Spandidos Publications Logo
  • About
    • About Spandidos
    • Aims and Scopes
    • Abstracting and Indexing
    • Editorial Policies
    • Reprints and Permissions
    • Job Opportunities
    • Terms and Conditions
    • Contact
  • Journals
    • All Journals
    • Oncology Letters
      • Oncology Letters
      • Information for Authors
      • Editorial Policies
      • Editorial Board
      • Aims and Scope
      • Abstracting and Indexing
      • Bibliographic Information
      • Archive
    • International Journal of Oncology
      • International Journal of Oncology
      • Information for Authors
      • Editorial Policies
      • Editorial Board
      • Aims and Scope
      • Abstracting and Indexing
      • Bibliographic Information
      • Archive
    • Molecular and Clinical Oncology
      • Molecular and Clinical Oncology
      • Information for Authors
      • Editorial Policies
      • Editorial Board
      • Aims and Scope
      • Abstracting and Indexing
      • Bibliographic Information
      • Archive
    • Experimental and Therapeutic Medicine
      • Experimental and Therapeutic Medicine
      • Information for Authors
      • Editorial Policies
      • Editorial Board
      • Aims and Scope
      • Abstracting and Indexing
      • Bibliographic Information
      • Archive
    • International Journal of Molecular Medicine
      • International Journal of Molecular Medicine
      • Information for Authors
      • Editorial Policies
      • Editorial Board
      • Aims and Scope
      • Abstracting and Indexing
      • Bibliographic Information
      • Archive
    • Biomedical Reports
      • Biomedical Reports
      • Information for Authors
      • Editorial Policies
      • Editorial Board
      • Aims and Scope
      • Abstracting and Indexing
      • Bibliographic Information
      • Archive
    • Oncology Reports
      • Oncology Reports
      • Information for Authors
      • Editorial Policies
      • Editorial Board
      • Aims and Scope
      • Abstracting and Indexing
      • Bibliographic Information
      • Archive
    • Molecular Medicine Reports
      • Molecular Medicine Reports
      • Information for Authors
      • Editorial Policies
      • Editorial Board
      • Aims and Scope
      • Abstracting and Indexing
      • Bibliographic Information
      • Archive
    • World Academy of Sciences Journal
      • World Academy of Sciences Journal
      • Information for Authors
      • Editorial Policies
      • Editorial Board
      • Aims and Scope
      • Abstracting and Indexing
      • Bibliographic Information
      • Archive
    • International Journal of Functional Nutrition
      • International Journal of Functional Nutrition
      • Information for Authors
      • Editorial Policies
      • Editorial Board
      • Aims and Scope
      • Abstracting and Indexing
      • Bibliographic Information
      • Archive
    • International Journal of Epigenetics
      • International Journal of Epigenetics
      • Information for Authors
      • Editorial Policies
      • Editorial Board
      • Aims and Scope
      • Abstracting and Indexing
      • Bibliographic Information
      • Archive
    • Medicine International
      • Medicine International
      • Information for Authors
      • Editorial Policies
      • Editorial Board
      • Aims and Scope
      • Abstracting and Indexing
      • Bibliographic Information
      • Archive
  • Articles
  • Information
    • Information for Authors
    • Information for Reviewers
    • Information for Librarians
    • Information for Advertisers
    • Conferences
  • Language Editing
Spandidos Publications Logo
  • About
    • About Spandidos
    • Aims and Scopes
    • Abstracting and Indexing
    • Editorial Policies
    • Reprints and Permissions
    • Job Opportunities
    • Terms and Conditions
    • Contact
  • Journals
    • All Journals
    • Biomedical Reports
      • Information for Authors
      • Editorial Policies
      • Editorial Board
      • Aims and Scope
      • Abstracting and Indexing
      • Bibliographic Information
      • Archive
    • Experimental and Therapeutic Medicine
      • Information for Authors
      • Editorial Policies
      • Editorial Board
      • Aims and Scope
      • Abstracting and Indexing
      • Bibliographic Information
      • Archive
    • International Journal of Epigenetics
      • Information for Authors
      • Editorial Policies
      • Editorial Board
      • Aims and Scope
      • Abstracting and Indexing
      • Bibliographic Information
      • Archive
    • International Journal of Functional Nutrition
      • Information for Authors
      • Editorial Policies
      • Editorial Board
      • Aims and Scope
      • Abstracting and Indexing
      • Bibliographic Information
      • Archive
    • International Journal of Molecular Medicine
      • Information for Authors
      • Editorial Policies
      • Editorial Board
      • Aims and Scope
      • Abstracting and Indexing
      • Bibliographic Information
      • Archive
    • International Journal of Oncology
      • Information for Authors
      • Editorial Policies
      • Editorial Board
      • Aims and Scope
      • Abstracting and Indexing
      • Bibliographic Information
      • Archive
    • Medicine International
      • Information for Authors
      • Editorial Policies
      • Editorial Board
      • Aims and Scope
      • Abstracting and Indexing
      • Bibliographic Information
      • Archive
    • Molecular and Clinical Oncology
      • Information for Authors
      • Editorial Policies
      • Editorial Board
      • Aims and Scope
      • Abstracting and Indexing
      • Bibliographic Information
      • Archive
    • Molecular Medicine Reports
      • Information for Authors
      • Editorial Policies
      • Editorial Board
      • Aims and Scope
      • Abstracting and Indexing
      • Bibliographic Information
      • Archive
    • Oncology Letters
      • Information for Authors
      • Editorial Policies
      • Editorial Board
      • Aims and Scope
      • Abstracting and Indexing
      • Bibliographic Information
      • Archive
    • Oncology Reports
      • Information for Authors
      • Editorial Policies
      • Editorial Board
      • Aims and Scope
      • Abstracting and Indexing
      • Bibliographic Information
      • Archive
    • World Academy of Sciences Journal
      • Information for Authors
      • Editorial Policies
      • Editorial Board
      • Aims and Scope
      • Abstracting and Indexing
      • Bibliographic Information
      • Archive
  • Articles
  • Information
    • For Authors
    • For Reviewers
    • For Librarians
    • For Advertisers
    • Conferences
  • Language Editing
Login Register Submit
  • This site uses cookies
  • You can change your cookie settings at any time by following the instructions in our Cookie Policy. To find out more, you may read our Privacy Policy.

    I agree
Search articles by DOI, keyword, author or affiliation
Search
Advanced Search
presentation
Molecular Medicine Reports
Join Editorial Board Propose a Special Issue
Print ISSN: 1791-2997 Online ISSN: 1791-3004
Journal Cover
January-2015 Volume 11 Issue 1

Full Size Image

Sign up for eToc alerts
Recommend to Library

Journals

International Journal of Molecular Medicine

International Journal of Molecular Medicine

International Journal of Molecular Medicine is an international journal devoted to molecular mechanisms of human disease.

International Journal of Oncology

International Journal of Oncology

International Journal of Oncology is an international journal devoted to oncology research and cancer treatment.

Molecular Medicine Reports

Molecular Medicine Reports

Covers molecular medicine topics such as pharmacology, pathology, genetics, neuroscience, infectious diseases, molecular cardiology, and molecular surgery.

Oncology Reports

Oncology Reports

Oncology Reports is an international journal devoted to fundamental and applied research in Oncology.

Experimental and Therapeutic Medicine

Experimental and Therapeutic Medicine

Experimental and Therapeutic Medicine is an international journal devoted to laboratory and clinical medicine.

Oncology Letters

Oncology Letters

Oncology Letters is an international journal devoted to Experimental and Clinical Oncology.

Biomedical Reports

Biomedical Reports

Explores a wide range of biological and medical fields, including pharmacology, genetics, microbiology, neuroscience, and molecular cardiology.

Molecular and Clinical Oncology

Molecular and Clinical Oncology

International journal addressing all aspects of oncology research, from tumorigenesis and oncogenes to chemotherapy and metastasis.

World Academy of Sciences Journal

World Academy of Sciences Journal

Multidisciplinary open-access journal spanning biochemistry, genetics, neuroscience, environmental health, and synthetic biology.

International Journal of Functional Nutrition

International Journal of Functional Nutrition

Open-access journal combining biochemistry, pharmacology, immunology, and genetics to advance health through functional nutrition.

International Journal of Epigenetics

International Journal of Epigenetics

Publishes open-access research on using epigenetics to advance understanding and treatment of human disease.

Medicine International

Medicine International

An International Open Access Journal Devoted to General Medicine.

Journal Cover
January-2015 Volume 11 Issue 1

Full Size Image

Sign up for eToc alerts
Recommend to Library

  • Article
  • Citations
    • Cite This Article
    • Download Citation
    • Create Citation Alert
    • Remove Citation Alert
    • Cited By
  • Similar Articles
    • Related Articles (in Spandidos Publications)
    • Similar Articles (Google Scholar)
    • Similar Articles (PubMed)
  • Download PDF
  • Download XML
  • View XML
Review

Pharmacology and phytochemistry of the Nitraria genus (Review)

  • Authors:
    • Qiaohui Du
    • Hailiang Xin
    • Cheng Peng
  • View Affiliations / Copyright

    Affiliations: Key Laboratory of Standardization of Chinese Herbal Medicines of the Ministry of Education, Pharmacy College, Chengdu University of Traditional Chinese Medicine, Chengdu, Sichuan 610072, P.R. China, Department of Traditional Chinese Medicine, Changhai Hospital, Second Military Medical University, Shanghai 200433, P.R. China
  • Pages: 11-20
    |
    Published online on: October 16, 2014
       https://doi.org/10.3892/mmr.2014.2677
  • Expand metrics +
Metrics: Total Views: 0 (Spandidos Publications: | PMC Statistics: )
Metrics: Total PDF Downloads: 0 (Spandidos Publications: | PMC Statistics: )
Cited By (CrossRef): 0 citations Loading Articles...

This article is mentioned in:



Abstract

Plants from the Nitraria genus, members of the Zygophyllaceae family, grow naturally in Europe, Africa, Australia and the central Asian desert. Previous pharmacological research has provided evidence that members of the Nitraria genus have numerous beneficial effects. In the present review, the pharmacological and phytochemical studies of Nitraria were presented and assessed. The review was written using information published between 1968 and 2013 from a number of reliable sources, including ScienceDirect, Springer, PubMed, EMBASE and CNKI. Numerous compounds, such as alkaloids and flavonoids have been isolated from the plants of this genus in the past, and multiple members of these constituents have been demonstrated to exert antitumor or anti‑oxidative activities. The extracts of plants of the Nitraria genus possess antitumor, antiproliferative, anti‑oxidative, antifatigue, anti‑mutagenic, antimicrobial, hypotensive, hepatoprotective, lipid‑lowering and hypoglycemic effects. However, the possible active components in the fraction and the molecular mechanisms require further investigation prior to their use in clinical practice.

1. Introduction

The Nitraria genus, a member of the family Zygophyllaceae, is one of the dominant species in the Mediterranean and central Asian deserts. The English name Nitre-bush is from the Latin word saltpetre, referring to the fact that it can thrive in saline soil. It serves an key ecological role due to its superior tolerance to severe drought and high salinity. Nitraria are shrubs 25–200-cm tall, with spiny branches at the apex and simple serrated leaves. The flowers are yellowish-gray or white, 2–4 cm pubescent, with five petals and five sepals, while the fruit is a fleshy drupe. The Nitraria genus consists of 13 species across the world, which are mainly distributed in Asia, Europe, Africa and Australia (Table I).

Table I

Species of the Nitraria genus and the geographical distribution.

Table I

Species of the Nitraria genus and the geographical distribution.

No.SpeciesGeographical distribution
1N. schoberiChina, Europe
2N. sibiricaChina, Siberia
3N. senegalensisAfrica
4N. billardieriAustraria
5N. retusaMediterranean coast
6N. sphaerocarpaNorthwest China
7N. roborowskiiNorthwest China, Russia
8N. komaroviiEurope caspian coast
9N. tangutorumNorthwest China
10N. praevisaNorthwest China
11N. pamiricaChina
12N. sinensisChina
13N. tridentateAfrica

A growing body of evidence now demonstrates that Nitraria extract has numerous biomedical properties, including antifatigue, antitumor, anti-oxidative and antimutagenic activities. In addition, the fruit of Nitraria sibirica is extensively used to treat hypertension, menstrual disorders and gastroenteritis in folklore medicines of Northwest China (1,2). The leaves of Nitraria retusa also serve as supplement tea and are used as a poultice in Africa (3,4).

To provide further support and evidence for the clinical use of this genus, a systematic review of the modern phytochemical and pharmacological properties of Nitraria was performed. The available information on the pharmacology and phytochemistry of the Nitraria genus was collected via libraries and electronic searches using PubMed (http://www.ncbi.nim.nih.gov/pubmed), ScienceDirect (http://sciencedirect.com), Springer (http://springer.com), EMBASE (http://elsevier.com/online-tools/embase) and CNKI (http://www.cnki.net).

2. Phytochemical studies

Currently, the following six species of the Nitraria genus have been observed for their phytochemical properties: N. komarovii, N. schoberi, N. sibirica, N. tangutorum, N. retusa and N. billardieri. These investigations suggested that members of the Nitraria genus contain numerous components categorized as alkaloids, flavonoids and phenolic acid, of which alkaloids and flavonoids are the most abundant constituents. An overview of ingredients contained in the Nitraria genus is presented in Table II.

Table II

Compounds isolated from the Nitraria genus.

Table II

Compounds isolated from the Nitraria genus.

A, Alkaloid compounds

No.CompoundSpeciesPart of plantReference
1NitraricineN. komaroviiEpigeal5
2NitrarizineN. komaroviiEpigeal5
3IsokomarovineN. komaroviiEpigeal6
4KomarovidinineN. komaroviiEpigeal6
5KomarovinineN. komaroviiEpigeal7
6Peganine N-oxideN. komaroviiEpigeal8
7 NallylschoberineN. komaroviiEpigeal8
8 DehydronitramidineN. komaroviiEpigeal8
9KomavicineN. komaroviiiEpigeal9
10DeoxypeganineN. komaroviiEpigeal10
11NitraramineN. schoberi/N. komaroviiEpigeal11
12KomarovineN. komaroviiEpigeal12
13KomarovidineN. komaroviiEpigeal12
14KomaroineN. komaroviiEpigeal13
15NitraraineN. schoberiEpigeal14
16NitrabirineN. sibiricaEpigeal14
17NitramineN. sibiricaEpigeal15
18IsonitramineN. sibiricaEpigeal16
19SibirineN. sibiricaEpigeal17
20Vasicinone N-oxideN. komaroviiEpigeal18
21Deoxyvasicinone N-oxideN. komaroviiEpigeal18
22 DihydronitraraineN. komaroviiEpigeal19
23 DeoxyvasicinoneN. komaroviiEpigeal20
24VasicinoneN. komaroviiEpigeal20
25PeganineN. komaroviiEpigeal20
26DeoxypeganineN. komaroviiEpigeal20
27 DehydroschoberineN. komaroviiEpigeal20
28NitraroxineN. komaroviiEpigeal20
29TryptamineN. komaroviiEpigeal20
30SchoberineN. komaroviiEpigeal20
31SchoberidineN. komaroviiEpigeal21
32NitrarineN. schoberiEpigeal22
33 Tetramethylenetetrahydro-β-carboline N-oxideN. komaroviiEpigeal23
34SibirinineN. sibiricaEpigeal24
35 DihydroschoberineN. sibiricaAerial25
36Nitrabirine N-oxideN. sibiricaAerial25
37 O-acetylnitraraineN. schoberiAerial26
38 N-methylnitrarineN. schoberiAerial27
39KomavineN. komaroviiAerial28
40AcetylkomavineN. komaroviiAerial28
41 N-allylnitrarineN. komaroviiAerial29
42Komarovidinine N-oxideN. komaroviiAerial29
43SibiridineN. sibirica/N. schoberiAerial30
44NitraramidineN. sibiricaAerial31
45NitraraidineN. sibiricaAerial31
46KomarinN. komaroviiAerial32
47Peganol N-oxideN. komaroviiAerial32
48 N-allylisonitrarineN. schoberiAerial33
49NitraridineN. komaroviiAerial34
50 DihydronitraridineN. komaroviiAerial34
51 TetrahydronitraridineN. KomaroviiAerial34
52SchobericineN. SchoberiAerial35
53KomaroidineN. Komarovii/N. SchoberiAerial35
54 AcetylkomaroidineN. Komarovii/N. SchoberiAerial35
55 TetrahydronitramarineN. Komarovii.Epigeal36
56 TetrahydrokomarovinineN. KomaroviiEpigeal36
57 DihydroisokomarovineN. KomaroviiEpigeal36
58 TetrahydroisokomarovineN. KomaroviiEpigeal36
59NazlininN. SchoberiEpigeal39
60TangutorineN. TangutorumLeaves40
61NitrarineN. BillardieriAerial41
62 1-EpinitraramineN. BillardieriAerial41
633-EpinitrarineN. BillardieriAerial41
64 5,7-Dihydroxy-3-deoxy-vasicineN. RetusaAerial42
65 7-Hydroxy-3-deoxy-1-vasicieneN. RetusaAerial42
66AllantoinN. TangutorumSeed48

B, Flavanoid compounds

No.CompoundSpeciesPart of plantReference

67NarcissinN. KomaroviiLeaves28
68RutinN. RetusaLeaves and stems43
69KaempferolN. RetusaLeaves and stems43
70Isorhamnetin 3-O-4rham-galactosylrobinobiosideN. RetusaLeaves and stems44
71Isorhamnetin 3-robinobiosideN. RetusaLeaves and stems44
72Isorhamnetin 3-rutinosideN. RetusaLeaves and stems44
73Isorhamnetin 3-galactosideN. RetusaLeaves and stems44
74Isorhamnetin 3-glucosideN. RetusaLeaves and stems44
75IsorhamnetinN. RetusaLeaves and stems44
76Isorhamnetin 3-xylosylrobinobiosideN. RetusaLeaves and stems44
77 Isorhamnetin-7-O-α-L-rhamnosideN. TangutorumSeeds45
78 Isorhamnetin-7-O-β-D-glucosideN. TangutorumSeeds45
79 Kaempferol-7-O-α-L-rhamnosideN. TangutorumSeeds45
80 Quercetin-7-O-α-L-rhamnosideN. TangutorumSeeds45
81QuercetinN. TangutorumSeeds45
82 3,5-Dimethylether-kaempfrol-7-O-β-D-glucosideN. TangutorumLeaf46
83 3-Methylether-kaempferol-7-O-β-D-glucosideN. TangutorumLeaf46
84 Isorhamnetin-3-O-β-D-glucopyranosyl-(1–2)-α-L-rhamnopyranosideN. TangutorumFruit47
85 5,7,2′-TrihydroxyflavonolN. TangutorumFruit47
86Cyaniding 3-[6′-(6-trans-p-coumaroyl-β-D-glucopyranosyl)-β-D-galactopyranoside]N. TangutorumFruit47
87Apigenin 5-O-(2′-O-E-P-coumaroyl)-β-D-glucopyranosideN. TangutorumFruit47

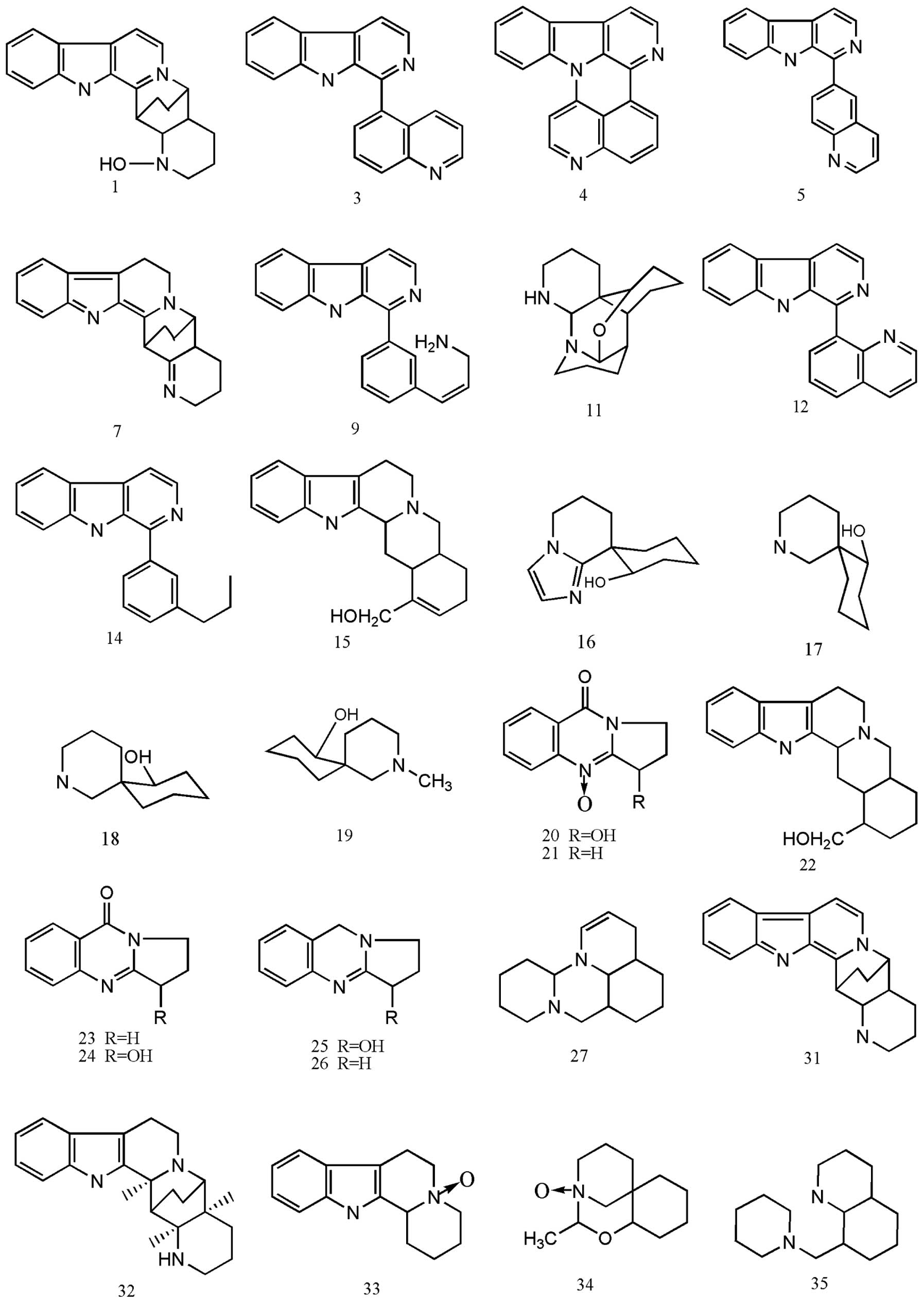
Numerous studies (5–36) have been conducted to explore the alkaloids contained in the members of the Nitraria genus. Nearly all known alkaloids (Table II, nos. 1–36) identified in plants of the Nitraria genus were initially isolated in these studies. These studies also observed that the content of alkaloids in the leaves is higher than the content in the roots, stems and seeds of Nitraria komarovii and Nitraria sibirica (37–38). There are also various types of alkaloids that have been isolated and purified in other studies. In the crude MeOH extracts of N. rhoberi, nazlinin was purified by Üstunes et al (39). In a proceeding study, tangutorine was isolated from the leaves of N. tangutorum (40). Three novel alkaloids, 3-epinitrarine, 1-epinitraramine and nitrarine (41) were identified in N. billardieri, which is a species that is mainly distributed in Australia. Phytochemical studies of the aerial sections of N. retusa reported the novel alkaloids 5,7-dihydroxy-3-deoxy vasicine and 7-hydroxy-3-deoxy-1-vasiciene (42) (Fig. 1). Nitraria was also reported by Saleh et al (43) to contain the flavonoids rutin, kaempferol and isorhamnetin. The flavonoids isolated in other studies are listed in Table II, nos. 67–87 (44–48) (Fig. 2).

Figure 1

Chemical structures of the main alkaloids from the genus Nitraria. Chemical structure of main alkaloids from the genus Nitraria.

Figure 2

Chemical structures of flavonoids from the genus Nitraria.

Wang et al (49) determined fatty acids in N. tangutorum seed by supercritical carbon dioxide extraction and high-performance liquid chromatography/atmospheric pressure chemical ionization/mass spectrometry. Using gas chromatograph-mass spectrometry, numerous volatile substances were detected in the extract of the stem, leaves and fruits of N. tangutorum and N. sibirica (50–52). Additionally, Wu et al (53) isolated phenolic acid from the water extraction of N. tangutorum.

3. Pharmacological effects

Antifatigue activity

The antifatigue activity of polysaccharides from the fruits of N. tangutorum was assessed in mice using the forced swim test (FST). The results demonstrated that the FST-induced reductions in glucose, superoxide dismutase (SOD) and glutathione peroxidase (GPx), and the increases in creatine phosphokinase, lactic dehydrogenase, blood urea nitrogen, triglyceride (TG) and malondialdehyde (MDA) levels, were inhibited by the polysaccharides from N. tangutorum. Additionally, at the same dosage, the extract of N. tangutorum is more potent than Hippophae rhamnoides and Lycium ruthenicum, which are traditionally used as medicinal foods with antifatigue and antioxidant potential in Tibet (54). Fruit extracts of N. tangutorum markedly prolonged the swimming time, climbing time and survival time in low temperature of mice compared with the control group in a study by Suo et al (55). The seed oil of N. tangutorum, when extracted by supercritical CO2, displayed similar effects as the fruit, and upregulated the contents of serum urea-nitrogen and hepatic glycogen, but downregulated the serum lactic acid contents, consequently improving the swimming and climbing time. This result has been repeated in other studies (56,57).

Antitumor activity

Boubaker et al investigated the apoptotic potential of N. retusa ethyl acetate (EA) extract and isorhamnetin 3-O-rutinoside (I3-O-R) isolated from the ethyl acetate extract, in K562 human chronic myelogenous erythroleukemia cells. After 48 h incubation with N. retusa extract and I3-O-R, K562 cell viability was significantly suppressed by inducing apoptosis, and the caspase 3 and caspase 8 activity was increased (58). The extract and the component inhibited the genotoxicity induced by hydroxyl radicals in K562 cells (59). Another similar study indicated that EA extract of N. retusa and I3-O-R have a strong antiproliferative effect on TK6 human lymphoblastoid cells, possibly due to their involvement in the apoptotic pathway (60).

The hexane (Hex), chloroform (Chl) and methanol (MeOH) extracts of N. retusa were utilized to test their antiproliferative effects on K562 cells. The Hex and Chl extracts were demonstrated to induce stronger antiproliferative effects than the MeOH extracts, by ameliorating the DNA fragmentation, poly ADPribose polymerase cleavage, and caspase 3 and caspase 8 activity (61). In another study, 3H-thymidine incorporation-induced proliferation of the HT29 human colon cancer cells was reduced in a dose-dependent manner following treatment with tangutorine, a β-carboline alkaloid from the leaves of N. tangutorum. Tangutorine may induce p21 suppression of all cyclins and their associated kinases, such as the topoisomerase II, and thus inhibit normal DNA replication and mitosis (62). The activities of fractions/extracts of N. retusa were compared with their flavanoid contents, which consisted of the following four major flavonoids: Isorhamnetin; isorhamnetin-3-O-glucoside (I3-O-G); I3-O-R; and isorhamnetin-3-O-robinobioside (I3-O-Rb). They inhibited the proliferation of Caco-2 cells in vitro (63).

The total flavones from the N. tangutorum fruits repress proliferation of the SGC-7901 human gastric adenocarcinoma cell line and A-704 human kidney adenocarcinoma cell line by regulating the levels of Ca2+, K+ and P3+ in the cell (64–65). The in vivo experiment demonstrated that flavones, in addition to the aqueous extract of N. tangutorum, combined with 5-fluorouracil, induced a significantly increased inhibitory rate in the Hep human throat cancer cell line and U14 human cervical cancer cell line by regulating the weight of immune organs, the formation value of serolysin and phagocytic index (66–67). Additionally, the lipids of N. tangutorum were cytotoxic against the MGC-803 human gastric carcinoma cell line (68).

Antioxidant activity

EA extract of N. retusa and I3-O-R indicated a protective effect against lipid peroxidation induced by H2O2. It demonstrated significant antioxidant effects on oxidation induced by 2,2′-azobis (2-amidinopropane) dihydrochloride in K562 cells with 50% inhibitory concentration values (IC50) of 0.225 mg/ml and 0.31 mg/ml (59). Sterols, the main constituents of Hex extract, and sterol and polyphenolic compounds, the main constituents of Chl extract, may participate in the protective effect against lipid peroxidation induced by H2O2 in K562 cells (61). Chl extract exhibited the highest ability to protect plasmid DNA against hydroxyl radical-induced DNA damage, and the highest antioxidant capacity, with 0.95 mM trolox equivalent capacity when tested using the ferric reducing/antioxidant method (69). Furthermore, the extract of fruits from N. tangutorum displayed a significantly different antioxidant activity when assessed with the 1,1-diphenyl-2-picrylhydrazy (DPPH), 2,2′-Azinobis (3-ethylbenzothiaz-oline-6-sulfonate) (ABTS) and ferric-reducing antioxidant power assays (70).

The DPPH scavenging activity, xanthine oxidase inhibition and superoxide scavenging activity of various N. retusa extracts and compounds, including isorhamnetin, I3-O-G, I3-O-R and I3-O-Rb, were evaluated to confirm the association between the activities of the fractions and their flavonoid contents. The EA extracts were identified to be most effective at scavenging the DPPH stable free radical, and the CHCl3 extracts exhibited the highest xanthine oxidase inhibition activity; however, only BuOH extract exhibited a scavenging activity toward superoxide radicals. Overall, all the compounds exhibited some level of DPPH and superoxide scavenging and xanthine oxidase inhibition activity, and the aglycone compounds were more active than their glycosylated derivatives (63). Antiradical activities against DPPH, and β-carotene and Fe-reducing power were more efficient in leaf non-polar fractions compared with polar fractions of N. retusa (61). Similar studies investigating anti-oxidant properties were also performed by Bouaziz et al (71) and demonstrated that the EA fraction and MeOH fraction of N. retusa indicated DPPH scavenging activity and reduction of the ABTS radical cation.

Anthocyanins have also been demonstrated to elicit scavenging effects against O2, OH and DPPH in a dose-dependent manner. Notably, these scavenging capacities were greater than those of vitamin C according to results of in vitro anti-oxidative tests (72). Nazlinin isolated from Nitraria and its derivative 1-(4-butylamino)-3,4-dihydro-β-carboline have been indicated to be inhibitors of pig kidney diamine oxidase, while 1-(4-butylamino)-β-carbolin was demonstrated as a substrate (73).

Antimicrobial activity

The EA, ethanol and Chl extracts from the fruits of N. tangutorum had antibacterial effects against Escherichia coli, Bacillus subtilis and Staphyloccocus aureus. The EA fraction presented the highest level of antibacterial activity (74,75). In addition, Chl extract from N. retusa leaves was more efficient against all human pathogen strains, particularly Escherichia coli and Staphylococcus aureus (76). The EA and MeOH extracts of N. retusa revealed antimicrobial effects against Pseudomonas aeruginosa and Aspergillus niger in vitro (71). The ethanol extracts of N. retusa also exhibited cytotoxicity in brine shrimp with LC50 values of 6.2 μg/ml (77).

Antimutagenic activity

The protection of N. retusa against mutagenicity induced by methyl methanesulfonate and 2-aminoanthracene in Salmonella typhimurium TA102 and TA104 strains was observed. The highest protection was elicited by Chl and MeOH extracts of N. retusa, with inhibition percentages of 44.93% at 50 μg/plate in the presence of TA102 strain and 38% at 10 μg/plate in the presence of TA104 strain. Hex and Chl extracts have been demonstrated to reduce the mutagenicity induced by 2-aminoanthracene with 83.4% in TA104 and 65.3% in the TA102 strain (69).

Hypotensive effects

Senejouxa et al conducted a study on the vasorelaxant activity and underlying mechanisms of hydroalcoholic extract from the fruits of N. sibirica on thoracic aortic rings isolated from Wistar rats. The study revealed that the hydroalcoholic extract was more effective in the induction of vasodilation of phenylephrine- than high KCl-pre-contracted aortic rings with respective Emax values of 82.9±2.2 and 34.8±3.6%. The acute intravenous injection of hydroalcoholic extract induced an immediate and transient hypotensive effect in anesthetized spontaneously hypertensive and control rats through an endothelium-dependent pathway involving nitric oxide synthase (NOS) activation, endothelium-derived hyperpolarizing factor production and muscarinic receptor stimulation (78). Flavonoids of different concentrations increased the repair of impaired human umbilical vein endothelial cells induced by high glucose or H2O2 by increasing the ratio of NOS, SOD and GPx activity, and NO level (79,80). Notably, the inhibition activity of ethanol extracts from 10 halophytes on angiotensin converting enzyme (ACE) has been investigated extensively. The Nitraria sibirica fraction has been demonstrated to significantly inhibit ACE with an IC50 value of 69.36 g/l (81).

Hypoglycemic effects

The fruit of N. tangutorum at a dosage of 1.8 g/kg and 3.6 g/kg not only had a therapeutic action in a mouse diabetes model induced by alloxan, but also led to an increase in the glucose-toleration in similar models in rats. It has also been demonstrated to reduce glucose levels in hyperglycemic animal models induced by epinephrine and glucose (82). Shabana et al (83) investigated the hypoglycemic activity of 31 desert plants from different Egyptian localities in normal fasting and alloxanised rats, and Nitraria retusa had hypoglycemic effects in normal fasting rats.

Lipid lowering effects

An in vivo study on the effects of the fruit extracts of N. tangutorum on rat and mouse models of hyperlipermia induced by high lipid levels was conducted by Suo et al. N. tangutorum significantly reduced the serum level of total cholesterol (TC) and TG in a rat hyperlipermia model, and the level of low-density lipoprotein (LDL) in Kunming strain rats. It also increased the ratio of high-density lipoprotein cholesterol (HDL)/TC, HDL/LDL and SOD activity, and reduced the MDA content in vivo and in vitro (84,85).

Hepatoprotective effects

A study by Zhang et al (86) indicated that seed oil of N. tangutorum alleviated the increased levels of aspartate aminotransferase, alanine aminotransferase and MDA induced by CCl4, and it also enhanced the level of GPx in liver.

4. Conclusion

The studies summarized above strongly support the theory that the Nitraria genus has favorable therapeutic properties, indicating its potential for clinical use. The present review presents and assesses the previous pharmacological and phytochemical studies published on the Nitraria genus, and may aid the easy identification and further research into properties of members of the Nitraria genus.

Nitraria as a halophyte, is ecologically central in stabilizing wind-blown sand and loess soils and thus reduces erosion. Hence, combined with the pharmacological effects, the rational development and utilization of Nitraria may be beneficial for the local environment and public health.

Numerous alkaloids have been isolated from the Nitraria genus. However, there is currently no research on the pharmacological properties of the alkaloid components, which are the most abundant constituents in nature. Further studies on the antitumor and anti-oxidative activities of these components are required. Furthermore, few molecular mechanisms are known, which may hamper the further clinical application of Nitraria. The possible synergistic action among the bioactive compounds of the plants must be evaluated prior to their use in clinical practice.

Acknowledgements

The current study was supported by grants from the National Natural Science Foundation of China (grant no. U1203104).

References

1 

Liu YX: Desert Flora in China. 2. Science Press; Beijing China: pp. 3061988

2 

Zhengyi Wu, Raven H and Deyuan H: Flora of China. 43(1)Science Press; Beijing, China: pp. 120–121. 1988

3 

Tackholm V: Students Flora of Egypt. Cairo University; 31. pp. 313pp. 8681974

4 

Jafri S and El-Gadi A: Flora of Libya. Department of Botany, Al Fateh University; pp. 551977

5 

Tulyaganov TS and Abdullaev ND: Alkaloids of Nitraria komarovii Nitraricine and Nitrarizine. Chem Nat Compd. 3:76–78. 1995.

6 

Tulyaganov TS, Ibragimov AA and Yunusov SY: Alkaloids of Nitraria komarovii. VI. structure and synthesis of isokomarovine and of komarovidinine. Chem Nat Compd. 18:601–603. 1982.

7 

Tulyaganov TS, Ibragimov AA and Yunusov SY: Alkaloids of Nitraria komarovii. Vll. Structure and synthesis of komarovinine. Chem Nat Compd. 18:604–606. 1982.

8 

Tulyaganov TS: Alkaloids of Nitraria komarovii XVII. Peganine N-oxide, N-allylschoberine and dehydronitramidine. Chem Nat Compd. 30:727–729. 1994.

9 

Tulyaganov TS: Alkaloids of Nitraria komarovii. XI. Structure of komavicine and the products of the dehydrogenation of the nitrarine method of dehydrogenation in the quinolinyl-β-carboline series. Chem Nat Compd. 29:26–30. 1993.

10 

Tulyaganov TS: Alkaloids of Nitraria komarovii. XIV. Deoxypeganine N-oxide. Chem Nat Compd. 29:731993.

11 

Ibragimov AA and Yunusov SY: Alkaloids of Nitraria schoberi. Ring-chain tautomerism of the hydrolysis product of nitraramine. Chem Nat Compd. 22:680–684. 1986.

12 

Tulyaganov TS, Ibragimov AA and Yunusov SY: Alkaloids of Nitraria komarovii. IV. Total synthesis of komarovine and komarovidine. Chem Nat Compd. 17:149–152. 1981.

13 

Tulyaganov TS, Ibragimov AA and Yunusov SY: Alkaloids of Nitraria komarovii. IX. Structure of komaroine. Chem Nat Compd. 20:378–379. 1984.

14 

Ibragimov AA and Yunusov SY: Alkaloids of Nitraria schoberi. Structure of nitraraine. Chem Nat Compd. 21:502–509. 1985.

15 

Novgorodova NY, Maekh SK and Yunusov SY: Nitramine-A new alkaloid from Nitraria schoberi. Chem Nat Compd. 11:455–456. 1975. View Article : Google Scholar

16 

Osmanov Z, Ibragimov AA and Yunusov SY: Isonitramine-A new alkaloid from Nitraria sibirica. Chem Nat Compd. 13:607–608. 1977. View Article : Google Scholar

17 

Osmanov Z, Ibragimov AA and Yunusov SY: Structure of Sibirine. Chem Nat Compd. 18:206–208. 1982. View Article : Google Scholar

18 

Tulyaganov TS, Atadzhanov RS, Abdullaev ND, et al: Alkloids of Nitraria komarovii. XV. Vasicinone and deoxyvasicinone N-oxides. Chem Nat Compd. 29:509–511. 1993.

19 

Ibragimov AA and Yunusov SY: Alkaloids of Nitraria schoberi. Structure of dihydronitraraine. Chem Nat Compd. 21:510–512. 1985.

20 

Tulyaganov TS: Alkaloids of Nitraria komarovii. XIII. Nitraramine n-oxide and the structure of dehydroschoberine. Chem Nat Compd. 29:31–34. 1993.

21 

Ibragimov AA, Maekh SK and Yunusov SY: The structure of schoberine. Chem Nat Compd. 11:2971975. View Article : Google Scholar

22 

Normatov M and Yunusov SY: A study of the alakloids of Nitraria Schoberi. The structure of nitrarine. Chem Nat Compd. 4:1201968.

23 

Tulyaganov TS and Shorakhimov NN: Alkaloids of Nitraria komarovii XII. Tetramethylenetetrahydro-β-carboline N-oxide. Chem Nat Compd. 26:478–479. 1990.

24 

Ibragimov AA, Abdullaev ND, Osmanov Z, et al: Alkaloids of Nitraria sibirica. Structure and absolute configuration of sibirinine. Chem Nat Compd. 23:569–573. 1987.

25 

Tulyaganov TS and Alaberdiev FK: Alkaloids of Nitraria sibirica. Dihydroschoberine and nitrabirine N-oxide. Chem Nat Compd. 37:556–557. 2007. View Article : Google Scholar

26 

Tulyaganov TS and Kozimova NM: Alkaloids from Nitraria schoberi. O-acetylnitraraine. Chem Nat Compd. 41:578–579. 2005.

27 

Tulyaganov TS and Nazarov OM: Alkaloids of Nitraria schoberi. N-methylnitrarine. Chem Nat Compd. 36:393–394. 2000. View Article : Google Scholar

28 

Tulyaganov TS, Nazarov OM, Levkovich MG, et al: Alkaloids of the Nitraria genus. Komavine and acetylkomavine. Chem Nat Compd. 37:61–64. 2001. View Article : Google Scholar

29 

Tulyaganov TS and Makhmudov OE: Alkaloids of Nitraria komarovii. N-allylnintrarine and komarovidinine N-oxide. Chem Nat Compd. 36:396–398. 2000. View Article : Google Scholar

30 

Tulyaganov TS and Allaberdiev FK: Alkaloids from plants of the Nitraria genus. Structure of sibiridine. Chem Nat Compd. 39:292–293. 2003. View Article : Google Scholar

31 

Tulyaganov TS and Allaberdiev FK: Alkaloids of Nitraria sibirica. Structures of nitraramidine and nitraraidine. Chem Nat Compd. 38:602–604. 2002. View Article : Google Scholar

32 

Tulyaganov TS and Makhmudov OE: Alkaloids of Nitraria komarovii. Structures of komarin and peganol-N-oxide. Chem Nat Compd. 36:76–78. 2000.

33 

Tulyaganov TS, Nazarov OM, Makhmudov OE, et al: N-allylisonitratine and narcissin from plants of the Nitraria genus. Chem Nat Compd. 37:470–473. 2001. View Article : Google Scholar

34 

Tulyaganov TS: Alkaloids from Nitraria komarovii. Structures of nitraridine, dihydronitraridine and tetrahydronitraridine. Chem Nat Compd. 42:459–461. 2006. View Article : Google Scholar

35 

Tulyaganov TS, Kozimova NM and Allaberdiev FK: Alkaloids from plants of the genus Nitraria. Chem Nat Compd. 42:198–200. 2006. View Article : Google Scholar

36 

Tulyaganov TS and Yunusov SY: Alkaloids of Nitraria komarovii. X Structures of tetrahydronitramarine, tetrahydrokomarovinine, dihydroisokomarovine, and tetrahydroisokomarovine. Chem Nat Compd. 26:49–53. 1990.

37 

Tulyaganov TS, Ibragimov AA and Yunusov SY: Alkaloids of Nitraria komarovii. I. Chem Nat Compd. 15:6541979.

38 

Osmanov Z, Ibragimov AA, Yunusov SY, et al: Dynamics of the accumulation of the alkaloids of Nitraria sibirica. Chem Nat Compd. 18:3721982. View Article : Google Scholar

39 

Üstunes L, Özer A, Laekeman GM, et al: Chemical characterization and pharmacological activity of nazlinin, a novel indole alkaloid from Nitraria schoberi. J Nat Prod. 54:959–966. 1991.PubMed/NCBI

40 

Duan JA, Williams ID, Che CT, et al: Tangutorine: A novel β-carboline alkaloid from Nitraria tangutorum. Tetrahedron Lett. 40:2593–2596. 1999.

41 

Shen MY, Zuanazzi JA, Kan C, et al: Alkaloids from Nitraria billardieri. Nat Prod Lett. 6:119–125. 1995. View Article : Google Scholar

42 

El-Alali A, Zoubi AA, Gharaibeh M, et al: Phytochemical and biological investigation of Nitraria retusa. Asch. Jor J Pharm Sci. 5:155–163. 2012.

43 

Saleh NAM and El-Hadidi MH: An approach to the chemosystematics of the Zygophyllaceae. Biochem Syst Ecol. 5:121–128. 1977. View Article : Google Scholar

44 

Halim AF, Saad HE and Hashish NE: Flavonol glycosides from Nitraria retusa. Phytochemistry. 40:349–351. 1995. View Article : Google Scholar

45 

Jia ZJ, Zhu GJ and Wang JH: Flavonoid constituents from the seeds of Nitraria tangutorum Bolor. Acta Botanica Sinica. 31:241–243. 1989.

46 

Duan JA, Zhou RH and Zhao SX: The chemical constituents of flavonoids and phenolic acid compounds of leaves from Nitraria tangutorum Bor. J Plant Resour Environ. 8:6–9. 1999.

47 

Lu HL, Ouyang F, Su YL, et al: Study on chemical constituents of the fruits of Nitraria tangutorum Bobr. Northwest Pharm J. 28:221–223. 2013.

48 

Wang HL, Li YL, Wang XY, et al: Chemical constituents of Nitraira tangutorum seed from Qaidam basin. Nat Prod Res Dev. 19:614–616. 2007.

49 

Wang HL, Suo YR, Wang XY, et al: Extraction of Nitraria tangutorum seed oil by supercritical carbon dioxide and determination of free fatty acids by HPLC/APCI/MS with fluorescence detection. Sep Purif Technol. 56:371–377. 2007.

50 

Wang JM and Kang WY: Volatiles from the leaves of Nitraria tangutorum and Nitraria sibirica. Nat Prod Res Dev. 23:680–683. 2011.

51 

Wang JM and Kang WY: The volatiles in the stem of Nitraria tangutorum and Nitraria sibirica. Fine Chem. 26:773–775. 2009.

52 

Zhu Y, Liu JR, Wang HY, et al: Comparison and analysis on fruit oils of Nitraria prepared by supercritical CO2, fluid extraction and impregnation method. Food Fermentation Ind. 32:84–86. 2006.

53 

Wu ZB, Li ML, Hang M, et al: Study on water-soluble chemical constituents of Nitraria tangutorum Bobr. J Shihezi Univ (Nat sci). 30:728–730. 2012.

54 

Ni W, Gao T, Wang H, et al: Anti-fatigue activity of polysaccharides from the fruits of four Tibetan plateau indigenous medicinal plants. J Ethnopharmacol. 150:529–535. 2013. View Article : Google Scholar : PubMed/NCBI

55 

Suo YR, Li YL, Wang HL, et al: Effect of fruit of Nitraria tangutorum Bobr. from Qaidam basin on immunomodulatory, anti-fatigue and cold-tolerance. Nat Prod Res Dev. 17:717–721. 2005.

56 

Suo YR, Wang HL, Li YL, et al: The anti-fatigue effect of Nitraria tangutorum Bobr. Seed oil from Qaidam basin on the mice. Nat Prod Res Dev. 18:88–91. 2006.

57 

Ma TJ and Xu YQ: The anti-fatigue effect of Nitraria seed oil on mice. Acta Lab Anim Sci Sin. 20:77–79. 2012.

58 

Boubaker J, Bhouri W, Sghaier MB, et al: Ethyl acetate extract and its major constituent, isorhamnetin 3-O-rutinoside, from Nitraria retusa leaves, promote apoptosis of human myelogenous erythroleukaemia cells. Cell Prolif. 44:453–461. 2011. View Article : Google Scholar : PubMed/NCBI

59 

Boubaker J, Ben Sghaier M, Skandrani I, et al: Isorhamnetin 3-O-robinobioside from Nitraria retusa leaves enhance antioxidant and antigenotoxic activity in human chronic myelogenous leukemia cell line K562. BMC Complem Altern Med. 12:1352012.

60 

Boubaker J, Bhouri W, Ben Sghaier M, et al: Flavonoids products from Nitraria retusa leaves promote lymphoblastoid cells apoptosis. Nutr Cancer. 64:1095–1102. 2012.

61 

Boubaker J, Bhouri W, Sghaier MB, et al: Leaf extracts from Nitraria retusa promote cell population growth of human cancer cells by inducing apoptosis. Cancer Cell Int. 11:372011.

62 

Liu BPL, Chong EYY, Cheung FWK, et al: Tangutorine induces p21 expression and abnormal mitosis in human colon cancer HT-29 cells. Biochem Pharmacol. 70:287–299. 2005. View Article : Google Scholar : PubMed/NCBI

63 

Salem JH, Chevalot I, Harscoat-Schiavo C, et al: Biological activities of flavonoids from Nitraria retusa (Forssk.) Asch and their acylated derivatives. Food Chem. 124:486–494. 2011.

64 

Liu CS, Wu XG, Xie MR, et al: Inhibition effects of Nitraria tangutorum flavone on SGC-7901 cell proliferation. J Gansu Sci. 21:66–68. 2009.

65 

Yu FR, Lian SJ and Lian XZ: Cytotoxic and proliferous effects of Nitraria tangutorum flavone on human A-704 strain cells. Chin Pharmacol Bull. 24:236–239. 2008.

66 

Yu FR, Wei KQ and Lian XZ: Effect and mechanism of nitrary flavone on Hep, U14 tumor of mice. Chin Pharmacol Bull. 19:886–888. 2003.

67 

Wei KQ, Yu FR and Lian XZ: Effect of nitrary decotion on rehabilitation of Hep tumor and reinforcement of immunological function. J Clin Rehab Tissue Eng. 7:2418–2419. 2003.

68 

Li YP, Sun LP, Wang SZ, et al: Inhibition effects of shayingtao lipids on the human gastric carcinoma MGC-803 cells. Chin J Clin Res. 26:108–109. 2013.

69 

Boubaker J, Skandrani I, Bouhlel I, et al: Mutagenic, antimutagenic and antioxidant potency of leaf extracts from Nitraria retusa. Food Chem Toxicol. 48:2283–2290. 2010. View Article : Google Scholar : PubMed/NCBI

70 

Zheng J, Li H, Ding CX, et al: Anthocyanins composition and antioxidant activity of two major wild Nitraria tangutorun Bobr. variations from Qinghai-Tibet Plateau. Food Res Int. 44:2041–2046. 2011. View Article : Google Scholar

71 

Bouaziz M, Dhouib A, Loukil S, et al: Polyphenols content, antioxidant and antimicrobial activities of extracts of some wild plants collected from the south of Tunisia. Afric J Biotechn. 8:7017–7027. 2009.

72 

Bai XM, Ding CX, Guo YQ, et al: Free radical scavenging effects of anthocyanins from the fruits of Nitraria tangutorun. Nat Prod Res Dev. 20:884–887. 2008.

73 

Cheng E, Dekker HL, van Gelder BF, et al: Inhibition of pig kidney diamine oxidase by nazlinin and nazlinin derivatives. Biochim Biophys Acta. 1253:189–192. 1995. View Article : Google Scholar : PubMed/NCBI

74 

Zhang GX, Qi JH, Ren X, et al: In vitro antimicrobial activity of extracts from fruits of Nitraria sibirica pall. Sci Tech Food Ind. 13:104–106. 2012.

75 

Li J, Wu XL, Chen Y, et al: Antidiarrheal properties of different extracts of Chinese herbal medicine formula Bao-Xie-Ning. J Integr Med. 11:125–134. 2013. View Article : Google Scholar : PubMed/NCBI

76 

Zaouali Y, Ksouri WM, Saada M, et al: Solvent effects on antioxidants and biological activities of the halophyte Nitraria retusa (Forssk.). Asch Planta Med. 77:PM2032011.

77 

Tawaha KA: Cytotoxicity evaluation of Jordanian wild plants using brine shrimp lethality test. Jor J App Sci-Nat Sci. 8:12–17. 2006.

78 

Senejouxa F, Girarda C, Aisab HA, et al: Vasorelaxant and hypotensive effects of a hydroalcoholic extract from the fruits of Nitraria sibirica Pall. (Nitrariaceae). J Ethnopharmacol. 141:629–634. 2012. View Article : Google Scholar : PubMed/NCBI

79 

Fan LL, Tang H, Zhang YJ, et al: The protection of total flavonoids of Nitraria tangutorun Bobr. on vascular endothelial cells which was injured by high glucose. Pharm Clin Chin Mater Med. 26:21–23. 2010.(In Chinese).

80 

Suo YR, Gao H and Wang HL: The protective effect of Nitraria tangutorum Bobr. seed oil from Qaidam basin on the liver injury of mice. Nat Prod Res Dev. 17:573–576. 2005.

81 

Liu Y, Tan CY, Wu D, et al: Study on inhibition activity of angiotensin I-converting enzyme (ACE) on 10 halophytes. Chin Pharm J. 45:736–738. 2010.(In Chinese).

82 

Suo YR and Wang HQ: Studies on hypoglycemic effect of fruit of Nitraria tangutorum Bobr. from Qinghai Tsaidam basin. Food Sci. 25:164–167. 2004.

83 

Shabana MM, Mirhom YW, Genenah AA, et al: Study into wild Egyptian plants of potential medicinal activity. Ninth communication: hypoglycaemic activity of some selected plants in normal fasting and alloxanised rats. Arch Exp Veterinarmed. 44:389–394. 1990.

84 

Suo YR, Wang HL and Wang HQ: Research on decreasing blood lipid and anti-oxidative effect of fruit of Nitraria Tangutorum Bobr. From Qaidam basin. Nat Prod Res Deve. 16:54–58. 2004.

85 

Song HY, Zhang L, Pan JL, et al: Bioactivity of five components of Chinese herbal formula Jiangzhi granules against hepatocellular steatosis. J Integr Med. 11:262–268. 2013. View Article : Google Scholar : PubMed/NCBI

86 

Zhang YJ, Fan LL, Zhang YJ, et al: Protective effect of total flavonoids of Nitraria tangutorun Bobr. against vascular endothelial cells injury induced by hydrogen peroxide. Lishizhen Med Materia Med Res. 20:562–564. 2009.(In Chinese).

Related Articles

  • Abstract
  • View
  • Download
  • Twitter
Copy and paste a formatted citation
Spandidos Publications style
Du Q, Xin H and Peng C: Pharmacology and phytochemistry of the Nitraria genus (Review). Mol Med Rep 11: 11-20, 2015.
APA
Du, Q., Xin, H., & Peng, C. (2015). Pharmacology and phytochemistry of the Nitraria genus (Review). Molecular Medicine Reports, 11, 11-20. https://doi.org/10.3892/mmr.2014.2677
MLA
Du, Q., Xin, H., Peng, C."Pharmacology and phytochemistry of the Nitraria genus (Review)". Molecular Medicine Reports 11.1 (2015): 11-20.
Chicago
Du, Q., Xin, H., Peng, C."Pharmacology and phytochemistry of the Nitraria genus (Review)". Molecular Medicine Reports 11, no. 1 (2015): 11-20. https://doi.org/10.3892/mmr.2014.2677
Copy and paste a formatted citation
x
Spandidos Publications style
Du Q, Xin H and Peng C: Pharmacology and phytochemistry of the Nitraria genus (Review). Mol Med Rep 11: 11-20, 2015.
APA
Du, Q., Xin, H., & Peng, C. (2015). Pharmacology and phytochemistry of the Nitraria genus (Review). Molecular Medicine Reports, 11, 11-20. https://doi.org/10.3892/mmr.2014.2677
MLA
Du, Q., Xin, H., Peng, C."Pharmacology and phytochemistry of the Nitraria genus (Review)". Molecular Medicine Reports 11.1 (2015): 11-20.
Chicago
Du, Q., Xin, H., Peng, C."Pharmacology and phytochemistry of the Nitraria genus (Review)". Molecular Medicine Reports 11, no. 1 (2015): 11-20. https://doi.org/10.3892/mmr.2014.2677
Follow us
  • Twitter
  • LinkedIn
  • Facebook
About
  • Spandidos Publications
  • Careers
  • Cookie Policy
  • Privacy Policy
How can we help?
  • Help
  • Live Chat
  • Contact
  • Email to our Support Team