Spandidos Publications Logo
  • About
    • About Spandidos
    • Aims and Scopes
    • Abstracting and Indexing
    • Editorial Policies
    • Reprints and Permissions
    • Job Opportunities
    • Terms and Conditions
    • Contact
  • Journals
    • All Journals
    • Oncology Letters
      • Oncology Letters
      • Information for Authors
      • Editorial Policies
      • Editorial Board
      • Aims and Scope
      • Abstracting and Indexing
      • Bibliographic Information
      • Archive
    • International Journal of Oncology
      • International Journal of Oncology
      • Information for Authors
      • Editorial Policies
      • Editorial Board
      • Aims and Scope
      • Abstracting and Indexing
      • Bibliographic Information
      • Archive
    • Molecular and Clinical Oncology
      • Molecular and Clinical Oncology
      • Information for Authors
      • Editorial Policies
      • Editorial Board
      • Aims and Scope
      • Abstracting and Indexing
      • Bibliographic Information
      • Archive
    • Experimental and Therapeutic Medicine
      • Experimental and Therapeutic Medicine
      • Information for Authors
      • Editorial Policies
      • Editorial Board
      • Aims and Scope
      • Abstracting and Indexing
      • Bibliographic Information
      • Archive
    • International Journal of Molecular Medicine
      • International Journal of Molecular Medicine
      • Information for Authors
      • Editorial Policies
      • Editorial Board
      • Aims and Scope
      • Abstracting and Indexing
      • Bibliographic Information
      • Archive
    • Biomedical Reports
      • Biomedical Reports
      • Information for Authors
      • Editorial Policies
      • Editorial Board
      • Aims and Scope
      • Abstracting and Indexing
      • Bibliographic Information
      • Archive
    • Oncology Reports
      • Oncology Reports
      • Information for Authors
      • Editorial Policies
      • Editorial Board
      • Aims and Scope
      • Abstracting and Indexing
      • Bibliographic Information
      • Archive
    • Molecular Medicine Reports
      • Molecular Medicine Reports
      • Information for Authors
      • Editorial Policies
      • Editorial Board
      • Aims and Scope
      • Abstracting and Indexing
      • Bibliographic Information
      • Archive
    • World Academy of Sciences Journal
      • World Academy of Sciences Journal
      • Information for Authors
      • Editorial Policies
      • Editorial Board
      • Aims and Scope
      • Abstracting and Indexing
      • Bibliographic Information
      • Archive
    • International Journal of Functional Nutrition
      • International Journal of Functional Nutrition
      • Information for Authors
      • Editorial Policies
      • Editorial Board
      • Aims and Scope
      • Abstracting and Indexing
      • Bibliographic Information
      • Archive
    • International Journal of Epigenetics
      • International Journal of Epigenetics
      • Information for Authors
      • Editorial Policies
      • Editorial Board
      • Aims and Scope
      • Abstracting and Indexing
      • Bibliographic Information
      • Archive
    • Medicine International
      • Medicine International
      • Information for Authors
      • Editorial Policies
      • Editorial Board
      • Aims and Scope
      • Abstracting and Indexing
      • Bibliographic Information
      • Archive
  • Articles
  • Information
    • Information for Authors
    • Information for Reviewers
    • Information for Librarians
    • Information for Advertisers
    • Conferences
  • Language Editing
Spandidos Publications Logo
  • About
    • About Spandidos
    • Aims and Scopes
    • Abstracting and Indexing
    • Editorial Policies
    • Reprints and Permissions
    • Job Opportunities
    • Terms and Conditions
    • Contact
  • Journals
    • All Journals
    • Biomedical Reports
      • Information for Authors
      • Editorial Policies
      • Editorial Board
      • Aims and Scope
      • Abstracting and Indexing
      • Bibliographic Information
      • Archive
    • Experimental and Therapeutic Medicine
      • Information for Authors
      • Editorial Policies
      • Editorial Board
      • Aims and Scope
      • Abstracting and Indexing
      • Bibliographic Information
      • Archive
    • International Journal of Epigenetics
      • Information for Authors
      • Editorial Policies
      • Editorial Board
      • Aims and Scope
      • Abstracting and Indexing
      • Bibliographic Information
      • Archive
    • International Journal of Functional Nutrition
      • Information for Authors
      • Editorial Policies
      • Editorial Board
      • Aims and Scope
      • Abstracting and Indexing
      • Bibliographic Information
      • Archive
    • International Journal of Molecular Medicine
      • Information for Authors
      • Editorial Policies
      • Editorial Board
      • Aims and Scope
      • Abstracting and Indexing
      • Bibliographic Information
      • Archive
    • International Journal of Oncology
      • Information for Authors
      • Editorial Policies
      • Editorial Board
      • Aims and Scope
      • Abstracting and Indexing
      • Bibliographic Information
      • Archive
    • Medicine International
      • Information for Authors
      • Editorial Policies
      • Editorial Board
      • Aims and Scope
      • Abstracting and Indexing
      • Bibliographic Information
      • Archive
    • Molecular and Clinical Oncology
      • Information for Authors
      • Editorial Policies
      • Editorial Board
      • Aims and Scope
      • Abstracting and Indexing
      • Bibliographic Information
      • Archive
    • Molecular Medicine Reports
      • Information for Authors
      • Editorial Policies
      • Editorial Board
      • Aims and Scope
      • Abstracting and Indexing
      • Bibliographic Information
      • Archive
    • Oncology Letters
      • Information for Authors
      • Editorial Policies
      • Editorial Board
      • Aims and Scope
      • Abstracting and Indexing
      • Bibliographic Information
      • Archive
    • Oncology Reports
      • Information for Authors
      • Editorial Policies
      • Editorial Board
      • Aims and Scope
      • Abstracting and Indexing
      • Bibliographic Information
      • Archive
    • World Academy of Sciences Journal
      • Information for Authors
      • Editorial Policies
      • Editorial Board
      • Aims and Scope
      • Abstracting and Indexing
      • Bibliographic Information
      • Archive
  • Articles
  • Information
    • For Authors
    • For Reviewers
    • For Librarians
    • For Advertisers
    • Conferences
  • Language Editing
Login Register Submit
  • This site uses cookies
  • You can change your cookie settings at any time by following the instructions in our Cookie Policy. To find out more, you may read our Privacy Policy.

    I agree
Search articles by DOI, keyword, author or affiliation
Search
Advanced Search
presentation
Molecular Medicine Reports
Join Editorial Board Propose a Special Issue
Print ISSN: 1791-2997 Online ISSN: 1791-3004
Journal Cover
November-2015 Volume 12 Issue 5

Full Size Image

Sign up for eToc alerts
Recommend to Library

Journals

International Journal of Molecular Medicine

International Journal of Molecular Medicine

International Journal of Molecular Medicine is an international journal devoted to molecular mechanisms of human disease.

International Journal of Oncology

International Journal of Oncology

International Journal of Oncology is an international journal devoted to oncology research and cancer treatment.

Molecular Medicine Reports

Molecular Medicine Reports

Covers molecular medicine topics such as pharmacology, pathology, genetics, neuroscience, infectious diseases, molecular cardiology, and molecular surgery.

Oncology Reports

Oncology Reports

Oncology Reports is an international journal devoted to fundamental and applied research in Oncology.

Experimental and Therapeutic Medicine

Experimental and Therapeutic Medicine

Experimental and Therapeutic Medicine is an international journal devoted to laboratory and clinical medicine.

Oncology Letters

Oncology Letters

Oncology Letters is an international journal devoted to Experimental and Clinical Oncology.

Biomedical Reports

Biomedical Reports

Explores a wide range of biological and medical fields, including pharmacology, genetics, microbiology, neuroscience, and molecular cardiology.

Molecular and Clinical Oncology

Molecular and Clinical Oncology

International journal addressing all aspects of oncology research, from tumorigenesis and oncogenes to chemotherapy and metastasis.

World Academy of Sciences Journal

World Academy of Sciences Journal

Multidisciplinary open-access journal spanning biochemistry, genetics, neuroscience, environmental health, and synthetic biology.

International Journal of Functional Nutrition

International Journal of Functional Nutrition

Open-access journal combining biochemistry, pharmacology, immunology, and genetics to advance health through functional nutrition.

International Journal of Epigenetics

International Journal of Epigenetics

Publishes open-access research on using epigenetics to advance understanding and treatment of human disease.

Medicine International

Medicine International

An International Open Access Journal Devoted to General Medicine.

Journal Cover
November-2015 Volume 12 Issue 5

Full Size Image

Sign up for eToc alerts
Recommend to Library

  • Article
  • Citations
    • Cite This Article
    • Download Citation
    • Create Citation Alert
    • Remove Citation Alert
    • Cited By
  • Similar Articles
    • Related Articles (in Spandidos Publications)
    • Similar Articles (Google Scholar)
    • Similar Articles (PubMed)
  • Download PDF
  • Download XML
  • View XML
Article

Electroacupuncture promotes neural stem cell proliferation and neurogenesis in the dentate gyrus of rats following stroke via upregulation of Notch1 expression

  • Authors:
    • Junhong Zhao
    • Minghong Sui
    • Xiao Lü
    • Dongmei Jin
    • Zhiqiang Zhuang
    • Tiebin Yan
  • View Affiliations / Copyright

    Affiliations: Department of Rehabilitation Medicine, Sun Yat‑sen Memorial Hospital, Sun Yat‑sen University, Guangzhou, Guangdong 510120, P.R. China
  • Pages: 6911-6917
    |
    Published online on: September 2, 2015
       https://doi.org/10.3892/mmr.2015.4279
  • Expand metrics +
Metrics: Total Views: 0 (Spandidos Publications: | PMC Statistics: )
Metrics: Total PDF Downloads: 0 (Spandidos Publications: | PMC Statistics: )
Cited By (CrossRef): 0 citations Loading Articles...

This article is mentioned in:



Abstract

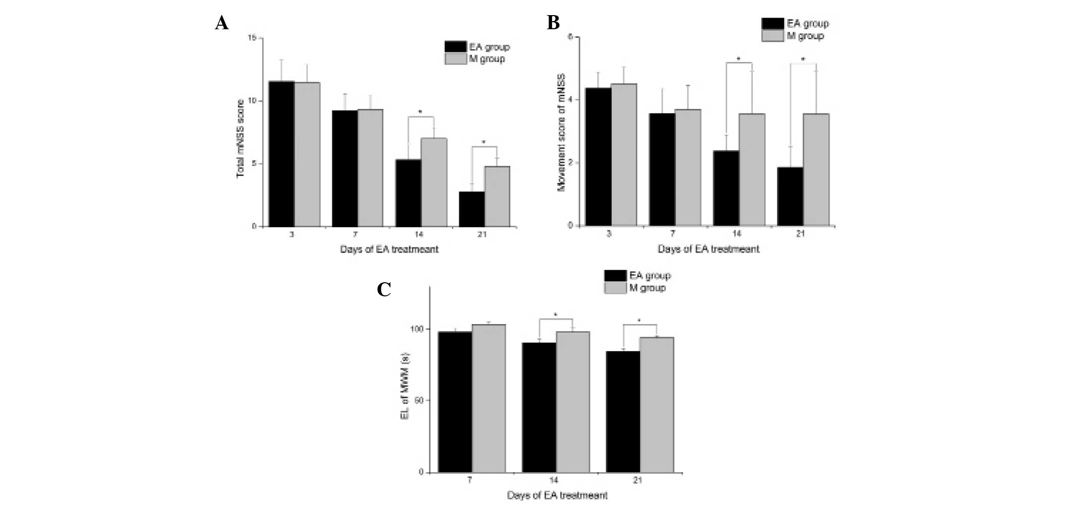
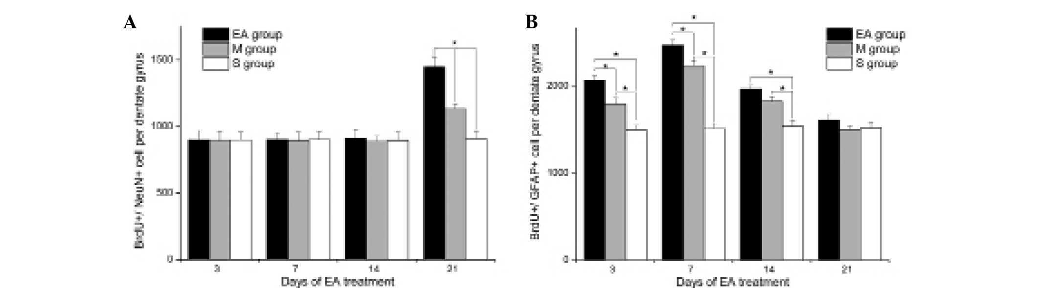
Neural stem cells (NSCs) are important in rehabilitation following stroke. Electroacupuncture (EA) treatment has been observed to promote the recovery of neurological functions subsequent to stroke, however, the effects of EA on the proliferation and differentiation of NSCs and its potential mechanisms remain to be elucidated. In the present study, rats, in which a stroke was induced through middle cerebral artery occlusion (MCAO), were treated with EA or control manipulation for 21 days. The modified Neurological Severity score and Morris water maze tests were used to assess the neurological functions of the rats. Bromodeoxyuridine (BrdU)/glial fibrillary acidic protein (GFAP) or BrdU/neuronal marker (NeuN) double immunofluorescence staining were used to examine the proliferation and differentiation of the NSCs. Reverse transcription quantitative polymerase chain reaction (RT‑qPCR) and western blot analyses were performed to detect the expression levels of Notch1 and Hes1 in the dentate gyrus (DG) of the hippocampus of rats following MCAO. The results demonstrated that EA treatment significantly improved the neurological functional recovery of rats following stroke. A significant increase was observed in the number of BrdU+/GAFP+ and BrdU+/NeuN+ cells in the DG area in the EA‑treated rats compared with that of the control group. RT‑qPCR analysis revealed that EA treatment significantly increased the expression levels of Notch1 and Hes1, which may account for the enhanced proliferation and differentiation of NSCs. In conclusion, to the best of our knowledge, the present study was the first to demonstrate that EA treatment promoted NSC proliferation and neurogenesis in the DG area through the upregulation of Notch signaling following a stroke; therefore, EA may be a useful novel therapeutic strategy in future stroke treatment.
View Figures

Figure 1

Figure 2

Figure 3

Figure 4

View References

1 

Kavanagh S, Knapp M and Patel A: Costs and disability among stroke patients. J Public Health Med. 21:385–394. 1999. View Article : Google Scholar

2 

De Keyser J, Sulter G and Luiten PG: Clinical trials with neuro-protective drugs in acute ischaemic stroke: are we doing the right thing? Trends Neurosci. 22:535–540. 1999. View Article : Google Scholar : PubMed/NCBI

3 

Liebeskind DS and Kasner SE: Neuroprotection for ischaemic stroke: an unattainable goal? CNS Drugs. 15:165–174. 2001. View Article : Google Scholar : PubMed/NCBI

4 

Gage FH and Temple S: Neural stem cells: generating and regenerating the brain. Neuron. 80:588–601. 2013. View Article : Google Scholar : PubMed/NCBI

5 

Zhao C, Deng W and Gage FH: Mechanisms and functional implications of adult neurogenesis. Cell. 132:645–660. 2008. View Article : Google Scholar : PubMed/NCBI

6 

Reynolds BA and Weiss S: Generation of neurons and astrocytes from isolated cells of the adult mammalian central nervous system. Science. 255:1707–1710. 1992. View Article : Google Scholar : PubMed/NCBI

7 

Weiss S, Reynolds BA, Vescovi AL, Morshead C, Craig CG and van der Kooy D: Is there a neural stem cell in the mammalian forebrain? Trends Neurosci. 19:387–393. 1996. View Article : Google Scholar : PubMed/NCBI

8 

Reynolds BA and Weiss S: Clonal and population analyses demonstrate that an EGF-responsive mammalian embryonic CNS precursor is a stem cell. Dev Biol. 175:1–13. 1996. View Article : Google Scholar : PubMed/NCBI

9 

McKay R: Stem cells in the central nervous system. Science. 276:66–71. 1997. View Article : Google Scholar : PubMed/NCBI

10 

Liu J, Solway K, Messing RO and Sharp FR: Increased neuro-genesis in the dentate gyrus after transient global ischemia in gerbils. J Neurosci. 18:7768–7778. 1998.PubMed/NCBI

11 

Jin K, Minami M, Lan JQ, et al: Neurogenesis in dentate subgranular zone and rostral subventricular zone after focal cerebral ischemia in the rat. Proc Natl Acad Sci USA. 98:4710–4715. 2001. View Article : Google Scholar : PubMed/NCBI

12 

Arvidsson A, Collin T, Kirik D, Kokaia Z and Lindvall O: Neuronal replacement from endogenous precursors in the adult brain after stroke. Nat Med. 8:963–970. 2002. View Article : Google Scholar : PubMed/NCBI

13 

Takasawa K, Kitagawa K, Yagita Y, et al: Increased proliferation of neural progenitor cells but reduced survival of newborn cells in the contralateral hippocampus after focal cerebral ischemia in rats. J Cereb Blood Flow Metab. 22:299–307. 2002. View Article : Google Scholar : PubMed/NCBI

14 

Ming GL and Song H: Adult neurogenesis in the mammalian brain: significant answers and significant questions. Neuron. 70:687–702. 2011. View Article : Google Scholar : PubMed/NCBI

15 

Lie DC, Song H, Colamarino SA, Ming GL and Gage FH: Neurogenesis in the adult brain: new strategies for central nervous system diseases. Annu Rev Pharmacol Toxicol. 44:399–421. 2004. View Article : Google Scholar : PubMed/NCBI

16 

Ceniceros S and Brown GR: Acupuncture: a review of its history, theories and indications. South Med J. 91:1121–1125. 1998. View Article : Google Scholar : PubMed/NCBI

17 

Yang R, Huang ZN and Cheng JS: Anticonvulsion effect of acupuncture might be related to the decrease of neuronal and inducible nitric oxide synthases. Acupunct Electrother Res. 24:161–167. 1999. View Article : Google Scholar

18 

Junhua Z, Menniti-Ippolito F, Xiumei G, et al: Complex traditional Chinese medicine for poststroke motor dysfunction: a systematic review. Stroke. 40:2797–2804. 2009. View Article : Google Scholar : PubMed/NCBI

19 

Ulett GA, Han S and Han JS: Electroacupuncture: mechanisms and clinical application. Biol Psychiatry. 44:129–138. 1998. View Article : Google Scholar : PubMed/NCBI

20 

Tong RK, Ng MF and Li LS: Effectiveness of gait training using an electromechanical gait trainer, with and without functional electric stimulation, in subacute stroke: a randomized controlled trial. Arch Phys Med Rehabil. 87:1298–1304. 2006. View Article : Google Scholar : PubMed/NCBI

21 

Yan T, Hui-Chan CW and Li LS: Functional electrical stimulation improves motor recovery of the lower extremity and walking ability of subjects with first acute stroke: a randomized placebo-controlled trial. Stroke. 36:80–85. 2005. View Article : Google Scholar

22 

Ho TJ, Chan TM, Ho LI, Lai CY, Lin CH, Macdonald I, Harn HJ, Lin JG, Lin SZ and Chen YH: The possible role of stem cells in acupuncture treatment for neurodegenerative diseases: a literature review of basic studies. Cell Transplant. 23:559–566. 2014. View Article : Google Scholar : PubMed/NCBI

23 

Ke Z, Yip SP, Li L, Zheng XX and Tong KY: The effects of voluntary, involuntary and forced exercises on brain-derived neurotrophic factor and motor function recovery: a rat brain ischemia model. PLoS One. 6:e166432011. View Article : Google Scholar

24 

Xi GM, Wang HQ, He GH, Huang CF and Wei GY: Evaluation of murine models of permanent focal cerebral ischemia. Chin Med J (Engl). 117:389–394. 2004.

25 

Yang Y, Li Q, Miyashita H, Howlett W, Siddiqui M and Shuaib A: Usefulness of postischemic thrombolysis with or without neuroprotection in a focal embolic model of cerebral ischemia. J Neurosurg. 92:841–847. 2000. View Article : Google Scholar : PubMed/NCBI

26 

Yang Y, Li Q and Shuaib A: Neuroprotection by 2-h postischemia administration of two free radical scavengers, alpha-phenyl-n-tert-butyl-nitrone (PBN) and N-tert-butyl-(2-sulfophenyl)-nitrone (S-PBN), in rats subjected to focal embolic cerebral ischemia. Exp Neurol. 163:39–45. 2000. View Article : Google Scholar : PubMed/NCBI

27 

Chen J, Sanberg PR, Li Y, et al: Intravenous administration of human umbilical cord blood reduces behavioral deficits after stroke in rats. Stroke. 32:2682–2688. 2001. View Article : Google Scholar : PubMed/NCBI

28 

Mohapel P, Mundt-Petersen K, Brundin P and Frielingsdorf H: Working memory training decreases hippocampal neurogenesis. Neuroscience. 142:609–613. 2006. View Article : Google Scholar : PubMed/NCBI

29 

Chen Y, Pan K, Li S, Xia J, Wang W, Chen J, Zhao J, Lü L, Wang D, Pan Q, et al: Decreased expression of V-set and immunoglobulin domain containing 1 (VSIG1) is associated with poor prognosis in primary gastric cancer. J Surg Oncol. 106:286–293. 2012. View Article : Google Scholar

30 

Kim MW, Chung YC, Jung HC, et al: Electroacupuncture enhances motor recovery performance with brain-derived neurotrophic factor expression in rats with cerebral infarction. Acupunct Med. 30:222–226. 2012. View Article : Google Scholar : PubMed/NCBI

31 

Gu Y, Janoschka S and Ge S: Neurogenesis and hippocampal plasticity in adult brain. Curr Top Behav Neurosci. 15:31–48. 2013. View Article : Google Scholar

32 

Grisolía JS: CNS stem cell transplantation: clinical and ethical perspectives. Brain Res Bull. 57:823–826. 2002. View Article : Google Scholar : PubMed/NCBI

33 

Piccin D, Yu F and Morshead CM: Notch signaling imparts and preserves neural stem characteristics in the adult brain. Stem Cells Dev. 22:1541–1550. 2013. View Article : Google Scholar

34 

Pujia F, Serrao M, Brienza M, et al: Effects of a selective serotonin reuptake inhibitor escitalopram on the cutaneous silent period: A randomized controlled study in healthy volunteers. Neurosci Lett. 566:17–20. 2014. View Article : Google Scholar : PubMed/NCBI

35 

Guo YJ, Zhang ZJ, Wang SH, Sui YX and Sun Y: Notch1 signaling, hippocampal neurogenesis and behavioral responses to chronic unpredicted mild stress in adult ischemic rats. Prog Neuropsychopharmacol Biol Psychiatry. 33:688–694. 2009. View Article : Google Scholar : PubMed/NCBI

36 

Chen J, Zacharek A, Li A, et al: Atorvastatin promotes presenilin-1 expression and Notch1 activity and increases neural progenitor cell proliferation after stroke. Stroke. 39:220–226. 2008. View Article : Google Scholar

37 

Wang L, Chopp M, Zhang RL, et al: The Notch pathway mediates expansion of a progenitor pool and neuronal differentiation in adult neural progenitor cells after stroke. Neuroscience. 158:1356–1363. 2009. View Article : Google Scholar :

Related Articles

  • Abstract
  • View
  • Download
  • Twitter
Copy and paste a formatted citation
Spandidos Publications style
Zhao J, Sui M, Lü X, Jin D, Zhuang Z and Yan T: Electroacupuncture promotes neural stem cell proliferation and neurogenesis in the dentate gyrus of rats following stroke via upregulation of Notch1 expression. Mol Med Rep 12: 6911-6917, 2015.
APA
Zhao, J., Sui, M., Lü, X., Jin, D., Zhuang, Z., & Yan, T. (2015). Electroacupuncture promotes neural stem cell proliferation and neurogenesis in the dentate gyrus of rats following stroke via upregulation of Notch1 expression. Molecular Medicine Reports, 12, 6911-6917. https://doi.org/10.3892/mmr.2015.4279
MLA
Zhao, J., Sui, M., Lü, X., Jin, D., Zhuang, Z., Yan, T."Electroacupuncture promotes neural stem cell proliferation and neurogenesis in the dentate gyrus of rats following stroke via upregulation of Notch1 expression". Molecular Medicine Reports 12.5 (2015): 6911-6917.
Chicago
Zhao, J., Sui, M., Lü, X., Jin, D., Zhuang, Z., Yan, T."Electroacupuncture promotes neural stem cell proliferation and neurogenesis in the dentate gyrus of rats following stroke via upregulation of Notch1 expression". Molecular Medicine Reports 12, no. 5 (2015): 6911-6917. https://doi.org/10.3892/mmr.2015.4279
Copy and paste a formatted citation
x
Spandidos Publications style
Zhao J, Sui M, Lü X, Jin D, Zhuang Z and Yan T: Electroacupuncture promotes neural stem cell proliferation and neurogenesis in the dentate gyrus of rats following stroke via upregulation of Notch1 expression. Mol Med Rep 12: 6911-6917, 2015.
APA
Zhao, J., Sui, M., Lü, X., Jin, D., Zhuang, Z., & Yan, T. (2015). Electroacupuncture promotes neural stem cell proliferation and neurogenesis in the dentate gyrus of rats following stroke via upregulation of Notch1 expression. Molecular Medicine Reports, 12, 6911-6917. https://doi.org/10.3892/mmr.2015.4279
MLA
Zhao, J., Sui, M., Lü, X., Jin, D., Zhuang, Z., Yan, T."Electroacupuncture promotes neural stem cell proliferation and neurogenesis in the dentate gyrus of rats following stroke via upregulation of Notch1 expression". Molecular Medicine Reports 12.5 (2015): 6911-6917.
Chicago
Zhao, J., Sui, M., Lü, X., Jin, D., Zhuang, Z., Yan, T."Electroacupuncture promotes neural stem cell proliferation and neurogenesis in the dentate gyrus of rats following stroke via upregulation of Notch1 expression". Molecular Medicine Reports 12, no. 5 (2015): 6911-6917. https://doi.org/10.3892/mmr.2015.4279
Follow us
  • Twitter
  • LinkedIn
  • Facebook
About
  • Spandidos Publications
  • Careers
  • Cookie Policy
  • Privacy Policy
How can we help?
  • Help
  • Live Chat
  • Contact
  • Email to our Support Team