Spandidos Publications Logo
  • About
    • About Spandidos
    • Aims and Scopes
    • Abstracting and Indexing
    • Editorial Policies
    • Reprints and Permissions
    • Job Opportunities
    • Terms and Conditions
    • Contact
  • Journals
    • All Journals
    • Oncology Letters
      • Oncology Letters
      • Information for Authors
      • Editorial Policies
      • Editorial Board
      • Aims and Scope
      • Abstracting and Indexing
      • Bibliographic Information
      • Archive
    • International Journal of Oncology
      • International Journal of Oncology
      • Information for Authors
      • Editorial Policies
      • Editorial Board
      • Aims and Scope
      • Abstracting and Indexing
      • Bibliographic Information
      • Archive
    • Molecular and Clinical Oncology
      • Molecular and Clinical Oncology
      • Information for Authors
      • Editorial Policies
      • Editorial Board
      • Aims and Scope
      • Abstracting and Indexing
      • Bibliographic Information
      • Archive
    • Experimental and Therapeutic Medicine
      • Experimental and Therapeutic Medicine
      • Information for Authors
      • Editorial Policies
      • Editorial Board
      • Aims and Scope
      • Abstracting and Indexing
      • Bibliographic Information
      • Archive
    • International Journal of Molecular Medicine
      • International Journal of Molecular Medicine
      • Information for Authors
      • Editorial Policies
      • Editorial Board
      • Aims and Scope
      • Abstracting and Indexing
      • Bibliographic Information
      • Archive
    • Biomedical Reports
      • Biomedical Reports
      • Information for Authors
      • Editorial Policies
      • Editorial Board
      • Aims and Scope
      • Abstracting and Indexing
      • Bibliographic Information
      • Archive
    • Oncology Reports
      • Oncology Reports
      • Information for Authors
      • Editorial Policies
      • Editorial Board
      • Aims and Scope
      • Abstracting and Indexing
      • Bibliographic Information
      • Archive
    • Molecular Medicine Reports
      • Molecular Medicine Reports
      • Information for Authors
      • Editorial Policies
      • Editorial Board
      • Aims and Scope
      • Abstracting and Indexing
      • Bibliographic Information
      • Archive
    • World Academy of Sciences Journal
      • World Academy of Sciences Journal
      • Information for Authors
      • Editorial Policies
      • Editorial Board
      • Aims and Scope
      • Abstracting and Indexing
      • Bibliographic Information
      • Archive
    • International Journal of Functional Nutrition
      • International Journal of Functional Nutrition
      • Information for Authors
      • Editorial Policies
      • Editorial Board
      • Aims and Scope
      • Abstracting and Indexing
      • Bibliographic Information
      • Archive
    • International Journal of Epigenetics
      • International Journal of Epigenetics
      • Information for Authors
      • Editorial Policies
      • Editorial Board
      • Aims and Scope
      • Abstracting and Indexing
      • Bibliographic Information
      • Archive
    • Medicine International
      • Medicine International
      • Information for Authors
      • Editorial Policies
      • Editorial Board
      • Aims and Scope
      • Abstracting and Indexing
      • Bibliographic Information
      • Archive
  • Articles
  • Information
    • Information for Authors
    • Information for Reviewers
    • Information for Librarians
    • Information for Advertisers
    • Conferences
  • Language Editing
Spandidos Publications Logo
  • About
    • About Spandidos
    • Aims and Scopes
    • Abstracting and Indexing
    • Editorial Policies
    • Reprints and Permissions
    • Job Opportunities
    • Terms and Conditions
    • Contact
  • Journals
    • All Journals
    • Biomedical Reports
      • Information for Authors
      • Editorial Policies
      • Editorial Board
      • Aims and Scope
      • Abstracting and Indexing
      • Bibliographic Information
      • Archive
    • Experimental and Therapeutic Medicine
      • Information for Authors
      • Editorial Policies
      • Editorial Board
      • Aims and Scope
      • Abstracting and Indexing
      • Bibliographic Information
      • Archive
    • International Journal of Epigenetics
      • Information for Authors
      • Editorial Policies
      • Editorial Board
      • Aims and Scope
      • Abstracting and Indexing
      • Bibliographic Information
      • Archive
    • International Journal of Functional Nutrition
      • Information for Authors
      • Editorial Policies
      • Editorial Board
      • Aims and Scope
      • Abstracting and Indexing
      • Bibliographic Information
      • Archive
    • International Journal of Molecular Medicine
      • Information for Authors
      • Editorial Policies
      • Editorial Board
      • Aims and Scope
      • Abstracting and Indexing
      • Bibliographic Information
      • Archive
    • International Journal of Oncology
      • Information for Authors
      • Editorial Policies
      • Editorial Board
      • Aims and Scope
      • Abstracting and Indexing
      • Bibliographic Information
      • Archive
    • Medicine International
      • Information for Authors
      • Editorial Policies
      • Editorial Board
      • Aims and Scope
      • Abstracting and Indexing
      • Bibliographic Information
      • Archive
    • Molecular and Clinical Oncology
      • Information for Authors
      • Editorial Policies
      • Editorial Board
      • Aims and Scope
      • Abstracting and Indexing
      • Bibliographic Information
      • Archive
    • Molecular Medicine Reports
      • Information for Authors
      • Editorial Policies
      • Editorial Board
      • Aims and Scope
      • Abstracting and Indexing
      • Bibliographic Information
      • Archive
    • Oncology Letters
      • Information for Authors
      • Editorial Policies
      • Editorial Board
      • Aims and Scope
      • Abstracting and Indexing
      • Bibliographic Information
      • Archive
    • Oncology Reports
      • Information for Authors
      • Editorial Policies
      • Editorial Board
      • Aims and Scope
      • Abstracting and Indexing
      • Bibliographic Information
      • Archive
    • World Academy of Sciences Journal
      • Information for Authors
      • Editorial Policies
      • Editorial Board
      • Aims and Scope
      • Abstracting and Indexing
      • Bibliographic Information
      • Archive
  • Articles
  • Information
    • For Authors
    • For Reviewers
    • For Librarians
    • For Advertisers
    • Conferences
  • Language Editing
Login Register Submit
  • This site uses cookies
  • You can change your cookie settings at any time by following the instructions in our Cookie Policy. To find out more, you may read our Privacy Policy.

    I agree
Search articles by DOI, keyword, author or affiliation
Search
Advanced Search
presentation
International Journal of Oncology
Join Editorial Board Propose a Special Issue
Print ISSN: 1019-6439 Online ISSN: 1791-2423
Journal Cover
April-2020 Volume 56 Issue 4

Full Size Image

Cover Legend PDF

Sign up for eToc alerts
Recommend to Library

Journals

International Journal of Molecular Medicine

International Journal of Molecular Medicine

International Journal of Molecular Medicine is an international journal devoted to molecular mechanisms of human disease.

International Journal of Oncology

International Journal of Oncology

International Journal of Oncology is an international journal devoted to oncology research and cancer treatment.

Molecular Medicine Reports

Molecular Medicine Reports

Covers molecular medicine topics such as pharmacology, pathology, genetics, neuroscience, infectious diseases, molecular cardiology, and molecular surgery.

Oncology Reports

Oncology Reports

Oncology Reports is an international journal devoted to fundamental and applied research in Oncology.

Experimental and Therapeutic Medicine

Experimental and Therapeutic Medicine

Experimental and Therapeutic Medicine is an international journal devoted to laboratory and clinical medicine.

Oncology Letters

Oncology Letters

Oncology Letters is an international journal devoted to Experimental and Clinical Oncology.

Biomedical Reports

Biomedical Reports

Explores a wide range of biological and medical fields, including pharmacology, genetics, microbiology, neuroscience, and molecular cardiology.

Molecular and Clinical Oncology

Molecular and Clinical Oncology

International journal addressing all aspects of oncology research, from tumorigenesis and oncogenes to chemotherapy and metastasis.

World Academy of Sciences Journal

World Academy of Sciences Journal

Multidisciplinary open-access journal spanning biochemistry, genetics, neuroscience, environmental health, and synthetic biology.

International Journal of Functional Nutrition

International Journal of Functional Nutrition

Open-access journal combining biochemistry, pharmacology, immunology, and genetics to advance health through functional nutrition.

International Journal of Epigenetics

International Journal of Epigenetics

Publishes open-access research on using epigenetics to advance understanding and treatment of human disease.

Medicine International

Medicine International

An International Open Access Journal Devoted to General Medicine.

Journal Cover
April-2020 Volume 56 Issue 4

Full Size Image

Cover Legend PDF

Sign up for eToc alerts
Recommend to Library

  • Article
  • Citations
    • Cite This Article
    • Download Citation
    • Create Citation Alert
    • Remove Citation Alert
    • Cited By
  • Similar Articles
    • Related Articles (in Spandidos Publications)
    • Similar Articles (Google Scholar)
    • Similar Articles (PubMed)
  • Download PDF
  • Download XML
  • View XML

  • Supplementary Files
    • Supplementary_Data.pdf
Article

Different immunological effects of the molecular targeted agents sunitinib, everolimus and temsirolimus in patients with renal cell carcinoma

  • Authors:
    • Yukari Kobayashi
    • Daisuke Yamada
    • Taketo Kawai
    • Yusuke Sato
    • Taro Teshima
    • Yuta Yamada
    • Masaaki Nakamura
    • Motofumi Suzuki
    • Akihiko Matsumoto
    • Tohru Nakagawa
    • Akihiro Hosoi
    • Koji Nagaoka
    • Takahiro Karasaki
    • Hirokazu Matsushita
    • Haruki Kume
    • Kazuhiro Kakimi
  • View Affiliations / Copyright

    Affiliations: Department of Immunotherapeutics, The University of Tokyo Hospital, Tokyo 113‑8655, Japan, Department of Urology, The University of Tokyo Hospital, Tokyo 113‑8655, Japan
  • Pages: 999-1013
    |
    Published online on: February 4, 2020
       https://doi.org/10.3892/ijo.2020.4975
  • Expand metrics +
Metrics: Total Views: 0 (Spandidos Publications: | PMC Statistics: )
Metrics: Total PDF Downloads: 0 (Spandidos Publications: | PMC Statistics: )
Cited By (CrossRef): 0 citations Loading Articles...

This article is mentioned in:



Abstract

Treatment with molecular targeted agents together with immune checkpoint inhibitors will most likely improve the efficacy of current cancer immunotherapy. Because molecular targeted agents not only directly affect cancer cells, but also influence immune cells and modulate the tumor microenvironment, a better understanding of the overall immunological effects of these drugs will contribute to the rational design of combination therapies. Therefore, this study performed extensive immune monitoring of patients' peripheral blood mononuclear cells (PBMCs) to investigate the immunological effects of the molecular targeted agents sunitinib, everolimus and temsirolimus, which have been widely used for the treatment of renal cell carcinoma (RCC). Immunophenotyping and functional analysis of PBMCs revealed that these molecular targeted agents exerted different immunological effects on patients with RCC. Sunitinib decreased the percentage of early‑stage myeloid‑derived suppressor cells (eMDSCs) and increased natural killer cells, but did not affect the phenotypes and effector functions of CD4+ or CD8+ T cells. Everolimus decreased effector regulatory T cells, but also decreased IL‑2‑producing CD4+ T cells and increased dysfunctional CD8+ T cells. Conversely, temsirolimus decreased programmed cell death protein 1+CD8+ T cells and eMDSCs, but increased interferon‑γ and tumor necrosis factor‑α double producers at the same time as decreasing dysfunctional CD8+ T cells, albeit not significantly. In conclusion, although everolimus and temsirolimus are mTOR inhibitors, their effects on overall T‑cell functions are very different. Therefore, although it may increase the risk of immune‑related toxicity, temsirolimus is expected to offer the best outcome when combined with other immunomodulators for the development of cancer immunotherapy.

Introduction

Renal cell carcinoma (RCC) is a genitourinary cancer with a high mortality rate (1,2). Major subtypes of RCC include clear cell RCC (ccRCC), papillary RCC and chromophobe RCC, of which ccRCC is the most common and accounts for most cancer-related deaths (3).

The standard of care for localized RCC is surgical excision; however, it has been reported that overall distant recurrence rates at 5 years after surgical resection are 27.6 and 64% for localized and locally advanced (nodal) disease, respectively (4). Approximately one-third of patients already have metastatic disease at diagnosis (5). For the treatment of metastatic or recurrent RCC, cytokines such as interferon (IFN)-α and high-dose IL-2 are the standard of care before the introduction of sunitinib (6). Tyrosine kinase inhibitors, including sunitinib (7), sorafenib (8), pazopanib (9) and axitinib (10), which inhibit hypoxia-inducible factor and vascular endothelial growth factor (VEGF) signaling, are the mainstay of treatment for advanced RCC in the front-line setting in addition to other targeting therapies, such as the anti-VEGF monoclonal antibody bevacizumab (11), and the mTOR inhibitors everolimus (12) and temsirolimus (13). Recently, multi-kinase inhibitors, including cabozantinib (14) and lenvatinib (15), have also been approved for the treatment of metastatic RCC (mRCC).

At present, immune checkpoint inhibitors are the standard first- and second-line treatments for RCC. The anti-programmed cell death protein 1 (PD-1) antibody nivolumab has been approved for the treatment of patients whose previous therapy has failed (16); treatment with nivolumab together with the anti-cytotoxic T-lymphocyte-associated protein 4 antibody ipilimumab has been approved as first-line treatment (17). Furthermore, pembrolizumab (anti-PD-1) plus axitinib has been shown to be superior to sunitinib for the first-line treatment of mRCC regardless of risk groups with an acceptable safety profile (18). These results resulted in a change to the National Comprehensive Cancer Network and European Urological Association guidelines (19,20). However, not all patients benefit, and response rates of 25% with nivolumab alone (16) and 42% with the combination therapy (17) have been documented. In addition, many immune-related adverse events have been reported, and no predictive biomarker is available to select which patients will benefit from which treatment. Therefore, although these checkpoint inhibitors are promising, there is still an urgent need to improve the treatment of RCC.

Combinations of molecular targeted agents with immune checkpoint inhibitors are now beginning to be extensively studied (21). Because molecular targeted agents not only impact directly on cancer cells but also affect immune cells and modulate the tumor microenvironment (22,23), a better understanding of the immunological properties of these drugs will contribute to the rational design of combination therapies. This study performed extensive immune monitoring of patients' peripheral blood mononuclear cells (PBMCs) to investigate the immunological effects of the molecular targeted agents sunitinib, everolimus and temsirolimus.

Materials and methods

Patients

This clinical study analyzed the immunological impact of molecular targeted agents in patients with RCC and was conducted at The University of Tokyo Hospital. The research protocol was approved by the Ethical Committee of The University of Tokyo (approval no. 3652) and written informed consent was obtained from each patient before they entered the study. All procedures in the present study were performed according to the ethical standards of the institutions and were in conformity with the 1964 Helsinki declaration and its later amendments or comparable ethical standards. Blood was collected before treatment started and after 4 weeks of treatment. Between June 2012 and November 2015, 31 patients (seven favorable, 20 intermediate and four poor risk patients, according to the Memorial Sloan Kettering Cancer Center risk criteria) were enrolled to the present study (24); 11, 12 and 8 patients received sunitinib, everolimus and temsirolimus, respectively, according to the then current guidelines for RCC treatment (Table I).

Table I

Demographic and clinical characteristics of the patients.

Table I

Demographic and clinical characteristics of the patients.

VariablesSunitinib (n=11)Everolimus (n=12)Temsirolimus (n=8)
Age (years)65 (20-83)69 (53-84)70 (62-85)
Sex
 Male10 (91%)5 (42%)5 (63%)
 Female1 (9%)7 (58%)3 (38%)
Histology
 Clear cell renal cell carcinoma8 (73%)10 (83%)3 (38%)
 Papillary cell renal cell carcinoma2 (18%)1 (8%)2 (25%)
 Chromophobe renal cell carcinoma0 (0%)0 (0%)1 (13%)
 Other types1 (9%)1 (8%)2 (25%)
Karnofsky performance status
 ≥808 (73%)10 (83%)5 (63%)
 <803 (27%)2 (17%)3 (38%)
MSKCC risk criteria
 Favorable2 (18%)4 (33%)1 (13%)
 Intermediate9 (82%)7 (58%)4 (50%)
 Poor0 (0%)1 (8%)3 (38%)
Prior systemic treatments
 09 (82%)0 (0%)5 (63%)
 12 (18%)1 (8%)1 (13%)
 ≥20 (0%)11 (92%)2 (25%)
Median duration of treatment (days)9116143
Best overall response
 CR0 (0%)0 (0%)1 (13%)
 PR4 (36%)1 (8%)1 (13%)
 SD4 (36%)6 (50%)3 (38%)
 PD3 (27%)5 (42%)3 (38%)

[i] CR, complete response; MSKCC, Memorial Sloan Kettering Cancer Center; PD, progressive disease; PR, partial response; SD, stable disease.

PBMC isolation and flow cytometry

Peripheral blood samples were collected twice, just before treatment and after 4 weeks of treatment. PBMCs were isolated by density gradient centrifugation at 1,100 × g for 20 min at room temperature using Lymphoprep™ (cat. no. 1114547; Alere Technologies AS), and cryopreserved in Bambanker™ freezing medium (cat. no. CS-02-001; Nippon Genetics Co., Ltd.). Cryopreserved PBMCs were thawed in RPMI-1640 (cat. no. 189-02025; Wako Pure Chemical Industries, Ltd.) supplemented with 50 IU/ml Benzonase® Nuclease (cat. no. E1014; Sigma-Aldrich; Merck KGaA). Cells (2×105) were blocked with 10 µl Clear Back (cat. no. MTG-001; MBL International Co.) for 5 min at room temperature and then stained with 100 µl phosphate-buffered saline containing 1% FBS (cat. no. 17012; Sigma-Aldrich; Merck KGaA) and 0.1% sodium azide (cat. no. 195-11092; Wako Pure Chemical Industries, Ltd.) with antibodies (1:100 dilution) against human leukocyte antigen (HLA)-DR (cat. no. 347367; BD Biosciences), tumor necrosis factor (TNF)-α (cat. no. 557996; BD Biosciences), CD8 (cat. no. 6603861; Beckman Coulter, Inc.), CD28 (cat. no. 6607111; Beckman Coulter, Inc.), 7-AAD Viability Dye (cat. no. A07704; Beckman Coulter, Inc.), CD3 (cat. no. A07746; Beckman Coulter, Inc.), CD19 (cat. no. A07769; Beckman Coulter, Inc.), CD56 (cat. no. A07788; Beckman Coulter, Inc.), NKG2D (cat. no. A08934; Beckman Coulter, Inc.), CD8 (cat. no. B08467; Beckman Coulter, Inc.), CD45RA (cat. no. IM2711U; Beckman Coulter, Inc.), CD3 (cat. no. 300328; BioLegend, Inc.), CD4 (cat. no. 300512; BioLegend, Inc.), CD4 (cat. no. 300514; BioLegend, Inc.), CD4 (cat. no. 300521; BioLegend, Inc.), CD4 (cat. no. 300538; BioLegend, Inc.), CD8 (cat. no. 300926; BioLegend, Inc.), CD11b (cat. no. 301325; BioLegend, Inc.), CD14 (cat. no. 301828; BioLegend, Inc.), CD16 (cat. no. 302006; BioLegend, Inc.), CD20 (cat. no. 302304; BioLegend, Inc.), CD25 (cat. no. 302606; BioLegend, Inc.), CD28 (cat. no. 302906; BioLegend, Inc.), CD33 (cat. no. 303408; BioLegend, Inc.), CD45 (cat. no. 304012; BioLegend, Inc.), CD45RA (cat. no. 304112; BioLegend, Inc.), CD95 (cat. no. 305624; BioLegend, Inc.), CD56 (cat. no. 318304; BioLegend, Inc.), forkhead box P3 (FOXP3; cat. no. 320212; BioLegend, Inc.), CD57 (cat. no. 322312; BioLegend, Inc.), CD15 (cat. no. 323020; BioLegend, Inc.), PD-1 (cat. no. 329919; BioLegend, Inc.), DNAX accessory molecule 1 (DNAM1; cat. no. 338306; BioLegend, Inc.), Ki67 (cat. no. 350514; BioLegend, Inc.), killer cell lectin-like receptor subfamily G member 1 (KLRG1; cat. no. 368605; BioLegend, Inc.), IL-2 (cat. no. 500306; BioLegend, Inc.), IFN-γ (cat. no. 502522; BioLegend, Inc.), CD19 (cat. no. 11-0199-42; eBioscience; Thermo Fisher Scientific, Inc.), CCR7 (cat. no. FAB197P; R&D Systems, Inc.), lymphocyte activation gene 3 protein (LAG-3; cat. no. FAB2319P; R&D Systems, Inc.) and T cell immunoglobulin and mucin protein 3 (TIM-3; cat. no. FAB2365G; R&D Systems, Inc.). Mouse IgG1, κ (cat. no. 400114; BioLegend, Inc.), Mouse IgG1, κ (cat. no. 400122; BioLegend, Inc.), Mouse IgG1 (cat. no. 400134; BioLegend, Inc.), Mouse IgG1, κ (cat. no. 400134; BioLegend, Inc.), Mouse IgG1, κ (cat. no. 400158; BioLegend, Inc.), Mouse IgG2a, κ (cat. no. 400212; BioLegend, Inc.), Mouse IgG2a, κ (cat. no. 400222; BioLegend, Inc.), Mouse IgM, κ (cat. no. 401609; BioLegend, Inc.), Rat IgG2A (cat. no. IC006G; R&D Systems, Inc.), Mouse IgG2a (cat. no. A12689; Beckman Coulter, Inc.), and Goat IgG (cat. no. IC108P; R&D Systems, Inc.) were used as isotype controls. Dead cells were excluded by staining with Zombie Yellow™ Fixable Viability kit (cat. no. 423104; BioLegend, Inc.) or Fixable Viability Dye eFluor™ 780 (cat. no. 65-0865-18; eBioscience; Thermo Fisher Scientific, Inc.).

For intracellular cytokine staining, cells were stimulated with 10 ng/ml PMA (cat. no. P1585; Sigma-Aldrich; Merck KGaA) and 1 µg/ml ionomycin (cat. no. I0634; Sigma-Aldrich; Merck KGaA) in the presence of 10 µg/ml brefeldin A (cat. no. B7651; Sigma-Aldrich; Merck KGaA) at 37°C for 4 h. Cytokine-producing cells were then evaluated by intracellular cytokine staining, which was conducted according to the manufacturer's instructions using IntraPrep Permeabilizaton Reagent (cat. no. A07803; Beckman Coulter, Inc.). Cells were cultured at 37°C for 30 min with 80 µM 2-[N-(7-Nitrobenz-2-oxa-1,3-diazol-4-yl) amino]-2-deoxy-D-glucose (2-NBDG; cat. no. 23002-v; Peptide Institute, Inc.) in glucose-free RPMI-1640 containing 10% FBS in order to analyze the uptake of the glucose analog. To analyze mitochondria, cells were cultured with MitoTracker Green (MTG; cat. no. M7514; Invitrogen; Thermo Fisher Scientific, Inc.) or tetramethylrhodamine, ethyl ester (TMRE; cat. no. 87917; Abcam) for 30 min at 37°C. Stained cells were analyzed on a Gallios flow cytometer (Beckman Coulter, Inc.) and data processed using Kaluza software (version 2.1; Beckman Coulter, Inc.) and FlowJo (version 7.6.5; FlowJo, LLC).

Statistical analysis

Comparison of results was performed with the Wilcoxon signed-rank test using GraphPad Prism 5 (GraphPad Software, Inc.). P<0.05 was considered to indicate a statistically significant difference.

Results

Effects of molecular targeted agents on the composition of the PBMC population

The effects of sunitinib, everolimus or temsirolimus on the composition of PBMCs were examined by flow cytometry using samples from patients with RCC before and 4 weeks after treatment initiation. The frequencies of CD3+ T cells, CD19+ B cells, CD14+ monocytes and CD56+CD3− natural killer (NK) cells were assessed in each patient (Figs. 1A-D and S1). The frequencies of T cells, B cell and monocytes were either increased or decreased by sunitinib; the individual differences and variations were such that no significant differences emerged when all patients were grouped together. Conversely, CD56+CD3− NK cells were consistently increased from 27.8±11.9 to 36.0±14.5% (P=0.001) following treatment with sunitinib (Figs. 1D and S2). In patients who received everolimus or temsirolimus, no significant differences in the frequencies of CD3+ T cells, CD19+ B cells, CD14+ monocytes or CD56+CD3− NK cells were seen after 4 weeks of treatment in all patients as a group. The frequencies of CD4+ and CD8+ T cells were not changed by any of these molecular targeted agents (Fig. 1E and F).

Figure 1

Effects of treatment of patients with RCC with molecular targeted agents on the distribution of immune cells in PBMCs. The effects of treatment with sunitinib, everolimus or temsirolimus on PBMCs were examined by flow cytometry. Percentages of (A) CD3+ T cells, (B) CD19+ B cells, (C) CD14+ monocytes, (D) CD56+CD3− NK cells, (E) CD4+CD3+ T cells and (F) CD8+CD3+ T cells in PBMCs before treatment (0 week) and after 4 weeks of treatment in each individual case are shown. NK, natural killer; PBMCs, peripheral blood mononuclear cells.

Effects of molecular targeted agents on T cell phenotypes

To determine the phenotypes of T cells, PBMCs were stained for CD3, CD4, CD8, CCR7 and CD45RA (Figs. 2 and S3). Naïve, effector memory, central memory and terminal effector memory T cells were defined as CCR7+CD45RA+, CCR7+CD45RA−, CCR7−CD45RA− and CCR7−CD45RA+, respectively. The results revealed that none of the three drugs affected these memory markers.

Figure 2

Effects of treatment with molecular targeted agents on T-cell phenotypes. The percentages of (A) naïve CD4+, (B) naïve CD8+, (C) effector memory CD4+, (D) effector memory CD8+, (E) central memory CD4+, (F) central memory CD8+, (G) terminal effector memory CD4+ and (H) terminal effector memory CD8+ T cells were determined in patients' peripheral blood mononuclear cells. Percentages of T cells with each phenotype in patients treated with sunitinib, everolimus or temsirolimus before treatment (0 week) and after 4 weeks of treatment in each individual case are shown.

This study also examined the expression of inhibitory receptors and activation markers on CD4+ and CD8+ T cells (Figs. 3, 4 and S4). Sunitinib reduced the percentage of LAG-3+CD4+ T cells (Fig. 3E, P=0.044), whereas the expression of other molecules, including PD-1 and TIM-3 was not changed (Fig. 3A and C). Conversely, 4 weeks of treatment with everolimus increased the expression of TIM-3 on CD4+ (P=0.031) and CD8+ T cells (P=0.033; Fig. 3C and D). In addition, everolimus increased NKG2D+CD4+ T cells (P= 0.035) and decreased DNAM1+CD8+ (P= 0.021) and CD95+CD8+ T cells (P= 0.016; Fig. 4A, D and F). Temsirolimus treatment had no effect on the expression of these molecules on CD8+ T cells, with the exception that PD-1+CD8+ T cells decreased from 16.8±6.2% to 12.7±7.4% (P=0.016; Fig. 3B).

Figure 3

Effects of treatment with molecular targeted agents on the expression of checkpoint molecules by CD4+ and CD8+ T cells. The effects of sunitinib, everolimus or temsirolimus on the expression of (A and B) PD-1, (C and D) TIM-3 and (E and F) LAG-3 on (A, C and E) CD4+ and (B, D and F) CD8+ T cells are shown. Percentages of CD4+ or CD8+ T cells expressing checkpoint molecules before treatment (0 week) and after 4 weeks of treatment in each individual case are shown. LAG-3, lymphocyte activation gene 3 protein; PD-1, programmed cell death protein 1; TIM-3, T cell immunoglobulin and mucin protein 3.

Figure 4

Effects of treatment with molecular targeted agents on the expression of activation markers by CD4+ and CD8+ T cells. The effects of sunitinib, evero-limus or temsirolimus on the expression of (A and B) NKG2D, (C and D) DNAM1 and (E and F) CD95 on (A, C and E) CD4+ and (B, D and F) CD8+ T cells are shown. Percentages of CD4+ or CD8+ T cells expressing activation markers before treatment (0 week) and after 4 weeks of treatment in each individual case are shown. DNAM1, DNAX accessory molecule 1.

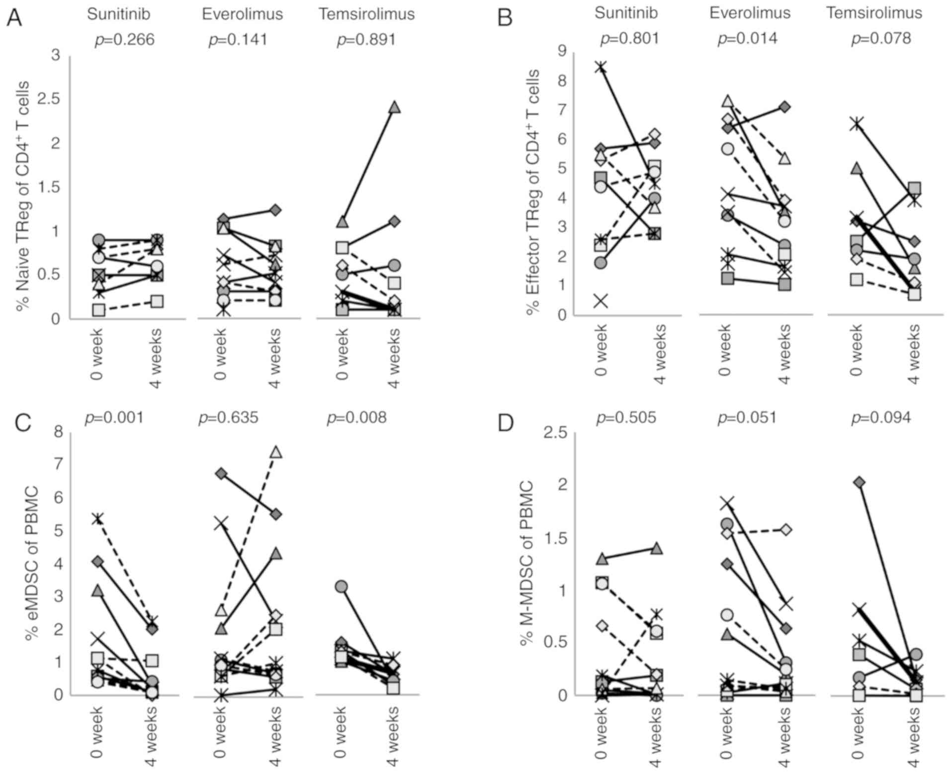
Effects of molecular targeted agents on inhibitory cells

The frequencies of regulatory T (TReg) cells and myeloid-derived suppressor cells (MDSCs) in PBMCs were enumerated (Fig. 5). TReg cells were subdivided into two populations: CD45RA+FOXP3low naïve TReg cells (Fig. 5A) and CD45RA−FOXPhigh effector TReg cells (Figs. 5B and S5) (25). There were more effector TReg cells than naïve TReg cells in these patients' PBMCs, and their frequencies were not affected by sunitinib. However, effector TReg cells were significantly decreased from 4.36±2.1 to 3.1±1.7% by everolimus (P=0.014) and although not statistically significant, temsirolimus also decreased the percentage of effector TReg cells from 3.2±1.6 to 2.1±1.3% (P=0.078).

Figure 5

Effects of treatment with molecular targeted agents on TReg cells and MDSCs. The effects of sunitinib, everolimus or temsirolimus on (A) naïve TReg cells, (B) effector TReg cells, (C) eMDSCs and (D) M-MDSCs are shown. Data before treatment (0 week) and after 4 weeks of treatment in each individual case are shown. eMDSCs, early-stage MDSCs; M-MDSCs, monocytic MDSCs; MDSCs, myeloid-derived suppressor cells; TReg, regulatory T.

MDSCs can also be subdivided into polymorphonuclear (PMN)-MDSCs, monocytic MDSCs (M-MDSCs) or early-stage MDSCs (eMDSCs) (26) defined as CD14−CD11b+CD15+ (or CD66b+), Lin(CD3/19/20/56)−CD11b+CD14+HLA- DRlow/−CD15−, and Lin−CD14−CD15−HLA-DR−CD33+, respectively (Fig. S6). Since the present study utilized cryo-preserved PBMCs that were isolated by density-gradient centrifugation with Lymphoprep™, most PMN-MDSCs were lost to the study. Therefore, this study primarily evaluated eMDSCs (Fig. 5C) and M-MDSCs (Fig. 5D). Sunitinib reduced the percentage of eMDSCs (P= 0.001), but not M-MDSCs (Figs. 5C and D, and S7). Similarly, temsirolimus reduced the percentage of eMDSCs from 1.5±0.69 to 0.58±0.28% (P=0.008). In contrast, everolimus did not affect either eMDSCs or M-MDSCs.

Effects of molecular targeted agents on senescent T cells

Aging is associated with a decline of the immune system known as immunosenescence, which could influence the efficacy and safety profile of immunotherapy. It is known that immunosenescence is accompanied by an increase in CD28−, KLRG1+, CD152+, CD45RO+ and CD57+ cells; CD28−CD57+KLRG1+CD3+ T cells are defined as immunose-nescent T cells (Fig. S8). This study revealed that 4 weeks of treatment with any of the three agents analyzed had no impact on the percentage of senescent T cells (Fig. 6).

Figure 6

Effects of treatment with molecular targeted agents on senescent T cells. CD28−CD57+KLRG1+CD3+ T cells are defined as immunosenescent. The effects of sunitinib, everolimus or temsirolimus on these immunosenes-cent (A) CD3+ T cells, (B) CD4+ T cells and (C) CD8+ T cells in peripheral blood mononuclear cells were examined by flow cytometry. Percentages of T cells bearing senescence markers before treatment (0 week) and after 4 weeks of treatment in each individual case are shown. KLRG1, killer cell lectin-like receptor subfamily G member 1.

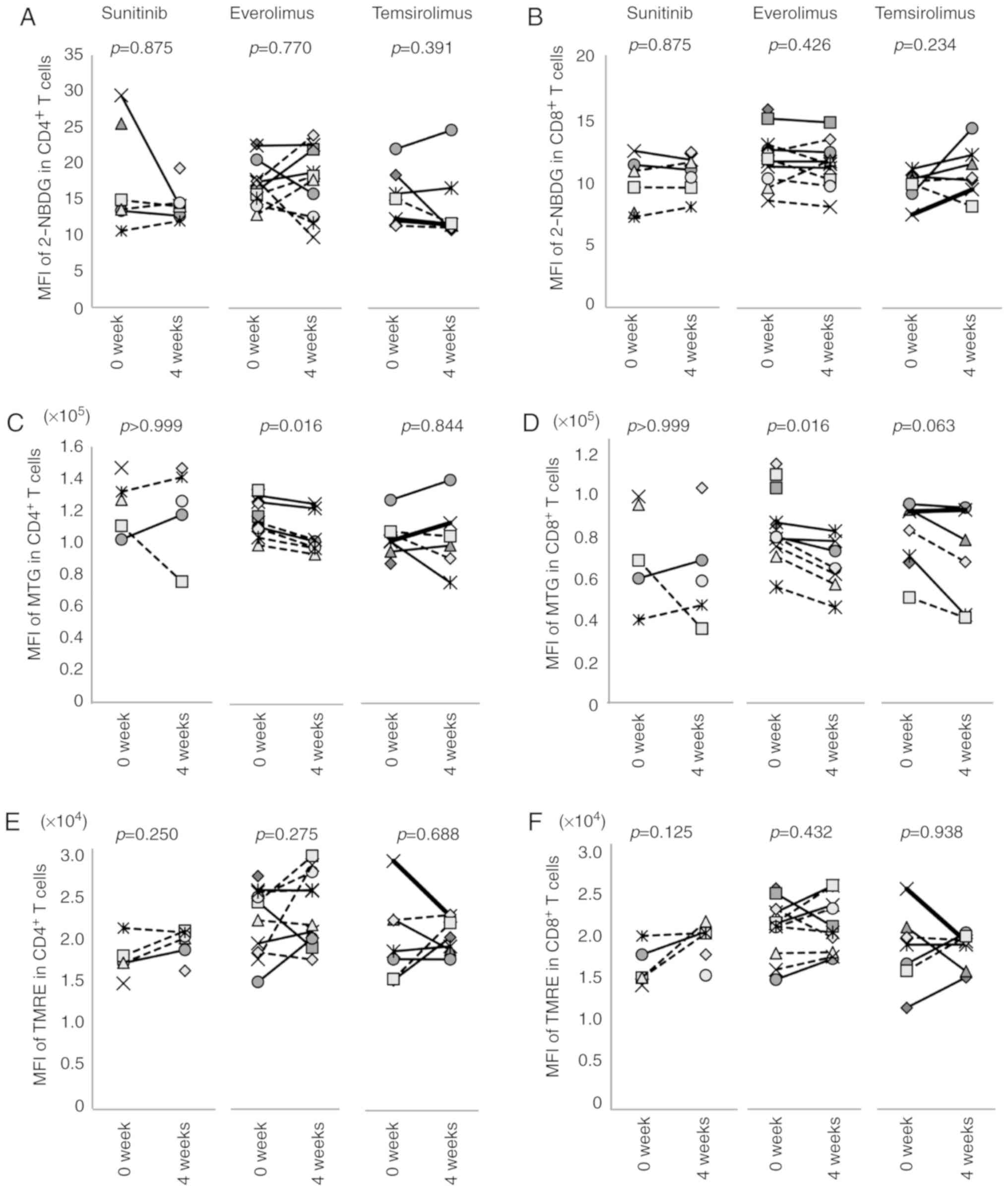
Effects of molecular targeted agents on T-cell metabolism

T-cell phenotypes and functions are closely associated with cellular metabolism. Therefore, this study examined the effect of molecular targeted agents on this variable (Fig. 7). Glucose uptake was evaluated by 2-NBDG incorporation, and mitochondrial mass and membrane potential were determined by MTG and TMRE, respectively (Figs. S9 and S10). Sunitinib and temsirolimus did not affect 2-NBDG uptake by CD4+ or CD8+ T cells (Fig. 7A and B), whereas the effect of everolimus differed substantially between individuals. Thus, the mean fluorescent intensity (MFI) of 2-NBDG in CD4+ or CD8+ T cells was either increased or decreased by the treatment. Sunitinib and temsirolimus did not affect the TMRE or MTG of T cells in any patient; however, everolimus decreased the MFI of MTG from 117,194±10,626 to 106,488±11,724 (P=0.016) in CD4+ T cells (Fig. 7C) and from 82,767±16,244 to 64,020±11,349 (P=0.016) in CD8+ T cells (Fig. 7D), with no effect on TMRE (Fig. 7E and F).

Figure 7

Effects of treatment with molecular targeted agents on T-cell metabolism. The effects of sunitinib, everolimus or temsirolimus on the uptake of (A and B) 2-NBDG, (C and D) MTG staining and (E and F) TMRE staining of (A, C and E) CD4+ and (B, D and F) CD8+ T cells are shown. MFI before treatment (0 week) and after 4 weeks of treatment in each individual case is indicated. 2-NBDG, 2-deoxy-2-[(7-nitro-2,1,3-benzoxadiazol-4-yl) amino]-D-glucose; MFI, mean fluorescence intensity; MTG, MitoTracker Green; TMRE, tetramethylrhodamine, ethyl ester.

Effects of molecular targeted agents on T-cell functionality

T-cell functionality was evaluated by intracellular cytokine staining for the production of IFN-γ, TNF-α and IL-2 following stimulation with PMA and ionomycin (Figs. S11-S13). The results revealed that the percentages of CD4+ T cells producing these cytokines were not changed following treatment of patients with sunitinib or temsirolimus (Fig. 8A, C and E). In everolimus-treated patients, the percentage of IL-2-producing CD4+ T cells was slightly decreased from 43.6±12.6 to 39.2±12.7 after 4 weeks (P=0.026), whereas the frequencies of IFN-γ- or TNF-α-producing CD4+ T cells were not changed (Fig. 8C and E).

Figure 8

Effects of treatment with molecular targeted agents on cytokine-producing T cells. The effects of sunitinib, everolimus, and temsirolimus on (A and B) IL-2-, (C and D) IFN-γ- and (E and F) TNF-α producing (A, C and E) CD4+ and (B, D and F) CD8+ T cells were established by intracellular cytokine staining. Percentages of cytokine producing CD4+ or CD8+ T cells before treatment (0 week) and after 4 weeks of treatment in each individual case are indicated. IFN-γ, interferon-γ; TNF-α, tumor necrosis factor-α.

All three drugs had a greater impact on CD8+ T cells than CD4+ T cells. The frequency of IL-2-producing CD8+ T cells was decreased by sunitinib from a pretreatment level of 20.0±8.9 to 15.1±7.8% after 4 weeks (P=0.002) (Fig. 8B). However, IFN-γ or TNF-α single-producer CD8+ T cells (Fig. 8D and F), and IFN-γ and TNF-α double-producers (Fig. 9D and F) were not affected. In everolimus-treated patients, the percentages of IFN-γ-producing CD8+ T cells were significantly reduced from 63.6±18.5 to 59.4±19.6% (P=0.021), and the percentages of IL-2- and TNF-α-producing CD8+ T cells were decreased from 23.1±10.9 to 20.9±9.6% (P=0.129) and from 67.8±18.1 to 63.2±19.8% (P=0.052), respectively (Fig. 8B, D and F). While frequencies of IFN-γ and TNF-α double-producers were not changed (Fig. 9D and F), the percentage of dysfunctional CD8+ T cells that could not produce any of these three cytokines was increased from 22.0±15.2 to 26.4±16.6% (P=0.012) (Fig. 9J), suggesting that everolimus treatment has some immunosuppressive activity on CD8+ T cells. Conversely, temsirolimus treatment increased the percentage of cytokine-producing CD8+ T cells. Although not statistically significant, differences between pretreatment and 4 week samples for single cytokine producers were altered, and the percentage of IFN-γ and TNF-α double-producers was increased from 45.7±19.6 to 59.2±16.1% by temsirolimus treatment (P=0.023) (Fig. 9D and F). Reciprocally, albeit not significantly, the percentage of dysfunctional CD8+ T cells that could not produce any of these three cytokines was decreased from 20.7±10.9 to 12.6±0.11% (P=0.109) (Fig. 9J). These results suggested that temsirolimus may have a positive impact on cytokine production of CD8+ T cells.

Figure 9

Effects of treatment with molecular targeted agents on polyfunctional T cells. The effects of sunitinib, everolimus or temsirolimus on polyfunc-tionality of (A, C, E, G and I) CD4+ and (B, D, F, H and J) CD8+ T cells were examined by intracellular cytokine staining. Production of IL-2, IFN-γ and TNF-α were simultaneously evaluated. T cells positive for one or more of these three cytokines were recognized as (A and B) single cytokine producers or (C and D) double cytokine producers. (E and F) T cells positive for IFN-γ and TNF-α but negative for IL-2 were present. (G and H) Triple cytokine producers and (I and J) dysfunctional T cells that could not produce any of these three cytokines were also detected. Percentages of CD4+ and CD8+ cytokine-producing T cells before treatment (0 week) and after 4 weeks of treatment in each individual case are indicated. IFN-γ, interferon-γ; TNF-α, tumor necrosis factor-α.

Discussion

This study performed flow cytometric immunophenotyping and assessed the functionality of PBMCs from patients with RCC receiving the molecular targeted agents sunitinib, everolimus or temsirolimus, in order to assess the immunological impact of these drugs. It was revealed that these molecular targeted agents had different effects on the distribution and functionality of numerous immune cells in the peripheral blood.

The therapeutic landscape of advanced RCC has totally changed since nivolumab was approved by the United States Food and Drug Administration in 2015 as second-line therapy for mRCC (16), and the combination of nivolumab plus ipili-mumab was approved as first-line therapy for intermediate and poor-risk patients (17). In addition, pembrolizumab plus axitinib has been revealed to be superior to sunitinib in first-line management of mRCC, regardless of the risk groups, with an acceptable safety profile (18). The Javelin Renal-101 trial revealed the PD-L1 blocker avelumab plus axitinib to be more efficacious than sunitinib (27). Furthermore, the IMmotion151 trial demonstrated that atezolizumab plus bevacizumab prolonged progression-free survival compared with sunitinib with a favourable safety profile (28). Ongoing phase III trials aim to investigate the combination of nivolumab plus cabozantinib compared to sunitinib (Checkmate-9ER, NCT01984242), and pembrolizumab plus lenvatinib compared to lenvatinib plus everolimus or sunitinib (Clear, NCT02811861). Thus, a large number of trials are testing the combination of immune checkpoint inhibitors and other molecular targeted agents.

For establishing effective combination immunotherapy for mRCC, it is important to understand the immunological properties of molecular targeted therapy. The mode of action of molecular targeted agents is to inhibit oncogenic activation of several processes required for the growth, survival and proliferation of cancer cells. They are used in the clinical setting in cancer therapy, and in the case of mTOR inhibitors also for immunosuppression. However, the effects of molecular targeted agents on the immune system may be more complex than previously thought. A variety of immune cell populations infiltrate into the tumor and contribute to the complexity of the tumor microenvironment, which can either promote or limit tumor progression and result in anti- or pro-tumor immunity (29,30). Therefore, understanding the effects of molecular targeted agents on overall immune responsiveness in vivo is important. Because current checkpoint blockade therapies depend on the invigoration of pre-existing anti-tumor T cells (31), this study focused particularly on the distribution of T-cell subsets and their functions in patients with RCC, particularly during early treatment, to determine the effects of several molecular targeted agents.

As summarized in Table II, sunitinib treatment decreased the percentage of eMDSCs and increased NK cells; suni-tinib did not affect the phenotypes and effector function of CD4+ and CD8+ T cells. Everolimus decreased effector TReg cells. However, it also decreased IL-2-producing CD4+ T cells and increased the percentage of dysfunctional CD8+ T cells. In contrast, temsirolimus decreased the percentage of PD-1+CD8+ T cells and eMDSCs; the percentage of IFN-γ and TNF-α double-producers was increased and the percentage of dysfunctional CD8+ T cells was decreased. Although everolimus and temsirolimus are both mTOR inhibitors, they behaved as a potential immunosuppressor and immunostimulator, respectively. The underlying molecular mechanisms responsible for these different immunological effects are not clear, and several other differences between these two drugs were observed. In addition, everolimus increased the expression of TIM-3 on CD4+ and CD8+ T cells, and also affected 2-NBDG uptake and the MFI of MTG. These results suggested that everolimus has more direct effects on T cells than temsirolimus and that it may predominantly suppress effector functions.

Table II

Immunological effects of treatment of patients with renal cell carcinoma with molecular targeted drugs on peripheral blood mononuclear cells.

Table II

Immunological effects of treatment of patients with renal cell carcinoma with molecular targeted drugs on peripheral blood mononuclear cells.

TreatmentNKTIM-3+ CD4+LAG-3+ CD4+PD-1+ CD8+TIM-3+ CD8+ eTRegeMDSCM-MDSC 2-NBDG+TTMRE+ TMTG+ TIL-2+ CD4+ TIL-2+ CD8+ TIFN-γ+ CD8+ TTNF-α+ CD8+ TIFN-γ+ TNF-α+ CD8+ TDysfunctional CD8+ T
Sunitinib↑→↓→→→↓→→→→→↓→→→→
Everolimus→↑→→↑↓→→→→↓↓→↓→→↑
Temsirolimus→→→↓→↓→⇅→→→↘→↘↑↘

[i] ↑, increased; →, no change; ↓, decreased; ↘, slightly decreased; ↑↓, increased or decreased depending on the case. 2-NBDG, 2-[N-(7-Nitrobenz-2-oxa-1,3-diazol-4-yl)amino]-2-deoxy-D-glucose; eMDSC, early-stage MDSC; eTReg, effector regulatory T; IFN-γ, interferon-γ; LAG-3, lymphocyte activation gene 3 protein; M-MDSC, monocytic MDSC; MDSC, myeloid-derived suppressor cell; MTG, MitoTracker Green; NK, natural killer; PD-1, programmed cell death protein 1; TIM-3, T cell immunoglobulin and mucin protein 3; TMRE, tetramethylrhodamine, ethyl ester; TNF-α, tumor necrosis factor-α.

It has been reported that sunitinib and sorafenib may inhibit T-cell activation, proliferation and cytokine production (32,33). On the other hand, it has been suggested that sunitinib reduces TReg cells (34) and MDSCs (35); and may therefore potentiate antitumor immune responses (36). This study observed decreasing percentages of eMDSCs in response to sunitinib treatment; however, the overall T-cell response was not affected by 4 weeks of sunitinib treatment.

The expansion of TReg cells has been reported in patients with mRCC treated with everolimus (37,38), which induced an overall increased level of immunosuppression via an increase in TReg cells and MDSCs (38,39). In the present study, no increase was observed in TReg cells, but an increase in dysfunctional CD8+ T cells was detected in everolimus-treated patients. This may be at least partly because the mTOR pathway is directly involved in the control of T-cell proliferation and functions, and immune signals are integrated with cellular metabolism by mTOR signaling (40).

mTOR signaling is also associated with CD8+ T cell differentiation programs (41). Activation of mTOR facilitates the differentiation of naïve T cells to activated and effector T cells, whereas its inhibition in effector T cells leads to memory T cell formation (42,43). Therefore, based on T-cell differentiation status, inhibition of mTOR should result in reduced CD8+ effector T-cell numbers and functions, and an increase of memory T cells. Because the differentiation status of peripheral blood T cells varies in different individuals, this may explain the patient-to-patient variations observed in the effects of molecular targeted agents on T-cell immunity.

Immunosenescence, or age-associated changes to adaptive and innate immunity, has been associated with increased susceptibility to infection and cancer (44). Since the response to vaccination is reduced in the elderly, the efficiency of checkpoint blockade may also be associated with immunosenescence. None of the molecular targeted agents examined in the present study affected the frequency of CD28−CD57+KLRG1+ immunosenescent T cells in PBMC. However, temsirolimus decreased PD-1+CD8+ T cells and enhanced cytokine production. This is consistent with a previous study. which reported that the mTOR inhibitor RAD001 decreased the percentage of PD-1+CD4+ and CD8+ T cells, and improved the response to influenza vaccination (45). The low-grade inflammation observed in elderly people and continuous antigenic stimulation by chronic infection or cancer results in a slight activation of mTOR that can be ameliorated by mTOR inhibitors. Unlike everolimus, overall responses in temsirolimus-treated patients were more immunostimulatory, which may contribute to enhanced immune function and improve the quality of T-cell responses. Therefore, temsirolimus might be a good candidate for combination with other immunomodulators. Notably, a combination of temsirolimus with a CCR4 antagonist targeting this receptor that is highly expressed on TReg cells, together with cancer vaccination, has been reported to be more effective in amplifying functional tumor-specific CD8+ T cells than monotherapy alone (46).

There are several limitations to the present study. Firstly, the sample size was small. Secondly, sunitinib is approved as a first-line option, whereas the mTOR inhibitors everolimus and temsirolimus are approved in the second-line setting and only in the first-line setting for patients with high-risk status (12,13). Therefore, baseline immunological conditions might have differed in the patients receiving these different agents. Nonetheless, the data obtained in the present study derive from real-world patients with RCC. They include comprehensive immunomonitoring that covers phenotype, function and metabolism, and this should be valuable for further comparisons. Thirdly, only the immune monitoring of patients' PBMCs was conducted; the changes in PBMC do not necessarily reflect changes in tumor tissue. The phenotypes and functions of tumor-infiltrating lymphocytes and PBMCs have been reported to differ in patients with RCC (47). However, tumor biopsies are generally costly, invasive, cause treatment delays and increase the risk of adverse events. The analysis of readily accessible peripheral blood is preferred for developing biomarkers with clinical utility. In fact, numerous studies provide compelling evidence that subtypes and status of PBMCs are associated with responses to immunotherapy (48).

In conclusion, different immunological effects of the molecular targeted agents sunitinib, everolimus and temsirolimus were observed in patients with RCC. Everolimus tended towards suppression of T-cell functions, whereas temsirolimus increased T-cell functionality. Although it may increase the risk of immune-related toxicity, it may be proposed that temsirolimus combined with checkpoint blockade will result in enhanced activity of cancer immunotherapy.

Supplementary Data

Funding

This work was conducted with the institutional support of RIKEN (grant no. 177100000958).

Availability of data and materials

The datasets used and/or analyzed during the current study are available from the corresponding author on reasonable request.

Authors' contributions

YK, AH, KN, TKar and HM analyzed and interpreted the flow cytometry data. DY, TKaw, YS, TT, YY, MN, MS, AM, TN and HK recruited patients, collected samples and interpreted the data regarding RCC. KK conceived and designed the study, analyzed and interpreted the data, and wrote and revised the paper. All authors read and approved the final manuscript.

Ethics approval and consent to participate

This clinical study on the immunological impact of molecular targeted agents in patients with RCC was conducted at The University of Tokyo Hospital. All procedures in this study were performed following the ethical standards of the institutions, and in conformity with the 1964 Helsinki declaration and its later amendments or comparable ethical standards. The research protocol was approved by the Ethical Committee of The University of Tokyo (approval no. #3652). Written informed consent to participate in the study was obtained from each patient before they entered the study.

Patient consent for publication

Written informed consent was obtained from each patient before they entered the study.

Competing interests

The authors declare that have no competing interests.

Acknowledgments

The authors would like to thank Mr. Kosuke Odaira and Ms. Nao Fujieda for their excellent technical assistance.

References

1 

Hsieh JJ, Purdue MP, Signoretti S, Swanton C, Albiges L, Schmidinger M, Heng DY, Larkin J and Ficarra V: Renal cell carcinoma. Nat Rev Dis Primers. 3:170092017. View Article : Google Scholar : PubMed/NCBI

2 

Siegel RL, Miller KD and Jemal A: Cancer statistics, 2019. CA Cancer J Clin. 69:7–34. 2019. View Article : Google Scholar : PubMed/NCBI

3 

Moch H, Cubilla AL, Humphrey PA, Reuter VE and Ulbright TM: The 2016 WHO classification of tumours of the urinary system and male genital organs-Part A: Renal, penile, and testicular tumours. Eur Urol. 70:93–105. 2016. View Article : Google Scholar : PubMed/NCBI

4 

Lam JS, Shvarts O, Leppert JT, Pantuck AJ, Figlin RA and Belldegrun AS: Postoperative surveillance protocol for patients with localized and locally advanced renal cell carcinoma based on a validated prognostic nomogram and risk group stratification system. J Urol. 174:466–472. 2005. View Article : Google Scholar : PubMed/NCBI

5 

Gupta K, Miller JD, Li JZ, Russell MW and Charbonneau C: Epidemiologic and socioeconomic burden of metastatic renal cell carcinoma (mRCC): A literature review. Cancer Treat Rev. 34:193–205. 2008. View Article : Google Scholar : PubMed/NCBI

6 

McDermott DF, Regan MM, Clark JI, Flaherty LE, Weiss GR, Logan TF, Kirkwood JM, Gordon MS, Sosman JA, Ernstoff MS, et al: Randomized phase III trial of high-dose interleukin-2 versus subcutaneous interleukin-2 and interferon in patients with metastatic renal cell carcinoma. J Clin Oncol. 23:133–141. 2005. View Article : Google Scholar

7 

Motzer RJ, Hutson TE, Tomczak P, Michaelson MD, Bukowski RM, Rixe O, Oudard S, Negrier S, Szczylik C, Kim ST, et al: Sunitinib versus interferon alfa in metastatic renal-cell carcinoma. N Engl J Med. 356:115–124. 2007. View Article : Google Scholar : PubMed/NCBI

8 

Escudier B, Eisen T, Stadler WM, Szczylik C, Oudard S, Siebels M, Negrier S, Chevreau C, Solska E, Desai AA, et al: Sorafenib in advanced clear-cell renal-cell carcinoma. N Engl J Med. 356:125–134. 2007. View Article : Google Scholar : PubMed/NCBI

9 

Motzer RJ, McCann L and Deen K: Pazopanib versus sunitinib in renal cancer. N Engl J Med. 369:19702013. View Article : Google Scholar : PubMed/NCBI

10 

Rini BI, Escudier B, Tomczak P, Kaprin A, Szczylik C, Hutson TE, Michaelson MD, Gorbunova VA, Gore ME, Rusakov IG, et al: Comparative effectiveness of axitinib versus sorafenib in advanced renal cell carcinoma (AXIS): A randomised phase 3 trial. Lancet. 378:1931–1939. 2011. View Article : Google Scholar : PubMed/NCBI

11 

Escudier B, Pluzanska A, Koralewski P, Ravaud A, Bracarda S, Szczylik C, Chevreau C, Filipek M, Melichar B, Bajetta E, et al: Bevacizumab plus interferon alfa-2a for treatment of metastatic renal cell carcinoma: A randomised, double-blind phase III trial. Lancet. 370:2103–2111. 2007. View Article : Google Scholar : PubMed/NCBI

12 

Motzer RJ, Escudier B, Oudard S, Hutson TE, Porta C, Bracarda S, Grünwald V, Thompson JA, Figlin RA, Hollaender N, et al: Efficacy of everolimus in advanced renal cell carcinoma: A double-blind, randomised, placebo-controlled phase III trial. Lancet. 372:449–456. 2008. View Article : Google Scholar : PubMed/NCBI

13 

Hudes G, Carducci M, Tomczak P, et al: Temsirolimus, interferon alfa, or both for advanced renal-cell carcinoma. N Engl J Med. 356:2271–2281. 2007. View Article : Google Scholar : PubMed/NCBI

14 

Choueiri TK, Escudier B, Powles T, Mainwaring PN, Rini BI, Donskov F, Hammers H, Hutson TE, Lee JL, Peltola K, et al: Cabozantinib versus everolimus in advanced renal-cell carcinoma. N Engl J Med. 373:1814–1823. 2015. View Article : Google Scholar : PubMed/NCBI

15 

Motzer RJ, Hutson TE, Glen H, Michaelson MD, Molina A, Eisen T, Jassem J, Zolnierek J, Maroto JP, Mellado B, et al: Lenvatinib, everolimus, and the combination in patients with metastatic renal cell carcinoma: A randomised, phase 2, open-label, multicentre trial. Lancet Oncol. 16:1473–1482. 2015. View Article : Google Scholar : PubMed/NCBI

16 

Motzer RJ, Escudier B, McDermott DF, George S, Hammers HJ, Srinivas S, Tykodi SS, Sosman JA, Procopio G, Plimack ER, et al: Nivolumab versus everolimus in advanced renal-cell carcinoma. N Engl J Med. 373:1803–1813. 2015. View Article : Google Scholar : PubMed/NCBI

17 

Motzer RJ, Tannir NM, McDermott DF, Arén Frontera O, Melichar B, Choueiri TK, Plimack ER, Barthélémy P, Porta C, George S, et al: Nivolumab plus ipilimumab versus sunitinib in advanced renal-cell carcinoma. N Engl J Med. 378:1277–1290. 2018. View Article : Google Scholar : PubMed/NCBI

18 

Rini BI, Plimack ER, Stus V, Gafanov R, Hawkins R, Nosov D, Pouliot F, Alekseev B, Soulières D, Melichar B, et al: Pembrolizumab plus axitinib versus sunitinib for advanced renal-cell carcinoma. N Engl J Med. 380:1116–1127. 2019. View Article : Google Scholar : PubMed/NCBI

19 

Jonasch E: NCCN guidelines updates: Management of metastatic kidney cancer. J Natl Compr Canc Netw. 17:587–589. 2019.PubMed/NCBI

20 

Albiges L, Powles T, Staehler M, Bensalah K, Giles RH, Hora M, Kuczyk MA, Lam TB, Ljungberg B, Marconi L, et al: Updated european association of urology guidelines on renal cell carcinoma: Immune checkpoint inhibition is the new backbone in first-line treatment of metastatic clear-cell renal cell carcinoma. Eur Urol. 76:151–156. 2019. View Article : Google Scholar : PubMed/NCBI

21 

Fuca G, de Braud F and Di Nicola M: Immunotherapy-based combinations: An update. Curr Opin Oncol. 30:345–351. 2018. View Article : Google Scholar : PubMed/NCBI

22 

O'Neill LA, Kishton RJ and Rathmell J: A guide to immunome-tabolism for immunologists. Nat Rev Immunol. 16:553–565. 2016. View Article : Google Scholar : PubMed/NCBI

23 

O'Donnell JS, Massi D, Teng MWL and Mandala M: PI3K-AKT-mTOR inhibition in cancer immunotherapy, redux. Semin Cancer Biol. 48:91–103. 2018. View Article : Google Scholar

24 

Motzer RJ, Bacik J, Murphy BA, Russo P and Mazumdar M: Interferon-alfa as a comparative treatment for clinical trials of new therapies against advanced renal cell carcinoma. J Clin Oncol. 20:289–296. 2002. View Article : Google Scholar : PubMed/NCBI

25 

Sakaguchi S, Miyara M, Costantino CM and Hafler DA: FOXP3+ regulatory T cells in the human immune system. Nat Rev Immunol. 10:490–500. 2010. View Article : Google Scholar : PubMed/NCBI

26 

Bronte V, Brandau S, Chen SH, Colombo MP, Frey AB, Greten TF, Mandruzzato S, Murray PJ, Ochoa A, Ostrand-Rosenberg S, et al: Recommendations for myeloid-derived suppressor cell nomenclature and characterization standards. Nat Commun. 7:121502016. View Article : Google Scholar : PubMed/NCBI

27 

Motzer RJ, Penkov K, Haanen J, Rini B, Albiges L, Campbell MT, Venugopal B, Kollmannsberger C, Negrier S, Uemura M, et al: Avelumab plus axitinib versus sunitinib for advanced renal-cell carcinoma. N Engl J Med. 380:1103–1115. 2019. View Article : Google Scholar : PubMed/NCBI

28 

Rini BI, Powles T, Atkins MB, Escudier B, McDermott DF, Suarez C, Bracarda S, Stadler WM, Donskov F, Lee JL, et al: Atezolizumab plus bevacizumab versus sunitinib in patients with previously untreated metastatic renal cell carcinoma (IMmotion151): A multicentre, open-label, phase 3, randomised controlled trial. Lancet. 393:2404–2415. 2019. View Article : Google Scholar : PubMed/NCBI

29 

Fridman WH, Pages F, Sautes-Fridman C and Galon J: The immune contexture in human tumours: Impact on clinical outcome. Nat Rev Cancer. 12:298–306. 2012. View Article : Google Scholar : PubMed/NCBI

30 

Kerkar SP and Restifo NP: Cellular constituents of immune escape within the tumor microenvironment. Cancer Res. 72:3125–3130. 2012. View Article : Google Scholar : PubMed/NCBI

31 

Schumacher TN and Schreiber RD: Neoantigens in cancer immunotherapy. Science. 348:69–74. 2015. View Article : Google Scholar : PubMed/NCBI

32 

Zhao W, Gu YH, Song R, Qu BQ and Xu Q: Sorafenib inhibits activation of human peripheral blood T cells by targeting LCK phosphorylation. Leukemia. 22:1226–1233. 2008. View Article : Google Scholar : PubMed/NCBI

33 

Gu Y, Zhao W, Meng F, Qu B, Zhu X, Sun Y, Shu Y and Xu Q: Sunitinib impairs the proliferation and function of human peripheral T cell and prevents T-cell-mediated immune response in mice. Clin Immunol. 135:55–62. 2010. View Article : Google Scholar

34 

Finke JH, Rini B, Ireland J, Rayman P, Richmond A, Golshayan A, Wood L, Elson P, Garcia J, Dreicer R and Bukowski R: Sunitinib reverses type-1 immune suppression and decreases T-regulatory cells in renal cell carcinoma patients. Clin Cancer Res. 14:6674–6682. 2008. View Article : Google Scholar : PubMed/NCBI

35 

Ko JS, Rayman P, Ireland J, Swaidani S, Li G, Bunting KD, Rini B, Finke JH and Cohen PA: Direct and differential suppression of myeloid-derived suppressor cell subsets by sunitinib is compartmentally constrained. Cancer Res. 70:3526–3536. 2010. View Article : Google Scholar : PubMed/NCBI

36 

Adotevi O, Pere H, Ravel P, Haicheur N, Badoual C, Merillon N, Medioni J, Peyrard S, Roncelin S, Verkarre V, et al: A decrease of regulatory T cells correlates with overall survival after sunitinib-based antiangiogenic therapy in metastatic renal cancer patients. J Immunother. 33:991–998. 2010. View Article : Google Scholar : PubMed/NCBI

37 

Huijts CM, Santegoets SJ, van den Eertwegh AJ, Pijpers LS, Haanen JB, de Gruijl TD, Verheul HM and van der Vliet HJ: Phase I-II study of everolimus and low-dose oral cyclophos-phamide in patients with metastatic renal cell cancer. BMC Cancer. 11:5052011. View Article : Google Scholar

38 

Beziaud L, Mansi L, Ravel P, Marie-Joseph EL, Laheurte C, Rangan L, Bonnefoy F, Pallandre JR, Boullerot L, Gamonet C, et al: Rapalogs efficacy relies on the modulation of antitumor T-cell immunity. Cancer Res. 76:4100–4112. 2016. View Article : Google Scholar : PubMed/NCBI

39 

Huijts CM, Santegoets SJ, de Jong TD, Verheul HM, de Gruijl TD and van der Vliet HJ: Immunological effects of everolimus in patients with metastatic renal cell cancer. Int J Immunopathol Pharmacol. 30:341–352. 2017. View Article : Google Scholar : PubMed/NCBI

40 

Powell JD, Pollizzi KN, Heikamp EB and Horton MR: Regulation of immune responses by mTOR. Annu Rev Immunol. 30:39–68. 2012. View Article : Google Scholar

41 

Chi H: Regulation and function of mTOR signalling in T cell fate decisions. Nat Rev Immunol. 12:325–338. 2012. View Article : Google Scholar : PubMed/NCBI

42 

Araki K, Turner AP, Shaffer VO, Gangappa S, Keller SA, Bachmann MF, Larsen CP and Ahmed R: mTOR regulates memory CD8 T-cell differentiation. Nature. 460:108–112. 2009. View Article : Google Scholar : PubMed/NCBI

43 

Rao RR, Li Q, Odunsi K and Shrikant PA: The mTOR kinase determines effector versus memory CD8+ T cell fate by regulating the expression of transcription factors T-bet and Eomesodermin. Immunity. 32:67–78. 2010. View Article : Google Scholar : PubMed/NCBI

44 

Sadighi Akha AA: Aging and the immune system: An overview. J Immunol Methods. 463:21–26. 2018. View Article : Google Scholar : PubMed/NCBI

45 

Mannick JB, Del Giudice G, Lattanzi M, Valiante NM, Praestgaard J, Huang B, Lonetto MA, Maecker HT, Kovarik J, Carson S, et al: mTOR inhibition improves immune function in the elderly. Sci Transl Med. 6:268ra1792014. View Article : Google Scholar : PubMed/NCBI

46 

Beziaud L, Boullerot L, Tran T, Mansi L, Marie-Joseph EL, Ravel P, Johannes L, Bayry J, Tartour E and Adotévi O: Rapalog combined with CCR4 antagonist improves anticancer vaccines efficacy. Int J Cancer. 143:3008–3018. 2018. View Article : Google Scholar : PubMed/NCBI

47 

Kopecký O, Lukesová S, Vroblová V, Vokurková D, Morávek P, Safránek H, Hlávková D and Soucek P: Phenotype analysis of tumour-infiltrating lymphocytes and lymphocytes in peripheral blood in patients with renal carcinoma. Acta Medica (Hradec Kralove). 50:207–212. 2007. View Article : Google Scholar

48 

Nixon AB, Schalper KA, Jacobs I, Potluri S, Wang IM and Fleener C: Peripheral immune-based biomarkers in cancer immunotherapy: Can we realize their predictive potential? J Immunother Cancer. 7:3252019. View Article : Google Scholar : PubMed/NCBI

Related Articles

  • Abstract
  • View
  • Download
  • Twitter
Copy and paste a formatted citation
Spandidos Publications style
Kobayashi Y, Yamada D, Kawai T, Sato Y, Teshima T, Yamada Y, Nakamura M, Suzuki M, Matsumoto A, Nakagawa T, Nakagawa T, et al: Different immunological effects of the molecular targeted agents sunitinib, everolimus and temsirolimus in patients with renal cell carcinoma. Int J Oncol 56: 999-1013, 2020.
APA
Kobayashi, Y., Yamada, D., Kawai, T., Sato, Y., Teshima, T., Yamada, Y. ... Kakimi, K. (2020). Different immunological effects of the molecular targeted agents sunitinib, everolimus and temsirolimus in patients with renal cell carcinoma. International Journal of Oncology, 56, 999-1013. https://doi.org/10.3892/ijo.2020.4975
MLA
Kobayashi, Y., Yamada, D., Kawai, T., Sato, Y., Teshima, T., Yamada, Y., Nakamura, M., Suzuki, M., Matsumoto, A., Nakagawa, T., Hosoi, A., Nagaoka, K., Karasaki, T., Matsushita, H., Kume, H., Kakimi, K."Different immunological effects of the molecular targeted agents sunitinib, everolimus and temsirolimus in patients with renal cell carcinoma". International Journal of Oncology 56.4 (2020): 999-1013.
Chicago
Kobayashi, Y., Yamada, D., Kawai, T., Sato, Y., Teshima, T., Yamada, Y., Nakamura, M., Suzuki, M., Matsumoto, A., Nakagawa, T., Hosoi, A., Nagaoka, K., Karasaki, T., Matsushita, H., Kume, H., Kakimi, K."Different immunological effects of the molecular targeted agents sunitinib, everolimus and temsirolimus in patients with renal cell carcinoma". International Journal of Oncology 56, no. 4 (2020): 999-1013. https://doi.org/10.3892/ijo.2020.4975
Copy and paste a formatted citation
x
Spandidos Publications style
Kobayashi Y, Yamada D, Kawai T, Sato Y, Teshima T, Yamada Y, Nakamura M, Suzuki M, Matsumoto A, Nakagawa T, Nakagawa T, et al: Different immunological effects of the molecular targeted agents sunitinib, everolimus and temsirolimus in patients with renal cell carcinoma. Int J Oncol 56: 999-1013, 2020.
APA
Kobayashi, Y., Yamada, D., Kawai, T., Sato, Y., Teshima, T., Yamada, Y. ... Kakimi, K. (2020). Different immunological effects of the molecular targeted agents sunitinib, everolimus and temsirolimus in patients with renal cell carcinoma. International Journal of Oncology, 56, 999-1013. https://doi.org/10.3892/ijo.2020.4975
MLA
Kobayashi, Y., Yamada, D., Kawai, T., Sato, Y., Teshima, T., Yamada, Y., Nakamura, M., Suzuki, M., Matsumoto, A., Nakagawa, T., Hosoi, A., Nagaoka, K., Karasaki, T., Matsushita, H., Kume, H., Kakimi, K."Different immunological effects of the molecular targeted agents sunitinib, everolimus and temsirolimus in patients with renal cell carcinoma". International Journal of Oncology 56.4 (2020): 999-1013.
Chicago
Kobayashi, Y., Yamada, D., Kawai, T., Sato, Y., Teshima, T., Yamada, Y., Nakamura, M., Suzuki, M., Matsumoto, A., Nakagawa, T., Hosoi, A., Nagaoka, K., Karasaki, T., Matsushita, H., Kume, H., Kakimi, K."Different immunological effects of the molecular targeted agents sunitinib, everolimus and temsirolimus in patients with renal cell carcinoma". International Journal of Oncology 56, no. 4 (2020): 999-1013. https://doi.org/10.3892/ijo.2020.4975
Follow us
  • Twitter
  • LinkedIn
  • Facebook
About
  • Spandidos Publications
  • Careers
  • Cookie Policy
  • Privacy Policy
How can we help?
  • Help
  • Live Chat
  • Contact
  • Email to our Support Team