Spandidos Publications Logo
  • About
    • About Spandidos
    • Aims and Scopes
    • Abstracting and Indexing
    • Editorial Policies
    • Reprints and Permissions
    • Job Opportunities
    • Terms and Conditions
    • Contact
  • Journals
    • All Journals
    • Oncology Letters
      • Oncology Letters
      • Information for Authors
      • Editorial Policies
      • Editorial Board
      • Aims and Scope
      • Abstracting and Indexing
      • Bibliographic Information
      • Archive
    • International Journal of Oncology
      • International Journal of Oncology
      • Information for Authors
      • Editorial Policies
      • Editorial Board
      • Aims and Scope
      • Abstracting and Indexing
      • Bibliographic Information
      • Archive
    • Molecular and Clinical Oncology
      • Molecular and Clinical Oncology
      • Information for Authors
      • Editorial Policies
      • Editorial Board
      • Aims and Scope
      • Abstracting and Indexing
      • Bibliographic Information
      • Archive
    • Experimental and Therapeutic Medicine
      • Experimental and Therapeutic Medicine
      • Information for Authors
      • Editorial Policies
      • Editorial Board
      • Aims and Scope
      • Abstracting and Indexing
      • Bibliographic Information
      • Archive
    • International Journal of Molecular Medicine
      • International Journal of Molecular Medicine
      • Information for Authors
      • Editorial Policies
      • Editorial Board
      • Aims and Scope
      • Abstracting and Indexing
      • Bibliographic Information
      • Archive
    • Biomedical Reports
      • Biomedical Reports
      • Information for Authors
      • Editorial Policies
      • Editorial Board
      • Aims and Scope
      • Abstracting and Indexing
      • Bibliographic Information
      • Archive
    • Oncology Reports
      • Oncology Reports
      • Information for Authors
      • Editorial Policies
      • Editorial Board
      • Aims and Scope
      • Abstracting and Indexing
      • Bibliographic Information
      • Archive
    • Molecular Medicine Reports
      • Molecular Medicine Reports
      • Information for Authors
      • Editorial Policies
      • Editorial Board
      • Aims and Scope
      • Abstracting and Indexing
      • Bibliographic Information
      • Archive
    • World Academy of Sciences Journal
      • World Academy of Sciences Journal
      • Information for Authors
      • Editorial Policies
      • Editorial Board
      • Aims and Scope
      • Abstracting and Indexing
      • Bibliographic Information
      • Archive
    • International Journal of Functional Nutrition
      • International Journal of Functional Nutrition
      • Information for Authors
      • Editorial Policies
      • Editorial Board
      • Aims and Scope
      • Abstracting and Indexing
      • Bibliographic Information
      • Archive
    • International Journal of Epigenetics
      • International Journal of Epigenetics
      • Information for Authors
      • Editorial Policies
      • Editorial Board
      • Aims and Scope
      • Abstracting and Indexing
      • Bibliographic Information
      • Archive
    • Medicine International
      • Medicine International
      • Information for Authors
      • Editorial Policies
      • Editorial Board
      • Aims and Scope
      • Abstracting and Indexing
      • Bibliographic Information
      • Archive
  • Articles
  • Information
    • Information for Authors
    • Information for Reviewers
    • Information for Librarians
    • Information for Advertisers
    • Conferences
  • Language Editing
Spandidos Publications Logo
  • About
    • About Spandidos
    • Aims and Scopes
    • Abstracting and Indexing
    • Editorial Policies
    • Reprints and Permissions
    • Job Opportunities
    • Terms and Conditions
    • Contact
  • Journals
    • All Journals
    • Biomedical Reports
      • Information for Authors
      • Editorial Policies
      • Editorial Board
      • Aims and Scope
      • Abstracting and Indexing
      • Bibliographic Information
      • Archive
    • Experimental and Therapeutic Medicine
      • Information for Authors
      • Editorial Policies
      • Editorial Board
      • Aims and Scope
      • Abstracting and Indexing
      • Bibliographic Information
      • Archive
    • International Journal of Epigenetics
      • Information for Authors
      • Editorial Policies
      • Editorial Board
      • Aims and Scope
      • Abstracting and Indexing
      • Bibliographic Information
      • Archive
    • International Journal of Functional Nutrition
      • Information for Authors
      • Editorial Policies
      • Editorial Board
      • Aims and Scope
      • Abstracting and Indexing
      • Bibliographic Information
      • Archive
    • International Journal of Molecular Medicine
      • Information for Authors
      • Editorial Policies
      • Editorial Board
      • Aims and Scope
      • Abstracting and Indexing
      • Bibliographic Information
      • Archive
    • International Journal of Oncology
      • Information for Authors
      • Editorial Policies
      • Editorial Board
      • Aims and Scope
      • Abstracting and Indexing
      • Bibliographic Information
      • Archive
    • Medicine International
      • Information for Authors
      • Editorial Policies
      • Editorial Board
      • Aims and Scope
      • Abstracting and Indexing
      • Bibliographic Information
      • Archive
    • Molecular and Clinical Oncology
      • Information for Authors
      • Editorial Policies
      • Editorial Board
      • Aims and Scope
      • Abstracting and Indexing
      • Bibliographic Information
      • Archive
    • Molecular Medicine Reports
      • Information for Authors
      • Editorial Policies
      • Editorial Board
      • Aims and Scope
      • Abstracting and Indexing
      • Bibliographic Information
      • Archive
    • Oncology Letters
      • Information for Authors
      • Editorial Policies
      • Editorial Board
      • Aims and Scope
      • Abstracting and Indexing
      • Bibliographic Information
      • Archive
    • Oncology Reports
      • Information for Authors
      • Editorial Policies
      • Editorial Board
      • Aims and Scope
      • Abstracting and Indexing
      • Bibliographic Information
      • Archive
    • World Academy of Sciences Journal
      • Information for Authors
      • Editorial Policies
      • Editorial Board
      • Aims and Scope
      • Abstracting and Indexing
      • Bibliographic Information
      • Archive
  • Articles
  • Information
    • For Authors
    • For Reviewers
    • For Librarians
    • For Advertisers
    • Conferences
  • Language Editing
Login Register Submit
  • This site uses cookies
  • You can change your cookie settings at any time by following the instructions in our Cookie Policy. To find out more, you may read our Privacy Policy.

    I agree
Search articles by DOI, keyword, author or affiliation
Search
Advanced Search
presentation
Molecular Medicine Reports
Join Editorial Board Propose a Special Issue
Print ISSN: 1791-2997 Online ISSN: 1791-3004
Journal Cover
August-2016 Volume 14 Issue 2

Full Size Image

Sign up for eToc alerts
Recommend to Library

Journals

International Journal of Molecular Medicine

International Journal of Molecular Medicine

International Journal of Molecular Medicine is an international journal devoted to molecular mechanisms of human disease.

International Journal of Oncology

International Journal of Oncology

International Journal of Oncology is an international journal devoted to oncology research and cancer treatment.

Molecular Medicine Reports

Molecular Medicine Reports

Covers molecular medicine topics such as pharmacology, pathology, genetics, neuroscience, infectious diseases, molecular cardiology, and molecular surgery.

Oncology Reports

Oncology Reports

Oncology Reports is an international journal devoted to fundamental and applied research in Oncology.

Experimental and Therapeutic Medicine

Experimental and Therapeutic Medicine

Experimental and Therapeutic Medicine is an international journal devoted to laboratory and clinical medicine.

Oncology Letters

Oncology Letters

Oncology Letters is an international journal devoted to Experimental and Clinical Oncology.

Biomedical Reports

Biomedical Reports

Explores a wide range of biological and medical fields, including pharmacology, genetics, microbiology, neuroscience, and molecular cardiology.

Molecular and Clinical Oncology

Molecular and Clinical Oncology

International journal addressing all aspects of oncology research, from tumorigenesis and oncogenes to chemotherapy and metastasis.

World Academy of Sciences Journal

World Academy of Sciences Journal

Multidisciplinary open-access journal spanning biochemistry, genetics, neuroscience, environmental health, and synthetic biology.

International Journal of Functional Nutrition

International Journal of Functional Nutrition

Open-access journal combining biochemistry, pharmacology, immunology, and genetics to advance health through functional nutrition.

International Journal of Epigenetics

International Journal of Epigenetics

Publishes open-access research on using epigenetics to advance understanding and treatment of human disease.

Medicine International

Medicine International

An International Open Access Journal Devoted to General Medicine.

Journal Cover
August-2016 Volume 14 Issue 2

Full Size Image

Sign up for eToc alerts
Recommend to Library

  • Article
  • Citations
    • Cite This Article
    • Download Citation
    • Create Citation Alert
    • Remove Citation Alert
    • Cited By
  • Similar Articles
    • Related Articles (in Spandidos Publications)
    • Similar Articles (Google Scholar)
    • Similar Articles (PubMed)
  • Download PDF
  • Download XML
  • View XML
Article

Effects of bamboo salt and its component, hydrogen sulfide, on enhancing immunity

  • Authors:
    • Na‑Rae Kim
    • Sun‑Young Nam
    • Ka-Jung Ryu
    • Hyung‑Min Kim
    • Hyun‑Ja Jeong
  • View Affiliations / Copyright

    Affiliations: Department of Pharmacology, College of Korean Medicine, Kyung Hee University, Seoul 130‑701, Republic of Korea, Department of Food Technology and Biochip Research Center, Hoseo University, Asan, Chungnam 336‑795, Republic of Korea
  • Pages: 1673-1680
    |
    Published online on: June 17, 2016
       https://doi.org/10.3892/mmr.2016.5407
  • Expand metrics +
Metrics: Total Views: 0 (Spandidos Publications: | PMC Statistics: )
Metrics: Total PDF Downloads: 0 (Spandidos Publications: | PMC Statistics: )
Cited By (CrossRef): 0 citations Loading Articles...

This article is mentioned in:



Abstract

Korean bamboo salt (BS) is known to have therapeutic effects in the treatment of diseases, including viral disease, dental plaque, diabetes, circulatory organ disorders, cancer and inflammatory disorders. However, the effect of BS on immune functions remains to be elucidated. The present study was designed to determine the immune‑enhancing effect of BS and its component, hydrogen sulfide, using RAW264.7 macrophages and a forced swimming test (FST) animal model. BS and sodium hydrosulfide (NaSH), a hydrogen sulfide donor, significantly increased the levels of tumor necrosis factor (TNF)‑α through the activation of nuclear factor‑κB in the RAW 264.7 cells. In an in vivo experiment, BS and NaSH were administered orally once a day for 28 days. After the 28 days, the immobility times in the FST were significantly decreased in the BS and NaSH‑fed groups, compared with the control group. In addition, BS and NaSH induced significant increases in the levels of interferon‑γ, interleukin‑2 and TNF‑α, compared with the control group. Taken together, these results indicated that BS and NaSH may improve immune function.

Introduction

The immune response to microbial pathogens relies on innate and adaptive components (1,2). The innate and adaptive immune responses are lowered in diseases associated with immunodeficiency (3,4). Deficiency in minerals and vitamins induces the attenuation of immune functions, including phagocytic activity, natural killer cell activity, delayed type hypersensitivity, antigen-specific antibody production and T cell proliferation (5). Immunomodulatory agents aid in improving the immune response against pathogens by activating immune cells (6). The innate immune response is mediated predominantly by immune cells, including neutrophils and macrophages. Macrophages are cells in the host defense system, which inhibit the invasion of microorganisms and foreign materials through phagocytic activities, and induce additional adaptive immune responses by synthesizing various inflammatory mediators and cytokines, including nitric oxide (NO) and tumor necrosis factor (TNF) -α (1,6,7). NO is synthesized by inducible NO synthase (iNOS) (8). The expression levels of TNF-α and iNOS are increased by the translocation of nuclear factor-κB (NF-κB) to the nucleus and the degradation of inhibitor of NF-κB (IκB) (9).

T cells are also important in immune functions. In particular, helper T cells (Th cells) have two subsets, Th1 and Th2 (10). Th1 cells produce Th1 cytokines, including interferon (IFN) -γ, interleukin (IL) -2 and TNF-α, which increase cell-mediated immunity. Th2 cytokines released from Th2 cells and promote the humoral antibody-mediated immune response (11). T cell deficiency causes acquired immune deficiency syndrome (12).

Bamboo salt (BS) is a processed salt, produced according to a traditional recipe using sun-dried salt and bamboo in Korea. BS is known to have therapeutic effects in the treatment of diseases, including viral disease, dental plaque, diabetes, circulatory organ disorders, cancer, inflammatory disorders, allergic rhinitis and cisplatin-induced ototoxicity (13,14). Compared with sun-dried salts, BS has a lower toxicity and a higher content of iron, silicon, potassium and phosphate (15–17). In addition, BS contains hydrogen sulfide (H2S), which is not contained in sun-dried salts. H2S is an endogenous gaseous signaling molecule involved in diverse biological processes, including inflammatory responses, energy metabolism, cell proliferation, apoptosis and oxidative stress (18).

In the present study, the effects of BS and sodium hydrosulfide (NaSH; a H2S donor) on the production of TNF-α and activation of NF-κB were examined in RAW264.7 cells, a macrophage-like cell line. Furthermore, the immune-enhancing effects of BS and NaSH were investigated in a forced swimming test (FST) animal model.

Materials and methods

Cell culture

The RAW264.7 cells were grown in Dulbecco's modified Eagle's medium (DMEM; Gibco; Thermo Fisher Scientific, Inc., Waltham, MA, USA) with 10% heat inactivated fetal bovine serum (FBS; Gibco; Thermo Fisher Scientific, Inc.,) and 1% penicillin-streptomycin at 37°C in 5% CO2 and 95% air. The RAW264.7 cells (3×105; Korean Cell Line Bank, Seoul, Korea) were treated with BS (1 mg/ml; Hongik Bio, Damyang, Korea), NaSH (0.01, 0.1 and 1 µg/ml; Samchun Pure Chemical Co., Ltd., Pyeongtaek, Korea) or lipopolysaccharide (LPS; 10 µg/ml; Sigma-Aldrich, St. Louis, MO, USA) for 24 h at 37°C in 5% CO2 and 95% air. The BS and NaSH were dissolved in distilled water (D.W.). The concentrations of BS (1 mg/ml) and NaSH (0.01, 0.1 and 1 µg/ml) were selected in accordance with previous reports (13,19).

Enzyme-linked immunosorbent assay (ELISA)

The levels of TNF-α IFN-γ, and IL-2 cytokines were measured using ELISA, which was performed, as described previously (20). The plates were read at 405 nm by a microplate reader.

Reverse transcription-polymerase chain reaction (RT-PCR) analysis

Using an Easy-BLUETM RNA extraction kit (iNtRON Biotech, Sungnam, Korea), total RNA was isolated from the RAW264.7 cells, according to the manufacturer's protocol. The concentration of total RNA in the final elutes was determined by NanoDrop (Thermo Scientific, Inc.). Total RNA (2.5 µg) was heated at 65°C for 10 min and then chilled on ice. Each sample was reverse-transcribed to cDNA for 90 min at 37°C using a cDNA synthesis kit (Bioneer Corporation, Daejeon, Korea). The polymerase chain reaction (PCR) was performed in a C1000 Touch Thermal Cycler (Bio-Rad Laboratories, Hercules, CA, USA) with the following primers: Mouse TNF-α, forward 3′-TACAGGCTTGTCACTCGAAT-3′ and reverse 5′-ATGAGCACAGAAAGCATGAT-3′; actin, forward 5′-GTGGGCCGCTAGGCACCA-3′ and reverse 5′-CGGTTGGCCTTAGGGTTCAGGGGGG-3′. Glyceraldehyde 3-phosphate dehydrogenase (GAPDH) was used to verify whether equal amounts of RNA were used for reverse transcription and amplification from different experimental conditions. PCR was conducted under the following conditions: 94°C for 5 min, 94°C for 45 sec, 60°C (TNF-α) or 62°C (GAPDH) for 45 sec and 72°C for 2 min, for 39 cycles; the dinal cycle was followed by an extension for 5 min at 72°C. Products were electrophoresed on a 1.5% agarose gel and visualized by staining with ethidium bromide.

Measurement of nitrite concentration

The RAW264.7 cells were stimulated with BS (1 mg/ml), NaSH (0.01, 0.1 and 1 µg/ml) or LPS for 48 h. The concentrations of NO in the cell cultures were measured using a Griess method, as previously described (9).

MTT assay

Cell viabilities were assessed using an MTT assay. Briefly, 500 µl of the RAW 264.7 cell (3×105) suspension was treated with BS or NaSH for 24 h, followed by treatment with MTT solution (5 mg/ml) at 37°C for 4 h. The insoluble formazan product was dissolved in dimethyl sulfoxide and, the optical density was measured using an ELISA reader at 540 nm.

Western blot analysis

The RAW264.7 cells were stimulated with BS, NaSH or LPS for 1 h. The cell extracts were heated at 95°C for 5 min and briefly cooled on ice. Cell extracts were prepared by a detergent lysis procedure. Cells were scraped, washed once with phosphate-buffered saline (PBS) and resuspended in the radioimmunoprecipitation assay lysis buffer containing 10 mM Tris-HCL pH 7.4, 30 mM NaCl, 1 mM EDTA, 1% Nonidet P-40, supplemented with 1 mM Na3VO4, 1 µg/ml leupeptin, 1 µg/ml pepstatin A, 1 µg/ml aprotinin and 1 mM PMSF. Samples were vortexed for lysis for a few seconds every 15 min at 4°C for 1 h and centrifuged at 12,000 × g for 10 min at 4°C. The protein was determined using a bicinchoninic acid assay (Pierce, Rockford, IL, USA) method. Following centrifugation at 12,000 × g at 4°C for 10 min, 50 µg aliquots were resolved using 12% SDS-polyacrylamide gel electrophoresis. The resolved proteins were electrotransferred overnight onto nitrocellulose membranes in 25 mM Tris (pH 8.5), 200 mM glycerin and 20% methanol at 25 V. The blots were blocked for at least 2 h with 1X PBS containing 0.05% Tween 20 with 5% nonfat dry milk. The blots were then incubated with rabbit polyclonal anti-NF-κB (sc-7151), mouse monoclonal anti-phosphorylated IkB (pIκB) -a (sc-8404), mouse monoclonal anti-tubulin (sc-8035), mouse monoclonal anti-actin (sc-8432) (Santa Cruz Biotechnology, Inc., Santa Cruz, CA, USA) for 1 h at room temperature. The blots were developed with monoclonal mouse anti-rabbit peroxidase conjugated-IgG (sc-2357) and monoclonal goat anti-mouse peroxidase-IgG (sc-2005). for 1 h at room temperature, and the proteins were visualized using enhanced chemiluminescence procedures, (GE Healthcare, Piscataway, NJ, USA) according to the manufacturer's protocol.

Immunocytochemistry and confocal microscopy

The cells were washed with PBS, fixed with 3.7% paraformaldehyde for 30 min and permeabilized with wash buffer (0.5% Triton-X in PBS) for 20 min. The cells were then blocked with wash buffer containing 10% FBS for 1 h, and incubated with anti-NF-κB (p65) primary antibody for 1 h at room temperature at 1:500 dilution. Following washing with PBS, the cells were incubated with anti-rabbit fluorescein isothiocyanate-conjugated secondary antibody for 1 h at room temperature. Following extensive washing with PBS, the slides were scanned under fluorescence with an Olympus confocal microscope (Olympus Corporation, Tokyo, Japan).

Animals

Male ICR mice (10–12 g; 3 weeks old) were obtained from the Dae-Han Experimental Animal Center (Daejon, Korea). Experiments were performed following 1 week of adaptation to the laboratory environment. The animals were housed (five animals per cage) in a laminar air-flow room maintained at a temperature of 22±1°C, a relative humidity of 55±10% and under a 12:12 light/dark cycle on at 07:00 h throughout the experiment. Food and water were available ad libitum. All experiments were performed between 09:00 and 16:00 h, and no animals was used in more than one experiment. All protocols were approved by the Institutional Animal Care and Use Committee of Kyung Hee University [Seoul, Korea; KHUASP (SE)-10-032].

FST

Immobility time was defined as the amount of time that the mouse remained floating in the water without struggling and made only those movements necessary to keep its head above the water. Following the first measurement of immobility times, the mice were divided into a control group, Chlorella vulgaris extract (CVE; 0.3 g/kg) group, BS (1 g/kg) group and NaSH (0.1 and 1 mg/kg) groups, based on the recorded swimming times (equivalent average swim time/group). The CVE was supplied by Daesang Corporation (Seoul, Korea), and was dissolved in D.W. as a positive control. BS (1 g/kg), NaSH (0.1 and 1 mg/kg), CVE (0.3 g/kg) and D.W. were orally administered to the mice in the respective groups once a day for 4 weeks using an atraumatic feeding needle. The FST was performed on 0 and 28 days after administration of BS or NaSH. The BS, NaSH, CVE and D.W. were administered 1 h prior to the FST. During the 6 min of the FST, the immobility time was analyzed, as previously described by Porsolt et al (21). The FST was recorded using a Canon camcorder (Canon, Inc., Tokyo, Japan). The immobility times were measured using a stopwatch by a trained observer, who was blind to the experimental treatments. There were five mice in each group.

Statistical analysis

The results are expressed as the mean ± standard error of the mean. Statistical significance was compared among each treated group and the control using an independent t-test and one-way analysis of variance with Tukey's post-hoc test using SPSS statistical software (SPSS Inc., Chicago, IL, USA). P<0.05 was considered to indicate a statistically significant difference.

Results

Effects of BS and NaSH on the production of TNF-α and NO in RAW264.7 cells

Macrophages control the immune system directly through their innate immune functions. Activated macrophages secrete TNF-α and NO. To evaluate the effect of BS and NaSH on the production of TNF-α, RAW264.7 cells were treated with BS and NaSH for 24 h. As shown in Fig. 1A, BS and NaSH (1 µg/ml) significantly increased the production of TNF-α, compared with the unstimulated cells (P<0.05). The mRNA levels of TNF-α were also increased by treatment with BS or NaSH (Fig. 1B). To determine the effects of BS and NaSH on the production of NO, the RAW264.7 cells were treated with BS and NaSH for 48 h. BS and NaSH had no significant effects on the production of NO (Fig. 1C). However, LPS significantly increased the levels of TNF-α and NO (Fig. 1A–C). No cytotoxic effects of BS and NaSH were observed (Fig. 1D).

Figure 1

Effect of BS and NaSH on the levels of TNF-α and NO in the RAW264.7 cells. RAW264.7 cells were treated with BS (1 mg/ml), NaSH (0.01, 0.1 and 1 µg/ml) or LPS (10 µg/ml). (A) Production of TNF-α was analyzed using an enzyme-linked immunosorbent assay and (B) mRNA expression of TNF-α was analyzed using reverse transcription-polymerase chain reaction analysis. (C) Production of NO was measured using the Griess method (nitrite). (D) Cytotoxicity was measured using an MTT assay. Data are presented as the mean ± standard error of the mean of three independent experiments performed in duplicate. *P<0.05, vs. unstimulated cells. BS, bamboo salt; TNF-α, tumor necrosis factor-α; NO, nitrous oxide.

Effects of BS and NaSH on the activation of NF-κB in RAW264.7 cells

NF-κB is a transcription factor, which regulates the expression of TNF-α and is important in immunity (9). Thus, the present study examined the effects of BS and NaSH on the activation of NF-κB in the RAW264.7 cells. Stimulation with BS and NaSH induced the translocation of NF-κB (p65) to the nuclei following the phosphorylation of IκBα (Fig. 2). Immunocytochemistry for NF-κB (p65) was also performed; when the RAW 264.7 cells were treated with BS or NaSH, immunoreactive NF-κB was localized to the nuclei (Fig. 3).

Figure 2

Effect of BS and NaSH on the activation of NF-κB in RAW264.7 cells. RAW264.7 cells were treated with BS (1 mg/ml), NaSH (0.01, 0.1 and 1 µg/ml) or LPS (10 µg/ml) for 1 h. (A) Nuclear extracts (NE) were analyzed for NF-κB and cytoplasmic extracts (CE) were analyzed for pIκBα using western blot analysis. (B) Relative protein levels of NF-κB to actin and (C) relative protein levels of pIκBα to tubulin were quantified using densitometry. Data are presented as the mean ± standard error of the mean of three independent experiments performed in duplicate. *P<0.05, vs. unstimulated cells. BS, bamboo salt; LPS, lipopolysaccharide; NaSH, sodium hydrosul-fide; NF-κB, nuclear factor-κB; pIκBα, phosphorylated inhibitor of NF-κBα.

Figure 3

Effect of BS and NaSH on the translocation of NF-kB into the nucleus of RAW264.7 cells. RAW264.7 cells were treated with BS (1 mg/ml), NaSH (1 µg/ml) or LPS (10 µg/ml) for 1 h. NF-κB was stained using primary antibody, anti-p65, for 1 h and then incubated with secondary fluorescein isothiocyanate-conjugated IgG for 30 min. Results are representative of three independent experiments. (Original magnification, ×138; scale bar=20 µm). Blank, unstimulated cells, BS, bamboo salt; LPS, lipopolysaccharide; NaSH, sodium hydrosulfide; NF-κB, nuclear factor-κB.

Effects of BS and NaSH on immobility time during the FST

The FST is a behavioral animal model for the evaluation of immune-enhancing drugs (22). The present study investigated the effects of BS and NaSH on the immobility time during the FST. BS (1 g/kg), NaSH (0.1 and 1 mg/kg) and CVE (0.3 g/kg) were orally administered to the mice once a day for 28 days. Measurements of immobility times were performed 1 h following BS, NaSH and CVE administration. The immobility times were significantly decreased in the BS- and NaSH-administered groups, compared with the control group (Fig. 4; P<0.05). CVE also significantly reduced the immobility time (Fig. 4; P<0.05).

Figure 4

Effect of BS and NaSH on FST-induced immobility in mice. Immobility times during the FST are shown. BS (1 g/kg), NaSH (0.01, 0.1 and 1 mg/kg) or CVE (0.3 g/kg) were administered 1 h prior to the FST. Values are presented as the mean ± standard error of the mean. *P<0.05, vs. distilled water-treated control group. BS, bamboo salt; CVE, Chlorella vulgaris extract; NaSH, sodium hydrosulfide; FST, forced swimming test.

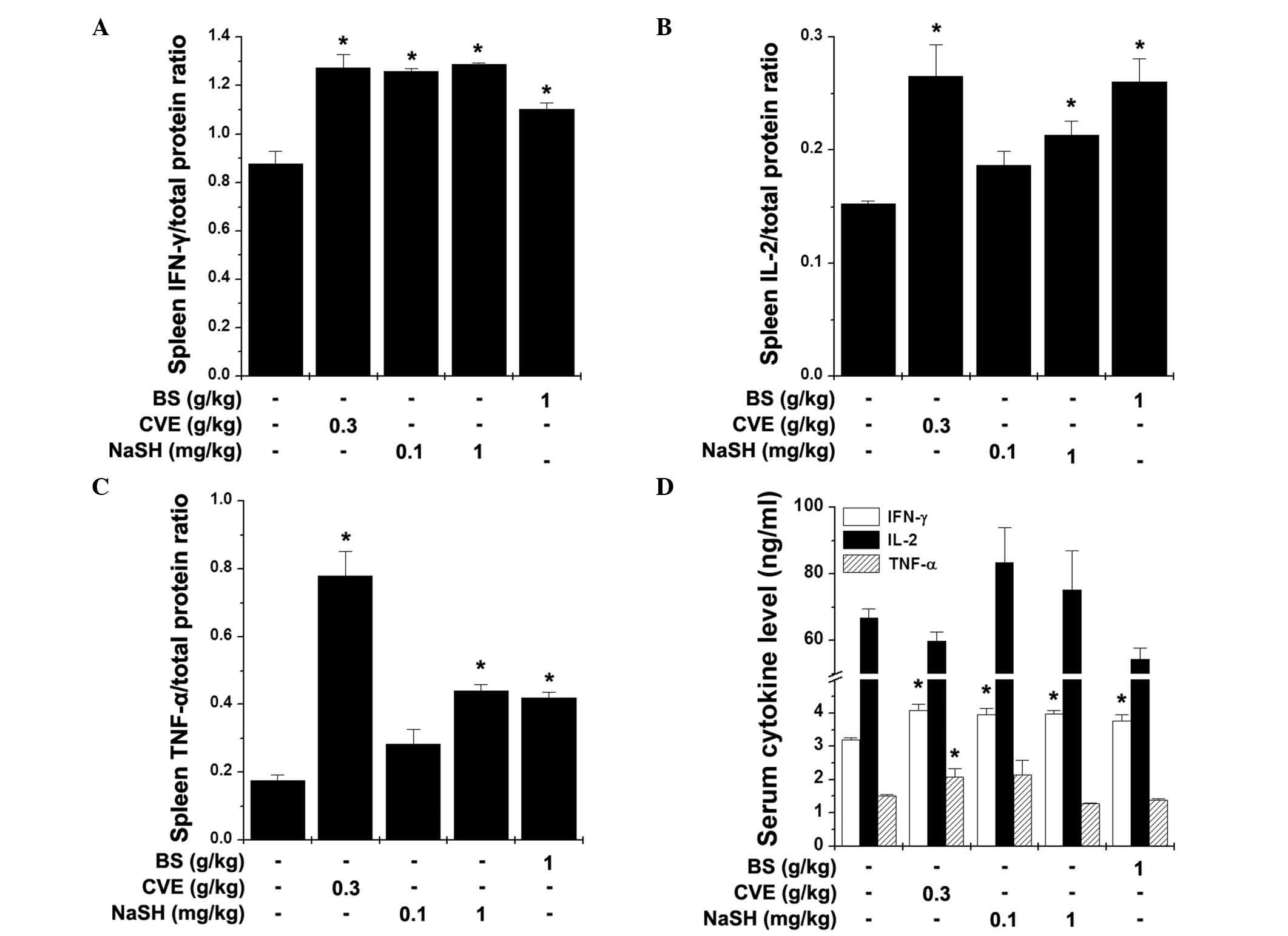
Effects of BS and NaSH on the levels of Th1 cytokines in the spleen and serum

Th cells are important in the cellular immune response, and are key in host defense systems against bacterial products and viruses (23). The Th1 cytokines secreted by Th1 cells increase cell-mediated immune responses (24), therefore, the present study analyzed the levels of Th1 cytokines (IFN-γ, IL-2 and TNF-α) in the spleen and serum following the FST. BS (1 g/kg) and NaSH (1 mg/kg) significantly increased the levels of IFN-γ, IL-2 and TNF-α in the spleen (Fig. 5A–C; P<0.05). The serum levels of IFN-γ were also significantly increased by BS, NaSH and CVE (Fig. 5D; P<0.05).

Figure 5

Effects of BS and NaSH on the levels of Th1 cytokines in the spleen and serum. The levels of (A) IFN-γ, (B) IL-2 and (C) TNF-α in the spleen, and the (D) serum levels of these three cytokines were measured following the FST using an enzyme-linked immunosorbent assay. Values are presented as the mean ± standard error of the mean. *P<0.05, vs. distilled water-treated control group. BS, bamboo salt; CVE, Chlorella vulgaris extract; NaSH, sodium hydrosulfide; FST, forced swimming test; IFN-γ, interferon-γ; IL-2, interleukin-2; TNF-α, tumor necrosis factor-α.

Discussion

In the present study, it was shown that BS and NaSH increased the production of TNF-α and activation of NF-κB in RAW 264.7 cells. BS and NaSH significantly reduced the immobility time in the FST on day 28. In addition, BS and NaSH significantly increased the levels of IFN-γ, IL-2 and TNF-α.

Macrophages are involved in homeostasis, wound repair, tissue remodeling during embryogenesis and the removal of damaged or senescent cells subsequent to injury or infection (7). The activation of macrophages by LPS stimulation increases the production of NO and TNF-α (9). NO is a key molecule for inducing pathogen and tumor cell death, and is synthesized from L-arginine by iNOS (25). The expression of TNF-α is dependent on the activation of the transcription factor, NF-κB (9). NF-κB is a major transcription factor for the expression of innate and adaptive immunity-associated genes (26). In Korea, red ginseng has been known to improve immunity and increase the levels of TNF-α and NO in RAW264.7 cells (27). In the present study, BS and NaSH increased the levels of TNF-α and activation of NF-kB, suggesting that BS and NaSH increased the levels of TNF-α via the activation of NF-κB.

Several psychotropic drugs have been developed using the FST (21,28). Although a number of antidepressants reduce immobility time during FSTs (29), the attenuation of lymphocyte proliferation and IL-2 production, damage to natural killer cell cytotoxic responses and reduced neutrophil phagocytosis have been reported following exposure to the FST (30,31). An et al (22) reported that the observed reduction in immobility time by CVE in the FST indicated enhanced immune function and improved physical stamina. Panax ginseng has been used as a traditional Korean medicine for improving physical stamina and enhancing the immune response. The immobility time in the FST has been found to be reduced in mice administered with Panax ginseng (32). In the present study, BS and NaSH reduced the immobility time during the FST, which indicated that BS and NaSH had an immune-enhancing effect.

The spleen is organized as a tree of branching arterial vessels, and is composed of T cells, B cells, fibroblasts, marginal-zone macrophages and dendritic cells. In particular, Th1 cells are a key factor in the cellular immune response and have a central role in host defense systems against various pathogens (12). Th1 cytokines, including IFN-γ, IL-2 and TNF-α are produced from Th1 cells and are vital in regulation of the immune response, activating lymphocytes, macrophages and polymorphonuclear cells to destroy bacterial pathogens (24). IFN-γ is crucial in immunity against intracellular pathogens and in the control of tumors (33). IL-2 is a cytokine messenger protein, which activates components of the immune system. Several studies have established IL-2 as the lymph cytotropic cytokine, responsible for signaling helper T lymphocyte (CD4+ T cell) proliferation (34). TNF-α performs important functions in the protection of cells from viral infection or in promoting the selective elimination of virally-infected cells via an IFN-independent mechanism (35). Anticancer drugs induce potent cellular immune responses leading to the production of IFN-γ, IL-2 and TNF-α (36). CVE, which functions in immune enhancing, increases the levels of IL-2 and IFN-γ in T cells (37). In the present study, it was shown that BS and NaSH induced a significant increase in Th1 cytokines in the spleen and serum. These results suggested that BS and NaSH may have useful effects in the treatment of cancer and infections via immune enhancement. However, further investigation is required to clarify the anticancer and antiviral effects of BS and NaSH.

The administration of minerals enhances the host immune response (38). Zinc has been shown to be necessary for physiological functioning of the innate and adaptive immune systems, and it is particularly important for the development of T cells and their peripheral functions following maturation (39). Copper and magnesium are known to be important in the development and maintenance of the immune system (40,41). Iron contributes to the regulation of body temperature following physical exercise and controlling immune defenses (42). H2S involves the cell signaling pathways, which may be involved in cytoprotective, anti-inflammatory and anti-apoptotic actions, and in the modulation of ion channels and metabolism, including the production of mitochondrial ATP (43,44). In the present study, it was shown that bamboo salt and NaSH had immune-enhancing effects. Bamboo salt contains H2S, in addition to 70 essential minerals and micronutrients (17). Therefore, the present study hypothesized that H2S is an active component of BS in immune functions.

In conclusion, the present study showed for the first time, to the best of our knowledge, that BS and H2S significantly increased the production of TNF-α via the activation of NF-κB in the RAW264.7 cells. BS and H2S significantly reduced the immobility times in the FST, and significantly increased the levels of IFN-γ, IL-2 and TNF-α. Taken together, these results suggested that BS and H2S may offer potential as essential agents for the enhancement of immune function.

Acknowledgments

This study was supported by a grant (grant no. 20130290) to the Solar Salt Research Center from the Ministry of Oceans and Fisheries of Korea.

References

1 

Aderem A and Ulevitch RJ: Toll-like receptors in the induction of the innate immune response. Nature. 406:782–787. 2000. View Article : Google Scholar : PubMed/NCBI

2 

Hoffmann JA, Kafatos FC, Janeway CA and Ezekowitz RA: Phylogenetic perspectives in innate immunity. Science. 284:1313–1318. 1999. View Article : Google Scholar : PubMed/NCBI

3 

Bonilla FA, Bernstein IL, Khan DA, Ballas ZK, Chinen J, Frank MM, Kobrynski LJ, Levinson AI, Mazer B, Nelson RP Jr, et al: Practice parameter for the diagnosis and management of primary immunodeficiency. Ann Allergy Asthma Immunol. 94(5 Suppl 1): S1–S63. 2005. View Article : Google Scholar : PubMed/NCBI

4 

Younger EM, Epland K, Zampelli A and Hintermeyer MK: Primary immunodeficiency diseases: A primer for PCPs. Nurse Pract. 40:1–7. 2015. View Article : Google Scholar : PubMed/NCBI

5 

Kaminogawa S and Nanno M: Modulation of immune functions by foods. Evid Based Complement Alternat Med. 1:241–250. 2004. View Article : Google Scholar

6 

Park HJ, Yang HJ, Kim KH and Kim SH: Aqueous extract of Orostachys japonicus A. Berger exerts immunostimulatory activity in RAW 264.7 macrophages. J Ethnopharmacol. 170:210–217. 2015. View Article : Google Scholar : PubMed/NCBI

7 

Adams OD and Hamilton TA: Molecular basis of macrophage activation and its origins. Oxford University Press; New York: pp. 75–114. 1992

8 

Nathan C: Nitric oxide as a secretory product of mammalian cells. FASEB J. 6:3051–3064. 1992.PubMed/NCBI

9 

Jeong HJ, Han NR, Kim KY, Choi IS and Kim HM: Gomisin A decreases the LPS-induced expression of iNOS and COX-2 and activation of RIP2/NF-κB in mouse peritoneal macrophages. Immunopharmacol Immunotoxicol. 36:195–201. 2014. View Article : Google Scholar : PubMed/NCBI

10 

Del Prete GF, De Carli M, Mastromauro C, Biagiotti R, Macchia D, Falagiani P, Ricci M and Romagnani S: Purified protein derivative of Mycobacterium tuberculosis and excretory-secretory antigen(s) of Toxocara canis expand in vitro human T cells with stable and opposite (type 1 T helper or type 2 T helper) profile of cytokine production. J Clin Invest. 88:346–350. 1991. View Article : Google Scholar : PubMed/NCBI

11 

Carter LL and Dutton RW: Type 1 and type 2: A fundamental dichotomy for all T-cell subsets. Curr Opin Immunol. 8:336–342. 1996. View Article : Google Scholar : PubMed/NCBI

12 

Linder J: The thymus gland in secondary immunodeficiency. Arch Pathol Lab Med. 111:1118–1122. 1987.PubMed/NCBI

13 

Kim KY, Nam SY, Shin TY, Park KY, Jeong HJ and Kim HM: Bamboo salt reduces allergic responses by modulating the caspase-1 activation in an OVA-induced allergic rhinitis mouse model. Food Chem Toxicol. 50:3480–3488. 2012. View Article : Google Scholar : PubMed/NCBI

14 

Kim YS, Lee EH and Kim HM: Surprisingly, traditional purple bamboo salt, unlike other salts does not induce hypertension in rats. TANG. 3:e162013.

15 

Nam SY, Oh HA, Choi Y, Park KY, Kim HM and Jeong HJ: Inhibition of IL-32 signaling by bamboo salt decreases pro-inflammatory responses in cellular models of allergic rhinitis. J Med Food. 17:939–948. 2014. View Article : Google Scholar : PubMed/NCBI

16 

Shin HY, Na HJ, Moon PD, Shin T, Shin TY, Kim SH, Hong SH and Kim HM: Inhibition of mast cell dependent immediate-type hypersensitivity reactions by purple bamboo salt. J Ethnopharmacol. 91:153–157. 2004. View Article : Google Scholar : PubMed/NCBI

17 

Zhao X, Kim SY and Park KY: Bamboo salt has in vitro anticancer activity in HCT-116 cells and exerts anti-metastatic effects in vivo. J Med Food. 16:9–19. 2013. View Article : Google Scholar

18 

Han J, Xuan JL, Hu HR and Chen ZW: Effects and mechanisms of hyperoside on vascular endothelium function in middle cerebral arteries of rats ex vivo. Zhongguo Zhong Yao Za Zhi. 39:4849–4855. 2014.In Chinese.

19 

Zhang Y, Li H, Zhao G, Sun A, Zong NC, Li Z, Zhu H, Zou Y, Yang X and Ge J: Hydrogen sulfide attenuates the recruitment of CD11b+Gr−1+myeloid cells and regulates Bax/Bcl−2 signaling in myocardial ischemia injury. Sci Rep. 4:47742014.

20 

Jeong HJ, Koo HN, Na HJ, Kim MS, Hong SH, Eom JW, Kim KS, Shin TY and Kim HM: Inhibition of TNF-alpha and IL-6 production by Aucubin through blockade of NF-kappaB activation RBL-2H3 mast cells. Cytokine. 18:252–259. 2002. View Article : Google Scholar : PubMed/NCBI

21 

Porsolt RD, Bertin A and Jalfre M: Behavioral despair in mice: A primary screening test for antidepressants. Arch Int Pharmacodyn Ther. 229:327–336. 1977.PubMed/NCBI

22 

An HJ, Choi HM, Park HS, Han JG, Lee EH, Park YS, Um JY, Hong SH and Kim HM: Oral administration of hot water extracts of Chlorella vulgaris increases physical stamina in mice. Ann Nutr Metab. 50:380–386. 2006. View Article : Google Scholar : PubMed/NCBI

23 

Paul WE and Seder RA: Lymphocyte responses and cytokines. Cell. 76:241–251. 1994. View Article : Google Scholar : PubMed/NCBI

24 

Abbas AK, Murphy KM and Sher A: Functional diversity of helper T lymphocytes. Nature. 383:787–793. 1996. View Article : Google Scholar : PubMed/NCBI

25 

Cho CW, Han CJ, Rhee YK, Lee YC, Shin KS, Shin JS, Lee KT and Hong HD: Cheonggukjang polysaccharides enhance immune activities and prevent cyclophosphamide-induced immunosuppression. Int J Biol Macromol. 72:519–525. 2015. View Article : Google Scholar

26 

Baker RG, Hayden MS and Ghosh S: NF-κB, inflammation, and metabolic disease. Cell Metab. 13:11–22. 2011. View Article : Google Scholar : PubMed/NCBI

27 

Park SY, Kim HB, Kim JH, Lee JM, Kim SR, Shin HS and Yi TH: Immunostimulatory effect of fermented red ginseng in the mouse model. Prev Nutr Food Sci. 19:10–18. 2014. View Article : Google Scholar : PubMed/NCBI

28 

Connor TJ, Kelliher P, Shen Y, Harkin A, Kelly JP and Leonard BE: Effect of subchronic antidepressant treatments on behavioral, neurochemical, and endocrine changes in the forced-swim test. Pharmacol Biochem Behav. 65:591–597. 2000. View Article : Google Scholar : PubMed/NCBI

29 

Jeong HJ, Kim JH, Kim NR, Yoou MS, Nam SY, Kim KY, Choi Y, Jang JB, Kang IC, Baek NI and Kim HM: Antidepressant effect of Stillen. Arch Pharm Res. 38:1223–1231. 2015. View Article : Google Scholar

30 

Irwin M, Smith TL and Gillin JC: Low natural killer cytotoxicity in major depression. Life Sci. 41:2127–2133. 1987. View Article : Google Scholar : PubMed/NCBI

31 

Shu J, Stevenson JR and Zhou X: Modulation of cellular immune responses by cold water swim stress in the rat. Dev Comp Immunol. 17:357–371. 1993. View Article : Google Scholar : PubMed/NCBI

32 

Shin HY, Jeong HJ, Hyo-Jin-An, Hong SH, Um JY, Shin TY, Kwon SJ, Jee SY, Seo BI, Shin SS, et al: The effect of Panax ginseng on forced immobility time & immune function in mice. Indian J Med Res. 124:199–206. 2006.PubMed/NCBI

33 

Yamaguchi R, Kawata J, Yamamoto T, Ishimaru Y, Sakamoto A, Ono T, Narahara S, Sugiuchi H, Hirose E and Yamaguchi Y: Mechanism of interferon-gamma production by monocytes stimulated with myeloperoxidase and neutrophil extracellular traps. Blood Cells Mol Dis. 55:127–133. 2015. View Article : Google Scholar : PubMed/NCBI

34 

Shaker MA and Younes HM: Interleukin-2: Evaluation of routes of administration and current delivery systems in cancer therapy. J Pharm Sci. 98:2268–2298. 2009. View Article : Google Scholar

35 

Lee JA, Kim YM, Hyun PM, Jeon JW, Park JK, Suh GH, Jung BG and Lee BJ: Honeybee (Apis mellifera) venom reinforces viral clearance during the early stage of infection with porcine reproductive and respiratory syndrome virus through the up-regulation of Th1-specific immune responses. Toxins (Basel). 7:1837–1853. 2015. View Article : Google Scholar

36 

Dalgleish AG: Cancer vaccines. Br J Cancer. 82:1619–1624. 2000.PubMed/NCBI

37 

An HJ, Rim HK, Jeong HJ, Hong SH, Um JY and Kim HM: Hot water extracts of Chlorella vulgaris improve immune function in protein-deficient weanling mice and immune cells. Immunopharmacol Immunotoxicol. 32:585–592. 2010. View Article : Google Scholar : PubMed/NCBI

38 

Schafer AS, Leal MLR, Molento MB, et al: Immune response of lambs experimentally infected with Haemonchus contortus and parenterally treated with a combination of zinc and copper. Small Ruminant Res. 123:183–188. 2015. View Article : Google Scholar

39 

Jansen J, Karges W and Rink L: Zinc and diabetes-clinical links and molecular mechanisms. J Nutr Biochem. 20:399–417. 2009. View Article : Google Scholar : PubMed/NCBI

40 

Percival SS: Copper and immunity. Am J Clin Nutr. 67(5 Suppl): 1064S–1068S. 1998.PubMed/NCBI

41 

Tam M, Gómez S, González-Gross M and Marcos A: Possible roles of magnesium on the immune system. Eur J Clin Nutr. 57:1193–1197. 2003. View Article : Google Scholar : PubMed/NCBI

42 

Speich M, Pineau A and Ballereau F: Minerals, trace elements and related biological variables in athletes and during physical activity. Clin Chim Acta. 312:1–11. 2001. View Article : Google Scholar : PubMed/NCBI

43 

Azizi F, Seifi B, Kadkhodaee M and Ahghari P: Administration of hydrogen sulfide protects ischemia reperfusion-induced acute kidney injury by reducing the oxidative stress. Ir J Med Sci. 2015.Epub ahead of print. PubMed/NCBI

44 

Hunter JP, Hosgood SA, Patel M, Furness P, Sayers RD and Nicholson ML: Hydrogen sulfide reduces inflammation following abdominal aortic occlusion in rats. Ann Vasc Surg. 29:353–360. 2015. View Article : Google Scholar

Related Articles

  • Abstract
  • View
  • Download
  • Twitter
Copy and paste a formatted citation
Spandidos Publications style
Kim NR, Nam SY, Ryu K, Kim HM and Jeong HJ: Effects of bamboo salt and its component, hydrogen sulfide, on enhancing immunity. Mol Med Rep 14: 1673-1680, 2016.
APA
Kim, N., Nam, S., Ryu, K., Kim, H., & Jeong, H. (2016). Effects of bamboo salt and its component, hydrogen sulfide, on enhancing immunity. Molecular Medicine Reports, 14, 1673-1680. https://doi.org/10.3892/mmr.2016.5407
MLA
Kim, N., Nam, S., Ryu, K., Kim, H., Jeong, H."Effects of bamboo salt and its component, hydrogen sulfide, on enhancing immunity". Molecular Medicine Reports 14.2 (2016): 1673-1680.
Chicago
Kim, N., Nam, S., Ryu, K., Kim, H., Jeong, H."Effects of bamboo salt and its component, hydrogen sulfide, on enhancing immunity". Molecular Medicine Reports 14, no. 2 (2016): 1673-1680. https://doi.org/10.3892/mmr.2016.5407
Copy and paste a formatted citation
x
Spandidos Publications style
Kim NR, Nam SY, Ryu K, Kim HM and Jeong HJ: Effects of bamboo salt and its component, hydrogen sulfide, on enhancing immunity. Mol Med Rep 14: 1673-1680, 2016.
APA
Kim, N., Nam, S., Ryu, K., Kim, H., & Jeong, H. (2016). Effects of bamboo salt and its component, hydrogen sulfide, on enhancing immunity. Molecular Medicine Reports, 14, 1673-1680. https://doi.org/10.3892/mmr.2016.5407
MLA
Kim, N., Nam, S., Ryu, K., Kim, H., Jeong, H."Effects of bamboo salt and its component, hydrogen sulfide, on enhancing immunity". Molecular Medicine Reports 14.2 (2016): 1673-1680.
Chicago
Kim, N., Nam, S., Ryu, K., Kim, H., Jeong, H."Effects of bamboo salt and its component, hydrogen sulfide, on enhancing immunity". Molecular Medicine Reports 14, no. 2 (2016): 1673-1680. https://doi.org/10.3892/mmr.2016.5407
Follow us
  • Twitter
  • LinkedIn
  • Facebook
About
  • Spandidos Publications
  • Careers
  • Cookie Policy
  • Privacy Policy
How can we help?
  • Help
  • Live Chat
  • Contact
  • Email to our Support Team