Spandidos Publications Logo
  • About
    • About Spandidos
    • Aims and Scopes
    • Abstracting and Indexing
    • Editorial Policies
    • Reprints and Permissions
    • Job Opportunities
    • Terms and Conditions
    • Contact
  • Journals
    • All Journals
    • Oncology Letters
      • Oncology Letters
      • Information for Authors
      • Editorial Policies
      • Editorial Board
      • Aims and Scope
      • Abstracting and Indexing
      • Bibliographic Information
      • Archive
    • International Journal of Oncology
      • International Journal of Oncology
      • Information for Authors
      • Editorial Policies
      • Editorial Board
      • Aims and Scope
      • Abstracting and Indexing
      • Bibliographic Information
      • Archive
    • Molecular and Clinical Oncology
      • Molecular and Clinical Oncology
      • Information for Authors
      • Editorial Policies
      • Editorial Board
      • Aims and Scope
      • Abstracting and Indexing
      • Bibliographic Information
      • Archive
    • Experimental and Therapeutic Medicine
      • Experimental and Therapeutic Medicine
      • Information for Authors
      • Editorial Policies
      • Editorial Board
      • Aims and Scope
      • Abstracting and Indexing
      • Bibliographic Information
      • Archive
    • International Journal of Molecular Medicine
      • International Journal of Molecular Medicine
      • Information for Authors
      • Editorial Policies
      • Editorial Board
      • Aims and Scope
      • Abstracting and Indexing
      • Bibliographic Information
      • Archive
    • Biomedical Reports
      • Biomedical Reports
      • Information for Authors
      • Editorial Policies
      • Editorial Board
      • Aims and Scope
      • Abstracting and Indexing
      • Bibliographic Information
      • Archive
    • Oncology Reports
      • Oncology Reports
      • Information for Authors
      • Editorial Policies
      • Editorial Board
      • Aims and Scope
      • Abstracting and Indexing
      • Bibliographic Information
      • Archive
    • Molecular Medicine Reports
      • Molecular Medicine Reports
      • Information for Authors
      • Editorial Policies
      • Editorial Board
      • Aims and Scope
      • Abstracting and Indexing
      • Bibliographic Information
      • Archive
    • World Academy of Sciences Journal
      • World Academy of Sciences Journal
      • Information for Authors
      • Editorial Policies
      • Editorial Board
      • Aims and Scope
      • Abstracting and Indexing
      • Bibliographic Information
      • Archive
    • International Journal of Functional Nutrition
      • International Journal of Functional Nutrition
      • Information for Authors
      • Editorial Policies
      • Editorial Board
      • Aims and Scope
      • Abstracting and Indexing
      • Bibliographic Information
      • Archive
    • International Journal of Epigenetics
      • International Journal of Epigenetics
      • Information for Authors
      • Editorial Policies
      • Editorial Board
      • Aims and Scope
      • Abstracting and Indexing
      • Bibliographic Information
      • Archive
    • Medicine International
      • Medicine International
      • Information for Authors
      • Editorial Policies
      • Editorial Board
      • Aims and Scope
      • Abstracting and Indexing
      • Bibliographic Information
      • Archive
  • Articles
  • Information
    • Information for Authors
    • Information for Reviewers
    • Information for Librarians
    • Information for Advertisers
    • Conferences
  • Language Editing
Spandidos Publications Logo
  • About
    • About Spandidos
    • Aims and Scopes
    • Abstracting and Indexing
    • Editorial Policies
    • Reprints and Permissions
    • Job Opportunities
    • Terms and Conditions
    • Contact
  • Journals
    • All Journals
    • Biomedical Reports
      • Information for Authors
      • Editorial Policies
      • Editorial Board
      • Aims and Scope
      • Abstracting and Indexing
      • Bibliographic Information
      • Archive
    • Experimental and Therapeutic Medicine
      • Information for Authors
      • Editorial Policies
      • Editorial Board
      • Aims and Scope
      • Abstracting and Indexing
      • Bibliographic Information
      • Archive
    • International Journal of Epigenetics
      • Information for Authors
      • Editorial Policies
      • Editorial Board
      • Aims and Scope
      • Abstracting and Indexing
      • Bibliographic Information
      • Archive
    • International Journal of Functional Nutrition
      • Information for Authors
      • Editorial Policies
      • Editorial Board
      • Aims and Scope
      • Abstracting and Indexing
      • Bibliographic Information
      • Archive
    • International Journal of Molecular Medicine
      • Information for Authors
      • Editorial Policies
      • Editorial Board
      • Aims and Scope
      • Abstracting and Indexing
      • Bibliographic Information
      • Archive
    • International Journal of Oncology
      • Information for Authors
      • Editorial Policies
      • Editorial Board
      • Aims and Scope
      • Abstracting and Indexing
      • Bibliographic Information
      • Archive
    • Medicine International
      • Information for Authors
      • Editorial Policies
      • Editorial Board
      • Aims and Scope
      • Abstracting and Indexing
      • Bibliographic Information
      • Archive
    • Molecular and Clinical Oncology
      • Information for Authors
      • Editorial Policies
      • Editorial Board
      • Aims and Scope
      • Abstracting and Indexing
      • Bibliographic Information
      • Archive
    • Molecular Medicine Reports
      • Information for Authors
      • Editorial Policies
      • Editorial Board
      • Aims and Scope
      • Abstracting and Indexing
      • Bibliographic Information
      • Archive
    • Oncology Letters
      • Information for Authors
      • Editorial Policies
      • Editorial Board
      • Aims and Scope
      • Abstracting and Indexing
      • Bibliographic Information
      • Archive
    • Oncology Reports
      • Information for Authors
      • Editorial Policies
      • Editorial Board
      • Aims and Scope
      • Abstracting and Indexing
      • Bibliographic Information
      • Archive
    • World Academy of Sciences Journal
      • Information for Authors
      • Editorial Policies
      • Editorial Board
      • Aims and Scope
      • Abstracting and Indexing
      • Bibliographic Information
      • Archive
  • Articles
  • Information
    • For Authors
    • For Reviewers
    • For Librarians
    • For Advertisers
    • Conferences
  • Language Editing
Login Register Submit
  • This site uses cookies
  • You can change your cookie settings at any time by following the instructions in our Cookie Policy. To find out more, you may read our Privacy Policy.

    I agree
Search articles by DOI, keyword, author or affiliation
Search
Advanced Search
presentation
Molecular Medicine Reports
Join Editorial Board Propose a Special Issue
Print ISSN: 1791-2997 Online ISSN: 1791-3004
Journal Cover
December 2013 Volume 8 Issue 6

Full Size Image

Sign up for eToc alerts
Recommend to Library

Journals

International Journal of Molecular Medicine

International Journal of Molecular Medicine

International Journal of Molecular Medicine is an international journal devoted to molecular mechanisms of human disease.

International Journal of Oncology

International Journal of Oncology

International Journal of Oncology is an international journal devoted to oncology research and cancer treatment.

Molecular Medicine Reports

Molecular Medicine Reports

Covers molecular medicine topics such as pharmacology, pathology, genetics, neuroscience, infectious diseases, molecular cardiology, and molecular surgery.

Oncology Reports

Oncology Reports

Oncology Reports is an international journal devoted to fundamental and applied research in Oncology.

Experimental and Therapeutic Medicine

Experimental and Therapeutic Medicine

Experimental and Therapeutic Medicine is an international journal devoted to laboratory and clinical medicine.

Oncology Letters

Oncology Letters

Oncology Letters is an international journal devoted to Experimental and Clinical Oncology.

Biomedical Reports

Biomedical Reports

Explores a wide range of biological and medical fields, including pharmacology, genetics, microbiology, neuroscience, and molecular cardiology.

Molecular and Clinical Oncology

Molecular and Clinical Oncology

International journal addressing all aspects of oncology research, from tumorigenesis and oncogenes to chemotherapy and metastasis.

World Academy of Sciences Journal

World Academy of Sciences Journal

Multidisciplinary open-access journal spanning biochemistry, genetics, neuroscience, environmental health, and synthetic biology.

International Journal of Functional Nutrition

International Journal of Functional Nutrition

Open-access journal combining biochemistry, pharmacology, immunology, and genetics to advance health through functional nutrition.

International Journal of Epigenetics

International Journal of Epigenetics

Publishes open-access research on using epigenetics to advance understanding and treatment of human disease.

Medicine International

Medicine International

An International Open Access Journal Devoted to General Medicine.

Journal Cover
December 2013 Volume 8 Issue 6

Full Size Image

Sign up for eToc alerts
Recommend to Library

  • Article
  • Citations
    • Cite This Article
    • Download Citation
    • Create Citation Alert
    • Remove Citation Alert
    • Cited By
  • Similar Articles
    • Related Articles (in Spandidos Publications)
    • Similar Articles (Google Scholar)
    • Similar Articles (PubMed)
  • Download PDF
  • Download XML
  • View XML
Article

κ-carrageenan induces the disruption of intestinal epithelial Caco-2 monolayers by promoting the interaction between intestinal epithelial cells and immune cells

  • Authors:
    • Hai-Yue Jiang
    • Feng Wang
    • Hai‑Min Chen
    • Xiao‑Jun Yan
  • View Affiliations / Copyright

    Affiliations: Key Laboratory of Applied Marine Biotechnology, Ministry of Education, Ningbo University, Ningbo, Zhejiang 315211, P.R. China, Department of Clinical Laboratory, Ningbo Medical Center, Lihuili Hospital, Ningbo University, Ningbo, Zhejiang 315041, P.R. China
  • Pages: 1635-1642
    |
    Published online on: October 14, 2013
       https://doi.org/10.3892/mmr.2013.1726
  • Expand metrics +
Metrics: Total Views: 0 (Spandidos Publications: | PMC Statistics: )
Metrics: Total PDF Downloads: 0 (Spandidos Publications: | PMC Statistics: )
Cited By (CrossRef): 0 citations Loading Articles...

This article is mentioned in:



Abstract

κ‑carrageenan (κ‑CGN) is an important food additive that has been demonstrated to induce colitis in animal models. In the present study, the effects of κ‑CGN were assessed using an in vitro co‑culture system that contained intestinal epithelial Caco‑2 cells and activated macrophage‑like THP‑1 cells. The results demonstrated that in single cultures of Caco‑2 and THP‑1 cells treated with κ‑CGN, the cytotoxicity and the secretion levels of IL‑1β, IL‑6 and TNF‑α were low. In the co‑culture system, however, κ‑CGN treatment resulted in apoptosis and reduced the transepithelial electrical resistance of the Caco‑2 cell monolayers. The secretion levels of TNF‑α, IL‑1β and IL‑6 from the two cell types were increased significantly by κ‑CGN treatment. Furthermore, pretreatment of the co‑culture system with anti‑TNF receptor 1 antibody suppressed the κ‑CGN‑induced apoptosis and attenuated the changes in the levels of IL‑6 and IL‑1β in the Caco‑2 monolayers. This study indicated that κ‑CGN‑induced TNF‑α secretion is the main contributor to cellular damage in Caco‑2 monolayers exposed to κ‑CGN.

Introduction

Carrageenans (CGNs) are a group of large sulfated polysaccharides derived from red algae. The most common forms of CGNs are κ, ι and λ (1). Of these, κ-CGN is widely used as a thickening, gelling and stabilizing agent in various types of food products, such as desserts, sauces, milk, yogurt and meats (2).

The safety of food-grade CGN has been questioned for several decades. By reviewing animal studies on the effects of CGNs, Tobacman (3) identified that CGN may cause gastrointestinal pathology, including ulcerations and tumors of the gastrointestinal tract and, due to this fact, CGNs have been widely used to establish inflammation models. Therefore, Tobacman claimed that CGN may be harmful to the human gastrointestinal tract. However, these claims have been disputed by a number of international agents, including the U.S. Food and Drug Administration, the European Commission’s Scientific Committee for Food and the Joint FAO/WHO Expert Committee on Food Additives. They evaluated Tobacman’s study and concluded that ‘there is no evidence of any adverse effects in humans from exposure to food-grade carrageenan’ (4–8). Therefore, there is no absolute verdict on whether CGNs are safe for use by the food industry.

The present study also reviewed previous studies concerning the effects of CGNs in animal models and it was identified that the animals used were all healthy prior to the commencement of the studies. The conclusions from those studies were quite different from each other (1,3–10). These discrepancies may be due to the complexity of the various study systems. For example, in long-term assays, due to different methods of handling the animals, harmful bacteria may be increased in the gut and neutrophils may be transmigrated to the damaged tissues, resulting in varied immune responses to CGNs.

The mucosal surface of the gastrointestinal tract forms a barrier to separate the luminal contents from the effector immune cells underneath. Disruption of this barrier is critical in the initiation of inflammatory bowel diseases (IBDs) (11). It has become increasingly clear that intestinal epithelial cells are regulated by immune cells beneath the intestinal epithelial monolayer via soluble factors. Previous studies have suggested that intestinal intraepithelial lymphocytes or macrophages respond to stimulation by secreting cytokines (12,13). Abnormal activation of these intestinal immune cells is likely to cause the overproduction of inflammatory cytokines, which may damage intestinal epithelial monolayers and disrupt subsequent mucosal inflammation (14). Previous analyses of the intestinal inflammatory effects of CGNs have been mainly performed using animal models. However, the detailed regulatory mechanism of CGN on the co-existent system of intestinal epithelial cells and macrophages has not been elucidated.

Therefore, in the present study, an in vitro model was established to evaluate the inflammatory effects of κ-CGN. A co-culture system comprising human intestinal epithelial-like Caco-2 cells and phorbol myristrate acetate (PMA)-stimulated THP-1 macrophage cells was used, based on the assumption that macrophages transmigrate to become situated underneath the intestinal epithelial cells. Cell-to-cell interactions between Caco-2 and THP-1 cells were also investigated using the co-culture system.

Materials and methods

Cell culture

Human colon adenocarcinoma Caco-2 cells [China Center for Type Culture Collection (CCTCC), Wuhan, China] at passages 30–60 were cultured in Dulbecco’s modified Eagle’s medium/Nutrient Mix F12 (Sigma-Aldrich, St. Louis, MO, USA) supplemented with 10% fetal bovine serum, 100 U/ml penicillin and 100 μg/ml streptomycin at 37°C with 5% CO2 and 95% saturated atmospheric humidity. For the following assays, the seeding density of cells was 3–4×105 cells/ml. For co-culture, Caco-2 cells were cultured on 0.4-μm semipermeable support membranes in 24-well cell culture inserts (Millicell culture cell inserts, Millicell-PCF; Millipore Ireland Ltd, Cork, Ireland). The Caco-2 cells were cultured for 15 days to obtain integrated cell monolayers with a transepithelial electrical resistance (TER) of >200 Ω.cm2. THP-1 cells obtained from the CCTCC were maintained in RPMI-1640 medium supplemented with 10% fetal bovine serum, 2% glutamine, 100 U/ml penicillin and 100 μg/ml streptomycin at 37°C with 5% CO2. The THP-1 cells used for co-culture were treated with 0.1 μg/ml PMA in 24-well plates to differentiate them into macrophage-like cells prior to being serum-starved for 12 h.

Cell viability assays

3-(4,5-Dimethylthiazol-2-yl)-2,5-diphenyltetrazolium bromide (MTT) cytotoxicity assays were performed on 2-day and 15-day cultured Caco-2 cells and differentiated THP-1 cells that had been treated with κ-CGN to determine the cellular survival levels (15). Absorbance was measured at 492 nm with a Varioskan Flash (Thermo Fisher Scientific, Waltham, MA, USA). All experiments were repeated three times, and the data are presented as the percentages of the experimental viability of the treated cells compared with that of the control cells.

Co-culture

The semipermeable support membrane on which the Caco-2 cells had been cultured for 15 days was placed on the macrophage-like THP-1 cells in the 24-well plates. Once the co-culture was started, various concentrations of κ-CGN were administered to the upper Caco-2 medium for a number of time periods.

Determination of cellular damage of Caco-2 monolayers

TER values were measured to assess the tight junction permeability and cellular damage of Caco-2 cell monolayers. In the co-culture system, κ-CGN was applied to the upper Caco-2 medium. Following treatment, the cell monolayers were rinsed with phosphate-buffered saline (PBS) and TER values were measured with a Millicell ERS instrument (Millipore, Bedford, MA, USA). An empty millicell insert was used as a blank control. Incubation with PBS was set as the negative control. The TER value of 15-day cultured Caco-2 cell monolayers prior to insertion into the 24-well plates was set as 0 h.

Hematoxylin and eosin (H&E) staining was performed to monitor the cellular damage to the Caco-2 monolayers. Briefly, following κ-CGN treatment, the membranes were washed with PBS and then fixed with 10% formaldehyde in PBS for 20 min, prior to being stained with H&E for routine light microscopy. The H&E stained areas were analyzed with Image-Pro Plus, version 5.1 (Media Cybernetics, Bethesda, MD, USA).

Annexin V-FITC/PI assay

Flow cytometry was performed to identify and quantify apoptotic and/or necrotic cells using the Annexin V-FITC/PI Apoptosis Detection kit (BD Biosciences Pharmingen, San Jose, CA, USA). The co-culture system was treated with various concentrations of κ-CGN or with the vehicle (ddH2O) for 24 h, with or without pretreatment using 10 μg/ml anti-TNF receptor 1 (TNFR1) antibody (Santa Cruz Biotechnology, Inc., Santa Cruz, CA, USA). The Caco-2 cells were harvested by trypsinization, washed twice with PBS and resuspended in binding buffer. The resuspended cells were incubated with 5 μl annexin V-FITC and 5 μl PI for 15 min in the dark prior to being analyzed with a FITC/PI FACSCalibur flow cytometer (FACSCalibur; BD Biosciences Pharmingen). For each plot, annexin V-FITC−/PI− represents viable cells; annexin V-FITC−/PI+ represents necrotic cells; annexin V-FITC+/PI− represents early apoptotic cells; and annexin V-FITC+/PI+ represents late apoptotic cells.

Cytokine measurements

Various concentrations of κ-CGN were administered to the upper medium of the co-culture system for 24 h, with or without a pretreatment using 10 μg/ml recombinant human anti-TNFR1 antibody for 2 h. The concentrations of cytokines (IL-8, TNF-α, IL-6 and IL-1β) in each collected supernatant were determined using IL-8, TNF-α, IL-6 and IL-1β ELISA kits (R&D Systems, Minneapolis, MN, USA) according to the manufacturer’s instructions. The quantification was achieved by calibration with the standards. Cytokine secretions from single-cultured Caco-2 or THP-1 cells treated with 10 μg/ml κ-CGN were also determined by ELISA assay.

Statistical analyses

All data are presented as the mean ± standard deviation. Statistical comparisons between treated and control samples were performed using the Student’s t-test. One-way analysis of variance followed by Duncan’s multiple range test was used for analysis of differences among experimental groups (SPSS Software, version 16.0, SPSS, Inc., Chicago, IL, USA). A difference was considered to be statistically significant when P<0.05.

Results

Effects of κ-CGN on cell survival

The cytotoxic effects of κ-CGN were determined for differentiated (15-day culture to form monolayers) and undifferentiated (2-day culture) Caco-2 cells. The cells were treated with different concentrations of κ-CGN for 24 h. As shown in Fig. 1, κ-CGN treatment resulted in a mild reduction in the survival of the differentiated and undifferentiated Caco-2 cells in a concentration-dependent manner. However, no evident cytotoxicity was observed. The differentiated Caco-2 cells were more sensitive to κ-CGN than the undifferentiated ones. For example, 10 μg/ml κ-CGN treatment resulted in 10.26% inhibition of the survival of differentiated Caco-2 cells, but had little effect on the survival of the undifferentiated cells (Fig. 1). The effect of the incubation period on κ-CGN cytotoxicity was also evaluated (Fig. 2). Incubation with 10 μg/ml κ-CGN for 8 h had little effect on the survival of the differentiated Caco-2 cells and the degree of inhibition was only 1.54%. Following a 12-h incubation, a more marked inhibitory effect was observed, which persisted for the duration of the 24-h experimental period. The effect of κ-CGN on differentiated THP-1 cells was also evaluated but no cytotoxic effects were detected. At 10 μg/ml κ-CGN, the viability of THP-1 cells was maintained at 109.45 ± 20.49%.

Figure 1

Cytotoxicity of κ-CGN in differentiated and undifferentiated Caco-2 cells. Two-day (undifferentiated) and 15-day (differentiated) cultured Caco-2 cells were treated with different concentrations of κ-CGN for 24 h and cell viability was determined using an MTT assay. Cell survival (100%) was assigned to the control without treatment and changes in cell viability relative to the control were calculated. The data are presented as the mean ± SD (n=3). κ-CGN, κ-carrageenan; MTT, 3-(4,5-dimethylthiazol-2-yl)-2,5-diphenyltetrazolium bromide.

Figure 2

Effects of incubation time on the cytotoxicity of κ-CGN to differentiated Caco-2 cells. Fifteen-day (differentiated) cultured Caco-2 cells were treated with 10 μg/ml κ-CGN for different time periods, and cell viability was determined using an MTT assay. The data are presented as means ± SD (n=3). κ-CGN, κ-carrageenan; MTT, 3-(4,5-dimethylthiazol-2-yl)-2,5-diphenyltetrazolium bromide.

κ-CGN-induces damage to Caco-2 cell monolayers in the co-culture system

In the co-culture system, Caco-2 and THP-1 cells were not in contact with each other; thus, they interacted only via soluble factors secreted from each cell line.

Even without κ-CGN treatment, co-culture with THP-1 cells caused slight damage to the Caco-2 cells, as demonstrated by the decreased TER value (Fig. 3) and H&E staining (Fig. 4A). Following κ-CGN application, the damage increased significantly (P<0.01; Fig. 3). Even after only 24 h incubation with 1 μg/ml, the TER value was decreased to the minimum recorded value, indicating that the monolayers were completely damaged.

Figure 3

Effects of κ-CGN on the TER values of Caco-2 monolayers in the co-culture system. Caco-2 cells were co-cultured with differentiated THP-1 cells. κ-CGN was applied to the upper Caco-2 medium for 24 h and the TER values of Caco-2 cell monolayers were then determined. An empty millicell insert was used as a blank control. Incubation with PBS was set as a negative control. The TER value of 15-day cultured Caco-2 cell monolayers prior to being inserted into 24-well plates was set as 0 h. Each value is presented as the mean ± SD (n=3). Statistical significance was determined by one-way ANOVA followed by Duncan’s multiple comparison test. Same lowercase letters in columns indicate there is no statistically significant difference (P<0.01), although the different letters indicate that they are significantly different from each other. TER, transepithelial electrical resistance; κ-CGN, κ-carrageenan; PBS, phosphate-buffered saline; ANOVA, analysis of variance.

Figure 4

H&E staining of Caco-2 monolayers treated with κ-CGN. In the co-culture system, 10 μg/ml κ-CGN was added to the upper Caco-2 medium for (A) 0 h, (B) 1 h, (C) 4 h or (D) 8 h, or the upper Caco-2 medium was treated with (E) the vehicle, (F) 1 μg/ml, (G) 5 μg/ml or (H) 10 μg/ml κ-CGN for 24 h. The membranes were washed with PBS and fixed in 10% formaldehyde PBS for 20 min. The membranes were stained with H&E for routine light microscopy. The H&E stained areas indicate the existence of cells on the membranes. H&E, hematoxylin and eosin; κ-CGN, κ-carrageenan; PBS, phosphate-buffered saline.

The κ-CGN treatment at 10 μg/ml was applied for 24 h to investigate the effects of incubation time on the integrity of monolayers and this was evaluated by monitoring their TER values. Longer periods of κ-CGN treatment decreased the TER values, with the most marked changes occurring in the first 4 h (Fig. 5). Consistently, severe damage was observed following 4 h of treatment, with 85.42±8.74% of cells having been peeled off and not stained by H&E (Fig. 4C). Following 24 h of treatment with 5 μg/ml κ-CGN, 83.04±6.28% of the Caco-2 monolayer was damaged (Fig. 4G). These results clearly demonstrate that κ-CGN severely damaged the intestinal epithelial Caco-2 cell monolayers in the co-culture system.

Figure 5

Effects of incubation time on the TER values of Caco-2 monolayers in the co-culture system treated with κ-CGN. Caco-2 cells were co-cultured with differentiated THP-1 cells. κ-CGN (10 μg/ml) was applied to the upper Caco-2 medium for different time periods, and the TER values of the Caco-2 cell monolayers were determined. Each value is presented as the mean ± SD (n=3). TER, transepithelial electrical resistance; κ-CGN, κ-carrageenan.

Apoptosis and necrosis of Caco-2 cells are induced by κ-CGN

Annexin-V-FITC and PI staining was used to characterize the cellular damage to the Caco-2 monolayers. In this assay, the Caco-2 cell monolayers in the co-culture system were incubated with various concentrations of κ-CGN or with the vehicle for 24 h. As shown in Fig. 6, the co-culture with THP-1 cells alone caused cellular damage, mainly necrosis and apoptosis, to the Caco-2 monolayers. The percentage of cells undergoing necrosis (annexin-V-FITC−/PI+ quadrant) was 15.63%, and that of cells undergoing apoptosis was 24.11% (Fig. 6A).

Figure 6

Percentage of apoptotic and/or necrotic cells in Caco-2 monolayers determined by an annexin V-FITC/PI binding assay. (A) Control, (B) 1 μg/ml, (C) 5 μg/ml and (D) 10 μg/ml κ-CGN. The different concentrations of κ-CGN or the vehicle were administered to the upper medium of the co-culture system for 24 h. The Caco-2 cells were harvested for flow cytometric analysis. For each plot, annexin V-FITC−/PI− represents viable cells; annexin V-FITC−/PI+ represents necrotic cells; annexin V-FITC+/PI− represents early apoptotic cells; and annexin V-FITC+/PI+ represents late apoptotic cells. Statistical significance was determined by one-way ANOVA followed by Duncan’s multiple comparison test. Each value is presented as the mean ± SD (n=3). Differences in the number of late apoptotic cells between the control and κ-CGN groups are statistically significant with P<0.01 for all concentrations. κ-CGN, κ-carrageenan; ANOVA, analysis of variance.

Treatment with κ-CGN caused more significant levels of apoptosis in the Caco-2 monolayers. Specifically, the percentage of double positive cells (late stage of apoptosis) was increased from 12.41% to 38.23% when the cells were treated with 10 μg/ml κ-CGN (P<0.01), while the percentage of annexin-V-FITC+/PI− cells (early stage of apoptosis) was increased from 11.70% to 22.09% with 10 μg/ml κ-CGN treatment. The necrosis, however, was actually reduced by κ-CGN treatment in a concentration-dependent manner, indicating that κ-CGN partially reduces the necrosis of Caco-2 cells when co-cultured with macrophage-like THP-1 cells.

Effects of κ-CGN on the secretion of inflammatory cytokines from single-cultured cells

The secreted cytokines were tested to explore why co-culture rendered Caco-2 cells highly vulnerable to κ-CGN treatment. To exclude the contributory effects of κ-CGN on the cells, the levels of secreted inflammatory cytokines in the single-cultured cells were measured first. As shown in Table I, no significant stimulatory effects of κ-CGN were observed for IL-1β, IL-6 and TNF-α in the differentiated or undifferentiated Caco-2 cells. The secretion of IL-8 was stimulated by κ-CGN treatment, but the increased amount was too low to induce an effective inflammatory response. The levels of TNF-α, IL-1β and IL-8 were relatively high for THP-1 cells as they were treated with PMA and were significantly increased by κ-CGN treatment (P<0.05).

Table I

Inflammatory cytokines secreted from Caco-2 cells and THP-1 cells stimulated with κ-CGN.

Table I

Inflammatory cytokines secreted from Caco-2 cells and THP-1 cells stimulated with κ-CGN.

Cytokine level (pg/ml)

CytokineCellsUndifferentiated Caco-2 cellsDifferentiated Caco-2 cellsDifferentiated THP-1 cells
TNF-αControlN. D.N. D.109.0±9.4
κ-CGNN. D.N. D.330.3±29.8a
IL-6Control1.4±0.24.1±0.54.4±1.0
κ-CGN1.3±0.13.6±0.57.7±0.2
IL-1βControlN. D.N. D.109.6±11.0
κ-CGN1.4±0.2N. D.256.6±2.1a
IL-8Control109.7±18.9269.1±19.85936.4±122.9
κ-CGN145.9±14.2474.1±21.3a 14156.5±108.6a

{ label (or @symbol) needed for fn[@id='tfn1-mmr-08-06-1635'] } Statistical significance was determined by Student’s t-test.

a P<0.05, compared with the control group value. Values are presented as the mean ± SD κ-CGN, κ-carrageenan; N.D. indicates a value below the level of detection.

Secretion of inflammatory cytokines in the co-culture system

It has been demonstrated that co-culture of Caco-2 cells with THP-1 cells results in the secretion of TNF-α from THP-1 cells, which causes cellular damage to the Caco-2 monolayers (16). In the present study, substantial increases in the secretion of TNF-α and also IL-1β, IL-6 and IL-8 were detected in the medium of the Caco-2 cells. At the same time, the levels of these cytokines were also increased significantly in the underlayer medium of the THP-1 cells (Table II), indicating crosstalk between the Caco-2 and THP-1 cells via the secretion of these cytokines. Notably, in the Caco-2 cells without κ-CGN treatment, 24.11% apoptosis (including 12.41% late stage apoptosis and 11.70% early stage apoptosis) and 15.63% necrosis was observed (Fig. 6A).

Table II

Effect of κ-CGN on inflammatory cytokine secretion from the two types of cells in the co-culture system.

Table II

Effect of κ-CGN on inflammatory cytokine secretion from the two types of cells in the co-culture system.

Cytokine level (pg/ml)

CytokinesCell linesMonoculture controlCo-culture control1 μg/ml κ-CGN5 μg/ml κ-CGN10 μg/ml κ-CGN
TNF-αCaco-2N. D.1225.3±23.11480.3±30.72215.7±40.1b2775.8±17.2c
THP-1109.0±9.33400.9±43.6a4640.4±14.6b5092.7±59.8c5772.2±23.8c
IL-6Caco-24.1±0.5181.0±33.1210.1±30.2275.9±44.5 321.25±18.29b
THP-14.4±1.2404.5±41.8a423.6±36.1460.3±40.1 577.47±37.09b
IL-1βCaco-2N. D.298.5±47.0404.1±50.0496.0±57.3572.3±28.5b
THP-1109.6±11.0714.6±23.1a756.8±20.6763.9±20.1941.8±36.9b
IL-8Caco-2269.1±19.8 33462.4±59.0a35332.2±30.737842.7±40.138904.5±87.2
THP-15936.4±104.5 42763.0±106.4a43513.4±80.444133.0±70.744913.4±113.2

{ label (or @symbol) needed for fn[@id='tfn3-mmr-08-06-1635'] } Statistical significance was determined by Student’s t-test.

a P<0.01, compared with the value of the control groups with cells cultured on their own.

b P<0.05 and

c P<0.01, compared with the value of the co-culture control groups. Values are presented as the mean ± SD κ-CGN, κ-carrageenan; N.D. indicates a value below the level of detection.

When treated with κ-CGN, the secretion of these four cytokines from the two cells lines was markedly increased in a concentration-dependent manner. Specifically, κ-CGN treatment at 10 μg/ml resulted in 1.8, 1.9 and 2.3-fold higher secretion of IL-6, IL-1β and TNF-α, respectively, in the upper layer supernatants than in the co-culture control. In the underlayer supernatants, this concentration of κ-CGN resulted in 1.9, 1.3 and 1.7-fold higher levels of secretion for these three cytokines. These results suggest that κ-CGN treatment promotes the communication between Caco-2 and THP-1 cells, resulting in the augmented secretion of cytokines. The PMA-stimulated THP-1 cells alone generated high levels of IL-8; thus, no significant changes were observed in IL-8 secretion levels following κ-CGN treatment (Table II).

Effects of anti-TNFR1 antibody against the κ-CGN-induced cellular damage of Caco-2 monolayers

κ-CGN treatment at 10 μg/ml induced ~6,000 pg/ml of TNF-α secretion from the THP-1 cells in the co-culture system (Table II). Therefore, the Caco-2 monolayers in the co-culture system were incubated with 6,000 pg/ml TNF-α without κ-CGN treatment to explore the role of TNF-α in κ-CGN-induced apoptosis (Fig. 7). As shown in Fig. 7B, the exposure of Caco-2 monolayers to TNF-α significantly increased the percentage of cells undergoing the early and late stages of apoptosis (P<0.01), in a similar manner to the κ-CGN treatment at 10 μg/ml. The TNFR1s were then blocked using an anti-TNFR1 antibody to confirm the role of TNF-α, as TNFR1s are the primary type of receptor mediating the TNF-α-induced signaling pathways (17). As shown in Fig. 7C–F, the anti-TNFR1 antibody neutralized the THP-1-induced apoptosis and necrosis of Caco-2 cells (P<0.01). The proportion of apoptotic cells was reduced by ~57% in the 10 μg/ml κ-CGN-treated group compared with the group of 10 μg/ml κ-CGN treated alone shown in Fig. 6D. This result strengthened the theory that TNF-α secreted by the THP-1 cells was the major factor that caused the damage associated with κ-CGN treatment.

Figure 7

Role of TNF-α in the κ-CGN-induced apoptosis and necrosis of Caco-2 monolayers. The upper medium of the co-culture system was treated with (A) vehicle or (B) 6,000 pg/ml TNF-α, or pretreated with 10 μg/ml anti-TNFR 1 antibody for 2 h, prior to (C) the vehicle, (D) 1 μg/ml, (E) 5 μg/ml or (F) 10 μg/ml κ-CGN being applied for 24 h. The percentage of cells undergoing apoptosis and/or necrosis was determined by an Annexin V-FITC/PI binding assay. Statistical significance was determined by one-way ANOVA followed by Duncan’s multiple comparison test. Differences in the number of apoptotic cells (including early stage and late stage) between (A) and (B) are statistically significant with P<0.01. Differences of apoptotic cells (including early stage and late stage) between (B) and (C–F) are statistically significant with P<0.01. κ-CGN, κ-carrageenan; TNFR 1, TNF receptor 1; ANOVA, analysis of variance.

Effects of anti-TNFR1 antibody on the secretion of κ-CGN-induced inflammatory cytokines

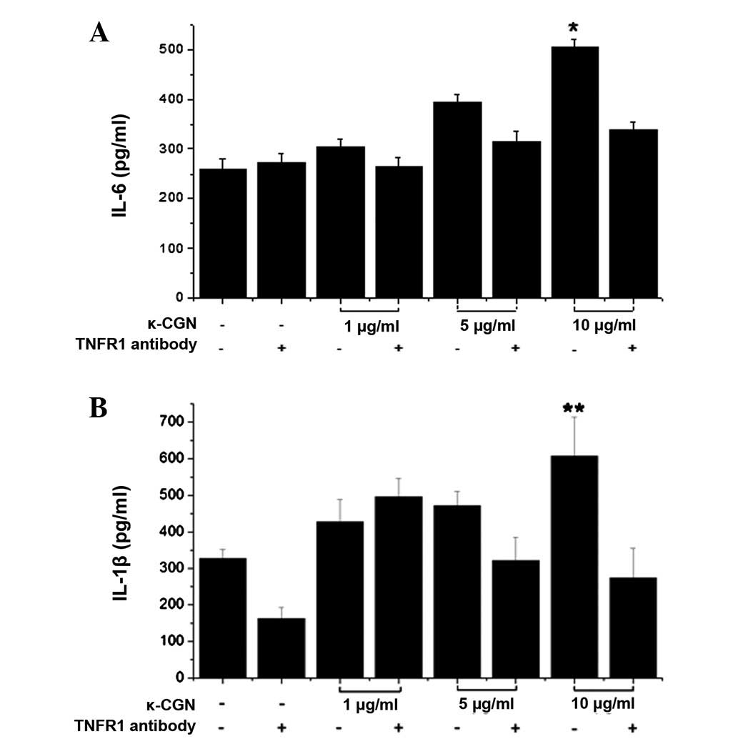
To evaluate the capability of TNF-α to act as a messenger in regulating the response of other inflammatory cytokines induced by κ-CGN in the co-culture system, TNFR1s on the Caco-2 cells were blocked and the production of IL-6 and IL-1β was examined. The production of IL-6 was partially attenuated by the addition of the anti-TNFR1 antibody (Fig. 8A). This was particularly evident in the group treated with 10 μg/ml κ-CGN, where the anti-TNFR1 antibody significantly suppressed IL-6 production (P<0.05) by 33.0%. The anti-TNFR1 antibody demonstrated clear effects on IL-1β secretion (P<0.01). In the cells treated with 5 and 10 μg/ml κ-CGN, increases in IL-1β production were partially blocked by the anti-TNFR1 antibody (Fig. 8B).

Figure 8

Effects of anti-TNFR1 antibody on the κ-CGN-induced secretion of inflammatory cytokines. The upper medium of the co-culture system was treated with different concentrations of κ-CGN for 24 h, or pre-treated with 10 μg/ml anti-TNFR 1 antibody for 2 h prior to κ-CGN being applied. The secretion of (A) IL-6 and (B) IL-1β from the upper medium was determined by an ELISA assay. Statistical differences between anti-TNFR 1 antibody pretreated groups and unpretreated groups were analyzed by Student’s t-test. *P<0.05 and **P<0.01. Each value is presented as the mean ± SD (n=3). κ-CGN, κ-carrageenan; TNFR 1, TNF receptor 1.

Discussion

The safety of using CGN as food additive has attracted a notable amount of attention. Using human colonic epithelial cell lines, Tobacman et al investigated the effects of CGN and reported the unexpected activation of innate immune responses through canonical and non-canonical NF-κB pathways (18–22). However, abnormalities in colonic epithelial cells are only part of the complex developmental process of IBDs. It has also been demonstrated that intestinal epithelial cells interact with and are regulated by the immune cells beneath the intestinal epithelial monolayer via soluble factors (16). In IBD patients, intestinal epithelial cells and macrophages secrete large amounts of chemokines and pro-inflammatory cytokines (23). The molecular mechanisms beneath this, however, have not been clearly addressed. Previous studies have developed an artificial co-culture system to assess the interaction between intestinal epithelial cells and immune cells, in which intestinal epithelial cells are placed on the apical side and macrophage cells on the basolateral side in transwells (16,23). In the present study, this in vitro model consisting of Caco-2 cells and PMA-activated macrophage-like THP-1 cells was used to investigate the effects of κ-CGN on gut inflammation.

CGNs have been demonstrated to induce the production of IL-8 (18), but the immune response was observed to be significantly weaker than the effects of lipopolysaccharide (LPS) on intestinal epithelial cells (24). Even studies using animal models have not clearly demonstrated whether CGNs harm the gastrointestinal tract or immune system. In the present study, it was hypothesized that carrageenans are potential conditional inflammatory agents. When the intestinal tract is ‘unhealthy’, CGNs may induce signal communication between immune and epithelial cells, resulting in damage to the intestinal tract. Using the co-culture system, the disruption of Caco-2 cell monolayers was observed, along with the increased secretion of TNF-α, which is consistent with a previous study (16). Furthermore, treatment with anti-TNFR1 antibody blocked the increase in secretion of IL-6 and IL-1β and partially attenuated the damage to the Caco-2 monolayers, demonstrating that TNF-α is the initial factor responsible for this damage. These results also indicated that the co-culture system employed in the present study was suitable for the assessment of the effects of κ-CGN on the intestinal tract.

TNF-α is a special pleiotropic cytokine that mediates inflammation and cell death, including apoptosis and necrosis (25,26). In the present study, increased secretion of TNF-α was observed following κ-CGN treatment in the co-culture system, which is consistent with the increased apoptosis. This result is also consistent with the study by Ogata et al(27), which demonstrated that carrageenan induces TNF-α secretion in leukocytes. Notably, in the present study the levels of necrosis were reduced by κ-CGN treatment. Furthermore, the anti-TNFR1 antibody effectively neutralized κ-CGN-induced apoptosis, confirming the critical role of TNF-α in this process. This is contradictory to a previous study which demonstrated that exposure to CGN induced TNF-α-stimulated inflammation but not apoptosis (22). This discrepancy may be explained by the differences in the cell lines and the carrageenan used in these two studies. However, in the previous study it was demonstrated that combined exposure to a CGN and TNF-α led to increased activation of the non-canonical pathway of NF-κB activation, and eventually to marked increases in IL-8 secretion (22). This is similar to the result observed in the present study, with the exception that the TNF-α used in the previous study was artificially added to the cell medium. In the co-culture system of the present study, TNF-α production from THP-1 cells was stimulated by κ-CGN, which then acted on the Caco-2 monolayers to increase the production of IL-8.

Significantly magnified secretion levels of inflammatory cytokines by κ-CGN were observed in the co-culture system used in the present study, which may induce an excessive inflammatory response (28). The significantly increased secretion of TNF-α may also modulate the production of IL-1β and IL-6 from immune cells to activate the inflammatory reaction or to regulate immune responsiveness. When the binding of TNF-α to its receptor was blocked, the production of IL-6 and IL-1β from the Caco-2 monolayers was attenuated.

In conclusion, in the present study an in vitro co-culture system utilizing Caco-2 cells and PMA-stimulated THP-1 cells was designed, and κ-CGN was demonstrated to promote the interactions between human colonic epithelial cells and immune cells through soluble factors, particularly TNF-α. κ-CGN substantially induced the secretion of TNF-α from macrophage-like THP-1 cells, leading to a cascade of increased chemokines and pro-inflammatory cytokine production that caused the disruption of the Caco-2 monolayers, implying that κ-CGN as a food additive may be a safety concern.

Acknowledgements

This study was supported by grants from the National Science Foundation of Ningbo and Zhejiang (grant no. 2010A610028 and Y5100066), the Ningbo Marine Algae Biotechnology Team (grant no. 2011B81007), the K.C. Wong Magna Fund in Ningbo University and the Changjiang Scholars program.

Abbreviations:

CGN

carrageenan

IBDs

inflammatory bowel diseases

PMA

phorbol myristrate acetate

TER

transepithelial electrical resistance

References

1 

Cohen SM and Ito N: A critical review of the toxicological effects of carrageenan and processed eucheuma seaweed on the gastrointestinal tract. Crit Rev Toxicol. 32:413–444. 2002. View Article : Google Scholar : PubMed/NCBI

2 

Nicklin S and Miller K: Intestinal uptake and immunological effects of carrageenan - current concepts. Food Addit Contam. 6:425–436. 1989. View Article : Google Scholar : PubMed/NCBI

3 

Tobacman JK: Review of harmful gastrointestinal effects of carrageenan in animal experiments. Environ Health Perspect. 109:983–994. 2001. View Article : Google Scholar : PubMed/NCBI

4 

Grieg JB: Carrageenan (addendum). Safety evaluation of certain food additives. (WHO Food Additives Series 42, no. 934). World Health Organization; Geneva: 1999

5 

Joint FAO/WHO Expert Committee on Food Additives (JECFA). Evaluation of certain food additives. (WHO Technical Report Series 891). World Health Organization; Geneva: 2000

6 

JECFA. Evaluation of certain food additives specifications. Addendum 9. Joint FAO/WHO expert committee on food additives. (WHO Technical Report series. No. 891). 2001

7 

Scientific Committee on Food (SCF). Opinion of the scientific committee on food on carrageenan. European Commission; Brussels: 2003

8 

Benford DJ, Harrison RA, Strobel S, Schlatter J and Verger P: Carrageenan and processed Eucheuma seaweed (addendum). Safety evaluation of certain food additives and contaminants. (WHO Food Additives Series 59). World Health Organization; Geneva: pp. 65–86. 2008

9 

Watson DB: Public health and carrageenan regulation: a review and analysis. J Appl Phycol. 20:505–513. 2007. View Article : Google Scholar

10 

Weiner ML, Nuber D, Blakemore WR, Harriman JF and Cohen SM: A 90-day dietary study on kappa carrageenan with emphasis on the gastrointestinal tract. Food Chem Toxicol. 45:98–106. 2007. View Article : Google Scholar : PubMed/NCBI

11 

Simpson S, Ash C, Pennisi E and Travis J: The gut: inside out. Science. 307:18952005. View Article : Google Scholar

12 

Cheroutre H: IELs: enforcing law and order in the court of the intestinal epithelium. Immunol Rev. 206:114–131. 2005. View Article : Google Scholar : PubMed/NCBI

13 

Rodriguez P, Heyman M, Candalh C, Blaton MA and Bouchaud C: Tumour necrosis factor-alpha induces morphological and functional alterations of intestinal HT29 cl.19A cell monolayers. Cytokine. 7:441–448. 1995. View Article : Google Scholar : PubMed/NCBI

14 

Shanahan F: Inflammatory bowel disease: immunodiagnostics, immunotherapeutics, and ecotherapeutics. Gastroenterology. 120:622–635. 2001. View Article : Google Scholar : PubMed/NCBI

15 

Mosmann T: Rapid colorimetric assay for cellular growth and survival: application to proliferation and cytotoxicity assays. J Immunol Methods. 65:55–63. 1983. View Article : Google Scholar : PubMed/NCBI

16 

Satsu H, Ishimoto Y, Nakano T, Mochizuki T, Iwanaga T and Shimizu M: Induction by activated macrophage-like THP-1 cells of apoptotic and necrotic cell death in intestinal epithelial Caco-2 monolayers via tumor necrosis factor-alpha. Exp Cell Res. 312:3909–3919. 2006. View Article : Google Scholar : PubMed/NCBI

17 

Pimentel-Muiños FX and Seed B: Regulated commitment of TNF receptor signaling: a molecular switch for death or activation. Immunity. 11:783–793. 1999.PubMed/NCBI

18 

Borthakur A, Bhattacharyya S, Dudeja PK and Tobacman JK: Carrageenan induces interleukin-8 production through distinct Bcl10 pathway in normal human colonic epithelial cells. Am J Physiol Gastrointest Liver Physiol. 292:G829–G838. 2007. View Article : Google Scholar : PubMed/NCBI

19 

Bhattacharyya S, Borthakur A, Dudeja PK and Tobacman JK: Carrageenan induces cell cycle arrest in human intestinal epithelial cells in vitro. J Nutr. 138:469–475. 2008.PubMed/NCBI

20 

Bhattacharyya S, Dudeja PK and Tobacman JK: Carrageenan-induced NFkappaB activation depends on distinct pathways mediated by reactive oxygen species and Hsp27 or by Bcl10. Biochim Biophys Acta. 1780:973–982. 2008. View Article : Google Scholar

21 

Bhattacharyya S, Gill R, Chen M, Zhang F, Linhardt RJ, Dudeja PK and Tobacman JK: Toll-like receptor 4 mediates induction of the Bcl10-NFkappaB-interleukin-8 inflammatory pathway by carrageenan in human intestinal epithelial cells. J Biol Chem. 283:10550–10558. 2008. View Article : Google Scholar : PubMed/NCBI

22 

Bhattacharyya S, Dudeja PK and Tobacman JK: Tumor necrosis factor alpha-induced inflammation is increased but apoptosis is inhibited by common food additive carrageenan. J Biol Chem. 285:39511–39522. 2010. View Article : Google Scholar : PubMed/NCBI

23 

Tanoue T, Nishitani Y, Kanazawa K, Hashimoto T and Mizuno M: In vitro model to estimate gut inflammation using co-cultured Caco-2 and RAW264.7 cells. Biochem Biophys Res Commun. 374:565–569. 2008. View Article : Google Scholar : PubMed/NCBI

24 

Bhattacharyya S, Borthakur A, Pant N, Dudeja PK and Tobacman JK: Bcl10 mediates LPS-induced activation of NF-kappaB and IL-8 in human intestinal epithelial cells. Am J Physiol Gastrointest Liver Physiol. 293:G429–G437. 2007. View Article : Google Scholar : PubMed/NCBI

25 

Schwabe RF and Brenner DA: Mechanisms of liver injury. I. TNF-alpha-induced liver injury: role of IKK, JNK, and ROS pathways. Am J Physiol Gastrointest Liver Physiol. 290:G583–G589. 2006. View Article : Google Scholar : PubMed/NCBI

26 

Gaur U and Aggarwal BB: Regulation of proliferation, survival and apoptosis by members of the TNF superfamily. Biochem Pharmacol. 66:1403–1408. 2003. View Article : Google Scholar : PubMed/NCBI

27 

Ogata M, Matsui T, Kita T and Shigematsu A: Carrageenan primes leukocytes to enhance lipopolysaccharide-induced tumor necrosis factor alpha production. Infect Immun. 67:3284–3289. 1999.

28 

Fraczek M, Sanocka D, Kamieniczna M and Kurpisz M: Proinflammatory cytokines as an intermediate factor enhancing lipid sperm membrane peroxidation in in vitro conditions. J Androl. 29:85–92. 2008. View Article : Google Scholar : PubMed/NCBI

Related Articles

  • Abstract
  • View
  • Download
  • Twitter
Copy and paste a formatted citation
Spandidos Publications style
Jiang H, Wang F, Chen HM and Yan XJ: κ-carrageenan induces the disruption of intestinal epithelial Caco-2 monolayers by promoting the interaction between intestinal epithelial cells and immune cells. Mol Med Rep 8: 1635-1642, 2013.
APA
Jiang, H., Wang, F., Chen, H., & Yan, X. (2013). κ-carrageenan induces the disruption of intestinal epithelial Caco-2 monolayers by promoting the interaction between intestinal epithelial cells and immune cells. Molecular Medicine Reports, 8, 1635-1642. https://doi.org/10.3892/mmr.2013.1726
MLA
Jiang, H., Wang, F., Chen, H., Yan, X."κ-carrageenan induces the disruption of intestinal epithelial Caco-2 monolayers by promoting the interaction between intestinal epithelial cells and immune cells". Molecular Medicine Reports 8.6 (2013): 1635-1642.
Chicago
Jiang, H., Wang, F., Chen, H., Yan, X."κ-carrageenan induces the disruption of intestinal epithelial Caco-2 monolayers by promoting the interaction between intestinal epithelial cells and immune cells". Molecular Medicine Reports 8, no. 6 (2013): 1635-1642. https://doi.org/10.3892/mmr.2013.1726
Copy and paste a formatted citation
x
Spandidos Publications style
Jiang H, Wang F, Chen HM and Yan XJ: κ-carrageenan induces the disruption of intestinal epithelial Caco-2 monolayers by promoting the interaction between intestinal epithelial cells and immune cells. Mol Med Rep 8: 1635-1642, 2013.
APA
Jiang, H., Wang, F., Chen, H., & Yan, X. (2013). κ-carrageenan induces the disruption of intestinal epithelial Caco-2 monolayers by promoting the interaction between intestinal epithelial cells and immune cells. Molecular Medicine Reports, 8, 1635-1642. https://doi.org/10.3892/mmr.2013.1726
MLA
Jiang, H., Wang, F., Chen, H., Yan, X."κ-carrageenan induces the disruption of intestinal epithelial Caco-2 monolayers by promoting the interaction between intestinal epithelial cells and immune cells". Molecular Medicine Reports 8.6 (2013): 1635-1642.
Chicago
Jiang, H., Wang, F., Chen, H., Yan, X."κ-carrageenan induces the disruption of intestinal epithelial Caco-2 monolayers by promoting the interaction between intestinal epithelial cells and immune cells". Molecular Medicine Reports 8, no. 6 (2013): 1635-1642. https://doi.org/10.3892/mmr.2013.1726
Follow us
  • Twitter
  • LinkedIn
  • Facebook
About
  • Spandidos Publications
  • Careers
  • Cookie Policy
  • Privacy Policy
How can we help?
  • Help
  • Live Chat
  • Contact
  • Email to our Support Team