Spandidos Publications Logo
  • About
    • About Spandidos
    • Aims and Scopes
    • Abstracting and Indexing
    • Editorial Policies
    • Reprints and Permissions
    • Job Opportunities
    • Terms and Conditions
    • Contact
  • Journals
    • All Journals
    • Oncology Letters
      • Oncology Letters
      • Information for Authors
      • Editorial Policies
      • Editorial Board
      • Aims and Scope
      • Abstracting and Indexing
      • Bibliographic Information
      • Archive
    • International Journal of Oncology
      • International Journal of Oncology
      • Information for Authors
      • Editorial Policies
      • Editorial Board
      • Aims and Scope
      • Abstracting and Indexing
      • Bibliographic Information
      • Archive
    • Molecular and Clinical Oncology
      • Molecular and Clinical Oncology
      • Information for Authors
      • Editorial Policies
      • Editorial Board
      • Aims and Scope
      • Abstracting and Indexing
      • Bibliographic Information
      • Archive
    • Experimental and Therapeutic Medicine
      • Experimental and Therapeutic Medicine
      • Information for Authors
      • Editorial Policies
      • Editorial Board
      • Aims and Scope
      • Abstracting and Indexing
      • Bibliographic Information
      • Archive
    • International Journal of Molecular Medicine
      • International Journal of Molecular Medicine
      • Information for Authors
      • Editorial Policies
      • Editorial Board
      • Aims and Scope
      • Abstracting and Indexing
      • Bibliographic Information
      • Archive
    • Biomedical Reports
      • Biomedical Reports
      • Information for Authors
      • Editorial Policies
      • Editorial Board
      • Aims and Scope
      • Abstracting and Indexing
      • Bibliographic Information
      • Archive
    • Oncology Reports
      • Oncology Reports
      • Information for Authors
      • Editorial Policies
      • Editorial Board
      • Aims and Scope
      • Abstracting and Indexing
      • Bibliographic Information
      • Archive
    • Molecular Medicine Reports
      • Molecular Medicine Reports
      • Information for Authors
      • Editorial Policies
      • Editorial Board
      • Aims and Scope
      • Abstracting and Indexing
      • Bibliographic Information
      • Archive
    • World Academy of Sciences Journal
      • World Academy of Sciences Journal
      • Information for Authors
      • Editorial Policies
      • Editorial Board
      • Aims and Scope
      • Abstracting and Indexing
      • Bibliographic Information
      • Archive
    • International Journal of Functional Nutrition
      • International Journal of Functional Nutrition
      • Information for Authors
      • Editorial Policies
      • Editorial Board
      • Aims and Scope
      • Abstracting and Indexing
      • Bibliographic Information
      • Archive
    • International Journal of Epigenetics
      • International Journal of Epigenetics
      • Information for Authors
      • Editorial Policies
      • Editorial Board
      • Aims and Scope
      • Abstracting and Indexing
      • Bibliographic Information
      • Archive
    • Medicine International
      • Medicine International
      • Information for Authors
      • Editorial Policies
      • Editorial Board
      • Aims and Scope
      • Abstracting and Indexing
      • Bibliographic Information
      • Archive
  • Articles
  • Information
    • Information for Authors
    • Information for Reviewers
    • Information for Librarians
    • Information for Advertisers
    • Conferences
  • Language Editing
Spandidos Publications Logo
  • About
    • About Spandidos
    • Aims and Scopes
    • Abstracting and Indexing
    • Editorial Policies
    • Reprints and Permissions
    • Job Opportunities
    • Terms and Conditions
    • Contact
  • Journals
    • All Journals
    • Biomedical Reports
      • Information for Authors
      • Editorial Policies
      • Editorial Board
      • Aims and Scope
      • Abstracting and Indexing
      • Bibliographic Information
      • Archive
    • Experimental and Therapeutic Medicine
      • Information for Authors
      • Editorial Policies
      • Editorial Board
      • Aims and Scope
      • Abstracting and Indexing
      • Bibliographic Information
      • Archive
    • International Journal of Epigenetics
      • Information for Authors
      • Editorial Policies
      • Editorial Board
      • Aims and Scope
      • Abstracting and Indexing
      • Bibliographic Information
      • Archive
    • International Journal of Functional Nutrition
      • Information for Authors
      • Editorial Policies
      • Editorial Board
      • Aims and Scope
      • Abstracting and Indexing
      • Bibliographic Information
      • Archive
    • International Journal of Molecular Medicine
      • Information for Authors
      • Editorial Policies
      • Editorial Board
      • Aims and Scope
      • Abstracting and Indexing
      • Bibliographic Information
      • Archive
    • International Journal of Oncology
      • Information for Authors
      • Editorial Policies
      • Editorial Board
      • Aims and Scope
      • Abstracting and Indexing
      • Bibliographic Information
      • Archive
    • Medicine International
      • Information for Authors
      • Editorial Policies
      • Editorial Board
      • Aims and Scope
      • Abstracting and Indexing
      • Bibliographic Information
      • Archive
    • Molecular and Clinical Oncology
      • Information for Authors
      • Editorial Policies
      • Editorial Board
      • Aims and Scope
      • Abstracting and Indexing
      • Bibliographic Information
      • Archive
    • Molecular Medicine Reports
      • Information for Authors
      • Editorial Policies
      • Editorial Board
      • Aims and Scope
      • Abstracting and Indexing
      • Bibliographic Information
      • Archive
    • Oncology Letters
      • Information for Authors
      • Editorial Policies
      • Editorial Board
      • Aims and Scope
      • Abstracting and Indexing
      • Bibliographic Information
      • Archive
    • Oncology Reports
      • Information for Authors
      • Editorial Policies
      • Editorial Board
      • Aims and Scope
      • Abstracting and Indexing
      • Bibliographic Information
      • Archive
    • World Academy of Sciences Journal
      • Information for Authors
      • Editorial Policies
      • Editorial Board
      • Aims and Scope
      • Abstracting and Indexing
      • Bibliographic Information
      • Archive
  • Articles
  • Information
    • For Authors
    • For Reviewers
    • For Librarians
    • For Advertisers
    • Conferences
  • Language Editing
Login Register Submit
  • This site uses cookies
  • You can change your cookie settings at any time by following the instructions in our Cookie Policy. To find out more, you may read our Privacy Policy.

    I agree
Search articles by DOI, keyword, author or affiliation
Search
Advanced Search
presentation
Medicine International
Join Editorial Board Propose a Special Issue
Print ISSN: 2754-3242 Online ISSN: 2754-1304
Journal Cover
May-June 2022 Volume 2 Issue 3

Full Size Image

Sign up for eToc alerts
Recommend to Library

Journals

International Journal of Molecular Medicine

International Journal of Molecular Medicine

International Journal of Molecular Medicine is an international journal devoted to molecular mechanisms of human disease.

International Journal of Oncology

International Journal of Oncology

International Journal of Oncology is an international journal devoted to oncology research and cancer treatment.

Molecular Medicine Reports

Molecular Medicine Reports

Covers molecular medicine topics such as pharmacology, pathology, genetics, neuroscience, infectious diseases, molecular cardiology, and molecular surgery.

Oncology Reports

Oncology Reports

Oncology Reports is an international journal devoted to fundamental and applied research in Oncology.

Experimental and Therapeutic Medicine

Experimental and Therapeutic Medicine

Experimental and Therapeutic Medicine is an international journal devoted to laboratory and clinical medicine.

Oncology Letters

Oncology Letters

Oncology Letters is an international journal devoted to Experimental and Clinical Oncology.

Biomedical Reports

Biomedical Reports

Explores a wide range of biological and medical fields, including pharmacology, genetics, microbiology, neuroscience, and molecular cardiology.

Molecular and Clinical Oncology

Molecular and Clinical Oncology

International journal addressing all aspects of oncology research, from tumorigenesis and oncogenes to chemotherapy and metastasis.

World Academy of Sciences Journal

World Academy of Sciences Journal

Multidisciplinary open-access journal spanning biochemistry, genetics, neuroscience, environmental health, and synthetic biology.

International Journal of Functional Nutrition

International Journal of Functional Nutrition

Open-access journal combining biochemistry, pharmacology, immunology, and genetics to advance health through functional nutrition.

International Journal of Epigenetics

International Journal of Epigenetics

Publishes open-access research on using epigenetics to advance understanding and treatment of human disease.

Medicine International

Medicine International

An International Open Access Journal Devoted to General Medicine.

Journal Cover
May-June 2022 Volume 2 Issue 3

Full Size Image

Sign up for eToc alerts
Recommend to Library

  • Article
  • Citations
    • Cite This Article
    • Download Citation
    • Create Citation Alert
    • Remove Citation Alert
    • Cited By
  • Similar Articles
    • Related Articles (in Spandidos Publications)
    • Similar Articles (Google Scholar)
    • Similar Articles (PubMed)
  • Download PDF
  • Download XML
  • View XML
Article Open Access

Upregulation of GLUT4 and PI3K, and downregulation of GSK3 mediate the anti‑hyperglycemic effects of proanthocyanidins

  • Authors:
    • Nahla E. El-Ashmawy
    • Eman G. Khedr
    • Nehal H. Alfeky
    • Amera O. Ibrahim
  • View Affiliations / Copyright

    Affiliations: Department of Biochemistry, Faculty of Pharmacy, Tanta University, Tanta, Gharbia 31111, Egypt
    Copyright: © El-Ashmawy et al. This is an open access article distributed under the terms of Creative Commons Attribution License.
  • Article Number: 14
    |
    Published online on: April 11, 2022
       https://doi.org/10.3892/mi.2022.39
  • Expand metrics +
Metrics: Total Views: 0 (Spandidos Publications: | PMC Statistics: )
Metrics: Total PDF Downloads: 0 (Spandidos Publications: | PMC Statistics: )
Cited By (CrossRef): 0 citations Loading Articles...

This article is mentioned in:



Abstract

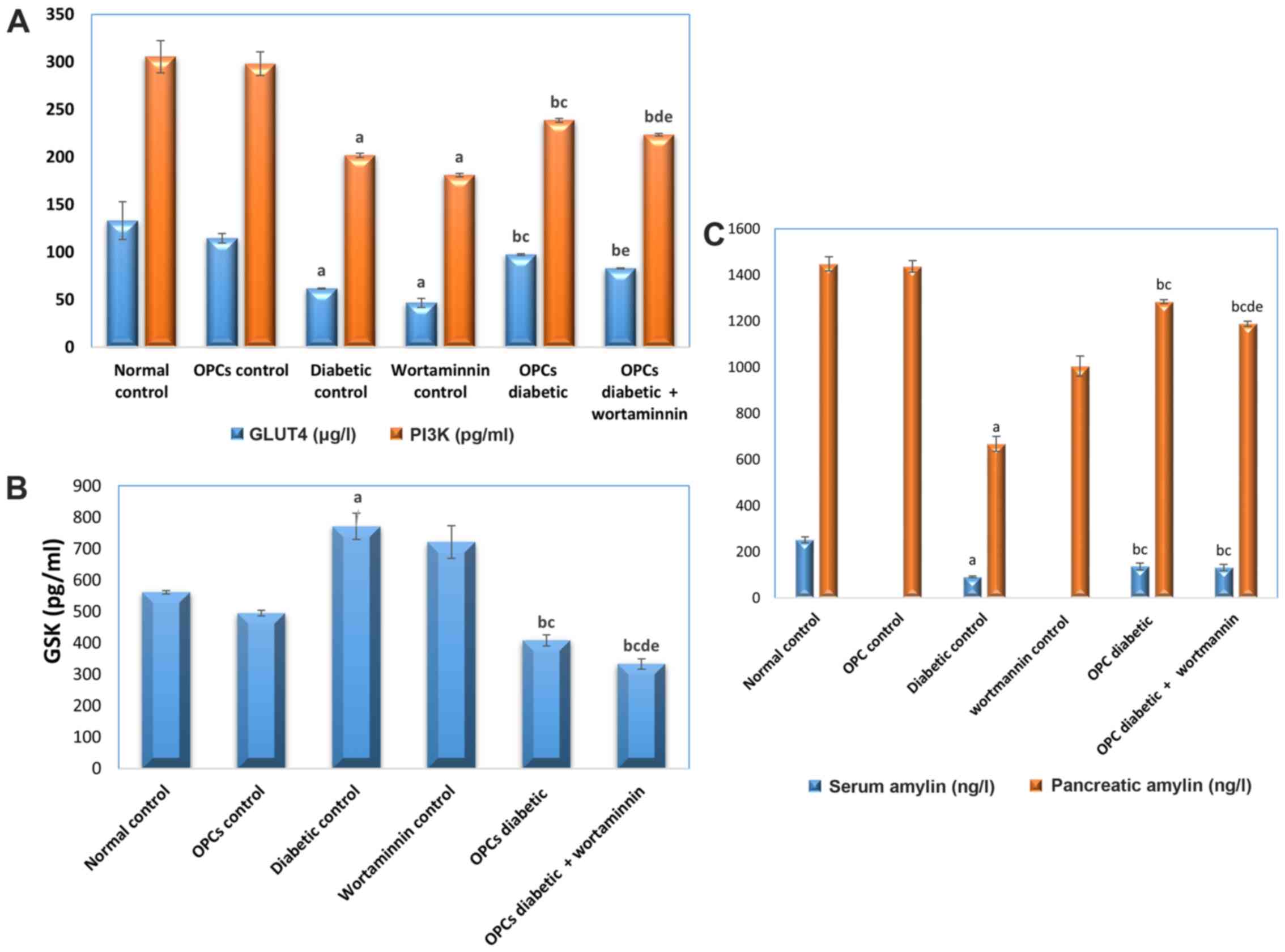
Diabetes mellitus is the most common chronic metabolic disorder worldwide. The present study was designed to investigate the potential role of cinnamon bark extract oligomeric proanthocyanidins (OPCs) in controlling streptozotocin (STZ)‑induced hyperglycemia and to clarify the underlying molecular mechanisms underlying its effects. For this purpose, 60 male rats were equally divided into six groups as follows: The normal control group; OPC control group (non‑diabetic rats treated with OPC at 300 mg/kg orally for 21 days); the untreated diabetic control group; the wortmannin control group [diabetic rats treated with wortmannin at 1 mg/kg, intraperitoneal (i.p.) on the final day of the experiment]; the OPC diabetic group (diabetic rats treated with OPC at 300 mg/kg orally for 21 days); and the OPC diabetic + wortmannin co‑treated group (diabetic rats treated with OPC at 300 mg/kg/day for 21 consecutive days and then 24 h after the final OPC dose treated with a single wortmannin injection at 1 mg/kg, i.p.). The results indicated that OPC ameliorated the diabetic state, as evidenced by a significant decrease in serum glucose levels, and a significant increase in the levels of insulin, amylin, insulin receptor phosphorylation, glycogen and glucose transporter‑4 translocation; it also improved the lipid profile in STZ‑diabetic rats. On the whole, the findings of the present study provide biochemical evidence that OPC treatment is effective as an anti‑diabetic and anti‑hyperlipidemic agent by enhancing glucose uptake through the activation of insulin receptor kinase activity and the PI3K/Akt pathway.
View Figures

Figure 1

View References

1 

Petersmann A, Nauck M, Müller-Wieland D, Kerner W, Müller UA, Landgraf R, Freckmann G and Heinemann L: Definition, classification and diagnosis of diabetes mellitus. Exp Clin Endocrinol Diabetes. 126:406–410. 2018.PubMed/NCBI View Article : Google Scholar

2 

Burgos-Morón E, Abad-Jiménez Z, Marañón AM, Iannantuoni F, Escribano-López I, López-Domènech S, Salom C, Jover A, Mora V, Roldan I, et al: Relationship between oxidative stress, er stress, and inflammation in type 2 diabetes: The battle continues. J Clin Med. 8(1385)2019.PubMed/NCBI View Article : Google Scholar

3 

Moldogazieva NT, Mokhosoev IM, Mel'nikova TI, Porozov YB and Terentiev AA: Oxidative stress and advanced lipoxidation and glycation end products (ALEs and AGEs) in aging and age-related diseases. Oxid Med Cell Longev. 2019(3085756)2019.PubMed/NCBI View Article : Google Scholar

4 

Asthana S, Mallick B, Alexandrescu AT and Jha S: IAPP in type II diabetes: Basic research on structure, molecular interactions, and disease mechanisms suggests potential intervention strategies. Biochim Biophys Acta Biomembr. 1860:1765–1782. 2018.PubMed/NCBI View Article : Google Scholar

5 

Hieronymus L and Griffin S: Role of amylin in type 1 and type 2 diabetes. Diabetes Educ. 41 (Suppl 1):47S–56S. 2015.PubMed/NCBI View Article : Google Scholar

6 

Takenaka N, Araki N and Satoh T: Involvement of the protein kinase Akt2 in insulin-stimulated Rac1 activation leading to glucose uptake in mouse skeletal muscle. PLoS One. 14(e0212219)2019.PubMed/NCBI View Article : Google Scholar

7 

Chadt A and Al-Hasani H: Glucose transporters in adipose tissue, liver, and skeletal muscle in metabolic health and disease. Pflugers Arch. 472:1273–1298. 2020.PubMed/NCBI View Article : Google Scholar

8 

Pearce NJ, Arch JR, Clapham JC, Coghlan MP, Corcoran SL, Lister CA, Llano A, Moore GB, Murphy GJ, Smith SA, et al: Development of glucose intolerance in male transgenic mice overexpressing human glycogen synthase kinase-3beta on a muscle-specific promoter. Metabolism. 53:1322–1330. 2004.PubMed/NCBI View Article : Google Scholar

9 

MacAulay K and Woodgett JR: Targeting glycogen synthase kinase-3 (GSK-3) in the treatment of Type 2 diabetes. Expert Opin Ther Targets. 12:1265–1274. 2008.PubMed/NCBI View Article : Google Scholar

10 

Salehi B, Ata A, V Anil Kumar N, Sharopov F, Ramírez-Alarcón K, Ruiz-Ortega A, Abdulmajid Ayatollahi S, Tsouh Fokou PV, Kobarfard F, Amiruddin Zakaria Z, et al: Antidiabetic potential of medicinal plants and their active components. Biomolecules. 9(551)2019.PubMed/NCBI View Article : Google Scholar

11 

Dorri M, Hashemitabar S and Hosseinzadeh H: Cinnamon (Cinnamomum zeylanicum) as an antidote or a protective agent against natural or chemical toxicities: A review. Drug Chem Toxicol. 41:338–351. 2018.PubMed/NCBI View Article : Google Scholar

12 

Cao H, Ou J, Chen L, Zhang Y, Szkudelski T, Delmas D, Daglia M and Xiao J: Dietary polyphenols and type 2 diabetes: Human study and clinical trial. Crit Rev Food Sci Nutr. 59:3371–3379. 2019.PubMed/NCBI View Article : Google Scholar

13 

Sun C, Zhao C, Guven EC, Paoli P, Simal-Gandara J, Ramkumar KM, Wang S, Buleu F, Pah A, Turi V, et al: Dietary polyphenols as antidiabetic agents: Advances and opportunities. Food Frontiers. 1:18–44. 2020.

14 

Wang TK, Xu S, Li S and Zhang Y: Proanthocyanidins should be a candidate in the treatment of cancer, cardiovascular diseases and lipid metabolic disorder. Molecules. 25(5971)2020.PubMed/NCBI View Article : Google Scholar

15 

Koutsos A, Riccadonna S, Ulaszewska MM, Franceschi P, Trošt K, Galvin A, Braune T, Fava F, Perenzoni D, Mattivi F, et al: Two apples a day lower serum cholesterol and improve cardiometabolic biomarkers in mildly hypercholesterolemic adults: A randomized, controlled, crossover trial. Am J Clin Nutr. 111:307–318. 2020.PubMed/NCBI View Article : Google Scholar

16 

Yokozawa T, Cho EJ, Park CH and Kim JH: Protective effect of proanthocyanidin against diabetic oxidative stress. Evid Based Complement Alternat Med. 2012(623879)2012.PubMed/NCBI View Article : Google Scholar

17 

Mabhida SE, Johnson R, Ndlovu M, Louw J, Opoku A and Mosa RA: Molecular basis of the anti-hyperglycemic activity of RA-3 in hyperlipidemic and streptozotocin-induced type 2 diabetes in rats. Diabetol Metab Syndr. 11(27)2019.PubMed/NCBI View Article : Google Scholar

18 

Cheung DY, Kim JI, Park SH and Kim JK: Proanthocyanidin from grape seed extracts protects indomethacin-induced small intestinal mucosal injury. Gastroenterol Res Pract. 2014(618068)2014.PubMed/NCBI View Article : Google Scholar

19 

Qin B, Nagasaki M, Ren M, Bajotto G, Oshida Y and Sato Y: Cinnamon extract (traditional herb) potentiates in vivo insulin-regulated glucose utilization via enhancing insulin signaling in rats. Diabetes Res Clin Pract. 62:139–148. 2003.PubMed/NCBI View Article : Google Scholar

20 

Trinder P: Determination of blood glucose using an oxidase-peroxidase system with a non-carcinogenic chromogen. J Clin Pathol. 22:158–161. 1969.PubMed/NCBI View Article : Google Scholar

21 

Savoldi R, Prandini BD and Donisi C: Enzymatic determination of total serum cholesterol by 4-aminophenazone-phenol: Manual and automatic method (author's translation). Quad Sclavo Diagn. 12:238–247. 1976.PubMed/NCBI(In Italian).

22 

Nagele U, Hagele EO, Sauer G, Wiedemann E, Lehmann P, Wahlefeld AW and Gruber W: Reagent for the enzymatic determination of serum total triglycerides with improved lipolytic efficiency. J Clin Chem Clin Biochem. 22:165–174. 1984.PubMed/NCBI View Article : Google Scholar

23 

Austin GE, Maznicki E and Sgoutas D: Comparison of phosphotungstate and dextran sulfate-Mg2+ precipitation procedure for determination of high density lipoprotein cholesterol. Clin Biochem. 17:166–169. 1984.PubMed/NCBI View Article : Google Scholar

24 

Silva JAD, Souza ECF, Echazú Böschemeier AG, Costa CCMD, Bezerra HS and Feitosa EELC: Diagnosis of diabetes mellitus and living with a chronic condition: Participatory study. BMC Public Health. 18(699)2018.PubMed/NCBI View Article : Google Scholar

25 

Jiang S, Young JL, Wang K, Qian Y and Cai L: Diabetic-induced alterations in hepatic glucose and lipid metabolism: The role of type 1 and type 2 diabetes mellitus (Review). Mol Med Rep. 22:603–611. 2020.PubMed/NCBI View Article : Google Scholar

26 

Zonszein J and Groop PH: Strategies for diabetes management: Using newer oral combination therapies early in the disease. Diabetes Ther. 7:621–639. 2016.PubMed/NCBI View Article : Google Scholar

27 

I S, Sobczak A, A Blindauer C and J Stewart A: Changes in plasma free fatty acids associated with type-2 diabetes. Nutrients. 11(2022)2019.PubMed/NCBI View Article : Google Scholar

28 

Huang X, Liu G, Guo J and Su Z: The PI3K/AKT pathway in obesity and type 2 diabetes. Int J Biol Sci. 14:1483–1496. 2018.PubMed/NCBI View Article : Google Scholar

29 

Yang H, Cao Q, Xiong X, Zhao P, Shen D, Zhang Y and Zhang N: Fluoxetine regulates glucose and lipid metabolism via the PI3K-AKT signaling pathway in diabetic rats. Mol Med Rep. 22:3073–3080. 2020.PubMed/NCBI View Article : Google Scholar

30 

Maffei A, Lembo G and Carnevale D: PI3Kinases in diabetes mellitus and its related complications. Int J Mol Sci. 19(4098)2018.PubMed/NCBI View Article : Google Scholar

31 

Yogalakshmi B, Bhuvaneswari S, Sreeja S and Anuradha CV: Grape seed proanthocyanidins and metformin act by different mechanisms to promote insulin signaling in rats fed high calorie diet. J Cell Commun Signal. 8:13–22. 2014.PubMed/NCBI View Article : Google Scholar

32 

Santos HO and da Silva GAR: To what extent does cinnamon administration improve the glycemic and lipid profiles? Clin Nutr ESPEN. 27:1–9. 2018.PubMed/NCBI View Article : Google Scholar

33 

Sun Q, Jia N, Li X, Yang J and Chen G: Grape seed proanthocyanidins ameliorate neuronal oxidative damage by inhibiting GSK-3β-dependent mitochondrial permeability transition pore opening in an experimental model of sporadic Alzheimer's disease. Aging (Albany NY). 11:4107–4124. 2019.PubMed/NCBI View Article : Google Scholar

34 

Ogawa A, Harris V, McCorkle SK, Unger RH and Luskey KL: Amylin secretion from the rat pancreas and its selective loss after streptozotocin treatment. J Clin Invest. 85:973–976. 1990.PubMed/NCBI View Article : Google Scholar

35 

Zhang XX, Pan YH, Huang YM and Zhao HL: Neuroendocrine hormone amylin in diabetes. World J Diabetes. 7:189–197. 2016.PubMed/NCBI View Article : Google Scholar

Related Articles

  • Abstract
  • View
  • Download
Copy and paste a formatted citation
Spandidos Publications style
El-Ashmawy NE, Khedr EG, Alfeky NH and Ibrahim AO: Upregulation of GLUT4 and PI3K, and downregulation of GSK3 mediate the anti‑hyperglycemic effects of proanthocyanidins. Med Int 2: 14, 2022.
APA
El-Ashmawy, N.E., Khedr, E.G., Alfeky, N.H., & Ibrahim, A.O. (2022). Upregulation of GLUT4 and PI3K, and downregulation of GSK3 mediate the anti‑hyperglycemic effects of proanthocyanidins. Medicine International, 2, 14. https://doi.org/10.3892/mi.2022.39
MLA
El-Ashmawy, N. E., Khedr, E. G., Alfeky, N. H., Ibrahim, A. O."Upregulation of GLUT4 and PI3K, and downregulation of GSK3 mediate the anti‑hyperglycemic effects of proanthocyanidins". Medicine International 2.3 (2022): 14.
Chicago
El-Ashmawy, N. E., Khedr, E. G., Alfeky, N. H., Ibrahim, A. O."Upregulation of GLUT4 and PI3K, and downregulation of GSK3 mediate the anti‑hyperglycemic effects of proanthocyanidins". Medicine International 2, no. 3 (2022): 14. https://doi.org/10.3892/mi.2022.39
Copy and paste a formatted citation
x
Spandidos Publications style
El-Ashmawy NE, Khedr EG, Alfeky NH and Ibrahim AO: Upregulation of GLUT4 and PI3K, and downregulation of GSK3 mediate the anti‑hyperglycemic effects of proanthocyanidins. Med Int 2: 14, 2022.
APA
El-Ashmawy, N.E., Khedr, E.G., Alfeky, N.H., & Ibrahim, A.O. (2022). Upregulation of GLUT4 and PI3K, and downregulation of GSK3 mediate the anti‑hyperglycemic effects of proanthocyanidins. Medicine International, 2, 14. https://doi.org/10.3892/mi.2022.39
MLA
El-Ashmawy, N. E., Khedr, E. G., Alfeky, N. H., Ibrahim, A. O."Upregulation of GLUT4 and PI3K, and downregulation of GSK3 mediate the anti‑hyperglycemic effects of proanthocyanidins". Medicine International 2.3 (2022): 14.
Chicago
El-Ashmawy, N. E., Khedr, E. G., Alfeky, N. H., Ibrahim, A. O."Upregulation of GLUT4 and PI3K, and downregulation of GSK3 mediate the anti‑hyperglycemic effects of proanthocyanidins". Medicine International 2, no. 3 (2022): 14. https://doi.org/10.3892/mi.2022.39
Follow us
  • Twitter
  • LinkedIn
  • Facebook
About
  • Spandidos Publications
  • Careers
  • Cookie Policy
  • Privacy Policy
How can we help?
  • Help
  • Live Chat
  • Contact
  • Email to our Support Team