Spandidos Publications Logo
  • About
    • About Spandidos
    • Aims and Scopes
    • Abstracting and Indexing
    • Editorial Policies
    • Reprints and Permissions
    • Job Opportunities
    • Terms and Conditions
    • Contact
  • Journals
    • All Journals
    • Oncology Letters
      • Oncology Letters
      • Information for Authors
      • Editorial Policies
      • Editorial Board
      • Aims and Scope
      • Abstracting and Indexing
      • Bibliographic Information
      • Archive
    • International Journal of Oncology
      • International Journal of Oncology
      • Information for Authors
      • Editorial Policies
      • Editorial Board
      • Aims and Scope
      • Abstracting and Indexing
      • Bibliographic Information
      • Archive
    • Molecular and Clinical Oncology
      • Molecular and Clinical Oncology
      • Information for Authors
      • Editorial Policies
      • Editorial Board
      • Aims and Scope
      • Abstracting and Indexing
      • Bibliographic Information
      • Archive
    • Experimental and Therapeutic Medicine
      • Experimental and Therapeutic Medicine
      • Information for Authors
      • Editorial Policies
      • Editorial Board
      • Aims and Scope
      • Abstracting and Indexing
      • Bibliographic Information
      • Archive
    • International Journal of Molecular Medicine
      • International Journal of Molecular Medicine
      • Information for Authors
      • Editorial Policies
      • Editorial Board
      • Aims and Scope
      • Abstracting and Indexing
      • Bibliographic Information
      • Archive
    • Biomedical Reports
      • Biomedical Reports
      • Information for Authors
      • Editorial Policies
      • Editorial Board
      • Aims and Scope
      • Abstracting and Indexing
      • Bibliographic Information
      • Archive
    • Oncology Reports
      • Oncology Reports
      • Information for Authors
      • Editorial Policies
      • Editorial Board
      • Aims and Scope
      • Abstracting and Indexing
      • Bibliographic Information
      • Archive
    • Molecular Medicine Reports
      • Molecular Medicine Reports
      • Information for Authors
      • Editorial Policies
      • Editorial Board
      • Aims and Scope
      • Abstracting and Indexing
      • Bibliographic Information
      • Archive
    • World Academy of Sciences Journal
      • World Academy of Sciences Journal
      • Information for Authors
      • Editorial Policies
      • Editorial Board
      • Aims and Scope
      • Abstracting and Indexing
      • Bibliographic Information
      • Archive
    • International Journal of Functional Nutrition
      • International Journal of Functional Nutrition
      • Information for Authors
      • Editorial Policies
      • Editorial Board
      • Aims and Scope
      • Abstracting and Indexing
      • Bibliographic Information
      • Archive
    • International Journal of Epigenetics
      • International Journal of Epigenetics
      • Information for Authors
      • Editorial Policies
      • Editorial Board
      • Aims and Scope
      • Abstracting and Indexing
      • Bibliographic Information
      • Archive
    • Medicine International
      • Medicine International
      • Information for Authors
      • Editorial Policies
      • Editorial Board
      • Aims and Scope
      • Abstracting and Indexing
      • Bibliographic Information
      • Archive
  • Articles
  • Information
    • Information for Authors
    • Information for Reviewers
    • Information for Librarians
    • Information for Advertisers
    • Conferences
  • Language Editing
Spandidos Publications Logo
  • About
    • About Spandidos
    • Aims and Scopes
    • Abstracting and Indexing
    • Editorial Policies
    • Reprints and Permissions
    • Job Opportunities
    • Terms and Conditions
    • Contact
  • Journals
    • All Journals
    • Biomedical Reports
      • Information for Authors
      • Editorial Policies
      • Editorial Board
      • Aims and Scope
      • Abstracting and Indexing
      • Bibliographic Information
      • Archive
    • Experimental and Therapeutic Medicine
      • Information for Authors
      • Editorial Policies
      • Editorial Board
      • Aims and Scope
      • Abstracting and Indexing
      • Bibliographic Information
      • Archive
    • International Journal of Epigenetics
      • Information for Authors
      • Editorial Policies
      • Editorial Board
      • Aims and Scope
      • Abstracting and Indexing
      • Bibliographic Information
      • Archive
    • International Journal of Functional Nutrition
      • Information for Authors
      • Editorial Policies
      • Editorial Board
      • Aims and Scope
      • Abstracting and Indexing
      • Bibliographic Information
      • Archive
    • International Journal of Molecular Medicine
      • Information for Authors
      • Editorial Policies
      • Editorial Board
      • Aims and Scope
      • Abstracting and Indexing
      • Bibliographic Information
      • Archive
    • International Journal of Oncology
      • Information for Authors
      • Editorial Policies
      • Editorial Board
      • Aims and Scope
      • Abstracting and Indexing
      • Bibliographic Information
      • Archive
    • Medicine International
      • Information for Authors
      • Editorial Policies
      • Editorial Board
      • Aims and Scope
      • Abstracting and Indexing
      • Bibliographic Information
      • Archive
    • Molecular and Clinical Oncology
      • Information for Authors
      • Editorial Policies
      • Editorial Board
      • Aims and Scope
      • Abstracting and Indexing
      • Bibliographic Information
      • Archive
    • Molecular Medicine Reports
      • Information for Authors
      • Editorial Policies
      • Editorial Board
      • Aims and Scope
      • Abstracting and Indexing
      • Bibliographic Information
      • Archive
    • Oncology Letters
      • Information for Authors
      • Editorial Policies
      • Editorial Board
      • Aims and Scope
      • Abstracting and Indexing
      • Bibliographic Information
      • Archive
    • Oncology Reports
      • Information for Authors
      • Editorial Policies
      • Editorial Board
      • Aims and Scope
      • Abstracting and Indexing
      • Bibliographic Information
      • Archive
    • World Academy of Sciences Journal
      • Information for Authors
      • Editorial Policies
      • Editorial Board
      • Aims and Scope
      • Abstracting and Indexing
      • Bibliographic Information
      • Archive
  • Articles
  • Information
    • For Authors
    • For Reviewers
    • For Librarians
    • For Advertisers
    • Conferences
  • Language Editing
Login Register Submit
  • This site uses cookies
  • You can change your cookie settings at any time by following the instructions in our Cookie Policy. To find out more, you may read our Privacy Policy.

    I agree
Search articles by DOI, keyword, author or affiliation
Search
Advanced Search
presentation
International Journal of Oncology
Join Editorial Board Propose a Special Issue
Print ISSN: 1019-6439 Online ISSN: 1791-2423
Journal Cover
June-2023 Volume 62 Issue 6

Full Size Image

Cover Legend PDF

Sign up for eToc alerts
Recommend to Library

Journals

International Journal of Molecular Medicine

International Journal of Molecular Medicine

International Journal of Molecular Medicine is an international journal devoted to molecular mechanisms of human disease.

International Journal of Oncology

International Journal of Oncology

International Journal of Oncology is an international journal devoted to oncology research and cancer treatment.

Molecular Medicine Reports

Molecular Medicine Reports

Covers molecular medicine topics such as pharmacology, pathology, genetics, neuroscience, infectious diseases, molecular cardiology, and molecular surgery.

Oncology Reports

Oncology Reports

Oncology Reports is an international journal devoted to fundamental and applied research in Oncology.

Experimental and Therapeutic Medicine

Experimental and Therapeutic Medicine

Experimental and Therapeutic Medicine is an international journal devoted to laboratory and clinical medicine.

Oncology Letters

Oncology Letters

Oncology Letters is an international journal devoted to Experimental and Clinical Oncology.

Biomedical Reports

Biomedical Reports

Explores a wide range of biological and medical fields, including pharmacology, genetics, microbiology, neuroscience, and molecular cardiology.

Molecular and Clinical Oncology

Molecular and Clinical Oncology

International journal addressing all aspects of oncology research, from tumorigenesis and oncogenes to chemotherapy and metastasis.

World Academy of Sciences Journal

World Academy of Sciences Journal

Multidisciplinary open-access journal spanning biochemistry, genetics, neuroscience, environmental health, and synthetic biology.

International Journal of Functional Nutrition

International Journal of Functional Nutrition

Open-access journal combining biochemistry, pharmacology, immunology, and genetics to advance health through functional nutrition.

International Journal of Epigenetics

International Journal of Epigenetics

Publishes open-access research on using epigenetics to advance understanding and treatment of human disease.

Medicine International

Medicine International

An International Open Access Journal Devoted to General Medicine.

Journal Cover
June-2023 Volume 62 Issue 6

Full Size Image

Cover Legend PDF

Sign up for eToc alerts
Recommend to Library

  • Article
  • Citations
    • Cite This Article
    • Download Citation
    • Create Citation Alert
    • Remove Citation Alert
    • Cited By
  • Similar Articles
    • Related Articles (in Spandidos Publications)
    • Similar Articles (Google Scholar)
    • Similar Articles (PubMed)
  • Download PDF
  • Download XML
  • View XML
Review Open Access

Human leukocyte antigen and tumor immunotherapy (Review)

  • Authors:
    • Da-Hua Liu
    • Fei-Fei Mou
    • Min An
    • Pu Xia
  • View Affiliations / Copyright

    Affiliations: Biological Anthropology Institute, College of Basic Medical Science, Jinzhou Medical University, Jinzhou, Liaoning 121001, P.R. China, Department of Nursing, Shijiazhuang Medical College, Shijiazhuang, Hebei 050599, P.R. China, Department of Cardiology, Jinzhou Central Hospital, Jinzhou, Liaoning, 121001, P.R. China
    Copyright: © Liu et al. This is an open access article distributed under the terms of Creative Commons Attribution License.
  • Article Number: 68
    |
    Published online on: April 26, 2023
       https://doi.org/10.3892/ijo.2023.5516
  • Expand metrics +
Metrics: Total Views: 0 (Spandidos Publications: | PMC Statistics: )
Metrics: Total PDF Downloads: 0 (Spandidos Publications: | PMC Statistics: )
Cited By (CrossRef): 0 citations Loading Articles...

This article is mentioned in:



Abstract

Malignant tumors seriously endanger human health and life, and restrict economic development. Human leukocyte antigen (HLA) is the expression product of the human major histocompatibility complex, which, at present, is the most complex known polymorphic system. The polymorphism and expression of HLA molecules have been demonstrated to be associated with the occurrence and development of tumors. HLA molecules can regulate the proliferation of tumor cells and inhibit antitumor immunity. In the present review, the structure and function of HLA molecules, the polymorphism and expression of HLA in tumor tissue, the roles of HLA in tumor cells and tumor immunity, and the potential clinical application of HLA in tumor immunotherapy are summarized. The overall aim of the present review is to provide relevant information for the development of antitumor immunotherapies involving HLA in the clinic.

1. Introduction

Human leukocyte antigen (HLA) is the expression product of human major histocompatibility complex (MHC), which is located on the short arm of chromosome 6p21.31 (1). HLA genes have a complex polygenic architecture and are highly polymorphic (1). To date, based on the IPD-IMGT/HLA database (https://www.ebi.ac.uk/ipd/imgt/hla/), >35,000 alleles of HLA have been identified, of which >15,000 functional genes have been demonstrated to express proteins. The arrangement of HLA genes on chromosomes is divided into three regions, namely the class-I, -II and -III gene regions (2). HLA-I molecules are widely distributed on the surface of human nucleated cells and participate in the processing and presentation of endogenous antigen peptides (3). The presentation of endogenous antigens by HLA-I molecules involves three important steps: i) The production of antigen polypeptides by proteasome cleavage; ii) transportation of polypeptides to the endoplasmic reticulum by transporter associated with antigen processing (TAP); and iii) polypeptides bind to HLA-I molecule binding channels and are transported to the cell surface for display (3). By contrast, HLA-II molecules are predominantly expressed on the surface of antigen-presenting cells and activated T cells (4). These HLA-II molecules are mainly involved in the processing and presentation of exogenous antigens (4). In the endoplasmic reticulum, HLA-II molecules bind to a peptide chain named the invariant chain to form a complex to prevent the binding of endogenous antigenic peptides to HLA-II molecules. In this process, after the constant chain is degraded by proteases, the exogenous antigen polypeptide binds to the empty HLA-II molecule to form a complex that is expressed on the cell surface (4). The immune response of cytotoxic T cells has been demonstrated to be restricted by HLA-I molecules (5). By contrast, HLA-II molecules are involved in immune regulation through the action of restricted helper T cells (5). HLA-III genes are located between the class-II and class-I genes, and mainly include genes associated with the complement system, and tumor necrosis factor (TNF) and heat shock protein (HSP) genes (6,7). The abnormal expression of HLA molecules has been demonstrated to affect antigen processing and presentation, leading to immune escape and lack of recognition of tumor cells by the body (8,9). In recent years, an increasing number of studies have focused on HLAs as potential targets for tumor immunotherapy (8-10). The effective binding of HLA to antigen epitopes is the key to immunotherapy. Tumor polypeptide vaccines targeting peptides recognized jointly by HLA-I and HLA-II molecules can produce more potent and long-lasting antitumor effects (10). In the present review, the roles and mechanisms of HLAs in tumor immunotherapy are summarized.

2. Physiological function and structure of HLA

HLA-I genes can be divided into three classical groups (HLA-A, HLA-B and HLA-C) or the non-classical groups (for example, HLA-E, HLA-F and HLA-G) (11). HLA-I molecules are composed of a heavy chain (the α-chain) and a light chain (the β2m chain) (12). The α-chain is encoded by HLA-A, B and C alleles, and is divided into the extracellular, transmembrane and intracellular regions (12). The extracellular region of the α-chain is formed by the folding of the three functional regions (namely, α1, α2 and α3), where CD8 binding sites are located on α3 (12). By contrast, the β2m chain, encoded by the β2 microglobulin gene, is attached to the α3 region by non-covalent bonds (13).

HLA-II molecules are heterodimers, located near to the centromeres of chromosomes, which are composed of an αand a β-chain (14). HLA-D alleles of HLA-II are divided into HLA-DR, HLA-DQ and HLA-P isotypes, and there are also DMA, DMB, latent membrane protein 2 (LMP2), LMP7, TAP1 and TAP2 gene loci (15). At least 36 genes have been mapped in the class III gene region, among which the genes associated with the immune system include C4B, C4A, C2, BF, TNF and HSP70, which encode the C4, C2, factor B, TNF-α, TNF-β and HSP70 proteins (16-18).

In recent years, greater attention has been paid to HLA-G and HLA-E, which belong to the group of non-classical HLA-I molecules and are located at chromosome 6p21.3 (19,20). During embryonic development, HLA-G is secreted by amniotic cells, erythroid precursor cells and cytotrophoblasts (21); its main role is to inhibit the function of maternal natural killer (NK) cells and to prevent NK cells from attacking allogeneic fetuses with antigenicity (22). Compared with those in normal pregnancy, the expression levels of HLA-G mRNA and protein in the placenta of patients with pre-eclampsia and recurrent miscarriages have been demonstrated to be decreased (23). HLA-G is expressed in immune privilege sites, including the cornea, thymus, pancreatic islets, erythroblasts and epithelioid progenitor cells, in healthy individuals (24). By contrast, HLA-E has been demonstrated to be mainly expressed on the surface of endothelial cells, T and B lymphocytes, monocytes and macrophages, and also at a high level in the amniotic membrane and trophoblast cells at the maternal-fetal interface (25,26). HLA-E molecules are the ligands of C-type lectin family receptors (27). The inhibitory receptors of C-type lectin family receptors are the CD94/NKG2A receptors, and the activating receptors are the CD94/NKG2C receptors (28). Under physiological conditions, the affinity between HLA-E and CD94/NKG2A is significantly higher than that between HLA-E and CD94/NKG2C (28). Upregulation of HLA-E expression can protect target cells from being killed by NK cells (29). HLA-G and HLA-E have been found to be abnormally expressed in autoimmune diseases, viral infections and inflammation (30-32).

HLA molecules have two main biological functions: A target function and a recognition function (33). The antigenic specificity of the HLA-I antigen lies in the specific amino acid sequence of the antigenic determinant of the peptide chain (34,35). The recognition function of HLA is associated with the unique synergy of the immune response (36). Antibodies are produced in B cells, although, in the majority of cases, macrophages and T lymphocytes are required to participate in antibody production (8). After the antigen has been processed by macrophages, the antigen information is transmitted to helper T cells, which then transmit the information to B cells to ensure that they can further secrete specific antibodies (37). During this process, helper T cells not only recognize antigens on sensitized macrophages, but also recognize whether the macrophages are consistent with their own class II antigens (38). Helper T cells are activated only when the haplotypes of macrophages and helper T cells match consistently, and this mechanism ensures that the immune response is regulated under strict genetic control (39).

The majority of febrile non-hemolytic blood transfusion reactions are caused by HLA, especially in patients who have multiple blood transfusions (40,41). HLA matching is the most important standard prior to organ transplantation, and this is significant in terms of improving the survival rate for patients with transplanted organs and ensuring the success of organ transplantations for patients with high sensitivity to anti-HLA antibodies (42-45). The purpose of bone marrow transplantation (BMT) is to transplant hematopoietic stem cells (46,47). Stem cells have the ability to replicate and differentiate into hematopoietic and immune active cells (48). BMT is associated with HLA and it is therefore a requirement that the HLA-A, B, DR and DQ isotypes of the donor and recipient are as compatible as possible (49).

The HLA complex is highly polymorphic, and the probability of matching identical phenotypes among unrelated individuals is extremely low. Therefore, this characteristic may be used for individual identification in forensic medicine (50). The HLA complex is regarded as a specific genetic marker that accompanies an individual for life (50). To date, >60 diseases have been found to be associated with HLA (51). The precise etiology or pathogenesis underlying this involvement of HLA with disease remains unknown, although it is known to be associated with immune abnormalities, familial tendencies and environmental induction (51). The most notable example is that >91% of white patients with ankylosing spondylitis carry the HLA-B27 antigen (52). In addition, 40% of patients with Hodgkin's are HLA-A1+ (53), 76% of patients with skin pigmentation conditions are HLA-A3+ (54) and 40% of patients with Behcet's disease are HLA-B5+ (55).

It can therefore be noted that the physical and chemical properties and the biological functions of HLA, not only have important theoretical significance, but they are also of great biomedical value.

3. HLA polymorphism and cancer

The degree of the association between HLA polymorphism and tumor risk is affected by ethnicity, and even results obtained from the same population can be quite different. The results obtained from Spanish patients with liver disease demonstrated that the frequency of the HLA-DR11 gene in hepatitis C virus (HCV) carriers was significantly higher than that in patients with end-stage liver disease and liver cancer (56). The frequency of the HLA-B18 allele was significantly increased in patients with hepatocellular carcinoma (HCC), although the HLA-B18 allele was found to be absent in HCV carriers (56). Compared with that in HCV carriers, the frequency of the HLA-A4 allele was also found to be significantly higher in patients with HCC (56). In a different study, the frequency of the HLA-B15 antigen in Yugoslav patients with HBsAg+ hepatoma was found to be significantly higher than that in other chronic liver disease control groups and hepatitis B virus carriers (57). CW7, B8 and DR3 antigens were found to be significantly elevated in Italian patients with HCC (58). The frequencies of DRB1*07, DRB1*04 and DQB1*02 of Egyptian patients with HCC were found to be significantly higher than those of healthy controls, whereas the frequencies of DQB1*06 and DRB1*15 in the patient group were significantly lower than those in the control group (59). These findings suggested that DRB1*07, DRB1*04 and DQB1*02 are risk factors for HCC, whereas DQB1*06 and DRB1*15 act as protective factors (59). In a study by De Re et al (60), the DRB1*1101 and DQB1*0301 haplotypes were found to be associated with the natural clearance of HCV. In the same study, the DQB1*0301 allele was also demonstrated to have a protective role in the development of HCV infection associated with HCC, whereas DRB1*1101 exerted the opposite effect (60).

The frequency of HLA-A1 and HLA-A2 in patients with ovarian cancer was found to be higher than that in healthy controls, although the frequency of HLA-A3 was lower than that in healthy controls (61). HLA-A2:B8 haplotypes, such as A2, B5, DRB1*03, DRB1*04 and CW3, and HLA-II haplotypes, namely DRB1*0301, DQA1*0501, DQB1*0201, DRB1*1001, DQA1*0101 and DQB1*0501, were significantly higher compared with those in the control group (62). A study by Kübler et al (62) also demonstrated that the HLA-A2:B8 and HLA-II haplotypes may be significantly associated with the pathogenicity of ovarian cancer. The HLA-DRB1*04, HLA-DRB1*07, HLA-DRB1*11 and HLA-DRB1*15 alleles are associated with the occurrence of cervical squamous cell carcinoma and HPV16+ cervical squamous cell carcinoma in women (63). In a different study, the alleles, HLA-DRB1*1402 and HLA-A*02 were demonstrated to decrease the incidence of cervical cancer, whereas DRB1*1501 and DQA1*0102 increased the incidence of cervical cancer (64). A study by Guerini et al (65) demonstrated that HLA-DRB1*14 was significantly associated with the occurrence of glioma. By contrast, the HLA-CW7, DRB1*1104, DRB1*1302, DQA1*0302 and DQB1*0604 haplotypes were significantly associated with the occurrence of Kaposi's sarcoma (66). Reinders et al (67) demonstrated that HLA-B*35 could inhibit the metastasis of head and neck squamous cell carcinoma, whereas HLA-B*40 was associated with the occurrence of oral tumors, and the HLA-B*40 and DRB1*13 haplotypes were susceptibility factors for oral tumorigenesis (67). The HLA polymorphisms associated with tumors are summarized in Table I.

Table I

HLA polymorphisms associated with tumors.

Table I

HLA polymorphisms associated with tumors.

Cancer typeHLA polymorphismsPatient backgroundFirst author, year(Refs.)
Hepatocellular carcinomaHLA-DR11
HLA-B18
HLA-A4
SpanishLópez-Vázquez et al, 2007(56)
HLA-B15YugoslavGolubovic et al, 1996(57)
HLA-CW7
HLA-B8
HLA-DR3
ItalianRicci et al, 1995(58)
HLA-DRB1*07
HLA-DRB1*04
HLA-DQB1*02
EgyptianEl-Chennawi et al, 2008(59)
HLA-DRB1*1101ItalianDe Re et al, 2004(60)
Ovarian cancerHLA-A1
HLA-A2
SwedishGamzatova et al, 2007(61)
HLA-A2
HLA-B5
HLA-DRB1*03
HLA-DRB1*04
HLA-CW3
HLA-DRB1*0301
HLA-DQA1*0501
HLA-DQB1*0201
HLA-DQA1*0101
HLA-DRB1*1001
HLA-DQB1*0501
CaucasianKübler et al, 2006(62)
Cervical cancer HLA-DRB1*04
HLA-DRB1*07
HLA-DRB1*11
HLA-DRB1*15
ChineseYang et al, 2006(63)
HLA-DRB1*1501
HLA-DQA1*0102
American IndianSchiff et al, 2005(64)
GliomaHLA-DRB1*14ItalianGuerini et al, 2006(65)
Kaposi's sarcomaHLA-CW7
HLA-DRB1*1104
HLA-DRB1*1302
HLA-DQA1*0302
HLA-DQB1*0604
ItalianMasala et al, 2005(66)
Oral tumorHLA-B*40
HLA-DRB1*13
DutchReinders et al, 2007(67)

[i] HLA, human leukocyte antigen.

The expression of HLA-G was demonstrated to be highly correlated with tumor size, lymph node metastasis and the Tumor-Node-Metastasis (TNM) stage of patients with breast cancer (68). The survival rate of patients with positive HLA-G expression was found to be lower than that of patients with negative HLA-G expression (68). The level of serum HLA-G (sHLA-G) in patients with breast cancer was demonstrated to be significantly higher than that in healthy individuals, and this was found to be significantly correlated with an increase in the CD4+CD25highFoxp3+ to regulatory T cells ratio (69). The mRNA and protein levels of HLA-G in the tumor tissues of patients with advanced ovarian cancer were demonstrated to be significantly higher than those of early disease patients and healthy volunteers (70). The expression of HLA-G was also demonstrated to be associated with poor prognosis in patients with ovarian cancer (70). In a study by Lin et al (71), the expression of HLA-G in non-small cell lung cancer (NSCLC) was demonstrated to be significantly correlated with TNM stage, lymph node metastasis and the immune response. In addition, it was accompanied by an increase in the level of interleukin-10 (IL-10) and the gene deletion of classical HLA-I (71). In a different study, HLA-G expression in renal cancer tissue was demonstrated to be significantly higher than that in adjacent normal tissue, and the frequency of upregulated expression of HLA-G was significantly higher than that of other HLA antigens (72). HLA-G expression in patients with esophageal cancer, HCC and colorectal cancer has also been demonstrated to be significantly higher than that in healthy volunteers, and this was correlated with TNM stage, tumor histological grade, invasion degree, lymph node status and the immune response (73-75). The postoperative survival time of patients with HCC and with HLA-G+ expression was significantly shorter than that of patients with HLA-G− expression. Furthermore, compared with the patients without HLA-G expression, the recurrence rate of HCC was also higher in the patients with HLA-G expression (74). The level of sHLA-G in patients with colorectal cancer and NSCLC was also found to be significantly higher than that in healthy volunteers, suggesting that sHLA-G may be used as a diagnostic marker for malignant tumors (76,77).

The expression levels of the HLA-E and HLA-G proteins and the levels of human papillomavirus (HPV) in cervical cancer tissues were demonstrated to be higher than that in cervical intraepithelial neoplasia (CIN) and chronic cervicitis tissues (78). The expression levels of HLA-E and HLA-G were positively correlated with differentiation, CIN grade, TNM stage and HPV infection (78). The levels of sHLA-E and sHLA-G in patients with gastric cancer were significantly higher than those of the healthy volunteers (79). In addition, the same study revealed that the level of HLA-E in patients with stage III gastric cancer was significantly higher than that in patients with stages I and II (79). HLA-E expression in HCC was found to be higher than that in adjacent liver tissues, and this expression was demonstrated to be positively correlated with tumor recurrence (80). A study by Zhou et al (81) revealed that the distribution frequency of HLA-E*0103 in patients with breast cancer was significantly higher than that in healthy controls, and the risk of breast cancer was significantly increased in patients that carried the HLA-E*0103 allele. The same study also demonstrated that the sHLA-E level of patients with HLA-E*0103 was significantly higher than that of healthy controls (81).

To avoid the bias of single studies due to ethnic differences, the expression levels (Fig. 1A) and prognostic roles (Fig. 1B) of HLA subtypes in solid tumors were analyzed. Gene Set Cancer Analysis (GSCA) (http://bioinfo.life.hust.edu.cn/GSCA) was used to analyze and visualize the RNA-sequencing expression profiles [fragments per kilobase of transcript per million (FPKM)] (false discovery rate <0.05, log2 fold change >2) and corresponding clinical information of 33 types of cancer in The Cancer Genome Atlas (TCGA) database (https://www.cancer.gov/ccg/research/genome-sequencing/tcga). The results obtained revealed that the majority of HLAs were expressed at lower levels in human lung squamous cell carcinoma and lung adenocarcinoma (LUAD), whereas the expression levels were higher in kidney renal papillary cell carcinoma and kidney renal clear cell carcinoma (Fig. 1A). Most HLAs were found to be useful as favorable prognostic markers for the overall survival and progression-free survival rates of LUAD and skin cutaneous melanoma, although HLAs were generally found to be unfavorable prognostic markers for lower-grade glioma, uveal melanoma and thymoma (Fig. 1B). Based on the current published data, the reasons why HLAs play different roles in different types of cancer cannot be explained. However, our hypothesis is that tumor heterogeneity and the immune microenvironment are the main factors affecting HLA-regulated tumor prognosis. In addition, the mutation status of HLA in solid tumors was also analyzed (Fig. 2). The single nucleotide variation (SNV) summary and oncoplot waterfall plot were generated by GSCALite software (http://bioinfo.life.hust.edu.cn/web/GSCALite/) based on 33 types of cancer in TCGA database. In cancer tissues, the percentage variations of HLA-B, HLA-A, HLA-G and HLA-DRA were ≥10%. The most common SNV class of HLAs in cancerous tissues was found to be C>T.

Figure 1

(A) Expression levels and (B) prognostic roles of HLA subtypes in tumors based on The Cancer Genome Atlas database. Sample set: ACC, adrenocortical carcinoma; BLCA, bladder urothelial carcinoma; BRCA, breast invasive carcinoma; CESC, cervical squamous cell carcinoma and endocervical adenocarcinoma; CHOL, cholangiocarcinoma; COAD, colon adenocarcinoma; DLBC, lymphoid neoplasm diffuse large B-cell lymphoma; ESCA, esophageal carcinoma; FC, fold-change; FDR, false discovery rate; GBM, glioblastoma multiforme; HLA, human leukocyte antigen; HNSC, head and neck squamous cell carcinoma; KICH, kidney chromophobe; KIRC, kidney renal clear cell carcinoma; KIRP, kidney renal papillary cell carcinoma; LAML, acute myeloid leukemia; LGG, brain lower grade glioma; LIHC, liver hepatocellular carcinoma; LUAD, lung adenocarcinoma; LUSC, lung squamous cell carcinoma; MESO, malignant mesothelioma; OS, overall survival; OV, ovarian serous cystadenocarcinoma; PAAD, pancreatic adenocarcinoma; PFS, progression-free survival; PCPG, pheochromocytoma and paraganglioma; PRAD, prostate adenocarcinoma; READ, rectum adenocarcinoma; SARC, sarcoma; SKCM, skin cutaneous melanoma; STAD, stomach adenocarcinoma; TGCT, testicular germ cell tumors; THCA, thyroid carcinoma; THYM, thymoma; UCEC, uterine corpus endometrial carcinoma; UCS, uterine carcinosarcoma; UVM, uveal melanoma.

Figure 2

Mutation status of HLA subtypes in tumors based on The Cancer Genome Atlas database. (A) Mutation distribution of the top 10 mutated genes from the inputted gene set in the sample set of all 33 cancer types. (B) Count of Missense_Mutation, Nonsense_Mutation, Frame_Shift_Ins, Splice_Site, Frame_Shift_Del, In_Frame_Del and In_Frame_Ins of the inputted gene set in all 33 cancer types. (C) SNP, INS and DEL count of the inputted gene set in all 33 cancer types. (D) Count of each SNV (single nucleotide variation) class of the inputted gene set in all 33 cancer types. (E) Count of variants in the inputted gene set in all 33 cancer types. (F) Distribution of the count of each variant classification in the inputted gene set in all 33 cancer types. (G) Count and percentage of variants in the top 10 mutated genes. Inputted gene set: HLA-A, HLA-B, HLA-C, HLA-DRB1, HLA-E, HLA-G, HLA-DQB1, HLA-DQA1, HLA-DPB1, MICA, HLA-DRA, HLA-DQA2, HLA-DPA1, HLA-DRB5, HLA-DOA, HLA-DRB3, HLA-DRB4, HLA-DMB, HLA-DMA, HLA-DPB2, HLA-DOB, HLA-DQB2, HLA-F, HLA-H. ACC, adrenocortical carcinoma; BLCA, bladder urothelial carcinoma; BRCA, breast invasive carcinoma; CESC, cervical squamous cell carcinoma and endocervical adenocarcinoma; CHOL, cholangiocarcinoma; COAD, colon adenocarcinoma; DEL, deletion; DLBC, lymphoid neoplasm diffuse large B cell lymphoma; ESCA, esophageal carcinoma; GBM, glioblastoma multiforme; HLA, human leukocyte antigen; HNSC, head and neck squamous cell carcinoma; INS, insert; KIRC, kidney renal clear cell carcinoma; KIRP, kidney renal papillary cell carcinoma; LAML, acute myeloid leukemia; LGG, brain lower grade glioma; LIHC, liver hepatocellular carcinoma; LUAD, lung adenocarcinoma; LUSC, lung squamous cell carcinoma; MICA, major histocompatibility complex class I-related chain A; OV, ovarian serous cystadenocarcinoma; PAAD, pancreatic adenocarcinoma; PCPG, pheochromocytoma and paraganglioma; PRAD, prostate adenocarcinoma; READ, rectum adenocarcinoma; SARC, sarcoma; SKCM, skin cutaneous melanoma; SNP, single nucleotide polymorphism; SNV, single nucleotide variation; STAD, stomach adenocarcinoma; THCA, thyroid carcinoma; THYM, thymoma; UCEC, uterine corpus endometrial carcinoma; UCS, uterine carcinosarcoma.

Considered together, the available evidence has demonstrated that HLA polymorphisms can affect the survival rate of, and influence the curative effects on, patients with tumors, and these may therefore be used as an indicator of individualized treatment plans for these patients. Nonsynonymous mutations in the HLA gene affect antigen presentation and the expression of HLA in cancer cells, which therefore induces immune escape.

4. Function of HLA in tumor immunity

HLA-I molecules present endogenous antigenic peptides to the cell surface, enabling the immune system to recognize tumor-specific neoantigens and to eliminate them before the tumor develops further (82). The expression of the HLA-I gene in tumor cells is one of the determinants of the recognition and destruction of tumor cells by CD8+ cytotoxic T lymphocytes (CTLs) (83) (Fig. 3). However, mutation of the HLA-I gene often occurs in tumor cells, resulting in a partial or total deletion of HLA-I on the tumor surface, which decreases the secretion of perforin, Granzyme B, IFN-γ and TNF-α from CTLs and promotes immune escape of tumor cells (84) (Fig. 3). HLA-I gene expression on the surface of pancreatic ductal gland tumor cells has been demonstrated to improve the effect of antigen presentation, leading to enhanced antitumor effects of T cells and consequently slower tumor growth (85). In a study by Yang et al (86), the activation of the Wnt/β-catenin signaling pathway was demonstrated to lead to a decrease in HLA-I gene expression, which in turn decreased the CTL-mediated immune response to cancer cells. Tumor cells have collectively selected the evolutionarily conserved and lineage-specific functions of polycomb repressive complex 2 (PRC2) to silence MHC class I molecular antigen processing and presentation pathways, thereby escaping immune surveillance (87). Notably, after pharmacological inhibition of Drosophila zeste gene enhancer human homolog 1 (EZH1) and EZH2, the PRC2-mediated silencing of MHC class I molecule-dominated antigen processing pathway-associated genes becomes reversible, thus re-establishing T cell-mediated antitumor immunity (87). The early embryonic transcription factor, double homeobox 4, which is silenced in somatic tissues, is expressed in a variety of solid tumors, where it inhibits HLA-I molecules to promote tumor immune escape (88). Radiotherapy has also been demonstrated to improve the efficacy of CD8+ T cells in killing tumor cells via enhancement of the expression of HLA-I molecules (89).

Figure 3

Ideograph of HLA-I and HLA-II in regulating antitumor immunity. GzmB, granzyme B; HLA, human leukocyte antigen; IL-6, interleukin 6; MHC, major histocompatibility complex; MICA, MHC class I-related chain A; PFN, perforin; Tc, cytotoxic T cell; TCR, T-cell receptor; Th, helper T cell; TLR, toll-like receptor; TNFα, tumor necrosis factor α. This figure was created by Biorender (https://biorender.com/).

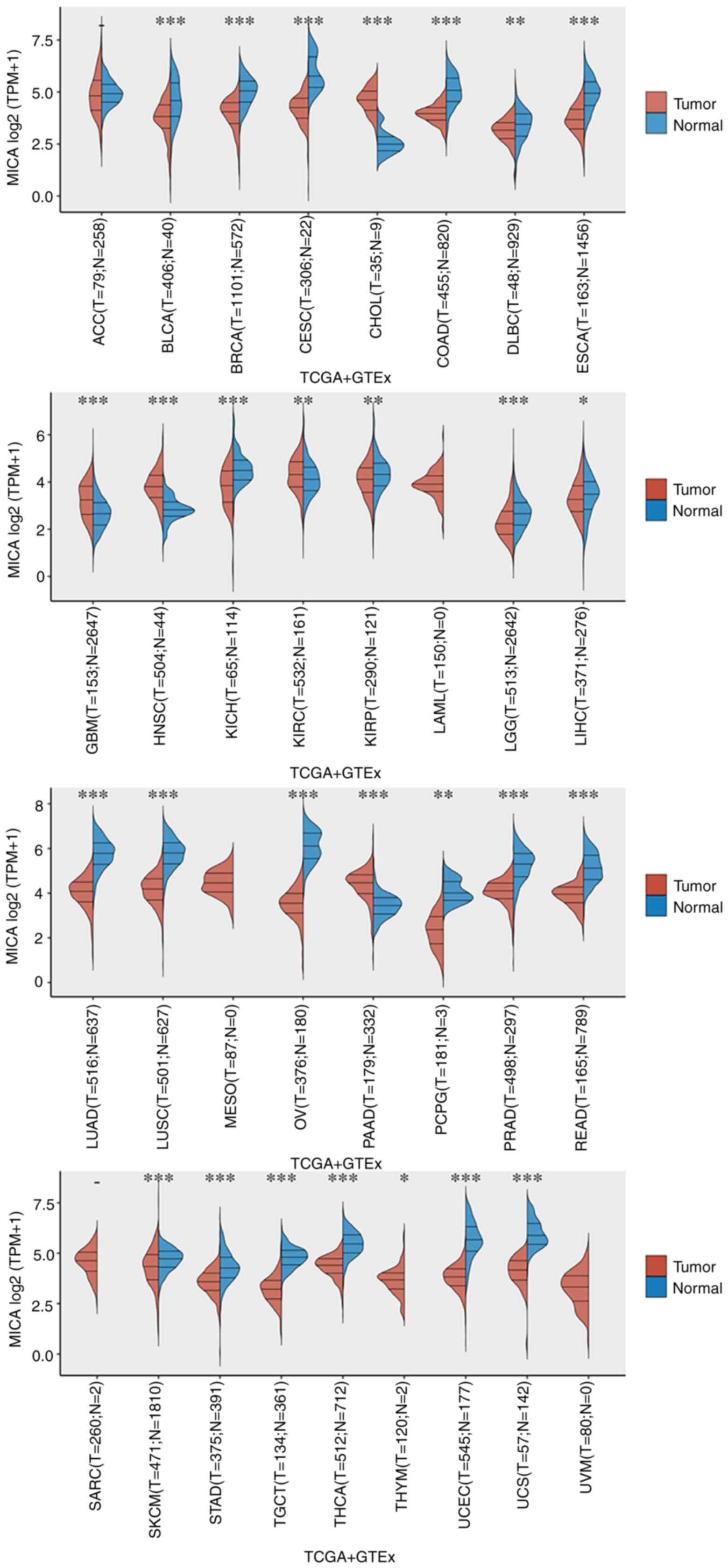
NK cells contribute significantly towards the natural immune system and provide the first line of defense against pathogens and tumors (90). These cells not only serve an important role in the process of immune surveillance, but also fulfill the functions of being antivirus and anti-infection molecules, and killing tumor cells (91). Due to their property of being unrestricted by MHC molecules, NK cells can recognize and kill MHC-I-deficient tumor cells (92). However, the immune function of NK cells is still regulated by MHC class I-related chain A (MICA) (93). MICA is a non-classical HLA-I gene, located between solute carrier superfamily 6 member 19 and HLA-B genes, positioned 46 kb away from HLA-B with a total length of 11,772 bp, including 6 exons, and is highly polymorphic (94). It has been demonstrated that the occurrence of multiple tumors is associated with the polymorphism of MICA (95). MICA A9 is a high-risk factor of gastric cancer (96), whereas MICA A6 has been demonstrated to be a high-risk factor of oral squamous cell carcinoma (97). The activated receptor NKG2D fulfills an important role in the antitumor immunity of NK cells (98,99). There is no currently recognized signal transduction domain in the cytoplasmic region of NKG2D, and the receptor mainly relies on YXXM, an immunoreceptor tyrosine activation motif in the cytoplasmic region of DNAX-activating protein 10 (DAP10), for its ability to activate signal transduction (98,99). The NKG2D-DAP10 dimer binds to p85, a subunit of phosphoinositide 3-kinase, and transmits an activation signal (100). When MICA binds to the NKG2D-DAP10 dimer, this leads to the activation of numerous signal transduction pathways, such as those involving lactaldehyde-derived lysine dimer, signal transducer and activator of transcription 5, and AKT in effector cells, thereby activating the antitumor immunity of NK cells (100). The sensitivity of MICA+ leukemia cells to NK cells has been demonstrated to be significantly higher than that of MICA− leukemia cells (101). In situ tumor cells of myeloma highly express MICA, although myeloma cells with pleural effusion show little or no expression of MICA (102). NK cells are only able to recognize myeloma cells that kill tumor sites, and not myeloma cells with pleural effusion (102). Another study published by Zhang et al (103) revealed that MICA on the surface of lung, colorectal and cervical cancer cells can upregulate NKG2D activity and downregulate the expression of the inhibitory receptors, NKG2A and KIR2DL1 (103). Although Vδ1+γδ T cells also express NKG2D receptors, a low level of MICA expression is insufficient to activate the Vδ1+γδ T cell immune response (104). HeLa cells were found to highly express the MICA membrane protein, while the ovarian cancer cell line, SKOV3, expressed MICA plasma protein in large quantities, which was unable to bind to NKG2D and activate Vδ1+γδ T cells. Therefore, the killing effect of Vδ1+γδ T cells on HeLa cells was found to be much stronger than that of SKOV3 cells (105). For the present review, R programming (version 4.1.1, https://cran.r-project.org/) was used to analyze and visualize the RNA-sequencing expression profiles and corresponding clinical information of the 33 types of cancer in TCGA database. GTEx samples were collected from 54 non-diseased tissue sites across nearly 1,000 individuals. Pan-cancer analysis revealed the levels of MICA mRNA in solid tumors using the Wilcoxon rank-sum test (Fig. 4). Compared with tumoral tissues, higher levels of MICA mRNA were found in normal tissues of most cancers, such as bladder urothelial carcinoma, breast invasive carcinoma (BRCA), cervical squamous cell carcinoma and endocervical adenocarcinoma, colon adenocarcinoma, esophageal carcinoma, lung adenocarcinoma and lung squamous cell carcinoma (Fig. 4). By contrast, higher MICA expression was detected in tumoral tissues compared with in normal tissues for cholangiocarcinoma (CHOL), glioblastoma multiforme, kidney renal papillary cell carcinoma, head and neck squamous cell carcinoma and pancreatic adenocarcinoma (Fig. 4). P<0.05 was considered to indicate a statistically significant difference.

Figure 4

Expression distribution of MICA gene in tumor tissues and normal tissues. The statistical differences between two groups were compared using the Wilcoxon rank-sum test. *P<0.05, **P<0.01, ***P<0.001. Sample set: ACC, adrenocortical carcinoma; BLCA, bladder urothelial carcinoma; BRCA, breast invasive carcinoma; CESC, cervical squamous cell carcinoma and endocervical adenocarcinoma; CHOL, cholangiocarcinoma; COAD, colon adenocarcinoma; DLBC, lymphoid neoplasm diffuse large B-cell lymphoma; ESCA, esophageal carcinoma; GBM, glioblastoma multiforme; HNSC, head and neck squamous cell carcinoma; KICH, kidney chromophobe; KIRC, kidney renal clear cell carcinoma; KIRP, kidney renal papillary cell carcinoma; LAML, acute myeloid leukemia; LGG, brain lower grade glioma; LIHC, liver hepatocellular carcinoma; LUAD, lung adenocarcinoma; LUSC, lung squamous cell carcinoma; MESO, malignant mesothelioma; MICA, major histocompatibility complex class I-related chain A; N, normal; OV, ovarian serous cystadenocarcinoma; PAAD, pancreatic adenocarcinoma; PRAD, prostate adenocarcinoma; READ, rectum adenocarcinoma; SARC, sarcoma; SKCM, skin cutaneous melanoma; SNP, single nucleotide polymorphism; SNV, single nucleotide variation; STAD, stomach adenocarcinoma; T, tumor; TCGA, The Cancer Genome Atlas; TGCT, testicular germ cell tumors; THCA, thyroid carcinoma; TPM, transcripts per million; UCEC, uterine corpus endometrial carcinoma; UCS, uterine carcinosarcoma; UVM, uveal melanoma.

Tumor cells generally express MHC class I molecules, and rarely express MHC class II molecules (106). Therefore, clinical research on neoantigens and other types of tumor antigens has mainly focused on MHC class I molecule-restricted antigens (106). However, given the in-depth studies that have enabled an increase in the understanding of tumor immunity, the regulatory effects of MHC class II molecular restriction antigens on CD4+ T cells have been paid a greater level of attention with respect to tumor immunity (107) (Fig. 3). The activation of toll-like receptor 2 leads to a decrease in the expression of MHC class II molecules in microglia, an inhibition of the proliferation and functional activation of CD4+ T cells, and the promotion of immune escape of microglia cells (108). Interferon-γ stimulation was demonstrated to lead to the upregulation of MHC class II molecules in chronic myeloid leukemia (CML) stem cells (109). However, the JAK1/2 inhibitor, ruxolitinib, inhibited the proliferation of CML stem cells, resulting in a significant increase in the expression level of MHC class II molecules (109). These results suggest that the JAK-mediated signaling pathway is driven by cytokines provided by CML cells and the immune microenvironment antagonizes MHC class II molecule expression, thereby escaping immune surveillance. In a different study, MHC class II molecules expressed in murine breast tumor cells were found to promote the local activation of CD4+ T cells, indirectly aiding the activation and expansion of CD8+ T cells, delaying T-cell exhaustion and inhibiting tumor cell proliferation (110). MHC class II molecules are expected to stimulate more powerful and lasting immune responses, either alone or in cooperation with MHC class I molecules. In melanoma, colon cancer and breast cancer, tumor cells may be recognized by CD4+ T cells instead of CD8+ T cells, which suggests that, compared with MHC class I molecules with a stricter restriction, tumor individualized neoantigens may be more likely to bind to MHC class II molecules (111). Therefore, MHC class II molecules have been demonstrated to be promising immunotherapeutic targets.

Tumor cells express and secrete HLA-G, which inhibits NK cell- and CTL-mediated cell lysis, thereby causing tumor cells to escape from human immune surveillance and killing (112). The mechanism of action of HLA-G in tumors involves three steps of tumor immune escape: Elimination, equilibrium and escape (113). In the elimination stage, HLA-G expressed by tumor cells binds to the immunoglobulin-like transcript 2 (ILT2) and ILT4 receptors on immune cells, inhibits the cytolytic function of T and NK cells, and enables tumor cells to escape recognition and elimination of immune cells (113). In addition, HLA-G can also inhibit the secretion of cytokines, induce antigen-presenting cells to secrete HLA-G and further inhibit immune function (113). In the equilibrium stage, most of the tumor cells have been eliminated, and individual monoclonal cells survive through mutation (113). At this stage, HLA-G expression occurs at a low level, although it can still weaken the activity of immune cells and promote the production of regulatory cells and immunosuppressive factors, such as IL-10 (113). In the final escape stage, various factors, such as hypoxia inducible factor 1 produced by hypoxia, promote the expression of HLA-G, inhibiting the activity of immune cells to the maximal possible extent, thereby causing rapid tumor progression and local microenvironment hypoxia, which further promotes the production of IL-10 and other cytokines, and upregulates the expression of HLA-G to promote tumor formation (113).

HLA-E fulfills an important role in regulating the antitumor immune response, mainly by binding to the inhibitory NKG2A receptors of NK cells or T cells (114). After NKG2A/CD94 binds to the HLA-E/antigen polypeptide complex, it can cause the protein tyrosine phosphatase, Src homology region 2 domain-containing phosphatase-1, to be recruited to the vicinity of the immunoreceptor tyrosine-based inhibitory motif in the intracellular domain of NKG2A, thereby causing the signaling molecules upstream and downstream of the pathway to undergo dephosphorylation, which effectively inhibits NK cell activation (115). Tumor cells upregulate the expression of HLA-E, interact with CD94/NKG2A and inhibit the antitumor activity of IL-2 receptor-dependent CD8+ T cells through inhibiting the proliferation, activity and secretion of cytokines (116). The study conducted by Chen et al (117) demonstrated that blocking NKG2A could significantly enhance the killing ability of CD8+ T cells against tumor cells.

Further studies on the role and mechanism of HLA-G and HLA-E in tumorigenesis and development will contribute towards the application of HLA-G and HLA-E in the clinic, especially with regards to clinical disease diagnosis, prognosis and immunotherapy.

5. Clinical significance of HLA in tumor immunotherapy

During the process of T cells initiating the immune reaction, the recognition of weak binding peptides by T-cell receptors may lead to an unstable interaction between the peptide and the MHC molecule antigen-binding groove, thereby causing tumor immune escape (118). The analysis and screening of tumor antigen peptides that efficiently bind to MHC molecules is of great significance for the rapid development of safe and effective tumor vaccines (119). Mass spectrometric analysis of tumor antigen peptides has been used to identify effective tumor neoantigen peptides from tumor cells or tissues (120). Oncolytic viruses induce tumor cells to produce new MHC class I molecular ligands to activate CD8+ T-cell responses (121). A peptide MHC class I molecule IgG-antibody fusion protein-redirected vaccine was demonstrated to target lung cancer cells in vivo and endow them with viral antigenicity, thereby activating antiviral CD8+ T cells induced by the vaccine and inhibiting tumor growth (122). Tumor vaccines are designed to target tumor neoantigens as a part of MHC molecule-binding neoantigen immunotherapy (123). Duperret et al (124) used DNA vaccines to target tumor neoantigens for preclinical research and found that the optimized tumor neoantigens were immunogenic and mainly produced MHC I molecule-restricted CD8+ T-cell responses. DNA neoantigen vaccines have also been demonstrated to induce therapeutic antitumor immune responses in vivo, and the neoantigen-specific T cells expanded in vivo were demonstrated to kill tumor cells in vitro (125). At present, research on tumor antigens, including neoantigens, has mainly focused on MHC class I molecules, but with the gradual deepening of the understanding of tumor immunity and the accumulation of clinical and experimental data, researchers are also gradually shifting their attention towards CD4+ T cells and MHC class II molecular antigen peptides (126). The selective pressure against MHC class II-restricted neoantigens is stronger than that against MHC class I molecules, indicating that the immune monitoring of CD4+ T cells is an important limiting factor in tumorigenesis and development (127). MHC class II molecule-restricted neoantigens can be recognized from their own tumor-infiltrating lymphocytes from patients with metastatic CHOL, and CD4+ T-cell reinfusion treatment has been performed to effectively alleviate the condition of patients (128).

Immune checkpoint inhibitors (ICIs) fight cancer by reactivating the adaptive immune system of the patient (129). Selective autophagy of MHC class I molecules mediated by the selective autophagy substrate receptor/ATG8 interacting protein neighbor of BRCA1 is a novel mechanism that has been discovered, which enables pancreatic ductal gland tumor cells to evade immunity (130). Autophagy or lysosomal inhibition can restore the expression of MHC class I molecules, enhance the immune effect of antitumor T cells and improve the response to immune checkpoint blockade therapy (131). Friedman et al (132) found that the decreased expression of MHC class I molecules in patients with endometrial cancer is a potential mechanism through which patients develop resistance to ICIs. The induced expression of MHC class I molecules further increases the therapeutic potential of ICIs in breast cancer (133). In a different study, the expression of chemokine (CXC motif) ligand 14 was demonstrated to inhibit human HPV+ cervical cancer by restoring the expression of MHC class I molecules on tumor cells and promoting antigen-specific CD8+ T-cell responses (134). Taken together, these studies have collectively demonstrated that the increased expression of MHC class I molecules can enhance the efficacy of ICIs in treating tumors.

6. Future perspectives

In the present review, the relationship between HLA polymorphism and tumorigenesis has been considered, and the key role and mechanism of HLA in tumor immunity and treatment has been focused on. Effective tumor immunotherapy is based on the synergy of various components of the immune system. In order to establish effective immunotherapy for patients with tumors, NK cells, CD4+ T cells and CD8+ T cells have an indispensable role. Although tumor vaccines and adoptive cell therapy based on MHC-restricted antigens have achieved significant efficacy in preclinical and clinical studies, they still cannot completely cure tumors, and the efficacy needs to be strengthened further. Previous studies have demonstrated that HLA serves an important role in the occurrence and development of a variety of tumors, including in gastric, lung and liver cancer. Due to the high degree of polymorphism of HLA, the research results obtained on the association between HLA and human tumors have not proven to be entirely consistent, and future studies incorporating big data analysis are required. In addition, recent studies demonstrated that HLA affects the survival rate of patients undergoing ICI therapy (135-137). These studies have suggested that HLAs could be used to improve the efficacy of individualized treatments of patients with cancer in the future.

Availability of data and materials

All data generated or analyzed during this study are included in the published article.

Authors' contributions

This review was conceptualized by PX; DHL, FFM and MA performed the software analysis; MA, DHL and PX were responsible for the original draft preparation; FFM and PX wrote the review and subsequently edited it; PX supervised the project and was also the project administrator; PX was responsible for the funding acquisition. DHL, FFM, MA and PX confirm the authenticity of all the raw data. All authors, read and approved the final version of the manuscript.

Ethics approval and consent to participate

Not applicable.

Patient consent for publication

Not applicable.

Competing interests

The authors declare that they have no competing interests.

Acknowledgments

Not applicable.

Funding

This study was supported by The National Natural Scientific Foundation of China (grant no. 81972784) and the 'Double First-Class' Disciplinary Construction Project of Jinzhou Medical University.

References

1 

Mungall AJ, Palmer SA, Sims SK, Edwards CA, Ashurst JL, Wilming L, Jones MC, Horton R, Hunt SE, Scott CE, et al: The DNA sequence and analysis of human chromosome 6. Nature. 425:805–811. 2003.

2 

Robinson J, Barker DJ, Georgiou X, Cooper MA, Flicek P and Marsh SGE: IPD-IMGT/HLA Database. Nucleic Acids Res. 48(D1): D948–D955. 2020.

3 

Urban RG, Chicz RM and Hedley ML: The discovery and use of HLA-associated epitopes as drugs. Crit Rev Immunol. 17:387–397. 1997.

4 

Blees A, Januliene D, Hofmann T, Koller N, Schmidt C, Trowitzsch S, Moeller A and Tampé R: Structure of the human MHC-I peptide-loading complex. Nature. 551:525–528. 2017.

5 

Reith W, LeibundGut-Landmann S and Waldburger JM: Regulation of MHC class II gene expression by the class II transactivator. Nat Rev Immunol. 5:793–806. 2005.

6 

Boegel S, Löwer M, Bukur T, Sorn P, Castle JC and Sahin U: HLA and proteasome expression body map. BMC Med Genomics. 11:362018.

7 

Liu B, Shao Y and Fu R: Current research status of HLA in immune-related diseases. Immun Inflamm Dis. 9:340–350. 2021.

8 

Blum JS, Wearsch PA and Cresswell P: Pathways of antigen processing. Annu Rev Immunol. 31:443–473. 2013.

9 

Hazini A, Fisher K and Seymour L: Deregulation of HLA-I in cancer and its central importance for immunotherapy. J Immunother Cancer. 9:e0028992021.

10 

Marcu A, Bichmann L, Kuchenbecker L, Kowalewski DJ, Freudenmann LK, Backert L, Mühlenbruch L, Szolek A, Lübke M, Wagner P, et al: HLA Ligand Atlas: A benign reference of HLA-presented peptides to improve T-cell-based cancer immunotherapy. J Immunother Cancer. 9:e0020712021.

11 

Djajadiningrat RS, Horenblas S, Heideman DA, Sanders J, de Jong J and Jordanova ES: Classic and nonclassic HLA class I expression in penile cancer and relation to HPV status and clinical outcome. J Urol. 193:1245–1251. 2015.

12 

Cruz FM, Chan A and Rock KL: Pathways of MHC I cross-presentation of exogenous antigens. Semin Immunol. 66:1017292023.

13 

Bradley P: Structure-based prediction of T cell receptor:peptide-MHC interactions. Elife. 12:e828132023.

14 

Sarri CA, Giannoulis T, Moutou KA and Mamuris Z: HLA class II peptide-binding-region analysis reveals funneling of polymorphism in action. Immunol Lett. 238:75–95. 2021.

15 

Klein J and Sato A: The HLA system. First of two parts. N Engl J Med. 343:702–709. 2000.

16 

Mišunová M, Svitálková T, Pleštilová L, Kryštufková O, Tegzová D, Svobodová R, Hušáková M, Tomčík M, Bečvář R, Závada J, et al: Molecular markers of systemic autoimmune disorders: The expression of MHC-located HSP70 genes is significantly associated with autoimmunity development. Clin Exp Rheumatol. 35:33–42. 2017.

17 

Ota M, Katsuyama Y, Kimura A, Tsuchiya K, Kondo M, Naruse T, Mizuki N, Itoh K, Sasazuki T and Inoko H: A second susceptibility gene for developing rheumatoid arthritis in the human MHC is localized within a 70-kb interval telomeric of the TNF genes in the HLA class III region. Genomics. 71:263–270. 2001.

18 

Cucca F, Zhu ZB, Khanna A, Cossu F, Congia M, Badiali M, Lampis R, Frau F, De Virgiliis S, Cao A, et al: Evaluation of IgA deficiency in Sardinians indicates a susceptibility gene is encoded within the HLA class III region. Clin Exp Immunol. 111:76–80. 1998.

19 

Arnaiz-Villena A, Suarez-Trujillo F, Juarez I, Rodríguez-Sainz C, Palacio-Gruber J, Vaquero-Yuste C, Molina-Alejandre M, Fernández-Cruz E and Martin-Villa JM: Evolution and molecular interactions of major histocompatibility complex (MHC)-G, -E and -F genes. Cell Mol Life Sci. 79:4642022.

20 

Gulati R, Kavadichanda GC, Mariaselvam CM, Kumar G and Negi VS: Association of HLA-G, HLA-E and HLA-B*27 with susceptibility and clinical phenotype of enthesitis related arthritis (ERA). Hum Immunol. 82:615–620. 2021.

21 

Xu X, Zhou Y and Wei H: Roles of HLA-G in the maternal-fetal immune microenvironment. Front Immunol. 11:5920102020.

22 

Rajagopalan S and Long EO: A Human Histocompatibility Leukocyte Antigen (HLA)-G-Specific receptor expressed on all natural killer cells. J Exp Med. 189:1093–1100. 1999.

23 

Mosaferi E, Alizadeh Gharamaleki N, Farzadi L, Majidi J, Babaloo Z, Kazemi T, Ramezani M, Tabatabaei M, Ahmadi H, Aghebati Maleki L and Baradaran B: The Study of HLA-G gene and protein expression in patients with recurrent miscarriage. Adv Pharm Bull. 9:70–75. 2019.

24 

Zhuang B, Shang J and Yao Y: HLA-G: An important mediator of maternal-fetal immune-tolerance. Front Immunol. 12:7443242021.

25 

Camilli G, Cassotta A, Battella S, Palmieri G, Santoni A, Paladini F, Fiorillo MT and Sorrentino R: Regulation and trafficking of the HLA-E molecules during monocyte-macrophage differentiation. J Leukoc Biol. 99:121–130. 2016.

26 

Ruibal P, Franken KLMC, van Meijgaarden KE, Walters LC, McMichael AJ, Gillespie GM, Joosten SA and Ottenhoff THM: Discovery of HLA-E-Presented Epitopes: MHC-E/Peptide Binding and T-Cell Recognition. Methods Mol Biol. 2574:15–30. 2022.

27 

Lo Monaco E, Sibilio L, Melucci E, Tremante E, Suchànek M, Horejsi V, Martayan A and Giacomini P: HLA-E: Strong association with beta2-microglobulin and surface expression in the absence of HLA class I signal sequence-derived peptides. J Immunol. 181:5442–5450. 2008.

28 

Prašnikar E, Perdih A and Borišek J: What a difference an amino acid makes: An All-Atom simulation study of nonameric peptides in inhibitory HLA-E/NKG2A/CD94 immune complexes. Front Pharmacol. 13:9254272022.

29 

Li D, Brackenridge S, Walters LC, Swanson O, Harlos K, Rozbesky D, Cain DW, Wiehe K, Scearce RM, Barr M, et al: Mouse and human antibodies bind HLA-E-leader peptide complexes and enhance NK cell cytotoxicity. Commun Biol. 5:2712022.

30 

Morandi F, Rizzo R, Fainardi E, Rouas-Freiss N and Pistoia V: Recent advances in our understanding of HLA-G Biology: Lessons from a wide spectrum of human diseases. J Immunol Res. 2016:43264952016.

31 

Bertol BC, Dias FC, da Silva DM, Zambelli Ramalho LN and Donadi EA: Human Antigen Leucocyte (HLA)-G and HLA-E are differentially expressed in pancreatic disorders. Hum Immunol. 80:948–954. 2019.

32 

Seliger B: The non-classical antigens of HLA-G and HLA-E as diagnostic and prognostic biomarkers and as therapeutic targets in transplantation and tumors. Clin Transpl. 465–472. 2013.

33 

Pagliuca S, Gurnari C, Rubio MT, Visconte V and Lenz TL: Individual HLA heterogeneity and its implications for cellular immune evasion in cancer and beyond. Front Immunol. 13:9448722022.

34 

Rognan D, Krebs S, Kuonen O, Lamas JR, López de Castro JA and Folkers G: Fine specificity of antigen binding to two class I major histocompatibility proteins (B*2705 and B*2703) differing in a single amino acid residue. J Comput Aided Mol Des. 11:463–478. 1997.

35 

Schendel DJ, Reinhardt C, Nelson PJ, Maget B, Pullen L, Bornkamm GW and Steinle A: Cytotoxic T lymphocytes show HLA-C-restricted recognition of EBV-bearing cells and allorecognition of HLA class I molecules presenting self-peptides. J Immunol. 149:2406–2414. 1992.

36 

Neefjes J, Jongsma ML, Paul P and Bakke O: Towards a systems understanding of MHC class I and MHC class II antigen presentation. Nat Rev Immunol. 11:823–836. 2011.

37 

Rastogi I, Jeon D, Moseman JE, Muralidhar A, Potluri HK and McNeel DG: Role of B cells as antigen presenting cells. Front Immunol. 13:9549362022.

38 

Erb P, Feldmann M and Hogg N: Role of macrophages in the generation of T helper cells. IV. Nature of genetically related factor derived from macrophages incubated with soluble antigens. Eur J Immunol. 6:365–372. 1976.

39 

Erb P and Feldmann M: The role of macrophages in the generation of T-helper cells. II. The genetic control of the macrophage-T-cell interaction for helper cell induction with soluble antigens. J Exp Med. 142:460–472. 1975.

40 

Takeuchi C, Ohto H, Miura S, Yasuda H, Ono S and Ogata T: Delayed and acute hemolytic transfusion reactions resulting from red cell antibodies and red cell-reactive HLA antibodies. Transfusion. 45:1925–1929. 2005.

41 

Chen Y, Huang XJ, Wang Y, Liu KY, Chen H, Chen YH, Zhang XH, Wang FR, Han W, Wang JZ, et al: Febrile reaction associated with the infusion of haploidentical peripheral blood stem cells: Incidence, clinical features, and risk factors. Transfusion. 55:2023–2031. 2015.

42 

Gavroy B, Timmermans T, Van Caenegem O, Mastrobuoni S, Jacquet L, Latinne D and Poncelet AJ: Significance of HLA-matching and anti-HLA antibodies in heart transplant patients receiving induction therapy? Transpl Immunol. 75:1017062022.

43 

Rennie TJW, Battle RK, Abel AA, McConnell S, McLaren R, Phelan PJ, Geddes C, Padmanabhan N, Clancy MJ, Little AM and Turner DM: Comparison of kidney transplant outcomes in HLA compatible and incompatible transplantation: A national cohort study. Nephrology (Carlton). 27:962–972. 2022.

44 

Chen R, Yi H, Zhen J, Fan M, Xiao L, Yu Q, Yang Z, Ning L, Deng Z and Chen G: Donor with HLA-C2 is associated with acute rejection following liver transplantation in Southern Chinese. HLA. 100:133–141. 2022.

45 

Kim HE, Yang YH, Paik HC, Jeong SJ, Kim SY, Park MS and Lee JG: The Assessment and outcomes of crossmatching in lung transplantation in Korean patients. J Korean Med Sci. 37:e1772022.

46 

Halleck F, Khadzhynov D, Liefeldt L, Schrezenmeier E, Lehner L, Duerr M, Schmidt D, Bamoulid J, Lachmann N, Waiser J, et al: Immunologic outcome in elderly kidney transplant recipients: Is it time for HLA-DR matching? Nephrol Dial Transplant. 31:2143–2149. 2016.

47 

Arcuri LJ, Kerbauy MN, Kerbauy LN, Santos FPS, Ribeiro AAF and Hamerschlak N: ATG in HLA-matched, peripheral blood, hematopoietic cell transplantation in acute myeloid leukemia and myelodysplastic syndrome: A secondary analysis of a CIBMTR database. Transplant Cell Ther. 29:40.e1–40.e4. 2023.

48 

Steens J and Klein D: HOX genes in stem cells: Maintaining cellular identity and regulation of differentiation. Front Cell Dev Biol. 10:10029092022.

49 

Olerup O, Möller E and Persson U: HLA-DP incompatibilities induce significant proliferation in primary mixed lymphocyte cultures in HLA-A, -B, -DR and -DQ compatible individuals: Implications for allogeneic bone marrow transplantation. Tissue Antigens. 36:194–202. 1990.

50 

Jin DQ and Zheng XF: HLA gene polymorphism and forensic medicine. Fa Yi Xue Za Zhi. 19:51–53. 2003.In Chinese.

51 

Ritzmann SE: HLA patterns and disease associations. JAMA. 236:2305–2309. 1976.

52 

Hanson A and Brown MA: Genetics and the causes of ankylosing spondylitis. Rheum Dis Clin North Am. 43:401–414. 2017.

53 

Abdou AM, Gao X, Cozen W, Cerhan JR, Rothman N, Martin MP, Davis S, Schenk M, Chanock SJ, Hartge P, et al: Human leukocyte antigen (HLA) A1-B8-DR3 (8.1) haplotype, tumor necrosis factor (TNF) G-308A, and risk of non-Hodgkin lymphoma. Leukemia. 24:1055–1058. 2010.

54 

Baxter KR and Opremcak EM: Panretinal acute multifocal placoid pigment epitheliopathy: A novel posterior uveitis syndrome with HLA-A3 and HLA-C7 association. J Ophthalmic Inflamm Infect. 3:292013.

55 

Mohammad-Ebrahim H, Kamali-Sarvestani E, Mahmoudi M, Beigy M, Karami J, Ahmadzadeh N and Shahram F: Association of killer cell immunoglobulin-like receptor (KIR) genes and their HLA ligands with susceptibility to Behçet's disease. Scand J Rheumatol. 47:155–163. 2018.

56 

López-Vázquez A, Rodrigo L and López-Larrea C: Association of killer immunoglobulin-like receptors and their HLA Class I ligands with progression of chronic hepatitis C virus infection. Tissue Antigens. 69(Suppl 1): S241–S242. 2007.

57 

Golubovic G, Stajic M, Stolic I, Nikolic JA, Neskovic AN and Pandey L: Histocompatibility antigens in patients with hepatocellular carcinoma. Z Gastroenterol. 34:15–20. 1996.

58 

Ricci G, Colombo C, Ghiazza B, Porta C, Moroni M and Illeni MT: HLA-A, B, C, DR and DQ expression and hepatocellular carcinoma: Study of 205 Italian subjects. Cancer Lett. 98:121–125. 1995.

59 

El-Chennawi FA, Auf FA, Metwally SS, Mosaad YM, El-Wahab MA and Tawhid ZE: HLA-class II alleles in Egyptian patients with hepatocellular carcinoma. Immunol Invest. 37:661–674. 2008.

60 

De Re V, Caggiari L, Talamini R, Crovatto M, De Vita S, Mazzaro C, Cannizzaro R, Dolcetti R and Boiocchi M: Hepatitis C virus-related hepatocellular carcinoma and B-cell lymphoma patients show a different profile of major histocompatibility complex class II alleles. Hum Immunol. 65:1397–1404. 2004.

61 

Gamzatova Z, Villabona L, van der Zanden H, Haasnoot GW, Andersson E, Kiessling R, Seliger B, Kanter L, Dalianis T, Bergfeldt K and Masucci GV: Analysis of HLA class I-II haplotype frequency and segregation in a cohort of patients with advanced stage ovarian cancer. Tissue Antigens. 70:205–213. 2007.

62 

Kübler K, Arndt PF, Wardelmann E, Krebs D, Kuhn W and van der Ven K: HLA-class II haplotype associations with ovarian cancer. Int J Cancer. 119:2980–2985. 2006.

63 

Yang YC, Chang TY, Lee YJ, Su TH, Dang CW, Wu CC, Liu HF, Chu CC and Lin M: HLA-DRB1 alleles and cervical squamous cell carcinoma: Experimental study and meta-analysis. Hum Immunol. 67:331–340. 2006.

64 

Schiff MA, Apple RJ, Lin P, Nelson JL, Wheeler CM and Becker TM: HLA alleles and risk of cervical intraepithelial neoplasia among Southwestern American Indian women. Hum Immunol. 66:1050–1056. 2005.

65 

Guerini FR, Agliardi C, Zanzottera M, Delbue S, Pagani E, Tinelli C, Boldorini R, Car PG, Veggiani C and Ferrante P: Human leukocyte antigen distribution analysis in North Italian brain Glioma patients: An association with HLA-DRB1*14. J Neurooncol. 77:213–217. 2006.

66 

Masala MV, Carcassi C, Cottoni F, Mulargia M, Contu L and Cerimele D: Classic Kaposi's sarcoma in Sardinia HLA positive and negative associations. Int J Dermatol. 44:743–745. 2005.

67 

Reinders J, Rozemuller EH, Otten HG, van der Veken LT, Slootweg PJ and Tilanus MG: HLA and MICA associations with head and neck squamous cell carcinoma. Oral Oncol. 43:232–240. 2007.

68 

He X, Dong DD, Yie SM, Yang H, Cao M, Ye SR, Li K, Liu J and Chen J: HLA-G expression in human breast cancer: Implications for diagnosis and prognosis, and effect on allocytotoxic lymphocyte response after hormone treatment in vitro. Ann Surg Oncol. 17:1459–1469. 2010.

69 

Zidi I, Kharrat N, Sebai R, Zidi N, Ben Yahia H, Bouaziz A, Rifi H, Mezlini A and Rizzo R: Pregnancy and breastfeeding: A new theory for sHLA-G in breast cancer patients? Immunol Res. 64:636–639. 2016.

70 

Jung YW, Kim YT, Kim SW, Kim S, Kim JH, Cho NH and Kim JW: Correlation of human leukocyte antigen-G (HLA-G) expression and disease progression in epithelial ovarian cancer. Reprod Sci. 16:1103–1111. 2013.

71 

Lin A, Zhu CC, Chen HX, Chen BF, Zhang X, Zhang JG, Wang Q, Zhou WJ, Hu W, Yang HH, et al: Clinical relevance and functional implications for human leukocyte antigen-g expression in non-small-cell lung cancer. J Cell Mol Med. 14:2318–2329. 2010.

72 

Tronik-Le Roux D, Renard J, Vérine J, Renault V, Tubacher E, LeMaoult J, Rouas-Freiss N, Deleuze JF, Desgrandschamps F and Carosella ED: Novel landscape of HLA-G isoforms expressed in clear cell renal cell carcinoma patients. Mol Oncol. 11:1561–1578. 2017.

73 

Zheng J, Xu C, Chu D, Zhang X, Li J, Ji G, Hong L, Feng Q, Li X, Wu G, et al: Human leukocyte antigen G is associated with esophageal squamous cell carcinoma progression and poor prognosis. Immunol Lett. 161:13–19. 2014.

74 

Catamo E, Zupin L, Crovella S, Celsi F and Segat L: Non-classical MHC-I human leukocyte antigen (HLA-G) in hepatotropic viral infections and in hepatocellular carcinoma. Hum Immunol. 75:1225–1231. 2014.

75 

Kaprio T, Sariola H, Linder N, Lundin J, Kere J, Haglund C and Wedenoja S: HLA-G expression correlates with histological grade but not with prognosis in colorectal carcinoma. HLA. 98:213–217. 2021.

76 

Jiao F, Zhou J, Sun H, Song X and Song Y: Plasma soluble human leukocyte antigen G predicts the long-term prognosis in patients with colorectal cancer. Transl Cancer Res. 9:4011–4019. 2020.

77 

Cao M, Yie SM, Liu J, Ye SR, Xia D and Gao E: Plasma soluble HLA-G is a potential biomarker for diagnosis of colorectal, gastric, esophageal and lung cancer. Tissue Antigens. 78:120–128. 2011.

78 

Ferguson R, Ramanakumar AV, Richardson H, Tellier PP, Coutlée F, Franco EL and Roger M: Human leukocyte antigen (HLA)-E and HLA-G polymorphisms in human papillomavirus infection susceptibility and persistence. Hum Immunol. 72:337–341. 2011.

79 

Dutta N, Majumder D, Gupta A, Mazumder DN and Banerjee S: Analysis of human lymphocyte antigen class I expression in gastric cancer by reverse transcriptase-polymerase chain reaction. Hum Immunol. 66:164–169. 2005.

80 

Chen A, Shen Y, Xia M, Xu L, Pan N, Yin Y, Miao F, Shen C, Xie W and Zhang J: Expression of the nonclassical HLA class I and MICA/B molecules in human hepatocellular carcinoma. Neoplasma. 58:371–376. 2011.

81 

Zhou Y, Wu Z, Tang Y and Jia T: HLA-E gene polymorphisms and plasma soluble HLA-E levels and their relationship with genetic susceptibility to breast cancer. Xi Bao Yu Fen Zi Mian Yi Xue Za Zhi. 31:524–527. 2015.In Chinese.

82 

Mouchess ML and Anderson M: Central tolerance induction. Curr Top Microbiol Immunol. 373:69–86. 2014.

83 

Goulmy E, Termijtelen A, Bradley BA and van Rood JJ: Y-antigen killing by T cells of women is restricted by HLA. Nature. 266:544–545. 1977.

84 

Dersh D, Hollý J and Yewdell JW: A few good peptides: MHC class I-based cancer immunosurveillance and immunoevasion. Nat Rev Immunol. 21:116–128. 2021.

85 

Ryschich E, Nötzel T, Hinz U, Autschbach F, Ferguson J, Simon I, Weitz J, Fröhlich B, Klar E, Büchler MW and Schmidt J: Control of T-cell-mediated immune response by HLA class I in human pancreatic carcinoma. Clin Cancer Res. 11(2 Pt 1): 498–504. 2005.

86 

Yang W, Li Y, Gao R, Xiu Z and Sun T: MHC class I dysfunction of glioma stem cells escapes from CTL-mediated immune response via activation of Wnt/β-catenin signaling pathway. Oncogene. 39:1098–1111. 2020.

87 

Burr ML, Sparbier CE, Chan KL, Chan YC, Kersbergen A, Lam EYN, Azidis-Yates E, Vassiliadis D, Bell CC, Gilan O, et al: An evolutionarily conserved function of polycomb silences the MHC class I antigen presentation pathway and enables immune evasion in cancer. Cancer Cell. 36:385–401.e8. 2019.

88 

Chew GL, Campbell AE, De Neef E, Sutliff NA, Shadle SC, Tapscott SJ and Bradley RK: DUX4 suppresses MHC class I to promote cancer immune evasion and resistance to checkpoint blockade. Dev Cell. 50:658–671.e7. 2019.

89 

Zebertavage LK, Alice A, Crittenden MR and Gough MJ: Transcriptional upregulation of NLRC5 by radiation drives STING- and interferon-independent MHC-I expression on cancer cells and T cell cytotoxicity. Sci Rep. 10:73762020.

90 

Björkström NK, Strunz B and Ljunggren HG: Natural killer cells in antiviral immunity. Nat Rev Immunol. 22:112–123. 2022.

91 

Höglund P and Brodin P: Current perspectives of natural killer cell education by MHC class I molecules. Nat Rev Immunol. 10:724–734. 2010.

92 

Wolf NK, Kissiov DU and Raulet DH: Roles of natural killer cells in immunity to cancer, and applications to immunotherapy. Nat Rev Immunol. 23:90–105. 2023.

93 

Ferrari de Andrade L, Tay RE, Pan D, Luoma AM, Ito Y, Badrinath S, Tsoucas D, Franz B, May KF Jr, Harvey CJ, et al: Antibody-mediated inhibition of MICA and MICB shedding promotes NK cell-driven tumor immunity. Science. 359:1537–1542. 2018.

94 

Jarduli LR, Sell AM, Reis PG, Sippert EÂ, Ayo CM, Mazini PS, Alves HV, Teixeira JJ and Visentainer JE: Role of HLA, KIR, MICA, and cytokines genes in leprosy. Biomed Res Int. 2013:9898372013.

95 

Chen D and Gyllensten U: MICA polymorphism: Biology and importance in cancer. Carcinogenesis. 35:2633–2642. 2014.

96 

Lo SS, Lee YJ, Wu CW, Liu CJ, Huang JW and Lui WY: The increase of MICA gene A9 allele associated with gastric cancer and less schirrous change. Br J Cancer. 90:1809–1813. 2004.

97 

Chung-Ji L, Yann-Jinn L, Hsin-Fu L, Ching-Wen D, Che-Shoa C, Yi-Shing L and Kuo-Wei C: The increase in the frequency of MICA gene A6 allele in oral squamous cell carcinoma. J Oral Pathol Med. 31:323–328. 2002.

98 

Moretta L, Bottino C, Cantoni C, Mingari MC and Moretta A: Human natural killer cell function and receptors. Curr Opin Pharmacol. 1:387–391. 2001.

99 

Moretta A, Parolini S, Castriconi R, Bottino C, Vitale M, Sivori S and Millo R: Function and specificity of human natural killer cell receptors. Eur J Immunogenet. 24:455–468. 1997.

100 

Wu J, Song Y, Bakker AB, Bauer S, Spies T, Lanier LL and Phillips JH: An activating immunoreceptor complex formed by NKG2D and DAP10. Science. 285:730–732. 1999.

101 

Danier AC, de Melo RP, Napimoga MH and Laguna-Abreu MT: The role of natural killer cells in chronic myeloid leukemia. Rev Bras Hematol Hemoter. 33:216–220. 2011.

102 

Nwangwu CA, Weiher H and Schmidt-Wolf IGH: Increase of CIK cell efficacy by upregulating cell surface MICA and inhibition of NKG2D ligand shedding in multiple myeloma. Hematol Oncol. 35:719–725. 2017.

103 

Zhang C, Tian ZG, Zhang J, Feng JB, Zhang JH and Xu XQ: The negative regulatory effect of IFN-gamma on cognitive function of human natural killer cells. Zhonghua Zhong Liu Za Zhi. 26:324–327. 2004.In Chinese.

104 

Kuroda H, Saito H and Ikeguchi M: Decreased number and reduced NKG2D expression of Vδ1 γδ T cells are involved in the impaired function of Vδ1 γδ T cells in the tissue of gastric cancer. Gastric Cancer. 15:433–439. 2012.

105 

Qi J, Peng P, Dai MH, Li YH, Cui LX and He W: Cytotoxicity of MICA-reactive V delta 1 gamma delta T cells towards epithelial tumor cells. Zhongguo Yi Xue Ke Xue Yuan Xue Bao. 26:1–7. 2004.In Chinese.

106 

Lv D, Khawar MB, Liang Z, Gao Y and Sun H: Neoantigens and NK Cells: 'Trick or Treat' the Cancers? Front Immunol. 13:9318622022.

107 

Bertolino P and Rabourdin-Combe C: The MHC class II-associated invariant chain: A molecule with multiple roles in MHC class II biosynthesis and antigen presentation to CD4+ T cells. Crit Rev Immunol. 16:359–379. 1996.

108 

Qian J, Luo F, Yang J, Liu J, Liu R, Wang L, Wang C, Deng Y, Lu Z, Wang Y, et al: TLR2 promotes glioma immune evasion by downregulating MHC class II molecules in microglia. Cancer Immunol Res. 6:1220–1233. 2018.

109 

Tarafdar A, Hopcroft LE, Gallipoli P, Pellicano F, Cassels J, Hair A, Korfi K, Jørgensen HG, Vetrie D, Holyoake TL and Michie AM: CML cells actively evade host immune surveillance through cytokine-mediated downregulation of MHC-II expression. Blood. 129:199–208. 2017.

110 

McCaw TR, Li M, Starenki D, Cooper SJ, Liu M, Meza-Perez S, Arend RC, Buchsbaum DJ, Forero A and Randall TD: The expression of MHC class II molecules on murine breast tumors delays T-cell exhaustion, expands the T-cell repertoire, and slows tumor growth. Cancer Immunol Immunother. 68:175–188. 2019.

111 

Halder T, Pawelec G, Kirkin AF, Zeuthen J, Meyer HE, Kun L and Kalbacher H: Isolation of novel HLA-DR restricted potential tumor-associated antigens from the melanoma cell line FM3. Cancer Res. 57:3238–3244. 1997.

112 

Liu L, Wang L, Zhao L, He C and Wang G: The Role of HLA-G in tumor escape: Manipulating the phenotype and function of immune cells. Front Oncol. 10:5974682020.

113 

Curigliano G, Criscitiello C, Gelao L and Goldhirsch A: Molecular pathways: Human leukocyte antigen G (HLA-G). Clin Cancer Res. 19:5564–5571. 2013.

114 

Salomé B, Sfakianos JP, Ranti D, Daza J, Bieber C, Charap A, Hammer C, Banchereau R, Farkas AM, Ruan DF, et al: NKG2A and HLA-E define an alternative immune checkpoint axis in bladder cancer. Cancer Cell. 40:1027–1043.e9. 2022.

115 

Maeda A, Kawamura T, Ueno T, Usui N, Eguchi H and Miyagawa S: The suppression of inflammatory macro-phage-mediated cytotoxicity and proinflammatory cytokine production by transgenic expression of HLA-E. Transpl Immunol. 29:76–81. 2013.

116 

Chua HL, Serov Y and Brahmi Z: Regulation of FasL expression in natural killer cells. Hum Immunol. 65:317–327. 2004.

117 

Chen X, Lin Y, Yue S, Yang Y, Wang X, Pan Z, Yang X, Gao L, Zhou J, Li Z, et al: Differential expression of inhibitory receptor NKG2A distinguishes disease-specific exhausted CD8+ T cells. MedComm. 2020:3e1112022.

118 

Schumacher T, Bunse L, Pusch S, Sahm F, Wiestler B, Quandt J, Menn O, Osswald M, Oezen I, Ott M, et al: A vaccine targeting mutant IDH1 induces antitumour immunity. Nature. 512:324–327. 2014.

119 

Li Y, Jiang W and Mellins ED: TCR-like antibodies targeting autoantigen-mhc complexes: A mini-review. Front Immunol. 13:9684322022.

120 

Schachner LF, Phung W, Han G, Darwish M, Bell A, Mellors JS, Srzentic K, Huguet R, Blanchette C and Sandoval W: High-Throughput, quantitative analysis of peptide-exchanged MHCI Complexes by native mass spectrometry. Anal Chem. 94:14593–14602. 2022.

121 

Pourchet A, Fuhrmann SR, Pilones KA, Demaria S, Frey AB, Mulvey M and Mohr I: CD8(+) T-cell immune evasion enables oncolytic virus immunotherapy. EBioMedicine. 5:59–67. 2016.

122 

Fischer C, Munks MW, Hill AB, Kroczek RA, Bissinger S, Brand V, Schmittnaegel M, Imhof-Jung S, Hoffmann E, Herting F, et al: Vaccine-induced CD8 T cells are redirected with peptide-MHC class I-IgG antibody fusion proteins to eliminate tumor cells in vivo. MAbs. 12:18348182020.

123 

Eshkiki ZS, Agah S, Tabaeian SP, Sedaghat M, Dana F, Talebi A and Akbari A: Neoantigens and their clinical applications in human gastrointestinal cancers. World J Surg Oncol. 20:3212022.

124 

Duperret EK, Perales-Puchalt A, Stoltz R, G H H, Mandloi N, Barlow J, Chaudhuri A, Sardesai NY and Weiner DB: A Synthetic DNA, multi-neoantigen vaccine drives predominately MHC Class I CD8+ T-cell responses, impacting tumor challenge. Cancer Immunol Res. 7:174–182. 2019.

125 

Tran E: Neoantigen-Specific T cells in adoptive cell therapy. Cancer J. 28:278–284. 2022.

126 

Alspach E, Lussier DM, Miceli AP, Kizhvatov I, DuPage M, Luoma AM, Meng W, Lichti CF, Esaulova E, Vomund AN, et al: MHC-II neoantigens shape tumour immunity and response to immunotherapy. Nature. 574:696–701. 2019.

127 

Marty Pyke R, Thompson WK, Salem RM, Font-Burgada J, Zanetti M and Carter H: Evolutionary Pressure against MHC Class II binding cancer mutations. Cell. 175:416–428.e13. 2018.

128 

Robbins PF: Tumor-Infiltrating lymphocyte therapy and neoantigens. Cancer J. 23:138–143. 2017.

129 

Jiang S, Geng S, Luo X, Zhang C, Yu Y, Cheng M, Zhang S, Shi N and Dong M: Biomarkers of related driver genes predict anti-tumor efficacy of immune checkpoint inhibitors. Front Immunol. 13:9957852022.

130 

Huang X, Zhang X, Bai X and Liang T: Eating self for not be eaten: Pancreatic cancer suppresses self-immunogenicity by autophagy-mediated MHC-I degradation. Signal Transduct Target Ther. 5:942020.

131 

Münz C: Canonical and non-canonical functions of the autophagy machinery in MHC restricted antigen presentation. Front Immunol. 13:8688882022.

132 

Friedman LA, Bullock TN, Sloan EA, Ring KL and Mills AM: MHC class I loss in endometrial carcinoma: A potential resistance mechanism to immune checkpoint inhibition. Mod Pathol. 34:627–636. 2021.

133 

Deng Y, Xia X, Zhao Y, Zhao Z, Martinez C, Yin W, Yao J, Hang Q, Wu W, Zhang J, et al: Glucocorticoid receptor regulates PD-L1 and MHC-I in pancreatic cancer cells to promote immune evasion and immunotherapy resistance. Nat Commun. 12:70412021.

134 

Westrich JA, Vermeer DW, Silva A, Bonney S, Berger JN, Cicchini L, Greer RO, Song JI, Raben D, Slansky JE, et al: CXCL14 suppresses human papillomavirus-associated head and neck cancer through antigen-specific CD8+ T-cell responses by upregulating MHC-I expression. Oncogene. 38:7166–7180. 2019.

135 

Zheng X, Sun Y, Li Y, Ma J, Lv Y, Hu Y, Zhou Y and Zhang J: A novel tongue squamous cell carcinoma cell line escapes from immune recognition due to genetic alterations in HLA Class I Complex. Cells. 12:352022.

136 

Aparicio B, Repáraz D, Ruiz M, Llopiz D, Silva L, Vercher E, Theunissen P, Tamayo I, Smerdou C, Igea A, et al: Identification of HLA class I-restricted immunogenic neoantigens in triple negative breast cancer. Front Immunol. 13:9858862022.

137 

Gorris MAJ, van der Woude LL, Kroeze LI, Bol K, Verrijp K, Amir AL, Meek J, Textor J, Figdor CG and de Vries IJM: Paired primary and metastatic lesions of patients with ipilimumab-treated melanoma: High variation in lymphocyte infiltration and HLA-ABC expression whereas tumor mutational load is similar and correlates with clinical outcome. J Immunother Cancer. 10:e0043292022.

Related Articles

  • Abstract
  • View
  • Download
  • Twitter
Copy and paste a formatted citation
Spandidos Publications style
Liu D, Mou F, An M and Xia P: Human leukocyte antigen and tumor immunotherapy (Review). Int J Oncol 62: 68, 2023.
APA
Liu, D., Mou, F., An, M., & Xia, P. (2023). Human leukocyte antigen and tumor immunotherapy (Review). International Journal of Oncology, 62, 68. https://doi.org/10.3892/ijo.2023.5516
MLA
Liu, D., Mou, F., An, M., Xia, P."Human leukocyte antigen and tumor immunotherapy (Review)". International Journal of Oncology 62.6 (2023): 68.
Chicago
Liu, D., Mou, F., An, M., Xia, P."Human leukocyte antigen and tumor immunotherapy (Review)". International Journal of Oncology 62, no. 6 (2023): 68. https://doi.org/10.3892/ijo.2023.5516
Copy and paste a formatted citation
x
Spandidos Publications style
Liu D, Mou F, An M and Xia P: Human leukocyte antigen and tumor immunotherapy (Review). Int J Oncol 62: 68, 2023.
APA
Liu, D., Mou, F., An, M., & Xia, P. (2023). Human leukocyte antigen and tumor immunotherapy (Review). International Journal of Oncology, 62, 68. https://doi.org/10.3892/ijo.2023.5516
MLA
Liu, D., Mou, F., An, M., Xia, P."Human leukocyte antigen and tumor immunotherapy (Review)". International Journal of Oncology 62.6 (2023): 68.
Chicago
Liu, D., Mou, F., An, M., Xia, P."Human leukocyte antigen and tumor immunotherapy (Review)". International Journal of Oncology 62, no. 6 (2023): 68. https://doi.org/10.3892/ijo.2023.5516
Follow us
  • Twitter
  • LinkedIn
  • Facebook
About
  • Spandidos Publications
  • Careers
  • Cookie Policy
  • Privacy Policy
How can we help?
  • Help
  • Live Chat
  • Contact
  • Email to our Support Team