Spandidos Publications Logo
  • About
    • About Spandidos
    • Aims and Scopes
    • Abstracting and Indexing
    • Editorial Policies
    • Reprints and Permissions
    • Job Opportunities
    • Terms and Conditions
    • Contact
  • Journals
    • All Journals
    • Oncology Letters
      • Oncology Letters
      • Information for Authors
      • Editorial Policies
      • Editorial Board
      • Aims and Scope
      • Abstracting and Indexing
      • Bibliographic Information
      • Archive
    • International Journal of Oncology
      • International Journal of Oncology
      • Information for Authors
      • Editorial Policies
      • Editorial Board
      • Aims and Scope
      • Abstracting and Indexing
      • Bibliographic Information
      • Archive
    • Molecular and Clinical Oncology
      • Molecular and Clinical Oncology
      • Information for Authors
      • Editorial Policies
      • Editorial Board
      • Aims and Scope
      • Abstracting and Indexing
      • Bibliographic Information
      • Archive
    • Experimental and Therapeutic Medicine
      • Experimental and Therapeutic Medicine
      • Information for Authors
      • Editorial Policies
      • Editorial Board
      • Aims and Scope
      • Abstracting and Indexing
      • Bibliographic Information
      • Archive
    • International Journal of Molecular Medicine
      • International Journal of Molecular Medicine
      • Information for Authors
      • Editorial Policies
      • Editorial Board
      • Aims and Scope
      • Abstracting and Indexing
      • Bibliographic Information
      • Archive
    • Biomedical Reports
      • Biomedical Reports
      • Information for Authors
      • Editorial Policies
      • Editorial Board
      • Aims and Scope
      • Abstracting and Indexing
      • Bibliographic Information
      • Archive
    • Oncology Reports
      • Oncology Reports
      • Information for Authors
      • Editorial Policies
      • Editorial Board
      • Aims and Scope
      • Abstracting and Indexing
      • Bibliographic Information
      • Archive
    • Molecular Medicine Reports
      • Molecular Medicine Reports
      • Information for Authors
      • Editorial Policies
      • Editorial Board
      • Aims and Scope
      • Abstracting and Indexing
      • Bibliographic Information
      • Archive
    • World Academy of Sciences Journal
      • World Academy of Sciences Journal
      • Information for Authors
      • Editorial Policies
      • Editorial Board
      • Aims and Scope
      • Abstracting and Indexing
      • Bibliographic Information
      • Archive
    • International Journal of Functional Nutrition
      • International Journal of Functional Nutrition
      • Information for Authors
      • Editorial Policies
      • Editorial Board
      • Aims and Scope
      • Abstracting and Indexing
      • Bibliographic Information
      • Archive
    • International Journal of Epigenetics
      • International Journal of Epigenetics
      • Information for Authors
      • Editorial Policies
      • Editorial Board
      • Aims and Scope
      • Abstracting and Indexing
      • Bibliographic Information
      • Archive
    • Medicine International
      • Medicine International
      • Information for Authors
      • Editorial Policies
      • Editorial Board
      • Aims and Scope
      • Abstracting and Indexing
      • Bibliographic Information
      • Archive
  • Articles
  • Information
    • Information for Authors
    • Information for Reviewers
    • Information for Librarians
    • Information for Advertisers
    • Conferences
  • Language Editing
Spandidos Publications Logo
  • About
    • About Spandidos
    • Aims and Scopes
    • Abstracting and Indexing
    • Editorial Policies
    • Reprints and Permissions
    • Job Opportunities
    • Terms and Conditions
    • Contact
  • Journals
    • All Journals
    • Biomedical Reports
      • Information for Authors
      • Editorial Policies
      • Editorial Board
      • Aims and Scope
      • Abstracting and Indexing
      • Bibliographic Information
      • Archive
    • Experimental and Therapeutic Medicine
      • Information for Authors
      • Editorial Policies
      • Editorial Board
      • Aims and Scope
      • Abstracting and Indexing
      • Bibliographic Information
      • Archive
    • International Journal of Epigenetics
      • Information for Authors
      • Editorial Policies
      • Editorial Board
      • Aims and Scope
      • Abstracting and Indexing
      • Bibliographic Information
      • Archive
    • International Journal of Functional Nutrition
      • Information for Authors
      • Editorial Policies
      • Editorial Board
      • Aims and Scope
      • Abstracting and Indexing
      • Bibliographic Information
      • Archive
    • International Journal of Molecular Medicine
      • Information for Authors
      • Editorial Policies
      • Editorial Board
      • Aims and Scope
      • Abstracting and Indexing
      • Bibliographic Information
      • Archive
    • International Journal of Oncology
      • Information for Authors
      • Editorial Policies
      • Editorial Board
      • Aims and Scope
      • Abstracting and Indexing
      • Bibliographic Information
      • Archive
    • Medicine International
      • Information for Authors
      • Editorial Policies
      • Editorial Board
      • Aims and Scope
      • Abstracting and Indexing
      • Bibliographic Information
      • Archive
    • Molecular and Clinical Oncology
      • Information for Authors
      • Editorial Policies
      • Editorial Board
      • Aims and Scope
      • Abstracting and Indexing
      • Bibliographic Information
      • Archive
    • Molecular Medicine Reports
      • Information for Authors
      • Editorial Policies
      • Editorial Board
      • Aims and Scope
      • Abstracting and Indexing
      • Bibliographic Information
      • Archive
    • Oncology Letters
      • Information for Authors
      • Editorial Policies
      • Editorial Board
      • Aims and Scope
      • Abstracting and Indexing
      • Bibliographic Information
      • Archive
    • Oncology Reports
      • Information for Authors
      • Editorial Policies
      • Editorial Board
      • Aims and Scope
      • Abstracting and Indexing
      • Bibliographic Information
      • Archive
    • World Academy of Sciences Journal
      • Information for Authors
      • Editorial Policies
      • Editorial Board
      • Aims and Scope
      • Abstracting and Indexing
      • Bibliographic Information
      • Archive
  • Articles
  • Information
    • For Authors
    • For Reviewers
    • For Librarians
    • For Advertisers
    • Conferences
  • Language Editing
Login Register Submit
  • This site uses cookies
  • You can change your cookie settings at any time by following the instructions in our Cookie Policy. To find out more, you may read our Privacy Policy.

    I agree
Search articles by DOI, keyword, author or affiliation
Search
Advanced Search
presentation
Molecular and Clinical Oncology
Join Editorial Board Propose a Special Issue
Print ISSN: 2049-9450 Online ISSN: 2049-9469
Journal Cover
November-2022 Volume 17 Issue 5

Full Size Image

Sign up for eToc alerts
Recommend to Library

Journals

International Journal of Molecular Medicine

International Journal of Molecular Medicine

International Journal of Molecular Medicine is an international journal devoted to molecular mechanisms of human disease.

International Journal of Oncology

International Journal of Oncology

International Journal of Oncology is an international journal devoted to oncology research and cancer treatment.

Molecular Medicine Reports

Molecular Medicine Reports

Covers molecular medicine topics such as pharmacology, pathology, genetics, neuroscience, infectious diseases, molecular cardiology, and molecular surgery.

Oncology Reports

Oncology Reports

Oncology Reports is an international journal devoted to fundamental and applied research in Oncology.

Experimental and Therapeutic Medicine

Experimental and Therapeutic Medicine

Experimental and Therapeutic Medicine is an international journal devoted to laboratory and clinical medicine.

Oncology Letters

Oncology Letters

Oncology Letters is an international journal devoted to Experimental and Clinical Oncology.

Biomedical Reports

Biomedical Reports

Explores a wide range of biological and medical fields, including pharmacology, genetics, microbiology, neuroscience, and molecular cardiology.

Molecular and Clinical Oncology

Molecular and Clinical Oncology

International journal addressing all aspects of oncology research, from tumorigenesis and oncogenes to chemotherapy and metastasis.

World Academy of Sciences Journal

World Academy of Sciences Journal

Multidisciplinary open-access journal spanning biochemistry, genetics, neuroscience, environmental health, and synthetic biology.

International Journal of Functional Nutrition

International Journal of Functional Nutrition

Open-access journal combining biochemistry, pharmacology, immunology, and genetics to advance health through functional nutrition.

International Journal of Epigenetics

International Journal of Epigenetics

Publishes open-access research on using epigenetics to advance understanding and treatment of human disease.

Medicine International

Medicine International

An International Open Access Journal Devoted to General Medicine.

Journal Cover
November-2022 Volume 17 Issue 5

Full Size Image

Sign up for eToc alerts
Recommend to Library

  • Article
  • Citations
    • Cite This Article
    • Download Citation
    • Create Citation Alert
    • Remove Citation Alert
    • Cited By
  • Similar Articles
    • Related Articles (in Spandidos Publications)
    • Similar Articles (Google Scholar)
    • Similar Articles (PubMed)
  • Download PDF
  • Download XML
  • View XML

  • Supplementary Files
    • Supplementary_Data1.pdf
    • Supplementary_Data2.pdf
Article Open Access

Methanol extraction revealed anticancer compounds Quinic Acid, 2(5H)‑Furanone and Phytol in Andrographis paniculata

  • Authors:
    • Pawan Kumar Anoor
    • A Nichita Yadav
    • Karthik Rajkumar
    • Ramesh Kande
    • Chaturvedula Tripura
    • K Srinivas Naik
    • Sandeepta Burgula
  • View Affiliations / Copyright

    Affiliations: Department of Microbiology, University College of Science, Osmania University, Hyderabad, Telangana 500007, India, CSIR‑Centre for Cellular and Molecular Biology Annexe‑II, Medical Biotechnology Campus, Annexe‑II, Hyderabad, Telangana 500007, India, Centre for Plant Molecular Biology, Osmania University, Hyderabad, Telangana 500007, India
    Copyright: © Anoor et al. This is an open access article distributed under the terms of Creative Commons Attribution License.
  • Article Number: 151
    |
    Published online on: September 13, 2022
       https://doi.org/10.3892/mco.2022.2584
  • Expand metrics +
Metrics: Total Views: 0 (Spandidos Publications: | PMC Statistics: )
Metrics: Total PDF Downloads: 0 (Spandidos Publications: | PMC Statistics: )
Cited By (CrossRef): 0 citations Loading Articles...

This article is mentioned in:



Abstract

Andrographis paniculata (Ap) has been a part of traditional medicine for its anti‑inflammatory effects, treatment of snake bites and liver abnormalities. Several investigations have revealed its bioactive components to be andrographolides. The methanolic extracts of leaves from Ap were characterized, the non‑andrographolides were identified and screened for anti‑proliferative activity. The extracts showed significant toxicity against numerous cancer cells including HeLa, MCF7, BT549, 293 and A549 cells. Anti‑proliferative activity and effect on cancer cell invasion (metastatic potential) and cell migration were examined. The extracts revealed significant inhibition of the ability of HeLa cells in repairing the gap created by a vertical wound made on a confluent cell monolayer. Similarly, a 40% reduction in cell migration was observed in presence of the extracts. Significant anti‑angiogenic activity in terms of reduced blood capillary formation was observed on the Chorioallantoic membranes of embryonated hen eggs co‑inoculated with HeLa cells and the extracts. Analysis of HeLa cells treated with the extracts using flow cytometry indicated the arrest of cell cycle progression at the G2/M phase. Variation in the Bax/Bcl‑2 ratio and elevated caspase‑3 levels by immunoblotting confirmed cell death induction via the apoptotic pathway. Investigation of the extracts by gas chromatography‑mass spectrometry displayed the predominant components to be 2(5H)‑Furanone (14.73%), Quinic acid (17.32%), and Phytol (11.43%). These components have been previously known to have anticancer activity, while being studied individually in other plants. This is the first study, to the best of our knowledge, on the anti‑proliferative and anti‑angiogenic activity of the non‑andrographolide components from Ap.

Introduction

Phytomedicine has been used in chemoprotection and treatment of several types of cancer, due to the anti-proliferative activity of numerous plant-based compounds (1). Numerous chemotherapeutics are frequently obtained as derivatives of biological products used in traditional medicine (2) (Table SI). Hence, using medicinal plants with therapeutic properties is a valuable alternative and promising for pharmaceutical agents (3). Plants are abundant in a large collection of secondary metabolites and phytochemical elements such as alkaloids, flavonoids, tannins and terpenoids useful against various diseases (4-6). Phytomedicines are proving to be an inexpensive source for treatment and substantial precision than commercial chemotherapeutic agents (7). As the therapeutic options available for chronic and acute illnesses are significantly reduced, the search for new chemotherapeutic agents that may be applied as a treatment for these types of acute and chronic diseases increases (8,9). According to the reports from WHO, ~80% population from developing countries have been using herbal products for primary ailments. Numerous surveys also indicated that around 60% of patients with cancer have used some form of natural products for treatment (10-12). However, only a few medicinal plants applied have been scientifically assessed for their anticancer properties. The idea of deriving therapeutic drugs from natural products is therefore attractive for devising treatment strategies.

Andrographis paniculata (Ap) (Burm.f.) Nees or ‘King of Bitters, is a small, branched, annual plant belonging to the family Acanthaceae, has been used extensively in Unani, Siddha and Ayurveda (Table SI) (13). It is abundant in a broad range of phytochemical constituents such as flavonoids, diterpenes and lactones (12). In traditional medicine it is used in the treatment of fever, sore throat, upper respiratory tract and gastrointestinal diseases, hepatitis and a range of other chronic illnesses as well as infectious diseases (13,14). The herb and its components andrographolide, isoandrographolide and neoandrographolide have been reported to possess anti-inflammatory (15-17), hepatoprotective, antidiabetic (18), antimalarial (19), antimicrobial (20), anti-HIV, immuno-stimulatory (21) and anticancer activity (22,23).

Constant pursuit for natural compounds with the ability to target cancer cells is presently gathering much interest in the field of oncology (24). The andrographolide extracts have been revealed to suppress the development of cancer cells by inhibiting kinase pathways NF-kappaB, PI3K/AKT and induce apoptosis (25,26). The crude dichloromethane extract of the plant inhibits colon cancer cell proliferation and increased production of human peripheral blood lymphocytes at smaller concentrations (27). Ap extracts are known to have potential anti-metastatic and antitumor effect on esophageal cancer (28). Andrographolide, the key bioactive component of Ap has been shown to prevent the development of a diversity of cancer cells corresponding to various types of human cancer (29), including leukemia, melanoma, lung and breast cancer (30,31). Most of the aforementioned studies reported the activity of the andrographolides components of the AP extracts. In the present study, the anticancer activity of non-andrographolide components of Ap extracts was evaluated and the bioactive compounds were characterized. For the first time, to the best of our knowledge, a new set of compounds from the Ap extracts whose extracts exhibit anticancer activity was reported.

Materials and methods

Chemicals

MTT (cat. no. TC191) and dimethyl sulphoxide (DMSO; cat. no. MB058) were purchased from HiMedia Laboratories, LLC. RPMI-1640 medium and DMEM were procured from Hyclone; Cytiva. EZdetect PCR kit for Mycoplasma Detection (cat. no. CCK009) and LPS (Escherichia coli O55:B5) were obtained from Sigma-Aldrich; Merck KGaA. Fetal bovine serum (FBS) was purchased from Gibco; Thermo Fisher Scientific, Inc.) and SYBR Green Master Mix was obtained from Applied Biosystems; Thermo Fisher Scientific, Inc. Primary antibodies (Bcl-2, Bax, Caspase-3 and β-actin) were procured from Cell Signalling Technology, Inc. and polyclonal secondary antibodies were obtained from Thermo Fisher Scientific, Inc.

Collection of plant material

Ap is known in India as Nelavemu, Kalamegh, nilavempu, commonly known as King of Bitters and Green chiretta in English. Finely powdered plant leaves were purchased from Wonder herbals, Hyderabad, India (Batch number 10, GMP certified). The components were checked for the presence of any visible contaminants such as unsafe foreign material, sand, stones and poisonous chemical residues. The powder was entirely free of moulds or insects. As microbial contaminants can produce toxins, thin layer chromatography was performed to detect contamination from other plants using original plant leaf extract as control. The plant name has been checked with https://www.theplantlist.org.

Preparation of experimental plant extracts

A total of 10 g of pulverized leaf powder was macerated for 72 h in 100 ml of methanol at room temperature in orbital shaker (80 x g). In the present study, the method used to extract and identify bio-active compounds from Ap is somewhat different in terms of using the organic extraction method as this method could help in extraction of a new set of compounds previously unknown to be present in the plant. Filtrate was obtained by Whatman filtration and a crude extract was obtained after the evaporation of the methanol to complete dryness under reduced pressure following rotary evaporation at 55˚C, which yielded a dark green residue of ~5.75 g (26% w/w). The extract was preserved in sterile tubes under refrigerated conditions (2-8˚C) until further use. The final concentration of methanol was always <1% in the experimental solution.

Phytochemical screening

Phytochemical investigation of extracts was conducted to detect the occurrence of various chemical components. Air-dried plant extract was examined to check for existence of tannins, steroids, flavonoids, alkaloids, triterpenoids, saponins, cardioglycosides and anthraquinones, as previously described (32).

Gas chromatography-mass spectrometry (GC-MS) analysis

Gas chromatography is used to identify bioactive constituents like alkaloids, steroids, ester, short and long-chain hydrocarbons, acids, alcohols, amino and nitro compounds (33,34). Samples were analyzed using Gas Chromatograph Mass Spectrophotometer GC-2010, MS QP2010 (Shimadzu, Japan). Capillary column used for Chromatographic separation was from Restek Rxi-5MS (Shimadzu Corporation) was performed via Argon gas as carrier in a continuous flow rate mode at the rate of 2 ml/min. The GC oven temperature was progressively raised to 120˚C at the rate of 5˚C/min, then up to 150˚C at the rate of 2˚C/min and 10˚C/min up to 240˚C, with a total run time of 36 min. The ion source, injector, and interface were maintained at 230, 250 and 280˚C, respectively. Detection was operated by selected ion monitoring mode and injection volume was kept at 1 µl.

Cell culture

Human cervical cancer cell line (HeLa-CCL-2; RRID: CVCL_0030), Human breast adenocarcinoma cell line (MCF7-HTB-22; RRID: CVCL_0030), Human alveolar basal epithelial cell line (A549-CCL-185; RRID: CVCL_0023), Human embryonic kidney 293 cell line (293-CRL-1573; RRID: CVCL_0045), Human invasive ductal carcinoma cell line (BT549-HTB-122; RRID: CVCL_1092) and a normal cell line human foreskin fibroblasts (HFF-1-SCRC-1041; RRID: CVCL_3285) were obtained from National Centre for Cell Science (NCCS) and were used to test anticancer potential of Ap extracts. All the cell lines used were cultured in DMEM with 10% FBS in an incubator containing 5% CO2 at 37˚C. The cells upon reaching 80% confluency (2-3 days), were rinsed with plain media and trypsinized, counted using trypan blue (0.4% Trypan Blue solution; Thermo Fisher Scientific, Inc.) staining method and seeded into six-well plates for further studies. PCR-based detection of Mycoplasma was performed for all the cell lines used in the study using EZdetect (Himedia Laboratories, LLC) as it is one of the most rapid, sensitive and convenient methods for detection of mycoplasma contamination. The primer set is specific to the highly conserved 16S rRNA coding region in the Mycoplasma genome. The cell lines were authenticated at NCCS using16 Short Tandem Repeat loci analysis as recommended by the American Type Culture Collection (ATCC).

Screening of Ap extracts for cytotoxicity against cancer cells

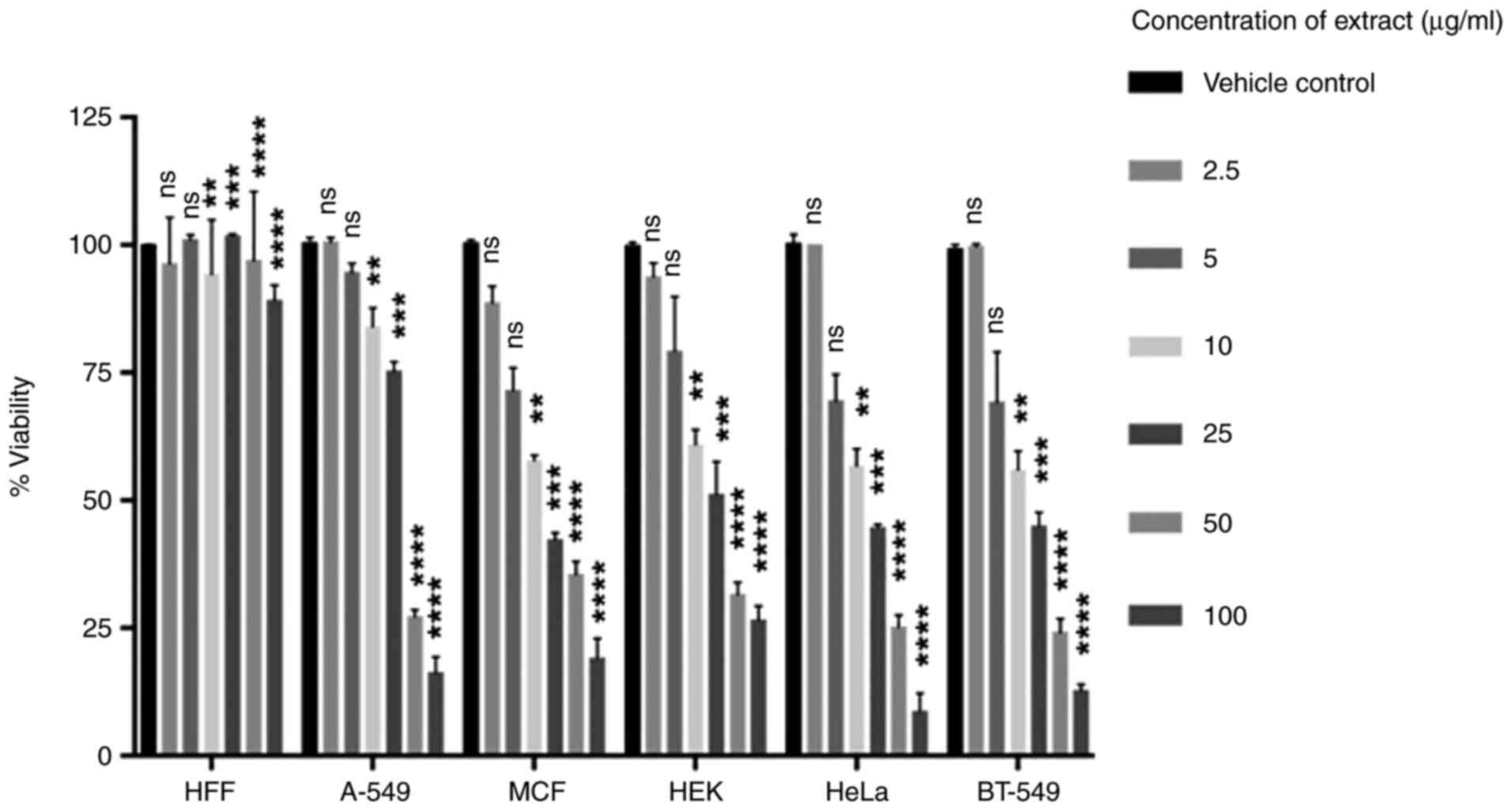
This bioactive component is extracted using methanol-based extraction method. In the present study, the leaf extract was prepared directly using methanol. To check for the cytotoxicity of the extracts on the different cancer cells while HFF-1 cells served as a non-cancer control cells, MTT assay was performed using the following formula: Inhibition (%)=(A570 of treated cells-blank)/(A570 of control cells-blank) x100-Eq: 1. Effect of Ap extracts on cytotoxicity against cancer cells was assessed by MTT assay, which is based on the reduction of MTT into formazan by the cellular mitochondrial dehydrogenase in viable cells which yields blue/purple formazan crystals upon cleaving the tetrazolium ring. Based on the amount of reduction, the level of cell metabolism can be studied. A-549, MCF-7, HEK, Hela and BT549 cancer cell lines were examined for viability after treatment with extracts using MTT assay. Briefly, 1x104 cells were seeded onto a 96-well plate and exposed to 2-100 µg/ml of Ap extract for 24 h, after which the cells were treated with plain DMEM medium containing MTT (0.5 mg/ml) and incubated in the dark for 4 h. The formazan crystals formed after treatment were dissolved with DMSO and the optical density of the supernatants was measured at 570 nm (Fig. 2).

Figure 2

Effect of Ap extracts on cell toxicity. Cytotoxicity of Ap extracts is expressed as percentage of viability of cells. Statistical analyses were performed by One-way ANOVA, followed by Tukey's post-hoc test. Data obtained from three individual experiments was compared between each of the treatments with their respective vehicle control (methanol) expressed as the mean ± SD. **P<0.01, ***P<0.001 and ****P<0.0001 vs. vehicle control. Ap, Andrographis paniculata; ns, non-significant.

Flow cytometry for cell cycle analysis

Propidium iodide (PI)-based measurement of the DNA content in cells by flow cytometry. Cell cycle analysis was performed using Flow Jo software (version 10; Becton, Dickinson and Company). HeLa cells at a density of 1x106 cells per well were seeded onto six-well plates and treated with Ap extracts (25, 50 and 100 µg/ml) for 24 h. After treatment, the cells were detached using a cell scraper, washed with FACS buffer (PBS containing 2% FBS) and centrifuged at 801 x g for 10 min at room temperature. The cell pellet was resuspended and fixed in ice cold 70% ethanol dropwise and incubated at 4˚C for 2 h. The fixed cells were centrifuged at 961 x g for 8-10 min at room temperature and the resultant pellet was washed twice with FACS buffer. Finally, the cell pellet was suspended in 500 µl PBS containing PI (1 mg/ml), RNase A (20 µg/ml) and NP-40 (0.1%) and incubated in the dark for an additional 30 min. The stained cells were analyzed using a Guava flow cytometer (MilliporeSigma) to detect changes in DNA content based on PI staining. A common gating strategy was followed, wherein cells are distinguished by bivariate analyses of side scatter vs. forward scatters in terms of height and area of the scatter, respectively.

Immunoblotting

HeLa cells (2x106) were seeded per well in a six-well plate and treated with Ap extracts (25, 50 and 100 µg/ml) for 24 h. Treated cells were washed with PBS and lysed in RIPA buffer (Sigma-Aldrich; Merck KGaA) and the protein concentration was determined using Bradford's method and ~10 µg of protein was loaded into each well of a 12% gel and separated. Samples were immunoblotted onto a nitrocellulose membrane (Bio-Rad Laboratories, Inc.) via the Criterion blotting system (Bio-Rad Laboratories, Inc.). Membranes were blocked at 25˚C using 5% skimmed milk in TBST (20 mM Tris, 150 mM NaCl and 0.1% Tween 20) for 1 h and were subsequently incubated overnight at 4˚C with appropriate antibodies diluted (1:1,000) according to the manufacturer's protocol. The membranes were washed using TBST and incubated for 1 h at room temperature with appropriate HRP-conjugated secondary antibody (1:2,000). Bound secondary antibodies were detected using the enhanced chemiluminescence system (ECL; Bio-Rad Laboratories, Inc.). Images were acquired using LAS500 gel documentation System (Bio-Rad Laboratories, Inc.) and analyzed using ImageJ software (version 1.53a; National Institutes of Health). The relative intensity of the bands was calculated and expressed as ratio of treated vs. control. An average of independent experiments was used for representation.

In vitro cell migration assay

Scratch assay was performed in six-well plates as previously described (35-37). HeLa cells were cultured in DMEM medium containing 10% FBS until a confluent monolayer was formed. The monolayer was scratched with a sterile 10-µl micropipette tip to create a wound/gap of ~1 mm wide. Cells were washed twice with PBS to remove detached and loosely bound cells and the wells were replaced with fresh complete medium containing 25, 50 and 100 µg/ml of the plant extracts and the cells were cultured for 24 h. Images of the wounds were captured at 0 and 24 h under a microscope using EVOS XL Core Cell Imaging System. ImageJ software was used to measure the width of the scratch and cell migration was assessed. The results are presented as a mean percentage of inhibition of migration.

Chorioallantoic membrane (CAM) assay

Ap extracts were tested for anti-angiogenic activity using CAM of 9-day old fertilized hen eggs (n=64) (Gallus gallus) (Venkateshwara hatcheries, Hyderabad, Telangana, India). The shells of fertilized eggs were disinfected and incubated for 2 days at 37˚C with a relative humidity of 70-75%. The CAM layers were inoculated with 1x106 (100 µl) of HeLa cells in absence and presence of plant extracts at concentrations 25, 50 and 100 µg/ml, (n=4x8 groups) with PBS was used as a Placebo and the eggs were transferred to the incubator for 72 h with eggs turned three to five times each over a 24-h period. After incubation, the embryos were euthanized on the 14th day in a humane method by placing the eggs in a gas chamber and filling the chamber with 100% CO2 and maintaining it for 10 min (38), after which the embryos were inspected by candling to check for any movement. Later the shells were gradually broken and the embryo and yolk were removed. The developing vasculature on CAM was imaged and analyzed followed by manually counting the vessels. The vessels were counted by the experimenter and two unbiased individuals to authenticate the data. Changes in angiogenesis were evaluated by observing the secondary and tertiary blood capillaries. The secondary blood vessels are the fine blood vessels arising from the larger blood vessels while the tertiary vessels arise from the secondary vessels. For measurement of the area covered by different veins, capillary branching points were used as initiation and termination markers. All analyses were made in triplicates and any dead embryos were excluded from the present study. % Angiogenesis=(total number of Secondary blood vessels in treated-total number secondary blood vessels in untreated)/(total number of secondary blood vessels in vehicle control-total number secondary blood vessels in untreated) x100-Eq:2.

Cell invasion assay

Invasiveness of HeLa cells was tested in presence of Ap extracts by Transwell migration assay using Matrigel (Thermo Fisher Scientific, Inc.). Matrigel (20-30 µl) was added to each insert in a 24-well plate which was incubated in a CO2 incubator at 37˚C for 30 min. After incubation, DMEM with 1x106 HeLa cells in 1% FBS along with Ap extracts was added to each of the inserts. To the lower chamber, 600 µl of complete medium (containing 12% FBS) was added as a chemoattractant. These wells were incubated in an incubator with 5% CO2 at 37˚C for 24 h. The medium was removed carefully from the insert and the insert was fixed using 70% ethanol for 10 min at room temperature. After incubation, ethanol was aspirated carefully and the inserts were allowed to dry at room temperature. Cells were stained with 0.2% crystal violet for 2 min at room temperature followed by rinsing with 70% ethanol to remove the excess stain. Images of were captured using an inverted light microscope at x40 magnification (Nikon Corporation).

Statistical analysis

All analyses were performed in triplicates and these values were presented as the mean ± SD and plotted using GraphPad Prism 7.0 software (GraphPad Software, Inc.). Statistical comparisons were conducted using analysis of variance (One way-ANOVA and two way ANOVA) followed by Tukey's post hoc test. P<0.05 was considered to indicate a statistically significant difference.

Results

Chemical composition of methanolic extract of Ap

Methanol was used to prepare Ap extracts from dried and powdered leaves of Ap. The qualitative tests to show the presence of alkaloids, flavonoids, proteins, terpenoids, cardioglycosides and steroids were performed, results of which have been presented in Table I. In the present study, a method was used to extract and identify bio-active compounds from Ap which is somewhat different in terms of using the organic extraction method. This method could help in extraction of a new set of compounds previously unknown to be present in the plant. Previous studies have reported biological activity due to Andrographolides which are terpenoids, 5,7,2',3'-tetramethoxyflavone, an alkaloid and arabinogalactan, a protein, as certain of the major biologically active components in the plant. These have been widely studied in their applications in disease such as fever, infection and even cancers (39). To explore the presence and identification of more bioactive components, GC-MS was carried out.

Table I

Phytochemical screening of Ap extract. Phytochemicals in Ap comprised alkoloids, flavonoids, cardioglycosides, terpenoids and steroids, which might be responsible for the distinct anti-cancer activities of the extract. Note: (+) positive, (-) negative.

Table I

Phytochemical screening of Ap extract. Phytochemicals in Ap comprised alkoloids, flavonoids, cardioglycosides, terpenoids and steroids, which might be responsible for the distinct anti-cancer activities of the extract. Note: (+) positive, (-) negative.

Phyto-chemical compoundsTest performedMethanol extract of Ap
AlkaloidsMayer's test+
FlavonoidsAlkaline reagent test+
SaponinsFroth Test-
TanninsBraymers's Test-
PhenolsFerric Chloride test-
CardioglycosidesKeller-Killani test+
TerpenoidsCopper acetate test+
SteroidsBrown ring test+

[i] Ap, Andrographis paniculata.

Identification of components by GC-MS

Ap extracts displayed 21 peaks in the GC-MS chromatogram showing the presence of 21 phytochemical constituents (Fig. 1). The GC-MS data was interpreted using National Institute Standard and Techniques (NIST) database which comprises more than 62,000 patterns. By comparing the average peak area to the total area the relative percentage of each component in the mixture was estimated. By comparing the spectrum of the unknown component with that of a known component found in the NIST library, the molecular weights, structure and names of the components in the test materials were determined. Among all the compounds, 2(5H)-Furanone (14.73%), Quinic acid (QA; 17.32%) and Phytol (11.43%) were found to be the major phytochemical constituents, the retention time, molecular formula, molecular weight and concentrations of the compounds are presented in Table II. Apart from the three aforementioned components, 5-Hydroxymethylfurfural (4.75%) was also observed in some abundance, followed by Dimethyl sulfone (3.93%), 3,5-Dihydroxy-6-methyl-2,3-dihydro-4H-pyran-4-one (3.15%), 1,2-Cyclopentanedione (2.33%), 1-Ascorbic acid 2,6-dihexadecanoate (2.30%), 2-Propenoic acid (1.76%), Benzofuran, 2,3-dihydro-Coumaran (1.74%), 3,5-Dimethylanisole (1.23%), Hexadecanoic acid (1.17%) and 3-Furanmethanol (1.03%), 8,11,14-Docosatrienoic acid (0.89%), Benzenepropanoic acid (0.89%), Dibutyl phthalate (0.87%), 2(4H)-Benzofuranone (0.59%), 9-Heptadecanone (0.57%), 9,12-Octadecadienoicacid (0.57%), 2-Pentadecanone (0.52%), presented in Fig. S1 and Table SII.

Figure 1

A list of components identified by gas chromatography performed for crude methanolic extracts of Andrographis paniculata showing the major bioactive components.

Table II

Major compounds identified in the crude extract of Ap 2(5H)-Furanone (14.73%), Quinic acid (17.32%) and Phytol (11.43%) using gas chromatography-mass spectrometry analysis with its retention time, peak area and reported biological activities.

Table II

Major compounds identified in the crude extract of Ap 2(5H)-Furanone (14.73%), Quinic acid (17.32%) and Phytol (11.43%) using gas chromatography-mass spectrometry analysis with its retention time, peak area and reported biological activities.

S. No.CompoundsFormulaMolecular weight (g/mol)Retention timeArea%Biological activities(Refs.)
1.2(5H)-Furanone C4H4O2844.59114.73Anti-inflammatory, anticancer, antimicrobial, and antifungal activity(46-48)
2.Quinic acid C7H12O619213.2117.32Antioxidant activity, anti-inflammatory(53,55)
3.Phytol C22H42O233814.9111.43Antimicrobial, anticancer, anti-inflammatory and diuretic(56,57,62)
Methanol extracts of Ap show cytotoxicity against multiple cancer cell lines

The cytoxicity of the extracts was compared between different cancer cell lines in the concentration range of 2-100 µg/ml and expressed as percent viability (Fig. 2). A range of 25-100 µg/ml showed effective inhibition against cancer cell lines, wherein, a dose dependent increase in cytotoxicity was observed. However, at 25 µg/ml cell viability against MCF-7, Hela, and BT-549 cancer cell lines was observed to be less than 50%. The extracts demonstrated strong activity against cancer cell lines in vitro with IC50 <100 µg/ml. An IC50 of 50.347±1.975, 36.237±1.729, 43.779±5.516, 33.136±2.370, 33.514±2.261 µg/ml was recorded against A-549, MCF-7, HEK, HeLa and BT-549 cell lines, respectively. Inhibitory effects were observed from 5 µg/ml itself in MCF-7, HEK, HeLa and BT-549 cells whereas in A-549 cells, inhibition was observed from 25 µg/ml. Cell viability decreased significantly with increasing concentrations and at 25 µg/ml less than 50% viability was observed, i.e., 42.1, 45, and 43.8% cell viability in MCF-7, Hela and BT-549 cells respectively with no cytotoxicity against HFF cells.

Ap extracts inhibit angiogensis in CAM layer of eggs co-inoculated with HeLa cells

In order to assess the effect of the Ap extracts on the angiogeneis and cell migration, HeLa cell line was chosen for all the further expreriments as Ap extracts appeared to be exhibiting highest inhibition against HeLa as compared with the other cell lines examined. Ap extracts were able to reduce the in vivo angiogenesis induced by HeLa cancer cells on CAM of embryonated eggs (Fig. 3). In the CAM of untreated/placebo controls, secondary vessel number in the area covered did not show much change after 72 h, while in the Hela injected CAMs, (treated control) number of secondary vessels were higher after 72 h. In the CAMs injected with Hela and treated with the Ap extract, anti-angiogenic activity was observed to be dose-dependent showing a decrease in fresh capillary formation with increasing concentrations. Reduction in the secondary blood vessel formation was observed as 38.71, 56.46 and 67.75% with 25, 50 and 100 µg/ml respectively, as compared with CAM of the embryos treated with only HeLa which showed increased number of capillaries, unlike untreated CAMs which did not show significant change. These results supported the anti-antiangiogenic effects of Ap.

Figure 3

Analysis of neo-vascularization of CAM layer after treatment with Ap extracts. CAM layer of embryonated chick egg was injected with (A) PBS (control) and (B) Hela cells; (C-E) 25, 50 and 100 µg of the Ap extract along with HeLa cells. The capillaries arising from the central blood vessel were enumerated and represented as % angiogenesis. (F) Graph showing percentage of angiogenesis. Statistical analyses were performed by One-way ANOVA followed by Tukey's post hoc test. Data from three individual experiments vs. the control group are expressed as the mean ± SD. ***P<0.001 and ****P<0.0001 vs. A (untreated). CAM, chorioallantoic membrane; Ap, Andrographis paniculata.

Inhibition of in vitro cell migration by Ap

Ap extracts were further examined for their ability to inhibit the migration of HeLa cells, which was tested by performing an in vitro scratch assay. The doubling time required for HeLa is 33-35 h, since the experiment was performed for a period of 24 h which limited the possibility of cells proliferating into the wound. Furthermore, flow cytometric analysis revealed that the cells treated with the extract were arrested in the G2/M phase lowering the possibility that the cells proliferated into the wound rather than migrating into it (Fig. 4A). After incubation for 24 h with the extracts, the gap created by the scratch remained fairly intact and minimum number of cells were observed to fill the wound in the treated groups (25, 50, and 100 µg/ml) compared with the untreated group. Percentage of cell migration was significantly reduced with increasing concentrations of the Ap extract indicating inhibitory effect of the Ap extract on HeLa cell migration (Fig. 4B).

Figure 4

Effect of Ap extracts on HeLa cell migration and invasion in vitro. (A) Microscopic images at x40 magnification representing a single scratch made on the cell monolayer treated with Ap (25, 50, and 100 µg/ml) and untreated cells as control, images of the wound made by the scratch were captured at 0 and 24 h post-treatment using a phase-contrast microscope. The boundaries of the scratched wounds determined by dark lines. (B) Bar graph showing percentage of cell migration. Quantitative analysis of the rates of migration was performed using ImageJ software. Results represented in the graphs are the mean ± SD obtained from triplicate experiments. Data are expressed as the mean ± SD from three individual experiments vs. control group according to ordinary One-way ANOVA. (C) Transwell migration assay in Matrigel-coated Transwell chambers seeded with HeLa cells in the presence of different concentrations of Ap extracts. After 24-h treatment, images were captured at x400 magnification. (D) Percentage of invading cells in the presence of Ap extracts. Results shown in the graphs are presented as the mean ± SD obtained from triplicate experiments. Statistical analyses were performed by One-way ANOVA followed by Tukey's post hoc test. Data are expressed as the mean ± SD from three individual experiments against the control group. *P<0.05, **P<0.01 and ****P<0.0001 vs. untreated cells. Ap, Andrographis paniculata.

Ap extracts inhibit the invasiveness and migration of cervical cancer

Metastasis involves a sequence of steps linking cancer cell invasion followed by migration. In order to investigate if Ap extract has any anti-invasion properties, Matrigel-coated Transwell chambers were used in the presence of different concentrations (25, 50 and 100 µg/ml) of Ap extracts. The total number of cells passing through the Matrigel-coated filter reduced significantly in presence of the extracts (Fig. 4C). Compared with the control group, the inhibition percentage of invasion was 21.37, 28.2 and 38.47% for 25, 50 and 100 µg/ml of extracts, respectively (Fig. 4D). Thus, in addition to its inhibitory effect on cell viability, Ap extracts also inhibited the cell invasion potential of HeLa cells in vitro. This effect of the extracts could be due to cytotoxicity leading to cell death, thereby, preventing cell migration and invasion by tumor cells.

Ap extract arrests cell cycle progression in cancer cells

To investigate the mechanism behind growth inhibition, the effect of the Ap extracts on cell cycle distribution of HeLa cells was analyzed after 24 h of treatment by flow cytometry. An alteration in the distribution of different phases of the cell cycle was clearly evident (Fig. 5A-D). Paclitaxel was used as a positive control for cell cycle arrest. In the treated cells, increase in cell population in the G2/M phase was observed. A surge in the percentage of cells accumulating in the G2/M phase with increasing concentrations of the extract (Fig. 5E) was identified. While the untreated cells showed lower percentage at 16.18% in the G2/M phase, Ap extract-treated cells showed a considerable increase in percentage of accumulated cells at 41.93% at a concetration of 100 µg/ml. No significant change in all other phases was observed. These findings suggested induction of apopotic cell death in HeLa cells upon treatment with Ap extracts via G2/M phase arrest of cell cycle progression.

Figure 5

Ap extracts arrest cell cycle progression in HeLa cells. Ap induced cell cycle arrest at G2/M phase in HeLa cells. Cells were stained with PI after treatment with Ap extracts for 24 h (A) Control, (B) 50 µg/ml (C) 100 µg/ml and (D) Paclitaxel. (E) Bar diagram showing groups B and C had significantly higher percentages of cells at G2/M phases than the other phases. Statistical analyses were performed by One-way ANOVA followed by Tukey's post hoc test. Data are expressed as the mean ± SD from three individual experiments against the control group. *P<0.05 vs. A (untreated cells). Ap, Andrographis paniculata.

Ap extracts induce apoptosis in cancer cells

Cell death has been observed in human cervical carcinoma (HeLa) induced by treatment with methanolic extract prepared from Ap. To validate aforementioned data from flow cytometry, an attempt was made to understand the mechanism leading to apoptotic cell death. Cells treated with the extracts showed significant increase of ~20 fold in the activity of caspase-3, a crucial mediator of apoptosis with increasing concentrations when compared with the untreated cells (Fig. 6B). The extracts were also able to increase the levels of Bax, a pro-apoptotic marker, by 15 and 20 fold when exposed to 25 and 50 µg/ml of the extract while a maximum of 30 fold increase was observed when exposed to 100 µg/ml (Fig. 6D). By contrast, a simultaneous downregulation by 8 fold in the expression of the anti-apopotic marker Bcl-2 was observed for 25 and 50 µg/ml which was completely inhibited when treated with 100 µg/ml of the extract (Fig. 6C), confirming induction of apoptotic cell death in Ap-treated HeLa cells (40).

Figure 6

Ap extracts induce cell death by apoptosis in HeLa cells. HeLa cells were treated with Ap extracts (25, 50 and 100 µg/ml) up to 24 h. (A) Whole-cell lysates were resolved on SDS-PAGE gel and probed with the indicated antibodies. β-actin was used as a loading control. (B-D) Protein quantification of the western blot results for caspase-3, Bax and Bcl-2 protein levels upon treatment with Ap. Typical results from three independent experiments (n=3). (B) Upregulation of Caspase-3 was detected by western blotting. (C) Downregulation of anti-apoptotic protein Bcl-2. (D) Upregulation of pro-apoptotic protein Bax. Data represent the mean ± SD from three individual experiments against the control group. Statistical analyses were performed by one-way ANOVA followed by Tukey's post hoc test. **P<0.01 and ****P<0.0001 vs. untreated cells. Ap, Andrographis paniculata.

Discussion

Medicinal plants and their activities are of immense interest due to their unique properties including significant anticancer activity and milder or negligible side effects. Recent investigations have involved the identification and separation of new and beneficial compounds of therapeutic importance from higher plants for specific diseases. As per the WHO report published in the year 2002, 60% of medicinal drugs including anticancer drugs are derived from natural sources (41). HeLa cells are highly invasive and robust cells with shorter multiplication time and simple growth requirements and hence were chosen for the present study. After complete analysis of the Ap methanolic extracts, it was estimated that the anti-proliferative activity of the extracts could be due to the presence of 2(5H)-Furanone, QA and Phytol which share a major percentage of the components even when concentrations as low as 25 µg/ml were used in the assay thus suggesting that the activity could be due to the major components of the extract, while the remaining components accounted for a markedly lower share. Notably, these compounds have not been previously reported in Ap. Most of the previous studies used dichloromethane with methanol (1:1) while fractionation by cold maceration method was used for extraction of bioactive components (27,42-44). In the present study, only methanol was used during extraction and it could be an important factor in extraction of tough to isolate ingredients from the extracts. Methanol is suitable for extraction of primary and secondary metabolites since it has a higher dielectric constant and can strongly penetrate the cell to extract even polar contents. Due to its high polarity, methanol has higher extraction yields and can extract both hydrophilic and lipophilic molecules from plant parts. After extraction, methanol can be removed by distillation at lower temperatures as methanol is highly volatile. Moreover, the isolation of andrographolides which form the major component in Ap, involves extraction of the leaf powder by cold maceration in a 1:1 mixture of dichloromethane and methanol and recrystallisation of andrographolide directly from the resulting extract (42). The presented method of extraction with methanol did not help to isolate the main andrographolides and other bioactive components previously reported by other groups. Hence, it can be suggested as an adjunct to other methods for maximum extraction of bioactive components from the plant, as it was mainly possible to isolate the active non-andrographolide components using methanol-based extraction.

2(5H)-Furanone, also known as γ-crotonolactone, is a part of a large number of biologically active compounds, comprising natural products and pharmaceutical agents. It belongs to the group of α, β-unsaturated lactones, which are observed in numerous natural products. 2(5H)-furanone derivatives are known to have good pharmacological activities; particularly 2(5H)-furanone skeleton are known for their extensive biological activity, together with antitumor (45), antibacterial (46), antifungal (44), antiviral (48), anti-inflammatory (38,49) and antioxidant effects. QA is an important natural cyclitol found in tea, coffee, fruits and vegetables (50,51). This bioavailable, non-toxic, natural polyol was found to be exhibiting potent antioxidant, anti-inflammatory (52) and anti-mutagenic activities (38) and was also revealed to chelate transition metals (53). Hence this versatile parent chiral compound is used in the synthesis of new drugs (54) QA has also been studied as a potent drug for treatment of prostate cancer (55).

Phytol, is a chlorophyll-derived acyclic diterpene alcohol and a scented ingredient used in numerous fragrant compounds abundantly present in nature which is utilized in cosmetic and non-cosmetic products (52). It exhibits various pharmacological activities such as antimicrobial (55), anticancer (56), immunoadjuvant, antidiabetic and lipid lowering (57), anxiolytic (58), antinociceptive (59), anti-teratogenic (60) antioxidant, anti-inflammatory (61) as well as anti-allergic effects (40,62). Phytol also functions as immuno-stimulant and is superior to several commercial adjuvants in terms of immunological memory induction over a longer-term and activation of innate and acquired immunity (61). Phytol and its byproducts have no collective inflammatory or toxic effects even in immuno-compromised mice (63). It is also known to inhibit the growth of pathogens such as Mycobacterium tuberculosis (62,64) and Staphylococcus aureus (65). Apart from the aforementioned effects, phytol also showed anti-angiogenic activity by inducing apoptosis in A549 cells by depolarizing the mitochondrial membrane potential (66).

In addition, certain minor components in the extract such as 5-Hydroxymethylfurfural are known to exhibit anti-inflammatory and antitumor effects (67). For example, dimethyl sulfone has antimicrobial, anti-inflammatory and anticancer properties (68), while 3,5-Dihydroxy-6-methyl-2,3-dihydro-4H-pyran-4-one is considered to exhibit free radical scavenging activity (69). Similarly, 1,2-cyclopentanedione was reported to be effective in prevention of gastrointestinal tumor growth (70) and 1-Ascorbic acid 2,6-dihexadecanoate was found to have antiproliferative efficacy (71). 2-Propenoic acid is said to have antibacterial properties (72) and 2,3-dihydro-Coumaran was reported to express anti-inflammatory effects (73). 3,5-Dimethylanisole has antimicrobial, anti-inflammatory and antioxidant effects (74). Unlike other components, Hexadecanoic acid has potent antimicrobial activity along with antifungal, antitumor, antioxidant, chemo-preventive, antioxidant and immuno-stimulant effects (75). 3-Furanmethanol is known to possess anticancer, anti-inflammatory and antimicrobial activities (76); 8,11,14-Docosatrienoic acid is cardioprotective (77) and benzenepropanoic acid was reported to possess antifungal, antioxidant activities (78); Dibutyl phthalate was found to express antimicrobial and antitumor (79) properties. Furthermore, 2(4H)-Benzofuranone has been revealed to possess analgesic, antidiabetic, antibacterial and antifungal properties (72) whereas 9-Heptadecanone expressed antibacterial (80) activity. Similarly, 9,12-Octadecadienoicacid was found to have anticancer properties (81) while 2-Pentadecanone (0.52%) was reported for hypocholesterolemic, antioxidant properties (82). It is definitely possible that all the aforementioned compounds, though present in minor proportions may act along with phytol, QA and (5H)-furanone. However, it has been revealed that the 3 major aforementioned components showed activity at very low concentrations of 50 and 100 µg. In such low concentrations it is expected that the predominant components can exhibit apparent biological activity.

Cell division is an intricate phenomenon regulated by various protein kinases which oversee the gene transcription necessary for progression into subsequent phases of the cell cycle. The mitogen-activated protein kinases play a crucial role in the initiation, advancement and coupling of these phases. Ap extracts screened for effect on cell cycle progression were observed to cause buildup of cells in the G2/M phase, reflecting increase in apoptotic cell death. This outcome was also dose-dependent, indicating that Ap extracts work by arresting the cell cycle at G2/M phase. Evasion of malignant cells from apoptotic cell death is crucial in tumor formation. Most anticancer therapies currently in use such as chemotherapy and γ-irradiation and immunotherapy involve killing tumor cells by activation of the intrinsic and/or extrinsic apoptotic pathways in cancer cells. Bcl-2 and Bax are an important signaling proteins in the mitochondria-mediated apoptotic pathways that regulate the release of cytochrome c, DNA fragmentation and activation of caspases. The ratio of Bcl-2 and Bax determines the sensitivity of cancer cells to death signals. Bcl-2, is an anti-apoptotic protein which promotes cancer cell growth and is a member of the Bcl-2 family while Bax, another component of the Bcl-2 family, induces apoptosis (83). Expression of pro-apoptotic Bax is required to induce apoptosis and to correct uncontrolled cell proliferation (84). Caspases are proteases that are essential mediators of apoptosis and inflammation. HeLa cells exposed to Ap extracts showed increased Caspase-3 and Bax and lowered Bcl-2 levels, indicating activation of intrinsic apoptotic pathway. This indicated that Ap extracts can induce the intrinsic apoptotic pathway in HeLa cells.

The anti-angiogenesis concept has been an important component in cancer treatment and it is considered that blocking angiogenesis could be a strategy to arrest tumor growth and metastasis (85). Angiogenesis leads to development of tumors leading to invasion and metastasis. Anti-angiogenesis is a strategy that prevents tumor progression and can be contemplated as one of the targets for anticancer therapy, since the tumor growth can be controlled if oxygen and nutrient supply to a tumor could be reduced. New blood vessel formation (angiogenesis) involves a multistep process involving cell proliferation, migration and remodeling. Suppression of any step may result in inhibition of new blood vessel formation. Using the chick embryo CAM model, it could be demonstrated that Ap extracts inhibit angiogenesis in CAM even at minimum concentrations, indicating potent anti-angiogenic activity. Numerous flavonoids, terpenoids and polyphenols, are known to inhibit carcinogenesis and tumorigenesis in vivo and in vitro. Among the identified compounds 2(5H)-Furanone (86-89) along with phytol (90,91) and QA (92,93) are used in the treatment of several types of cancer. Since it is the predominant component identified by GC-MS, it could be the predominant anticancer and anti-inflammatory component of the extracts. With the existence of other bioactive components in the extract, it is also possible that the antiangiogenic activity of the extracts is due to the synergistic effect of the predominant compounds; 2(5H)-furanone, phytol and QA augmenting the antiangiogenic effect. Anti-migratory activity, motility and invasion of cervical cancer cells after Ap treatment were evaluated by scratch wound and Transwell invasion assays. Our results suggested that Ap significantly inhibited the motility and invasiveness of cervical cancer cells. Cervical cancer accounts for 6-29% of cancers in India and is one of the most common forms of cancer in women worldwide. Therefore, the present study concentrated on utilization of HeLa cells for establishing the mechanism of action of the extracts. However, it is recommended that testing multiple cell lines derived from cervical cancer or other cancers will be extremely useful in establishing the mechanism. It is a limitation to the present study that the findings could not be confirmed in other cell lines, but since the main goal was to characterize the mechanism of action of Ap extracts, it could be stated that, some new previously unreported components from Ap which have strong anti-proliferative activity were identified by mainly suppressing cell cycle progression and promoting intrinsic apoptotic pathway. In conclusion, the non-andrographolide components of Ap appear to have significant anticancer and anti-angiogenic activity. While the anticancer properties of andrographolides are well established, to the best of our knowledge, this is the first investigation reporting the anticancer effects of the non-andrographolide components of Ap. Though in the present study the activity of the total methanol extract, 2(5H)-furanone, phytol and QA were revealed to be the major components, the anticancer properties could not be attributed to these compounds. 2(5H)-furanone, phytol and QA are known separately for having anti-inflammatory and antitumor activity and these compounds appear to target cell cycle arrest and induce the intrinsic apoptotic pathways. It is possible that their combinations in crude extract have synergistic activity causing significant reduction in invasiveness and metastatic properties of malignant cells. Further studies using purified compounds would help in specifically identifying the role of each of these components.

Supplementary Material

Gas chromatograms for of crude methanolic extracts of Andrographis paniculata showing the 21 identified components.
Traditional usesof the plant Ap
Total compounds identified in the crude methanolic extract of Andrographis paniculata using gas chromatography-mass spectrometryanalysis with its retention time, peak area, and reported biological activities. Of the 21 compounds identified, 4 of them are known to exhibited antioxidant capacity and 5 of them possessed anti-inflammatory potential, 6 compounds had anti-cancer and anti-tumor potential while antimicrobial activities were determined in 9 of the compounds.

Acknowledgements

The authors would like to thank Sreeram Kaveti, (Senior Research Fellow, Applied Biology, CSIR-IICT, Hyderabad, Telangana 500007) for helping with experimentation and Dr Gopal Reddy, (Professor (Retd) Department of Microbiology, Osmania University, Hyderabad, Telangana 500007) for providing logistic support during the study.

Funding

Funding: The present study was supported by UGC-BSR Fellowship (grant nos. F4-1/2006(BSR)7-369/2012(BSR)/2013-2014/4) and 122/C/BB/MICRO/HOD/2015). The APC was supported by Rashtriya Uchchatar Shiksha Abhiyan.

Availability of data and materials

The datasets used and/or analyzed during the current study are available from the corresponding author on reasonable request.

Authors' contributions

PKA conceptualized the study, provided methodology and software, validated the data and prepared the original draft. ANY peformed investigation, data curation and contributed to preparation of the original draft. KR conducted investigation, software and formal analysis. RK performed investigation and formal analysis. CT conducted investigation, validation, wrote, reviewed and edited the manuscript. KSN performed validation, formal analysis, wrote, reviewed and edited the manuscript. SB conceptualized and supervised the study, provided resources, performed project administration, prepared the original draft, wrote, reviewed and edited the manuscript. All authors read and approved the final version of the manuscript. PKA and SB confirm the authenticity of all the raw data provided in the present article.

Ethics approval and consent to participate

Not applicable.

Patient consent for publication

Not applicable.

Competing interests

The authors declare that they have no competing interests.

References

1 

Ouhtit A, Gaur RL, Abdraboh M, Ireland SK, Rao PN, Raj SG, Al-Riyami H, Shanmuganathan S, Gupta I, Murthy SN, et al: Simultaneous inhibition of cell-cycle, proliferation, survival, metastatic pathways and induction of apoptosis in breast cancer cells by a phytochemical super-cocktail: Genes that underpin its mode of action. J Cancer. 4:703–715. 2013.PubMed/NCBI View Article : Google Scholar

2 

Sukanya SL, Sudisha J, Hariprasad P, Niranjana SR, Prakash HS and Fathima SK: Antimicrobial activity of leaf extracts of Indian medicinal plants against clinical and phytopathogenic bacteria. Afr J Biotechnol. 8:6677–6682. 2009.

3 

Abutbul S, Golan-Goldhirsh A, Barazani O, Ofir R and Zilberg D: Screening of desert plants for use against bacterial pathogens in fish. Isr J Aquacult-Bamid. 57:71–80. 2005.

4 

Pandey G and Madhuri S: Significance of fruits and vegetables in malnutrition cancer. Plant Arch. 10:517–22. 2010.

5 

Pandey G, Madhuri S and Mandloi AK: Medicinal plants useful in fish diseases. Plant Arch. 12:1–4. 2012.

6 

Ravikumar S, Selvan GP and Gracelin AA: Antimicrobial activity of medicinal plants along Kanyakumari coast, Tamil Nadu, India. Afr J Basic Appl Sci. 2:153–157. 2010.

7 

Umamaheswari S and Mainzen Prince PS: Antihyperglycaemic effect of ‘ilogen-excel’, an ayurvedic herbal formulation in streptozotocin-induced diabetes mellitus. Acta Pol Pharm. 64:53–61. 2007.PubMed/NCBI

8 

Misra P, Pal NL, Guru PY, Katiyar JC, Srivastava V and Tandon JS: Antimalarial activity of Andrographis paniculata (Kalmegh) against plasmodium berghei NK 65 in mastomys natalensis. Int J Pharmacogn. 30:263–274. 1992.

9 

Singha PK, Roy S and Dey S: Antimicrobial activity of Andrographis paniculata. Fitoterapia. 74:692–694. 2003.PubMed/NCBI View Article : Google Scholar

10 

Ernst E and Cassileth BR: The prevalence of complementary/alternative medicine in cancer: A systematic review. Cancer. 83:777–782. 1998.PubMed/NCBI View Article : Google Scholar

11 

Newman DJ and Cragg GM: Natural products as sources of new drugs from 1981 to 2014. J Nat Prod. 79:629–661. 2016.PubMed/NCBI View Article : Google Scholar

12 

Newman DJ and Cragg GM: Natural products as sources of new drugs over the nearly four decades from 01/1981 to 09/2019. J Nat Prod. 83:770–803. 2020.PubMed/NCBI View Article : Google Scholar

13 

See D, Mason S and Roshan R: Increased tumor necrosis factor alpha (TNF-alpha) and natural killer cell (NK) function using an integrative approach in late stage cancers. Immunol Invest. 31:137–153. 2002.PubMed/NCBI View Article : Google Scholar

14 

Ahilan B, Nithiyapriyatharshini A and Ravaneshwaran K: Influence of certain herbal additives on the growth, survival and disease resistance of goldfish, carassius auratus (Linnaeus). Tamilnadu J Vet Ani Sci. 6:5–11. 2010.

15 

Zilberberg MD, Shorr AF, Micek ST, Vazquez-Guillamet C and Kollef MH: Multi-drug resistance, inappropriate initial antibiotic therapy and mortality in Gram-negative severe sepsis and septic shock: A retrospective cohort study. Crit Care. 18(596)2014.PubMed/NCBI View Article : Google Scholar

16 

Runyoro DK, Matee MI, Ngassapa OD, Joseph CC and Mbwambo ZH: Screening of Tanzanian medicinal plants for anti-Candida activity. BMC Complement Altern Med. 6(11)2006.PubMed/NCBI View Article : Google Scholar

17 

Shukla B, Visen PKS, Patnaik GK and Dhawan BN: Choleretic effect of andrographolide in rats and guinea pigs1. Planta Med. 58:146–149. 1992.PubMed/NCBI View Article : Google Scholar

18 

Srinivasa Reddy P, Jamil K, Madhusudhan P, Anjani G and Das B: Antibacterial activity of isolates from piper longum and taxus baccata. Pharm Biol. 39:236–238. 2001.

19 

Prajapati ND, Purohit SS, Sharma AK and Kumar T: A handbook of medicinal plants: A complete source book. Agrobios, Rajasthan, p554, 2003.

20 

Chang HM and But PP: Pharmacology and Applications of Chinese Materia Medica. Vol 1. World Scientific, Singapore, p304, 1986.

21 

Liu J, Wang ZT and Ji LL: In vivo and in vitro anti-inflammatory activities of neoandrographolide. Am J Chin Med. 35:317–328. 2007.PubMed/NCBI View Article : Google Scholar

22 

Islam MT, Ali ES, Uddin SJ, Shaw S, Islam MA, Ahmed MI, Chandra Shill M, Karmakar UK, Yarla NS, Khan IN, et al: Phytol: A review of biomedical activities. Food Chem Toxicol. 121:82–94. 2018.PubMed/NCBI View Article : Google Scholar

23 

Suriyo T, Pholphana N, Rangkadilok N, Thiantanawat A, Watcharasit P and Satayavivad J: Andrographis paniculata extracts and major constituent diterpenoids inhibit growth of intrahepatic cholangiocarcinoma cells by inducing cell cycle arrest and apoptosis. Planta Med. 80:533–543. 2014.PubMed/NCBI View Article : Google Scholar

24 

Fulda S: Modulation of apoptosis by natural products for cancer therapy. Planta Med. 76:1075–1079. 2010.PubMed/NCBI View Article : Google Scholar

25 

Mishra T: Ethno-botanical and therapeutic importance of sacred plants of Terai region of Gorakhpur division. Eur J Pharm Med Res. 3:534–540. 2016.

26 

Plubrukarn A, Pinsuwan S, Ingkatawornwong S and Supavita T: Stability of andrographolide in powdered Andrographis herb under accelerated conditions. Planta Med. 72:954–956. 2006.PubMed/NCBI View Article : Google Scholar

27 

Kumar RA, Sridevi K, Kumar NV, Nanduri S and Rajagopal S: Anticancer and immunostimulatory compounds from Andrographis paniculata. J Ethnopharmacol. 92:291–295. 2004.PubMed/NCBI View Article : Google Scholar

28 

Li L, Yue GG, Lee JK, Wong EC, Fung KP, Yu J, Lau CB and Chiu PW: The adjuvant value of Andrographis paniculata in metastatic esophageal cancer treatment-from preclinical perspectives. Sci Rep. 7(854)2017.PubMed/NCBI View Article : Google Scholar

29 

Chiou WF, Chen CF and Lin JJ: Mechanisms of suppression of inducible nitric oxide synthase (iNOS) expression in RAW 264.7 cells by andrographolide. Br J Pharmacol. 129:1553–1560. 2000.PubMed/NCBI View Article : Google Scholar

30 

Rajagopal S, Kumar RA, Deevi DS, Satyanarayana C and Rajagopalan R: Andrographolide, a potential cancer therapeutic agent isolated from Andrographis paniculata. J Exp Ther Oncol. 3:147–158. 2003.PubMed/NCBI View Article : Google Scholar

31 

Nanduri S, Nyavanandi VK, Thunuguntla SS, Kasu S, Pallerla MK, Ram PS, Rajagopal S, Kumar RA, Ramanujam R, Babu JM, et al: Synthesis and structure-activity relationships of andrographolide analogues as novel cytotoxic agents. Bioorg Med Chem Lett. 14:4711–4717. 2004.PubMed/NCBI View Article : Google Scholar

32 

Khandelwal KR: Practical Pharmacognosy. Pragati Books Pvt. Ltd., Pune, 2008.

33 

Razack S, Kumar KH, Nallamuthu I, Naika M and Khanum F: Antioxidant, biomolecule oxidation protective activities of Nardostachys jatamansi DC and its phytochemical analysis by RP-HPLC and GC-MS. Antioxidants (Basel). 4:185–203. 2015.PubMed/NCBI View Article : Google Scholar

34 

Konappa N, Udayashankar AC, Krishnamurthy S, Pradeep CK, Chowdappa S and Jogaiah S: GC-MS analysis of phytoconstituents from Amomum nilgiricum and molecular docking interactions of bioactive serverogenin acetate with target proteins. Sci Rep. 10(16438)2020.PubMed/NCBI View Article : Google Scholar

35 

Tsai HC, Li YC, Hsu SH, Young TH and Chen MH: Inhibition of growth and migration of oral and cervical cancer cells by citrus polyphenol. J Formos Med Assoc. 115:171–185. 2016.PubMed/NCBI View Article : Google Scholar

36 

Ganguly A, Yang H, Sharma R, Patel KD and Cabral F: The role of microtubules and their dynamics in cell migration. J Biol Chem. 287:43359–43369. 2012.PubMed/NCBI View Article : Google Scholar

37 

Nikolova I, Marinov L, Georgieva A, Toshkova R, Malchev M, Voynikov Y and Kostadinova I: Metamizole (dipyrone)-cytotoxic and antiproliferative effects on HeLa, HT-29 and MCF-7 cancer cell lines. Biotechnol Biotechnol Equip. 32:1327–1337. 2018.

38 

American Veterinary Medical Association (AVMA): AVMA Guidelines for the Euthanasia of Animals: 2020 Edition. AVMA, Schaumburg, IL, 2020.

39 

Okhuarobo A, Falodun JE, Erharuyi O, Imieje V, Falodun A and Langer P: Harnessing the medicinal properties of Andrographis paniculata for diseases and beyond: A review of its phytochemistry and pharmacology. Asian Pac J Trop Dis. 4:213–222. 2014.

40 

Oskoueian E, Abdullah N, Ahmad S, Saad WZ, Omar AR and Ho YW: Bioactive compounds and biological activities of Jatropha curcas L. kernel meal extract. Int J Mol Sci. 12:5955–5970. 2011.PubMed/NCBI View Article : Google Scholar

41 

Özçelik B, Kartal M and Orhan I: Cytotoxicity, antiviral and antimicrobial activities of alkaloids, flavonoids, and phenolic acids. Pharm Biol. 49:396–402. 2011.PubMed/NCBI View Article : Google Scholar

42 

Pejin B, Savic A, Sokovic M, Tesevic V, Savic A, Radotic K and Mojovic M: Further in vitro evaluation of antiradical and antimicrobial activities of phytol. Nat Prod Res. 28:372–376. 2014.PubMed/NCBI View Article : Google Scholar

43 

Sareer O, Ahmad S and Umar S: Andrographis paniculata: A critical appraisal of extraction, isolation and quantification of andrographolide and other active constituents. Nat Prod Res. 28:2081–2101. 2014.PubMed/NCBI View Article : Google Scholar

44 

Rajani M, Shrivastava N and Ravishankara MN: A rapid method for isolation of andrographolide from Andrographis paniculata nees (Kalmegh). Pharm Biol. 38:204–209. 2000.PubMed/NCBI View Article : Google Scholar

45 

Redza-Dutordoir M and Averill-Bates DA: Activation of apoptosis signalling pathways by reactive oxygen species. Biochim Biophys Acta. 1863:2977–2992. 2016.PubMed/NCBI View Article : Google Scholar

46 

Wang CZ, Calway T and Yuan CS: Herbal medicines as adjuvants for cancer therapeutics. Am J Chin Med. 40:657–669. 2012.PubMed/NCBI View Article : Google Scholar

47 

Wu YC, Luo SH, Mei WJ, Cao L, Wu HQ and Wang ZY: Synthesis and biological evaluation of 4-biphenylamino-5-halo-2(5H)-furanones as potential anticancer agents. Eur J Med Chem. 139:84–94. 2017.PubMed/NCBI View Article : Google Scholar

48 

Lattmann E, Sattayasai N, Schwalbe CS, Niamsanit S, Billington DC, Lattmann P, Langley CA, Singh H and Dunn S: Novel anti-bacterials against MRSA: Synthesis of focussed combinatorial libraries of tri-substituted 2(5H)-furanones. Curr Drug Discov Technol. 3:125–134. 2006.PubMed/NCBI View Article : Google Scholar

49 

Zapf S, Anke T and Sterner O: Incrustoporin, a new antibiotic from Incrustoporia carneola (Bres.) Ryv. (Basidiomycetes). Acta Chem Scand (Cph). 49:233–234. 1995.PubMed/NCBI View Article : Google Scholar

50 

Hashem AI, Youssef AS, Kandeel KA and Abou-Elmagd WS: Conversion of some 2(3H)-furanones bearing a pyrazolyl group into other heterocyclic systems with a study of their antiviral activity. Eur J Med Chem. 42:934–939. 2007.PubMed/NCBI View Article : Google Scholar

51 

Weber V, Coudert P, Rubat C, Duroux E, Vallée-Goyet D, Gardette D, Bria M, Albuisson E, Leal F, Gramain JC, et al: Novel 4,5-diaryl-3-hydroxy-2(5H)-furanones as anti-oxidants and anti-inflammatory agents. Bioorg Med Chem. 10:1647–1658. 2002.PubMed/NCBI View Article : Google Scholar

52 

Cinkilic N, Cetintas SK, Zorlu T, Vatan O, Yilmaz D, Cavas T, Tunc S, Ozkan L and Bilaloglu R: Radioprotection by two phenolic compounds: Chlorogenic and quinic acid, on X-ray induced DNA damage in human blood lymphocytes in vitro. Food Chem Toxicol. 53:359–363. 2013.PubMed/NCBI View Article : Google Scholar

53 

Pero RW, Lund H and Leanderson T: Antioxidant metabolism induced by quinic acid. Increased urinary excretion of tryptophan and nicotinamide. Phytother Res. 23:335–346. 2009.PubMed/NCBI View Article : Google Scholar

54 

Inbathamizh L and Padmini E: Quinic acid as a potent drug candidate for prostate cancer-a comparative pharmacokinetic approach. Asian J Pharm Clin Res. 6:106–112. 2013.

55 

Jang SA, Park DW, Kwon JE, Song HS, Park B, Jeon H, Sohn EH, Koo HJ and Kang SC: Quinic acid inhibits vascular inflammation in TNF-α-stimulated vascular smooth muscle cells. Biomed Pharmacother. 96:563–571. 2017.PubMed/NCBI View Article : Google Scholar

56 

Zhang W, Zhu XL, Ding W and Shi XX: A novel stereoselective synthesis of (-)-quinic acid starting from the naturally abundant (-)-shikimic acid. Tetrahedron Asymmetry. 26:1375–1381. 2015.

57 

Soh Y, Kim JA, Sohn NW, Lee KR and Kim SY: Protective effects of quinic acid derivatives on tetrahydropapaveroline-induced cell death in C6 glioma cells. Biol Pharm Bull. 26:803–807. 2003.PubMed/NCBI View Article : Google Scholar

58 

de Moraes J, de Oliveira RN, Costa JP, Junior AL, de Sousa DP, Freitas RM, Allegretti SM and Pinto PL: Phytol, a diterpene alcohol from chlorophyll, as a drug against neglected tropical disease Schistosomiasis mansoni. PLoS Negl Trop Dis. 8(e2617)2014.PubMed/NCBI View Article : Google Scholar

59 

Guo J, Yuan Y, Lu D, Du B, Xiong L, Shi J, Yang L, Liu W, Yuan X, Zhang G and Wang F: Two natural products, trans-phytol and (22E)-ergosta-6,9,22-triene-3β,5α,8α-triol, inhibit the biosynthesis of estrogen in human ovarian granulosa cells by aromatase (CYP19). Toxicol Appl Pharmacol. 279:23–32. 2014.PubMed/NCBI View Article : Google Scholar

60 

Takahashi N, Kawada T, Goto T, Yamamoto T, Taimatsu A, Matsui N, Kimura K, Saito M, Hosokawa M, Miyashita K and Fushiki T: Dual action of isoprenols from herbal medicines on both PPARgamma and PPARalpha in 3T3-L1 adipocytes and HepG2 hepatocytes. FEBS Lett. 514:315–322. 2002.PubMed/NCBI View Article : Google Scholar

61 

Costa JP, de Oliveira GA, de Almeida AA, Islam MT, de Sousa DP and de Freitas RM: Anxiolytic-like effects of phytol: Possible involvement of GABAergic transmission. Brain Res. 1547:34–42. 2014.PubMed/NCBI View Article : Google Scholar

62 

Santos CC, Salvadori MS, Mota VG, Costa LM, de Almeida AA, de Oliveira GA, Costa JP, de Sousa DP, de Freitas RM and de Almeida RN: Antinociceptive and antioxidant activities of phytol in vivo and in vitro models. Neurosci J. 2013(949452)2013.PubMed/NCBI View Article : Google Scholar

63 

Arnhold T, Elmazar MM and Nau H: Prevention of vitamin A teratogenesis by phytol or phytanic acid results from reduced metabolism of retinol to the teratogenic metabolite, all-trans-retinoic acid. Toxicol Sci. 66:274–282. 2002.PubMed/NCBI View Article : Google Scholar

64 

Ryu KR, Choi JY, Chung S and Kim DH: Anti-scratching behavioral effect of the essential oil and phytol isolated from Artemisia princeps Pamp. in mice. Planta Med. 77:22–26. 2011.PubMed/NCBI View Article : Google Scholar

65 

Chowdhury RR and Ghosh SK: Phytol-derived novel isoprenoid immunostimulants. Front Immunol. 3(49)2012.PubMed/NCBI View Article : Google Scholar

66 

Rajab MS, Cantrell CL, Franzblau SG and Fischer NH: Antimycobacterial activity of (E)-phytol and derivatives: A preliminary structure-activity study. Planta Med. 64:2–4. 1998.PubMed/NCBI View Article : Google Scholar

67 

Saikia D, Parihar S, Chanda D, Ojha S, Kumar JK, Chanotiya CS, Shanker K and Negi AS: Antitubercular potential of some semisynthetic analogues of phytol. Bioorg Med Chem Lett. 20:508–512. 2010.PubMed/NCBI View Article : Google Scholar

68 

Inoue Y, Hada T, Shiraishi A, Hirose K, Hamashima H and Kobayashi S: Biphasic effects of geranylgeraniol, teprenone, and phytol on the growth of Staphylococcus aureus. Antimicrob Agents Chemother. 49:1770–1774. 2005.PubMed/NCBI View Article : Google Scholar

69 

Sakthivel R, Malar DS and Devi KP: Phytol shows anti-angiogenic activity and induces apoptosis in A549 cells by depolarizing the mitochondrial membrane potential. Biomed Pharmacother. 105:742–752. 2018.PubMed/NCBI View Article : Google Scholar

70 

Zhao Q, Ou J, Huang C, Qiu R, Wang Y, Liu F, Zheng J and Ou S: Absorption of 1-dicysteinethioacetal-5-hydroxymethylfurfural in rats and its effect on oxidative stress and gut microbiota. J Agric Food Chem. 66:11451–11458. 2018.PubMed/NCBI View Article : Google Scholar

71 

Silva Ferreira AC, Rodrigues P, Hogg T and Guedes de Pinho P: Influence of some technological parameters on the formation of dimethyl sulfide, 2-mercaptoethanol, methionol, and dimethyl sulfone in port wines. J Agric Food Chem. 51:727–732. 2003.PubMed/NCBI View Article : Google Scholar

72 

Yoshiki Y and Okubo K: Active oxygen scavenging activity of DDMP (2,3-dihydro-2,5-dihydroxy-6-methyl-4 H-pyran-4-one) saponin in soybean seed. Biosci Biotechnol Biochem. 59:1556–1557. 1995.

73 

Nair SC, Kurumboor SK and Hasegawa JH: Saffron chemoprevention in biology and medicine: A review. Cancer Biother. 10:257–264. 1995.PubMed/NCBI View Article : Google Scholar

74 

Begum SFMM, Priya S, Sundararajan R and Hemalatha S: Novel anticancerous compounds from Sargassum wightii: In silico and in vitro approaches to test the antiproliferative efficacy. J Adv Pharm Educ Res. 7:272–276. 2017.

75 

Mujeeb F, Bajpai P and Pathak N: Phytochemical evaluation, antimicrobial activity, and determination of bioactive components from leaves of Aegle marmelos. Biomed Res In. 2014(497606)2014.PubMed/NCBI View Article : Google Scholar

76 

Inagaki M, Jyoyama H, Ono T, Yamada K, Kobayashi M, Baba T, Touchi A, Iwatani K, Ohkawa T, Matsumoto S and Tsuri T: Synthesis and activities of oxidative metabolites of the anti-arthritic drug candidate S-2474. Bioorg Med Chem. 11:2415–2419. 2003.PubMed/NCBI View Article : Google Scholar

77 

Abdullah BM, Mehdi MAH, Khan AR and Pathan JM: Gas chromatography-mass spectrometry (GC-MS) analysis of ajwain (Trachyspermum ammi) seed extract. Int J Pharm Qual Assur. 11:228–231. 2020.

78 

Rahbar N, Shafaghat A and Salimi F: Antimicrobial activity and constituents of the hexane extracts from leaf and stem of Origanum vulgare L. ssp. Viride (Boiss.) Hayek. growing wild in Northwest Iran. J Med Plants Res. 6:2681–2685. 2012.

79 

Zekeya N, Chacha M, Shahada F and Kidukuli A: Analysis of phytochemical composition of Bersama abyssinica by gas chromatography-mass spectrometry. J Pharmacogn Phytochem. 3:246–252. 2014.

80 

Huang CB and Ebersole JL: A novel bioactivity of omega-3 polyunsaturated fatty acids and their ester derivatives. Mol Oral Microbiol. 25:75–80. 2010.PubMed/NCBI View Article : Google Scholar

81 

Ahmad B, Khan I, Bashir S and Azam S: Chemical composition and antifungal, phytotoxic, brine shrimp cytotoxicity, insecticidal and antibacterial activities of the essential oils of Acacia modesta. J Med Plants Res. 6:4653–4659. 2012.

82 

Roy RN, Laskar S and Sen SK: Dibutyl phthalate, the bioactive compound produced by Streptomyces albidoflavus 321.2. Microbiol Res. 161:121–126. 2006.PubMed/NCBI View Article : Google Scholar

83 

Sunita A, Ganesh K and Sonam M: Screening and evaluation of bioactive components of Cenchrus ciliaris L. by GC-MS analysis. Int Res J Pharm. 8:69–76. 2017.

84 

Yu FR, Lian XZ, Guo HY, McGuire PM, Li RD, Wang R and Yu FH: Isolation and characterization of methyl esters and derivatives from euphorbia kansui (euphorbiaceae) and their inhibitory effects on the human SGC-7901 cells. J Pharm Pharm Sci. 8:528–535. 2005.PubMed/NCBI

85 

Siyumbwa SN, Ekeuku SO, Amini F, Emerald NM, Sharma D and Okechukwu PN: Wound healing and antibacterial activities of 2-Pentadecanone in streptozotocin-induced Type 2 diabetic rats. Pharmacogn Mag. 15:71–77. 2019.

86 

Gupta S, Afaq F and Mukhtar H: Involvement of nuclear factor-kappa B, Bax and Bcl-2 in induction of cell cycle arrest and apoptosis by apigenin in human prostate carcinoma cells. Oncogene. 21:3727–3738. 2002.PubMed/NCBI View Article : Google Scholar

87 

Tian Z, Shen J, Moseman AP, Yang Q, Yang J, Xiao P, Wu E and Kohane IS: Dulxanthone A induces cell cycle arrest and apoptosis via up-regulation of p53 through mitochondrial pathway in HepG2 cells. Int J Cancer. 122:31–38. 2008.PubMed/NCBI View Article : Google Scholar

88 

Yue GG, Lee JK, Kwok HF, Cheng L, Wong EC, Jiang L, Yu H, Leung HW, Wong YL, Leung PC, et al: Novel PI3K/AKT targeting anti-angiogenic activities of 4-vinylphenol, a new therapeutic potential of a well-known styrene metabolite. Sci Rep. 5(11149)2015.PubMed/NCBI View Article : Google Scholar

89 

Cimmino A, Scafato P, Mathieu V, Ingels A, D'Amico W, Pisani L, Maddau L, Superchi S, Kiss R and Evidente A: Natural and synthetic furanones with anticancer activity. Nat Prod Commun. 11:1471–1474. 2016.PubMed/NCBI

90 

Ma F, Zhang J, Li M, Yu J, Luo W, Li X and Wei M: Synthesis of novel matrine derivatives containing furanone skeleton and preliminary evaluation of their anticancer activity in vitro. Chin J Org Chem. 38:2633–2638. 2018.

91 

de Alencar MVOB, Islam MT, de Lima RMT, Paz MFCJ, Dos Reis AC, da Mata AMOF, Filho JWGO, Cerqueira GS, Ferreira PMP, E Sousa JMC, et al: Phytol as an anticarcinogenic and antitumoral agent: An in vivo study in swiss mice with DMBA-Induced breast cancer. IUBMB Life. 71:200–212. 2019.PubMed/NCBI View Article : Google Scholar

92 

Murugesan A, Holmstedt S, Brown KC, Koivuporras A, Macedo AS, Nguyen N, Fonte P, Rijo P, Yli-Harja O, Candeias NR and Kandhavelu M: Design and synthesis of novel quinic acid derivatives: In vitro cytotoxicity and anticancer effect on glioblastoma. Future Med Chem. 12:1891–1910. 2020.PubMed/NCBI View Article : Google Scholar

93 

Singh A, Chauhan SS and Tripathi V: Quinic acid attenuates oral cancer cell proliferation by downregulating cyclin D1 Expression and Akt signaling. Pharmacogn Mag. 14:14–19. 2018.

Related Articles

  • Abstract
  • View
  • Download
  • Twitter
Copy and paste a formatted citation
Spandidos Publications style
Anoor PK, Yadav AN, Rajkumar K, Kande R, Tripura C, Naik KS and Burgula S: Methanol extraction revealed anticancer compounds Quinic Acid, 2(5H)‑Furanone and Phytol in <em>Andrographis paniculata</em>. Mol Clin Oncol 17: 151, 2022.
APA
Anoor, P.K., Yadav, A.N., Rajkumar, K., Kande, R., Tripura, C., Naik, K.S., & Burgula, S. (2022). Methanol extraction revealed anticancer compounds Quinic Acid, 2(5H)‑Furanone and Phytol in <em>Andrographis paniculata</em>. Molecular and Clinical Oncology, 17, 151. https://doi.org/10.3892/mco.2022.2584
MLA
Anoor, P. K., Yadav, A. N., Rajkumar, K., Kande, R., Tripura, C., Naik, K. S., Burgula, S."Methanol extraction revealed anticancer compounds Quinic Acid, 2(5H)‑Furanone and Phytol in <em>Andrographis paniculata</em>". Molecular and Clinical Oncology 17.5 (2022): 151.
Chicago
Anoor, P. K., Yadav, A. N., Rajkumar, K., Kande, R., Tripura, C., Naik, K. S., Burgula, S."Methanol extraction revealed anticancer compounds Quinic Acid, 2(5H)‑Furanone and Phytol in <em>Andrographis paniculata</em>". Molecular and Clinical Oncology 17, no. 5 (2022): 151. https://doi.org/10.3892/mco.2022.2584
Copy and paste a formatted citation
x
Spandidos Publications style
Anoor PK, Yadav AN, Rajkumar K, Kande R, Tripura C, Naik KS and Burgula S: Methanol extraction revealed anticancer compounds Quinic Acid, 2(5H)‑Furanone and Phytol in <em>Andrographis paniculata</em>. Mol Clin Oncol 17: 151, 2022.
APA
Anoor, P.K., Yadav, A.N., Rajkumar, K., Kande, R., Tripura, C., Naik, K.S., & Burgula, S. (2022). Methanol extraction revealed anticancer compounds Quinic Acid, 2(5H)‑Furanone and Phytol in <em>Andrographis paniculata</em>. Molecular and Clinical Oncology, 17, 151. https://doi.org/10.3892/mco.2022.2584
MLA
Anoor, P. K., Yadav, A. N., Rajkumar, K., Kande, R., Tripura, C., Naik, K. S., Burgula, S."Methanol extraction revealed anticancer compounds Quinic Acid, 2(5H)‑Furanone and Phytol in <em>Andrographis paniculata</em>". Molecular and Clinical Oncology 17.5 (2022): 151.
Chicago
Anoor, P. K., Yadav, A. N., Rajkumar, K., Kande, R., Tripura, C., Naik, K. S., Burgula, S."Methanol extraction revealed anticancer compounds Quinic Acid, 2(5H)‑Furanone and Phytol in <em>Andrographis paniculata</em>". Molecular and Clinical Oncology 17, no. 5 (2022): 151. https://doi.org/10.3892/mco.2022.2584
Follow us
  • Twitter
  • LinkedIn
  • Facebook
About
  • Spandidos Publications
  • Careers
  • Cookie Policy
  • Privacy Policy
How can we help?
  • Help
  • Live Chat
  • Contact
  • Email to our Support Team