Spandidos Publications Logo
  • About
    • About Spandidos
    • Aims and Scopes
    • Abstracting and Indexing
    • Editorial Policies
    • Reprints and Permissions
    • Job Opportunities
    • Terms and Conditions
    • Contact
  • Journals
    • All Journals
    • Oncology Letters
      • Oncology Letters
      • Information for Authors
      • Editorial Policies
      • Editorial Board
      • Aims and Scope
      • Abstracting and Indexing
      • Bibliographic Information
      • Archive
    • International Journal of Oncology
      • International Journal of Oncology
      • Information for Authors
      • Editorial Policies
      • Editorial Board
      • Aims and Scope
      • Abstracting and Indexing
      • Bibliographic Information
      • Archive
    • Molecular and Clinical Oncology
      • Molecular and Clinical Oncology
      • Information for Authors
      • Editorial Policies
      • Editorial Board
      • Aims and Scope
      • Abstracting and Indexing
      • Bibliographic Information
      • Archive
    • Experimental and Therapeutic Medicine
      • Experimental and Therapeutic Medicine
      • Information for Authors
      • Editorial Policies
      • Editorial Board
      • Aims and Scope
      • Abstracting and Indexing
      • Bibliographic Information
      • Archive
    • International Journal of Molecular Medicine
      • International Journal of Molecular Medicine
      • Information for Authors
      • Editorial Policies
      • Editorial Board
      • Aims and Scope
      • Abstracting and Indexing
      • Bibliographic Information
      • Archive
    • Biomedical Reports
      • Biomedical Reports
      • Information for Authors
      • Editorial Policies
      • Editorial Board
      • Aims and Scope
      • Abstracting and Indexing
      • Bibliographic Information
      • Archive
    • Oncology Reports
      • Oncology Reports
      • Information for Authors
      • Editorial Policies
      • Editorial Board
      • Aims and Scope
      • Abstracting and Indexing
      • Bibliographic Information
      • Archive
    • Molecular Medicine Reports
      • Molecular Medicine Reports
      • Information for Authors
      • Editorial Policies
      • Editorial Board
      • Aims and Scope
      • Abstracting and Indexing
      • Bibliographic Information
      • Archive
    • World Academy of Sciences Journal
      • World Academy of Sciences Journal
      • Information for Authors
      • Editorial Policies
      • Editorial Board
      • Aims and Scope
      • Abstracting and Indexing
      • Bibliographic Information
      • Archive
    • International Journal of Functional Nutrition
      • International Journal of Functional Nutrition
      • Information for Authors
      • Editorial Policies
      • Editorial Board
      • Aims and Scope
      • Abstracting and Indexing
      • Bibliographic Information
      • Archive
    • International Journal of Epigenetics
      • International Journal of Epigenetics
      • Information for Authors
      • Editorial Policies
      • Editorial Board
      • Aims and Scope
      • Abstracting and Indexing
      • Bibliographic Information
      • Archive
    • Medicine International
      • Medicine International
      • Information for Authors
      • Editorial Policies
      • Editorial Board
      • Aims and Scope
      • Abstracting and Indexing
      • Bibliographic Information
      • Archive
  • Articles
  • Information
    • Information for Authors
    • Information for Reviewers
    • Information for Librarians
    • Information for Advertisers
    • Conferences
  • Language Editing
Spandidos Publications Logo
  • About
    • About Spandidos
    • Aims and Scopes
    • Abstracting and Indexing
    • Editorial Policies
    • Reprints and Permissions
    • Job Opportunities
    • Terms and Conditions
    • Contact
  • Journals
    • All Journals
    • Biomedical Reports
      • Information for Authors
      • Editorial Policies
      • Editorial Board
      • Aims and Scope
      • Abstracting and Indexing
      • Bibliographic Information
      • Archive
    • Experimental and Therapeutic Medicine
      • Information for Authors
      • Editorial Policies
      • Editorial Board
      • Aims and Scope
      • Abstracting and Indexing
      • Bibliographic Information
      • Archive
    • International Journal of Epigenetics
      • Information for Authors
      • Editorial Policies
      • Editorial Board
      • Aims and Scope
      • Abstracting and Indexing
      • Bibliographic Information
      • Archive
    • International Journal of Functional Nutrition
      • Information for Authors
      • Editorial Policies
      • Editorial Board
      • Aims and Scope
      • Abstracting and Indexing
      • Bibliographic Information
      • Archive
    • International Journal of Molecular Medicine
      • Information for Authors
      • Editorial Policies
      • Editorial Board
      • Aims and Scope
      • Abstracting and Indexing
      • Bibliographic Information
      • Archive
    • International Journal of Oncology
      • Information for Authors
      • Editorial Policies
      • Editorial Board
      • Aims and Scope
      • Abstracting and Indexing
      • Bibliographic Information
      • Archive
    • Medicine International
      • Information for Authors
      • Editorial Policies
      • Editorial Board
      • Aims and Scope
      • Abstracting and Indexing
      • Bibliographic Information
      • Archive
    • Molecular and Clinical Oncology
      • Information for Authors
      • Editorial Policies
      • Editorial Board
      • Aims and Scope
      • Abstracting and Indexing
      • Bibliographic Information
      • Archive
    • Molecular Medicine Reports
      • Information for Authors
      • Editorial Policies
      • Editorial Board
      • Aims and Scope
      • Abstracting and Indexing
      • Bibliographic Information
      • Archive
    • Oncology Letters
      • Information for Authors
      • Editorial Policies
      • Editorial Board
      • Aims and Scope
      • Abstracting and Indexing
      • Bibliographic Information
      • Archive
    • Oncology Reports
      • Information for Authors
      • Editorial Policies
      • Editorial Board
      • Aims and Scope
      • Abstracting and Indexing
      • Bibliographic Information
      • Archive
    • World Academy of Sciences Journal
      • Information for Authors
      • Editorial Policies
      • Editorial Board
      • Aims and Scope
      • Abstracting and Indexing
      • Bibliographic Information
      • Archive
  • Articles
  • Information
    • For Authors
    • For Reviewers
    • For Librarians
    • For Advertisers
    • Conferences
  • Language Editing
Login Register Submit
  • This site uses cookies
  • You can change your cookie settings at any time by following the instructions in our Cookie Policy. To find out more, you may read our Privacy Policy.

    I agree
Search articles by DOI, keyword, author or affiliation
Search
Advanced Search
presentation
Molecular and Clinical Oncology
Join Editorial Board Propose a Special Issue
Print ISSN: 2049-9450 Online ISSN: 2049-9469
Journal Cover
October-2024 Volume 21 Issue 4

Full Size Image

Sign up for eToc alerts
Recommend to Library

Journals

International Journal of Molecular Medicine

International Journal of Molecular Medicine

International Journal of Molecular Medicine is an international journal devoted to molecular mechanisms of human disease.

International Journal of Oncology

International Journal of Oncology

International Journal of Oncology is an international journal devoted to oncology research and cancer treatment.

Molecular Medicine Reports

Molecular Medicine Reports

Covers molecular medicine topics such as pharmacology, pathology, genetics, neuroscience, infectious diseases, molecular cardiology, and molecular surgery.

Oncology Reports

Oncology Reports

Oncology Reports is an international journal devoted to fundamental and applied research in Oncology.

Experimental and Therapeutic Medicine

Experimental and Therapeutic Medicine

Experimental and Therapeutic Medicine is an international journal devoted to laboratory and clinical medicine.

Oncology Letters

Oncology Letters

Oncology Letters is an international journal devoted to Experimental and Clinical Oncology.

Biomedical Reports

Biomedical Reports

Explores a wide range of biological and medical fields, including pharmacology, genetics, microbiology, neuroscience, and molecular cardiology.

Molecular and Clinical Oncology

Molecular and Clinical Oncology

International journal addressing all aspects of oncology research, from tumorigenesis and oncogenes to chemotherapy and metastasis.

World Academy of Sciences Journal

World Academy of Sciences Journal

Multidisciplinary open-access journal spanning biochemistry, genetics, neuroscience, environmental health, and synthetic biology.

International Journal of Functional Nutrition

International Journal of Functional Nutrition

Open-access journal combining biochemistry, pharmacology, immunology, and genetics to advance health through functional nutrition.

International Journal of Epigenetics

International Journal of Epigenetics

Publishes open-access research on using epigenetics to advance understanding and treatment of human disease.

Medicine International

Medicine International

An International Open Access Journal Devoted to General Medicine.

Journal Cover
October-2024 Volume 21 Issue 4

Full Size Image

Sign up for eToc alerts
Recommend to Library

  • Article
  • Citations
    • Cite This Article
    • Download Citation
    • Create Citation Alert
    • Remove Citation Alert
    • Cited By
  • Similar Articles
    • Related Articles (in Spandidos Publications)
    • Similar Articles (Google Scholar)
    • Similar Articles (PubMed)
  • Download PDF
  • Download XML
  • View XML

  • Supplementary Files
    • Supplementary_Data.pdf
Article Open Access

The updated relationship between the cleft‑lip and palate transmembrane protein‑1‑like rs401681 and lung cancer risk: A systematic review and meta‑analysis

  • Authors:
    • Zemin Fang
    • Gaofeng Zhao
    • Yuebin Wang
    • Fengke Li
    • Zhidan Ding
  • View Affiliations / Copyright

    Affiliations: Department of Lung Transplant, The First Affiliated Hospital of Zhengzhou University, Zhengzhou, Henan 450000, P.R. China
    Copyright: © Fang et al. This is an open access article distributed under the terms of Creative Commons Attribution License [CC BY 4.0].
  • Article Number: 70
    |
    Published online on: July 31, 2024
       https://doi.org/10.3892/mco.2024.2768
  • Expand metrics +
Metrics: Total Views: 0 (Spandidos Publications: | PMC Statistics: )
Metrics: Total PDF Downloads: 0 (Spandidos Publications: | PMC Statistics: )
Cited By (CrossRef): 0 citations Loading Articles...

This article is mentioned in:



Abstract

Currently, the role of cleft‑lip and palate transmembrane protein‑1‑like (CLPTM1L) rs401681 in various tumor types, particularly lung cancer, has garnered significant attention. However, the findings across studies have shown discrepancies. The aim of the present meta‑analysis was to provide a more nuanced understanding of the involvement of CLPTM1L rs401681 in lung cancer development. Several electronic databases were systematically searched, including PubMed, Cochrane Library, Embase, Medline, Wanfang, Google Scholar and Chinese National Knowledge Infrastructure. Odds ratios (ORs) and 95% confidence intervals (CIs) were synthesized using random‑effects models. Heterogeneity of included studies was assessed using the I2 statistic and Q test. Sensitivity analysis was conducted to evaluate the stability of overall estimates. Moreover, Egger's test was utilized to detect potential publication bias. The collective ORs indicated a significant association between the CLPTM1L rs401681 polymorphism and susceptibility to lung cancer across various genetic comparisons. These encompass allele T vs. allele C (OR=0.93, 95% CI=0.88‑0.99, P<0.001), TT + CT vs. CC (OR=0.91, 95% CI=0.87‑0.96, P<0.001), TT vs. CC + CT (OR=0.88, 95% CI=0.80‑0.96, P<0.001), TT vs. CC (OR=0.84, 95% CI=0.75‑0.94, P<0.001) and CT vs. CC (OR=0.84, 95% CI=0.75‑0.94, P<0.001). Examination through statistical Q test and I2 statistic revealed pronounced heterogeneity across four genetic comparisons (allele T vs. allele C, TT + CT vs. CC, TT vs. CC and CT vs. CC). Ethnical distinctions emerged as the primary, if not exclusive, sources of the significant heterogeneity. Upon stratification by ethnicity, a notable reduction in heterogeneity was discernible within the Caucasian demographic. However, heterogeneity persisted within the Asian population. Furthermore, lung cancer risks were statistically significantly decreased for individuals possessing allele T through all genetic comparisons within Caucasians; whereas among Asians, significant reduction was observed solely in the TT vs. CC comparison. The present meta‑analysis uncovers a significant association between the CLPTM1L rs401681 polymorphism and altered susceptibility to lung cancer.

Introduction

Lung cancer currently ranks among the foremost causes of cancer death, with its incidence and fatality rates escalating annually (1). In 2012, ~1.8 million new cases of lung cancer were reported globally, resulting in 1.6 million fatalities (1). Epidemiological data suggest an estimated 230,000 new cases of lung cancer in the USA in 2022. Furthermore, the mortality rate attributed to lung cancer is anticipated to surpass the combined rates of breast, prostate and colon cancer (2). These conditions impose substantial economic and psychological burdens on society and families. While smoking is a well-established risk factor for lung cancer, accounting for 80-90% of the cases, it is noteworthy that only 15% of smokers ultimately develop lung cancer. This suggests that hereditary predisposition might also significantly contribute to lung cancer (1,3). Histologically, lung cancer is broadly classified into small cell lung cancer (SCLC) and non-small cell lung cancer (NSCLC) (4). A total of ~80-85% lung cancers are NSCLC, encompassing various subtypes such as squamous cell carcinoma, adenocarcinoma, large cell carcinoma, adeno-squamous carcinoma and sarcomatoid carcinoma (4). Multiple genetic alterations have shown the potential to disrupt biological process or functionals, thereby facilitating the onset of lung cancer. Hence, the identification of susceptibility genes for lung cancer holds paramount clinical significance.

Cleft-lip and palate transmembrane protein-1-like (CLPTM1L) protein is identified as a protein associated with cisplatin resistance (5,6). The gene is situated on chromosome 5p15.33 and encodes a protein comprising 538 amino acids (6) with a molecular weight of 62 KDa (3,7). Functionally, the protein encoded by CLPTM1L is a membrane entity implicated in cisplatin resistance, where its overexpression in cisplatin-sensitive cells triggers apoptosis (8). Remarkably, both human and murine proteins exhibit 99% sequence identity, featuring 538 amino acids (5). Notably, within the chromosomal region 5p15, housing two genes, telomerase reverse transcriptase (TERT) and CLPTM1L, a susceptibility locus for lung cancer has been identified, with a potential role attributed to NKX2.4(9). Nonetheless, the interaction mechanism between these genes remains elusive. Moreover, CLPTM1L has been implicated in modulating inflammatory responses (10). Given the profound link between malignancy and heightened inflammation (11), numerous studies have scrutinized the potential of CLPTM1L mutation in precipitating tumorigenesis. Genome-wide association studies (GWAS) have pinpointed specific single nucleotide polymorphisms (SNPs) within the CLPTM1L gene (such as rs401681 and rs402710) as intricately intertwined with the onset and progression of various malignancies spanning lung cancer, breast cancer, pancreatic cancer, nasopharyngeal carcinoma and bladder cancer among others (3,7,12). In addition, clinical analyses have revealed that the expression levels of CLPTM1L in lung cancer tissue surpass those in healthy lung tissue, particularly evident in adenocarcinoma cells (5). Adenocarcinoma cells exhibit an average 2.15-fold elevation in CLPTM1L expression over normal immortalized cell lines (P = 3.59x10-7) (13). Since its initial identification of association with lung cancer susceptibility, numerous subsequent investigations have delved into the relationship between lung cancer risk and the rs401681 variant. Nevertheless, subsequent studies have yielded disparate findings (14-20). To comprehensively elucidate the association between lung cancer and rs401681, a meta-analysis encompassing correlational studies published prior to 2023 was undertaken.

Materials and methods

Literature search

A meticulous literature search was performed across multiple electronic databases, comprising PubMed (https://pubmed.ncbi.nlm.nih.gov/), Embase (https://www.embase.com), Cochrane Library (https://www.cochranelibrary.com/), Medline (https://www.nlm.nih.gov/medline/medline_overview.html), Google Scholar (https://scholar.google.com/), Wanfang (http://www.wanfangdata.com/) and Chinese National Knowledge Infrastructure (https://oversea.cnki.net/index/). Employing requisite combinations of keywords, such as ‘LC’ or ‘lung carcinoma’ or ‘lung neoplasm’ or ‘lung cancer’ and ‘rs401681 or CLPTM1L’, facilitated comprehensive retrieval. Moreover, additional relevant studies were identified through thorough examination of the reference lists of the included studies.

Selection criteria

The inclusion criteria for eligible studies were as follows: i) Studies comprising both control and case groups; ii) studies investigating the association between CLPTM1L rs401681 and lung cancer susceptibility; iii) studies providing adequate data on genotype frequencies, or odds ratio (OR) with 95% confidence interval (95% CI) for lung cancer risk assessment and iv) investigations involving human subjects. A study that meets any of the following criteria was deemed to be non-compliant with the present meta-analysis: i) Comments, abstracts for conference, case reports, editorials or reviews; ii) insufficient data for OR calculation; iii) animal studies; and iv) studies lacking control groups.

Quality assessment

The quality of all included studies was assessed utilizing the Newcastle-Ottawa Scale (NOS). The NOS assesses studies across three key dimensions: The selection of the study groups; the comparability of these groups; and the ascertainment of either the exposure or outcome of interest for case-control or cohort studies respectively. The scale yields a maximum score of 9(21). Finally, the studies with a total score surpassing 6 are considered high quality, those scoring between 4 and 6 are considered medium quality, and studies with a total score below 4 are categorized as low quality.

Data extraction

Data extraction was independently carried out by two investigators. Any discordant opinion was solved through discussing to reach a final consensus. The data obtained from each included study encompassed the first author's name, publication year, region, ethnicity, disease type, sample size, genotype and/or allele frequencies of case and control subjects, and testimony of Hardy-Weinberg equilibrium in the control group.

Statistical analysis

The statistical analyses were conducted using STATA software (version 17.0, StataCorp LP). The effect size of the correlation between the CLPTM1L rs401681 polymorphism and lung cancer risk was evaluated by pooled ORs with corresponding 95% CIs. χ2-based Q-test and I2 statistic were used to assess heterogeneity among studies. The random-effects model was used for the present meta-analysis. The significant heterogeneity was defined as P<0.05 for the Q test or I2>50%. Moreover, subgroup analysis was used to investigate potential sources of substantial heterogeneity. Publication bias was assessed by Egger's linear regression test. To test the robustness of the pooled outcomes, sensitivity analysis was employed using the leave-one-out method to identify the influence of individual studies on the overall effect estimate. P<0.05 was considered to indicate a statistically significant.

In silico analysis

Aiming to elucidate the impact of polymorphisms on CLPTM1L, the authors embarked on an exploration of the association between the rs401681 and CLPTM1L expression levels via Genotype-Tissue Expression (GTEx) Analysis Release V6 (dbGaP Accession phs000424.v7.p2) data (22). To further investigate the potential influence of CLPTM1L expression on tumorigenesis, the authors endeavored to mine evidence from The Cancer Genome Atlas (TCGA) database (https://www.cancer.gov/ccg/research/genome-sequencing/tcga) by using the Kaplan-Meier. Additionally, the recently developed interactive platform, Gene Expression Profiling Interactive Analysis, was utilized to augment the inquiry (23-25).

Results

Characteristics of included studies

Through the investigation of public databases, a total of 103 potential papers according to the search criteria were identified, from which 47 were subsequently excluded due to duplication (Fig. 1). Following this, a total of 22 studies were excluded due to unrelated topics. Moreover, 13 additional studies were excluded for lack of alignment with the case control design (n=6) and for including ineligible samples (n=7). Finally, 22 eligible articles were included (14,16,18,20,26-43). Among these studies, data pertaining to Caucasian populations were presented in 5 studies (26,29,30,38,42), whereas 17 studies included Asian populations. A more comprehensive overview of the studies included in the present meta-analysis is provided in Tables I and II.

Figure 1

Flowchart for literature searching and selection.

Table I

Main characteristics of the included studies in the present meta-analysis.

Table I

Main characteristics of the included studies in the present meta-analysis.

 Sample sizeCase genotypeControl genotype 
First author, yearRaceCaseControlCCCTTTCCCTTTNOS scoreHWE(Refs.)
Wang et al, 2008Caucasian2,3963,0518681,1343949941,5065517Y(38)
Amos et al, 2008Caucasian1,1531,1373965701873365962058Y(26)
Hung et al, 2008Caucasian1,9202,5177109492618571,2394218Y(30)
Zienolddiny et al, 2009Caucasian34143110717757117224908Y(42)
Yoon et al, 2010Asian43134111722490107177578Y(40)
Bae et al, 2012Asian1,0861,079545434107499484967Y(27)
Chen et al, 2012Asian19522895901012677257Y(28)
Li et al, 2013Asian46453621820541244234588Y(14)
Myneni et al, 2013Asian35044118113534194200478Y(35)
Wang et al, 2013Asian49248624520146215203688Y(37)
de Mello et al, 2013Caucasian1441444077274475258Y(29)
Jiang et al, 2013Asian72686037128966395378878Y(31)
Ke et al, 2013Asian6111,062324231564954591088Y(33)
Sun et al, 2013Asian400200186188269586198Y(36)
Lv et al, 2013Asian6021,060315231564934591088Y(43)
Zhao et al, 2014Asian95195443642491437424938Y(20)
Xun et al, 2014Asian22829911210214132132358Y(18)
Zhang et al, 2014Asian36636418214935167169288Y(41)
Liang et al, 2014Asian30930814513925137134378Y(16)
Liu et al, 2015Asian29231915711223138146358Y(34)
Jin et al, 2016Asian55469527623444308302858Y(32)
Xiao et al, 2017Asian19922085991512879138Y(39)

[i] NOS, Newcastle-Ottawa Scale; HWE, Hardy-Weinberg equilibrium; Y, conform to HWE.

Table II

Comparative analysis of genotype frequencies and the risk of lung cancer in the subgroups.

Table II

Comparative analysis of genotype frequencies and the risk of lung cancer in the subgroups.

 Sample sizeCase genotypeControl genotype 
First author, yearRaceHistologyCaseControlCCCTTTCCCTTT(Refs.)
Zienolddiny et al, 2009CaucasianNSCLC3414311071775711722490(42)
Yoon et al, 2010AsianNSCLC4313411172249010717757(40)
Chen et al, 2012AsianSCLC162288801267725(28)
Chen et al, 2012AsianNSCLC1802288782101267725(28)
Li et al, 2013AsianNSCLC4645362182054124423458(14)
Wang et al, 2013AsianSCLC994864545921520368(37)
Wang et al, 2013AsianNSCLC3934862001563721520368(37)
de Mello et al, 2013CaucasianNSCLC144144407727447525(29)
Ke et al, 2013AsianNSCLC4271,06222915537493459108(33)
Sun et al, 2013AsianNSCLC40020018618826958619(36)
Zhao et al, 2014AsianSCLC7039543343016843742493(20)
Zhao et al, 2014AsianNSCLC13995459681243742493(20)
Zhang et al, 2014AsianNSCLC3663641821493516716928(41)

[i] NSCLC, non-small cell lung cancer; SCLC, small cell lung cancer.

Susceptibility to lung cancer

The association between the CLPTM1L rs401681 and lung cancer is illustrated in Table III. OR<1 denotes reduced lung cancer risk associated with the exposed genotype compared with the non-exposed counterpart. The findings underscored a significant link between CLPTM1L rs401681 and altered lung cancer risk across all genetic comparisons. These comparisons encompass allele T vs. allele C (OR=0.93, 95% CI=0.88-0.99, P<0.001), TT + CT vs. CC (OR=0.91, 95%CI=0.87-0.96, P<0.001), TT vs. CC + CT (OR=0.88, 95% CI=0.80-0.96, P<0.001), TT vs. CC (OR=0.84, 95% CI=0.78-0.90, P<0.001), and CT vs. CC (OR=0.84, 95% CI=0.75-0.94, P=0.008).

Table III

Result of meta-analysis for CLPTM1L rs401681 polymorphism and lung cancer risk.

Table III

Result of meta-analysis for CLPTM1L rs401681 polymorphism and lung cancer risk.

 T vs. CTT + CT vs. CCTT vs. CC + CTTT vs. CCCT vs. CC
VariablesNCase/controlOR (95% CI) Ph/I2(%)/PzPEOR (95% CI) Ph/I2(%)/PzPEOR (95% CI) Ph/I2(%)/PzPEOR (95% CI) Ph/I2(%)/PzPEOR (95% CI) Ph/I2(%)/PzPE
Total2214195/167320.93 (0.88-0.99) 0.000/60.9/0.0000.4060.91 (0.87-0.96) 0.000/63.7/0.0000.2290.88 (0.80-0.96)0.054/35/0.0000.6170.84 (0.78-0.90) 0.008/46.9/0.0000.8860.84 (0.75-0.94) 0.000/46.9/0.0080.162
Ethnicity
Caucasian55954/72800.89 (0.85-0.93)0.756/0/0.000/0.86 (0.80-0.92)0.722/0/0.000/0.85 (0.78-0.93)//0.79 (0.71-0.87)0.688/0/0.000 0.79 (0.71-0.91)0.688/0/0.000/
Asian178241/94520.95 (0.88-1.03) 0.000/66.2/0.046/0.96 (0.90-1.02) 0.000/68.2/0.151/0.88 (0.76-1.01)//0.89 (0.80-0.99) 0.005/53.8/0.069 0.86 (0.73-1.01) 0.005/53.8/0.737/
Histology
NSCLC103849/47460.93 (0.85-1.01) 0.123/35.7/0.087/0.92 (0.82-1.04) 0.114/36.8/0.178/0.88 (0.74-1.05) 0.131/34.6/0.154/0.85 (0.70-1.03) 0.121/35.9/0.099 0.95 (0.84-1.07) 0.096/39.3/0.383/
SCLC3254/16680.93 (0.87-1.00) 0.241/20.1/0.756/0.94 (0.85-1.04) 0.189/25.3/0.601/0.87 (0.74-1.01) 0.214/22.7/0.190/0.84 (0.72-1.00) 0.227/21.4/0.318 0.97 (0.87-1.09) 0.124/32.3/0.280/

[i] Random-effect model was used. N, number of comparisons; Ph, P-value of Q test for heterogeneity; PZ, P-value of Z test; Pe, P-value of Egger's test; NSCLC, non-small cell lung cancer; SCLC, small cell lung cancer.

Heterogeneity and subgroup analysis

Q test and I2 findings revealed significant heterogeneity across four comparisons including allele T vs. allele C, TT+CT vs. CC, TT vs. CC, and CT vs. CC (Table III). Subgroup analysis results (Table III; Fig. S1, Fig. S2, Fig. S3, Fig. S4, Fig. S5, Fig. S6, Fig. S7, Fig. S8, Fig. S9 and Fig. S10) suggested that racial disparities may contribute to the considerable heterogeneity observed in the majority, if not all, of the comparisons. Upon stratification by ethnicity, a notable reduction in heterogeneity within the Caucasian subgroup was observed, although heterogeneity persisted within the Asian subgroup. Moreover, significant alterations in lung cancer risks were also detected in all genetic comparisons among Caucasians, whereas such alterations were statistically significant only in the TT vs. CC comparison within the Asian subgroup.

Furthermore, a total of 10 studies focusing on NSCLC and 3 studies focusing on SCLC furnished adequate data regarding genotype distribution, enabling the conduction of an additional subgroup analysis. The results showed that the association between rs401681 and the risks associated with NSCLC or SCLC did not attain statistical significance across all comparisons (Table III).

Sensitivity analysis

From the results of sensitivity analysis in various comparisons (Fig. S11, Fig. S12, Fig. S13, Fig. S14 and Fig. S15), no substantial alterations in the re-obtained ORs were observed when compared with the initial ORs. This indicated the robustness and consistency of these findings.

Publication bias

The P-value of Egger's linear regression test (Table III) indicated the absence of noteworthy publication bias across all comparisons.

In silico analysis

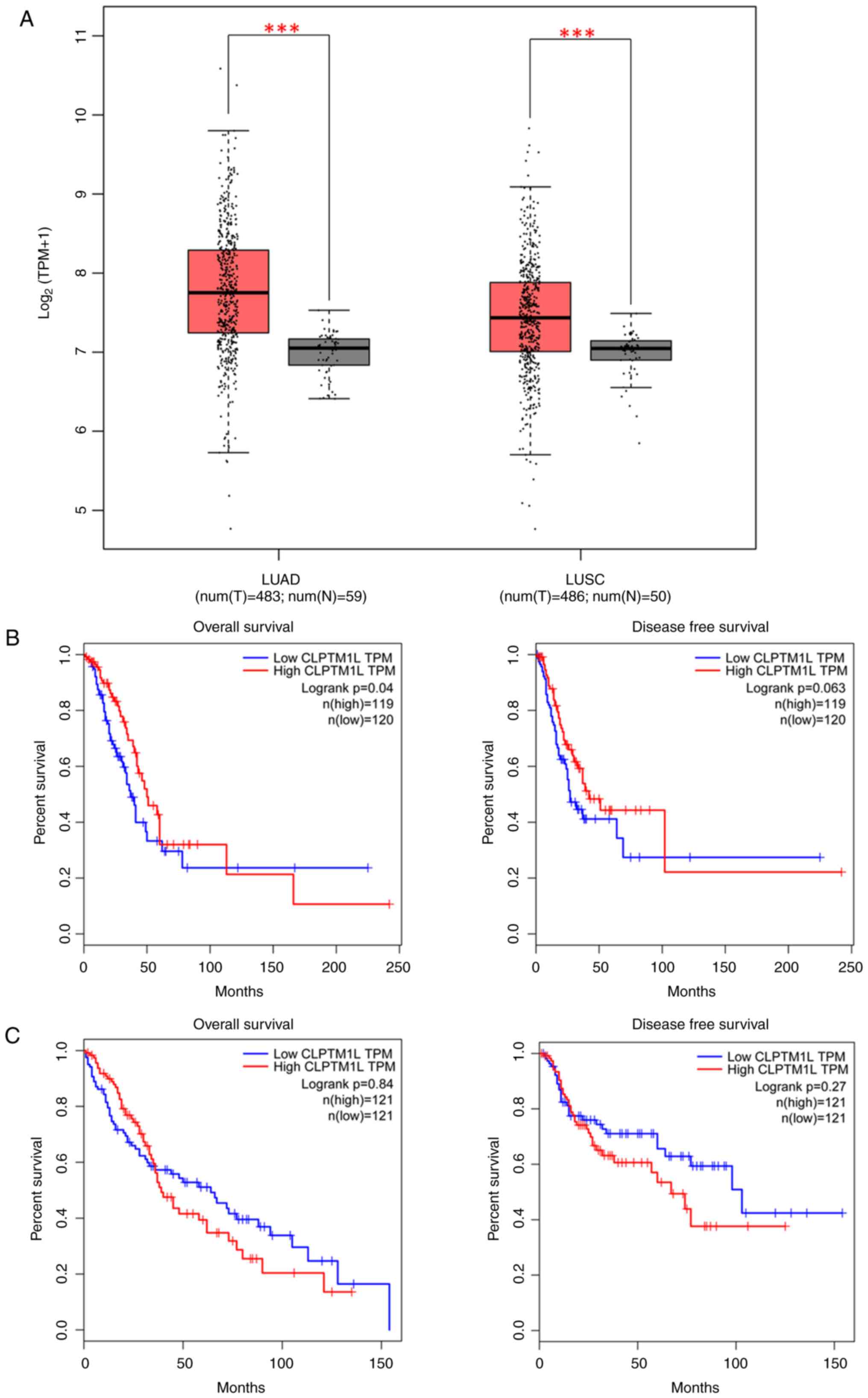
Based on the GTEx portal data, the analysis revealed that the mutant allele was associated with increased expression of CLPTM1L mRNA at rs401681 (P=0.02) (Fig. 2). Evidence gleaned from TCGA database further underscored this finding, demonstrating elevated CLPTM1L expression levels in lung adenocarcinoma (LUAD) tissue compared with normal tissue [CLPTM1L expression=(5.5x103) vs. (2.8x103), P<0.001], as well as in lung squamous cell carcinoma (LUSC) [CLPTM1L expression=(4.6x103) vs. (2.9x103), P<0.001] (Fig. 3A).

Figure 2

In silico analysis of CLPTM1L expression concerned to rs401681 and lung cancer. CLPTM1L mRNA expression by expression quantitative trait loci analysis in human tissues based on Genotype-Tissue Expression database. CLPTM1L, cleft-lip and palate transmembrane protein-1-like.

Figure 3

In silico analysis of CLPTM1L expression. (A) Comparison of CLPTM1L expression between tumor site and matched normal tissue in The Cancer Genome Atlas database. (B) The association between the expression of CLPTM1L and the overall survival time and disease-free survival time of LUAD. (C) The association between the expression of CLPTM1L and the overall survival time, disease free survival time of LUSC. CLPTM1L, cleft-lip and palate transmembrane protein-1-like; LUAD, lung adenocarcinoma; LUSC, lung squamous cell carcinoma. ***P<0.001.

Moreover, whether the expression level of CLPTM1 influences the disease-free survival (DFS) and overall survival (OS) of lung cancer was investigated. The Kaplan-Meier estimations revealed a notable discrepancy in OS between the low and high CLPTM1 transcripts per kilobase million (TPM) groups in LUAD (log-rank P=0.04), albeit a difference in DFS close to statistical significance (log-rank P=0.063). On the other hand, no distinction was observed between high and low CLPTM1 TPM groups in LUSC (log-rank P=0.84 for OS and 0.27 for DFS). Details are presented in Fig. 3B and C.

Discussion

In the present study, the impact of CLPTM1L rs401681 within the locus 5p15.33 on lung cancer incidence was scrutinized, and it was found that it had a remarkable association with onset of lung cancer. Prior investigations yield a discordant landscape regarding the role of CLPTM1L rs401681 in the occurrence of lung cancer. There was no overall correlation between CLPTM1L rs401681 and the risk of lung cancer in several previous studies (20,28), whereas others reported that allele T of CLPTM1L rs401681 decreases the susceptibility of lung cancer (33,39,40,43). A precedent meta-analysis hinted at an association between CLPTM1L rs401681 and lung cancer (14), albeit with a caveat on sample size constraints acknowledged by the authors. Subsequently, emerging studies exploring the relationship between CLPTM1L rs401681 and lung cancer risk have been published (16,18,20,32,34,39,41,44,45). To further determine the relationship between CLPTM1L rs401681 polymorphism and lung cancer risk, the authors embarked on a meta-analysis of all the literature published before 2023. In the present study, the association between CLPTM1L rs401681 polymorphism and lung cancer risk was systematically reviewed and was based on ten case-control studies, encompassing 14,195 cases and 16,732 controls. The meta-analysis demonstrated that CLPTM1L rs401681 polymorphism was associated with the occurrence of lung cancer in all the genetic comparisons investigated, suggestive of a protective effect conferred by the T allele of CLPTM1L rs401681 mutation against lung cancer. Nevertheless, the I2 statistic and statistical Q test revealed significant heterogeneity, with ethnic origin emerging as a plausible primary contributor to this observed heterogeneity.

Upon stratification by race, a statistically significant association of CLPTM1L rs401681 with lung cancer risk was observed in each genetic comparison among Caucasians, whereas it was only notable for the TT vs. CC comparison among Asians. Although the exact cause for racial disparities is not entirely clear, one possible cause may lie within the genetic context. When considering subgroups based on histology, it was found that the association between rs401681 and NSCLC or SCLC risks was not statistically significant for all comparisons. This suggested that CLPTM1L rs401681 variant genotypes may not exert an effect on the pathological differentiation of lung cancer. Future investigations should aim to elucidate the underlying mechanisms, taking into account factors such as histology or race heterogeneity, to provide a more nuanced understanding of the impact of CLPTM1L gene polymorphism on lung cancer risk and to tailor personal therapy.

The association between lung cancer and the CLPTM1L rs401681 polymorphism may be confounded by other influential SNPs, particularly those situated within TERT-CLPTM1L region. This is especially pertinent for SNPs in close linkage disequilibrium with rs401681, such as rs31490 and rs414965, or those directly implicated in lung cancer. In addition, variations in matching criteria, selection bias, and limited data availability in the present study may lead to statistical insufficiency to identify subtle differences, and a fluctuated risk estimate. Several findings underscored the critical importance of assessing genetic influences across diverse populations for disease onset and progression.

The present study possessed several limitations. Primarily, the intricate interplay between gene-gene and gene-environment interactions in lung cancer risk poses challenges for evaluating genotype polymorphism alongside potential psychological and environmental factors. Consequently, the assessment primarily focused on delineating the risk coefficient associated with aberrant genotypes. Secondly, the present study only included Chinese and English studies, potentially introducing unacknowledged language bias. Thirdly, the possibility of chance findings cannot be entirely discounted, given the limited patient cohorts within the present stratified analyses. These subgroup associations necessitate validation within larger cohorts for enhanced precision. Lastly, due to lacking certain subgroup data of included studies, some important subgroups such as sex are not analyzed in the present meta-analysis. In future research, investigators should focus more on this important issue.

In conclusion, the current meta-analysis demonstrates a significant association between the CLPTM1L rs401681 polymorphism and the risk of lung cancer, wherein the T allele exhibits a protective effect. These findings offer preliminary insights into assessing the risk of lung cancer based on the SNP rs401681 genotype, thus laying the groundwork for personalized medicine endeavors.

Supplementary Material

Forest plot of the relationship between the cleft-lip and palate transmembrane protein-1-like rs401681 polymorphism and lung susceptibility (including racial subgroup analysis) in the allele T vs. allele C. The squares and horizontal lines correspond to the study-specific OR and 95% CI. The area of a square reflects the weight (reciprocal of variance). The diamond represents the total OR and 95% CI. OR, odds ratio; CI, confidence interval.
Forest plot of the relationship between the cleft-lip and palate transmembrane protein-1-like rs401681 polymorphism and lung susceptibility for racial subgroup analysis in the allele T vs. allele C. The squares and horizontal lines correspond to the study-specific OR and 95% CI. The area of a square reflects the weight (reciprocal of variance). The diamond represents the summary OR and 95% CI. OR, odds ratio; CI, confidence interval.
Forest plot of the relationship between the cleft-lip and palate transmembrane protein-1-like rs401681 polymorphism and lung susceptibility (including racial subgroup analysis) in the TT + CT vs. CC. The squares and horizontal lines correspond to the study-specific OR and 95% CI. The area of a square reflects the weight (reciprocal of variance). The diamond represents the summary OR and 95% CI. OR, odds ratio; CI, confidence interval.
Forest plot of the relationship between the cleft-lip and palate transmembrane protein-1-like rs401681 polymorphism and lung susceptibility for racial subgroup analysis in the TT + CT vs. CC. The squares and horizontal lines correspond to the study-specific OR and 95% CI. The area of a square reflects the weight (reciprocal of variance). The diamond represents the summary OR and 95% CI. OR, odds ratio; CI, confidence interval.
Forest plot of the relationship between the cleft-lip and palate transmembrane protein-1-like rs401681 polymorphism and lung susceptibility (including racial subgroup analysis) in the TT vs. CC + CT. The squares and horizontal lines correspond to the study-specific OR and 95% CI. The area of a square reflects the weight (reciprocal of variance). The diamond represents the summary OR and 95% CI. OR, odds ratio; CI, confidence interval.
Forest plot of the relationship between the cleft-lip and palate transmembrane protein-1-like rs401681 polymorphism and lung susceptibility for racial subgroup analysis in the TT vs. CC + CT. The squares and horizontal lines correspond to the study-specific OR and 95% CI. The area of a square reflects the weight (reciprocal of variance). The diamond represents the summary OR and 95% CI. OR, odds ratio; CI, confidence interval.
Forest plot of the relationship between the cleft-lip and palate transmembrane protein-1-like rs401681 polymorphism and lung susceptibility (including racial subgroup analysis) in the TT vs. CC. The squares and horizontal lines correspond to the study-specific OR and 95% CI. The area of a square reflects the weight (reciprocal of variance). The diamond represents the summary OR and 95% CI. OR, odds ratio; CI, confidence interval.
Forest plot of the relationship between the cleft-lip and palate transmembrane protein-1-like rs401681 polymorphism and lung susceptibility for racial subgroup analysis in the allele TT vs. CC. The squares and horizontal lines correspond to the study-specific OR and 95% CI. The area of a square reflects the weight (reciprocal of variance). The diamond represents the summary OR and 95% CI. OR, odds ratio; CI, confidence interval.
Forest plot of the relationship between the cleft-lip and palate transmembrane protein-1-like rs401681 polymorphism and lung susceptibility (including racial subgroup analysis) in the CT vs. CC. The squares and horizontal lines correspond to the study-specific OR and 95% CI. The area of a square reflects the weight (reciprocal of variance). The diamond represents the summary OR and 95% CI. OR, odds ratio; CI, confidence interval.
Forest plot of the relationship between the cleft-lip and palate transmembrane protein-1-like rs401681 polymorphism and lung susceptibility for racial subgroup analysis in the CT vs. CC. The squares and horizontal lines correspond to the study-specific OR and 95% CI. The area of a square reflects the weight (reciprocal of variance). The diamond represents the summary OR and 95% CI. OR, odds ratio; CI, confidence interval.
Sensitivity analysis for testing the stability of overall estimates of allele T vs. allele C.
Sensitivity analysis for testing the stability of overall estimates of TT + CT vs. CC.
Sensitivity analysis for testing the stability of overall estimates of TT vs. CC + CT.
Sensitivity analysis for testing the stability of overall estimates of TT vs. CC.
Sensitivity analysis for testing the stability of the overall estimate in the CT vs. CC.

Acknowledgements

Not applicable.

Funding

Funding: No funding was received.

Availability of data and materials

The data generated in the present study are included in the figures and/or tables of this article.

Authors' contributions

GZ and YW conceived and designed the study. YW provided administrative support. FL provided study materials or recruited patients. ZD, YW and FL collected and assembled the data. ZF, YW and FL analyzed and interpreted the data. All authors wrote the manuscript. All authors read and approved the final manuscript.

Ethics approval and consent to participate

Not applicable.

Patient consent for publication

Not applicable.

Competing interests

The authors declare that they have no competing interests.

References

1 

Nasim F, Sabath BF and Eapen GA: Lung cancer. Med Clin North Am. 103:463–473. 2019.PubMed/NCBI View Article : Google Scholar

2 

Oliver AL: Lung cancer: Epidemiology and screening. Surg Clin North Am. 102:335–344. 2022.PubMed/NCBI View Article : Google Scholar

3 

Spitz MR, Wei Q, Dong Q, Amos CI and Wu X: Genetic susceptibility to lung cancer: The role of DNA damage and repair. Cancer Epidemiol Biomarkers Prev. 12:689–698. 2003.PubMed/NCBI

4 

Rodriguez-Canales J, Parra-Cuentas E and Wistuba II: Diagnosis and molecular classification of lung cancer. Cancer Treat Res. 170:25–46. 2016.PubMed/NCBI View Article : Google Scholar

5 

Pande M, Spitz MR, Wu X, Gorlov IP, Chen WV and Amos CI: Novel genetic variants in the chromosome 5p15.33 region associate with lung cancer risk. Carcinogenesis. 32:1493–1499. 2011.PubMed/NCBI View Article : Google Scholar

6 

Yamamoto K, Okamoto A, Isonishi S, Ochiai K and Ohtake Y: A novel gene, CRR9, which was up-regulated in CDDP-resistant ovarian tumor cell line, was associated with apoptosis. Biochem Biophys Res Commun. 280:1148–1154. 2001.PubMed/NCBI View Article : Google Scholar

7 

Petersen GM, Amundadottir L, Fuchs CS, Kraft P, Stolzenberg-Solomon RZ, Jacobs KB, Arslan AA, Bueno-de-Mesquita HB, Gallinger S, Gross M, et al: A genome-wide association study identifies pancreatic cancer susceptibility loci on chromosomes 13q22.1, 1q32.1 and 5p15.33. Nat Genet. 42:224–228. 2010.PubMed/NCBI View Article : Google Scholar

8 

Tian J, Wang Y, Dong Y, Chang J, Wu Y, Chang S and Che G: Cumulative evidence for relationships between multiple variants in the TERT and CLPTM1L region and risk of cancer and non-cancer disease. Front Oncol. 12(946039)2022.PubMed/NCBI View Article : Google Scholar

9 

Derrien AC, Houy A, Ganier O, Dingli F, Ningarhari M, Mobuchon L, Espejo Díaz MI, Loew D, Cassoux N, Cussenot O, et al: Functional characterization of 5p15.33 risk locus in uveal melanoma reveals rs452384 as a functional variant and NKX2.4 as an allele-specific interactor. Am J Hum Genet. 109:2196–2209. 2022.PubMed/NCBI View Article : Google Scholar

10 

Petkov S and Chiodi F: Distinct transcriptomic profiles of naïve CD4+ T cells distinguish HIV-1 infected patients initiating antiretroviral therapy at acute or chronic phase of infection. Genomics. 113:3487–3500. 2021.

11 

Aktas G, Sit M, Karagoz I, Erkus E, Ozer B, Kocak MZ, Yaman S, Keyif F, Altinordu R, Erkol H and Savli H: Could red cell distribution width be a marker of thyroid cancer? J Coll Physicians Surg Pak. 27:556–558. 2017.PubMed/NCBI

12 

Speedy HE, Di Bernardo MC, Sava GP, Dyer MJ, Holroyd A, Wang Y, Sunter NJ, Mansouri L, Juliusson G, Smedby KE, et al: A genome-wide association study identifies multiple susceptibility loci for chronic lymphocytic leukemia. Nat Genet. 46:56–60. 2014.PubMed/NCBI View Article : Google Scholar

13 

James MA, Wen W, Wang Y, Byers LA, Heymach JV, Coombes KR, Girard L, Minna J and You M: Functional characterization of CLPTM1L as a lung cancer risk candidate gene in the 5p15.33 locus. PLoS One. 7(e36116)2012.PubMed/NCBI View Article : Google Scholar

14 

Li C, Yin Z, Wu W, Li X and Zhou B: Genetic variants in TERT-CLPTM1L genetic region associated with several types of cancer: A meta-analysis. Gene. 526:390–399. 2013.PubMed/NCBI View Article : Google Scholar

15 

Kachuri L, Amos CI, McKay JD, Johansson M, Vineis P, Bueno-de-Mesquita HB, Boutron-Ruault MC, Johansson M, Quirós JR, Sieri S, et al: Fine mapping of chromosome 5p15.33 based on a targeted deep sequencing and high density genotyping identifies novel lung cancer susceptibility loci. Carcinogenesis. 37:96–105. 2016.PubMed/NCBI View Article : Google Scholar

16 

Liang Y, Thakur A, Gao L, Wang T, Zhang S, Ren H, Meng J, Geng T, Jin T and Chen M: Correlation of CLPTM1L polymorphisms with lung cancer susceptibility and response to cisplatin-based chemotherapy in a Chinese Han population. Tumour Biol. 35:12075–12082. 2014.PubMed/NCBI View Article : Google Scholar

17 

Pintarelli G, Cotroneo CE, Noci S, Dugo M, Galvan A, Delli Carpini S, Citterio L, Manunta P, Incarbone M, Tosi D, et al: Genetic susceptibility variants for lung cancer: Replication study and assessment as expression quantitative trait loci. Sci Rep. 7(42185)2017.PubMed/NCBI View Article : Google Scholar

18 

Xun X, Wang H, Yang H, Wang H, Wang B, Kang L, Jin T and Chen C: CLPTM1L genetic polymorphisms and interaction with smoking and alcohol drinking in lung cancer risk: A case-control study in the Han population from northwest China. Medicine (Baltimore). 93(e289)2014.PubMed/NCBI View Article : Google Scholar

19 

Yang YC, Fu WP, Zhang J, Zhong L, Cai SX and Sun C: rs401681 and rs402710 confer lung cancer susceptibility by regulating TERT expression instead of CLPTM1L in east Asian populations. Carcinogenesis. 39:1216–1221. 2018.PubMed/NCBI View Article : Google Scholar

20 

Zhao MM, Zhang Y, Shen L, Ren YW, Li XL, Yin ZH and Zhou BS: Genetic variations in TERT-CLPTM1L genes and risk of lung cancer in a Chinese population. Asian Pac J Cancer Prev. 15:2809–2813. 2014.PubMed/NCBI View Article : Google Scholar

21 

Cook DA and Reed DA: Appraising the quality of medical education research methods: The medical education research study quality instrument and the Newcastle-Ottawa scale-education. Acad Med. 90:1067–1076. 2015.PubMed/NCBI View Article : Google Scholar

22 

Fan S, Meng J, Zhang L, Zhang X and Liang C: CAV1 polymorphisms rs1049334, rs1049337, rs7804372 might be the potential risk in tumorigenicity of urinary cancer: A systematic review and meta-analysis. Pathol Res Pract. 215:151–158. 2019.PubMed/NCBI View Article : Google Scholar

23 

Meng J, Fan X, Zhang M, Hao Z and Liang C: Do polymorphisms in protein kinase catalytic subunit alpha-1 gene associated with cancer susceptibility? a meta-analysis and systematic review. BMC Med Genet. 19(189)2018.PubMed/NCBI View Article : Google Scholar

24 

Meng J, Wang S, Shen X, Bai Z, Niu Q, Ma D, Xu Y and Liang C: Polymorphism of MMP-9 gene is not associated with the risk of urinary cancers: Evidence from an updated meta-analysis. Pathol Res Pract. 214:1966–1973. 2018.PubMed/NCBI View Article : Google Scholar

25 

Tang Z, Li C, Kang B, Gao G, Li C and Zhang Z: GEPIA: A web server for cancer and normal gene expression profiling and interactive analyses. Nucleic Acids Res. 45:W98–W102. 2017.PubMed/NCBI View Article : Google Scholar

26 

Amos CI, Wu X, Broderick P, Gorlov IP, Gu J, Eisen T, Dong Q, Zhang Q, Gu X, Vijayakrishnan J, et al: Genome-wide association scan of tag SNPs identifies a susceptibility locus for lung cancer at 15q25.1. Nat Genet. 40:616–622. 2008.PubMed/NCBI View Article : Google Scholar

27 

Bae EY, Lee SY, Kang BK, Lee EJ, Choi YY, Kang HG, Choi JE, Jeon HS, Lee WK, Kam S, et al: Replication of results of genome-wide association studies on lung cancer susceptibility loci in a Korean population. Respirology. 17:699–706. 2012.PubMed/NCBI View Article : Google Scholar

28 

Chen XF, Cai S, Chen QG, Ni ZH, Tang JH, Xu DW and Wang XB: Multiple variants of TERT and CLPTM1L constitute risk factors for lung adenocarcinoma. Genet Mol Res. 11:370–378. 2012.PubMed/NCBI View Article : Google Scholar

29 

de Mello RA, Ferreira M, Soares-Pires F, Costa S, Cunha J, Oliveira P, Hespanhol V and Reis RM: The impact of polymorphic variations in the 5p15, 6p12, 6p21 and 15q25 loci on the risk and prognosis of portuguese patients with non-small cell lung cancer. PLoS One. 8(e72373)2013.PubMed/NCBI View Article : Google Scholar

30 

Hung RJ, McKay JD, Gaborieau V, Boffetta P, Hashibe M, Zaridze D, Mukeria A, Szeszenia-Dabrowska N, Lissowska J, Rudnai P, et al: A susceptibility locus for lung cancer maps to nicotinic acetylcholine receptor subunit genes on 15q25. Nature. 452:633–637. 2008.PubMed/NCBI View Article : Google Scholar

31 

Jiang M, Wu H and Qin C: Genetic variant rs401681 at 5p15.33 modifies susceptibility to lung cancer but not esophageal squamous cell carcinoma. PLoS One. 8(e84277)2013.PubMed/NCBI View Article : Google Scholar

32 

Jin T, Li B, He N, Zhang Y, Xia R, Kang L, Ding Y and Yuan D: CLPTM1L polymorphism as a protective factor for lung cancer: A case-control study in southern Chinese population. Tumour Biol. 37:10533–10538. 2016.PubMed/NCBI View Article : Google Scholar

33 

Ke J, Zhong R, Zhang T, Liu L, Rui R, Shen N, Sun Y, Liu L, Cheng L and Miao XP: Replication study in Chinese population and meta-analysis supports association of the 5p15.33 locus with lung cancer. PLoS One. 8(e62485)2013.PubMed/NCBI View Article : Google Scholar

34 

Liu SG, Ma L, Cen QH, Huang JS, Zhang JX and Zhang JJ: Association of genetic polymorphisms in TERT-CLPTM1L with lung cancer in a Chinese population. Genet Mol Res. 14:4469–4476. 2015.PubMed/NCBI View Article : Google Scholar

35 

Myneni AA, Chang SC, Niu R, Liu L, Ochs-Balcom HM, Li Y, Zhang C, Zhao B, Shi J, Han X, et al: Genetic polymorphisms of TERT and CLPTM1L and risk of lung cancer-a case-control study in a Chinese population. Lung Cancer. 80:131–137. 2013.PubMed/NCBI View Article : Google Scholar

36 

Sun Y, Zhang YJ and Kong XM: No association of XRCC1 and CLPTM1L polymorphisms with non-small cell lung cancer in a non-smoking Han Chinese population. Asian Pac J Cancer Prev. 14:5171–5174. 2013.PubMed/NCBI View Article : Google Scholar

37 

Wang H, Zhao Y, Ma J, Zhang G, Mu Y, Qi G, Fang Z, Wang L, Fan Q and Ma Z: The genetic variant rs401681C/T is associated with the risk of non-small cell lung cancer in a Chinese mainland population. Genet Mol Res. 12:67–73. 2013.PubMed/NCBI View Article : Google Scholar

38 

Wang Y, Broderick P, Webb E, Wu X, Vijayakrishnan J, Matakidou A, Qureshi M, Dong Q, Gu X, Chen WV, et al: Common 5p15.33 and 6p21.33 variants influence lung cancer risk. Nat Genet. 40:1407–1409. 2008.PubMed/NCBI View Article : Google Scholar

39 

Xiao X and He W: Genetic polymorphisms in the TERT-CLPTM1L region and lung cancer susceptibility in Chinese males. Oncol Lett. 14:1588–1594. 2017.PubMed/NCBI View Article : Google Scholar

40 

Yoon KA, Park JH, Han J, Park S, Lee GK, Han JY, Zo JI, Kim J, Lee JE, Takahashi A, et al: A genome-wide association study reveals susceptibility variants for non-small cell lung cancer in the Korean population. Hum Mol Genet. 19:4948–4954. 2010.PubMed/NCBI View Article : Google Scholar

41 

Zhang Y, Zhao M, Shen L, Ren Y, Su L, Li X, Yin Z and Zhou B: Genetic polymorphisms of TERT and CLPTM1L and risk of lung cancer: A case-control study in northeast Chinese male population. Med Oncol. 31(18)2014.PubMed/NCBI View Article : Google Scholar

42 

Zienolddiny S, Skaug V, Landvik NE, Ryberg D, Phillips DH, Houlston R and Haugen A: The TERT-CLPTM1L lung cancer susceptibility variant associates with higher DNA adduct formation in the lung. Carcinogenesis. 30:1368–1371. 2009.PubMed/NCBI View Article : Google Scholar

43 

XZ L: The CLPTM1L variant rs401681 is associated with lung cancer risk. Huazhong University of Science and Technology, 2013. https://xueshu.baidu.com/usercenter/paper/show?paperid=a716ba54558bed957b7463d7e5bf6c75&site=xueshu_se.

44 

Liu C, Wang Y, Huang H, Wang C and Zhang H, Kong Y and Zhang H: Association between CLPTM1L-TERT rs401681 polymorphism and pancreatic cancer risk among Chinese Han population. Tumor Biol. 35:5453–5457. 2014.PubMed/NCBI View Article : Google Scholar

45 

Vaiciulis P, Liutkeviciene R, Liutkevicius V, Vilkeviciute A, Gedvilaite G and Uloza V: Association of relative leucocyte telomere length and gene single nucleotide polymorphisms (TERT, TRF1, TNKS2) in laryngeal squamous cell carcinoma. Cancer Genomics Proteomics. 17:431–439. 2020.PubMed/NCBI View Article : Google Scholar

Related Articles

  • Abstract
  • View
  • Download
  • Twitter
Copy and paste a formatted citation
Spandidos Publications style
Fang Z, Zhao G, Wang Y, Li F and Ding Z: The updated relationship between the cleft‑lip and palate transmembrane protein‑1‑like rs401681 and lung cancer risk: A systematic review and meta‑analysis. Mol Clin Oncol 21: 70, 2024.
APA
Fang, Z., Zhao, G., Wang, Y., Li, F., & Ding, Z. (2024). The updated relationship between the cleft‑lip and palate transmembrane protein‑1‑like rs401681 and lung cancer risk: A systematic review and meta‑analysis. Molecular and Clinical Oncology, 21, 70. https://doi.org/10.3892/mco.2024.2768
MLA
Fang, Z., Zhao, G., Wang, Y., Li, F., Ding, Z."The updated relationship between the cleft‑lip and palate transmembrane protein‑1‑like rs401681 and lung cancer risk: A systematic review and meta‑analysis". Molecular and Clinical Oncology 21.4 (2024): 70.
Chicago
Fang, Z., Zhao, G., Wang, Y., Li, F., Ding, Z."The updated relationship between the cleft‑lip and palate transmembrane protein‑1‑like rs401681 and lung cancer risk: A systematic review and meta‑analysis". Molecular and Clinical Oncology 21, no. 4 (2024): 70. https://doi.org/10.3892/mco.2024.2768
Copy and paste a formatted citation
x
Spandidos Publications style
Fang Z, Zhao G, Wang Y, Li F and Ding Z: The updated relationship between the cleft‑lip and palate transmembrane protein‑1‑like rs401681 and lung cancer risk: A systematic review and meta‑analysis. Mol Clin Oncol 21: 70, 2024.
APA
Fang, Z., Zhao, G., Wang, Y., Li, F., & Ding, Z. (2024). The updated relationship between the cleft‑lip and palate transmembrane protein‑1‑like rs401681 and lung cancer risk: A systematic review and meta‑analysis. Molecular and Clinical Oncology, 21, 70. https://doi.org/10.3892/mco.2024.2768
MLA
Fang, Z., Zhao, G., Wang, Y., Li, F., Ding, Z."The updated relationship between the cleft‑lip and palate transmembrane protein‑1‑like rs401681 and lung cancer risk: A systematic review and meta‑analysis". Molecular and Clinical Oncology 21.4 (2024): 70.
Chicago
Fang, Z., Zhao, G., Wang, Y., Li, F., Ding, Z."The updated relationship between the cleft‑lip and palate transmembrane protein‑1‑like rs401681 and lung cancer risk: A systematic review and meta‑analysis". Molecular and Clinical Oncology 21, no. 4 (2024): 70. https://doi.org/10.3892/mco.2024.2768
Follow us
  • Twitter
  • LinkedIn
  • Facebook
About
  • Spandidos Publications
  • Careers
  • Cookie Policy
  • Privacy Policy
How can we help?
  • Help
  • Live Chat
  • Contact
  • Email to our Support Team