Spandidos Publications Logo
  • About
    • About Spandidos
    • Aims and Scopes
    • Abstracting and Indexing
    • Editorial Policies
    • Reprints and Permissions
    • Job Opportunities
    • Terms and Conditions
    • Contact
  • Journals
    • All Journals
    • Oncology Letters
      • Oncology Letters
      • Information for Authors
      • Editorial Policies
      • Editorial Board
      • Aims and Scope
      • Abstracting and Indexing
      • Bibliographic Information
      • Archive
    • International Journal of Oncology
      • International Journal of Oncology
      • Information for Authors
      • Editorial Policies
      • Editorial Board
      • Aims and Scope
      • Abstracting and Indexing
      • Bibliographic Information
      • Archive
    • Molecular and Clinical Oncology
      • Molecular and Clinical Oncology
      • Information for Authors
      • Editorial Policies
      • Editorial Board
      • Aims and Scope
      • Abstracting and Indexing
      • Bibliographic Information
      • Archive
    • Experimental and Therapeutic Medicine
      • Experimental and Therapeutic Medicine
      • Information for Authors
      • Editorial Policies
      • Editorial Board
      • Aims and Scope
      • Abstracting and Indexing
      • Bibliographic Information
      • Archive
    • International Journal of Molecular Medicine
      • International Journal of Molecular Medicine
      • Information for Authors
      • Editorial Policies
      • Editorial Board
      • Aims and Scope
      • Abstracting and Indexing
      • Bibliographic Information
      • Archive
    • Biomedical Reports
      • Biomedical Reports
      • Information for Authors
      • Editorial Policies
      • Editorial Board
      • Aims and Scope
      • Abstracting and Indexing
      • Bibliographic Information
      • Archive
    • Oncology Reports
      • Oncology Reports
      • Information for Authors
      • Editorial Policies
      • Editorial Board
      • Aims and Scope
      • Abstracting and Indexing
      • Bibliographic Information
      • Archive
    • Molecular Medicine Reports
      • Molecular Medicine Reports
      • Information for Authors
      • Editorial Policies
      • Editorial Board
      • Aims and Scope
      • Abstracting and Indexing
      • Bibliographic Information
      • Archive
    • World Academy of Sciences Journal
      • World Academy of Sciences Journal
      • Information for Authors
      • Editorial Policies
      • Editorial Board
      • Aims and Scope
      • Abstracting and Indexing
      • Bibliographic Information
      • Archive
    • International Journal of Functional Nutrition
      • International Journal of Functional Nutrition
      • Information for Authors
      • Editorial Policies
      • Editorial Board
      • Aims and Scope
      • Abstracting and Indexing
      • Bibliographic Information
      • Archive
    • International Journal of Epigenetics
      • International Journal of Epigenetics
      • Information for Authors
      • Editorial Policies
      • Editorial Board
      • Aims and Scope
      • Abstracting and Indexing
      • Bibliographic Information
      • Archive
    • Medicine International
      • Medicine International
      • Information for Authors
      • Editorial Policies
      • Editorial Board
      • Aims and Scope
      • Abstracting and Indexing
      • Bibliographic Information
      • Archive
  • Articles
  • Information
    • Information for Authors
    • Information for Reviewers
    • Information for Librarians
    • Information for Advertisers
    • Conferences
  • Language Editing
Spandidos Publications Logo
  • About
    • About Spandidos
    • Aims and Scopes
    • Abstracting and Indexing
    • Editorial Policies
    • Reprints and Permissions
    • Job Opportunities
    • Terms and Conditions
    • Contact
  • Journals
    • All Journals
    • Biomedical Reports
      • Information for Authors
      • Editorial Policies
      • Editorial Board
      • Aims and Scope
      • Abstracting and Indexing
      • Bibliographic Information
      • Archive
    • Experimental and Therapeutic Medicine
      • Information for Authors
      • Editorial Policies
      • Editorial Board
      • Aims and Scope
      • Abstracting and Indexing
      • Bibliographic Information
      • Archive
    • International Journal of Epigenetics
      • Information for Authors
      • Editorial Policies
      • Editorial Board
      • Aims and Scope
      • Abstracting and Indexing
      • Bibliographic Information
      • Archive
    • International Journal of Functional Nutrition
      • Information for Authors
      • Editorial Policies
      • Editorial Board
      • Aims and Scope
      • Abstracting and Indexing
      • Bibliographic Information
      • Archive
    • International Journal of Molecular Medicine
      • Information for Authors
      • Editorial Policies
      • Editorial Board
      • Aims and Scope
      • Abstracting and Indexing
      • Bibliographic Information
      • Archive
    • International Journal of Oncology
      • Information for Authors
      • Editorial Policies
      • Editorial Board
      • Aims and Scope
      • Abstracting and Indexing
      • Bibliographic Information
      • Archive
    • Medicine International
      • Information for Authors
      • Editorial Policies
      • Editorial Board
      • Aims and Scope
      • Abstracting and Indexing
      • Bibliographic Information
      • Archive
    • Molecular and Clinical Oncology
      • Information for Authors
      • Editorial Policies
      • Editorial Board
      • Aims and Scope
      • Abstracting and Indexing
      • Bibliographic Information
      • Archive
    • Molecular Medicine Reports
      • Information for Authors
      • Editorial Policies
      • Editorial Board
      • Aims and Scope
      • Abstracting and Indexing
      • Bibliographic Information
      • Archive
    • Oncology Letters
      • Information for Authors
      • Editorial Policies
      • Editorial Board
      • Aims and Scope
      • Abstracting and Indexing
      • Bibliographic Information
      • Archive
    • Oncology Reports
      • Information for Authors
      • Editorial Policies
      • Editorial Board
      • Aims and Scope
      • Abstracting and Indexing
      • Bibliographic Information
      • Archive
    • World Academy of Sciences Journal
      • Information for Authors
      • Editorial Policies
      • Editorial Board
      • Aims and Scope
      • Abstracting and Indexing
      • Bibliographic Information
      • Archive
  • Articles
  • Information
    • For Authors
    • For Reviewers
    • For Librarians
    • For Advertisers
    • Conferences
  • Language Editing
Login Register Submit
  • This site uses cookies
  • You can change your cookie settings at any time by following the instructions in our Cookie Policy. To find out more, you may read our Privacy Policy.

    I agree
Search articles by DOI, keyword, author or affiliation
Search
Advanced Search
presentation
Molecular Medicine Reports
Join Editorial Board Propose a Special Issue
Print ISSN: 1791-2997 Online ISSN: 1791-3004
Journal Cover
January-2016 Volume 13 Issue 1

Full Size Image

Sign up for eToc alerts
Recommend to Library

Journals

International Journal of Molecular Medicine

International Journal of Molecular Medicine

International Journal of Molecular Medicine is an international journal devoted to molecular mechanisms of human disease.

International Journal of Oncology

International Journal of Oncology

International Journal of Oncology is an international journal devoted to oncology research and cancer treatment.

Molecular Medicine Reports

Molecular Medicine Reports

Covers molecular medicine topics such as pharmacology, pathology, genetics, neuroscience, infectious diseases, molecular cardiology, and molecular surgery.

Oncology Reports

Oncology Reports

Oncology Reports is an international journal devoted to fundamental and applied research in Oncology.

Experimental and Therapeutic Medicine

Experimental and Therapeutic Medicine

Experimental and Therapeutic Medicine is an international journal devoted to laboratory and clinical medicine.

Oncology Letters

Oncology Letters

Oncology Letters is an international journal devoted to Experimental and Clinical Oncology.

Biomedical Reports

Biomedical Reports

Explores a wide range of biological and medical fields, including pharmacology, genetics, microbiology, neuroscience, and molecular cardiology.

Molecular and Clinical Oncology

Molecular and Clinical Oncology

International journal addressing all aspects of oncology research, from tumorigenesis and oncogenes to chemotherapy and metastasis.

World Academy of Sciences Journal

World Academy of Sciences Journal

Multidisciplinary open-access journal spanning biochemistry, genetics, neuroscience, environmental health, and synthetic biology.

International Journal of Functional Nutrition

International Journal of Functional Nutrition

Open-access journal combining biochemistry, pharmacology, immunology, and genetics to advance health through functional nutrition.

International Journal of Epigenetics

International Journal of Epigenetics

Publishes open-access research on using epigenetics to advance understanding and treatment of human disease.

Medicine International

Medicine International

An International Open Access Journal Devoted to General Medicine.

Journal Cover
January-2016 Volume 13 Issue 1

Full Size Image

Sign up for eToc alerts
Recommend to Library

  • Article
  • Citations
    • Cite This Article
    • Download Citation
    • Create Citation Alert
    • Remove Citation Alert
    • Cited By
  • Similar Articles
    • Related Articles (in Spandidos Publications)
    • Similar Articles (Google Scholar)
    • Similar Articles (PubMed)
  • Download PDF
  • Download XML
  • View XML
Article Open Access

Growth differentiation factor 15 may protect the myocardium from no‑reflow by inhibiting the inflammatory‑like response that predominantly involves neutrophil infiltration

  • Authors:
    • Mei Zhang
    • Kunying Pan
    • Qianping Liu
    • Xin Zhou
    • Tiemin Jiang
    • Yuming Li
  • View Affiliations / Copyright

    Affiliations: Department of Cardiology, The Affiliated Hospital of Logistics University of Chinese People's Armed Police Force, Tianjin 300162, P.R. China, Tianjin Key Laboratory of Cardiovascular Remodeling and Target Organ Injury, Institute of Cardiovascular Disease and Heart Center, Logistics University of Chinese People's Armed Police Force, Tianjin 300162, P.R. China
    Copyright: © Zhang et al. This is an open access article distributed under the terms of Creative Commons Attribution License.
  • Pages: 623-632
    |
    Published online on: November 19, 2015
       https://doi.org/10.3892/mmr.2015.4573
  • Expand metrics +
Metrics: Total Views: 0 (Spandidos Publications: | PMC Statistics: )
Metrics: Total PDF Downloads: 0 (Spandidos Publications: | PMC Statistics: )
Cited By (CrossRef): 0 citations Loading Articles...

This article is mentioned in:



Abstract

The aim of the current study was to investigate the time course of the expression of growth differentiation factor‑15 (GDF‑15) in rat ischemic myocardium with increasing durations of reperfusion, and to elucidate its physiopathological role in the no‑reflow phenomenon. Wistar rats were randomly divided into ischemia reperfusion (I/R) and sham groups, and myocardial I/R was established by ligation of the left anterior descending coronary artery for 1 h followed by reperfusion for 2, 4, 6, 12, 24 h and 7 days whilst rats in the sham group were subjected to a sham operation. The expression levels of GDF‑15 and ICAM‑1 were measured, in addition to myeloperoxidase (MPO) activity. The myocardial anatomical no‑reflow and infarction areas were assessed. The area at risk was not significantly different following various periods of reperfusion, while the infarct area and no‑reflow area were significantly greater following 6 h of reperfusion (P<0.05). The mRNA and protein expression levels of GDF‑15 were increased during the onset and development of no‑reflow, and peaked following 24 h of reperfusion. MPO activity was reduced with increasing reperfusion duration, while ICAM‑1 levels were increased. Hematoxylin and eosin staining demonstrated that myocardial neutrophil infiltration was significantly increased by I/R injury, in particular following 2, 4 and 6 h of reperfusion. GDF‑15 expression levels were negatively correlated with MPO activity (r=‑0.55, P<0.001), and the MPO activity was negatively correlated with the area of no‑reflow (r=‑0.46, P<0.01). By contrast, GDF‑15 was significantly positively correlated with ICAM‑1 levels (r=0.52, P<0.01), which additionally were demonstrated to be significantly positively associated with the size of the no‑reflow area (r=0.39, P<0.05). The current study demonstrated the time course effect of reperfusion on the expression of GDF‑15 in the myocardial I/R rat model, with the shorter reperfusion times (6 h) resulting in significant no‑reflow in ischemic myocardium. GDF‑15 may protect the I/R myocardium from no‑reflow by inhibiting the inflammatory‑like response, which involves neutrophil infiltration and transendothelial migration.

Introduction

Myocardial ischemia is an important determinant of survival in patients with coronary artery disease (CAD), which is a prevalent cause of morbidity and mortality (1). Occlusion of an epicardial coronary artery without revascularization inevitably results in necrosis of the infarct myocardium (2). Timely reperfusion therapy serves a key role in the initiation of a molecular cascade leading to cardioprotection (3), and has been independently associated with improved left ventricular function and prognosis (4).

Paradoxically, reperfusion of the previously ischemic tissue may induce another form of myocardial injury, ischemia reperfusion (I/R) injury (5). Compromised perfusion within the supplied myocardium may result from events including the production of oxygen free radicals and inflammatory mediators, in addition to malfunction of the cell membrane transport system (6). The area of no-reflow has been demonstrated to increase with increasing time following reperfusion (7). Mechanisms of no-reflow are complex however inflammation, plugging of the microcirculation with neutrophils and vasoconstriction are suggested to serve a major role in the process (8). Neutrophils have been reported to serve a central role in the inflammatory-like response to reperfusion through the generation of oxygen free radicals, degranulation and release of proteases, the release of arachidonic metabolites and additional proinflammatory mediators, and these processes implicated as a primary mechanism underlying I/R injury (9). The no-reflow phenomenon was reported to occur in greater than 30% of patients with acute myocardial infarction (10), and was suggested to be a strong predictor of poor functional and clinical outcomes (11).

Growth differentiation factor-15 (GDF-15) is a member of the transforming growth factor-β (TGF-β) cytokine super-family and has been implicated as a novel biomarker in the prognosis of cardiovascular diseases (12). It was demonstrated to be expressed in certain types of normal tissue, such as that of the central nervous system, and weakly expressed in cardiac tissue under physiological conditions (13). However, the expression was significantly upregulated in myocardial I/R injury (14), and was suggested to be induced in response to inflammation and heart tissue injury (15). In addition, a single measurement of GDF-15 on admission was suggested to provide strong and independent prognostic information in cardiac failure patients (16).

GDF-15 may be a myocardial protective cytokine and act on multiple overlapping pathways, making it well suited for the evaluation of myocardial I/R injury. Initial studies have indicated that GDF-15 may aid with the understanding of the distinct pathophysiological processes in acute myocardial infarction (17,18). However, the potential pathophysiological role of GDF-15 in the no-reflow phenomenon remains to be fully elucidated. To gain insight into the pathophysiology of GDF-15 in myocardial I/R injury, the current study aimed to determine the expression of GDF-15 in a rat ischemia model following different durations of reperfusion. In addition, the present study aimed to determine whether GDF-15 is associated with markers of myocardial damage (area of no-reflow, infarct area and area at risk) in addition to certain established parameters in the pathophysiology of acute I/R, including intercellular adhesion molecule-1 (ICAM-1) and myeloperoxidase (MPO).

Materials and methods

Animals

A total of 144 male Wistar rats, weighing 290–340 g, were purchased from the Animal Center of People's Liberation Army Academy of Medical Sciences (Beijing, China. Animals were maintained under conventional conditions (25°C, lights on from 7.00 am to 7.00 pm) with free access to water and food. All surgical procedures and care administered to the animals were approved by the Tianjin Medical University Animal Care and Use Committee (Tianjin, China).

Myocardial I/R model

A total of 144 male Wistar rats were randomly divided into two groups: The I/R group, I/R injury group and S group, sham operation group (n=72), and underwent transient left anterior descending (LAD) coronary artery ligation or a sham operation, respectively. Mice were anesthetized with sodium pentobarbital (100 mg/kg intraperitoneal, Tianjin Beike Biotechnology Co., Ltd., Tianjin, China) and intubated. Artificial respiration was maintained with a rodent ventilator (TKR-200C; Jiangxi Teli Anaesthesia & Respiratory Equipment Co. Ltd., Jiangxi, China). A parasternal incision was made by cutting the left third and fourth ribs and inter-costal muscles with a cautery pen. A range of infarct sizes was obtained by passing a 7-0 silk suture (Shanghai Medical Suture Needle Factory, Shanghai, China) beneath the left anterior descending artery at points 1–2 mm inferior to the left auricle, then tightening it over a length of PE-20 tubing (Plastics One Inc., Roanoke, Va., USA) (which was removed 60 min later to achieve reperfusion). The onset of ischemia was confirmed by the development of cyanosis and typical elevation of the ST segment (0.2 mV) in the electrocardiogram (Biopac Systems Inc., Santa Barbara, CA, USA). At 1 h following occlusion, the heart was reperfused by releasing the ligature. The ST segment was gradually depressed thereafter, accompanied by the development of cardiac arrhythmias, which indicated myocardial I/R injury. On reperfusion, the chest was closed layer by layer. Animals undergoing sham surgery underwent the same procedure except that the suture was passed under the coronary artery without ligation. The endotracheal tube was removed once spontaneous breathing resumed. Animals in each group were further divided into 6 subgroups according to the reperfusion duration (2, 4, 6, 12, 24 h and 7 days).

Infarct quantification

Assessment of ischemic risk area (RA), area of infarct area (IA) and no-reflow (ANR) were performed as previously described with some modifications (19). At the different times of reperfusion, 0.5 ml 1% Thioflavin S (Sigma-Aldrich, St. Louis, MO, USA) was injected into the carotid artery catheter of the rats in each group. Following 20–30 sec, I/R injuries were delineated by injection of 8 ml 2% phthalocyanine blue (Zhengzhou Diligent Technology Co., Ltd., Zhengzhou, China) into the aorta following re-ligation of the involved LAD coronary artery. Subsequently, the heart was rapidly removed and sliced across the long axis of the left ventricle, from apex to base, into 2 mm-thick transverse sections (4–5 pieces). The area of no-reflow was visualized using a Nikon Eclipse 80i Fluorescent Microscope (Nikon Corporation, Tokyo, Japan). The sliced hearts were incubated in 1% triphenyl tetrazolium chloride (TTC; Sigma-Aldrich) in normal saline (pH 7.0, GenView Corp., Houston, TX, USA) at 37°C for 15 min. The ventricular wall size (VWS), risk size (RS), infarct size (IS) and size of no-reflow (SNR) were manually measured using Image-Pro Plus software, version 6.0 (Media Cybernetics, Inc., Rockville, MD, USA), and the values of ΣVWS, ΣRS, ΣIS and ΣSNR were obtained for each rat myocardial biopsy. The AR was expressed as a percentage of ΣRS for ΣVWS in each heart, while IA and ANR were calculated by dividing ΣIS and ΣSNR, respectively, by ΣRS, as presented in equations 1, 2, and 3.

Reverse transcription-quantitative polymerase chain reaction (RT-qPCR) of GDP-15 mRNA expression

Rats in each group were anesthetized by intraperitoneal injection of 0.4% sodium pentobarbital (40 mg/kg), and triplicate heart samples were obtained from the left ventricles (below ligature) following perfusion with normal saline. One tissue sample weighing approximately 70 mg was used for RT-qPCR analysis of GDP-15 expression, and additional samples were stored in liquid nitrogen for immunohistochemistry and enzyme-linked immunosorbent assay (ELISA) analysis.

Total RNA was isolated using TRIzol reagent (Gibco Life Technologies, Carlsbad, CA, USA) following the manufacturer's instructions and quantified using a UV spectrophotometer (NanoDrop 2000c; Thermo Fisher Scientific, Wilmington, DE, USA). First-strand cDNA was synthesized from 1 µg total RNA in 20 µl final volume using a First Strand cDNA Synthesis kit (Invitrogen Life Technologies, Carlsbad, CA, USA). Following reverse transcription, amplification was conducted by PCR using FastStart Universal SYBR Green Master kit (Roche Diagnostics, Basel, Switzerland). RT-qPCR amplification was conducted using a thermocycler (Applied Biosystems 7300; Foster City, CA, USA) under the following conditions: 50°C for 2 min; 95°C for 10 min; 95°C for 15 sec, and 60°C for 1 min for 40 cycles. The mRNA levels of β-actin were measured in each sample as an internal normalization standard. The specific primers used for GDP-15 and β-actin are presented in Table I.

Table I

Primers designed for reverse transcription-quantitative polymerase chain reaction analysis.

Table I

Primers designed for reverse transcription-quantitative polymerase chain reaction analysis.

GeneDirectionPrimer sequence
GDP-15Forward 5′-GACCTAGGTTGGAGCGACTG-3′
Reverse 5′-TAAGAACCACCGGGGTGTAG-3′
β-actinForward 5′-TACCACATCCAAGGAAGGCAGCA-3′
Reverse 5′-TGGAATTACCGCGGCTGCTGGCA-3′

[i] GDP-15, growth differentiation factor 15.

Immunohistochemical analysis of GDP-15 protein expression

For immunohistochemistry, left ventricle sections were incubated with hydrogen peroxide (Beijing Zhongshan Golden Bridge Biotechnology Co., Ltd., Beijing, China) for 20 min, washed three times with phosphate-buffered saline (PBS), boiled in 10 mmol/l citric acid buffer (Beijing Zhongshan Golden Bridge Biotechnology Co., Ltd.) for 10 min for antigen retrieval, and then blocked with goat serum (Beijing Zhongshan Golden Bridge Biotechnology Co., Ltd.) at 37°C for 20 min. The sections were first incubated with rabbit anti-GDF-15/MIC-1 (1:300; cat. no. A043818G; Shanghai LanJi Biology Co., Ltd, Shanghai, China) at 4°C overnight and then washed three times with PBS. Subsequently, the sections were incubated with biotin-labeled goat anti-rabbit IgG antibody (1:300) and horseradish peroxidase-labeled streptavidin (1:300) at 37°C for 20 min, respectively, and washed three times with PBS using a Streptavidin-Alkaline Phosphatase (SAP)-Testing kit (SAP-9101, Beijing Zhongshan Golden Bridge Biotechnology Co., Ltd.) according to the manufacturer's instructions. The sections were then counterstained with hematoxylin (Sigma-Aldrich). The immunohistochemical results were analyzed by capturing images of five randomly selected fields at a magnification of ×200 (Olympus BX41 microscope; Olympus Optical Co., Ltd., Tokyo, Japan). A semiquantitative score was given as the score of the percentage of positive cells plus the score of the staining intensity of the samples and was used to analyze the final results. For the proportion of positive cells, 0–5% positive cells scored 0; 6–24% positive cells scored 1; 25–50% positive cells scored 2; 51–75% positive cells scored 3; and 76–100% positive cells scored 4. For the staining intensity of positive cells, no color was scored as 0, yellow was scored as 1, brown was scored as 2 and tan was scored as 3. Subsequently, staining results were divided into four grades as follows: Negative (−) for total scores of 0, weakly positive (+) for total scores of 1–2, positive (++) for total scores of 3–5 and strongly positive (+++) for total scores of 6–7. The average scores from 10 tissue samples from each rat were used for statistical analysis.

ELISA of MPO activity

Myocardial tissue samples were collected following the different reperfusion durations and were homogenized in order to measure the activity of MPO, an indicator of neutrophil infiltration. MPO activity was determined using a rat MPO ELISA kit (Shanghai Jianglai Biotechnology Co., Ltd., Shanghai, China). Absorbance measurements were performed bichromatically at a wavelength of 450 nm with an ELISA reader (Bio-Rad Laboratories, Inc., Hercules, CA, USA), and the MPO concentration was calculated according to the standard curve.

Immunohistochemical analysis of ICAM-1 expression

Immunohistochemical staining was performed to determine the time course of ICAM-1 expression in transient I/R injury using the method as mentioned above. ICAM-1 staining was performed on fresh frozen tissue using a rabbit anti-CD54/ICAM-1 antibody (1:300; cat. no. A046326I; Shanghai BlueGene Biotech Co., Ltd., Shanghai, China). The concentrated diaminobenzidine reagent kit was purchased from Shanghai Jianglai Biotechnology Co., Ltd.

Hematoxylin and eosin (H&E) staining

For the detection of histopathological damage, sections were stained fixed in 10% formaldehyde and embedded in paraffin. The sections (5–6 µm) were then stained with H&E for pathomorphological analysis, as described previously (20).

Statistical analysis

Data were presented as the mean ± standard deviation. SPSS version 17.0 (SPSS Inc., Chicago, IL, USA) was used for statistical analysis. Comparison between the two groups was performed using Student's t-test, and a one-way analysis of variance was used for multi-group comparison. Correlations were assessed by the Pearson coefficient. P<0.05 was considered to indicate a statistically significant difference.

Results

Time-course of myocardial damage in response to myocardial I/R

In order to define the time course of reperfusion injury, anatomical no-reflow, area at risk and infarct area were measured using Thioflavin S, phthalocyanine blue dye and TTC staining following 1 h of LAD coronary occlusion and 2, 4, 6, 12, 24 h and 7 days of reperfusion in rats (Fig. 1). The average area at risk was 28.60±9.20% in the 2 h reperfusion group, 28.35±7.55% in the 4 h reperfusion group, 29.14±8.95% in the 6 h reperfusion group, 27.91±7.21% in the 12 h reperfusion group, 29.50±4.52% in the 24 h reperfusion group and 30.14±6.53% in the 7 day reperfusion group, with no significant differences among the six groups (Fig. 2A). However, the infarct area and no-reflow area were significantly greater following 6 h of reperfusion when compared with the 2 h reperfusion group (P<0.05; Fig. 2B).

Figure 1

Images of rat hearts stained with Thioflavin S, phthalocyanine blue dye and tetrazolium chloride. The heart was sliced transversely into sections approximately 2 mm in thickness. Left panel shows in vivo staining with the fluorescent dye Thioflavin S results in bright fluorescence of the perfused tissue, while the anatomical no-reflow area remains black. The right panel shows the area at risk, which was defined as regions not stained with phthalocyanine blue dye (brick red), whilst the infarct area was defined as regions not stained with tetrazolium chloride (white area). I/R, ischemia reperfusion.

Figure 2

Bar graph representing the percentages of (A) area at risk and (B) the infarct area and area of no-reflow in rat hearts subjected to different durations of reperfusion. The area at risk was not significantly different among the reperfusion groups (P>0.05), while the infarct area and area of no-reflow were significantly greater following reperfusion for 6 h compared with reperfusion for 2 h (*P<0.05). R, reperfusion.

Enhanced expression of mRNA and protein levels of GDF-15 following myocardial I/R

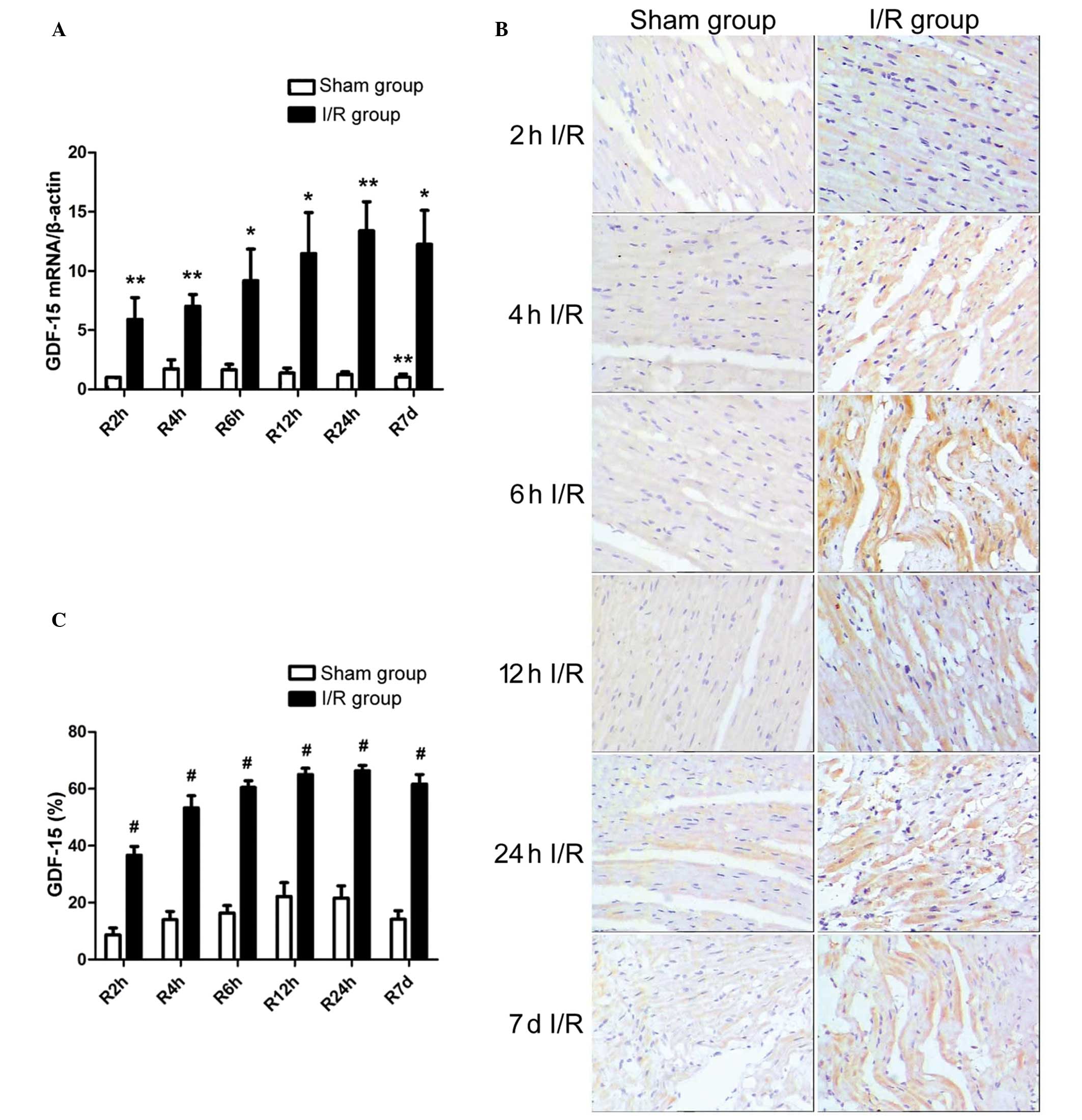
RT-qPCR demonstrated the increased left ventricular mRNA expression of GDF-15 in I/R rats, with GDF-15 mRNA levels significantly greater at the different reperfusion time points when compared with that of the sham operation groups at the 2 h reperfusion time point (Fig. 3A). The enhanced expression of GDF-15 was confirmed by the immunohistochemical staining, which indicated that the protein expression levels of GDF-15 were upregulated following different reperfusion times, as compared with that of the 2 h reperfusion group in the sham operated rats (P<0.001; Fig. 3B and C). In addition, the mRNA and protein expression levels of GDF-15 were increased with increasing reperfusion time, and peaked at the reperfusion time of 24 h.

Figure 3

(A) Reverse transcription-quantitative polymerase chain reaction demonstrated increased mRNA expression of GDF-15 for the different durations of reperfusion. (B) Enhanced protein expression of GDF-15 was confirmed by the immunohistochemical staining of tissue from I/R and sham groups. (C) Quantification of the immunohistochemical staining for GDF-15 at the different reperfusion time points. *P<0.05, **P<0.01, #P<0.001 vs. sham group at 2 h reperfusion. GDF-15, growth differentiation factor-15; I/R, ischemia reperfusion; R, reperfusion.

Increased MPO activity following myocardial I/R

ELISA analysis indicated that MPO activities, examined as an indicator of neutrophil infiltration and accumulation in myocardial tissues, were significantly increased in the I/R rats when compared with the sham operated rats, at all the reperfusion time points investigated. However, MPO levels in the I/R groups were attenuated with increasing reperfusion time, as presented in Fig. 4A.

Figure 4

(A) ELISA analysis demonstrated the increased MPO activity in I/R groups following the different durations of reperfusion. MPO activity was observed to reduce with increasing reperfusion duration in the I/R groups. (B) Immunohistochemical staining of ICAM-1 expression in the sham and I/R rats. ICAM-1 levels were significantly increased following different durations of reperfusion. *P<0.05, ***P<0.001, #P<0.0001 vs. sham group. MPO, myeloperoxidase; I/R, ischemia reperfusion; ICAM-1 intercellular adhesion molecule-1; R, reperfusion.

Enhanced ICAM-l expression following myocardial I/R

Immunohistochemical staining indicated that the expression of ICAM-1 was significantly enhanced following I/R, at all reperfusion durations investigated. ICAM-1 levels were increased with increasing durations of reperfusion, and the greatest ICAM-1 level was observed in the 24 h reperfusion group (Fig. 4B).

Time course of histopathological damage following myocardial I/R

Results from the H&E staining indicated that in the I/R group there was increasing neutrophil adherence to the myocardial microvascular endothelium. In addition apoptosis and necrosis (myocardial cell swelling, karyolysis, inflammatory cell infiltration, and endothelial cell swelling and detachment) were observed in numerous myocardial cells following I/R, in particular at the reperfusion time points of 2, 4 and 6 h. The reperfusion for 24 h resulted in the death of myocardial cells, indicted by the appearance of large tissue spaces, while in the sham operation group marginal damage was observed in the threading sites (Fig. 5).

Figure 5

Pathological alterations of the ischemic boundary zone in 24 h reperfusion samples of the sham operation and I/R groups by hematoxylin and eosin staining (magnification, ×200). The sham operation group exhibited slight damage in the threading sites (where suture was placed in sham operation). I/R induced large scale myocardial cell death. I/R, ischemia reperfusion.

Correlation analysis of no-reflow area with MPO and ICAM-1 levels following myocardial I/R

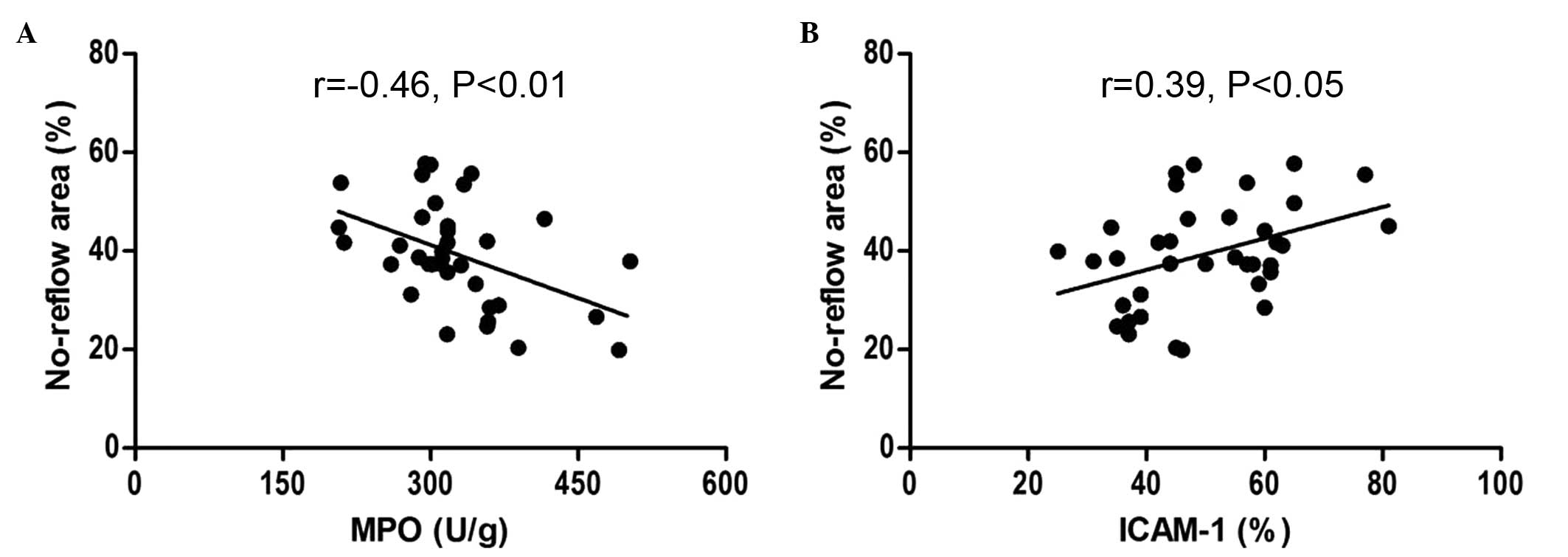
Correlation analysis indicated that in the I/R group, the area of no-reflow was negatively correlated with MPO activity (r=−0.46, P<0.01), however positively correlated with ICAM-1 levels (r=0.39, P<0.05), as presented in Fig. 6.

Figure 6

Correlation analysis of no-reflow area with (A) MPO and (B) ICAM-1 following ischemia reperfusion. MPO, myeloperoxidase; ICAM-1, intercellular adhesion molecule-1.

Correlation analysis of GDF-15 with MPO and ICAM-1 levels following myocardial I/R

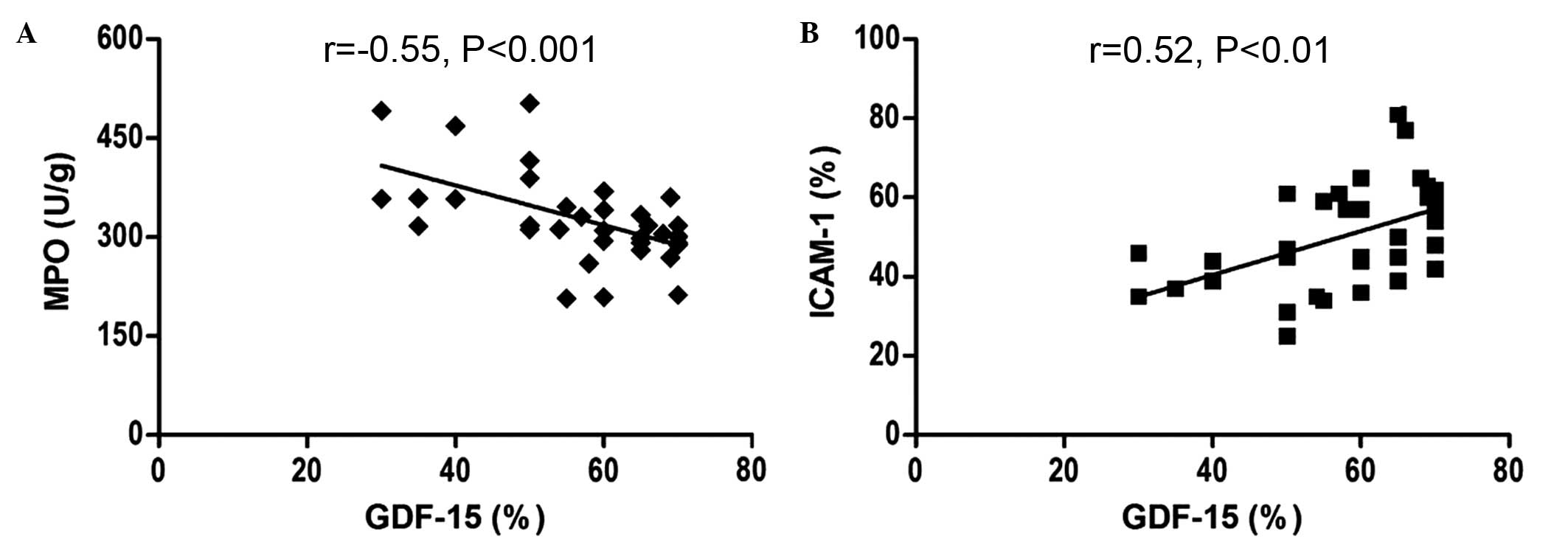
There was a negative association between the GDF-15 level and MPO activity (r=−0.55, P<0.001), while the ICAM-1 level was positively associated with the GDF-15 expression levels following I/R (r= 0.52, P<0.01; Fig. 7).

Figure 7

Correlation analysis of GDF-15 with (A) MPO and (B) ICAM-1 following ischemia reperfusion. GDF-15, growth differentiation factor-15; MPO, myeloperoxidase; ICAM-1, intercellular adhesion molecule-1.

Discussion

The current study demonstrated that the mRNA and protein expression levels of GDF-15 were increased during the onset and development of no-reflow, and peaked at 24 h of reperfusion. GDF-15 was negatively correlated with the activity of MPO, an indicator of neutrophil infiltration and accumulation in myocardial tissue which contributes to the pathogenesis of myocardial infarction, whilst MPO activity was negatively correlated with the area of no-reflow. GDF-15 was significantly positively correlated with ICAM-1 levels, which is known to be essential for the transendothelial migration of neutrophils. Furthermore, ICAM-1 levels were observed to be significantly positively correlated with the no-reflow area. Together these data suggest that GDF-15 may serve a role in the pathophysiological process of no-reflow by inhibiting neutrophil infiltration in an inflammatory-like response to I/R.

No-reflow is a phenomenon defined as the inadequate myocardial reperfusion of a given coronary segment without apparent vessel obstruction. Increasing evidence suggests that no-reflow is a strong and independent predictor of prognosis following I/R (11,21), and is associated with a high incidence of ventricular arrhythmias, heart failure and adverse left ventricular remodeling following myocardial infarction (22). No-reflow appears to persist over an extended period of time rather than occurring as an immediate event at the moment of reperfusion (23). However, the pathophysiology of no-reflow is multifactorial and remains to be fully elucidated. I/R injury may serve a central role in the pathophysiology of no-reflow and the duration of reperfusion has been suggested to be one of the major determinants of anatomical no-reflow, which is a form of reperfusion injury at the microvascular level (24). An increased size of the no-reflow zone has been reported to be associated with longer reperfusion intervals in experimental infarction (19). In clinical settings, no-reflow was reported to initiate while the patients are in hospital, however, additionally has been demonstrated to occur in the months following discharge (25,26), and to progress over time with large interpatient variability (11,25). In order to investigate the time course effect of myocardial I/R injury in the current study, the area at risk, infarct area and anatomical no-reflow were measured following 1 h of coronary artery ligation and 2, 4, 6, 12, 24 h and 7 days of reperfusion in the rat. These data demonstrated that in addition to the increase in infarct area from 44.62±7.36 following 2 h reperfusion to 60.32±13.97 following 7 days of reperfusion, the anatomical zone of no-reflow appeared to reach a plateau at 6 h without further significant deterioration at 7 days. By contrast, there was no significant difference in the area at risk during the different reperfusion periods. A previous study in a canine myocardial infarction model demonstrated that the zone of no-reflow was continuously increased within the first 48 h of reperfusion (27), and in a rabbit myocardial infarction model the greatest significant increase in no-reflow area occurred within the first 1–2 h of reperfusion (19). In addition, no-reflow was established to persist for a minimum of 4 weeks within the infarcted rat myocardial tissues (28). The precise time-course of no-reflow differs between species and within the same species at various time points of reperfusion, and the size of the no-reflow zone has been demonstrated to be increased with time following reperfusion, as demonstrated by the current study and previous studies (7,29,30). Furthermore, the current study provided evidence to suggest that the majority of no-reflow development occurs during the first hours (6 h) following initiation of reperfusion, which may present a potential time-window for therapeutic interventions (24). There is increasing evidence that the myocardium adapts to I/R by synthesizing and responding to a variety of stress-induced growth factors and cytokines, and that identification of these endogenous homeostatic mechanisms may provide novel targets for limiting I/R injury (31).

GDF-15, also known as macrophage inhibitory cytokine-1, has been demonstrated to be a cardioprotective cytokine, and is strongly and independently associated with the prognosis of patients with acute myocardial infarction (32). GDF-15 has been used for risk stratification in ST-elevation and non-ST-elevation acute coronary syndrome, suggesting that GDF-15 may play a distinct role in the pathophysiological process (33,34). Increased expression of GDF-15 has been identified in patients with myocardial I/R and in animal cardiomyocytes subjected to simulated I/R (35). GDF-15 expression levels were observed to be significantly increased within 12 h of symptom onset and remained upregulated for a minimum of 2 weeks in tissue from the infarcted myocardium of patients (14), while Eggers et al (35) reported a significant reduction in GDF-15 levels during the first 6 months following acute coronary syndrome. In a rat myocardial I/R model, Kempf et al (14) demonstrated that a certain period of ischemia was required for GDF-15 expression and secretion during reperfusion, as indicated by the increased expression of GDF-15 following 3 h ischemia and 3 h reperfusion however not following 1 h ischemia and 5 h reperfusion. In contrast to the results of these studies (15,16,36,37), the current study demonstrated that expression of GDF-15 was significantly enhanced by 1 h of ischemia followed by 2, 4, 6, 12, 24 h and 7 days of reperfusion. The mRNA and protein expression levels of GDF-15 in myocardial tissue were significantly upregulated by reperfusion and increased with the reperfusion time, reaching a peak at 24 h of reperfusion. These differences may be due to the different animals supplied and methods used. However, and despite these differences, the current study provided evidence suggesting that myocardial I/R induced a time-dependent increase in the expression of GDF-15 within the first 24 h of the reperfusion period, and that GDF-15 may act as a cardio-protective factor immediately following I/R injury.

Reperfusion following ischemia is associated with pathophysiological alterations that are reported to share numerous characteristics with the myocardial inflammatory response, and neutrophils may serve a major role in this inflammatory-like response to I/R (9). In a previous study, few neutrophils were observed to be present in normal or acutely ischemic myocardium, whilst neutrophil accumulation and infiltration was identified within the first hours following I/R (38). Neutrophils may contribute to myocardial necrosis, which in turn results in persistent ischemia and the no-reflow phenomenon. In addition, neutrophil depletion during the reperfusion period has been associated with significant reductions in the area of the infarct and no-reflow zones (39). The H&E staining in the current study demonstrated significant induction of myocardial neutrophil infiltration by I/R, in particular following reperfusion for 2, 4 and 6 h. MPO is a well-established marker of neutrophil infiltration and is required for the formation of neutrophil extracellular traps, web-like structures consisting of neutrophil DNA, granular proteins and several cytoplasmic proteins that contribute to the inflammatory and immune responses following injury (40), therefore MPO activity was used as a marker of neutrophil accumulation and infiltration (37). ICAM-1 is a counter ligand for the β2-integrin cluster of differentiation 11b/18 on neutrophils and is required for the transendothelial migration of neutrophils (41), with ICAM-1 knockout associated with reduced I/R-induced myocardial damage in a mouse model (42). The current study demonstrated that I/R insult resulted in significant enhancements of MPO activity and ICAM-1 expression, with MPO activity markedly reduced with increasing reperfusion time. However, the expression of ICAM-1 was observed to increase with increasing reperfusion duration and peaked in the 24 h reperfusion group, suggesting an increase in neutrophil accumulation and infiltration occurred following myocardial I/R. Furthermore, there was a significant correlation between the no-reflow area and MPO activity, and between expression of ICAM-1 and the no-reflow area. In addition, MPO and ICAM-1 levels were significantly correlated with the myocardial expression levels of GDF-15 following I/R, consistent with a previous study, which indicated that GDF-15 was markedly associated with the levels of ICAM-1 (43). In a previous study, the interaction of activated integrin with ICAM-1 was reported to lead to neutrophil arrest on the endothelium, initiate transendothelial migration and was required for neutrophil adherence to sites of sterile inflammation (44). Activation of β2-integrin exposed the ICAM-1 binding domain and increased the affinity for ICAM-1 (45).

GDF-15 has been identified as an endogenous inhibitor that counteracts β2-integrin activation. A previous study demonstrated that GDF-15 is the first cytokine identified to contribute to the inhibition of leukocyte recruitment, adhesion and transendothelial migration, via blocking activation of β2-integrin affinity and clustering, thereby preventing neutrophil adhesion to ICAM-1 and transendothelial migration (17). Thus, this suggests that GDF-15 protects against myocardial no-reflow in a mouse model of myocardial infarction at the early stage of reperfusion. This effect may be through the inhibition of MPO activity, in addition to integrin activation and integrin-ICAM-1 interaction that contributes to the promotion of inflammatory neutrophil recruitment and neutrophil arrest on the endothelium, initiating transendothelial migration, which in turn results in reduced neutrophil infiltration and myocardial tissue injury. However, further studies are required to clarify the potential mechanisms.

In conclusion, the current study demonstrates the time course effect of reperfusion on the expression of GDF-15 in the myocardial I/R rat model. The expression of GDF-15 was demonstrated to increase with increasing reperfusion time in the onset and development no-reflow. Reperfusion for 6 h resulted in significant re-flow in ischemic myocardium. Therefore, GDF-15 may protect the I/R myocardium from no-reflow by inhibiting the inflammatory response that predominantly involves neutrophil infiltration and trans-endothelial migration.

Acknowledgments

The current study was supported by the Tianjin Natural Science Foundation (grant nos. 12JCYBJC15900 and 09JCYBJC11900) and the Science Foundation of Chinese People's Armed Police Force Logistics University (grant no. WHTD201301-3).

References

1 

Lee G, Sou SM, Twerenbold R, Reichlin T, Oshima S, Hochgruber T, Zürcher S, Matter D, Tanglay Y, Freese M, et al: B-type natriuretic peptide and clinical judgment in the detection of exercise-induced myocardial ischemia. Am J Med. 127:427–435. 2014. View Article : Google Scholar : PubMed/NCBI

2 

Bell RM and Yellon DM: Conditioning the whole heart - not just the cardiomyocyte. J Mol Cell Cardiol. 53:24–32. 2012. View Article : Google Scholar : PubMed/NCBI

3 

Hausenloy DJ, Tsang A, Mocanu MM and Yellon DM: Ischemic preconditioning protects by activating prosurvival kinases at reperfusion. Am J Physiol Heart Circ Physiol. 288:H971–H976. 2005. View Article : Google Scholar

4 

Zeymer U, Bauer T, Gersh BJ, Zahn R, Gitt A, Jünger C and Senges J: Beneficial effect of reperfusion therapy beyond the preservation of left ventricular function in patients with acute ST-segment elevation myocardial infarction. Int J Cardiol. 146:177–180. 2011. View Article : Google Scholar

5 

Braunwald E and Kloner RA: Myocardial reperfusion: A double-edged sword? J Clin Invest. 76:1713–1719. 1985. View Article : Google Scholar : PubMed/NCBI

6 

Lin J-Y, Hung L-M, Lai LY and Wei F-C: Kappa-opioid receptor agonist protects the microcirculation of skeletal muscle from ischemia reperfusion injury. Ann Plast Surg. 61:330–336. 2008. View Article : Google Scholar : PubMed/NCBI

7 

Nallamothu BK, Bradley EH and Krumholz HM: Time to treatment in primary percutaneous coronary intervention. N Engl J Med. 357:1631–1638. 2007. View Article : Google Scholar : PubMed/NCBI

8 

Niccoli G, Burzotta F, Galiuto L and Crea F: Myocardial no-reflow in humans. J Am Coll Cardiol. 54:281–292. 2009. View Article : Google Scholar : PubMed/NCBI

9 

Jordan JE, Zhao ZQ and Vinten-Johansen J: The role of neutrophils in myocardial ischemia-reperfusion injury. Cardiovasc Res. 43:860–878. 1999. View Article : Google Scholar

10 

Ito H, Maruyama A, Iwakura K, Takiuchi S, Masuyama T, Hori M, Higashino Y, Fujii K and Minamino T: Clinical implications of the 'no reflow' phenomenon. A predictor of complications and left ventricular remodeling in reperfused anterior wall myocardial infarction. Circulation. 93:223–228. 1996. View Article : Google Scholar : PubMed/NCBI

11 

Ndrepepa G, Tiroch K, Fusaro M, Keta D, Seyfarth M, Byrne RA, Pache J, Alger P, Mehilli J, Schömig A, et al: 5-year prognostic value of no-reflow phenomenon after percutaneous coronary intervention in patients with acute myocardial infarction. J Am Coll Cardiol. 55:2383–2389. 2010. View Article : Google Scholar : PubMed/NCBI

12 

Xu X, Li Z and Gao W: Growth differentiation factor 15 in cardiovascular diseases: From bench to bedside. Biomarkers. 16:466–475. 2011. View Article : Google Scholar : PubMed/NCBI

13 

Hsiao EC, Koniaris LG, Zimmers-Koniaris T, Sebald SM, Huynh TV and Lee SJ: Characterization of growth-differentiation factor 15, a transforming growth factor β superfamily member induced following liver injury. Mol Cell Biol. 20:3742–3751. 2000. View Article : Google Scholar : PubMed/NCBI

14 

Kempf T, Eden M, Strelau J, Naguib M, Willenbockel C, Tongers J, Heineke J, Kotlarz D, Xu J, Molkentin JD, et al: The transforming growth factor-β superfamily member growth-differentiation factor-15 protects the heart from ischemia/reperfusion injury. Circ Res. 98:351–360. 2006. View Article : Google Scholar : PubMed/NCBI

15 

Bonaca MP, Morrow DA, Braunwald E, Cannon CP, Jiang S, Breher S, Sabatine MS, Kempf T, Wallentin L and Wollert KC: Growth differentiation factor-15 and risk of recurrent events in patients stabilized after acute coronary syndrome: Observations from PROVE IT-TIMI 22. Arterioscler Thromb Vasc Biol. 31:203–210. 2011. View Article : Google Scholar

16 

Anand IS, Kempf T, Rector TS, Tapken H, Allhoff T, Jantzen F, Kuskowski M, Cohn JN, Drexler H and Wollert KC: Serial measurement of growth-differentiation factor-15 in heart failure: Relation to disease severity and prognosis in the Valsartan Heart Failure Trial. Circulation. 122:1387–1395. 2010. View Article : Google Scholar : PubMed/NCBI

17 

Kempf T, Zarbock A, Widera C, Butz S, Stadtmann A, Rossaint J, Bolomin-Vittori M, Korf-Klingebiel M, Napp LC, Hansen B, et al: GDF-15 is an inhibitor of leukocyte integrin activation required for survival after myocardial infarction in mice. Nat Med. 17:581–588. 2011. View Article : Google Scholar : PubMed/NCBI

18 

Eitel I, Blase P, Adams V, Hildebrand L, Desch Sm, Schuler G and Thiele H: Growth-differentiation factor 15 as predictor of mortality in acute reperfused ST-elevation myocardial infarction: insights from cardiovascular magnetic resonance. Heart. 97:632–640. 2011. View Article : Google Scholar : PubMed/NCBI

19 

Reffelmann T and Kloner RA: Microvascular reperfusion injury: Rapid expansion of anatomic no reflow during reperfusion in the rabbit. Am J Physiol Heart Circ Physiol. 283:H1099–H1107. 2002. View Article : Google Scholar : PubMed/NCBI

20 

Yang Z, Chen P, Yu H, Luo W, Pi M, Wu Y, Wang L, Yang F and Gou Y: Combinatorial effects of conception and governor vessel electroacupuncture and human umbilical cord blood-derived mesenchymal stem cells on pathomorphologic lesion and cellular apoptosis in rats with cerebral ischemia/reperfusion. J Tradit Chin Med. 33:779–786. 2013. View Article : Google Scholar

21 

Chan W, Stub D, Clark DJ, Ajani AE, Andrianopoulos N, Brennan AL, New G, Black A, Shaw JA, Reid CM, et al Melbourne Interventional Group Investigators: Usefulness of transient and persistent no reflow to predict adverse clinical outcomes following percutaneous coronary intervention. Am J Cardiol. 109:478–485. 2012. View Article : Google Scholar

22 

Galasso G, Schiekofer S, D'Anna C, Gioia GD, Piccolo R, Niglio T, Rosa RD, Strisciuglio T, Cirillo P, Piscione F, et al: No-reflow phenomenon: Pathophysiology, diagnosis, prevention, and treatment. A review of the current literature and future perspectives. Angiology. 65:180–189. 2014. View Article : Google Scholar

23 

Rezkalla SH and Kloner RA: No-reflow phenomenon. Circulation. 105:656–662. 2002. View Article : Google Scholar : PubMed/NCBI

24 

Reffelmann T and Kloner RA: The no-reflow phenomenon: A basic mechanism of myocardial ischemia and reperfusion. Basic Res Cardiol. 101:359–372. 2006. View Article : Google Scholar : PubMed/NCBI

25 

Niccoli G, Cosentino N, Lombardo A, Sgueglia GA, Spaziani C, Fracassi F, Cataneo L, Minelli S, Burzotta F, Maria Leone A, et al: Angiographic patterns of myocardial reperfusion after primary angioplasty and ventricular remodeling. Coron Artery Dis. 22:507–514. 2011.PubMed/NCBI

26 

Poli A, Fetiveau R, Vandoni P, del Rosso G, D'Urbano M, Seveso G, Cafiero F and De Servi S: Integrated analysis of myocardial blush and ST-segment elevation recovery after successful primary angioplasty: Real-time grading of micro-vascular reperfusion and prediction of early and late recovery of left ventricular function. Circulation. 106:313–318. 2002. View Article : Google Scholar : PubMed/NCBI

27 

Rochitte CE, Lima JA, Bluemke DA, Reeder SB, McVeigh ER, Furuta T, Becker LC and Melin JA: Magnitude and time course of microvascular obstruction and tissue injury after acute myocardial infarction. Circulation. 98:1006–1014. 1998. View Article : Google Scholar : PubMed/NCBI

28 

Reffelmann T, Hale SL, Dow JS and Kloner RA: No-reflow phenomenon persists long-term after ischemia/reperfusion in the rat and predicts infarct expansion. Circulation. 108:2911–2917. 2003. View Article : Google Scholar : PubMed/NCBI

29 

Kurrelmeyer KM, Michael LH, Baumgarten G, Taffet GE, Peschon JJ, Sivasubramanian N, Entman ML and Mann DL: Endogenous tumor necrosis factor protects the adult cardiac myocyte against ischemic-induced apoptosis in a murine model of acute myocardial infarction. Proc Natl Acad Sci USA. 97:5456–5461. 2000. View Article : Google Scholar : PubMed/NCBI

30 

Croisille P, Revel D and Saeed M: Contrast agents and cardiac MR imaging of myocardial ischemia: from bench to bedside. Eur Radiol. 16:1951–1963. 2006. View Article : Google Scholar : PubMed/NCBI

31 

Reffelmann T, Hale SL, Li G and Kloner RA: Relationship between no reflow and infarct size as influenced by the duration of ischemia and reperfusion. Am J Physiol Heart Circ Physiol. 282:H766–H772. 2002. View Article : Google Scholar : PubMed/NCBI

32 

Khan SQ, Ng K, Dhillon O, Kelly D, Quinn P, Squire IB, Davies JE and Ng LL: Growth differentiation factor-15 as a prognostic marker in patients with acute myocardial infarction. Eur Heart J. 30:1057–1065. 2009. View Article : Google Scholar : PubMed/NCBI

33 

Wollert KC, Kempf T, Lagerqvist B, Lindahl B, Olofsson S, Allhoff T, Peter T, Siegbahn A, Venge P, Drexler H, et al: Growth differentiation factor 15 for risk stratification and selection of an invasive treatment strategy in non ST-elevation acute coronary syndrome. Circulation. 116:1540–1548. 2007. View Article : Google Scholar : PubMed/NCBI

34 

Kempf T, Björklund E, Olofsson S, Lindahl B, Allhoff T, Peter T, Tongers J, Wollert KC and Wallentin L: Growth-differentiation factor-15 improves risk stratification in ST-segment elevation myocardial infarction. Eur Heart J. 28:2858–2865. 2007. View Article : Google Scholar : PubMed/NCBI

35 

Eggers KM, Kempf T, Lagerqvist B, Lindahl B, Olofsson S, Jantzen F, Peter T, Allhoff T, Siegbahn A, Venge P, et al: Growth-differentiation factor-15 for long-term risk prediction in patients stabilized after an episode of non-ST-segment-elevation acute coronary syndrome. Circ Cardiovasc Genet. 3:88–96. 2010. View Article : Google Scholar : PubMed/NCBI

36 

Wollert KC: Growth-differentiation factor-15 in cardiovascular disease: From bench to bedside, and back. Basic Res Cardiol. 102:412–415. 2007. View Article : Google Scholar : PubMed/NCBI

37 

Go LO, Murry CE, Richard VJ, Weischedel GR, Jennings RB and Reimer KA: Myocardial neutrophil accumulation during reperfusion after reversible or irreversible ischemic injury. Am J Physiol. 255:H1188–H1198. 1988.PubMed/NCBI

38 

Litt MR, Jeremy RW, Weisman HF, Winkelstein JA and Becker LC: Neutrophil depletion limited to reperfusion reduces myocardial infarct size after 90 minutes of ischemia. Evidence for neutrophil-mediated reperfusion injury. Circulation. 80:1816–1827. 1989. View Article : Google Scholar : PubMed/NCBI

39 

Liu FC, Chuang YH, Tsai YF and Yu HP: Role of neutrophil extracellular traps following injury. Shock. 41:491–498. 2014. View Article : Google Scholar : PubMed/NCBI

40 

Huang C, Li R, Zeng Q, Ding Y, Zou Y, Mao X, Hu W, Xiong R and Li M: Effect of minocycline postconditioning and ischemic postconditioning on myocardial ischemia-reperfusion injury in atherosclerosis rabbits. J Huazhong Univ Sci Technolog Med Sci. 32:524–529. 2012. View Article : Google Scholar : PubMed/NCBI

41 

Issekutz AC, Rowter D and Springer TA: Role of ICAM-1 and ICAM-2 and alternate CD11/CD18 ligands in neutrophil transendothelial migration. J Leukoc Biol. 65:117–126. 1999.PubMed/NCBI

42 

Metzler B, Mair J, Lercher A, Schaber C, Hintringer F, Pachinger O and Xu Q: Mouse model of myocardial remodelling after ischemia: Role of intercellular adhesion molecule-1. Cardiovasc Res. 49:399–407. 2001. View Article : Google Scholar : PubMed/NCBI

43 

Eggers KM, Kempf T, Lind L, Sundström J, Wallentin L, Wollert KC and Siegbahn A: Relations of growth-differentiation factor-15 to biomarkers reflecting vascular pathologies in a population-based sample of elderly subjects. Scand J Clin Lab Invest. 72:45–51. 2012. View Article : Google Scholar

44 

Wang J and Arase H: Regulation of immune responses by neutrophils. Ann NY Acad Sci. 1319:66–81. 2014. View Article : Google Scholar : PubMed/NCBI

45 

Yang L, Froio RM, Sciuto TE, Dvorak AM, Alon R and Luscinskas FW: ICAM-1 regulates neutrophil adhesion and transcellular migration of TNF-α-activated vascular endothelium under flow. Blood. 106:584–592. 2005. View Article : Google Scholar : PubMed/NCBI

Related Articles

  • Abstract
  • View
  • Download
  • Twitter
Copy and paste a formatted citation
Spandidos Publications style
Zhang M, Pan K, Liu Q, Zhou X, Jiang T and Li Y: Growth differentiation factor 15 may protect the myocardium from no‑reflow by inhibiting the inflammatory‑like response that predominantly involves neutrophil infiltration. Mol Med Rep 13: 623-632, 2016.
APA
Zhang, M., Pan, K., Liu, Q., Zhou, X., Jiang, T., & Li, Y. (2016). Growth differentiation factor 15 may protect the myocardium from no‑reflow by inhibiting the inflammatory‑like response that predominantly involves neutrophil infiltration. Molecular Medicine Reports, 13, 623-632. https://doi.org/10.3892/mmr.2015.4573
MLA
Zhang, M., Pan, K., Liu, Q., Zhou, X., Jiang, T., Li, Y."Growth differentiation factor 15 may protect the myocardium from no‑reflow by inhibiting the inflammatory‑like response that predominantly involves neutrophil infiltration". Molecular Medicine Reports 13.1 (2016): 623-632.
Chicago
Zhang, M., Pan, K., Liu, Q., Zhou, X., Jiang, T., Li, Y."Growth differentiation factor 15 may protect the myocardium from no‑reflow by inhibiting the inflammatory‑like response that predominantly involves neutrophil infiltration". Molecular Medicine Reports 13, no. 1 (2016): 623-632. https://doi.org/10.3892/mmr.2015.4573
Copy and paste a formatted citation
x
Spandidos Publications style
Zhang M, Pan K, Liu Q, Zhou X, Jiang T and Li Y: Growth differentiation factor 15 may protect the myocardium from no‑reflow by inhibiting the inflammatory‑like response that predominantly involves neutrophil infiltration. Mol Med Rep 13: 623-632, 2016.
APA
Zhang, M., Pan, K., Liu, Q., Zhou, X., Jiang, T., & Li, Y. (2016). Growth differentiation factor 15 may protect the myocardium from no‑reflow by inhibiting the inflammatory‑like response that predominantly involves neutrophil infiltration. Molecular Medicine Reports, 13, 623-632. https://doi.org/10.3892/mmr.2015.4573
MLA
Zhang, M., Pan, K., Liu, Q., Zhou, X., Jiang, T., Li, Y."Growth differentiation factor 15 may protect the myocardium from no‑reflow by inhibiting the inflammatory‑like response that predominantly involves neutrophil infiltration". Molecular Medicine Reports 13.1 (2016): 623-632.
Chicago
Zhang, M., Pan, K., Liu, Q., Zhou, X., Jiang, T., Li, Y."Growth differentiation factor 15 may protect the myocardium from no‑reflow by inhibiting the inflammatory‑like response that predominantly involves neutrophil infiltration". Molecular Medicine Reports 13, no. 1 (2016): 623-632. https://doi.org/10.3892/mmr.2015.4573
Follow us
  • Twitter
  • LinkedIn
  • Facebook
About
  • Spandidos Publications
  • Careers
  • Cookie Policy
  • Privacy Policy
How can we help?
  • Help
  • Live Chat
  • Contact
  • Email to our Support Team