Spandidos Publications Logo
  • About
    • About Spandidos
    • Aims and Scopes
    • Abstracting and Indexing
    • Editorial Policies
    • Reprints and Permissions
    • Job Opportunities
    • Terms and Conditions
    • Contact
  • Journals
    • All Journals
    • Oncology Letters
      • Oncology Letters
      • Information for Authors
      • Editorial Policies
      • Editorial Board
      • Aims and Scope
      • Abstracting and Indexing
      • Bibliographic Information
      • Archive
    • International Journal of Oncology
      • International Journal of Oncology
      • Information for Authors
      • Editorial Policies
      • Editorial Board
      • Aims and Scope
      • Abstracting and Indexing
      • Bibliographic Information
      • Archive
    • Molecular and Clinical Oncology
      • Molecular and Clinical Oncology
      • Information for Authors
      • Editorial Policies
      • Editorial Board
      • Aims and Scope
      • Abstracting and Indexing
      • Bibliographic Information
      • Archive
    • Experimental and Therapeutic Medicine
      • Experimental and Therapeutic Medicine
      • Information for Authors
      • Editorial Policies
      • Editorial Board
      • Aims and Scope
      • Abstracting and Indexing
      • Bibliographic Information
      • Archive
    • International Journal of Molecular Medicine
      • International Journal of Molecular Medicine
      • Information for Authors
      • Editorial Policies
      • Editorial Board
      • Aims and Scope
      • Abstracting and Indexing
      • Bibliographic Information
      • Archive
    • Biomedical Reports
      • Biomedical Reports
      • Information for Authors
      • Editorial Policies
      • Editorial Board
      • Aims and Scope
      • Abstracting and Indexing
      • Bibliographic Information
      • Archive
    • Oncology Reports
      • Oncology Reports
      • Information for Authors
      • Editorial Policies
      • Editorial Board
      • Aims and Scope
      • Abstracting and Indexing
      • Bibliographic Information
      • Archive
    • Molecular Medicine Reports
      • Molecular Medicine Reports
      • Information for Authors
      • Editorial Policies
      • Editorial Board
      • Aims and Scope
      • Abstracting and Indexing
      • Bibliographic Information
      • Archive
    • World Academy of Sciences Journal
      • World Academy of Sciences Journal
      • Information for Authors
      • Editorial Policies
      • Editorial Board
      • Aims and Scope
      • Abstracting and Indexing
      • Bibliographic Information
      • Archive
    • International Journal of Functional Nutrition
      • International Journal of Functional Nutrition
      • Information for Authors
      • Editorial Policies
      • Editorial Board
      • Aims and Scope
      • Abstracting and Indexing
      • Bibliographic Information
      • Archive
    • International Journal of Epigenetics
      • International Journal of Epigenetics
      • Information for Authors
      • Editorial Policies
      • Editorial Board
      • Aims and Scope
      • Abstracting and Indexing
      • Bibliographic Information
      • Archive
    • Medicine International
      • Medicine International
      • Information for Authors
      • Editorial Policies
      • Editorial Board
      • Aims and Scope
      • Abstracting and Indexing
      • Bibliographic Information
      • Archive
  • Articles
  • Information
    • Information for Authors
    • Information for Reviewers
    • Information for Librarians
    • Information for Advertisers
    • Conferences
  • Language Editing
Spandidos Publications Logo
  • About
    • About Spandidos
    • Aims and Scopes
    • Abstracting and Indexing
    • Editorial Policies
    • Reprints and Permissions
    • Job Opportunities
    • Terms and Conditions
    • Contact
  • Journals
    • All Journals
    • Biomedical Reports
      • Information for Authors
      • Editorial Policies
      • Editorial Board
      • Aims and Scope
      • Abstracting and Indexing
      • Bibliographic Information
      • Archive
    • Experimental and Therapeutic Medicine
      • Information for Authors
      • Editorial Policies
      • Editorial Board
      • Aims and Scope
      • Abstracting and Indexing
      • Bibliographic Information
      • Archive
    • International Journal of Epigenetics
      • Information for Authors
      • Editorial Policies
      • Editorial Board
      • Aims and Scope
      • Abstracting and Indexing
      • Bibliographic Information
      • Archive
    • International Journal of Functional Nutrition
      • Information for Authors
      • Editorial Policies
      • Editorial Board
      • Aims and Scope
      • Abstracting and Indexing
      • Bibliographic Information
      • Archive
    • International Journal of Molecular Medicine
      • Information for Authors
      • Editorial Policies
      • Editorial Board
      • Aims and Scope
      • Abstracting and Indexing
      • Bibliographic Information
      • Archive
    • International Journal of Oncology
      • Information for Authors
      • Editorial Policies
      • Editorial Board
      • Aims and Scope
      • Abstracting and Indexing
      • Bibliographic Information
      • Archive
    • Medicine International
      • Information for Authors
      • Editorial Policies
      • Editorial Board
      • Aims and Scope
      • Abstracting and Indexing
      • Bibliographic Information
      • Archive
    • Molecular and Clinical Oncology
      • Information for Authors
      • Editorial Policies
      • Editorial Board
      • Aims and Scope
      • Abstracting and Indexing
      • Bibliographic Information
      • Archive
    • Molecular Medicine Reports
      • Information for Authors
      • Editorial Policies
      • Editorial Board
      • Aims and Scope
      • Abstracting and Indexing
      • Bibliographic Information
      • Archive
    • Oncology Letters
      • Information for Authors
      • Editorial Policies
      • Editorial Board
      • Aims and Scope
      • Abstracting and Indexing
      • Bibliographic Information
      • Archive
    • Oncology Reports
      • Information for Authors
      • Editorial Policies
      • Editorial Board
      • Aims and Scope
      • Abstracting and Indexing
      • Bibliographic Information
      • Archive
    • World Academy of Sciences Journal
      • Information for Authors
      • Editorial Policies
      • Editorial Board
      • Aims and Scope
      • Abstracting and Indexing
      • Bibliographic Information
      • Archive
  • Articles
  • Information
    • For Authors
    • For Reviewers
    • For Librarians
    • For Advertisers
    • Conferences
  • Language Editing
Login Register Submit
  • This site uses cookies
  • You can change your cookie settings at any time by following the instructions in our Cookie Policy. To find out more, you may read our Privacy Policy.

    I agree
Search articles by DOI, keyword, author or affiliation
Search
Advanced Search
presentation
Medicine International
Join Editorial Board Propose a Special Issue
Print ISSN: 2754-3242 Online ISSN: 2754-1304
Journal Cover
March-April 2023 Volume 3 Issue 2

Full Size Image

Sign up for eToc alerts
Recommend to Library

Journals

International Journal of Molecular Medicine

International Journal of Molecular Medicine

International Journal of Molecular Medicine is an international journal devoted to molecular mechanisms of human disease.

International Journal of Oncology

International Journal of Oncology

International Journal of Oncology is an international journal devoted to oncology research and cancer treatment.

Molecular Medicine Reports

Molecular Medicine Reports

Covers molecular medicine topics such as pharmacology, pathology, genetics, neuroscience, infectious diseases, molecular cardiology, and molecular surgery.

Oncology Reports

Oncology Reports

Oncology Reports is an international journal devoted to fundamental and applied research in Oncology.

Experimental and Therapeutic Medicine

Experimental and Therapeutic Medicine

Experimental and Therapeutic Medicine is an international journal devoted to laboratory and clinical medicine.

Oncology Letters

Oncology Letters

Oncology Letters is an international journal devoted to Experimental and Clinical Oncology.

Biomedical Reports

Biomedical Reports

Explores a wide range of biological and medical fields, including pharmacology, genetics, microbiology, neuroscience, and molecular cardiology.

Molecular and Clinical Oncology

Molecular and Clinical Oncology

International journal addressing all aspects of oncology research, from tumorigenesis and oncogenes to chemotherapy and metastasis.

World Academy of Sciences Journal

World Academy of Sciences Journal

Multidisciplinary open-access journal spanning biochemistry, genetics, neuroscience, environmental health, and synthetic biology.

International Journal of Functional Nutrition

International Journal of Functional Nutrition

Open-access journal combining biochemistry, pharmacology, immunology, and genetics to advance health through functional nutrition.

International Journal of Epigenetics

International Journal of Epigenetics

Publishes open-access research on using epigenetics to advance understanding and treatment of human disease.

Medicine International

Medicine International

An International Open Access Journal Devoted to General Medicine.

Journal Cover
March-April 2023 Volume 3 Issue 2

Full Size Image

Sign up for eToc alerts
Recommend to Library

  • Article
  • Citations
    • Cite This Article
    • Download Citation
    • Create Citation Alert
    • Remove Citation Alert
    • Cited By
  • Similar Articles
    • Related Articles (in Spandidos Publications)
    • Similar Articles (Google Scholar)
    • Similar Articles (PubMed)
  • Download PDF
  • Download XML
  • View XML
Article Open Access

Validation of NoSAS score for the screening of obstructive sleep apnea

  • Authors:
    • Vasiliki Epameinondas Georgakopoulou
    • Nikos Pantazis
    • Xanthi Tsiafaki
    • Evangelia Nena
    • Anastasia Amfilochiou
    • Paschalis Steiropoulos
  • View Affiliations / Copyright

    Affiliations: Department of Infectious Diseases‑COVID‑19 Unit, Laiko General Hospital, Medical School of National and Kapodistrian University of Athens, 11527 Athens, Greece, Department of Hygiene, Epidemiology and Medical Statistics, Medical School, National and Kapodistrian University of Athens, 11527 Athens, Greece, First Pulmonology Department, Sismanogleio Hospital, 15126 Athens, Greece, MSc in Sleep Medicine, Medical School, Democritus University of Thrace, 68100 Alexandroupolis, Greece, Sleep Clinic, Sismanogleio Hospital, 15126 Athens, Greece
    Copyright: © Georgakopoulou et al. This is an open access article distributed under the terms of Creative Commons Attribution License.
  • Article Number: 14
    |
    Published online on: February 22, 2023
       https://doi.org/10.3892/mi.2023.74
  • Expand metrics +
Metrics: Total Views: 0 (Spandidos Publications: | PMC Statistics: )
Metrics: Total PDF Downloads: 0 (Spandidos Publications: | PMC Statistics: )
Cited By (CrossRef): 0 citations Loading Articles...

This article is mentioned in:



Abstract

Obstructive sleep apnea (OSA) is the most common sleep‑related breathing disorder (SBD) characterized by the repetitive collapse of the upper airway during sleep. The aim of the present study was to validate the Neck circumference, Obesity, Snoring, Age, Sex (NoSAS) score in a sample population and to compare its validity for OSA screening, with that of the Berlin questionnaire, STOP‑BANG questionnaire and Epworth Sleepiness Scale (ESS). A retrospective analysis was conducted on individuals, aged 18 to 80 years, who reported symptoms indicating SBD and were examined with full‑night polysomnography (PSG) at a sleep center. Demographics, anthropometric parameters, comorbidities, ESS, STOP‑BANG questionnaire, Berlin questionnaire and PSG data were obtained from the recorded data of the patients. The NoSAS score was determined using the recorded data. A total of 347 participants were enrolled in the study. The NoSAS scores identified individuals with OSA, with an area under the curve (AUC) of 0.774. The NoSAS score performed significantly better than the Berlin questionnaire (AUC 0.617) and the ESS (AUC 0.642), and similarly to STOP‑BANG (AUC 0.777) for OSA screening. Using a NoSAS score >7 to predict OSA, the sensitivity and specificity were 85.6 and 50%, respectively; using the STOP‑BANG questionnaire, for a score >2, the values were 98.32 and 22% respectively; using the Berlin questionnaire for >1 positive categories, the values were 93.6 and 20%, and using the ESS, for a score >10, the values were 30.3% and 72%, respectively. On the whole, the present study demonstrates that the NoSAS score is a simple, efficient and easy method for screening OSA in the clinical setting. The NoSAS score performs significantly more efficiently than the Berlin questionnaire and ESS, and similarly to STOP‑BANG questionnaire for OSA screening.

Introduction

Obstructive sleep apnea (OSA) is a common disorder characterized by severe daytime sleepiness and repeated episodes of upper airway obstruction while sleeping (1). Although it can affect women and children, OSA is more frequently observed in elderly males. In females, the incidence increases following menopause to the point that post-menopausal rates are comparable to those of males (2). OSA has been linked to cardiovascular diseases, including coronary artery disease, arterial hypertension, diabetes mellitus, metabolic syndrome and cerebrovascular disease (3-5). It is estimated that >80% of those suffering from OSA, ranging in severity from moderate to severe, remain undiagnosed (6).

A full-night polysomnography (PSG) in a sleep clinic is the gold standard for detecting OSA. However, this is not advised as a typical screening approach as it is time-consuming and costly (7).

Thus, a rapid and reliable screening procedure for high-risk populations is still required. The selection of a screening technique will depend on the capability to achieve a specific goal: To include patients with OSA for proper sleep testing, to identify those with more severe disease in order to enable early diagnosis and treatment, and to exclude patients without OSA or with mild OSA, whose assessment and treatment are less urgent.

A number of clinical scores, including the STOP-BANG questionnaire, Epworth Sleepiness Scale (ESS) and Berlin questionnaire, are currently being used as screening tools. The ESS is utilized for OSA, even though it was designed to assess the severity of subjective daytime sleepiness. The ESS questionnaire requests individuals to rate their likelihood of dozing off in eight distinct settings, on a range from 0 to 3. The soporific quality of these scenarios was the deciding factor in their selection (8). A self-administered questionnaire used to calculate the STOP-BANG score combines data of a patient's complaints and clinical features. Body mass index (BMI), age, neck circumference and sex are among the clinical factors taken into account while evaluating the complaints, while snoring, fatigue, observed apnea and elevated blood pressure are also included (9). The Berlin questionnaire requests individuals about snoring, obesity, daytime sleepiness, fatigue and arterial hypertension, and it was initially based on a sample of 744 individuals, of whom 13% were diagnosed with a polygraphic recording in the home environment (10).

The Lausanne Neck circumference, Obesity, Snoring, Age, Sex (NoSAS) score test, a simple, effective and practical tool that identifies those at risk of OSA, has recently been proposed as a screening tool (11). The NoSAS score evaluates five factors: Neck circumference, Obesity, Snoring, Age and Sex, and each factor assigns a certain number of points: 4 for a neck circumference >40 cm, 3 for a BMI of 25 kg/m2 to <30 kg/m2, or 5 for a BMI of ≥30 kg/m2, 2 for snoring, 4 for an age >55 years, and 2 for the male sex. The NoSAS score ranges between 0 and 17, with scores of ≥8 indicating a high probability of OSA. This test was shown to have a negative predictive value (NPV) of 90 and 98% in two ethnically distinct cohorts; thereby, it facilitates the identification of those at risk of the disease and the exclusion of others without risk (11).

The EES, STOP-BANG and Berlin questionnaires have all been previously validated as screening tools for OSA in Greek patients (12-14). Thus, the aim of the present study was to validate, for the first time, to the best of our knowledge, the NoSAS score in the Greek population and to compare its screening abilities for OSA with the STOP-BANG questionnaire, the Berlin questionnaire and the ESS.

Patients and methods

Study design

The present study retrospectively analyzed individuals who had previously undergone a full-night PSG between October 1, 2018 and November 30, 2021 at the Sleep Clinic of the Sismanogleio Hospital, Athens, Greece. The Institutional Review Board and the Independent Department of Quality, Research, and Continuing Education of Sismanogleio Hospital approved the research protocol (5974/05.04.2021 and 8077/16/04/2021, respectively). All patients provided written informed consent for inclusion in the study. All participants were suspected of having OSA. The criteria for inclusion were as follows: i) An age >18 years; ii) not previously diagnosed or treated for OSA; iii) available comprehensive anthropometric and demographic data regarding ESS, and STOP-BANG and Berlin questionnaires; and iv) a sleep efficacy ≥60%. The exclusion criteria were the following: Individuals with an active psychiatric disorder; a history of brain tumors; a history of epilepsy; a history of benzodiazepine use; patients unable to read and/or write; individuals with alternative diagnoses, i.e., central sleep apnea and obesity/hypoventilation syndrome; and all patients with PSG assessment with technical errors during data collection.

In the present study, demographics such as age and sex, anthropometric parameters such as height, weight, BMI and neck circumference, scores of ESS, STOP-BANG questionnaire, Berlin questionnaire, and PSG data such as the apnea-hypopnea index (AHI) were obtained from the recorded data of the patients. All questionnaires were completed at the same time and independently by all patients. The comorbidities of all individuals were also noted. The NoSAS score was determined with the use of the recorded data of the participants.

Screening questionnaires

The ESS consists of eight questions with a four-point Likert response scale (0-3) and a score range of 0-24. A score of 10 on the ESS suggests a high risk of OSA and excessive daytime sleepiness (8). A total of eight yes/no items comprise the STOP-BANG questionnaire, four of which are demographic (BANG: BMI, >35 kg/m2; age, >50 years; neck circumference, >40 cm; male sex) and four of which are subjective (STOP: snoring, fatigue, observed apnea and elevated blood pressure). The overall score is between 0 and 8. The patient is at a high risk for OSA if they respond ‘yes’ to three or more questions (9). The 11 questions of the Berlin questionnaire are divided into three groups: Five questions concerning snoring are included in the first category, three questions about daytime sleepiness and fatigue are included in the second category, and information about BMI and the history of hypertension is included in the third and final category. The answers to these three categories were used to calculate the Berlin questionnaire score as follows: The first and second categories were deemed positive if the answers suggested frequent symptoms (>3-4 times/week) on two or more survey items, and the third category was determined as positive if there was a history of arterial hypertension or a BMI of >30 kg/m2. The participants were categorized as being at a high risk of having OSA if they scored positively in two or more categories (10). Valid Greek language versions of the aforementioned questionnaires were used (12-14).

The NoSAS score was first translated into Greek by a professional translation company. The translated score was then translated back into English by clinicians who were proficient in the language. The clinicians determined on the final version of the translated score. A NoSAS score ≥8 is suggestive of being at high risk for OSA (11).

PSG

The diagnosis of OSA was made using a PSG. Electromyography of the chin and the leg, electrooculography, electroencephalography, oxygen saturation, electrocardiography, abdominal and thoracic respiratory effort, body position and air flow (nasal pressure transducer and oronasal thermistor), and tracheal microphone were recorded using the Respironics Alice 6 LDx Diagnostic Sleep System (Philips).

PSG data were evaluated by a physician who is a sleep disorders specialist and who was blinded to the results of the NoSAS questionnaire. The American Academy of Sleep Medicine (AASM) criteria were used to score the sleep and respiratory events (15). The AHI was determined by calculating the number of apnea and hypopnea events per hour. OSA was diagnosed based on AHI. The severity of OSA was classified as follows: Mild (AHI, ≥5 and <15 events/h), moderate (AHI, ≥15 or <30 events/h) and severe (AHI, ≥30 events/h).

Statistical analysis

The demographic, anthropometric and clinical characteristics of the study participants were summarized using either their mean and standard deviation (SD) and median (range) for continuous variables, or absolute (N) and relative (%) frequencies, for categorical ones. Differences in the distributions of these characteristics across different categories of OSA severity were assessed using one-way ANOVA for continuous variables with normal distribution and using the Kruskal-Wallis test for variables with a non-normal distribution, and for categorical variables using the Chi-squared or Fisher's exact test.

Receiver operating characteristic (ROC) analysis was performed for all four scores under investigation. The corresponding results include graphs of the ROC curve and graphs of sensitivity and specificity vs. varying values of the score's cut-off. Results are also presented in tabular form where sensitivity, specificity, percentage of correct classification, positive predictive value (PPV) and NPV are given for the optimal cut-off value.

The optimal cut-off value for each score was derived using the method proposed by Liu (16), which is based on the maximization of the product of the sensitivity and specificity. ROC curves are graphically presented simultaneously for all scores and areas under the curves are formally compared. Results from a global test are provided along with tests for all scores against the NoSAS score (with Sidak adjustments for multiple comparisons). All ROC analysis results are provided for both definitions of disease as mentioned above. P-values <0.05 were considered to indicate statistically significant differences. All analyses were conducted utilizing Stata version 15.1 (Stata Corp LLC).

Results

Study population

A total of 347 participants, 243 males and 104 females, were included in the present study, of whom 96 (27.7%) were aged ≥65 years and 251 (72.3%) were aged <65 years. Of the participants, 50 (14.4%) were not diagnosed with OSA, while 15 (4.3%) were diagnosed with mild OSA, 30 (8.6%) were diagnosed with moderate OSA and 252 (72.6%) were diagnosed with severe OSA. The characteristics of the study population based on OSA severity are presented in Table I. Questionnaire scores in relation to OSA severity are summarized in Table II.

Table I

Population characteristics by OSA severity.

Table I

Population characteristics by OSA severity.

VariableNo OSA, n=50 (14.4%)Mild, n=15 (4.3%)Moderate, n=30 (8.6%)Severe, n=252 (72.6%)Overall, n=347 (100%)P-value
Age, years; mean (SD)a47.4 (14.3)53.5 (13.8)56.6 (11.0)57.6 (13.2)55.8 (13.7)<0.001
Height, cm; mean (SD)a168.2 (9.9)173.6 (12.8)164.7 (7.0)170.8 (9.7)170.0 (9.8)0.104
Weight, kg; mean (SD)a88.0 (21.8)91.9 (10.8)88.5 (15.7)98.7 (19.2)96.0 (19.5)<0.001
BMI, kg/m2; mean (SD)a31.3 (8.1)30.8 (4.6)32.7 (6.3)33.9 (6.0)33.3 (6.4)<0.001
Neck circumference, cm; median (range)b37.0 (34.0-40.0)40.0 (38.0-41.0)37.5 (35.0-41.0)41.0 (39.0-43.0)40.0 (38.0-42.0)<0.001
Sex, n (%)c     <0.001
     Male24 (48.0%)10 (66.7%)13 (43.3%)196 (77.8%)243 (70.0%) 
     Female26 (52.0%)5 (33.3%)17 (56.7%)56 (22.2%)104 (30.0%) 
Age, n (%)c     0.003
     <6545 (90.0%)10 (66.7%)24 (80.0%)172 (68.3%)251 (72.3%) 
     ≥655 (10.0%)5 (33.3%)6 (20.0%)80 (31.7%)96 (27.7%) 
BMI, n (%)d     <0.001
     <2512 (24.0%)0 (0.0%)1 (3.3%)13 (5.2%)26 (7.5%) 
     25-2914 (28.0%)6 (40.0%)9 (30.0%)50 (19.8%)79 (22.8%) 
     ≥3024 (48.0%)9 (60.0%)20 (66.7%)189 (75.0%)242 (69.7%) 
Hypertension, n (%)c     0.001
     No33 (66.0%)12 (80.0%)15 (50.0%)113 (44.8%)173 (49.9%) 
     Yes17 (34.0%)3 (20.0%)15 (50.0%)139 (55.2%)174 (50.1%) 
Snoring, n (%)d     <0.001
     No7 (14.0%)1 (6.7%)1 (3.3%)4 (1.6%)13 (3.7%) 
     Yes43 (86.0%)14 (93.3%)29 (96.7%)248 (98.4%)334 (96.3%) 
Feeling tired, n (%)c     0.493
     No11 (22.0%)3 (20.0%)3 (10.0%)40 (15.9%)57 (16.4%) 
     Yes39 (78.0%)11 (73.3%)27 (90.0%)211 (83.7%)288 (83.0%) 
     N/A0 (0.0%)1 (6.7%)0 (0.0%)1 (0.4%)2 (0.6%) 
Apnea, n (%)c     <0.001
     No20 (40.0%)8 (53.3%)6 (20.0%)46 (18.3%)80 (23.1%) 
     Yes30 (60.0%)7 (46.7%)24 (80.0%)206 (81.7%)267 (76.9%) 

[i] aFor these variables the comparison between different categories was made using one-way ANOVA;

[ii] bfor these variables the comparison between different categories was made using the Kruskal-Wallis test;

[iii] cfor these variables the comparison between different categories was made using the Chi-squared test;

[iv] dfor these variables the comparison between different categories was made using Fischer' test. BMI, body mass index; OSA, obstructive sleep apnea; SD, standard deviation.

Table II

Scale scores and categories by OSA severity.

Table II

Scale scores and categories by OSA severity.

VariableNo OSA, n=50 (14.4%)Mild, n=15 (4.3%)Moderate, n=30 (8.6%)Severe, n=252 (72.6%)Overall, n=347 (100%)P-value
NoSAS score, median (range)a7.5 (7.0-11.0)11.0 (7.0-13.0)11.0 (7.0-11.0)13.0 (11.0-17.0)13.0 (9.0-15.0)<0.001
STOP BANG score, median (range)a4.0 (3.0-5.0)4.0 (3.0-5.0)4.5 (4.0-6.0)6.0 (5.0-6.0)5.0 (4.0-6.0)<0.001
ESS score, median (range)a7.0 (4.0-11.0)6.0 (3.0-9.0)8.0 (6.0-12.0)7.0 (4.0-11.0)7.0 (4.0-11.0)0.382
BQ score, mean (SD)b2.1 (0.8)2.0 (0.8)2.5 (0.6)2.5 (0.6)2.4 (0.7)<0.001
AHI (episodes/h), median (range)a1.1 (0.0-2.7)13.2 (7.9-14.6)24.3 (19.7-27.2)64.3 (49.5-79.8)54.6 (27.2-75.2)<0.001
NoSAS category, n (%)c     <0.001
     Low risk for OSA25 (37.9%)5 (7.6%)7 (10.6%)29 (43.9%)66 (100.0%) 
     High risk for OSA25 (8.9%)10 (3.6%)23 (8.2%)223 (79.4%)281 (100.0%) 
STOP BANG category, n (%)d     <0.001
     Low risk for OSA11 (68.8%)2 (12.5%)1 (6.3%)2 (12.5%)16 (100.0%) 
     High risk for OSA39 (11.8%)13 (3.9%)29 (8.8%)250 (75.5%)331 (100.0%) 
ESS category, n (%)     0.145
     Normal sleepiness36 (14.9%)15 (6.2%)21 (8.7%)169 (70.1%)241 (100.0%) 
     Mild/moderate excessive sleepiness7 (10.1%)0 (0.0%)8 (11.6%)54 (78.3%)69 (100.0%) 
     Severe excessive sleepiness7 (18.9%)0 (0.0%)1 (2.7%)29 (78.4%)37 (100.0%) 
BQ category, n (%)     0.001
     Low risk for OSA10 (34.5%)3 (10.3%)2 (6.9%)14 (48.3%)29 (100.0%) 
     High risk for OSA40 (12.6%)12 (3.8%)28 (8.8%)238 (74.8%)318 (100.0%) 

[i] Note that the percentages are calculated over rows.

[ii] aFor these variables the comparison between different categories was made using the Kruskal-Wallis test;

[iii] bfor these variables the comparison between different categories was made using one-way ANOVA;

[iv] cfor these variables the comparison between different categories was made using the Chi-squared test;

[v] dfor these variables the comparison between different categories was made using Fischer' test. AHI, apnea hypopnea index; BQ, Berlin questionnaire; ESS, Epworth Sleepiness Scale; OSA, obstructive sleep apnea; NoSAS, Neck circumference, Obesity, Snoring, Age, Sex.

Results of ROC analysis. NoSAS questionnaire

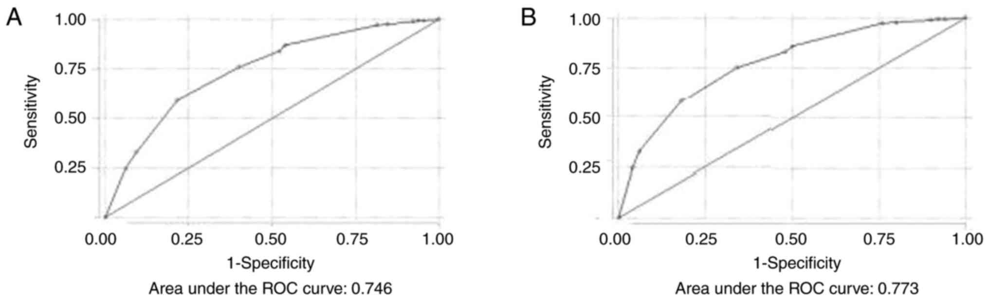
By performing ROC analysis, the discriminative ability of the NoSAS score for moderate and severe OSA was found to be excellent [area under the curve (AUC), 0.746] (Fig. 1A).

Figure 1

(A) ROC curve of the NoSAS score predicting moderate and severe OSA, and (B) ROC curve of the NoSAS score predicting OSA of all severity categories. OSA, obstructive sleep apnea; ROC, receiver operating characteristic; NoSAS, Neck circumference, Obesity, Snoring, Age, Sex.

Using the NoSAS score, for scores >7 to predict moderate and severe OSA, the sensitivity and specificity were 86.88 and 46.15%, respectively. The optimal cut-off value was >11, where the sensitivity and specificity were 59.2 and 78.4%, respectively, the PPV was 92.27% and the NPV was 30.72%. The percentage of correct classification was 62.82%.

The discriminative ability of the NoSAS score for all severity categories of OSA was also excellent (AUC, 0.773) (Fig. 1B). Using the NoSAS score, for scores >7 to predict OSA (all severity categories), the sensitivity and specificity were 85.8 and 50%, respectively. The PPV for scores >7 to predict OSA (all severity categories) was 91.1% and the NPV was 30.9%. The optimal cut-off value was >9, where the sensitivity and specificity were 75 and 66% respectively, the PPV was 92.92% and the NPV was 30.84%. The percentage of correct classification was 73.78%. Table III displays the sensitivity and specificity of different cut-off values of the NoSAS score for detecting moderate and severe OSA and OSA of all severity categories.

Table III

NoSAS, STOP-BANG, Berlin questionnaire and ESS score vs. moderate and severe OSA and OSA of all severity categories: Sensitivity and specificity for various cut-off values.

Table III

NoSAS, STOP-BANG, Berlin questionnaire and ESS score vs. moderate and severe OSA and OSA of all severity categories: Sensitivity and specificity for various cut-off values.

Moderate and severe OSA
NoSAS scoreSensitivity (%)Specificity (%)
299.294.62
399.296.15
498.947.69
597.5215.38
697.1618.46
786.8846.15
884.0447.69
975.8960.00
1159.2278.46
1332.9890.77
1524.8293.85
170.00100.00
OSA of all severity categories
NoSAS scoreSensitivity (%)Specificity (%)
299.336.00
399.338.00
498.9910.00
597.6420.00
697.3124.00
785.8650.00
883.1652.00
975.0866.00
1157.9182.00
1332.3294.00
1524.2496.00
170.00100.00
Moderate and severe OSA
STOP-BANG scoreSensitivity (%)Specificity (%)
1100.006.15
298.9420.00
392.9143.08
473.4067.69
549.2990.77
619.5093.85
74.9698.46
80.00100.00
OSA of all severity categories
STOP-BANG scoreSensitivity (%)Specificity (%)
1100.008.00
298.3222.00
391.2544.00
471.3868.00
547.4792.00
618.8694.00
74.7198.00
80.00100.00
Moderate and severe OSA
ESS scoreSensitivity (%)Specificity (%)
096.451.54
192.919.23
288.3012.31
379.7921.54
471.2830.77
565.6033.85
657.8049.23
751.0656.92
844.3360.00
938.3066.15
1031.9178.46
1124.1181.54
1218.4484.62
1312.7787.69
1411.3589.23
1510.2889.23
168.1690.77
176.3895.38
183.1996.92
192.4898.46
201.7798.46
210.71100.00
220.00100.00
OSA of all severity categories
ESS scoreSensitivity (%)Specificity (%)
096.632.00
192.598.00
287.8810.00
379.4620.00
471.3832.00
565.3232.00
656.9046.00
750.5156.00
843.7758.00
OSA of all severity categories
ESS scoreSensitivity (%)Specificity (%)
937.3762.00
1030.3072.00
1122.9076.00
1217.5180.00
1312.1284.00
1410.7786.00
159.7686.00
167.7488.00
176.0694.00
183.0396.00
192.3698.00
201.6898.00
210.67100.00
220.00100.00
Moderate and severe OSA
BQ scoreSensitivity (%)Specificity (%)
0100.004.62
194.3320.00
255.6766.15
30.00100.00
OSA of all severity categories
BQ scoreSensitivity (%)Specificity (%)
099.664.00
193.6020.00
254.2164.00
30.00100.00

[i] BQ, Berlin questionnaire; ESS, Epworth Sleepiness Scale; OSA, obstructive sleep apnea; NoSAS, Neck circumference, Obesity, Snoring, Age, Sex.

STOP-BANG questionnaire. By performing ROC analysis, the discriminative ability of the STOP-BANG questionnaire for moderate and severe OSA was excellent (AUC, 0.783) (Fig. 2A).

Figure 2

(A) ROC curve of the STOP-BANG score predicting moderate and severe OSA, and (B) ROC curve of the STOP-BANG score predicting OSA of all severity categories. OSA, obstructive sleep apnea; ROC, receiver operating characteristic.

Using the STOP-BANG questionnaire, for scores >2 to predict moderate and severe OSA, the sensitivity and specificity were 98.94 and 20%, respectively. The optimal cut-off value was >4, where the sensitivity and specificity were 73.4 and 67.6%, respectively, the PPV was 90.79% and the NPV was 36.97%. The percentage of correct classification was 72.33%. The discriminative ability of the STOP-BANG questionnaire for all severity categories of OSA was also excellent (AUC, 0.776) (Fig. 2B).

Using the STOP-BANG questionnaire for scores >2 to predict OSA (all severity categories), the sensitivity and specificity were 98.32 and 22%, respectively. The optimal cut-off value was >4, where the sensitivity and specificity were 71.3 and 68%, respectively, the PPV was 92.98% and the NPV was 28.57%. The percentage of correct classification was 70.89%. Table III displays the sensitivity and specificity of different cut-off values of the STOP-BANG score for detecting moderate and severe OSA and OSA of all severity categories.

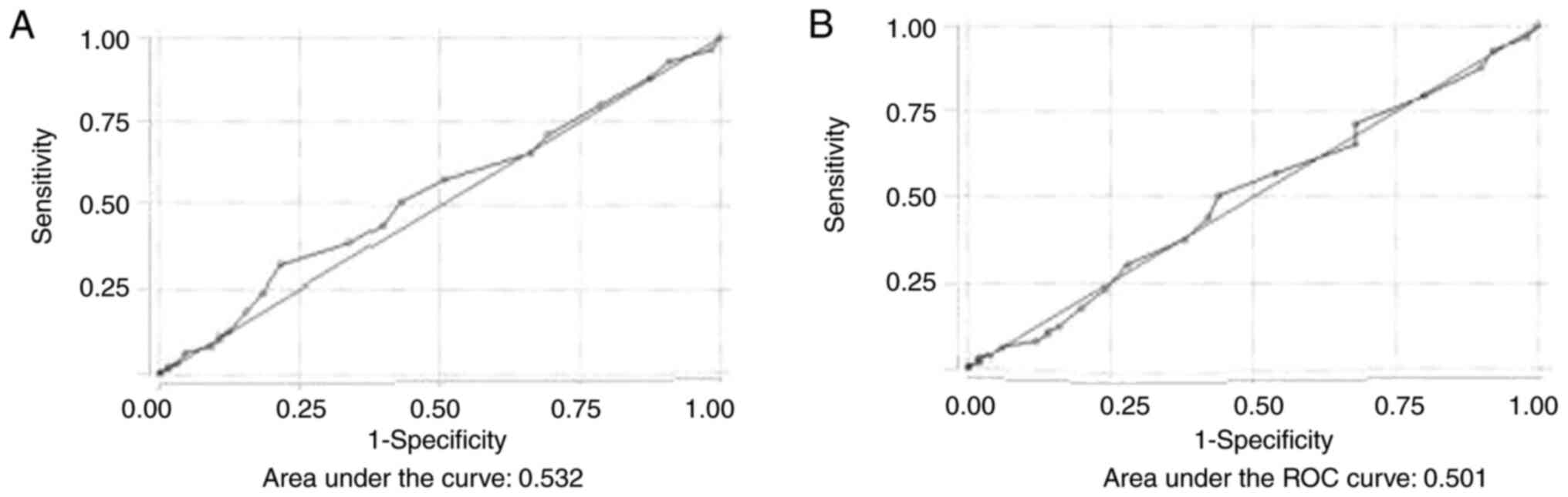
ESS. By performing ROC analysis, the discriminative ability of the ESS for moderate and severe OSA was poor (AUC, 0.532) (Fig. 3A). Using the ESS, for scores >10 to predict moderate and severe OSA, the sensitivity and specificity were 31.9 and 78.4%, respectively. The optimal cut-off value was >7, where the sensitivity and specificity were 51 and 56.9%, respectively, the PPV was 83.72% and the NPV was 21.14%. The percentage of correct classification was 52.16%. The discriminative ability of the ESS for all severity categories of OSA was also poor (AUC, 0.501) (Fig. 3B).

Figure 3

(A) ROC curve of the ESS score predicting moderate and severe OSA, and (B) ROC curve of the ESS score predicting OSA of all severity categories. ESS, Epworth Sleepiness Scale; OSA, obstructive sleep apnea; ROC, receiver operating characteristic.

Using the ESS, for score >10 to predict OSA (all severity categories), sensitivity and specificity were 30.3 and 72%, respectively. The optimal cut-off value was >7, where the sensitivity and specificity were 50.5 and 56%, respectively, the PPV was 87.21% and the NPV was 16%. The percentage of correct classification was 51.3%. Table III displays the sensitivity and specificity of different cut-off values of ESS for detecting moderate and severe OSA and OSA of all severity categories.

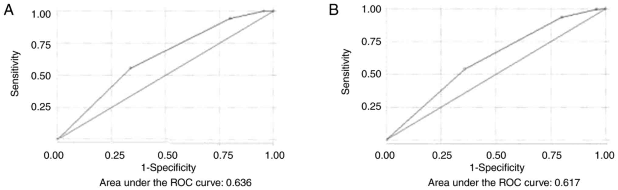
Berlin questionnaire. By performing ROC analysis, the discriminative ability of the Berlin questionnaire for moderate and severe OSA was acceptable (AUC, 0.636) (Fig. 4A). Using the Berlin questionnaire score, for a score >1 to predict moderate and severe OSA, the sensitivity and specificity were 94.33 and 20%, respectively. The optimal cut-off value was >2, where the sensitivity and specificity were 55.6 and 66.1%, respectively, the PPV was 87.71% and the NPV was 25.60%. The percentage of correct classifications was 57.64%. The discriminative ability of the Berlin questionnaire for all severity categories of OSA was also acceptable (AUC, 0.617) (Fig. 4B).

Figure 4

(A) ROC curve of the Berlin questionnaire score predicting moderate and severe OSA, and (B) ROC curve of the Berlin questionnaire score predicting OSA of all severity categories. OSA, obstructive sleep apnea; ROC, receiver operating characteristic.

Using the Berlin questionnaire score, for a score >1 to predict OSA (all severity categories), the sensitivity and specificity were 93.6 and 20%, respectively. The optimal cut-off value was >2, where the sensitivity and specificity were 54.2 and 64%, respectively, the PPV was 89.94% and the NPV was 19.05%. The percentage of correct classification was 55.62%. Table III displays the sensitivity and specificity of different cut-off values of Berlin questionnaire score for detecting moderate and severe OSA and OSA of all severity categories.

Comparison of the diagnostic performance of the NoSAS, ESS, STOP-BANG and Berlin questionnaires

The NOSAS and STOP-BANG scores clearly performed better in detecting moderate and severe OSA, and in detecting OSA of all severity categories, compared to the ESS and the Berlin score with a very slight superiority of STOP-BANG.

A statistically significant difference was observed in the AUC of all scores for the detection of moderate and severe OSA and for the detection of OSA of all severity categories (P<0.001). There was no statistically significant difference between the AUC of NoSAS and the AUC of STOP-BANG for the detection of moderate and severe OSA, and for the detection of OSA of all severity categories (P=0.488 and P=0.999, respectively) (Table IV).

Table IV

Area under the ROC curve for all scores and equality tests.

Table IV

Area under the ROC curve for all scores and equality tests.

Moderate and severe OSA
ScoreAUC (95% CI)P-value (vs. NoSAS)Global test P-value
NoSAS0.746 (0.680-0.813)Reference<0.001
STOP-BANG0.783 (0.720-0.847)0.488 
ESS0.532 (0.456-0.609)<0.001 
BQ0.636 (0.565-0.707)0.011 
OSA of all severity categories
ScoreAUC (95% CI)P-value (vs. NoSAS)Global test P-value
NoSAS0.774 (0.705-0.843)Reference<0.001
STOP-BANG0.777 (0.705-0.848)0.999 
ESS0.502 (0.414-0.590)<0.001 
BQ0.617 (0.536-0.698)<0.001 

[i] BQ, Berlin questionnaire; ESS, Epworth Sleepiness Scale; OSA, obstructive sleep apnea; NoSAS, Neck circumference, Obesity, Snoring, Age, Sex; ROC, receiver operating characteristic.

Discussion

The NoSAS score was first created and validated using participants from a population in Lausanne, Switzerland (HypnoLaus cohort) and was separately validated in a population undergoing PSG due to indicating symptoms (EPISONO cohort) (11). In that previous study, in the HypnoLaus cohort, the NoSAS score ≥8 to detect moderate and severe OSA had an AUC of 74%, a PPV of 47%, and an NPV of 90%. In the EPISONO cohort, the NoSAS score for a value ≥8 had an AUC of 0.810, PPV of 33%, and NPV of 98% for the detection of moderate and severe OSA. When comparing the ability to correctly classify the participants, the NoSAS score clearly outperformed the other scores in both cohorts. In the HypnoLaus cohort, the AUC was 0.740 for the NOSAS score, 0.670 for the STOP-BANG score, and 0.630 for the Berlin score to detect moderate and severe OSA. In the EPISONO cohort, the AUC was 0.810 for the NoSAS score, 0.680 for the STOP-BANG score, and 0.650 for the Berlin score for the detection of moderate and severe OSA (11).

In a study from a Turkish Sleep Unit for the detection of OSA of all severity categories, the sensitivity, specificity, PPV and NPV of the NoSAS score ≥8 were 81, 51.2, 88.2 and 37.5%, respectively (17). For the detection of moderate and severe OSA, for a value ≥8 the sensitivity, specificity, PPV and NPV of the NoSAS score were 84.5, 38.2, 66 and 63.4%, respectively. The STOP-BANG questionnaire had the highest sensitivity for all OSA severity categories, but also had the lowest specificity. The Berlin questionnaire exhibited similar results to the STOP-BANG questionnaire (17).

In another study on a multi-ethnic Asian cohort, the sensitivity, specificity, and NPV and PPV of the NoSAS score ≥8 for predicting severe OSA were 69.2, 73.1, 95.2 and 23.7%, respectively (18). The STOP-BANG and Berlin questionnaires performed similarly to the NoSAS score, with the AUCs of all three questionnaires having a range of 0.682-0.748. Compared with the STOP-BANG (94.8%) and Berlin (96.3%) questionnaires, the NoSAS score (95.2%) had an equally high NPV in ruling out severe OSA (18).

In a large study from China, the AUC for the NoSAS score for predicting moderate and severe OSA was 0.707(7). In contrast to the present study, the NoSAS score performed significantly better than the STOP-BANG questionnaire (AUC 0.704) and the ESS (AUC 0.642), and was similar to the Berlin questionnaire (AUC, 0.697) for detecting moderate-to-severe OSA (7). In addition, in contrast to the present study, in another study on 479 participants from China, the NoSAS score for the detection of OSA of all severity categories had an AUC of 0.734 and the Berlin questionnaire had an AUC of 0.732. Both exhibited better predictive values than the ESS and the STOP-BANG questionnaire (19).

In a study from Portugal with 294 participants, using the NoSAS score to predict OSA of all severity categories, moderate/severe OSA and severe OSA, a score of 12 had the optimal performance, an AUC 0.770, a sensitivity of 57.5% and a specificity of 83%. In the same study, using the STOP-BANG score to predict OSA of all severity categories, moderate/severe OSA and severe OSA, a score of 5 had the best performance with an AUC of 0.813, sensitivity of 77.3% and specificity of 66.1% (20). Furthermore, in contrast to the present study, in a study from Switzerland, the NoSAS score had the highest AUC (0.780) compared to STOP-BANG (0.710) and Berlin (0.620) for detecting moderate/severe OSA (21).

Of particular interest is a meta-analysis of 10 studies, involving a total of 14,510 patients, which demonstrated that the NoSAS score for the detection of OSA of all severity categories was satisfactorily with an AUC of 0.770, similar to the present study. The same meta-analysis demonstrated that the NoSAS score ≥8 had a sensitivity of 79.8% and a specificity of 58.2% for the detection of OSA of all severity categories, while in our study, the corresponding sensitivity is 85.86% and the specificity 50% (22).

The present study had certainly some limitations. The study was conducted retrospectively, and NoSAS scores were calculated based on different answers previously given by the patients, a fact that may have an effect on the studied performance of the scores. In addition, the present study sample was derived from a single sleep clinic in Greece, which limits the generalization of conclusions for the entire Greek population.

In conclusion, the present study demonstrates that the NoSAS score is a simple, effective, and easy method for the detection of OSAS in clinical practice in the Greek population. The NoSAS score performs similarly to well-established questionnaires, such as the Berlin questionnaire, the ESS and the STOP BANG questionnaire, for the detection of OSA of all severity categories and of moderate-to-severe-severe OSA in particular.

Acknowledgements

Not applicable.

Funding

Funding: No funding was received.

Availability of data and materials

The datasets used and/or analyzed during the current study are available from the corresponding author on reasonable request.

Authors' contributions

PS and AA conceptualized the study. VEG, XT, NP, AA and EN made a substantial contribution to data interpretation and analysis, and wrote and prepared the draft of the manuscript. PS and AA analyzed the data and provided critical revisions. VEG and AA confirm the authenticity of all the raw data. All authors contributed to manuscript revision, and have read and approved the final version of the manuscript.

Ethics approval and consent to participate

The present study was conducted in line with the Declaration of Helsinki and gained approval by the regional Institutional Review Board (protocol no. 5974/05.04.2021). Written informed was obtained from all patients.

Patient consent for publication

Not applicable.

Competing interests

The authors declare that they have no competing interests.

References

1 

Archontogeorgis K, Nena E, Papanas N and Steiropoulos P: Biomarkers to improve diagnosis and monitoring of obstructive sleep apnea syndrome: Current status and future perspectives. Pulm Med. 2014(930535)2014.PubMed/NCBI View Article : Google Scholar

2 

Benjafield AV, Ayas NT, Eastwood PR, Heinzer R, Ip MSM, Morrell MJ, Nunez CM, Patel SR, Penzel T, Pépin JL, et al: Estimation of the global prevalence and burden of obstructive sleep apnoea: A literature-based analysis. Lancet Respir Med. 7:687–698. 2019.PubMed/NCBI View Article : Google Scholar

3 

Pafili K, Steiropoulos P and Papanas N: The relationship between obstructive sleep apnoea and coronary heart disease. Curr Opin Cardiol. 30:439–446. 2015.PubMed/NCBI View Article : Google Scholar

4 

Perantoni E, Filos D, Archontogeorgis K, Steiropoulos P and Chouvarda IC: Pre-diabetic patients with severe obstructive sleep apnea: Novel parameters of hypoxia during sleep correlate with insulin resistance. Annu Int Conf IEEE Eng Med Biol Soc. 2019:5002–5005. 2019.PubMed/NCBI View Article : Google Scholar

5 

Bouloukaki I, Grote L, McNicholas WT, Hedner J, Verbraecken J, Parati G, Lombardi C, Basoglu OK, Pataka A, Marrone O, et al: Mild obstructive sleep apnea increases hypertension risk, challenging traditional severity classification. J Clin Sleep Med. 16:889–898. 2020.PubMed/NCBI View Article : Google Scholar

6 

Garvey JF, Pengo MF, Drakatos P and Kent BD: Epidemiological aspects of obstructive sleep apnea. J Thorac Dis. 7:920–929. 2015.PubMed/NCBI View Article : Google Scholar

7 

Hong C, Chen R, Qing S, Kuang A, Yang H, Su X, Zhao D, Wu K and Zhang N: Validation of the NoSAS score for the screening of sleep-disordered breathing: A hospital-based retrospective study in China. J Clin Sleep Med. 14:191–197. 2018.PubMed/NCBI View Article : Google Scholar

8 

Johns MW: A new method for measuring daytime sleepiness: The Epworth sleepiness scale. Sleep. 14:540–545. 1991.PubMed/NCBI View Article : Google Scholar

9 

Chung F, Yegneswaran B, Liao P, Chung SA, Vairavanathan S, Islam S, Khajehdehi A and Shapiro CM: STOP questionnaire: A tool to screen patients for obstructive sleep apnea. Anesthesiology. 108:812–821. 2008.PubMed/NCBI View Article : Google Scholar

10 

Netzer NC, Stoohs RA, Netzer CM, Clark K and Strohl KP: Using the Berlin questionnaire to identify patients at risk for the sleep apnea syndrome. Ann Intern Med. 131:485–491. 1999.PubMed/NCBI View Article : Google Scholar

11 

Marti-Soler H, Hirotsu C, Marques-Vidal P, Vollenweider P, Waeber G, Preisig M, Tafti M, Tufik SB, Bittencourt L, Tufik S, et al: The NoSAS score for screening of sleep-disordered breathing: A derivation and validation study. Lancet Respir Med. 4:742–748. 2016.PubMed/NCBI View Article : Google Scholar

12 

Tsara V, Serasli E, Amfilochiou A, Constantinidis T and Christaki P: Greek version of the Epworth sleepiness scale. Sleep Breath. 8:91–95. 2004.PubMed/NCBI View Article : Google Scholar

13 

Pataka A, Chavouzis N, Passa KF, Bagalas V, Pitsiou G, Stanopoulos I, Kalamaras G, Paspala A, Sourla E, Vaitsi E and Argyropoulou P: Validation of the stop bang questionnaire in a sleep clinic in Greece for the prediction of mobstructive sleep apnea. Eur Respir J. 42(P4052)2013.

14 

Bouloukaki I, Komninos ID, Mermigkis C, Micheli K, Komninou M, Moniaki V, Mauroudi E, Siafakas NM and Schiza SE: Translation and validation of Berlin questionnaire in primary health care in Greece. BMC Pulm Med. 13(6)2013.PubMed/NCBI View Article : Google Scholar

15 

Berry RB, Budhiraja R, Gottlieb DJ, Gozal D, Iber C, Kapur VK, Marcus CL, Mehra R, Parthasarathy S, Quan SF, et al: Rules for scoring respiratory events in sleep: Update of the 2007 AASM manual for the scoring of sleep and associated events. Deliberations of the sleep apnea definitions task force of the American academy of sleep medicine. J Clin Sleep Med. 8:597–619. 2012.PubMed/NCBI View Article : Google Scholar

16 

Liu X: Classification accuracy and cut point selection. Stat Med. 31:2676–2686. 2012.PubMed/NCBI View Article : Google Scholar

17 

Oktay Arslan B, Uçar ZZ, Batum Ö and Orman MN: Validation of the NoSAS score for screening sleep-disordered breathing: A sleep clinic- based study in Turkey. Turk J Med Sci. 51:319–327. 2021.PubMed/NCBI View Article : Google Scholar

18 

Tan A, Hong Y, Tan LWL, van Dam RM, Cheung YY and Lee CH: Validation of NoSAS score for screening of sleep-disordered breathing in a multiethnic Asian population. Sleep Breath. 21:1033–1038. 2017.PubMed/NCBI View Article : Google Scholar

19 

Peng M, Chen R, Cheng J, Li J, Liu W and Hong C: Application value of the NoSAS score for screening sleep-disordered breathing. J Thorac Dis. 10:4774–4781. 2018.PubMed/NCBI View Article : Google Scholar

20 

Coutinho Costa J, Rebelo-Marques A, Machado JN, Gama JMR, Santos C, Teixeira F and Moita J: Validation of NoSAS (Neck, Obesity, Snoring, Age, Sex) score as a screening tool for obstructive sleep apnea: Analysis in a sleep clinic. Pulmonology. 25:263–270. 2019.PubMed/NCBI View Article : Google Scholar

21 

Herschmann S, Berger M, Haba-Rubio J and Heinzer R: Comparison of NoSAS score with Berlin and STOP-BANG scores for sleep apnea detection in a clinical sample. Sleep Med. 79:113–116. 2021.PubMed/NCBI View Article : Google Scholar

22 

Chen H, Zheng Z, Chen R, Zeng Y, Li N, Zhu J, Zhong Y, Liu H, Lu J, Zhang N and Hong C: A meta-analysis of the diagnostic value of NoSAS in patients with sleep apnea syndrome. Sleep Breath. 26:519–531. 2022.PubMed/NCBI View Article : Google Scholar

Related Articles

  • Abstract
  • View
  • Download
Copy and paste a formatted citation
Spandidos Publications style
Georgakopoulou VE, Pantazis N, Tsiafaki X, Nena E, Amfilochiou A and Steiropoulos P: Validation of NoSAS score for the screening of obstructive sleep apnea. Med Int 3: 14, 2023.
APA
Georgakopoulou, V.E., Pantazis, N., Tsiafaki, X., Nena, E., Amfilochiou, A., & Steiropoulos, P. (2023). Validation of NoSAS score for the screening of obstructive sleep apnea. Medicine International, 3, 14. https://doi.org/10.3892/mi.2023.74
MLA
Georgakopoulou, V. E., Pantazis, N., Tsiafaki, X., Nena, E., Amfilochiou, A., Steiropoulos, P."Validation of NoSAS score for the screening of obstructive sleep apnea". Medicine International 3.2 (2023): 14.
Chicago
Georgakopoulou, V. E., Pantazis, N., Tsiafaki, X., Nena, E., Amfilochiou, A., Steiropoulos, P."Validation of NoSAS score for the screening of obstructive sleep apnea". Medicine International 3, no. 2 (2023): 14. https://doi.org/10.3892/mi.2023.74
Copy and paste a formatted citation
x
Spandidos Publications style
Georgakopoulou VE, Pantazis N, Tsiafaki X, Nena E, Amfilochiou A and Steiropoulos P: Validation of NoSAS score for the screening of obstructive sleep apnea. Med Int 3: 14, 2023.
APA
Georgakopoulou, V.E., Pantazis, N., Tsiafaki, X., Nena, E., Amfilochiou, A., & Steiropoulos, P. (2023). Validation of NoSAS score for the screening of obstructive sleep apnea. Medicine International, 3, 14. https://doi.org/10.3892/mi.2023.74
MLA
Georgakopoulou, V. E., Pantazis, N., Tsiafaki, X., Nena, E., Amfilochiou, A., Steiropoulos, P."Validation of NoSAS score for the screening of obstructive sleep apnea". Medicine International 3.2 (2023): 14.
Chicago
Georgakopoulou, V. E., Pantazis, N., Tsiafaki, X., Nena, E., Amfilochiou, A., Steiropoulos, P."Validation of NoSAS score for the screening of obstructive sleep apnea". Medicine International 3, no. 2 (2023): 14. https://doi.org/10.3892/mi.2023.74
Follow us
  • Twitter
  • LinkedIn
  • Facebook
About
  • Spandidos Publications
  • Careers
  • Cookie Policy
  • Privacy Policy
How can we help?
  • Help
  • Live Chat
  • Contact
  • Email to our Support Team