Spandidos Publications Logo
  • About
    • About Spandidos
    • Aims and Scopes
    • Abstracting and Indexing
    • Editorial Policies
    • Reprints and Permissions
    • Job Opportunities
    • Terms and Conditions
    • Contact
  • Journals
    • All Journals
    • Oncology Letters
      • Oncology Letters
      • Information for Authors
      • Editorial Policies
      • Editorial Board
      • Aims and Scope
      • Abstracting and Indexing
      • Bibliographic Information
      • Archive
    • International Journal of Oncology
      • International Journal of Oncology
      • Information for Authors
      • Editorial Policies
      • Editorial Board
      • Aims and Scope
      • Abstracting and Indexing
      • Bibliographic Information
      • Archive
    • Molecular and Clinical Oncology
      • Molecular and Clinical Oncology
      • Information for Authors
      • Editorial Policies
      • Editorial Board
      • Aims and Scope
      • Abstracting and Indexing
      • Bibliographic Information
      • Archive
    • Experimental and Therapeutic Medicine
      • Experimental and Therapeutic Medicine
      • Information for Authors
      • Editorial Policies
      • Editorial Board
      • Aims and Scope
      • Abstracting and Indexing
      • Bibliographic Information
      • Archive
    • International Journal of Molecular Medicine
      • International Journal of Molecular Medicine
      • Information for Authors
      • Editorial Policies
      • Editorial Board
      • Aims and Scope
      • Abstracting and Indexing
      • Bibliographic Information
      • Archive
    • Biomedical Reports
      • Biomedical Reports
      • Information for Authors
      • Editorial Policies
      • Editorial Board
      • Aims and Scope
      • Abstracting and Indexing
      • Bibliographic Information
      • Archive
    • Oncology Reports
      • Oncology Reports
      • Information for Authors
      • Editorial Policies
      • Editorial Board
      • Aims and Scope
      • Abstracting and Indexing
      • Bibliographic Information
      • Archive
    • Molecular Medicine Reports
      • Molecular Medicine Reports
      • Information for Authors
      • Editorial Policies
      • Editorial Board
      • Aims and Scope
      • Abstracting and Indexing
      • Bibliographic Information
      • Archive
    • World Academy of Sciences Journal
      • World Academy of Sciences Journal
      • Information for Authors
      • Editorial Policies
      • Editorial Board
      • Aims and Scope
      • Abstracting and Indexing
      • Bibliographic Information
      • Archive
    • International Journal of Functional Nutrition
      • International Journal of Functional Nutrition
      • Information for Authors
      • Editorial Policies
      • Editorial Board
      • Aims and Scope
      • Abstracting and Indexing
      • Bibliographic Information
      • Archive
    • International Journal of Epigenetics
      • International Journal of Epigenetics
      • Information for Authors
      • Editorial Policies
      • Editorial Board
      • Aims and Scope
      • Abstracting and Indexing
      • Bibliographic Information
      • Archive
    • Medicine International
      • Medicine International
      • Information for Authors
      • Editorial Policies
      • Editorial Board
      • Aims and Scope
      • Abstracting and Indexing
      • Bibliographic Information
      • Archive
  • Articles
  • Information
    • Information for Authors
    • Information for Reviewers
    • Information for Librarians
    • Information for Advertisers
    • Conferences
  • Language Editing
Spandidos Publications Logo
  • About
    • About Spandidos
    • Aims and Scopes
    • Abstracting and Indexing
    • Editorial Policies
    • Reprints and Permissions
    • Job Opportunities
    • Terms and Conditions
    • Contact
  • Journals
    • All Journals
    • Biomedical Reports
      • Information for Authors
      • Editorial Policies
      • Editorial Board
      • Aims and Scope
      • Abstracting and Indexing
      • Bibliographic Information
      • Archive
    • Experimental and Therapeutic Medicine
      • Information for Authors
      • Editorial Policies
      • Editorial Board
      • Aims and Scope
      • Abstracting and Indexing
      • Bibliographic Information
      • Archive
    • International Journal of Epigenetics
      • Information for Authors
      • Editorial Policies
      • Editorial Board
      • Aims and Scope
      • Abstracting and Indexing
      • Bibliographic Information
      • Archive
    • International Journal of Functional Nutrition
      • Information for Authors
      • Editorial Policies
      • Editorial Board
      • Aims and Scope
      • Abstracting and Indexing
      • Bibliographic Information
      • Archive
    • International Journal of Molecular Medicine
      • Information for Authors
      • Editorial Policies
      • Editorial Board
      • Aims and Scope
      • Abstracting and Indexing
      • Bibliographic Information
      • Archive
    • International Journal of Oncology
      • Information for Authors
      • Editorial Policies
      • Editorial Board
      • Aims and Scope
      • Abstracting and Indexing
      • Bibliographic Information
      • Archive
    • Medicine International
      • Information for Authors
      • Editorial Policies
      • Editorial Board
      • Aims and Scope
      • Abstracting and Indexing
      • Bibliographic Information
      • Archive
    • Molecular and Clinical Oncology
      • Information for Authors
      • Editorial Policies
      • Editorial Board
      • Aims and Scope
      • Abstracting and Indexing
      • Bibliographic Information
      • Archive
    • Molecular Medicine Reports
      • Information for Authors
      • Editorial Policies
      • Editorial Board
      • Aims and Scope
      • Abstracting and Indexing
      • Bibliographic Information
      • Archive
    • Oncology Letters
      • Information for Authors
      • Editorial Policies
      • Editorial Board
      • Aims and Scope
      • Abstracting and Indexing
      • Bibliographic Information
      • Archive
    • Oncology Reports
      • Information for Authors
      • Editorial Policies
      • Editorial Board
      • Aims and Scope
      • Abstracting and Indexing
      • Bibliographic Information
      • Archive
    • World Academy of Sciences Journal
      • Information for Authors
      • Editorial Policies
      • Editorial Board
      • Aims and Scope
      • Abstracting and Indexing
      • Bibliographic Information
      • Archive
  • Articles
  • Information
    • For Authors
    • For Reviewers
    • For Librarians
    • For Advertisers
    • Conferences
  • Language Editing
Login Register Submit
  • This site uses cookies
  • You can change your cookie settings at any time by following the instructions in our Cookie Policy. To find out more, you may read our Privacy Policy.

    I agree
Search articles by DOI, keyword, author or affiliation
Search
Advanced Search
presentation
Molecular Medicine Reports
Join Editorial Board Propose a Special Issue
Print ISSN: 1791-2997 Online ISSN: 1791-3004
Journal Cover
May-2014 Volume 9 Issue 5

Full Size Image

Sign up for eToc alerts
Recommend to Library

Journals

International Journal of Molecular Medicine

International Journal of Molecular Medicine

International Journal of Molecular Medicine is an international journal devoted to molecular mechanisms of human disease.

International Journal of Oncology

International Journal of Oncology

International Journal of Oncology is an international journal devoted to oncology research and cancer treatment.

Molecular Medicine Reports

Molecular Medicine Reports

Covers molecular medicine topics such as pharmacology, pathology, genetics, neuroscience, infectious diseases, molecular cardiology, and molecular surgery.

Oncology Reports

Oncology Reports

Oncology Reports is an international journal devoted to fundamental and applied research in Oncology.

Experimental and Therapeutic Medicine

Experimental and Therapeutic Medicine

Experimental and Therapeutic Medicine is an international journal devoted to laboratory and clinical medicine.

Oncology Letters

Oncology Letters

Oncology Letters is an international journal devoted to Experimental and Clinical Oncology.

Biomedical Reports

Biomedical Reports

Explores a wide range of biological and medical fields, including pharmacology, genetics, microbiology, neuroscience, and molecular cardiology.

Molecular and Clinical Oncology

Molecular and Clinical Oncology

International journal addressing all aspects of oncology research, from tumorigenesis and oncogenes to chemotherapy and metastasis.

World Academy of Sciences Journal

World Academy of Sciences Journal

Multidisciplinary open-access journal spanning biochemistry, genetics, neuroscience, environmental health, and synthetic biology.

International Journal of Functional Nutrition

International Journal of Functional Nutrition

Open-access journal combining biochemistry, pharmacology, immunology, and genetics to advance health through functional nutrition.

International Journal of Epigenetics

International Journal of Epigenetics

Publishes open-access research on using epigenetics to advance understanding and treatment of human disease.

Medicine International

Medicine International

An International Open Access Journal Devoted to General Medicine.

Journal Cover
May-2014 Volume 9 Issue 5

Full Size Image

Sign up for eToc alerts
Recommend to Library

  • Article
  • Citations
    • Cite This Article
    • Download Citation
    • Create Citation Alert
    • Remove Citation Alert
    • Cited By
  • Similar Articles
    • Related Articles (in Spandidos Publications)
    • Similar Articles (Google Scholar)
    • Similar Articles (PubMed)
  • Download PDF
  • Download XML
  • View XML
Article

Hesperetin attenuates mitochondria-dependent apoptosis in lipopolysaccharide-induced H9C2 cardiomyocytes

  • Authors:
    • Zheng Yang
    • Yuan Liu
    • Wei Deng
    • Jia Dai
    • Fangfang Li
    • Yuan Yuan
    • Qingqing Wu
    • Heng Zhou
    • Zhouyan Bian
    • Qizhu Tang
  • View Affiliations / Copyright

    Affiliations: Department of Cardiology, Renmin Hospital of Wuhan University, Wuhan, Hubei 430060, P.R. China
  • Pages: 1941-1946
    |
    Published online on: March 4, 2014
       https://doi.org/10.3892/mmr.2014.2002
  • Expand metrics +
Metrics: Total Views: 0 (Spandidos Publications: | PMC Statistics: )
Metrics: Total PDF Downloads: 0 (Spandidos Publications: | PMC Statistics: )
Cited By (CrossRef): 0 citations Loading Articles...

This article is mentioned in:



Abstract

Apoptosis is closely associated with the occurrence and development of cardiovascular diseases and is considered as one of the crucial pathological processes of cardiomyopathy, sepsis, ischemia/reperfusion injury, myocardial infarction and heart failure. Hesperetin (HES), a flavanone glycoside found in citrus fruit peels, has been known to exhibit several key biological and pharmacological properties. Previous studies have demonstrated the anti-inflammatory, anti-oxidant and anti-tumor functions of HES. However, with regards to the pro- or anti-apoptotic functions of HES, there are several disagreements within the literature. To examine whether HES has protective effects in cardiac apoptosis, the present study examined the role of HES in lipopolysaccharide (LPS)-stimulated H9C2 cardiomyocytes, aiming to clarify the possible mechanisms underlying its effects. In the present study, HES reduced the percentage of viable apoptotic (VA) cells in a flow cytometry analysis. It had an anti-apoptosis function in LPS-stimulated H9C2 cells. To clarify whether HES alleviated LPS-stimulated apoptosis through the mitochondria-dependent intrinsic apoptotic pathway, certain indicators of this pathway were detected, including members of the caspase family. The data revealed that HES attenuated the activation of capase-3 and caspase-9. These results indicated HES has a mitochondria-dependent anti-apoptosis effect in LPS-stimulated H9C2 cells. To explore the possible mechanisms, the protein expression levels of certain markers in the possible signaling pathway were detected, including JNK and Bcl-2 family. As a result, HES downregulated the protein expression of Bax, upregulated the expression of Bcl-2 and attenuated the phosphorylation level of JNK. Therefore, the anti-apoptosis effects of HES were possibly mediated by the JNK/Bax signaling pathway. In conclusion, HES has a mitochondria-dependent anti-apoptosis effect in LPS-induced H9C2 cells via the JNK/Bax signaling pathway.

Introduction

Cardiomyopathy is a major focus of studies investigating cardiovascular diseases (1–3). Accumulating evidence suggests that the apoptotic and inflammatory responses of cardiomyocytes are the crucial processes of cardiomyopathy. Inflammation and apoptosis of cardiomyocytes is a key feature of a variety of pathological conditions in various cardiovascular diseases, including sepsis, ischemia/reperfusion injury, myocardial infarction and end-stage heart failure (3–6). The traditional therapies preventing inflammatory responses and apoptosis of cardiomyocytes remain ineffective, so studies have focused on novel strategies (7–11).

Hesperetin (HES), a flavanone glycoside, has been found in citrus fruit peels. Previous studies have demonstrated that HES has significant anti-inflammatory, anti-oxidant and anti-tumor effects (12–14). However, there are several divergences in the literature, with regards to the effect of HES on apoptosis. A number of studies revealed that HES rescues cells from apoptosis (15), while others described its pro-apoptotic effects (16,17). Whether HES may prevent apoptosis in cardiomyocytes, particularly following an inflammatory response, remains unclear.

Lipopolysaccharide (LPS), known as bacterial endotoxin, is a constituent of the bacterial cell wall which is able to induce inflammatory responses. Numerous studies indicate that LPS contributes to inflammation and apoptosis (18–20), and can induce inflammation and apoptosis in cardiomyocytes (18,19).

In the present study, LPS was utilized to induce apoptosis in the H9C2 cardiomyocytes, in an attempt to clarify whether HES has protective effects on LPS-induced H9C2 cell apoptosis, and to identify the possible mechanisms underlying these effects.

Materials and methods

Chemicals and reagents

HES was purchased from Sigma (St. Louis, MO, USA) and dissolved in DMSO. LPS was also obtained from Sigma. The Dulbecco’s Modified Eagle Medium (DMEM)/F12 1:1 medium, 10% fetal bovine serum, penicillin (100 U/ml) and streptomycin (100 mg/ml) were obtained from Gibco Life Technologies (Carlsbad, CA, USA). The cell counting kit-8 (CCK-8) was from Dojindo (Kumamoto, Japan). The BCA protein assay kit was purchased from Thermo Fisher Scientific (Waltham, MA, USA). The primary antibodies were obtained from Cell Signaling Technology, Inc. (Danvers, MA, USA) and the secondary antibodies were from LI-COR Biosciences (Lincoln, NE, USA). Caspase 3 Activity kit was acquired from Beyotime Institute of Biotechnology (Shanghai, China) and Caspase-9 Colorimetric Assay kit was from Nanjing KeyGen Biotech. Co. Ltd (Nanjing, China).

Cell culture and treatment

The rat cardiomyocyte-derived cell line H9C2 was purchased from the Cell Bank of the Chinese Academy of Sciences (Shanghai, China). H9C2 cells were cultured in DMEM/F12 medium containing 10% fetal bovine serum, penicillin (100 U/ml) and streptomycin (100 mg/ml), and maintained at 37°C in a humidified incubator (SANYO 18M) with 5% CO2. Cells were split 1 to 3 at 70–80% confluence. Cells were cultured with serum-free DMEM for 24 h prior to stimulation and then were seeded at a density of 1×106/well onto six-well culture plates for mRNA extraction and 1×107/well onto 100 mm culture dishes for protein extraction.

Cell cytotoxicity test

The cell viability was determined by the CCK-8 assay. Following stimulation with different concentrations of HES for 12 h, 10 μl of CCK-8 solution was added to each well of the 96-well plates. Following a 4 h incubation, the absorbance of every well was measured at 450 nm using a microplate reader (Synergy HT; BioTek Instruments, Inc., Winooski, VT, USA). The cell viability in the control medium without any treatment was represented as 100% and the cell viability percentage of each well was calculated.

Flow cytometry analysis of early apoptotic cells

To detect the viable apoptotic (VA) cells, the Annexin V Apoptosis kit was used. The H9C2 cells were stimulated by different concentrations of HES (0, 6.25, 12.5, 25 μM) together with LPS (10 μg/ml) for 12 h. Then, the cells were collected and resuspended in the binding buffer. Following the addition of Annexin V and PI, the cells were assayed by the Fluorescence Activated Cell Sorter (FACSCalibur Flow Cytometer; BD Biosciences (San Jose, CA, USA).

Caspase-3 and caspase-9 activity assay

The activity of caspase-3 was measured by the Caspase 3 Activity kit and caspase-9 by the Caspase-9 Colorimetric Assay kit. To detect the activity of caspase-3, the sample and Ac-DEVD-pNA (2 mM) were added into the buffer solution. Following an 2 h incubation in 37°C, the optical density (OD) was detected at 405 nm and the caspase-3 activity of the sample was calculated. In examining the caspase-9 activity, the sample (50 μl) and caspase-9 substrate (5 μl) were added into a 2X reaction buffer (50 μl). Following 4 h incubation in 37°C, the A405 OD was detected and the caspase-9 activity of sample was calculated.

Western blot analysis

The H9C2 cells were incubated in 10 μg/ml LPS for 0, 0.5, 1 and 2 h in the absence or presence of HES and were lysed in a RIPA lysis buffer. Then, the concentration of the protein was measured using the BCA protein assay kit in the Synergy HT instrument (BioTek Instruments, Inc.) and the concentration of the samples was calibrated. Equal amounts (15/lane) of protein samples were loaded onto 10% SDS-polyacrylamide gel electrophoresis (SDS-PAGE) and then blotted onto an Immobilon-FL membrane (Millipore, Beijing, China) using a Gel Transfer Device (Invitrogen Life Technologies, Carlsbad, CA, USA). Following this, the membranes were blocked within 5% non-fat milk dissolved in Tris-buffered saline containing 0.1% Tween-20 (TBS-T) for >2 h at room temperature. Then, the membranes were incubated separately with primary antibodies, including JNK and phospho-JNK, Bax, Bcl-2 and GAPDH antibodies (1:1000 dilution) overnight at 4°C. Following three washes in TBS-T, the membranes were incubated in the secondary antibodies, goat anti-rabbit IgG or goat anti-mouse IgG for 1 h. At last, the membranes were scanned by the Odyssey infrared imaging system (LI-COR Biosciences) to quantify the protein expression.

Statistical analysis

The data are expressed as the mean ± SEM (standard error of mean). Statistical analysis of the data was conducted by one-way analysis of variance (ANOVA) followed by Tukey post hoc test. P<0.05 were considered to indicate a statistically significant difference.

Results

Hesperetin affects cell viability in LPS-treated H9C2 cells

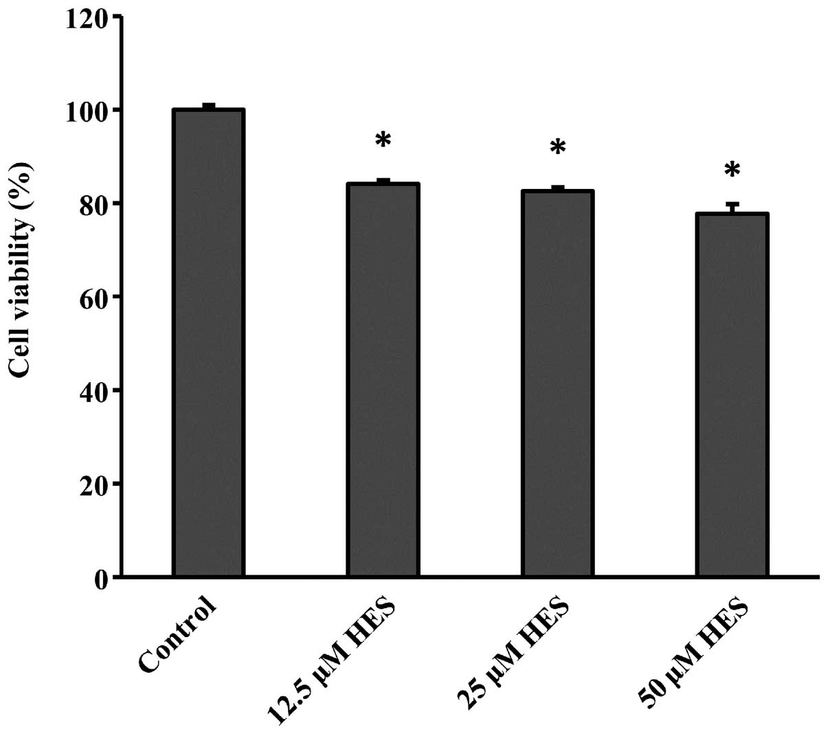
A cell cytotoxicity test was used to detect the potential cytotoxicity of HES. The cell viabilities were evaluated by an CCK-8 assay. The H9C2 cardiomyocytes were incubated in the culture medium separately with different concentrations of HES (12.5, 25, 50 μM). The cell viabilities in HES-treated cells were reduced by ~20%, as compared with the control group. HES had moderate effects on the viability of the H9C2 cells at different concentrations (Fig. 1) and it was concluded that the variable concentration of HES has a weak effect on the activity of H9C2 cells.

Figure 1

Effects of HES on cell viability. The H9C2 cells were incubated with LPS (10 μg/ml) and the specified concentrations of HES (12.5, 25, 50 μM) for 12 h. The cell viability of the LPS group and HES group is ~80% of the control group, as revealed by an CCK-8 assay. The concentration of HES had a moderate effect on the activity of H9C2 cells. *P<0.05 vs. the control group. HES, hesperetin; LPS, lipopolysaccharide; CCK-8, cell counting kit-8.

Hesperetin reduces the percentage of VA cells in LPS-treated H9C2 cells

To clarify whether HES affects apoptosis, the changes of VA cells were examined by flow cytometry analysis. Following stimulation by LPS (10 μg/ml) with different doses of HES (0, 6.25, 12.5, 25 μM), the percentages of VA cells were measured. The percentages of viable cells were increased following HES treatment, and the percentages of VA cells decreased markedly in HES-treated cells compared with the LPS group. When the dose of HES ≤25 μM, the percentage of VA cells decreased most apparently, it decreased from 57.4% in the LPS-stimulated cells to 25.8% (Fig. 2). Therefore, it was concluded that HES had an anti-apoptosis effect on LPS-stimulated H9C2 cells.

Figure 2

Effect of HES on the VA cells. Upper right, Annexin V+/PI+ (necrotic cells); lower right, Annexin V+/PI− (VA cells); lower left, Annexin V+/PI− (viable cells). The H9C2 cells were stimulated by LPS (10 μg/ml) with different doses of HES (0, 6.25, 12.5, 25 μM), the percentages of viable cells increased markedly and the percentages of VA cells were decreased sharply in HES-treated cells, as compared with the LPS group. (A) Stimulated by LPS only, the percentage of VA cells was 57.4%; (B) stimulated by LPS and 6.25 μM HES, the percentage of VA cells dropped to 47.2%; (C) when stimulated by LPS and 12.5 μM HES, the percentage of VA cells dropped to 43.7%; (D) when the dose of HES up to 25 μM, the percentage of VA cells declined to 25.8%. HES, hesperetin; VA, viable apoptotic; LPS, lipopolysaccharide.

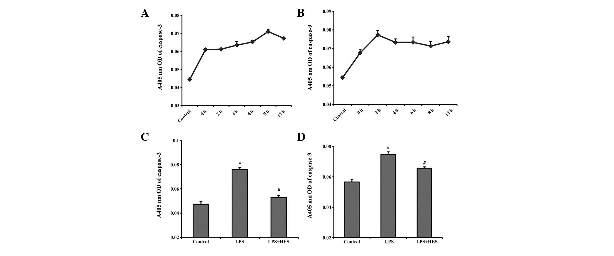
Hesperetin reduces the activities of caspase-3 and caspase-9

In order to clarify whether HES alleviated LPS-stimulated apoptosis through the mitochondria-dependent intrinsic apoptotic pathway, the activity of a number of the members of the caspase family, which have important roles in apoptosis, including caspase-3 and caspase-9, was examined. Caspase-3 is an effector in apoptosis and caspase-9 is a crucial marker of mitochondria-dependent intrinsic apoptotic pathway. To identify the optimal stimulating time, the activities of caspase-3 and -9 in LPS-induced cells at different times (0, 2, 4, 6, 8, 12 h) were assayed. Following stimulation by LPS, the activity of caspase-3 increased markedly and peaked at 8 h (Fig. 3A). Then, the cells were incubated in LPS medium with and without HES for 8 h. Following this, the activities of caspase-3 with and without HES treatment were compared. The activity reduced significantly following HES treatment (Fig. 3B). For caspase-9, the activity increased also following LPS stimulation and peaked at 2 h (Fig. 3C). The cells were cultured for 2 h, and the results indicated the activity of caspase-9 decreased markedly at 2 h in HES treated cells (Fig. 3D).

Figure 3

Effects of HES on the activities of caspase-3 and caspase-9. (A) Following stimulation by LPS, the activity of caspase-3 increased markedly and peaked at 8 h. (B) The activity of caspase-3 reduced significantly following 8 h HES treatment. (C) The activity of caspase-9 increased following LPS stimulation and peaked at 2 h. (D) The activity of caspase-9 decreased markedly at 2 h in the HES treated cells. *P<0.05 vs. the control group; #P<0.05 vs. the LPS group. HES, hesperetin; LPS, lipopolysaccharide.

Hesperetin alleviates mitochondria-controlled apoptosis via JNK/Bax pathway

To examine the possible mechanisms of the anti-apoptosis effects of HES on LPS-stimulated H9C2 cells, the protein expression of certain markers in the associated signaling pathway were detected. The phosphorylation of JNK has a crucial role in the phase of apoptosis. Bax and Bcl-2 are important indicators of the mitochondria-controlled apoptotic pathway (21). In the present study, these markers were detected using western blot analysis. The H9C2 cells were incubated in 25 μM HES for different times (0, 0.5, 1, 2 h) in the absence or presence of 10 μg/ml LPS. As a result, LPS upregulated the protein levels of phospho-JNK. Following HES treatment, the level of phospho-JNK was downregulated (Fig. 4E and F). The protein level of Bax was increased over time when stimulated by LPS only and decreased in the HES-treated groups (Fig. 4A and B). When stimulated by LPS only, the level of Bcl-2 reduced at 0.5 h (this change was not significantly different), and had no significant changes at the other time points. When HES was added the trend was opposite, in that the level of Bcl-2 increased markedly (Fig. 4C and D).

Figure 4

Effects of HES on the protein expression of JNK, Bax and Bcl-2. (A and B) The protein level of Bax was increased over time when stimulated by LPS (10 μg/ml) and it decreased markedly in the HES-treated groups. (C and D) When stimulated by LPS, the expression level of Bcl-2 reduced at 0.5 h, but at the other time points there were no significant changes. In HES-treated cells, the level of Bcl-2 increased markedly. (E and F) LPS upregulated the protein levels of phospho-JNK and HES blocked the phosphorylation of JNK. *P<0.05 vs. the control group; #P<0.05 vs. the LPS group at the same time point. HES, hesperetin; LPS, lipopolysaccharide.

Discussion

A significant finding of the present study was that HES significantly attenuated the mitochondria-controlled apoptosis in H9C2 cardiomyocytes stimulated by LPS. Furthermore, the JNK/Bax signaling pathway had an important role in these processes. These data suggested that HES effectively attenuates LPS-stimulated apoptosis in cardiomyocytes via the suppression of the JNK/Bax-dependent signaling pathway.

Inflammatory responses and apoptosis have a considerable role in the pathogenesis of multiple cardiovascular diseases, including cardiomyopathy, cardiac hypertrophy, HF, atherosclerosis, ischemia/reperfusion injury and others (6,22–24). Anti-inflammatory and anti-apoptotic agents are highly beneficial in the treatment of these pathological processes. A number of components extracted from plants have anti-inflammatory functions, including Gastrodin and Carthamus tinctorius L. (25,26). HES, a flavonoid from citrus fruits, widely used in traditional Chinese medicine, also appears to have anti-inflammatory properties. In our pre-experiment, HES markedly decreased the mRNA expression levels of IL-1β, IL-6 and TNF-α in LPS-stimulated H9C2 cells. Furthermore, a number of studies have also demonstrated that HES may decrease the expression of certain pro-inflammatory cytokines, including IL-1β, matrix metalloproteinase (MMP)-3, IL-6 and others in various different cells (27). The anti-inflammatory function of HES has been widely accepted, so the present study instead focused on defining the potential anti-apoptotic functions of HES.

Apoptosis is another mediator of the pathogenesis of cardiac dysfunction, cardiac injury, and in the pathological changes in cardiovascular disease. It has been demonstrated that anti-inflammatory and anti-apoptotic agents are notably beneficial in the treatment of these types of conditions (28,29). Though previous studies have proved a certain anti-inflammation function of HES, whether HES has an anti-apoptosis or pro-apoptosis function remains unclear. A number of studies revealed HES rescues cells from apoptosis (15). Of note these were also a number of studies that demonstrated the pro-apoptotic effects of HES (16,17). In the present study, the reduction of VA cells was assayed by flow cytometry analysis in HES-treated cells, providing evidence of the protective role of HES in LPS-stimulated apoptosis.

Next, the present study aimed to elucidate the underlying apoptotic pathways involved in the anti-apoptosis effect of HES. The mitochondria-dependent intrinsic apoptotic pathway is one of the most important cascades that stimulates programmed cell death (30). The caspase family has an important role in the process of apoptosis. In mitochondria-dependent intrinsic apoptosis, caspase-9 is activated and then further activates the downstream effector caspase-3 (31,32). In order to clarify whether HES alleviated LPS-stimulated apoptosis through the mitochondria-dependent apoptotic pathway, the activity changes of caspase-3 and caspase-9 were detected. As a result, the activity reductions of caspase-3 and caspase-9 in HES-treated cells were assayed. This indicated HES had a mitochondria-dependent anti-apoptosis effect in LPS-stimulated H9C2 cardiomyocytes.

The present study first demonstrated that HES attenuated apoptosis induced by LPS in vitro. Then, the possible mechanism underlying this were investigated. The Bcl-2 family, including a number of anti-apoptosis proteins (e.g. Bcl-2, Bcl-xl, Bcl-w) and certain pro-apoptosis proteins (e.g. Bax, Bak, Bid), are key regulators of apoptosis molecules which regulate the mitochondrial apoptotic pathway (33). In the present study, the upregulation of anti-apoptosis proteins (e.g. Bcl-2) and the down-regulation of pro-apoptosis proteins (e.g. Bax) were detected in HES-treated cells. JNK is an upstream molecule of this signaling pathway (34). The phosphorylation of JNK has a crucial role in the phase of apoptosis. In the present study, downregulation of the phosphorylation level of JNK in HES-treated H9C2 cells was detected. Furthermore, HES attenuated apoptosis in LPS-stimulated H9C2 cells via the JNK/Bax-dependent signaling pathway (Fig. 5).

Figure 5

HES attenuates mitochondria-controlled apoptosis via the JNK/Bax-dependent pathway. HES attenuates the phosphorylation level of JNK initially, then regulates the balance of Bax/Bcl-2. Through the mitochondria-dependent intrinsic apoptotic pathway, HES affects the activities of downstream caspase-9 and caspase-3, and finally reduces apoptosis. HES, hesperetin; LPS, lipopolysaccharide.

However, there are several discrepancies in the present results. Firstly, in Fig. 1, in the cell cytotoxicity test by CCK-8, HES significantly reduced the cell viability by 20%, indicating that HES may be potentially toxic to H9C2 cells. It was considered that this result may possibly be due to the dose of HES at the start of the experiment. However, a similar result was found in another HES study, that observed that when the dose of HES reached 60 μM, the cell viability decreased significantly (16). Despite this, in another study, HES did not markedly affect the growth of preadipocytes at a dose of 100 μM (17). Therefore, this possibility should be excluded. Following futher investigation of the literature, it was considered that this phenomenon may be cell-type dependent, and different cells may have different tolerances for HES. It is therefore hypothesized that at certain concentrations, HES has anti-apoptosis and pro-apoptosis effects in different cells. Another divergence in the results, in Fig. 4E and F, was that the phosphorylation level of JNK was upregulated at 0.5 h following HES-treatment. This is possibly caused by the potential toxicity of HES, or the experimental manipulations had an impact on the condition of the cells. To a certain extent, all of these concerns may be attributed to the potential pro-apoptosis effect of HES.

In conclusion, the present study provides the first evidence demonstrating that HES has protective effects on LPS-stimulated apoptosis in H9C2 cardiomyocytes. The anti-apoptosis function of HES is mediated through the mitochondria-dependent intrinsic apoptosis via JNK/Bax-dependent signaling pathway. These findings further our understanding of the pharmacological effect of HES and the pathways exerting its protective effects. HES may promote the development of novel therapeutic strategies for the treatment of inflammatory injury and apoptosis in cardiovascular diseases.

Acknowledgements

The present study was supported by the Fundamental Research Funds for the Central Universities of China (2012302020211).

References

1 

Marcus FI, Edson S and Towbin JA: Genetics of arrhythmogenic right ventricular cardiomyopathy: a practical guide for physicians. J Am Coll Cardiol. 61:1945–1948. 2013. View Article : Google Scholar : PubMed/NCBI

2 

Sanbe A: Dilated cardiomyopathy: a disease of the myocardium. Biol Pharm Bull. 36:18–22. 2013. View Article : Google Scholar : PubMed/NCBI

3 

Buerke U, Carter JM, Schlitt A, Russ M, Schmidt H, Sibelius U, Grandel U, Grimminger F, Seeger W, Mueller-Werdan U, Werdan K and Buerke M: Apoptosis contributes to septic cardiomyopathy and is improved by simvastatin therapy. Shock. 29:497–503. 2008. View Article : Google Scholar : PubMed/NCBI

4 

Lu D, Ma Y, Zhang W, Bao D, Dong W, Lian H, Huang L and Zhang L: Knockdown of cytochrome P450 2E1 inhibits oxidative stress and apoptosis in the cTnT(R141W) dilated cardiomyopathy transgenic mice. Hypertension. 60:81–89. 2012. View Article : Google Scholar : PubMed/NCBI

5 

Westermann D, Savvatis K, Lindner D, Zietsch C, Becher PM, Hammer E, Heimesaat MM, Bereswill S, Völker U, Escher F, Riad A, Plendl J, Klingel K, Poller W, Schultheiss HP and Tschöpe C: Reduced degradation of the chemokine MCP-3 by matrix metalloproteinase-2 exacerbates myocardial inflammation in experimental viral cardiomyopathy. Circulation. 124:2082–2093. 2011. View Article : Google Scholar

6 

Consoli C, Gatta L, Iellamo F, Molinari F, Rosano GM and Marlier LN: Severity of left ventricular dysfunction in heart failure patients affects the degree of serum-induced cardiomyocyte apoptosis. Importance of inflammatory response and metabolism. Int J Cardiol. 167:2859–2866. 2013. View Article : Google Scholar

7 

Loughran JH, Chugh AR, Ismail I and Bolli R: Stem cell therapy: promising treatment in heart failure? Curr Heart Fail Rep. 10:73–80. 2013. View Article : Google Scholar : PubMed/NCBI

8 

Carneiro AV: Drug therapy for chronic heart failure due to left ventricular systolic dysfunction: a scientific review. I. Introduction. Rev Port Cardiol. 27:851–856. 2008.(In Portuguese).

9 

Tang WH and Huang Y: Cardiotonic modulation in heart failure: insights from traditional Chinese medicine. J Am Coll Cardiol. 62:1073–1074. 2013. View Article : Google Scholar : PubMed/NCBI

10 

Beadle R and Williams L: Device therapy in hypertrophic cardiomyopathy. Expert Rev Cardiovasc Ther. 8:1767–1775. 2010. View Article : Google Scholar : PubMed/NCBI

11 

Del Corsso C and Campos de Carvalho AC: Cell therapy in dilated cardiomyopathy: from animal models to clinical trials. Braz J Med Biol Res. 44:388–393. 2011.PubMed/NCBI

12 

Wang J, Zhu H, Yang Z and Liu Z: Antioxidative effects of hesperetin against lead acetate-induced oxidative stress in rats. Indian J Pharmacol. 45:395–398. 2013. View Article : Google Scholar : PubMed/NCBI

13 

Deng W, Jiang D, Fang Y, Zhou H, Cheng Z, Lin Y, Zhang R, Zhang J, Pu P, Liu Y, Bian Z and Tang Q: Hesperetin protects against cardiac remodelling induced by pressure overload in mice. J Mol Histol. 44:575–585. 2013. View Article : Google Scholar : PubMed/NCBI

14 

Kumar B, Gupta SK, Srinivasan BP, Nag TC, Srivastava S and Saxena R: Hesperetin ameliorates hyperglycemia induced retinal vasculopathy via anti-angiogenic effects in experimental diabetic rats. Vascul Pharmacol. 57:201–107. 2012. View Article : Google Scholar : PubMed/NCBI

15 

Kumar B, Gupta SK, Srinivasan BP, Nag TC, Srivastava S, Saxena R and Jha KA: Hesperetin rescues retinal oxidative stress, neuroinflammation and apoptosis in diabetic rats. Microvasc Res. 87:65–74. 2013. View Article : Google Scholar : PubMed/NCBI

16 

Sambantham S, Radha M, Paramasivam A, Anandan B, Malathi R, Chandra SR and Jayaraman G: Molecular mechanism underlying hesperetin-induced apoptosis by in silico analysis and in prostate cancer PC-3 cells. Asian Pac J Cancer Prev. 14:4347–4352. 2013. View Article : Google Scholar : PubMed/NCBI

17 

Morikawa K, Nonaka M, Mochizuki H, Handa K, Hanada H and Hirota K: Naringenin and hesperetin induce growth arrest, apoptosis, and cytoplasmic fat deposit in human preadipocytes. J Agric Food Chem. 56:11030–11037. 2008. View Article : Google Scholar : PubMed/NCBI

18 

Yang S, Li R, Qu X, Tang L, Ge G, Fang W, Qiao Z, Ma J, Hou Y and Liu H: Fosinoprilat alleviates lipopolysaccharide (LPS)-induced inflammation by inhibiting TLR4/NF-κB signaling in monocytes. Cell Immunol. 284:182–186. 2013.PubMed/NCBI

19 

Guo C, Hou GQ, Li XD, Xia X, Liu DX, Huang DY and Du SX: Quercetin triggers apoptosis of lipopolysaccharide (LPS)-induced osteoclasts and inhibits bone resorption in RAW264.7 cells. Cell Physiol Biochem. 30:123–136. 2012. View Article : Google Scholar : PubMed/NCBI

20 

Niu L, Qiao W, Li G, Li Q, Huang Q, Gong J, Zhu W, Li N and Li J: Different alterations in rat intestinal glutamine transport during the progression of CLP- and LPS-induced sepsis. J Surg Res. 169:284–291. 2011. View Article : Google Scholar : PubMed/NCBI

21 

Lei L, Wang J, Zhang Z, Zhang H, Chen H and Cai D: Lipopolysaccharide-induced apoptosis in a murine intestinal endocrine cell line by modulation of Bcl-2, Bax and caspase-3. Mol Med Rep. 8:1649–1654. 2013.PubMed/NCBI

22 

Sears SF, Woodrow L, Cutitta K, Ford J, Shea JB and Cahill J: A patient’s guide to living confidently with chronic heart failure. Circulation. 127:e525–e528. 2013.

23 

Paraskevaidis I, Palios J, Parissis J, Filippatos G and Anastasiou-Nana M: Treating depression in coronary artery disease and chronic heart failure: what’s new in using selective serotonin re-uptake inhibitors? Cardiovasc Hematol Agents Med Chem. 10:109–115. 2012.

24 

Fujita T and Ishikawa Y: Apoptosis in heart failure. -The role of the β-adrenergic receptor-mediated signaling pathway and p53-mediated signaling pathway in the apoptosis of cardiomyocytes. Circ J. 75:1811–1818. 2011.

25 

Peng Z, Wang H, Zhang R, Chen Y, Xue F, Nie H, Chen Y, Wu D, Wang Y, Wang H and Tan Q: Gastrodin ameliorates anxiety-like behaviors and inhibits IL-1beta level and p38 MAPK phosphorylation of hippocampus in the rat model of posttraumatic stress disorder. Physiol Res. 62:537–545. 2013.PubMed/NCBI

26 

Yuk TH, Kang JH, Lee SR, Yuk SW, Lee KG, Song BY, Kim CH, Kim DW, Dong IK, Lee TK and Lee CH: Inhibitory effect of Carthamus tinctorius L. seed extracts on bone resorption mediated by tyrosine kinase, COX-2 (cyclooxygenase) and PG (prostaglandin) E2. Am J Chin Med. 30:95–108. 2002. View Article : Google Scholar : PubMed/NCBI

27 

Choi EM and Lee YS: Effects of hesperetin on the production of inflammatory mediators in IL-1beta treated human synovial cells. Cell Immunol. 264:1–3. 2010. View Article : Google Scholar : PubMed/NCBI

28 

Dong M, Hu N, Hua Y, Xu X, Kandadi MR, Guo R, Jiang S, Nair S, Hu D and Ren J: Chronic Akt activation attenuated lipopolysaccharide-induced cardiac dysfunction via Akt/GSK3β-dependent inhibition of apoptosis and ER stress. Biochim Biophys Acta. 1832:848–863. 2013.PubMed/NCBI

29 

Wang XL, Wang X, Xiong LL, Zhu Y, Chen HL, Chen JX, Wang XX, Li RL, Guo ZY, Li P and Jiang W: Salidroside improves doxorubicin-induced cardiac dysfunction by suppression of excessive oxidative stress and cardiomyocyte apoptosis: doxorubicin cardiotoxicity inhibited by salidroside. J Cardiovasc Pharmacol. 62:512–523. 2013. View Article : Google Scholar

30 

Mairuae N, Hall Ii EC, Cheepsunthorn P, Lee SY and Connor JR: The H63D HFE gene variant promotes activation of the intrinsic apoptotic pathway via mitochondria dysfunction following β-amyloid peptide exposure. J Neurosci Res. 88:3079–3089. 2010.PubMed/NCBI

31 

Chai WS, Zhu XM, Li SH, Fan JX and Chen BY: Role of Bcl-2 family members in caspase-3/9-dependent apoptosis during Pseudomonas aeruginosa infection in U937 cells. Apoptosis. 13:833–843. 2008. View Article : Google Scholar : PubMed/NCBI

32 

Chen M, Guerrero AD, Huang L, Shabier Z, Pan M, Tan TH and Wang J: Caspase-9-induced mitochondrial disruption through cleavage of anti-apoptotic BCL-2 family members. J Biol Chem. 282:33888–33895. 2007. View Article : Google Scholar : PubMed/NCBI

33 

Barrezueta LF, Oshima CT, Lima FO, De Oliveira Costa H, Gomes TS, Neto RA and De Franco MF: The intrinsic apoptotic signaling pathway in gastric adenocarcinomas of Brazilian patients: Immunoexpression of the Bcl-2 family (Bcl-2, Bcl-x, Bak, Bax, Bad) determined by tissue microarray analysis. Mol Med Rep. 3:261–267. 2010. View Article : Google Scholar

34 

Zhai CL, Zhang MQ, Zhang Y, Xu HX, Wang JM, An GP, Wang YY and Li L: Glycyrrhizin protects rat heart against ischemia-reperfusion injury through blockade of HMGB1-dependent phospho-JNK/Bax pathway. Acta Pharmacol Sin. 33:1477–1487. 2012. View Article : Google Scholar : PubMed/NCBI

Related Articles

  • Abstract
  • View
  • Download
  • Twitter
Copy and paste a formatted citation
Spandidos Publications style
Yang Z, Liu Y, Deng W, Dai J, Li F, Yuan Y, Wu Q, Zhou H, Bian Z, Tang Q, Tang Q, et al: Hesperetin attenuates mitochondria-dependent apoptosis in lipopolysaccharide-induced H9C2 cardiomyocytes. Mol Med Rep 9: 1941-1946, 2014.
APA
Yang, Z., Liu, Y., Deng, W., Dai, J., Li, F., Yuan, Y. ... Tang, Q. (2014). Hesperetin attenuates mitochondria-dependent apoptosis in lipopolysaccharide-induced H9C2 cardiomyocytes. Molecular Medicine Reports, 9, 1941-1946. https://doi.org/10.3892/mmr.2014.2002
MLA
Yang, Z., Liu, Y., Deng, W., Dai, J., Li, F., Yuan, Y., Wu, Q., Zhou, H., Bian, Z., Tang, Q."Hesperetin attenuates mitochondria-dependent apoptosis in lipopolysaccharide-induced H9C2 cardiomyocytes". Molecular Medicine Reports 9.5 (2014): 1941-1946.
Chicago
Yang, Z., Liu, Y., Deng, W., Dai, J., Li, F., Yuan, Y., Wu, Q., Zhou, H., Bian, Z., Tang, Q."Hesperetin attenuates mitochondria-dependent apoptosis in lipopolysaccharide-induced H9C2 cardiomyocytes". Molecular Medicine Reports 9, no. 5 (2014): 1941-1946. https://doi.org/10.3892/mmr.2014.2002
Copy and paste a formatted citation
x
Spandidos Publications style
Yang Z, Liu Y, Deng W, Dai J, Li F, Yuan Y, Wu Q, Zhou H, Bian Z, Tang Q, Tang Q, et al: Hesperetin attenuates mitochondria-dependent apoptosis in lipopolysaccharide-induced H9C2 cardiomyocytes. Mol Med Rep 9: 1941-1946, 2014.
APA
Yang, Z., Liu, Y., Deng, W., Dai, J., Li, F., Yuan, Y. ... Tang, Q. (2014). Hesperetin attenuates mitochondria-dependent apoptosis in lipopolysaccharide-induced H9C2 cardiomyocytes. Molecular Medicine Reports, 9, 1941-1946. https://doi.org/10.3892/mmr.2014.2002
MLA
Yang, Z., Liu, Y., Deng, W., Dai, J., Li, F., Yuan, Y., Wu, Q., Zhou, H., Bian, Z., Tang, Q."Hesperetin attenuates mitochondria-dependent apoptosis in lipopolysaccharide-induced H9C2 cardiomyocytes". Molecular Medicine Reports 9.5 (2014): 1941-1946.
Chicago
Yang, Z., Liu, Y., Deng, W., Dai, J., Li, F., Yuan, Y., Wu, Q., Zhou, H., Bian, Z., Tang, Q."Hesperetin attenuates mitochondria-dependent apoptosis in lipopolysaccharide-induced H9C2 cardiomyocytes". Molecular Medicine Reports 9, no. 5 (2014): 1941-1946. https://doi.org/10.3892/mmr.2014.2002
Follow us
  • Twitter
  • LinkedIn
  • Facebook
About
  • Spandidos Publications
  • Careers
  • Cookie Policy
  • Privacy Policy
How can we help?
  • Help
  • Live Chat
  • Contact
  • Email to our Support Team