Spandidos Publications Logo
  • About
    • About Spandidos
    • Aims and Scopes
    • Abstracting and Indexing
    • Editorial Policies
    • Reprints and Permissions
    • Job Opportunities
    • Terms and Conditions
    • Contact
  • Journals
    • All Journals
    • Oncology Letters
      • Oncology Letters
      • Information for Authors
      • Editorial Policies
      • Editorial Board
      • Aims and Scope
      • Abstracting and Indexing
      • Bibliographic Information
      • Archive
    • International Journal of Oncology
      • International Journal of Oncology
      • Information for Authors
      • Editorial Policies
      • Editorial Board
      • Aims and Scope
      • Abstracting and Indexing
      • Bibliographic Information
      • Archive
    • Molecular and Clinical Oncology
      • Molecular and Clinical Oncology
      • Information for Authors
      • Editorial Policies
      • Editorial Board
      • Aims and Scope
      • Abstracting and Indexing
      • Bibliographic Information
      • Archive
    • Experimental and Therapeutic Medicine
      • Experimental and Therapeutic Medicine
      • Information for Authors
      • Editorial Policies
      • Editorial Board
      • Aims and Scope
      • Abstracting and Indexing
      • Bibliographic Information
      • Archive
    • International Journal of Molecular Medicine
      • International Journal of Molecular Medicine
      • Information for Authors
      • Editorial Policies
      • Editorial Board
      • Aims and Scope
      • Abstracting and Indexing
      • Bibliographic Information
      • Archive
    • Biomedical Reports
      • Biomedical Reports
      • Information for Authors
      • Editorial Policies
      • Editorial Board
      • Aims and Scope
      • Abstracting and Indexing
      • Bibliographic Information
      • Archive
    • Oncology Reports
      • Oncology Reports
      • Information for Authors
      • Editorial Policies
      • Editorial Board
      • Aims and Scope
      • Abstracting and Indexing
      • Bibliographic Information
      • Archive
    • Molecular Medicine Reports
      • Molecular Medicine Reports
      • Information for Authors
      • Editorial Policies
      • Editorial Board
      • Aims and Scope
      • Abstracting and Indexing
      • Bibliographic Information
      • Archive
    • World Academy of Sciences Journal
      • World Academy of Sciences Journal
      • Information for Authors
      • Editorial Policies
      • Editorial Board
      • Aims and Scope
      • Abstracting and Indexing
      • Bibliographic Information
      • Archive
    • International Journal of Functional Nutrition
      • International Journal of Functional Nutrition
      • Information for Authors
      • Editorial Policies
      • Editorial Board
      • Aims and Scope
      • Abstracting and Indexing
      • Bibliographic Information
      • Archive
    • International Journal of Epigenetics
      • International Journal of Epigenetics
      • Information for Authors
      • Editorial Policies
      • Editorial Board
      • Aims and Scope
      • Abstracting and Indexing
      • Bibliographic Information
      • Archive
    • Medicine International
      • Medicine International
      • Information for Authors
      • Editorial Policies
      • Editorial Board
      • Aims and Scope
      • Abstracting and Indexing
      • Bibliographic Information
      • Archive
  • Articles
  • Information
    • Information for Authors
    • Information for Reviewers
    • Information for Librarians
    • Information for Advertisers
    • Conferences
  • Language Editing
Spandidos Publications Logo
  • About
    • About Spandidos
    • Aims and Scopes
    • Abstracting and Indexing
    • Editorial Policies
    • Reprints and Permissions
    • Job Opportunities
    • Terms and Conditions
    • Contact
  • Journals
    • All Journals
    • Biomedical Reports
      • Information for Authors
      • Editorial Policies
      • Editorial Board
      • Aims and Scope
      • Abstracting and Indexing
      • Bibliographic Information
      • Archive
    • Experimental and Therapeutic Medicine
      • Information for Authors
      • Editorial Policies
      • Editorial Board
      • Aims and Scope
      • Abstracting and Indexing
      • Bibliographic Information
      • Archive
    • International Journal of Epigenetics
      • Information for Authors
      • Editorial Policies
      • Editorial Board
      • Aims and Scope
      • Abstracting and Indexing
      • Bibliographic Information
      • Archive
    • International Journal of Functional Nutrition
      • Information for Authors
      • Editorial Policies
      • Editorial Board
      • Aims and Scope
      • Abstracting and Indexing
      • Bibliographic Information
      • Archive
    • International Journal of Molecular Medicine
      • Information for Authors
      • Editorial Policies
      • Editorial Board
      • Aims and Scope
      • Abstracting and Indexing
      • Bibliographic Information
      • Archive
    • International Journal of Oncology
      • Information for Authors
      • Editorial Policies
      • Editorial Board
      • Aims and Scope
      • Abstracting and Indexing
      • Bibliographic Information
      • Archive
    • Medicine International
      • Information for Authors
      • Editorial Policies
      • Editorial Board
      • Aims and Scope
      • Abstracting and Indexing
      • Bibliographic Information
      • Archive
    • Molecular and Clinical Oncology
      • Information for Authors
      • Editorial Policies
      • Editorial Board
      • Aims and Scope
      • Abstracting and Indexing
      • Bibliographic Information
      • Archive
    • Molecular Medicine Reports
      • Information for Authors
      • Editorial Policies
      • Editorial Board
      • Aims and Scope
      • Abstracting and Indexing
      • Bibliographic Information
      • Archive
    • Oncology Letters
      • Information for Authors
      • Editorial Policies
      • Editorial Board
      • Aims and Scope
      • Abstracting and Indexing
      • Bibliographic Information
      • Archive
    • Oncology Reports
      • Information for Authors
      • Editorial Policies
      • Editorial Board
      • Aims and Scope
      • Abstracting and Indexing
      • Bibliographic Information
      • Archive
    • World Academy of Sciences Journal
      • Information for Authors
      • Editorial Policies
      • Editorial Board
      • Aims and Scope
      • Abstracting and Indexing
      • Bibliographic Information
      • Archive
  • Articles
  • Information
    • For Authors
    • For Reviewers
    • For Librarians
    • For Advertisers
    • Conferences
  • Language Editing
Login Register Submit
  • This site uses cookies
  • You can change your cookie settings at any time by following the instructions in our Cookie Policy. To find out more, you may read our Privacy Policy.

    I agree
Search articles by DOI, keyword, author or affiliation
Search
Advanced Search
presentation
Molecular Medicine Reports
Join Editorial Board Propose a Special Issue
Print ISSN: 1791-2997 Online ISSN: 1791-3004
Journal Cover
July-2015 Volume 12 Issue 1

Full Size Image

Sign up for eToc alerts
Recommend to Library

Journals

International Journal of Molecular Medicine

International Journal of Molecular Medicine

International Journal of Molecular Medicine is an international journal devoted to molecular mechanisms of human disease.

International Journal of Oncology

International Journal of Oncology

International Journal of Oncology is an international journal devoted to oncology research and cancer treatment.

Molecular Medicine Reports

Molecular Medicine Reports

Covers molecular medicine topics such as pharmacology, pathology, genetics, neuroscience, infectious diseases, molecular cardiology, and molecular surgery.

Oncology Reports

Oncology Reports

Oncology Reports is an international journal devoted to fundamental and applied research in Oncology.

Experimental and Therapeutic Medicine

Experimental and Therapeutic Medicine

Experimental and Therapeutic Medicine is an international journal devoted to laboratory and clinical medicine.

Oncology Letters

Oncology Letters

Oncology Letters is an international journal devoted to Experimental and Clinical Oncology.

Biomedical Reports

Biomedical Reports

Explores a wide range of biological and medical fields, including pharmacology, genetics, microbiology, neuroscience, and molecular cardiology.

Molecular and Clinical Oncology

Molecular and Clinical Oncology

International journal addressing all aspects of oncology research, from tumorigenesis and oncogenes to chemotherapy and metastasis.

World Academy of Sciences Journal

World Academy of Sciences Journal

Multidisciplinary open-access journal spanning biochemistry, genetics, neuroscience, environmental health, and synthetic biology.

International Journal of Functional Nutrition

International Journal of Functional Nutrition

Open-access journal combining biochemistry, pharmacology, immunology, and genetics to advance health through functional nutrition.

International Journal of Epigenetics

International Journal of Epigenetics

Publishes open-access research on using epigenetics to advance understanding and treatment of human disease.

Medicine International

Medicine International

An International Open Access Journal Devoted to General Medicine.

Journal Cover
July-2015 Volume 12 Issue 1

Full Size Image

Sign up for eToc alerts
Recommend to Library

  • Article
  • Citations
    • Cite This Article
    • Download Citation
    • Create Citation Alert
    • Remove Citation Alert
    • Cited By
  • Similar Articles
    • Related Articles (in Spandidos Publications)
    • Similar Articles (Google Scholar)
    • Similar Articles (PubMed)
  • Download PDF
  • Download XML
  • View XML
Article

MicroRNA-21 promotes osteogenic differentiation by targeting small mothers against decapentaplegic 7

  • Authors:
    • Hongqiu Li
    • Feng Yang
    • Zhe Wang
    • Qin Fu
    • A Liang
  • View Affiliations / Copyright

    Affiliations: Department of Orthopedics, Shengjing Hospital of China Medical University, Shenyang 110004, P.R. China, Department of Radiology, Central Hospital of Shenyang Medical College, Shenyang 110024, P.R. China, Department of Blood Transfusion, Shengjing Hospital of China Medical University, Shenyang, Liaoning 110004, P.R. China, Department of Orthopedics, Central Hospital of Shenyang Medical College, Shenyang 110024, P.R. China
  • Pages: 1561-1567
    |
    Published online on: March 17, 2015
       https://doi.org/10.3892/mmr.2015.3497
  • Expand metrics +
Metrics: Total Views: 0 (Spandidos Publications: | PMC Statistics: )
Metrics: Total PDF Downloads: 0 (Spandidos Publications: | PMC Statistics: )
Cited By (CrossRef): 0 citations Loading Articles...

This article is mentioned in:



Abstract

Previous studies have suggested that microRNAs (miRNAs/miRs) may positively or negatively control osteogenic differentiation and mineralization by targeting negative regulators of osteogenesis or important osteogenic factors. miR‑21 is important in osteoblast differentiation and Smad7 is a critical regulator of osteogenic differentiation, which inhibits proliferation, differentiation and mineralization in mouse osteoblast cells. However, the association between Smad7 and miR‑21 remain to be elucidated. In the present study, miR‑21 was found to promote the level of osteogenic differentiation and increase matrix mineralization in MC3T3‑E1 cells. Furthermore, Smad7 was identified as a direct target of miR‑21 in the MC3T3‑E1 cells. The overexpression of miR‑21 affected the protein levels of SMAD7, but not the mRNA levels, which suggested that miR‑21 regulates the levels of SMAD7 by inhibiting translation, rather than by promoting mRNA decay. Forced expression of miR‑21 promoted osteogenic differentiation and mineralization, while inhibition of miR‑21 suppressed these processes. The present study also identified for the first time, to the best of our knowledge, the promotion of osteogenic differentiation and mineralization by miR‑21, by repressing the expression of Smad7.

Introduction

MicroRNAs (miRNAs/miRs) are short, noncoding RNAs, which are critical in numerous biological processes due to their regulation of gene expression. miRNAs suppress target gene expression by sequence-specific binding to 3′-untranslated regions (UTRs) of target mRNAs, thereby inducing mRNA degradation or translation inhibition (1).

Previous studies have suggested that miRNAs may be important in bone formation (2) and may positively or negatively control osteogenic differentiation and mineralization by targeting negative regulators of osteogenesis or important osteogenic factors, respectively. miR-542-3p inhibits osteoblast proliferation and differentiation, suppresses osteogenic differentiation and promotes osteoblast apoptosis by repressing bone morphogenetic protein (BMP)7 and its downstream signaling (3). miR-335-5p directly targets and downregulates the Wnt inhibitor, DKK1, to enhance Wnt signaling and promote osteogenesis (4). miR-15b promotes osteogenic differentiation by indirectly protecting the Runt-related transcription factor 2 (Runx2) protein from small mothers against decapentaplegic (SMAD)-specific E3 ubiquitin protein ligase 1-mediated degradation (5).

The transforming growth factor (TGF)-β family members, bone morphogenetic protein (BMP)2 and TGF-β, which signal via receptor-regulated Smads (R-SMADs), induce bone formation (6). To understand the role of miRNAs in osteoblasts, several miRNAs that are modulated by TGF-β/SMAD signaling, including miR-15b (5), miR-142-3p (7) and miR-322/503 (8), have been investigated. SMAD7 also interacts with all subfamilies of activated type I receptors and inhibits BMP and TGF-β signaling. SMAD7 is a critical regulator of osteogenic differentiation, which inhibits the proliferation, differentiation, and mineralization of mouse osteoblastic cells (9).

miR-21 regulates cell proliferation, survival and migration in numerous types of cancer and is involved in other diseases, including asthma (10), coronary plaque instability (11), and intervertebral disc degeneration (12). Yang et al (13) demonstrated the role of miR-21 in estrogen deficiency-induced osteoporosis, and confirmed that it promotes osteoblast differentiation. However, the association between miR-21 and Smad7 in osteoblast differentiation remains to be elucidated. The present study aimed to investigate whether miR-21 targets Smad7 in vitro and is involved in osteogenic differentiation and mineralization. It also aimed to investigate whether miR-21 alters levels of SMAD7 through translation inhibition or mRNA decay.

Materials and methods

Cell culture and osteogenic differentiation

The MC3T3-E1 cell line, derived from murine calvaria, was obtained from American Type Culture Collection (Manassas, VA, USA). The MC3T3-E1 cells were seeded at a density of 2×104 cells/cm2 and cultured in α-modified Eagle’s minimum essential medium (Invitrogen Life Technologies, Carlsbad, CA, USA) with 10% fetal bovine serum (Mediatech, Inc., Manassas, VA, USA), 100 U/ml penicillin and 100 mg/ml streptomycin (Sigma-Aldrich, St. Louis, MO, USA) at 37°C and 5% CO2. For osteogenic differentiation, the MC3T3-E1 cells were plated in 24-well plates with medium containing 50 μg/ml ascorbic acid (Sigma-Aldrich), 10 mM β-glycerol-phosphate (Sigma-Aldrich), and 10 nM dexamethasone (Sigma-Aldrich).

Transfection

The MC3T3-E1 cells were transfected with either mimic-miR-21 (RiboBio, Guangzhou, China), inhibitor-miR-21 (RiboBio, Guangzhou, China), or short interfering (si)RNA-Smad7 (Invitrogen Life Technologies) using Lipofectamine® 2000 (Invitrogen Life Technologies), according to the manufacturer’s instructions.

Reverse transcription-quantitative polymerase chain reaction (RT-qPCR)

RNA was extracted from the MC3T3-E1 cells (1×106 cells) using TRIzol reagent (Invitrogen Life Technologies) and cDNA was generated via RT. The miRNAs were purified using an All-in-One microRNA extraction kit (GeneCopoeia, Rockville, MD, USA), according to the manufacturer’s instructions. qPCR was performed using an ABI StepOne Plus real-time PCR system (Applied Biosystems, Foster City, CA, USA). The primers used are listed in Table I. The relative expression levels of miR-21 were calculated using the 2−ΔΔCT method (14), in which ΔCT was defined as the threshold cycle (CT) value of the U6 internal control minus the CT value of the target miRNA. The expression levels of Smad7, alkaline phosphatase (ALP), Runx2, osteocalcin (OCN), and osterix (OSX) were normalized against β-actin and calculated using the 2−ΔΔCT method.

Table I

Primer sequences used in reverse transcription-quantitative polymerase chain reaction.

Table I

Primer sequences used in reverse transcription-quantitative polymerase chain reaction.

GeneForward primerReverse primerLength (bp)
β-actin 5′-AGATGTGGATCAGCAAGCAG-3′ 5′-GCGCAAGTTAGGTTTTGTCA-3′20
Smad7 5′-CTGCAGCGGCCAATGACCA-3′ 5′-ATGAGCCTCTCAGCCGGGGG-3′19
ALP 5′-GCAGCTTGGTGCACACCTAG-3′ 5′-GAGACATTTTCCCGTTCACC-3′20
RUNX2 5′-CCGGCAAGATGAGCGAGGTCA-3′ 5′-GTGGGTTGAGAAGCGGCTCT-3′21
OCN 5′-ATGAGGACCCTCTCTCTGCT-3′ 5′-GGAGCTGCTGTGACATCCAT-3′19
OSX 5′-AGCGACCACTTGAGCAAACAT-3′ 5′-GCGGCTGATTGGCTTCTTCT-3′21

[i] ALP, alkaline phosphatase; OCN, osteocalcin; OSX, osterix; RUNX2, Runt-related transcription factor 2.

Target prediction

The Target Scan (http://www.targetscan.org), PicTar (http://pictar.bio.nyu.edu) and miRanda (http://www.microrna.org) target prediction tools were used to screen for the miR-21 target genes.

Mineralization

For the investigation of mineralization, ALP (Sigma-Aldrich) and alizarin red staining (ARS; Sigma-Aldrich) were performed. To measure the formation of bone nodules, the extracellular matrix calcium deposits were stained using 0.2% ARS for 30 min, as previously described (3–5). The mineralization values were normalized to the relative value of the control.

Western blot analysis

The cells (1×106) were lysed in lysis buffer (pH 7.5), containing 50 mM Tris, 0.1% SDS (Bio-Rad Laboratories, Inc., Hercules, CA, USA), 250 mM NaCl, 2 mM dithiothreitol, 1 mM phenylmethylsulfonyl fluoride, 0.5% NP-40 and protease inhibitor cocktail). Western blotting was performed, according to the manufacturer’s instructions (Santa Cruz Biotechnology, Inc., Santa Cruz, CA, USA). Equal quantities of protein (100 μg) were separated on 8–10% polyacrylamide-SDS gels. The proteins were then transferred onto polyvinylidene difluoride membranes (Bio-Rad Laboratories, Inc.). The activation of SMAD7 was detected using a mouse monoclonal anti-phospho-SMAD7 IgG antibody (1:500; sc-365846; Santa Cruz Biotechnology, Inc.).

Luciferase assays

The 3′-UTR of Smad7 was amplified using the following primers from Invitrogen Life Technologies: Sense 5′-TTTTTCTAGACCGCGTGCGGAGGGGACAGA-3′ and antisense 5′-TTTTTCTAGAGGAGTCCTTTCTCTCTCAAAGC-3′. The fragment was inserted into the XhoI and NotI restriction sites of psiCHECK2 (Promega, Madison, WI, USA). Mutations in the miR-21 binding site module of Smad7 were introduced by whole-plasmid amplification in the seed region of miR-21 (New England Biolabs, Ipswich, MA, USA). The MC3T3-E1 cells were transfected with either the wild-type (WT) Smad7 3′-UTR or the mutant Smad7 3′-UTR (Mut), in combination with either the miR-21 mimic or the control mimic-negative control (NC). The cells were collected 48 h after transfection, and luciferase activity was measured using a Dual-Luciferase Reporter Assay system (Promega).

Statistical analysis

Data are presented as the mean ± standard deviation. Comparisons between groups were analyzed with a paired sample t-test using SPSS 13.0 software (SPSS, Inc., Chicago, IL, USA). P<0.05 was considered to indicate a statistically significant difference.

Results

miR-21 promotes osteogenic differentiation and mineralization

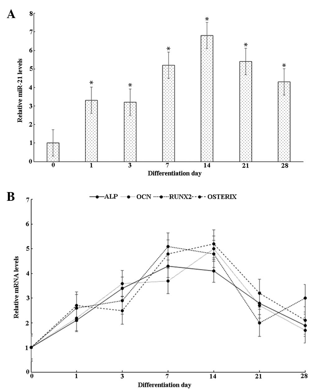
To investigate the role of miR-21 in osteogenic differentiation, the MC3T3-E1 cells were differentiated and the expression of miR-21 was measured at different time-points using RT-qPCR (Fig. 1A). The expression of miR-21 was upregulated following 1 day of differentiation and peaked after 14 days. Subsequently, the levels of expression gradually decreased, but remained upregulated for up to 28 days. The mRNA levels of the ALP, OCN, Runx2 and OSX osteogenic differentiation marker genes were significantly increased at different time-points, indicating that the induction of osteogenic differentiation was successful (Fig. 1B). These data suggested that miR-21 may be involved in osteogenic differentiation.

Figure 1

(A) miR-21 expression increased during osteoblast differentiation in MC3T3-E1 cells. miR-21 was prepared at the indicated time points. (B) ALP, OCN, RUNX2, and OSX expression increased during osteoblast differentiation in MC3T3-E1 cells. *P<0.01 vs. day 0. miR, microRNA; ALP, alkaline phosphatase; OCN, osteocalcin; OSX, osterix; RUNX2, Runt-related transcription factor 2.

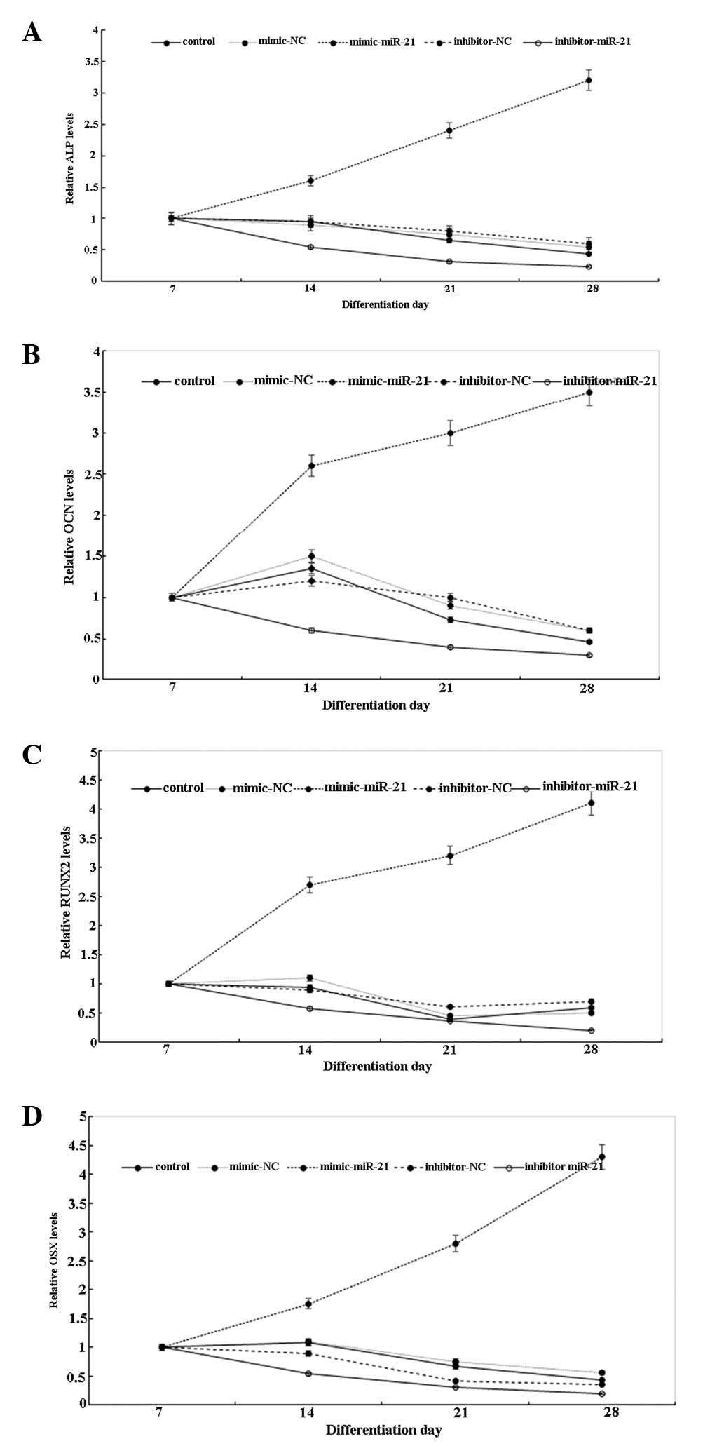
To investigate the role of miR-21 in regulating osteoblast activity, the MC3T3-E1 cells were transfected with mimic-NC, mimic-miR-21, inhibitor-NC or inhibitor-miR-21. The mRNA expression levels of ALP, OCN, Runx2, and OSX were significantly upregulated 48 h after mimic-miR-21 transfection and were downregulated at 48 h after inhibitor-miR-21 transfection compared with the controls, mimic-NC or inhibitor-NC transfected cells (Fig. 2). The mRNA expression levels of ALP, OCN, Runx2, and OSX were consistently higher in the mimic-miR-21 group, and consistently lower in the inhibitor-miR-21 treatment group at different time-points during osteogenic differentiation, compared with the corresponding control groups (Fig. 3).

Figure 2

Reverse transcription-quantitative polymerase chain reaction analysis of the mRNA levels of ALP, OCN, RUNX2 and OSX in MC3T3-E1 cells following treatment with 100 μM mimic-NC, mimic-miR-21, inhibitor-NC or inhibitor-miR-21 for 48 h. Data are presented as the mean ± standard deviation; *P<0.01 vs. control group. miR, microRNA; NC, negative control; ALP, alkaline phosphatase; OCN, osteocalcin; OSX, osterix; RUNX2, Runt-related transcription factor 2.

Figure 3

Reverse transcription-quantitative polymerase chain reaction analysis of changes in the mRNA expression levels of (A) alkaline phosphatase, (B) osteocalcin, (C) Runt-related transcription factor 2 and (D) osterix in MC3T3-E1 cells over time, following treatment with 100 μM mimic-NC, mimic-miR-21, inhibitor-NC, or inhibitor-miR-21 in osteoblast medium for 28 days. Data are presented as the mean ± standard deviation. miR, microRNA; NC, negative control; ALP, alkaline phosphatase, OCN, osteocalcin, RUNX2, Runt-related transcription factor 2; OSX, osterix.

The ARS revealed that transfection with the mimic-miR-21 and inhibitor-miR-21 markedly increased and decreased matrix mineralization, respectively (Fig. 4A). Transfection with the mimic-miR-21 enhanced ALP staining, whereas inhibitor-miR-21 weakened ALP staining (Fig. 4B). These data suggested that miR-21 promoted osteogenic differentiation and mineralization.

Figure 4

(A) Calcium deposition staining using alizarin red in MC3T3-E1 cells following treatment with 100 μM mimic-NC, mimic-miR-21, inhibitor-NC, or inhibitor-miR-21 for 48 h. (B) Alkaline phosphatase staining of MC3T3-E1 cells following treatment with 100 μM mimic-NC, mimic-miR-21, inhibitor-NC, or inhibitor-miR-21 for 48 h. miR, microRNA; NC, negative control.

Smad7 is a target of miR-21 in MC3T3-E1 cells

To further elucidate the mechanism by which miR-21 regulates osteoblast activity, the potential targets of miR-21 were predicted using miRNA target analysis tools. Among the candidate target genes, Smad7 was predicted as a target of miR-21 (Fig. 5A). To assess whether miR-21 directly targets Smad7, luciferase reporters were constructed with either a wild-type (WT) Smad7 3′-UTR or a mutant (Mut) Smad7 3′-UTR, which contained a mutant miR-21 binding site sequence. The results of the luciferase activity assays revealed that miR-21 significantly suppressed the activity of the WT reporters, but not the Mut reporters, in the MC3T3-E1 cells (Fig. 5B).

Figure 5

Luciferase assay indicating that microRNA-21 only acts on the wild-type Smad7 3′-untranslated region, but not the mutant Smad7 3′-untranslated region. Data are presented as the mean ± standard deviation; *P<0.01 vs. control group. WT, wild-type; NC, negative control; Mut, mutant; miR, microRNA.

During osteogenic differentiation, the levels of miR-21 gradually increased (Fig. 6A) and the protein levels of SMAD7 decreased over time (Fig. 6B). The overexpression of miR-21 significantly suppressed the protein expression levels of SMAD7, while inhibition of miR-21 elevated their levels in the MC3T3-E1 cells (Fig. 7B). By contrast, no differences were observed in the mRNA levels of Smad7 between the groups (Fig. 7A). These results suggested that miR-21 negatively regulated the protein expression of SMAD7.

Figure 6

Association between the levels of (A) microRNA-21 and (B) SMAD7 protein during osteoblast differentiation and mineralization in MC3T3-E1 cells. Data are presented as the mean ± standard deviation. SMAD, small mothers against decapentaplegic.

Figure 7

(A) mRNA levels of Smad7 and (B) protein levels of SMAD7 in MC3T3-E1 cells transfected with mimic-NC, mimic-miR-21, inhibitor-NC, or inhibitor-miR-21 for 48 h. miR, microRNA; NC, negative control; SMAD, small mothers against decapentaplegic.

miR-21 promotes osteogenic differentiation and mineralization by targeting SMAD7

As miR-21 promoted osteogenic differentiation and mineralization and downregulated levels of SMAD7, the present study investigated whether the inhibition of Smad7 by siRNA produced a similar effect in the MC3T3-E1 cells.

The effects of siRNA on the mRNA and protein levels of Smad7 were confirmed using RT-qPCR (Fig. 8A) and western blot analysis (Fig. 8B). The effects in the MC3T3-E1 cells transfected with Smad7 siRNA were similar to those observed in the cells transfected with mimic-miR-21 (Fig. 9). Following transfection of the MC3T3-E1 cells with siRNA-Smad7, the mRNA levels of ALP, OCN, RUNX2, and OSX remained higher compared with the cells transfected with mimic-NC, mimic-miR-21, inhibitor-NC or inhibitor-miR-21 (Fig. 10).

Figure 8

(A) mRNA levels of SMAD7. Data are presented as the mean ± standard deviation. (B) Protein levels of SMAD in the MC3T3-E1 cells transfected with siRNA-Smad7 orsiRNA-NC for 48 h. siRNA, short interfering RNA; SMAD, small mothers against decapentaplegic; NC, negative control.

Figure 9

Reverse transcription-quantitative polymerase chain reaction analysis of ALP, OCN, RUNX2, and OSX levels in MC3T3-E1 cells following transfection with siRNA-Smad7 or siRNA-NC for 48 h. Data are presented as the mean ± standard deviation; *P<0.01 vs. control group. siRNA, short interfering RNA; ALP, alkaline phosphatase; OCN, osteocalcin; RUNX2, Runt-related transcription factor 2; OSX, osterix; SMAD, small mothers against decapentaplegic; NC, negative control.

Figure 10

Reverse transcription-quantitative polymerase chain reaction analysis of the mRNA levels of (A) ALP, (B) OCN, (C) RUNX2 and (D) OSX in MC3T3-E1 cells following siRNA-Smad7 transfection with mimic-NC, mimic-miR-21, inhibitor-NC or inhibitor-miR-21 for 48 h. Data are presented as the mean ± standard deviation; *P<0.01 vs. control group. siRNA, short interfering RNA; NC, negative control; ALP, alkaline phosphatase; OCN, osteocalcin; RUNX2, Runt-related transcription factor 2; OSX, osterix; SMAD, small mothers against decapentaplegic.

The ARS revealed that siRNA-Smad7 markedly increased matrix mineralization (Fig. 11A) and enhanced ALP staining (Fig. 11B).

Figure 11

Calcium deposition, visualized using (A) alizarin red and (B) alkaline phosphatase staining in MC3T3-E1 cells following treatment with siRNA-Smad7 or siRNA-NC for 48 h. siRNA, short interfering RNA; NC, negative control.

These results suggested that miR-21 promoted osteogenic differentiation and mineralization in the MC3T3-E1 cells, in part, by inhibiting the mRNA expression of Smad7.

Discussion

Previous studies have revealed that miRNAs are essential in the regulation of osteogenic differentiation (2,15). In the present study, the expression of miR-21 was significantly increased during osteogenic differentiation in the MC3T3-E1 cells. Furthermore, miR-21 was observed to be an active regulator of osteogenic differentiation and mineralization, as the forced expression of miR-21 promoted osteogenic differentiation and mineralization, while inhibition of miR-21 suppressed these processes. The present study also identified for the first time, to the best of our knowledge, that miR-21 promoted osteogenic differentiation and mineralization by repressing the expression of Smad7.

miR-21 was the first miRNA to be identified as an onco-microRNA. It is aberrantly expressed in several types of tumor and acts as a tumor suppressor (16). It targets a number of essential genes in certain types of cancer, including tongue squamous cell carcinoma (17), thymic lymphoma (18) and ovarian cancer (19), and is involved in tumor progression and metastasis, specifically cell proliferation and differentiation. Eguchi et al (20) hypothesized that miR-21 recognized osteogenic differentiation-, stemness-, epigenetic-, and cell cycle-associated mRNAs and was, therefore, designated as an OstemiR. Yang et al (13) revealed that miR-21 promotes mesenchymal stem cell osteogenesis by repressing its target gene, sprouty homolog 1 (Spry1), and confirmed the function of the miR-21-Spry1 axis by demonstrating the promotion of bone formation in ovariectomized mice, in which the TNF-α signal is inhibited. However, the role of miR-21 in regulating osteogenic differentiation and mineralization remains to be elucidated. The normal progression of osteogenic differentiation is accompanied by expression of several marker genes, including ALP, OCN, Runx2 and OSX. The present study revealed that miR-21 was upregulated during the osteogenic differentiation of the MC3T3-E1 cells. The osteogenic marker genes were upregulated following overexpression of miR-21 and downregulated following miR-21 inhibition. Mineralization was enhanced by the overexpression of miR-21 and reduced by miR-21 inhibition. This evidence suggested that Smad7 is a functional target of miR-21 and may mediate its regulatory role in osteogenic differentiation and mineralization.

Smad7 is a critical regulator of TGF-β signaling and its deregulation has been associated with various diseases (21). It can potentially inhibit BMP and TGF-β signals and is able to inhibit the proliferation, differentiation and mineralization of mouse osteoblastic cells (9). Wang et al (22) revealed that Collagen XXIV (Col24α1) interacts with integrin β3, and that silencing Col24α1 upregulates the expression of Smad7 during osteogenic differentiation. Several previous studies have demonstrated miR-21-mediated downregulation of SMAD7 in carcinoma-associated fibroblasts (23), scleroderma (24), myelodysplastic syndromes (25) and renal fibrosis (26). In the present study, bioinformatics analysis combined with luciferase activity assays and western blot analysis confirmed that Smad7 was a direct target of miR-21, which explains the association between miR-21 and Smad7 in regulating osteogenesis in MC3T3-E1 cells. The overexpression of miR-21 affected the protein, but not the mRNA levels of SMAD7, which suggested that miR-21 regulated the levels of SMAD7 by inhibiting translation, rather than by promoting mRNA decay.

In conclusion, the present study demonstrated that miR-21 promoted in vitro osteogenic differentiation and mineralization by regulating Smad7. These results assist in elucidating the potential molecular mechanism underlying the regulation of bone formation. Furthermore, the association between miR-21 and Smad7 in osteogenic differentiation and mineralization has potential value in developing therapeutic strategies to treat osteoporosis. Further in vivo investigations are to be performed in ovariectomized mice.

Acknowledgments

The present study was funded by Shengjing Hospital of China Medical University and Central Hospital of Shenyang Medical College (Shenyang, China). The authors would like to thank those who assisted in the preparation of the manuscript.

References

1 

Moore BT and Xiao P: MiRNAs in bone diseases. Microrna. 2:20–31. 2013. View Article : Google Scholar : PubMed/NCBI

2 

Lian JB, Stein GS, van Wijnen AJ, Stein JL, Hassan MQ, Gaur T and Zhang Y: MicroRNA control of bone formation and homeostasis. Nat Rev Endocrinol. 8:212–227. 2012. View Article : Google Scholar : PubMed/NCBI

3 

Kureel J, Dixit M, Tyagi AM, Mansoori MN, Srivastava K, Raghuvanshi A, Maurya R, Trivedi R, Goel A and Singh D: miR-542-3p suppresses osteoblast cell proliferation and differentiation, targets BMP-7 signaling and inhibits bone formation. Cell Death Dis. 5:e10502014. View Article : Google Scholar : PubMed/NCBI

4 

Lin X, Wu L, Zhang Z, Yang R, Guan Q, Hou X and Wu Q: MiR-335-5p promotes chondrogenesis in mouse mesenchymal stem cells and is regulated through two positive feedback loops. J Bone Miner Res. 29:1575–1585. 2014. View Article : Google Scholar

5 

Vimalraj S, Partridge NC and Selvamurugan N: A Positive Role of microRNA-15b on regulation of osteoblast differentiation. J Cell Physiol. 29:1236–1244. 2014. View Article : Google Scholar

6 

Chen G, Deng C and Li YP: TGF-β and BMP signaling in osteoblast differentiation and bone formation. Int J Biol Sci. 8:272–288. 2012. View Article : Google Scholar

7 

Lei Z, Xu G, Wang L, Yang H, Liu X, Zhao J and Zhang HT: MiR-142-3p represses TGF-β-induced growth inhibition through repression of TGFβR1 in non-small cell lung cancer. FASEB J. 28:2696–2704. 2014. View Article : Google Scholar : PubMed/NCBI

8 

Cao S, Xiao L, Rao JN, Zou T, Liu L, Zhang D, Turner DJ, Gorospe M and Wang JY: Inhibition of Smurf2 translation by miR-322/503 modulates TGF-β/Smad2 signaling and intestinal epithelial homeostasis. Mol Biol Cell. 25:1234–1243. 2014. View Article : Google Scholar : PubMed/NCBI

9 

Yano M, Inoue Y, Tobimatsu T, Hendy G, Canaff L, Sugimoto T, Seino S and Kaji H: Smad7 inhibits differentiation and mineralization of mouse osteoblastic cells. Endocr J. 59:653–662. 2012. View Article : Google Scholar : PubMed/NCBI

10 

Kupczyk M and Kuna P: MicroRNAs-new biomarkers of respiratory tract diseases. Pneumonol Alergol Pol. 82:183–190. 2014.In Polish. View Article : Google Scholar

11 

Fan X, Wang E, Wang X, Cong X and Chen X: MicroRNA-21 is a unique signature associated with coronary plaque instability in humans by regulating matrix metalloproteinase-9 via reversion-inducing cysteine-rich protein with Kazal motifs. Exp Mol Pathol. 96:242–249. 2014. View Article : Google Scholar : PubMed/NCBI

12 

Liu H, Huang X, Liu X, Xiao S, Zhang Y, Xiang T, Shen X, Wang G and Sheng B: mir-21 promotes human nucleus pulposus cell proliferation through PTEN/AKT signaling. Int J Mol Sci. 15:4007–4018. 2014. View Article : Google Scholar : PubMed/NCBI

13 

Yang N, Wang G, Hu C, Shi Y, Liao L, Shi S, Cai Y, Cheng S, Wang X, Liu Y, Tang L, et al: Tumor necrosis factor α suppresses the mesenchymal stem cell osteogenesis promoter miR-21 in estrogen deficiency-induced osteoporosis. J Bone Miner Res. 28:559–573. 2013. View Article : Google Scholar

14 

Yuan JS, Reed A, Chen F and Stewart CN Jr: Statistical analysis of real-time PCR data. BMC Bioinformatics. 7:852006. View Article : Google Scholar : PubMed/NCBI

15 

van Wijnen AJ, van de Peppel J, van Leeuwen JP, et al: MicroRNA functions in osteogenesis and dysfunctions in osteoporosis. Curr Osteoporos Rep. 11:72–82. 2013. View Article : Google Scholar : PubMed/NCBI

16 

Salaun B, Yamamoto T, Badran B, et al: Differentiation associated regulation of microRNA expression in vivo in human CD8+ T cell subsets. J Transl Med. 9:442011. View Article : Google Scholar : PubMed/NCBI

17 

Ren W, Wang X, Gao L, Li S, Yan X, Zhang J, Huang C, Zhang Y and Zhi K: MiR-21 modulates chemosensitivity of tongue squamous cell carcinoma cells to cisplatin by targeting PDCD4. Mol Cell Biochem. 390:253–262. 2014. View Article : Google Scholar : PubMed/NCBI

18 

Liu C, Li B, Cheng Y, Lin J, Hao J, Zhang S, Mitchel RE, Sun D, Ni J, Zhao L, Gao F, et al: MiR-21 plays an important role in radiation induced carcinogenesis in BALB/c mice by directly targeting the tumor suppressor gene Big-h3. Int J Biol Sci. 7:347–363. 2011. View Article : Google Scholar : PubMed/NCBI

19 

Chan JK, Blansit K, Kiet T, Sherman A, Wong G, Earle C and Bourguignon LY: The inhibition of miR-21 promotes apoptosis and chemosensitivity in ovarian cancer. Gynecol Oncol. 132:739–744. 2014. View Article : Google Scholar : PubMed/NCBI

20 

Eguchi T, Watanabe K, Hara ES, Ono M, Kuboki T and Calderwood SK: OstemiR: a novel panel of microRNA biomarkers in osteoblastic and osteocytic differentiation from mesencymal stem cells. PLoS One. 8:e587962013. View Article : Google Scholar : PubMed/NCBI

21 

Luo L, Li N, Lv N and Huang D: SMAD7: a timer of tumor progression targeting TGF-β signaling. Tumour Biol. 35:8379–8385. 2014. View Article : Google Scholar : PubMed/NCBI

22 

Wang W, Olson D, Liang G, Franceschi RT, Li C, Wang B, Wang SS and Yang S: Collagen XXIV (Col24α1) promotes osteoblastic differentiation and mineralization through TGF-β/Smads signaling pathway. Int J Biol Sci. 8:1310–1322. 2012. View Article : Google Scholar

23 

Li Q, Zhang D, Wang Y, Sun P, Hou X, Larner J, Xiong W and Mi J: MiR-21/Smad 7 signaling determines TGF-β1-induced CAF formation Sci Rep. 3:20382013.

24 

Zhu H, Luo H, Li Y, Zhou Y, Jiang Y, Chai J, Xiao X, You Y and Zuo X: MicroRNA-21 in scleroderma fibrosis and its function in TGF-β-regulated fibrosis-related genes expression. J Clin Immunol. 33:1100–1109. 2013. View Article : Google Scholar : PubMed/NCBI

25 

Bhagat TD, Zhou L, Sokol L, et al: miR-21 mediates hematopoietic suppression in MDS by activating TGF-β signaling. Blood. 121:2875–2881. 2013. View Article : Google Scholar : PubMed/NCBI

26 

Chung AC, Dong Y, Yang W, Zhong X, Li R and Lan HY: Smad7 suppresses renal fibrosis via altering expression of TGF-β/Smad3-regulated microRNAs. Mol Ther. 21:388–398. 2013. View Article : Google Scholar :

Related Articles

  • Abstract
  • View
  • Download
  • Twitter
Copy and paste a formatted citation
Spandidos Publications style
Li H, Yang F, Wang Z, Fu Q and Liang A: MicroRNA-21 promotes osteogenic differentiation by targeting small mothers against decapentaplegic 7. Mol Med Rep 12: 1561-1567, 2015.
APA
Li, H., Yang, F., Wang, Z., Fu, Q., & Liang, A. (2015). MicroRNA-21 promotes osteogenic differentiation by targeting small mothers against decapentaplegic 7. Molecular Medicine Reports, 12, 1561-1567. https://doi.org/10.3892/mmr.2015.3497
MLA
Li, H., Yang, F., Wang, Z., Fu, Q., Liang, A."MicroRNA-21 promotes osteogenic differentiation by targeting small mothers against decapentaplegic 7". Molecular Medicine Reports 12.1 (2015): 1561-1567.
Chicago
Li, H., Yang, F., Wang, Z., Fu, Q., Liang, A."MicroRNA-21 promotes osteogenic differentiation by targeting small mothers against decapentaplegic 7". Molecular Medicine Reports 12, no. 1 (2015): 1561-1567. https://doi.org/10.3892/mmr.2015.3497
Copy and paste a formatted citation
x
Spandidos Publications style
Li H, Yang F, Wang Z, Fu Q and Liang A: MicroRNA-21 promotes osteogenic differentiation by targeting small mothers against decapentaplegic 7. Mol Med Rep 12: 1561-1567, 2015.
APA
Li, H., Yang, F., Wang, Z., Fu, Q., & Liang, A. (2015). MicroRNA-21 promotes osteogenic differentiation by targeting small mothers against decapentaplegic 7. Molecular Medicine Reports, 12, 1561-1567. https://doi.org/10.3892/mmr.2015.3497
MLA
Li, H., Yang, F., Wang, Z., Fu, Q., Liang, A."MicroRNA-21 promotes osteogenic differentiation by targeting small mothers against decapentaplegic 7". Molecular Medicine Reports 12.1 (2015): 1561-1567.
Chicago
Li, H., Yang, F., Wang, Z., Fu, Q., Liang, A."MicroRNA-21 promotes osteogenic differentiation by targeting small mothers against decapentaplegic 7". Molecular Medicine Reports 12, no. 1 (2015): 1561-1567. https://doi.org/10.3892/mmr.2015.3497
Follow us
  • Twitter
  • LinkedIn
  • Facebook
About
  • Spandidos Publications
  • Careers
  • Cookie Policy
  • Privacy Policy
How can we help?
  • Help
  • Live Chat
  • Contact
  • Email to our Support Team