Spandidos Publications Logo
  • About
    • About Spandidos
    • Aims and Scopes
    • Abstracting and Indexing
    • Editorial Policies
    • Reprints and Permissions
    • Job Opportunities
    • Terms and Conditions
    • Contact
  • Journals
    • All Journals
    • Oncology Letters
      • Oncology Letters
      • Information for Authors
      • Editorial Policies
      • Editorial Board
      • Aims and Scope
      • Abstracting and Indexing
      • Bibliographic Information
      • Archive
    • International Journal of Oncology
      • International Journal of Oncology
      • Information for Authors
      • Editorial Policies
      • Editorial Board
      • Aims and Scope
      • Abstracting and Indexing
      • Bibliographic Information
      • Archive
    • Molecular and Clinical Oncology
      • Molecular and Clinical Oncology
      • Information for Authors
      • Editorial Policies
      • Editorial Board
      • Aims and Scope
      • Abstracting and Indexing
      • Bibliographic Information
      • Archive
    • Experimental and Therapeutic Medicine
      • Experimental and Therapeutic Medicine
      • Information for Authors
      • Editorial Policies
      • Editorial Board
      • Aims and Scope
      • Abstracting and Indexing
      • Bibliographic Information
      • Archive
    • International Journal of Molecular Medicine
      • International Journal of Molecular Medicine
      • Information for Authors
      • Editorial Policies
      • Editorial Board
      • Aims and Scope
      • Abstracting and Indexing
      • Bibliographic Information
      • Archive
    • Biomedical Reports
      • Biomedical Reports
      • Information for Authors
      • Editorial Policies
      • Editorial Board
      • Aims and Scope
      • Abstracting and Indexing
      • Bibliographic Information
      • Archive
    • Oncology Reports
      • Oncology Reports
      • Information for Authors
      • Editorial Policies
      • Editorial Board
      • Aims and Scope
      • Abstracting and Indexing
      • Bibliographic Information
      • Archive
    • Molecular Medicine Reports
      • Molecular Medicine Reports
      • Information for Authors
      • Editorial Policies
      • Editorial Board
      • Aims and Scope
      • Abstracting and Indexing
      • Bibliographic Information
      • Archive
    • World Academy of Sciences Journal
      • World Academy of Sciences Journal
      • Information for Authors
      • Editorial Policies
      • Editorial Board
      • Aims and Scope
      • Abstracting and Indexing
      • Bibliographic Information
      • Archive
    • International Journal of Functional Nutrition
      • International Journal of Functional Nutrition
      • Information for Authors
      • Editorial Policies
      • Editorial Board
      • Aims and Scope
      • Abstracting and Indexing
      • Bibliographic Information
      • Archive
    • International Journal of Epigenetics
      • International Journal of Epigenetics
      • Information for Authors
      • Editorial Policies
      • Editorial Board
      • Aims and Scope
      • Abstracting and Indexing
      • Bibliographic Information
      • Archive
    • Medicine International
      • Medicine International
      • Information for Authors
      • Editorial Policies
      • Editorial Board
      • Aims and Scope
      • Abstracting and Indexing
      • Bibliographic Information
      • Archive
  • Articles
  • Information
    • Information for Authors
    • Information for Reviewers
    • Information for Librarians
    • Information for Advertisers
    • Conferences
  • Language Editing
Spandidos Publications Logo
  • About
    • About Spandidos
    • Aims and Scopes
    • Abstracting and Indexing
    • Editorial Policies
    • Reprints and Permissions
    • Job Opportunities
    • Terms and Conditions
    • Contact
  • Journals
    • All Journals
    • Biomedical Reports
      • Information for Authors
      • Editorial Policies
      • Editorial Board
      • Aims and Scope
      • Abstracting and Indexing
      • Bibliographic Information
      • Archive
    • Experimental and Therapeutic Medicine
      • Information for Authors
      • Editorial Policies
      • Editorial Board
      • Aims and Scope
      • Abstracting and Indexing
      • Bibliographic Information
      • Archive
    • International Journal of Epigenetics
      • Information for Authors
      • Editorial Policies
      • Editorial Board
      • Aims and Scope
      • Abstracting and Indexing
      • Bibliographic Information
      • Archive
    • International Journal of Functional Nutrition
      • Information for Authors
      • Editorial Policies
      • Editorial Board
      • Aims and Scope
      • Abstracting and Indexing
      • Bibliographic Information
      • Archive
    • International Journal of Molecular Medicine
      • Information for Authors
      • Editorial Policies
      • Editorial Board
      • Aims and Scope
      • Abstracting and Indexing
      • Bibliographic Information
      • Archive
    • International Journal of Oncology
      • Information for Authors
      • Editorial Policies
      • Editorial Board
      • Aims and Scope
      • Abstracting and Indexing
      • Bibliographic Information
      • Archive
    • Medicine International
      • Information for Authors
      • Editorial Policies
      • Editorial Board
      • Aims and Scope
      • Abstracting and Indexing
      • Bibliographic Information
      • Archive
    • Molecular and Clinical Oncology
      • Information for Authors
      • Editorial Policies
      • Editorial Board
      • Aims and Scope
      • Abstracting and Indexing
      • Bibliographic Information
      • Archive
    • Molecular Medicine Reports
      • Information for Authors
      • Editorial Policies
      • Editorial Board
      • Aims and Scope
      • Abstracting and Indexing
      • Bibliographic Information
      • Archive
    • Oncology Letters
      • Information for Authors
      • Editorial Policies
      • Editorial Board
      • Aims and Scope
      • Abstracting and Indexing
      • Bibliographic Information
      • Archive
    • Oncology Reports
      • Information for Authors
      • Editorial Policies
      • Editorial Board
      • Aims and Scope
      • Abstracting and Indexing
      • Bibliographic Information
      • Archive
    • World Academy of Sciences Journal
      • Information for Authors
      • Editorial Policies
      • Editorial Board
      • Aims and Scope
      • Abstracting and Indexing
      • Bibliographic Information
      • Archive
  • Articles
  • Information
    • For Authors
    • For Reviewers
    • For Librarians
    • For Advertisers
    • Conferences
  • Language Editing
Login Register Submit
  • This site uses cookies
  • You can change your cookie settings at any time by following the instructions in our Cookie Policy. To find out more, you may read our Privacy Policy.

    I agree
Search articles by DOI, keyword, author or affiliation
Search
Advanced Search
presentation
Molecular Medicine Reports
Join Editorial Board Propose a Special Issue
Print ISSN: 1791-2997 Online ISSN: 1791-3004
Journal Cover
December 2012 Volume 6 Issue 6

Full Size Image

Sign up for eToc alerts
Recommend to Library

Journals

International Journal of Molecular Medicine

International Journal of Molecular Medicine

International Journal of Molecular Medicine is an international journal devoted to molecular mechanisms of human disease.

International Journal of Oncology

International Journal of Oncology

International Journal of Oncology is an international journal devoted to oncology research and cancer treatment.

Molecular Medicine Reports

Molecular Medicine Reports

Covers molecular medicine topics such as pharmacology, pathology, genetics, neuroscience, infectious diseases, molecular cardiology, and molecular surgery.

Oncology Reports

Oncology Reports

Oncology Reports is an international journal devoted to fundamental and applied research in Oncology.

Experimental and Therapeutic Medicine

Experimental and Therapeutic Medicine

Experimental and Therapeutic Medicine is an international journal devoted to laboratory and clinical medicine.

Oncology Letters

Oncology Letters

Oncology Letters is an international journal devoted to Experimental and Clinical Oncology.

Biomedical Reports

Biomedical Reports

Explores a wide range of biological and medical fields, including pharmacology, genetics, microbiology, neuroscience, and molecular cardiology.

Molecular and Clinical Oncology

Molecular and Clinical Oncology

International journal addressing all aspects of oncology research, from tumorigenesis and oncogenes to chemotherapy and metastasis.

World Academy of Sciences Journal

World Academy of Sciences Journal

Multidisciplinary open-access journal spanning biochemistry, genetics, neuroscience, environmental health, and synthetic biology.

International Journal of Functional Nutrition

International Journal of Functional Nutrition

Open-access journal combining biochemistry, pharmacology, immunology, and genetics to advance health through functional nutrition.

International Journal of Epigenetics

International Journal of Epigenetics

Publishes open-access research on using epigenetics to advance understanding and treatment of human disease.

Medicine International

Medicine International

An International Open Access Journal Devoted to General Medicine.

Journal Cover
December 2012 Volume 6 Issue 6

Full Size Image

Sign up for eToc alerts
Recommend to Library

  • Article
  • Citations
    • Cite This Article
    • Download Citation
    • Create Citation Alert
    • Remove Citation Alert
    • Cited By
  • Similar Articles
    • Related Articles (in Spandidos Publications)
    • Similar Articles (Google Scholar)
    • Similar Articles (PubMed)
  • Download PDF
  • Download XML
  • View XML
Article

The metabolic syndrome of fructose-fed rats: Effects of long-chain polyunsaturated ω3 and ω6 fatty acids. VI. Further post-mortem investigations

  • Authors:
    • Zoheir Mellouk
    • Emeline Hupkens
    • Marie-Helene Antoine
    • Abdullah Sener
    • Dalila Ait Yahia
    • Willy J. Malaisse
  • View Affiliations / Copyright

    Affiliations: Department of Biology, Es-Sénia University, Es-senia 31100, Oran, Algeria, Laboratory of Experimental Hormonology, Université Libre de Bruxelles, B-1070 Brussels, Belgium
  • Pages: 1404-1408
    |
    Published online on: September 20, 2012
       https://doi.org/10.3892/mmr.2012.1092
  • Expand metrics +
Metrics: Total Views: 0 (Spandidos Publications: | PMC Statistics: )
Metrics: Total PDF Downloads: 0 (Spandidos Publications: | PMC Statistics: )
Cited By (CrossRef): 0 citations Loading Articles...

This article is mentioned in:


Abstract

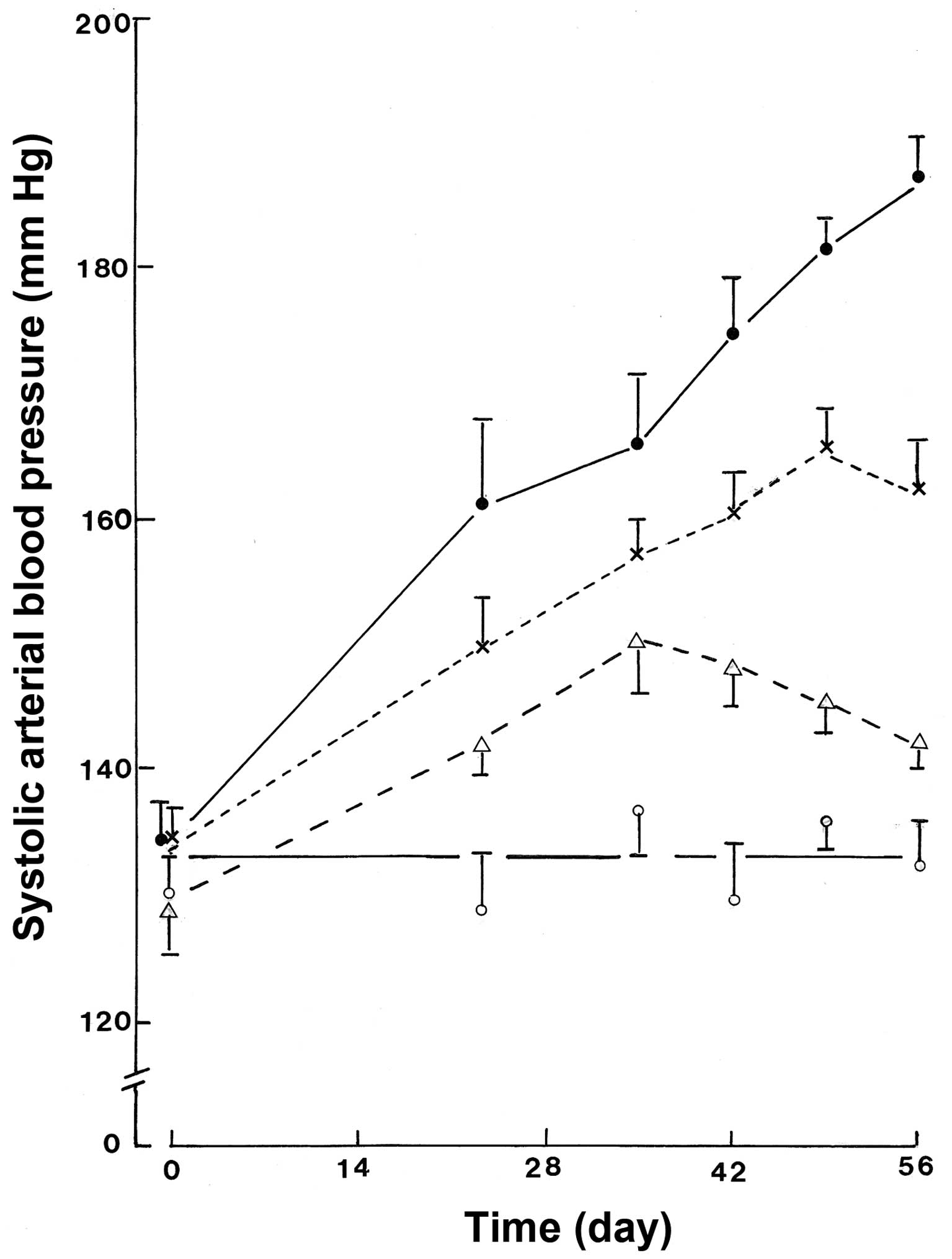
The present study documents the increases in systolic arterial blood pressure, plasma leptin concentration and kidney proliferating cell nuclear antigen index, as well as the decreases in glutathione reductase, superoxide dismutase and catalase enzymatic activities in the liver, heart, kidney, soleus muscle and visceral adipose tissue homogenates of female rats exposed for 8 weeks to a diet containing 64% (w/w) D-fructose instead of 64% starch. In the fructose-fed rats, the partial substitution of sunflower oil by either safflower oil or salmon oil often opposed the fructose-induced changes in these variables. The present results, thus, extend to these functional, hormonal and enzymatic parameters the knowledge that the dietary supply of long-chain polyunsaturated ω6 fatty acids, mainly C18:2ω6, and long-chain polyunsaturated ω3 fatty acids opposes the undesirable features of the fructose‑induced metabolic syndrome, with salmon oil demonstrating particular efficacy.
View Figures

Figure 1

Figure 2

View References

1 

Mellouk Z, Louchami K, Hupkens E, Sener A, Ait Yahia D and Malaisse WJ: The metabolic syndrome of fructose-fed rats: Effects of long-chain polyunsaturated ω3 and ω6 fatty acids V Post-mortem findings. Mol Med Reports. (In Press).

2 

Mellouk Z, Hachimi Idrissi T, Louchami K, Hupkens E, Malaisse WJ, Ait Yahia D and Sener A: The metabolic syndrome of fructose-fed rats: effects of long-chain polyunsaturated ω3 and ω6 fatty acids. I Intraperitoneal glucose tolerance test. Int J Mol Med. 28:1087–092. 2011.

3 

Belkacemi L, Selselet-Attou G, Giroix MH, Nortier J, Nguidjoe E, Hupkens E, Sener A and Malaisse WJ: Intermittent fasting modulation of the diabetic syndrome in streptozotocin-injected rats: post-mortem investigations. Submitted for publication.

4 

Goldberg DM and Spooner RJ: Glutathione reductase. Methods of Enzymatic Analysis. Bergmeyer HB: 3. 3rd edition. Verlag Chemie; Weinheim: pp. 258–265. 1992

5 

Elstner EF, Youngman RJ and Obwald W: Superoxide dismutase. Methods of Enzymatic Analysis. Bergmeyer HB: 3. 3rd edition. Verlag Chemie; Weinheim: pp. 293–302. 1983

6 

Aebi H: Catalase. Methods of enzymatic analysis. Bergmeyer HU: 3. 2nd edition. Verlag Chemie; Weinheim: pp. 673–684. 1974, View Article : Google Scholar

7 

Boukortt FO, Madrani Z, Mellouk Z, Louchami K, Sener A and Ait Yahia D: Nutritional factors and fructose-induced metabolic syndrome. Metab Funct Res Diab. 4:18–34. 2011.

Related Articles

  • Abstract
  • View
  • Download
  • Twitter
Copy and paste a formatted citation
Spandidos Publications style
Mellouk Z, Hupkens E, Antoine M, Sener A, Ait Yahia D and Malaisse WJ: The metabolic syndrome of fructose-fed rats: Effects of long-chain polyunsaturated ω3 and ω6 fatty acids. VI. Further post-mortem investigations. Mol Med Rep 6: 1404-1408, 2012.
APA
Mellouk, Z., Hupkens, E., Antoine, M., Sener, A., Ait Yahia, D., & Malaisse, W.J. (2012). The metabolic syndrome of fructose-fed rats: Effects of long-chain polyunsaturated ω3 and ω6 fatty acids. VI. Further post-mortem investigations. Molecular Medicine Reports, 6, 1404-1408. https://doi.org/10.3892/mmr.2012.1092
MLA
Mellouk, Z., Hupkens, E., Antoine, M., Sener, A., Ait Yahia, D., Malaisse, W. J."The metabolic syndrome of fructose-fed rats: Effects of long-chain polyunsaturated ω3 and ω6 fatty acids. VI. Further post-mortem investigations". Molecular Medicine Reports 6.6 (2012): 1404-1408.
Chicago
Mellouk, Z., Hupkens, E., Antoine, M., Sener, A., Ait Yahia, D., Malaisse, W. J."The metabolic syndrome of fructose-fed rats: Effects of long-chain polyunsaturated ω3 and ω6 fatty acids. VI. Further post-mortem investigations". Molecular Medicine Reports 6, no. 6 (2012): 1404-1408. https://doi.org/10.3892/mmr.2012.1092
Copy and paste a formatted citation
x
Spandidos Publications style
Mellouk Z, Hupkens E, Antoine M, Sener A, Ait Yahia D and Malaisse WJ: The metabolic syndrome of fructose-fed rats: Effects of long-chain polyunsaturated ω3 and ω6 fatty acids. VI. Further post-mortem investigations. Mol Med Rep 6: 1404-1408, 2012.
APA
Mellouk, Z., Hupkens, E., Antoine, M., Sener, A., Ait Yahia, D., & Malaisse, W.J. (2012). The metabolic syndrome of fructose-fed rats: Effects of long-chain polyunsaturated ω3 and ω6 fatty acids. VI. Further post-mortem investigations. Molecular Medicine Reports, 6, 1404-1408. https://doi.org/10.3892/mmr.2012.1092
MLA
Mellouk, Z., Hupkens, E., Antoine, M., Sener, A., Ait Yahia, D., Malaisse, W. J."The metabolic syndrome of fructose-fed rats: Effects of long-chain polyunsaturated ω3 and ω6 fatty acids. VI. Further post-mortem investigations". Molecular Medicine Reports 6.6 (2012): 1404-1408.
Chicago
Mellouk, Z., Hupkens, E., Antoine, M., Sener, A., Ait Yahia, D., Malaisse, W. J."The metabolic syndrome of fructose-fed rats: Effects of long-chain polyunsaturated ω3 and ω6 fatty acids. VI. Further post-mortem investigations". Molecular Medicine Reports 6, no. 6 (2012): 1404-1408. https://doi.org/10.3892/mmr.2012.1092
Follow us
  • Twitter
  • LinkedIn
  • Facebook
About
  • Spandidos Publications
  • Careers
  • Cookie Policy
  • Privacy Policy
How can we help?
  • Help
  • Live Chat
  • Contact
  • Email to our Support Team