Spandidos Publications Logo
  • About
    • About Spandidos
    • Aims and Scopes
    • Abstracting and Indexing
    • Editorial Policies
    • Reprints and Permissions
    • Job Opportunities
    • Terms and Conditions
    • Contact
  • Journals
    • All Journals
    • Oncology Letters
      • Oncology Letters
      • Information for Authors
      • Editorial Policies
      • Editorial Board
      • Aims and Scope
      • Abstracting and Indexing
      • Bibliographic Information
      • Archive
    • International Journal of Oncology
      • International Journal of Oncology
      • Information for Authors
      • Editorial Policies
      • Editorial Board
      • Aims and Scope
      • Abstracting and Indexing
      • Bibliographic Information
      • Archive
    • Molecular and Clinical Oncology
      • Molecular and Clinical Oncology
      • Information for Authors
      • Editorial Policies
      • Editorial Board
      • Aims and Scope
      • Abstracting and Indexing
      • Bibliographic Information
      • Archive
    • Experimental and Therapeutic Medicine
      • Experimental and Therapeutic Medicine
      • Information for Authors
      • Editorial Policies
      • Editorial Board
      • Aims and Scope
      • Abstracting and Indexing
      • Bibliographic Information
      • Archive
    • International Journal of Molecular Medicine
      • International Journal of Molecular Medicine
      • Information for Authors
      • Editorial Policies
      • Editorial Board
      • Aims and Scope
      • Abstracting and Indexing
      • Bibliographic Information
      • Archive
    • Biomedical Reports
      • Biomedical Reports
      • Information for Authors
      • Editorial Policies
      • Editorial Board
      • Aims and Scope
      • Abstracting and Indexing
      • Bibliographic Information
      • Archive
    • Oncology Reports
      • Oncology Reports
      • Information for Authors
      • Editorial Policies
      • Editorial Board
      • Aims and Scope
      • Abstracting and Indexing
      • Bibliographic Information
      • Archive
    • Molecular Medicine Reports
      • Molecular Medicine Reports
      • Information for Authors
      • Editorial Policies
      • Editorial Board
      • Aims and Scope
      • Abstracting and Indexing
      • Bibliographic Information
      • Archive
    • World Academy of Sciences Journal
      • World Academy of Sciences Journal
      • Information for Authors
      • Editorial Policies
      • Editorial Board
      • Aims and Scope
      • Abstracting and Indexing
      • Bibliographic Information
      • Archive
    • International Journal of Functional Nutrition
      • International Journal of Functional Nutrition
      • Information for Authors
      • Editorial Policies
      • Editorial Board
      • Aims and Scope
      • Abstracting and Indexing
      • Bibliographic Information
      • Archive
    • International Journal of Epigenetics
      • International Journal of Epigenetics
      • Information for Authors
      • Editorial Policies
      • Editorial Board
      • Aims and Scope
      • Abstracting and Indexing
      • Bibliographic Information
      • Archive
    • Medicine International
      • Medicine International
      • Information for Authors
      • Editorial Policies
      • Editorial Board
      • Aims and Scope
      • Abstracting and Indexing
      • Bibliographic Information
      • Archive
  • Articles
  • Information
    • Information for Authors
    • Information for Reviewers
    • Information for Librarians
    • Information for Advertisers
    • Conferences
  • Language Editing
Spandidos Publications Logo
  • About
    • About Spandidos
    • Aims and Scopes
    • Abstracting and Indexing
    • Editorial Policies
    • Reprints and Permissions
    • Job Opportunities
    • Terms and Conditions
    • Contact
  • Journals
    • All Journals
    • Biomedical Reports
      • Information for Authors
      • Editorial Policies
      • Editorial Board
      • Aims and Scope
      • Abstracting and Indexing
      • Bibliographic Information
      • Archive
    • Experimental and Therapeutic Medicine
      • Information for Authors
      • Editorial Policies
      • Editorial Board
      • Aims and Scope
      • Abstracting and Indexing
      • Bibliographic Information
      • Archive
    • International Journal of Epigenetics
      • Information for Authors
      • Editorial Policies
      • Editorial Board
      • Aims and Scope
      • Abstracting and Indexing
      • Bibliographic Information
      • Archive
    • International Journal of Functional Nutrition
      • Information for Authors
      • Editorial Policies
      • Editorial Board
      • Aims and Scope
      • Abstracting and Indexing
      • Bibliographic Information
      • Archive
    • International Journal of Molecular Medicine
      • Information for Authors
      • Editorial Policies
      • Editorial Board
      • Aims and Scope
      • Abstracting and Indexing
      • Bibliographic Information
      • Archive
    • International Journal of Oncology
      • Information for Authors
      • Editorial Policies
      • Editorial Board
      • Aims and Scope
      • Abstracting and Indexing
      • Bibliographic Information
      • Archive
    • Medicine International
      • Information for Authors
      • Editorial Policies
      • Editorial Board
      • Aims and Scope
      • Abstracting and Indexing
      • Bibliographic Information
      • Archive
    • Molecular and Clinical Oncology
      • Information for Authors
      • Editorial Policies
      • Editorial Board
      • Aims and Scope
      • Abstracting and Indexing
      • Bibliographic Information
      • Archive
    • Molecular Medicine Reports
      • Information for Authors
      • Editorial Policies
      • Editorial Board
      • Aims and Scope
      • Abstracting and Indexing
      • Bibliographic Information
      • Archive
    • Oncology Letters
      • Information for Authors
      • Editorial Policies
      • Editorial Board
      • Aims and Scope
      • Abstracting and Indexing
      • Bibliographic Information
      • Archive
    • Oncology Reports
      • Information for Authors
      • Editorial Policies
      • Editorial Board
      • Aims and Scope
      • Abstracting and Indexing
      • Bibliographic Information
      • Archive
    • World Academy of Sciences Journal
      • Information for Authors
      • Editorial Policies
      • Editorial Board
      • Aims and Scope
      • Abstracting and Indexing
      • Bibliographic Information
      • Archive
  • Articles
  • Information
    • For Authors
    • For Reviewers
    • For Librarians
    • For Advertisers
    • Conferences
  • Language Editing
Login Register Submit
  • This site uses cookies
  • You can change your cookie settings at any time by following the instructions in our Cookie Policy. To find out more, you may read our Privacy Policy.

    I agree
Search articles by DOI, keyword, author or affiliation
Search
Advanced Search
presentation
Molecular Medicine Reports
Join Editorial Board Propose a Special Issue
Print ISSN: 1791-2997 Online ISSN: 1791-3004
Journal Cover
October-2015 Volume 12 Issue 4

Full Size Image

Sign up for eToc alerts
Recommend to Library

Journals

International Journal of Molecular Medicine

International Journal of Molecular Medicine

International Journal of Molecular Medicine is an international journal devoted to molecular mechanisms of human disease.

International Journal of Oncology

International Journal of Oncology

International Journal of Oncology is an international journal devoted to oncology research and cancer treatment.

Molecular Medicine Reports

Molecular Medicine Reports

Covers molecular medicine topics such as pharmacology, pathology, genetics, neuroscience, infectious diseases, molecular cardiology, and molecular surgery.

Oncology Reports

Oncology Reports

Oncology Reports is an international journal devoted to fundamental and applied research in Oncology.

Experimental and Therapeutic Medicine

Experimental and Therapeutic Medicine

Experimental and Therapeutic Medicine is an international journal devoted to laboratory and clinical medicine.

Oncology Letters

Oncology Letters

Oncology Letters is an international journal devoted to Experimental and Clinical Oncology.

Biomedical Reports

Biomedical Reports

Explores a wide range of biological and medical fields, including pharmacology, genetics, microbiology, neuroscience, and molecular cardiology.

Molecular and Clinical Oncology

Molecular and Clinical Oncology

International journal addressing all aspects of oncology research, from tumorigenesis and oncogenes to chemotherapy and metastasis.

World Academy of Sciences Journal

World Academy of Sciences Journal

Multidisciplinary open-access journal spanning biochemistry, genetics, neuroscience, environmental health, and synthetic biology.

International Journal of Functional Nutrition

International Journal of Functional Nutrition

Open-access journal combining biochemistry, pharmacology, immunology, and genetics to advance health through functional nutrition.

International Journal of Epigenetics

International Journal of Epigenetics

Publishes open-access research on using epigenetics to advance understanding and treatment of human disease.

Medicine International

Medicine International

An International Open Access Journal Devoted to General Medicine.

Journal Cover
October-2015 Volume 12 Issue 4

Full Size Image

Sign up for eToc alerts
Recommend to Library

  • Article
  • Citations
    • Cite This Article
    • Download Citation
    • Create Citation Alert
    • Remove Citation Alert
    • Cited By
  • Similar Articles
    • Related Articles (in Spandidos Publications)
    • Similar Articles (Google Scholar)
    • Similar Articles (PubMed)
  • Download PDF
  • Download XML
  • View XML
Article

Yiqi Huaju formula, a Chinese herbal medicine, reduces arterial pressure in salt‑sensitive hypertension by inhibiting renin‑angiotensin system activation

  • Authors:
    • Yan‑Ming He
    • Hong‑Jie Yang
    • Qiang Yang
    • Jin‑Gang Cui
    • Tian‑Zhan Wang
    • Yi Chen
    • Pei‑Wei Wang
    • Teng Zhang
    • Wen‑Jian Wang
  • View Affiliations / Copyright

    Affiliations: Department of Endocrinology, Yueyang Hospital of Integrated Traditional Chinese and Western Medicine, Shanghai University of Traditional Chinese Medicine, Shanghai 200437, P.R. China, Institute of Chinese Integrative Medicine, Huashan Hospital, Fudan University, Shanghai 200040, P.R. China, Clinical Research Institute of Integrative Medicine, Shanghai University of Traditional Chinese Medicine, Shanghai 200437, P.R. China
  • Pages: 5321-5327
    |
    Published online on: July 20, 2015
       https://doi.org/10.3892/mmr.2015.4095
  • Expand metrics +
Metrics: Total Views: 0 (Spandidos Publications: | PMC Statistics: )
Metrics: Total PDF Downloads: 0 (Spandidos Publications: | PMC Statistics: )
Cited By (CrossRef): 0 citations Loading Articles...

This article is mentioned in:



Abstract

Hypertension is a chronic disease with a high prevalence, and is associated with a high risk of vascular disease and premature death. Traditional Chinese medicine has been administered to treat hypertension for many years. In the present study, the effects of Yiqi Huaju formula (YQ; a compound used in traditional Chinese herbal medicine) were observed in salt‑sensitive hypertension, which was induced by a high‑salt and high‑fat (HSF) diet and the potential mechanism was investigated. YQ was prepared from five plant extracts and was dissolved in normal sodium chloride prior to use. Male Sprague‑Dawley rats were randomly divided into three groups, and fed either a normal diet (control), an HSF diet or an HSF diet with YQ. At week eight, blood pressure was measured and 24‑h urine samples were collected from all of the rats. The rats were subsequently sacrificed, and their blood was collected for biochemical analyses and kidney tissue samples were dissected for the immunohistochemical assay. YQ was observed to decrease the high arterial pressure and serum total cholesterol level, which had been induced by the HSF diet. It also enhanced the excretion of urinary angiotensinogen, Na+, and decreased the loss of urinary aldosterone, K+ and microalbuminuria. In addition, YQ inhibited the high mRNA expression level of renal renin, angiotensin II (Ang II), and Ang II receptor, type 1 (AT1R), and inhibited the protein expression of renal AT1R and Ang II receptor type 2, which had been induced by the HSF diet. These results indicate that YQ may reduce the arterial pressure in salt‑sensitive hypertension via the inhibition of renin‑angiotensin system activation.

Introduction

Hypertension or high blood pressure is a chronic and complex disease. Hypertension increases the risk of cardiovascular diseases, cerebrovascular diseases and premature mortality. According to The World Health Report 2002, ~62% of cases of cerebrovascular disease and 49% of cases of ischemic heart disease are associated with suboptimal blood pressure (systolic >115 mmHg), and hypertension is estimated to cause 7.1 million mortalities annually worldwide (1). Thus, the prevention, treatment and management of hypertension are considered to be major public health challenges.

Hundreds of different high blood pressure therapeutic agents may be administered to treat hypertension, including calcium channel blockers, angiotensin-converting enzyme (ACE) inhibitors and angiotensin II (Ang II) receptor blockers. However, blood pressure regulation involves the interaction of multiple factors, including the kidneys, the central and peripheral nervous systems, and the endothelial system (2). Single therapeutic agent administration could not achieve adequate blood pressure control. Combination therapy is required in numerous cases for the management of hypertension. However, due to the inadequate effectiveness of current Western antihypertensive therapeutic agents, as well as safety concerns, there is a significant requirement for the development of efficacious pharmaceutical treatment strategies to combat hypertension (3).

Traditional Chinese medicine (TCM), including herbal medicine and acupuncture, has a long history in the treatment of hypertension, due to purportedly lower side-effects compared with modern medicines (4). TCM may be effective at a system level and targets a variety of mechanisms compared with Western treatment modalities, which tend to act on one specific target (2). Certain studies have demonstrated that considerable progress has been made in lowering blood pressure using TCM (5–7). Various complementary and alternative medicine (CAM) clinical studies, including a substantial number of randomized controlled trials and systematic reviews, have shown that CAM is effective and safe for the treatment of hypertension (8–11). Furthermore, our previous study showed that Liu Wei Di Huang formula, a Chinese traditional compound, moderately reduces arterial pressure in salt-sensitive hypertension in male rats (2).

Yiqi Huaju formula (YQ) is a traditional Chinese compound recipe containing five medicinal herb extracts; Astragalus mongholicus, Rhizoma Coptidis, Pollen Typhae, Rhizoma Alismatis and Artemisia capillaris. Our previous population study showed that this formula in combination with antihypertensive drugs exhibited better results in reducing blood pressure compared with antihypertensive drugs alone (12). However, the underlying mechanism has not been completely elucidated. The aim of the present study was to investigate the effect and mechanism of YQ formula on hypertension, which was induced by a high-salt and high-fat (HSF) diet in rats. The findings may provide a novel strategy for the treatment of salt-sensitive hypertension.

Materials and methods

Preparation of the YQ formula

YQ, consisting of five medicinal herb extracts, was provided by the National Engineering and Research Center of TCM (Beijing, China). The mixture of 12 g Huangqi (Astragali mongholici; 34.4%), 3 g Huanglian (Rhizoma Coptidis; 8.6%), 7.5 g Puhuang (Pollen Typhae; 21.4%), 5 g Zexie (Rhizoma Alismatis; 14.3%) and 7.5 g Yinchen (Artemisia capillaris; 21.4%) was macerated for 1 h with 4 liters of distilled water. The filtrate was collected and the residue was decocted again for 1 h with 2 liters of distilled water. The combined filtrates were condensed and ethanol was added (v/v, 3:7), and the supernatants were collected and condensed. The extract was harvested using a vacuum drying method and dissolved in distilled water prior to use in the experiments.

Experimental design

Eighteen 8-week-old specific pathogen-free male Sprague-Dawley rats (weight, 180–210 g), purchased from the Super-B&K Laboratory Animal Co., Ltd. (Shanghai, China), were fed and maintained in the animal facilities (Yueyang Hospital) at a temperature of 23±2°C with a relative humidity of 50–80% under a 12-h light/dark cycle. All rats had free access to rat chow (Shenya, Shanghai, China) and water. After 1 week of acclimatization to the laboratory conditions, the rats were allocated randomly to two groups; one receiving a normal diet (n=6) and one receiving an HSF diet (n=12; 4% NaCl, 18% lard, 8% yolk power, 2% cholesterol, 0.2% sodium chlorate and 67.8% rat chow) for two weeks. The rats that were fed an HSF diet were then randomly divided into two groups: HSF-fed (without YQ intervention; n=6) and YQ (treated with the YQ formula). Rats in the YQ group were given YQ formula by oral gavage (10.65 g/kg/day) every day for six weeks. The body weight of each rat was monitored weekly. All aspects of the present study were approved by the Animal Care Committee of Shanghai University of Traditional Chinese Medicine (Shanghai, China).

Blood pressure

Blood pressure was measured as described in a previous study (2). Briefly, the blood pressure of the rats was measured by the tail-cuff method using a Softron BP-98A Electro-Sphygmomanometer (Softron Bio Tech Co. Ltd., Beijing, China). The blood pressure values were determined as the mean of three separate measurements.

Sample collection

At the eighth week, following a 24-h urine collection using metabolic cages, all of the rats were anes-thetized with 10% chloral hydrate (0.3 ml/100 g; Sinopharm Chemical Reagent Co., Ltd, Shanghai, China) and blood was collected from the carotid arteries. Blood samples were collected with EDTA 2K tubes (Eppendorf, 5804, Hamburg, Germany) and centrifuged at 2,500 x g for 10 min for plasma isolation. Part of the blood was collected in plane tubes without anticoagulant, and was clotted and centrifuged (2,500 x g for 10 min) for serum isolation. Any plasma, serum and urine samples that were not used immediately were stored at −20°C or −80°C until assaying. Kidney tissues were collected for the immunohistological assay.

Biochemical analysis

Urinary Na+ and K+ concentrations were determined using a flame atomic absorption spectrophotometer (WFX-210; PerkinElmer, Inc. Waltham, MA, USA). Urine creatinine and serum creatinine and microalbuminuria (MAU) were measured using a commercial ELISA kit (Shanghai Hufeng Bio Co. Ltd., Shanghai, China). The plasma renin, Ang II, ACE activity, urinary angiotensinogen (AGT) and aldosterone (ALD) were analyzed by radioimmunoassay. The serum was analyzed for triglycerides, total cholesterol (TC), high-density lipoprotein cholesterol (HDL-c) and low-density lipoprotein cholesterol with enzymatic assay kits (Shanghai Kexin Biotechnology Biotech Co., Ltd., Shanghai, China).

Immunohistochemical assay of kidney tissue

The right kidney was dissected, maintained on ice, sliced in half and fixed in 4% paraformaldehyde at 4°C for 72 h. The sections were dehydrated through an ascending series of ethanol solution, embedded in paraffin and apportioned for the immunohistochemical assay.

The sections were dewaxed with dimethylbenzene and rehydrated with series of ethanol solution (100–40%), then heated under pressure in a retrieval solution (10mM sodium citrate buffer) for 30 min. After blocking with bovine serum albumin (5%, Amresco, Solon, OH, USA), the sections were incubated with rabbit anti-human monoclonal antibodies against angiotensin II type 1 (ab124734) and angiotensin II type 2 (ab92445) (1:2,000, Abcam, Cambridge, MA, USA) for 2 h at room temperature. Then, the sections were incubated in horseradish peroxidase-conjugated secondary antibody (ab6721; 1:1,000, Abcam) at 37°C for 1 h. Finally, the sections were developed using a 3,3′-diaminobenzidine kit (Beyotime Institute of Biotechnology, Nantong, China). Six randomly selected fields from each section were analyzed under a (Nikon 80i, Tokyo, Japan) microscope. The immunohistochemistry index was defined as average integral optical density (AIOD), which was calculated as follows: AIOD = positive area × OD/total area.

Renal mRNA expression of renin, Ang II and Ang II receptor, type 1 (AT1R)

Total RNA was extracted from 150–200 mg of kidney tissue using an RNeasy Midi kit (Qiagen, Inc., Valencia, CA, USA). The RNA yield and purity were determined by monitoring absorbance at 260 and 280 nm. cDNA was synthesized from total RNA; the sequence of sense and antisense primers (Scientific Multiskan FC, Thermo Fisher Scientific, Inc., Waltham, MA, USA) are presented in Table I. The reverse-transcription quantitative polymerase chain reaction (RT-qPCR) was conducted using an SYBR Green supermix (Takara Biotechnology Co., Ltd., Dalian, China) and performed in an ABI 7500 Real-Time PCR system (Applied Biosystems Life Technologies, Foster City, CA, USA). The relative expression of the target gene mRNA was determined by measuring the cycle threshold (CT) and this was normalized against GAPDH mRNA expression. The fold change was determined using the 2−ΔΔCT method.

Table I

Primer sequence.

Table I

Primer sequence.

GeneForwardReverse
Renin CGGCATAACAATCGCATC AAGGGACAAGCACTCATC
Angiotensin II AATGGAGACGGTCAACAG AAGGTCAGCGTGTAGATG
Angiotensin II receptor, type 1 CCAGGTCAAGTGGATTTC TGATGCTGTAGAGGGTAG
GAPDH CCGAGGGCCCACTAAAGG GCTGTTGAGTCACAGGAGCAA
Statistical analysis

Statistical analysis was performed using SPSS 18.0 (SPSS, Inc., Chicago, IL, USA). Data are presented as means ± standard deviation. One-way analysis of variance, followed by the Least Significant Difference or Dunnett's test, was used to analyze the data. P<0.05 was considered to indicate a statistically significant difference.

Results

The HSF diet increased rat body weight

The body weights of the rats all increased with time (Fig. 1). The weights of the 12 rats administered with an HSF diet were markedly higher from the sixth week when compared with the control rats (Fig. 1; P<0.05). No significant difference in body weight was identified between the HSF and YQ groups.

Figure 1

Body weight of the control, the HSF and the YQ-treated rats (n=6). The data are presented as the mean ± standard deviation. *P<0.05 vs. the other groups. HSF, high-salt and high-fat diet; YQ, Yiqi Huaju.

The HSF diet increased mean arterial pressure (MAP)

The rats that were fed the HSF diet demonstrated significantly higher values for mean arterial pressure (MAP) from the first week compared with the control group (Fig. 2; P<0.05). The two HSF groups maintained a high MAP; however, at the sixth week, the MAP of rats significantly decreased in the YQ group compared with that in the HSF group (P<0.05).

Figure 2

Mean arterial pressure of the control, the HSF and the YQ-treated rats (n=6). The data are presented as the mean ± standard deviation. *P<0.05 vs. the other groups; #P<0.05 vs. the HSF group. HSF, high-salt and high-fat diet; YQ, Yiqi Huaju.

Biochemical variables are altered by YQ administration

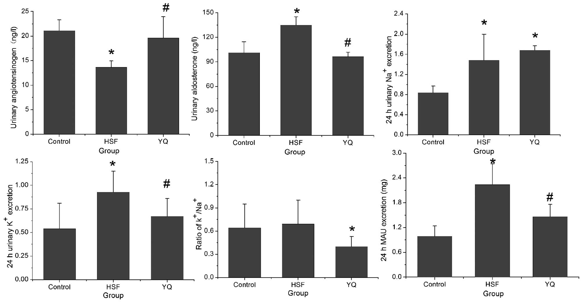
No significant differences were identified in the plasma renin, Ang II and ACE activity between groups (Fig. 3). However, urinary AGT markedly decreased in the HSF group compared with the control group (Fig. 4; P<0.05). However, urinary ALD, Na+ and K+ excretion in the HSF group increased significantly compared with the control group (Fig. 4; P<0.05). No difference in the ratio of urinary K+ to Na+ was noted between the HSF and control groups. Compared with the HSF group, YQ promoted the excretion of urinary AGT, Na+, and decreased the loss of urinary ALD and K+ (Fig. 4). MAU excretion (a sensitive marker of early kidney damage) in the HSF group remained higher when compared with the control group (Fig. 4). Compared with the HSF group, YQ decreased MAU excretion significantly following 6 weeks of treatment (P<0.05).

Figure 3

(A) Plasma Ang II, (B) ACE activity and (C) renin levels in the control, the HSF and the YQ-treated rats (n=6). No significant differences were identified in Ang II levels, ACE activity and renin activity between the groups. Ang II, angiotensin II; ACE, angiotensin-converting enzyme activity; HSF, high-salt and high-fat diet; YQ, Yiqi Huaju.

Figure 4

Urinary excretion (angiotensinogen, aldosterone, Na+, K+ and MAU) of the control, the HSF and the YQ-treated rats (n=6). The data are presented as the mean ± standard deviation. *P<0.05 vs. the other groups; #P<0.05 vs. the HSF group. MAU, microalbuminuria; HSF, high-salt and high-fat diet; YQ, Yiqi Huaju.

Serum lipid levels are presented in Table II. TC is markedly higher in rats in the HSF group when compared with the control and YQ groups (P<0.05). HDL-c appeared significantly lower in the rats in the HSF group compared with the control and YQ groups (P<0.05).

Table II

Levels of TG, TC, HDL-c and LDL-c.

Table II

Levels of TG, TC, HDL-c and LDL-c.

Plasma lipidsControl (mmol/l)HSF (mmol/l)YQ (mmol/l)
TC2.14±0.162.98±0.33a2.39±0.29b
TG0.52±0.170.54±0.300.64±0.37
HDL-c0.50±0.10.25±0.13a0.49±0.13b
LDL-c1.60±0.511.39±0.521.52±0.19

{ label (or @symbol) needed for fn[@id='tfn1-mmr-12-04-5321'] } Values are presented as the mean ± standard deviation;

a P<0.05 vs. the control (normal diet);

b P<0.05 vs. HSF. TG, triglycerides; TC, cholesterol; HDL-c, high-density lipoprotein cholesterol; LDL-c, low-density lipoprotein cholesterol; HSF, high-salt and high-fat diet; YQ, Yiqi Huaju.

YQ treatment inhibits renal mRNA expression of renin, Ang II and AT1R

The renal renin, Ang II and AT1R mRNA expression levels in the HSF group significantly increased compared with the control (Fig. 5; P<0.05). Following six weeks of YQ treatment, renal renin, Ang II and AT1R mRNA expression levels were significantly inhibited compared with those in the HSF group (Fig. 5; P<0.05).

Figure 5

mRNA expression of (A) renin, (B) Ang II and (C) AT1R in the control, the HSF and the YQ-treated rats (n=6). The data are presented as the mean ± standard deviation. *P<0.05 vs. the other groups; #P<0.05 vs. the HSF group. Ang II, angiotensin II; ACE, angiotensin-converting enzyme activity; HSF, high-salt and high-fat diet; YQ, Yiqi Huaju.

AT1R and AT2R protein expression in renal tubules

AT1R and AT2R protein expression in renal tubules is presented in Fig. 6. AT1R- and AT2R-positive cells were observed in the normal kidney tissues. AT1R and AT2R protein expression in rats that were fed the HSF diet (AIOD: 0.44±0.05 and 0.49±0.06, respectively) is markedly increased compared with that in the control group (AIOD: 0.36±0.07 and 0.31±0.09, respectively). After 6 weeks of YQ treatment, AT1R and AT2R expression were significantly inhibited (AIOD: 0.25±0.06 and 0.28±0.07, respectively) compared with those in the HSF group (P<0.05).

Figure 6

AT1R and AT2R protein expressions in the kidney. AT1R and AT2R expression were increased in the HSF group. YQ significantly inhibited AT1R and AT2R expression. Six randomly selected fields from each section were analyzed under a microscope and hematoxylin was used as a counterstain. The immunohistochemistry index was defined as the AIOD, which was calculated as follows: AIOD = positive area × OD/total area. *P<0.05 vs. the other groups. AT1R, Angiotensin II receptor, type 1; AT2R, angiotensin II receptor, type 2; HSF, high-salt and high-fat diet; YQ, Yiqi Huaju; AIOD, average integral optical density.

Discussion

Chinese herbs may potentially be effective for hypertension therapy. In the present study, the effects on salt-sensitive hypertension of YQ formula, a traditional Chinese compound recipe comprising five medicinal herbs, were observed and the potential mechanism was elucidated. The data demonstrated that YQ formula is effective in the treatment of hypertension in rats. In addition, the data showed that YQ formula administration influenced the renin-angiotensin system (RAS), which may be an underlying mechanism for controlling blood pressure.

Despite the availability of numerous antihypertensive agents, blood pressure control and attempts to improve patient quality of life remain unsatisfactory (13). Hypertension involves multiple systems, including the sympathetic nervous system, the RAS, insulin resistance and renal injury (14–16). The ideal antihypertensive therapeutic agent could control the blood pressure at different levels. TCM may be a potential option for lowering blood pressure, as TCM is capable of functioning at a system level and with various targets. Numerous review articles demonstrated that TCM administered alone or in combination with antihypertensive therapeutic agents may exert certain beneficial effects on patients with essential hypertension (3,6,8). In the present study, the YQ formula was observed to reduce MAP, which was consistent with the findings of our previous population study (12). Furthermore, previous studies identified that Huanglian (Rhizoma Coptidis) (17) and Zexie (Rhizoma Alismatis) (18), which are important compounds of the YQ formula, lower blood pressure. The present study demonstrates that Chinese herbs or formulae may be administered for the treatment of hypertension.

The effect of YQ formula on the kidneys was also investigated, and the results revealed that in the HSF group daily urinary Na+ and K+ excretion was markedly increased. Furthermore, in the HSF group, MAU excretion, a sensitive marker of early kidney injury, remained higher compared with the control group. YQ formula was shown to enhance the excretion of urinary Na+ and decrease the loss of urinary K+. In addition, YQ significantly decreased MAU excretion compared with the HSF group. These findings indicate that YQ may improve renal function, which may be a factor for controlling blood pressure.

The RAS is a predominant homeostatic system that controls body fluid volume, electrolyte balance, blood pressure, and neuronal and endocrine functions associated with cardiovascular control (19). The RAS exerts its effects via its primary effector molecule, Ang II, which binds to specific membrane-bound Ang receptors that are located in various tissues (19,20). Recent studies have revealed that Chinese herbs regulate the function of the RAS, the sympathetic vagus nerve and the immune system by inhibiting the levels of inflammatory factors (21,22). The effect of YQ formula treatment, with regard to the involvement of RAS, was also observed in the present study. The results demonstrated a significantly lower urinary Ang II level in the HSF group when compared with the control group, which was consistent with a previous study (2). Ang II exerts its effects via the activation of AT1R and AT2R (23). Urinary Ang II levels markedly increased in the YQ group compared with the HSF group in the present study. Furthermore, the mRNA expression of renin, Ang II and AT1R, and protein expression of AT1R and AT2R in renal tubules were observed. mRNA expression of renin, Ang II and AT1R in the HSF group were increased compared with the control group, while YQ significantly inhibited the upregulated expression of renin, Ang II and AT1R that was induced by the HSF diet. Similar results were observed in the protein expression of AT1R and AT2R in the renal tubules. Wang and Du (24) demonstrated that AT1R mRNA levels in the aorta and in the mesenteric resistance arteries of Wistar rats fed a high-salt diet were increased. Stewen et al (25) identified that AT1R density was increased in the renal cortex of spontaneously hypertensive rats following chronic high-salt intake. The findings noted above suggest that one of the mechanisms, which resulted in the reduced arterial pressure in the YQ group of the present study, was due to the inhibition of Ang II and renin levels in the kidney, as well as inhibition of AT1R and AT2R expression in the renal tubules. However, further studies are required to fully elucidate the mechanisms.

Certain studies have demonstrated that Chinese herbs lower blood pressure by inhibiting the expression of nuclear factor κ-light-chain-enhancer of activated B cells and inflammatory factors (26), including TNF-α and IL-6, by increasing antioxidant activities (27) or by stimulating the expression of endothelial nitric oxide synthase (28). However, the potential mechanisms of the action of Chinese herbs on hypertension require further investigation.

In conclusion, the present study indicates that YQ reduces MAP in salt-sensitive hypertension. The underlying mechanism may be associated with the effects of YQ on renal function and RAS activation.

Acknowledgments

The present study was supported by the Natural Science Foundation of China (grant no. 81001574) and the Shanghai Association of Chinese Integrative Medicine (grant no. zxyQ-1245).

References

1 

World Health Organization: Quantifying selected major risks to health. The World Health Report 2002: Reducing Risks, Promoting Healthy Life Geneva: WHO; pp. 57–58. 2002

2 

Yang Q, He Y and Wang W: The protective effect of Liu-Wei-Di-Huang-Fang in salt-sensitive hypertension. Clin Exp Hypertens. 36:426–432. 2014. View Article : Google Scholar

3 

Xiong X, Yang X, Liu W, Chu F, Wang P and Wang J: Trends in the treatment of hypertension from the perspective of traditional Chinese medicine. Evid Based Complement Alternat Med. 2013:2752792013. View Article : Google Scholar : PubMed/NCBI

4 

Nishizawa M, Sutherland WH and Nukada H: Gosha-jinki-gan (herbal medicine) in streptozocin-induced diabetic neuropathy. J Neurol Sci. 132:177–181. 1995. View Article : Google Scholar : PubMed/NCBI

5 

Janicki JS and Levick SP: The convergence of ancient Chinese medicine with modern therapeutics to prevent cardiac fibrosis. Am J Hypertens. 25:1392012. View Article : Google Scholar : PubMed/NCBI

6 

Wang J, Feng B and Xiong XJ: Chinese herbal medicine for the treatment of obesity-related hypertension: a systematic review of randomized controlled trials. Evid Based Complement Alternat Med. 2014:1–19. 2014.

7 

Xiong X, Yang X, Liu Y, Zhang Y, Wang P and Wang J: Chinese herbal formulas for treating hypertension in traditional Chinese medicine: Perspective of modern science. Hypertens Res. 36:570–579. 2013. View Article : Google Scholar : PubMed/NCBI

8 

Wang J, Xiong X, Yang G, Zhang Y, Liu Y, Zhang Y, Zhang Z, Li J and Yang X: Chinese herbal medicine qi ju di huang wan for the treatment of essential hypertension: a systematic review of randomized controlled trials. Evid Based Complement Alternat Med. 2013:2626852013. View Article : Google Scholar : PubMed/NCBI

9 

Lee MS, Choi TY, Shin BC, Kim JI and Nam SS: Cupping for hypertension: A systematic review. Clin Exp Hypertens. 32:423–425. 2010. View Article : Google Scholar : PubMed/NCBI

10 

Hur MH, Lee MS, Kim C and Ernst E: Aromatherapy for treatment of hypertension: A systematic review. J Eval Clin Pract. 18:37–41. 2012. View Article : Google Scholar

11 

Kim JI, Choi JY, Lee H, Lee MS and Ernst E: Moxibustion for hypertension: A systematic review. BMC Cardiovasc Disord. 10:332010. View Article : Google Scholar : PubMed/NCBI

12 

Chen Y, Fu DY, Chen Y, He YM, Fu XD, Xu YQ, Liu Y, Feng XT, Zhang T and Wang WJ: Effects of Chinese herbal medicine Yiqi Huaju Formula on hypertensive patients with metabolic syndrome: A randomized, placebo-controlled trial. J Integr Med. 11:184–194. 2013. View Article : Google Scholar : PubMed/NCBI

13 

Filippi A, Paolini I, Innocenti F, Mazzaglia G, Battaggia A and Brignoli O: Blood pressure control and drug therapy in patients with diagnosed hypertension: A survey in Italian general practice. J Hum Hypertens. 23:758–763. 2009. View Article : Google Scholar : PubMed/NCBI

14 

Chamarthi B, Williams JS and Williams GH: A mechanism for salt-sensitive hypertension: Abnormal dietary sodium-mediated vascular response to angiotensin-II. J Hyperten. 28:1020–1026. 2010. View Article : Google Scholar

15 

Rodriguez-Iturbe B, Romero F and Johnson RJ: Pathophysiological mechanisms of salt-dependent hypertension. Am J Kidney Dis. 50:655–672. 2007. View Article : Google Scholar : PubMed/NCBI

16 

Leenen FH and Yuan B: Dietary-sodium-induced cardiac remodeling in spontaneously hypertensive rat versus Wistar-Kyoto rat. J Hypertens. 16:885–892. 1998. View Article : Google Scholar : PubMed/NCBI

17 

Yuan L, Tu D, Ye X and Wu J: Hypoglycemic and hypocholes-terolemic effects of Coptis chinensis Franch inflorescence. Plant Food Hum Nutr. 61:139–144. 2006. View Article : Google Scholar

18 

Chen J, Fan H and Zhang S: Effect of modified Zexie decoction on prevention of kidney injuries of rats with hypertension induced by high-salt diet. Zhong Yi Za Zhi. 53:234–237. 2012.

19 

Drenjančević-Perić I, Jelaković B, Lombard JH, Kunert MP, Kibel A and Gros M: High-salt diet and hypertension: Focus on the renin-angiotensin system. Kidney Blood Press Res. 4:1–11. 2011. View Article : Google Scholar

20 

Baudouin M, Meyer P and Worcel M: Specific binding of 3H-angiotensin II in rabbit aorta. Biochem Biophys Res Commun. 42:434–440. 1971. View Article : Google Scholar : PubMed/NCBI

21 

He GW, Qu WJ, Fan B, Jing R and He R: The protective effect of Yi-Qi-Yang-Yin-Ye, a compound of traditional Chinese herbal medicine in diet-induced obese rats. Am J Chin Med. 36:5–17. 2008. View Article : Google Scholar

22 

Kim JO, Lee GD, Kwon JH and Kim KS: Anti-diabetic effects of new herbal formula in neonatally streptozotocin-induced diabetic rats. Biol Pharm Bull. 32:421–426. 2009. View Article : Google Scholar : PubMed/NCBI

23 

van Esch JH, Oosterveer CR, Batenburg WW, van Veghel R and Jan Danser AH: Effects of angiotensin II and its metabolites in the rat coronary vascular bed: Is angiotensin III the preferred ligand of the angiotensin AT2 receptor? Eur J Pharmacol. 588:286–293. 2008. View Article : Google Scholar : PubMed/NCBI

24 

Wang DH and Du Y: Regulation of vascular type 1 angiotensin II receptor in hypertension and sodium loading: Role of angio-tensin II. J Hypertens. 16:467–475. 1998. View Article : Google Scholar : PubMed/NCBI

25 

Stewen P, Mervaala E, Karppanen H, Nyman T, Saijonmaa O, Tikkanen I and Fyhrquist F: Sodium load increases renal angiotensin type 1 receptors and decreases bradykinin type 2 receptors. Hypertens Res. 26:583–589. 2003. View Article : Google Scholar : PubMed/NCBI

26 

Chen LY, Pan CS, Wei XH, Li L, Han JY and Huang L: Sang-qi granula reduces blood pressure and myocardial fibrosis by suppressing inflammatory responses associated with the peroxisome proliferator-activated receptors and nuclear factor κB protein in spontaneously hypertensive rats. Evid Based Complement Alternat Med. 2013:7217292013.

27 

Wu SJ, Ng LT and Lin CC: Antioxidant activities of some common ingredients of traditional Chinese medicine, Angelica sinensis, Lycium barbarum and Poria cocos. Phytother Res. 18:1008–1012. 2004. View Article : Google Scholar

28 

Kim DD, Sánchez FA, Durán RG, Kanetaka T and Durán WN: Endothelial nitric oxide synthase is a molecular vascular target for the Chinese herb danshen in hypertension. Am J Physiol Heart Circ Physiol. 292:H2131–H2137. 2007. View Article : Google Scholar

Related Articles

  • Abstract
  • View
  • Download
  • Twitter
Copy and paste a formatted citation
Spandidos Publications style
He YM, Yang HJ, Yang Q, Cui JG, Wang TZ, Chen Y, Wang PW, Zhang T and Wang WJ: Yiqi Huaju formula, a Chinese herbal medicine, reduces arterial pressure in salt‑sensitive hypertension by inhibiting renin‑angiotensin system activation. Mol Med Rep 12: 5321-5327, 2015.
APA
He, Y., Yang, H., Yang, Q., Cui, J., Wang, T., Chen, Y. ... Wang, W. (2015). Yiqi Huaju formula, a Chinese herbal medicine, reduces arterial pressure in salt‑sensitive hypertension by inhibiting renin‑angiotensin system activation. Molecular Medicine Reports, 12, 5321-5327. https://doi.org/10.3892/mmr.2015.4095
MLA
He, Y., Yang, H., Yang, Q., Cui, J., Wang, T., Chen, Y., Wang, P., Zhang, T., Wang, W."Yiqi Huaju formula, a Chinese herbal medicine, reduces arterial pressure in salt‑sensitive hypertension by inhibiting renin‑angiotensin system activation". Molecular Medicine Reports 12.4 (2015): 5321-5327.
Chicago
He, Y., Yang, H., Yang, Q., Cui, J., Wang, T., Chen, Y., Wang, P., Zhang, T., Wang, W."Yiqi Huaju formula, a Chinese herbal medicine, reduces arterial pressure in salt‑sensitive hypertension by inhibiting renin‑angiotensin system activation". Molecular Medicine Reports 12, no. 4 (2015): 5321-5327. https://doi.org/10.3892/mmr.2015.4095
Copy and paste a formatted citation
x
Spandidos Publications style
He YM, Yang HJ, Yang Q, Cui JG, Wang TZ, Chen Y, Wang PW, Zhang T and Wang WJ: Yiqi Huaju formula, a Chinese herbal medicine, reduces arterial pressure in salt‑sensitive hypertension by inhibiting renin‑angiotensin system activation. Mol Med Rep 12: 5321-5327, 2015.
APA
He, Y., Yang, H., Yang, Q., Cui, J., Wang, T., Chen, Y. ... Wang, W. (2015). Yiqi Huaju formula, a Chinese herbal medicine, reduces arterial pressure in salt‑sensitive hypertension by inhibiting renin‑angiotensin system activation. Molecular Medicine Reports, 12, 5321-5327. https://doi.org/10.3892/mmr.2015.4095
MLA
He, Y., Yang, H., Yang, Q., Cui, J., Wang, T., Chen, Y., Wang, P., Zhang, T., Wang, W."Yiqi Huaju formula, a Chinese herbal medicine, reduces arterial pressure in salt‑sensitive hypertension by inhibiting renin‑angiotensin system activation". Molecular Medicine Reports 12.4 (2015): 5321-5327.
Chicago
He, Y., Yang, H., Yang, Q., Cui, J., Wang, T., Chen, Y., Wang, P., Zhang, T., Wang, W."Yiqi Huaju formula, a Chinese herbal medicine, reduces arterial pressure in salt‑sensitive hypertension by inhibiting renin‑angiotensin system activation". Molecular Medicine Reports 12, no. 4 (2015): 5321-5327. https://doi.org/10.3892/mmr.2015.4095
Follow us
  • Twitter
  • LinkedIn
  • Facebook
About
  • Spandidos Publications
  • Careers
  • Cookie Policy
  • Privacy Policy
How can we help?
  • Help
  • Live Chat
  • Contact
  • Email to our Support Team