-induced renal carcinogenesis in Swiss albino mice. Biol Med Special Issue. 3:27–35. 2011.

33 

Sreelatha S, Jeyachitra S and Padma PR: Antiproliferation and induction of apoptosis by Moringa oleifera leaf extract on human cancer cells. Food Chem Toxicol. 49:1270–1275. 2011. View Article : Google Scholar

34 

Doherty VF, Olaniran OO and Kanife UC: Antimicrobial activities of Aframomum Melegueta (Alligator pepper). Int J Biol. 2:126–131. 2010.

35 

Nwozo SO and Oyinloye BE: Hepatoprotective effect of aqueous extract of Aframomum melegueta on ethanol-induced toxicity in rats. Acta Biochim Pol. 58:355–358. 2011.PubMed/NCBI

36 

Telefoa PB, Lienoua LL, Yemelea MD, Lemfacka MC, Mouokeua C, Gokaa CS, Tagnea SR and Moundipab FP: Ethnopharmacological survey of plants used for the treatment of female infertility in Baham, Cameroon. J Ethnopharmacol. 136:178–187. 2011. View Article : Google Scholar : PubMed/NCBI

37 

Surh YJ: Cancer chemoprevention with dietary phytochemicals. Nat Rev Cancer. 3:768–780. 2003. View Article : Google Scholar : PubMed/NCBI

38 

Pitchakarn P, Suzuki S, Ogawa K, Pompimon W, Takahashi S, Asamoto M, Limtrakul P and Shirai T: Induction of G1 arrest and apoptosis in androgen-dependent human prostate cancer by Kuguacin J, a triterpenoid from Momordica charantia leaf. Cancer Lett. 306:142–150. 2011. View Article : Google Scholar : PubMed/NCBI

39 

Coqueret O: New roles for p21 and p27 cell-cycle inhibitors: a function for each cell compartment? Trends Cell Biol. 13:65–70. 2003. View Article : Google Scholar : PubMed/NCBI

40 

Dozio E, Ruscica M, Passafaro L, Dogliotti G, Steffani L, Pagani A, Demartini G, Esposti D, Fraschini F and Magni P: The natural antioxidant alpha-lipoic acid induces p27Kip1-dependent cell cycle arrest and apoptosis in MCF-7 human breast cancer cells. Eur J Pharmacol. 641:29–34. 2010. View Article : Google Scholar : PubMed/NCBI

41 

Lee YS, Choi KM, Choi MH, Ji SY, Lee S, Sin DM, Oh KW, Lee YM, Hong JT, Yun YP and Yoo HS: Serine palmitoyltransferase inhibitor myriocin induces growth inhibition of B16F10 melanoma cells through G2/M phase arrest. Cell Prolif. 44:320–329. 2011. View Article : Google Scholar

42 

Kim KN, Ahn G, Heo SJ, Kang SM, Kang MC, Yang HM, et al: Inhibition of tumor growth in vitro and in vivo by fucoxanthin against melanoma B16F10 cells. Environ Toxicol Phar. 35:39–46. 2013. View Article : Google Scholar : PubMed/NCBI

43 

Wang P, Ma Q, Luo J, Liu B, Tan F, Zhang Z and Chen Z: Nkx3.1 and p27KIP1 cooperate in proliferation inhibition and apoptosis induction in human androgen-independent prostate cancer cells. Cancer Invest. 27:369–375. 2009.

44 

Indovina P, Giorgi F, Rizzo V, Khadang B, Schenone S, Di Marzo D, Forte IM, Tomei V, Mattioli E, D’Urso V, Grilli B, Botta M, Giordano A and Pentimalli F: New pyrazolo[3,4-d]pyrimidine SRC inhibitors induce apoptosis in mesothelioma cell lines through p27 nuclear stabilization. Oncogene. 31:929–938. 2012.

45 

Alesiani D, Cicconi R, Mattei M, Montesano C, Bei R and Canini A: Cell cycle arrest and differentiation induction by 5,7-dimethoxycoumarin in melanoma cell lines. Int J Oncol. 32:425–434. 2008.PubMed/NCBI

46 

Tabolacci C, Lentini A, Provenzano B, Gismondi A, Rossi S and Beninati S: Similar antineoplastic effects of nimesulide, a selective COX-2 inhibitor, and prostaglandin E1 on B16–F10 murine melanoma cells. Melanoma Res. 20:273–279. 2010.PubMed/NCBI

47 

Moleephan W, Wittayalertpanya S, Ruangrungsi N and Limpanasithikul W: Effect of xanthoxylin on melanin content and melanogenic protein expression in B16F10 melanoma. Asian Biomed. 6:413–422. 2012.

Related Articles

  • Abstract
  • View
  • Download
  • Twitter
Copy and paste a formatted citation
Spandidos Publications style
Gismondi A, Canuti L, Impei S, Di Marco G, Kenzo M, Colizzi V and Canini A: Antioxidant extracts of African medicinal plants induce cell cycle arrest and differentiation in B16F10 melanoma cells. Int J Oncol 43: 956-964, 2013.
APA
Gismondi, A., Canuti, L., Impei, S., Di Marco, G., Kenzo, M., Colizzi, V., & Canini, A. (2013). Antioxidant extracts of African medicinal plants induce cell cycle arrest and differentiation in B16F10 melanoma cells. International Journal of Oncology, 43, 956-964. https://doi.org/10.3892/ijo.2013.2001
MLA
Gismondi, A., Canuti, L., Impei, S., Di Marco, G., Kenzo, M., Colizzi, V., Canini, A."Antioxidant extracts of African medicinal plants induce cell cycle arrest and differentiation in B16F10 melanoma cells". International Journal of Oncology 43.3 (2013): 956-964.
Chicago
Gismondi, A., Canuti, L., Impei, S., Di Marco, G., Kenzo, M., Colizzi, V., Canini, A."Antioxidant extracts of African medicinal plants induce cell cycle arrest and differentiation in B16F10 melanoma cells". International Journal of Oncology 43, no. 3 (2013): 956-964. https://doi.org/10.3892/ijo.2013.2001
Copy and paste a formatted citation
x
Spandidos Publications style
Gismondi A, Canuti L, Impei S, Di Marco G, Kenzo M, Colizzi V and Canini A: Antioxidant extracts of African medicinal plants induce cell cycle arrest and differentiation in B16F10 melanoma cells. Int J Oncol 43: 956-964, 2013.
APA
Gismondi, A., Canuti, L., Impei, S., Di Marco, G., Kenzo, M., Colizzi, V., & Canini, A. (2013). Antioxidant extracts of African medicinal plants induce cell cycle arrest and differentiation in B16F10 melanoma cells. International Journal of Oncology, 43, 956-964. https://doi.org/10.3892/ijo.2013.2001
MLA
Gismondi, A., Canuti, L., Impei, S., Di Marco, G., Kenzo, M., Colizzi, V., Canini, A."Antioxidant extracts of African medicinal plants induce cell cycle arrest and differentiation in B16F10 melanoma cells". International Journal of Oncology 43.3 (2013): 956-964.
Chicago
Gismondi, A., Canuti, L., Impei, S., Di Marco, G., Kenzo, M., Colizzi, V., Canini, A."Antioxidant extracts of African medicinal plants induce cell cycle arrest and differentiation in B16F10 melanoma cells". International Journal of Oncology 43, no. 3 (2013): 956-964. https://doi.org/10.3892/ijo.2013.2001
Follow us
  • Twitter
  • LinkedIn
  • Facebook
About
  • Spandidos Publications
  • Careers
  • Cookie Policy
  • Privacy Policy
How can we help?
  • Help
  • Live Chat
  • Contact
  • Email to our Support Team