Spandidos Publications Logo
  • About
    • About Spandidos
    • Aims and Scopes
    • Abstracting and Indexing
    • Editorial Policies
    • Reprints and Permissions
    • Job Opportunities
    • Terms and Conditions
    • Contact
  • Journals
    • All Journals
    • Oncology Letters
      • Oncology Letters
      • Information for Authors
      • Editorial Policies
      • Editorial Board
      • Aims and Scope
      • Abstracting and Indexing
      • Bibliographic Information
      • Archive
    • International Journal of Oncology
      • International Journal of Oncology
      • Information for Authors
      • Editorial Policies
      • Editorial Board
      • Aims and Scope
      • Abstracting and Indexing
      • Bibliographic Information
      • Archive
    • Molecular and Clinical Oncology
      • Molecular and Clinical Oncology
      • Information for Authors
      • Editorial Policies
      • Editorial Board
      • Aims and Scope
      • Abstracting and Indexing
      • Bibliographic Information
      • Archive
    • Experimental and Therapeutic Medicine
      • Experimental and Therapeutic Medicine
      • Information for Authors
      • Editorial Policies
      • Editorial Board
      • Aims and Scope
      • Abstracting and Indexing
      • Bibliographic Information
      • Archive
    • International Journal of Molecular Medicine
      • International Journal of Molecular Medicine
      • Information for Authors
      • Editorial Policies
      • Editorial Board
      • Aims and Scope
      • Abstracting and Indexing
      • Bibliographic Information
      • Archive
    • Biomedical Reports
      • Biomedical Reports
      • Information for Authors
      • Editorial Policies
      • Editorial Board
      • Aims and Scope
      • Abstracting and Indexing
      • Bibliographic Information
      • Archive
    • Oncology Reports
      • Oncology Reports
      • Information for Authors
      • Editorial Policies
      • Editorial Board
      • Aims and Scope
      • Abstracting and Indexing
      • Bibliographic Information
      • Archive
    • Molecular Medicine Reports
      • Molecular Medicine Reports
      • Information for Authors
      • Editorial Policies
      • Editorial Board
      • Aims and Scope
      • Abstracting and Indexing
      • Bibliographic Information
      • Archive
    • World Academy of Sciences Journal
      • World Academy of Sciences Journal
      • Information for Authors
      • Editorial Policies
      • Editorial Board
      • Aims and Scope
      • Abstracting and Indexing
      • Bibliographic Information
      • Archive
    • International Journal of Functional Nutrition
      • International Journal of Functional Nutrition
      • Information for Authors
      • Editorial Policies
      • Editorial Board
      • Aims and Scope
      • Abstracting and Indexing
      • Bibliographic Information
      • Archive
    • International Journal of Epigenetics
      • International Journal of Epigenetics
      • Information for Authors
      • Editorial Policies
      • Editorial Board
      • Aims and Scope
      • Abstracting and Indexing
      • Bibliographic Information
      • Archive
    • Medicine International
      • Medicine International
      • Information for Authors
      • Editorial Policies
      • Editorial Board
      • Aims and Scope
      • Abstracting and Indexing
      • Bibliographic Information
      • Archive
  • Articles
  • Information
    • Information for Authors
    • Information for Reviewers
    • Information for Librarians
    • Information for Advertisers
    • Conferences
  • Language Editing
Spandidos Publications Logo
  • About
    • About Spandidos
    • Aims and Scopes
    • Abstracting and Indexing
    • Editorial Policies
    • Reprints and Permissions
    • Job Opportunities
    • Terms and Conditions
    • Contact
  • Journals
    • All Journals
    • Biomedical Reports
      • Information for Authors
      • Editorial Policies
      • Editorial Board
      • Aims and Scope
      • Abstracting and Indexing
      • Bibliographic Information
      • Archive
    • Experimental and Therapeutic Medicine
      • Information for Authors
      • Editorial Policies
      • Editorial Board
      • Aims and Scope
      • Abstracting and Indexing
      • Bibliographic Information
      • Archive
    • International Journal of Epigenetics
      • Information for Authors
      • Editorial Policies
      • Editorial Board
      • Aims and Scope
      • Abstracting and Indexing
      • Bibliographic Information
      • Archive
    • International Journal of Functional Nutrition
      • Information for Authors
      • Editorial Policies
      • Editorial Board
      • Aims and Scope
      • Abstracting and Indexing
      • Bibliographic Information
      • Archive
    • International Journal of Molecular Medicine
      • Information for Authors
      • Editorial Policies
      • Editorial Board
      • Aims and Scope
      • Abstracting and Indexing
      • Bibliographic Information
      • Archive
    • International Journal of Oncology
      • Information for Authors
      • Editorial Policies
      • Editorial Board
      • Aims and Scope
      • Abstracting and Indexing
      • Bibliographic Information
      • Archive
    • Medicine International
      • Information for Authors
      • Editorial Policies
      • Editorial Board
      • Aims and Scope
      • Abstracting and Indexing
      • Bibliographic Information
      • Archive
    • Molecular and Clinical Oncology
      • Information for Authors
      • Editorial Policies
      • Editorial Board
      • Aims and Scope
      • Abstracting and Indexing
      • Bibliographic Information
      • Archive
    • Molecular Medicine Reports
      • Information for Authors
      • Editorial Policies
      • Editorial Board
      • Aims and Scope
      • Abstracting and Indexing
      • Bibliographic Information
      • Archive
    • Oncology Letters
      • Information for Authors
      • Editorial Policies
      • Editorial Board
      • Aims and Scope
      • Abstracting and Indexing
      • Bibliographic Information
      • Archive
    • Oncology Reports
      • Information for Authors
      • Editorial Policies
      • Editorial Board
      • Aims and Scope
      • Abstracting and Indexing
      • Bibliographic Information
      • Archive
    • World Academy of Sciences Journal
      • Information for Authors
      • Editorial Policies
      • Editorial Board
      • Aims and Scope
      • Abstracting and Indexing
      • Bibliographic Information
      • Archive
  • Articles
  • Information
    • For Authors
    • For Reviewers
    • For Librarians
    • For Advertisers
    • Conferences
  • Language Editing
Login Register Submit
  • This site uses cookies
  • You can change your cookie settings at any time by following the instructions in our Cookie Policy. To find out more, you may read our Privacy Policy.

    I agree
Search articles by DOI, keyword, author or affiliation
Search
Advanced Search
presentation
Molecular Medicine Reports
Join Editorial Board Propose a Special Issue
Print ISSN: 1791-2997 Online ISSN: 1791-3004
Journal Cover
September-2015 Volume 12 Issue 3

Full Size Image

Sign up for eToc alerts
Recommend to Library

Journals

International Journal of Molecular Medicine

International Journal of Molecular Medicine

International Journal of Molecular Medicine is an international journal devoted to molecular mechanisms of human disease.

International Journal of Oncology

International Journal of Oncology

International Journal of Oncology is an international journal devoted to oncology research and cancer treatment.

Molecular Medicine Reports

Molecular Medicine Reports

Covers molecular medicine topics such as pharmacology, pathology, genetics, neuroscience, infectious diseases, molecular cardiology, and molecular surgery.

Oncology Reports

Oncology Reports

Oncology Reports is an international journal devoted to fundamental and applied research in Oncology.

Experimental and Therapeutic Medicine

Experimental and Therapeutic Medicine

Experimental and Therapeutic Medicine is an international journal devoted to laboratory and clinical medicine.

Oncology Letters

Oncology Letters

Oncology Letters is an international journal devoted to Experimental and Clinical Oncology.

Biomedical Reports

Biomedical Reports

Explores a wide range of biological and medical fields, including pharmacology, genetics, microbiology, neuroscience, and molecular cardiology.

Molecular and Clinical Oncology

Molecular and Clinical Oncology

International journal addressing all aspects of oncology research, from tumorigenesis and oncogenes to chemotherapy and metastasis.

World Academy of Sciences Journal

World Academy of Sciences Journal

Multidisciplinary open-access journal spanning biochemistry, genetics, neuroscience, environmental health, and synthetic biology.

International Journal of Functional Nutrition

International Journal of Functional Nutrition

Open-access journal combining biochemistry, pharmacology, immunology, and genetics to advance health through functional nutrition.

International Journal of Epigenetics

International Journal of Epigenetics

Publishes open-access research on using epigenetics to advance understanding and treatment of human disease.

Medicine International

Medicine International

An International Open Access Journal Devoted to General Medicine.

Journal Cover
September-2015 Volume 12 Issue 3

Full Size Image

Sign up for eToc alerts
Recommend to Library

  • Article
  • Citations
    • Cite This Article
    • Download Citation
    • Create Citation Alert
    • Remove Citation Alert
    • Cited By
  • Similar Articles
    • Related Articles (in Spandidos Publications)
    • Similar Articles (Google Scholar)
    • Similar Articles (PubMed)
  • Download PDF
  • Download XML
  • View XML
Article

Resveratrol amplifies BMP‑4‑stimulated osteoprotegerin synthesis via p38 MAP kinase in osteoblasts

  • Authors:
    • Gen Kuroyanagi
    • Haruhiko Tokuda
    • Naohiro Yamamoto
    • Rie Matsushima‑Nishiwaki
    • Jun Mizutani
    • Osamu Kozawa
    • Takanobu Otsuka
  • View Affiliations / Copyright

    Affiliations: Department of Orthopedic Surgery, Nagoya City University Graduate School of Medical Sciences, Nagoya, Aichi 467‑8601, Japan, Department of Pharmacology, Gifu University Graduate School of Medicine, Gifu 501‑1194, Japan
  • Pages: 3849-3854
    |
    Published online on: June 3, 2015
       https://doi.org/10.3892/mmr.2015.3877
  • Expand metrics +
Metrics: Total Views: 0 (Spandidos Publications: | PMC Statistics: )
Metrics: Total PDF Downloads: 0 (Spandidos Publications: | PMC Statistics: )
Cited By (CrossRef): 0 citations Loading Articles...

This article is mentioned in:


Abstract

Resveratrol is a naturally occurring polyphenol that possesses health‑related properties, and is predominantly found in grapes and berries. Bone morphogenetic protein‑4 (BMP‑4) stimulates osteocalcin synthesis via p38 mitogen‑activated protein (MAP) kinase in osteoblast‑like MC3T3‑E1 cells. The present study aimed to investigate the effects of resveratrol on BMP‑4‑induced osteoprotegerin (OPG) synthesis in MC3T3‑E1 cells. Resveratrol alone had no effect on OPG expression levels, but significantly enhanced BMP‑4‑induced OPG release. In addition, resveratrol markedly amplified the mRNA expression levels of BMP‑4‑induced OPG. SB203580 is an inhibitor of p38 MAP kinase, which was shown to suppress BMP‑4‑stimulated OPG release. BMP‑4‑induced phosphorylation of p38 MAP kinase was also enhanced by resveratrol. Furthermore, SB203580 significantly reduced the resveratrol‑induced amplification of BMP‑4‑stimulated OPG release. These results suggested that resveratrol was able to upregulate BMP‑4‑stimulated OPG synthesis via the amplification of p38 MAP kinase activity in osteoblasts.

Introduction

Bone metabolism is predominantly regulated by two types of functional cells: Osteoblasts and osteoclasts, which are responsible for bone formation and resorption, respectively (1). The formation and remodeling of bone structures result from the combined action of osteoblasts and osteoclasts. Bone resorption and formation are highly regulated in order to maintain adequate bone mass. Osteoblasts also have a role in the regulation of bone resorption via receptor activator of nuclear factor-κB (RANK) ligand (RANKL) expression, in response to bone resorptive stimuli (2). The binding of RANKL to RANK, which is located at the cell surface of osteoclastic precursors and mature osteoclasts, stimulates osteoclastic differentiation and activation (2). Metabolic bone diseases such as osteoporosis are caused by disordered bone remodeling. Numerous humoral factors are crucial to the bone remodeling process, including prostaglandins such as prosta glandin E2, and cytokines such as interleukin-1 (3).

Osteoprotegerin (OPG) is a secreted protein synthesized by osteoblasts, which inhibits osteoclastic differentiation and activation (4). OPG and RANK belong to the tumor necrosis factor receptor family. OPG acts as a decoy receptor by binding RANKL, which prevents it from binding to RANK, resulting in the suppression of bone resorption (4). RANKL knock out mice have been shown to suffer from severe osteopetrosis (5). The RANK/RANKL/OPG axis is currently recognized as a major regulatory system for functional osteoclast forma tion (6).

Bone morphogenetic proteins (BMPs), including transforming growth factor-β (TGF-β) and activin, are multifunctional cytokines that belong to the TGF-β superfamily (7). BMPs promote bone formation via stimulation of osteoblastic proliferation and differentiation (8). BMP intracellular signaling occurs predominantly via the Smad (Smad 1/5/8)-dependent signaling pathway (5). In addition, previous studies have suggested that Smad-independent signaling, such as mitogen-activated protein (MAP) kinase signaling, also participates in BMP signaling (9,10). A previous study demonstrated that BMP-4 stimulates osteo calcin synthesis in osteoblast-like MC3T3-E1 cells, and that osteocalcin synthesis is positively regulated by p38 MAP kinase (11). In addition, BMP-4 was shown to stimulate the release of vascular endothelial growth factor (VEGF) via p38 MAP kinase in MC3T3-E1 cells (12). BMP also stimulates OPG production in osteoblasts (13). However, the precise mechanism underlying BMP-4-induced OPG synthesis in osteoblasts remains to be elucidated.

It is widely accepted that polyphenolic compounds in foods such as fruits and vegetables are beneficial to humans. Among them, flavonoids exhibit antioxidative, anti-inflammatory and anti carcinogenic effects (14,15). Resveratrol is a naturally occurring polyphenolic flavonoid present in grapes and berries, which has been shown to increase murine life span (16). In addition, the observed low mortality rates due to coronary heart disease in France may be associated with the consumption of wine, which is known to contain abundant resveratrol (17). The effects of resveratrol are mediated by the longevity gene SIRT1, which improves the functioning of cells and organs by activating the NAD+-dependent histone deacet ylase (16). NAD+ is a coenzyme of oxidoreductase synthesized as a precursor of nicotinamide, which has an important role in energy acquisition. Regarding the effects of resveratrol on osteoblasts, a previous study reported that resveratrol was able to stimulate osteoblastic differentiation (18). However, the precise mechanism underlying the effects of resveratrol on bone metabolism remains to be elucidated.

The present study aimed to investigate the effects of resveratrol on BMP-4-stimulated OPG synthesis in osteoblast-like MC3T3-E1 cells.

Materials and methods

Materials

Resveratrol and SB203580 were purchased from EMD Millipore (Billerica, MA, USA). BMP-4 and mouse OPG ELISA kits were purchased from R&D Systems, Inc. (Minneapolis, MN, USA). Phospho specific p38 MAP kinase (cat. no. 4511S), p38 MAP kinase antibodies (cat. no. 9212) and anti-rabbit IgG, horseradish peroxidase (HRP)-linked antibodies (cat. no. 7074) were obtained from Cell Signaling Technology (Danvers, MA, USA). The Enhanced Chemiluminescence (ECL) Western Blotting Detection system was obtained from GE Healthcare Life Sciences (Chalfont, UK). α Minimum Essential medium (α-MEM) was obtained from Sigma Aldrich (St. Louis, MO, USA). Fetal bovine serum (FBS) was obtained from Gibco Life Technologies (Grand Island, NY, USA). Polyvinylidene fluoride membranes were obtained from Bio Rad Laboratories, Inc. (Berkeley, CA, USA). Resveratrol and SB203580 were dissolved in dimethyl sulfoxide. The maximum concentration of dimethyl sulfoxide was 0.1%, which did not affect the OPG assay or western blot analysis.

Cell culture

Cloned osteoblast-like MC3T3 E1 cells were generously provided by Dr M. Kumegawa (Meikai University, Sakado, Japan). The cells were derived from newborn mouse calvaria (19) and were maintained as previously described (20). Briefly, the cells were cultured in α-MEM supplemented with 10% FBS at 37°C in a humidified atmosphere containing 5% CO2. The cells were subsequently seeded at a density of 5×104 cells/dish onto 35 mm diameter dishes, or at a density of 2×105 cells/dish onto 90 mm diameter dishes in α-MEM supplemented with 10% FBS. Following a period of five days, the medium was exchanged for α-MEM supplemented with 0.3% FBS. The cells were incubated for 48 h prior to further experimentation.

OPG assay

The cultured cells were treated with 10, 30, 50 or 70 µM resveratrol or 10, 20 or 30 µM SB203580 for 60 min, prior to being stimulated with either 70 ng/ml of BMP-4or vehicle in 1 ml α-MEM supplemented with 0.3% FBS, and incubated for 48 h. The vehicle was a solvent, containing phosphate buffered saline (PBS) supplemented with 0.1% bovine serum albumin, in which BMP-4 was dissolved. The conditioned medium was subsequently collected, and the OPG concentration was measured using the mouse OPG ELISA kit, according to the manufacturer's instructions. The absorbance was determined using an ELISA plate reader (Multiskan JX; Thermo Labsystems, Inc., Franklin, MA, USA).

Western blot analysis

The cultured cells were treated with 10, 30 or 50 µM resveratrol for 60 min, prior to being stimu lated with either 70 ng/ml BMP-4 or vehicle in 1 ml α-MEM supplemented with 0.3% FBS for 2 h. The cells were then washed twice with PBS prior to being lysed. Adherent cells were scraped off the dish using a plastic cell scraper, then the cell suspension was gently transferred into a microcentrifuge tube in a lysis buffer containing 62.5 mM Tris/HCl (pH 6.8), 2% SDS, 50 mM dithiothreitol, and 10% glycerol, and then soni cated with 20 short burst of 1 sec. SDS-PAGE was performed according to the Laemmli method (21) in 10% polyacrylamide gels. A western blot analysis was performed as previously described (22). The membranes were blocked with 5% fat free dry milk in Tris buffered saline with Tween (TBST; 20 mM Tris/HCl, pH 7.6, 137 mM NaCl, 0.1% Tween 20) for 1 h prior to incubation with the primary antibodies. The membranes were then incubated with the primary antibodies targeting phospho specific p38 MAP kinase and p38 MAP kinase, all at a dilution of 1:1,000 in 5% milk in TBST overnight at 4°C, using goat peroxidase labeled antibodies and anti-rabbit IgG HRP linked secondary antibody (cat. no. 7074) at a dilution of 1:1,000 in 5% milk in TBST for 1 h at room temperature (Cell Signaling Technology). The peroxidase activity on the polyvinylidene fluoride membrane (Bio-Rad Laboratories, Inc.) was visualized on an X-ray film using the ECL Western Blotting Detection system.

Reverse transcription-quantitative polymerase chain reaction (RT-qPCR)

The cultured cells were treated with either 50 µM resveratrol or vehicle for 60 min, prior to being stimulated with either 70 ng/ml BMP-4or vehicle in α-MEM supplemented with 0.3% FBS for 3 h. Total RNA was isolated and reverse transcribed into cDNA using TRIzol® reagent (Invitrogen Life Technologies, Carlsbad, CA, USA) and Omniscript Reverse Transcriptase kit (Qiagen Inc., Valencia, CA, USA). RT-qPCR was performed in capillaries using a Light Cycler 1.2 system and the Fast Start DNA Master SYBR Green I kit (Roche Diagnostics, Basel, Switzerland). The sense and antisense primers (primer set ID: MA026526) for mouse OPG and GAPDH mRNA were purchased from Takara Bio, Inc. (Otsu, Japan). The primer sequences were as follows: Forward 5′-CAA TGG CTG GCT TGG TTT CATAG-3′ and reverse 5′-CTG AAC CAG ACA TGA CAG CTGGA-3′. The sense and antisense primers for mouse GAPDH mRNA were synthesized based on the study of Simpson et al (23) and obtained from Sigma Aldrich. The primer sequences were as follows: Forward 5′-AAC GAC CCC TTC ATT GAC-3′ and reverse 5′-TCC ACG ACA TAC TCA GCAC-3′. The reaction mixtures were incubated at 95°C for 10 min, followed by 40 cycles at 60°C for 5 sec and 72°C for 7 sec. The ampli fied products were determined by melting curve analysis and 1% agarose gel electrophoresis. The mRNA expression levels of OPG were normalized to those of GAPDH.

Densitometric analysis

A densitometric analysis was performed using ImageJ 1.32 (National Institutes of Health, Bethesda, MA, USA) image analysis software program. The background subtracted signal intensity of each phosphoryla tion signal was normalized to the respective total protein signal and plotted as the fold increase, as compared with non stimulated control cells.

Statistical analysis

Differences between the mean values for individual groups were assessed with a one way analysis of variance, followed by a Bonferroni analysis in order to carry out multiple comparisons between pairs. Microsoft Excel 2010 (Redmond, WA, USA) was used for statistical analysis. P<0.05 was considered to indicate a statistically significant difference. All data are presented as the mean ± standard error of the mean, and all experiments were performed in triplicate from three independent cell preparations.

Results

Effects of resveratrol on BMP-4-stimulated OPG release in MC3T3-E1 cells

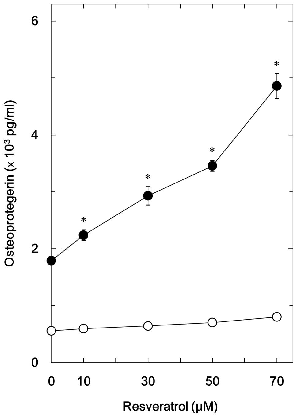
BMP-4has previously been shown to stimulate the synthesis of osteocalcin and VEGF in osteoblast-like MC3T3 E1 cells (11,12). In addition, BMP-2 induces the synthesis of OPG in human osteoblasts (13). The present study investigated whether BMP-4 stimulated OPG synthesis in MC3T3 E1 cells. The results indicated that BMP-4 significantly increased the release of OPG (Fig. 1). The present study also investigated the effects of resveratrol on BMP-4-stimulated OPG release. The results suggested that although resveratrol alone had little effect on the synthesis of OPG, it significantly enhanced BMP-4-stimulated OPG release in a dose dependent manner (10 70 µM) in MC3T3 E1 cells (Fig. 1). The maximum effect of resveratrol was observed at 70 µM, which caused a ~230% increase in the release of OPG.

Figure 1

Effects of resveratrol on bone morphogenetic protein (BMP)-4-stimulated osteoprotegerin (OPG) release in MC3T3-E1 osteoblastic like cells. The cultured cells were treated with various doses of resveratrol for 60 min, prior to being stimulated with either 70 ng/ml BMP-4 (black) or vehicle (white) for 48 h. The OPG concentrations of the culture medium were determined by ELISA. Each value is presented as the mean ± standard error of the mean. The experiments were performed in triplicate from three independent cell preparations. *P<0.05, vs. treatment with BMP-4 alone.

Effects of resveratrol on the BMP-4-induced mRNA expression of OPG in MC3T3-E1 cells

The results of the RT qPCR demonstrated that BMP-4-induced the mRNA expression of OPG in osteoblast-like MC3T3 E1 cells (Fig. 2). In order to investigate whether the amplifying effects of resveratrol on BMP-4-stimulated OPG release were mediated through tran scription, the effects of resveratrol on BMP-4-induced OPG mRNA expression were also examined. Resveratrol alone failed to affect the mRNA expression levels of OPG, but markedly enhanced BM-4-induced OPG mRNA expression (Fig. 2). These findings were concordant with the observed increase in BMP-4-stimulated OPG release following resveratrol treatment.

Figure 2

Effects of resveratrol on bone morphogenetic protein (BMP)-4-induced osteoprotegerin (OPG) mRNA expression in MC3T3-E1 osteoblastic like cells. The cultured cells were treated with either 50 µM resveratrol or vehicle for 60 min, prior to being stimulated with either 70 ng/ml BMP-4-or vehicle for 3 h. The total RNA was then isolated and reverse transcribed into cDNA. The mRNA expression levels of OPG and GAPDH were quantified by reverse trancription-quantitative polymerase chain reaction. The mRNA expression levels of OPG were normalized to those of GAPDH. Each value is presented as the mean ± standard error of the mean. The experiments were performed in triplicate from three inde pendent cell preparations. *P<0.05, vs. the control. **P<0.05, vs. treatment with BMP-4 alone.

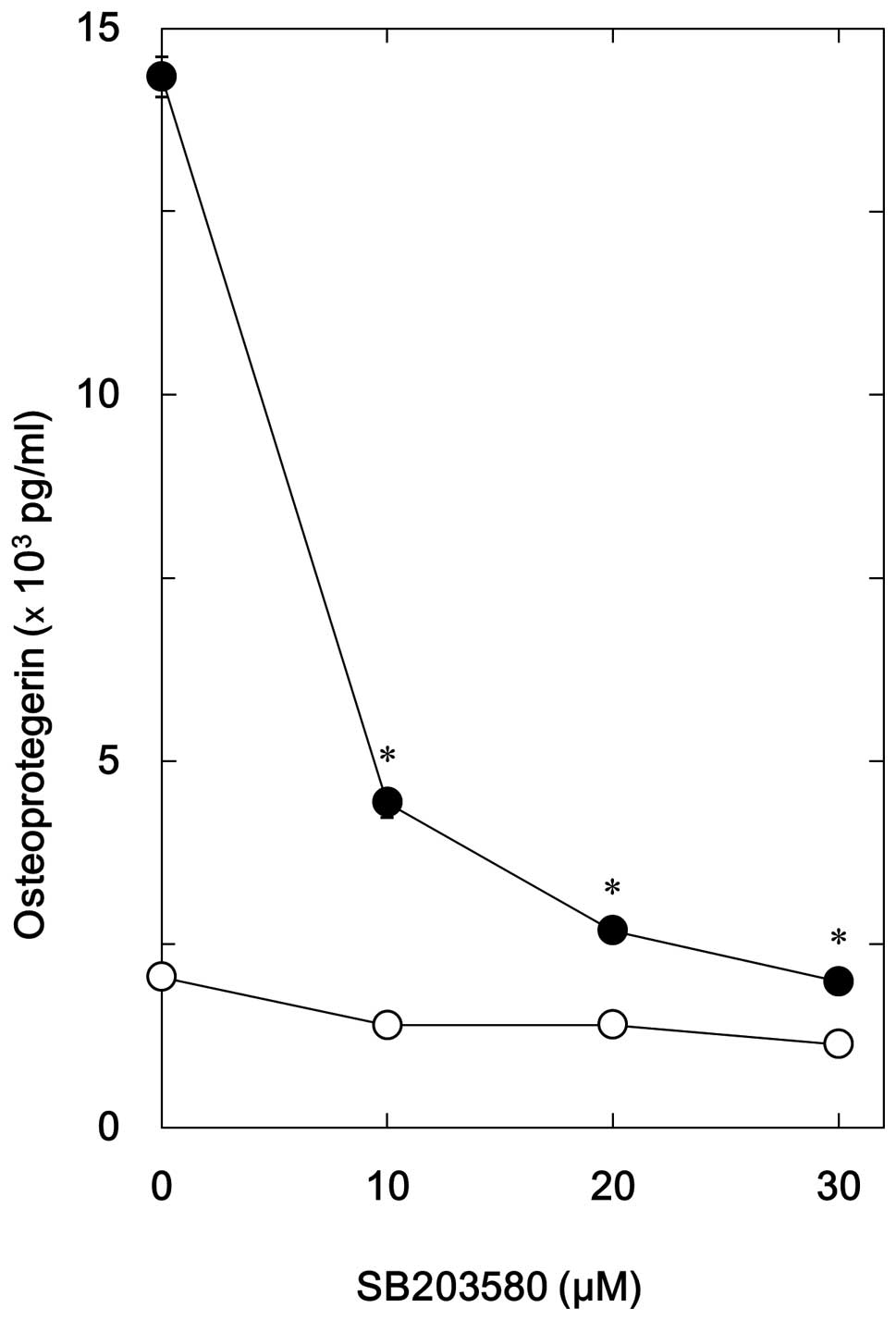
Effects of SB203580 on BMP-4-stimulated OPG release in MC3T3-E1 cells

Results from previous studies have suggested that Smad independent signaling, such as MAP kinase signaling, mediates the effects of BMPs (9,10). p38 MAP kinase has previously been reported to function in BMP-4-stimulated osteocalcin synthesis as a positive regulator in osteoblast-like MC3T3 E1 cells (11). p38 MAP kinase has also been shown to upregulate BMP-4-stimulated VEGF synthesis in MC3T3 E1 cells (12). In order to determine whether p38 MAP kinase is involved in BMP-4-induced OPG synthesis in MC3T3 E1 cells, the effects of SB203580, an inhibitor of p38 MAP kinase (24), were examined on BMP-4-stimulated OPG release. Treatment with SB203580 alone had little effect on OPG release, but significantly reduced BMP-4-stimulated OPG release in a dose dependent manner (10–30 µM) (Fig. 3).

Figure 3

Effects of SB203580 on bone morphogenetic protein (BMP)-4-stimulated osteoprotegerin (OPG) release in MC3T3-E1 osteoblastic like cells. The cultured cells were treated with various doses of SB203580 for 60 min, prior to being stimulated with either 70 ng/ml BMP-4 (black) or vehicle (white) for 48 h. The OPG concentrations in the culture medium were determined by ELISA. Each value is presented as the mean ± standard error of the mean. All experiments were performed in trip licate from three independent cell preparations. *P<0.05, vs. treatment with BMP-4 alone.

Effects of resveratrol on BMP-4-induced phosphorylation of p38 MAP kinase in MC3T3-E1 cells

In order to clarify whether the enhancing effects of resveratrol on BMP-4-stimulated OPG synthesis were mediated by the modulation of p38 MAP kinase activation in osteoblast-like MC3T3 E1 cells, the effects of resveratrol on BMP-4-induced phosphorylation of p38 MAP kinase were examined. The results indicated that resveratrol significantly enhanced BMP-4-induced phosphorylation of p38 MAP kinase in a dose dependent manner (10 50 µM) (Fig. 4). Conversely, a previous study demonstrated that resveratrol did not affect BMP-4-induced phosphorylation of Smad 1/5/8 in MC3T3 E1 cells (25).

Figure 4

Effects of resveratrol on the bone morphogenetic protein (BMP)-4-induced phosphorylation of p38 mitogen activated protein (MAP) kinase in MC3T3-E1 osteoblast-like cells. The cultured cells were treated with various doses of resveratrol for 60 min, prior to being stimulated with either 70 ng/ml BMP-4 or vehicle for 2 h. The cell extracts were then subjected to SDS-PAGE and western blotting, using antibodies targeting phospho-specific p38 MAP kinase or p38 MAP kinase. The histogram shows the quantitative representation of the levels of BMP-4-induced phosphorylation obtained from densitometric analyses. Each value is presented as the mean ± standard error of the mean. All experiments were performed in triplicate from three independent cell preparations. *P<0.05, vs. the control. **P<0.05, vs. treatment with BMP-4 alone.

Effects of SB203580 on resveratrol enhancement of BMP-4-stimulated OPG release in MC3T3-E1 cells

The present study examined the effects of SB203580 on resveratrol enhancement of BMP-4-stimulated OPG release in MC3T3-E1 cells. The results indicated that SB203580 signifi cantly suppressed the resveratrol induced amplification of BMP-4-stimulated OPG release (Table I). SB203580 caused a ~70% decrease in the effects of resveratrol enhanced BMP-4.

Table I

Effects of SB203580 on the resveratrol enhancement of BMP-4-stimulated OPG release in MC3T3-E1 osteoblastic like cells.

Table I

Effects of SB203580 on the resveratrol enhancement of BMP-4-stimulated OPG release in MC3T3-E1 osteoblastic like cells.

SB203580ResveratrolBMP-4OPG (pg/ml)
−−−576±17
−−+2,268±46a
−+−632±14
−++4,610±26b
+−−443±31
+−+948±16b
++−457±20
+++1,522±41c

{ label (or @symbol) needed for fn[@id='tfn1-mmr-12-03-3849'] } The cultured cells were treated with either 10 µM SB203580 or vehicle for 60 min, prior to being incubated with either 50 µM resveratrol or vehicle for 60 min. The cells were subsequently stimulated with either 50 ng/ml bone morphogenetic protein (BMP)-4or vehicle for 48 h. The osteoprotegerin (OPG) concentrations in the culture medium were determined by ELISA. Each value is presented as the mean ± standard error of the mean. The experiments were performed in triplicate from three independent cell preparations.

a P<0.05, vs. the control.

b P<0.05, vs. treatment with BMP-4 alone.

c P<0.05, vs. treatment with BMP-4 and resveratrol.

Discussion

The results of the present study demonstrated that resveratrol significantly enhanced BMP-4-stimulated OPG release in osteoblast-like MC3T3-E1 cells. In addition, resveratrol was able to amplify BMP-4-induced mRNA expression levels of OPG in MC3T3-E1 cells. Therefore, it is likely that the enhancing effects of resveratrol on BMP-4-stimulated OPG release are mediated through transcriptional events. To the best of our knowledge, this is the first study to report the resveratrol enhancement of BMP-4-stimulated OPG synthesis in osteoblasts.

Based on these results, the mechanism underlying resve ratrol enhancement of BMP-4-induced OPG synthesis was investigated in the osteoblast-like cells. Previous studies have demonstrated that the effects of BMPs are exerted through the intracellular signaling of both Smad-dependent, and Smad independent pathways such as MAP kinase signaling (7,9,10). In Smad dependent signaling, resveratrol previously failed to affect BMP-4-induced phosphorylation of Smad 1/5/8 in osteoblast-like MC3T3 E1 cells (25). These results suggested that it is unlikely that the resveratrol enhance ment of BMP-4-induced OPG synthesis is mediated through the Smad dependent pathway in osteoblast-like MC3T3-E1 cells. Previous studies have demonstrated that p38 MAP kinase acts as a positive regulator in the BMP-4-stimulated synthesis of both osteocalcin and VEGF in osteoblast-like MC3T3 E1 cells (11,12). In addition, a previous study examined the effects of SB203580 on BMP-4-stimulated OPG synthesis in MC3T3 E1 cells, and demonstrated that SB203580 significantly reduced BMP-4-stimulated OPG release (24). The results of the present study suggested that p38 MAP kinase was also involved in BMP-4-stimulated OPG synthesis in osteoblast-like MC3T3-E1 cells. In addition, resveratrol was shown to markedly enhance BMP-4-induced phosphorylation of p38 MAP kinase in MC3T3-E1 cells. Furthermore, SB203580 significantly suppressed the resve ratrol enhancement of BMP-4-stimulated OPG release. These results indicated that the resveratrol amplification of BMP-4-stimulated OPG synthesis may be mediated through the upregulation of p38 MAP kinase activity in osteoblast-like MC3T3-E1 cells.

Resveratrol is a naturally occurring polyphenol that is abundantly present in grapes and berries, and exhibits numerous beneficial effects on human health, such as anti oxidation, anti aging, and reduction of stress (26,27). BMP-4 increases bone formation and is an important regulator of fracture healing (8). OPG is a decoy receptor of RANKL, which blocks RANK/RANKL interaction thereby preventing osteoclast differentiation and activation (4). The results of the present study suggested that the resveratrol enhancement of BMP-4-induced OPG synthesis led to an increase in bone formation, and a suppression of bone resorption. Therefore, resveratrol may prove useful in the treatment of skeletal conditions via modulation of osteoblast function. Further investigation is required in order to clarify the mechanism underlying resveratrol amplification of OPG synthesis in osteoblasts.

In conclusion, the results of the present study suggested that resveratrol was able to upregulate BMP-4-stimulated OPG synthesis via amplification of p38 MAP kinase activity in osteoblasts.

Acknowledgments

The authors of the present study are grateful for the tech nical assistance of Mrs. Yumiko Kurokawa (Department of Pharmacology, Gifu University Graduate School of Medicine). The present study was supported by grants from the Ministry of Education, Science, Sports and Culture of Japan (grant no. 19591042), the Foundation for Growth Science (grant no. 23–9), and the Ministry of Health, Labour and Welfare of Japan (grant no. 25–4).

References

1 

Karsenty G and Wagner EF: Reaching a genetic and molecular understanding of skeletal development. Dev Cell. 2:389–406. 2002. View Article : Google Scholar : PubMed/NCBI

2 

Boyce BF, Rosenberg E, de Papp AE and Duong le T: The osteoclast, bone remodelling and treatment of metabolic bone disease. Eur J Clin Invest. 42:1332–1341. 2012. View Article : Google Scholar : PubMed/NCBI

3 

Parfitt AM: Targeted and nontargeted bone remodeling: Relationship to basic multicellular unit origination and progression. Bone. 30:5–7. 2002. View Article : Google Scholar : PubMed/NCBI

4 

Simonet WS, Lacey DL, Dunstan CR, Kelley M, Chang MS, Lüthy R, Nguyen HQ, Wooden S, Bennett L and Boone T: Osteoprotegerin: A novel secreted protein involved in the regu lation of bone density. Cell. 89:309–319. 1997. View Article : Google Scholar : PubMed/NCBI

5 

Mizuno A, Kanno T, Hoshi M, Shibata O, Yano K, Fujise N, Kinosaki M, Yamaguchi K, Tsuda E, Murakami A, et al: Transgenic mice overexpressing soluble osteoclast differen tiation factor (sODF) exhibit severe osteoporosis. J Bone Miner Metab. 20:337–344. 2002. View Article : Google Scholar

6 

Kwan Tat S, Padrines M, Théoleyre S, Heymann D and Fortun Y: IL 6, RANKL, TNF alpha/IL 1: Interrelations in bone resorption pathophysiology. Cytokine Growth Factor Rev. 15:49–60. 2004. View Article : Google Scholar : PubMed/NCBI

7 

Miyazono K, Maeda S and Imamura T: BMP receptor signaling: Transcriptional targets, regulation of signals, and signaling cross talk. Cytokine Growth Factor Rev. 16:251–263. 2005. View Article : Google Scholar : PubMed/NCBI

8 

Krause C, de Gorter DJJ, Karperien M and ten Dijke P: Signal trans duction cascades controlling osteoblast differentiation. Primer on the Metabolic Bone Diseases and Disorders of Mineral Metabolism. Rosen CJ: 7th. ASBMR; Washington: 2008, View Article : Google Scholar

9 

Moustakas A and Heldin CH: Non Smad TGF beta signals. J Cell Sci. 118:3573–3584. 2005. View Article : Google Scholar : PubMed/NCBI

10 

Cai J, Pardali E, Sánchez Duffhues G and ten Dijke P: BMP signaling in vascular diseases. FEBS Lett. 586:1993–2002. 2012. View Article : Google Scholar : PubMed/NCBI

11 

Kozawa O, Hatakeyama D and Uematsu T: Divergent regulation by p44/p42 MAP kinase and p38 MAP kinase of bone morpho genetic protein 4 stimulated osteocalcin synthesis in osteoblasts. J Cell Biochem. 84:583–589. 2002. View Article : Google Scholar

12 

Tokuda H, Hatakeyama D, Shibata T, Akamatsu S, Oiso Y and Kozawa O: p38 MAP kinase regulates BMP-4-stimulated VEGF synthesis via p70 S6 kinase in osteoblasts. Am J Physiol Endocrinol Metab. 284:E1202–E1209. 2003. View Article : Google Scholar : PubMed/NCBI

13 

Hofbauer LC, Dunstan CR, Spelsberg TC, Riggs BL and Khosla S: Osteoprotegerin production by human osteoblast lineage cells is stimulated by vitamin D, bone morpho genetic protein 2, and cytokines. Biochem Biophys Res Commun. 250:776–781. 1998. View Article : Google Scholar : PubMed/NCBI

14 

Jankun J, Selman SH, Swiercz R and Skrzypczak Jankun E: Why drinking green tea could prevent cancer. Nature. 387:5611997. View Article : Google Scholar : PubMed/NCBI

15 

Harborne JB and Williams CA: Advances in flavonoid research since 1992. Phytochemistry. 55:481–504. 2000. View Article : Google Scholar : PubMed/NCBI

16 

Baur JA, Pearson KJ, Price NL, Jamieson HA, Lerin C, Kalra A, Prabhu VV, Allard JS, Lopez Lluch G, Lewis K, et al: Resveratrol improves health and survival of mice on a high calorie diet. Nature. 444:337–342. 2006. View Article : Google Scholar : PubMed/NCBI

17 

Renaud S and de Lorgeril M: Wine, alcohol, platelets, and the French paradox for coronary heart disease. Lancet. 339:1523–1526. 1992. View Article : Google Scholar : PubMed/NCBI

18 

Mizutani K, Ikeda K, Kawai Y and Yamori Y: Resveratrol stimulates the proliferation and differentiation of osteoblastic MC3T3 E1 cells. Biochem Biophys Res Commun. 253:859–863. 1998. View Article : Google Scholar

19 

Sudo H, Kodama HA, Amagai Y, Yamamoto S and Kasai S: In vitro differentiation and calcification in a new clonal osteogenic cell line derived from newborn mouse calvaria. J Cell Biol. 96:191–198. 1983. View Article : Google Scholar : PubMed/NCBI

20 

Kozawa O, Tokuda H, Miwa M, Kotoyori J and Oiso Y: Cross talk regulation between cyclic AMP production and phosphoinositide hydrolysis induced by prostaglandin E2 in osteoblast-like cells. Exp Cell Res. 198:130–134. 1992. View Article : Google Scholar : PubMed/NCBI

21 

Laemmli UK: Cleavage of structural proteins during the assembly of the head of bacteriophage T4. Nature. 227:680–685. 1970. View Article : Google Scholar : PubMed/NCBI

22 

Kato K, Ito H, Hasegawa K, Inaguma Y, Kozawa O and Asano T: Modulation of the stress induced synthesis of hsp27 and alpha B crystallin by cyclic AMP in C6 rat glioma cells. J Neurochem. 66:946–950. 1996. View Article : Google Scholar : PubMed/NCBI

23 

Simpson DA, Feeney S, Boyle C and Stitt AW: Retinal VEGF mRNA measured by SYBR green I fluorescence: A versatile approach to quantitative PCR. Mol Vis. 6:178–183. 2000.PubMed/NCBI

24 

Cuenda A, Rouse J, Doza YN, Meier R, Cohen P, Gallagher TF, Young PR and Lee JC: SB 203580 is a specific inhibitor of a MAP kinase homologue which is stimulated by cellular stresses and interleukin 1. FEBS Lett. 364:229–233. 1995. View Article : Google Scholar : PubMed/NCBI

25 

Kondo A, Otsuka T, Kuroyanagi G, Yamamoto N, Matsushima Nishiwaki R, Mizutani J, Kozawa O and Tokuda H: Resveratrol inhibits BMP-4-stimulated VEGF synthesis in osteo blasts: Suppression of S6 kinase. Int J Mol Med. 33:1013–1018. 2014.PubMed/NCBI

26 

Blander G and Guarente L: The Sir2 family of protein deacetylases. Annu Rev Biochem. 73:417–435. 2004. View Article : Google Scholar : PubMed/NCBI

27 

Koo SH and Montminy M: In vino veritas: a tale of two sirt1s? Cell. 127:1091–1093. 2006. View Article : Google Scholar : PubMed/NCBI

Related Articles

  • Abstract
  • View
  • Download
  • Twitter
Copy and paste a formatted citation
Spandidos Publications style
Kuroyanagi G, Tokuda H, Yamamoto N, Matsushima‑Nishiwaki R, Mizutani J, Kozawa O and Otsuka T: Resveratrol amplifies BMP‑4‑stimulated osteoprotegerin synthesis via p38 MAP kinase in osteoblasts. Mol Med Rep 12: 3849-3854, 2015.
APA
Kuroyanagi, G., Tokuda, H., Yamamoto, N., Matsushima‑Nishiwaki, R., Mizutani, J., Kozawa, O., & Otsuka, T. (2015). Resveratrol amplifies BMP‑4‑stimulated osteoprotegerin synthesis via p38 MAP kinase in osteoblasts. Molecular Medicine Reports, 12, 3849-3854. https://doi.org/10.3892/mmr.2015.3877
MLA
Kuroyanagi, G., Tokuda, H., Yamamoto, N., Matsushima‑Nishiwaki, R., Mizutani, J., Kozawa, O., Otsuka, T."Resveratrol amplifies BMP‑4‑stimulated osteoprotegerin synthesis via p38 MAP kinase in osteoblasts". Molecular Medicine Reports 12.3 (2015): 3849-3854.
Chicago
Kuroyanagi, G., Tokuda, H., Yamamoto, N., Matsushima‑Nishiwaki, R., Mizutani, J., Kozawa, O., Otsuka, T."Resveratrol amplifies BMP‑4‑stimulated osteoprotegerin synthesis via p38 MAP kinase in osteoblasts". Molecular Medicine Reports 12, no. 3 (2015): 3849-3854. https://doi.org/10.3892/mmr.2015.3877
Copy and paste a formatted citation
x
Spandidos Publications style
Kuroyanagi G, Tokuda H, Yamamoto N, Matsushima‑Nishiwaki R, Mizutani J, Kozawa O and Otsuka T: Resveratrol amplifies BMP‑4‑stimulated osteoprotegerin synthesis via p38 MAP kinase in osteoblasts. Mol Med Rep 12: 3849-3854, 2015.
APA
Kuroyanagi, G., Tokuda, H., Yamamoto, N., Matsushima‑Nishiwaki, R., Mizutani, J., Kozawa, O., & Otsuka, T. (2015). Resveratrol amplifies BMP‑4‑stimulated osteoprotegerin synthesis via p38 MAP kinase in osteoblasts. Molecular Medicine Reports, 12, 3849-3854. https://doi.org/10.3892/mmr.2015.3877
MLA
Kuroyanagi, G., Tokuda, H., Yamamoto, N., Matsushima‑Nishiwaki, R., Mizutani, J., Kozawa, O., Otsuka, T."Resveratrol amplifies BMP‑4‑stimulated osteoprotegerin synthesis via p38 MAP kinase in osteoblasts". Molecular Medicine Reports 12.3 (2015): 3849-3854.
Chicago
Kuroyanagi, G., Tokuda, H., Yamamoto, N., Matsushima‑Nishiwaki, R., Mizutani, J., Kozawa, O., Otsuka, T."Resveratrol amplifies BMP‑4‑stimulated osteoprotegerin synthesis via p38 MAP kinase in osteoblasts". Molecular Medicine Reports 12, no. 3 (2015): 3849-3854. https://doi.org/10.3892/mmr.2015.3877
Follow us
  • Twitter
  • LinkedIn
  • Facebook
About
  • Spandidos Publications
  • Careers
  • Cookie Policy
  • Privacy Policy
How can we help?
  • Help
  • Live Chat
  • Contact
  • Email to our Support Team