Spandidos Publications Logo
  • About
    • About Spandidos
    • Aims and Scopes
    • Abstracting and Indexing
    • Editorial Policies
    • Reprints and Permissions
    • Job Opportunities
    • Terms and Conditions
    • Contact
  • Journals
    • All Journals
    • Oncology Letters
      • Oncology Letters
      • Information for Authors
      • Editorial Policies
      • Editorial Board
      • Aims and Scope
      • Abstracting and Indexing
      • Bibliographic Information
      • Archive
    • International Journal of Oncology
      • International Journal of Oncology
      • Information for Authors
      • Editorial Policies
      • Editorial Board
      • Aims and Scope
      • Abstracting and Indexing
      • Bibliographic Information
      • Archive
    • Molecular and Clinical Oncology
      • Molecular and Clinical Oncology
      • Information for Authors
      • Editorial Policies
      • Editorial Board
      • Aims and Scope
      • Abstracting and Indexing
      • Bibliographic Information
      • Archive
    • Experimental and Therapeutic Medicine
      • Experimental and Therapeutic Medicine
      • Information for Authors
      • Editorial Policies
      • Editorial Board
      • Aims and Scope
      • Abstracting and Indexing
      • Bibliographic Information
      • Archive
    • International Journal of Molecular Medicine
      • International Journal of Molecular Medicine
      • Information for Authors
      • Editorial Policies
      • Editorial Board
      • Aims and Scope
      • Abstracting and Indexing
      • Bibliographic Information
      • Archive
    • Biomedical Reports
      • Biomedical Reports
      • Information for Authors
      • Editorial Policies
      • Editorial Board
      • Aims and Scope
      • Abstracting and Indexing
      • Bibliographic Information
      • Archive
    • Oncology Reports
      • Oncology Reports
      • Information for Authors
      • Editorial Policies
      • Editorial Board
      • Aims and Scope
      • Abstracting and Indexing
      • Bibliographic Information
      • Archive
    • Molecular Medicine Reports
      • Molecular Medicine Reports
      • Information for Authors
      • Editorial Policies
      • Editorial Board
      • Aims and Scope
      • Abstracting and Indexing
      • Bibliographic Information
      • Archive
    • World Academy of Sciences Journal
      • World Academy of Sciences Journal
      • Information for Authors
      • Editorial Policies
      • Editorial Board
      • Aims and Scope
      • Abstracting and Indexing
      • Bibliographic Information
      • Archive
    • International Journal of Functional Nutrition
      • International Journal of Functional Nutrition
      • Information for Authors
      • Editorial Policies
      • Editorial Board
      • Aims and Scope
      • Abstracting and Indexing
      • Bibliographic Information
      • Archive
    • International Journal of Epigenetics
      • International Journal of Epigenetics
      • Information for Authors
      • Editorial Policies
      • Editorial Board
      • Aims and Scope
      • Abstracting and Indexing
      • Bibliographic Information
      • Archive
    • Medicine International
      • Medicine International
      • Information for Authors
      • Editorial Policies
      • Editorial Board
      • Aims and Scope
      • Abstracting and Indexing
      • Bibliographic Information
      • Archive
  • Articles
  • Information
    • Information for Authors
    • Information for Reviewers
    • Information for Librarians
    • Information for Advertisers
    • Conferences
  • Language Editing
Spandidos Publications Logo
  • About
    • About Spandidos
    • Aims and Scopes
    • Abstracting and Indexing
    • Editorial Policies
    • Reprints and Permissions
    • Job Opportunities
    • Terms and Conditions
    • Contact
  • Journals
    • All Journals
    • Biomedical Reports
      • Information for Authors
      • Editorial Policies
      • Editorial Board
      • Aims and Scope
      • Abstracting and Indexing
      • Bibliographic Information
      • Archive
    • Experimental and Therapeutic Medicine
      • Information for Authors
      • Editorial Policies
      • Editorial Board
      • Aims and Scope
      • Abstracting and Indexing
      • Bibliographic Information
      • Archive
    • International Journal of Epigenetics
      • Information for Authors
      • Editorial Policies
      • Editorial Board
      • Aims and Scope
      • Abstracting and Indexing
      • Bibliographic Information
      • Archive
    • International Journal of Functional Nutrition
      • Information for Authors
      • Editorial Policies
      • Editorial Board
      • Aims and Scope
      • Abstracting and Indexing
      • Bibliographic Information
      • Archive
    • International Journal of Molecular Medicine
      • Information for Authors
      • Editorial Policies
      • Editorial Board
      • Aims and Scope
      • Abstracting and Indexing
      • Bibliographic Information
      • Archive
    • International Journal of Oncology
      • Information for Authors
      • Editorial Policies
      • Editorial Board
      • Aims and Scope
      • Abstracting and Indexing
      • Bibliographic Information
      • Archive
    • Medicine International
      • Information for Authors
      • Editorial Policies
      • Editorial Board
      • Aims and Scope
      • Abstracting and Indexing
      • Bibliographic Information
      • Archive
    • Molecular and Clinical Oncology
      • Information for Authors
      • Editorial Policies
      • Editorial Board
      • Aims and Scope
      • Abstracting and Indexing
      • Bibliographic Information
      • Archive
    • Molecular Medicine Reports
      • Information for Authors
      • Editorial Policies
      • Editorial Board
      • Aims and Scope
      • Abstracting and Indexing
      • Bibliographic Information
      • Archive
    • Oncology Letters
      • Information for Authors
      • Editorial Policies
      • Editorial Board
      • Aims and Scope
      • Abstracting and Indexing
      • Bibliographic Information
      • Archive
    • Oncology Reports
      • Information for Authors
      • Editorial Policies
      • Editorial Board
      • Aims and Scope
      • Abstracting and Indexing
      • Bibliographic Information
      • Archive
    • World Academy of Sciences Journal
      • Information for Authors
      • Editorial Policies
      • Editorial Board
      • Aims and Scope
      • Abstracting and Indexing
      • Bibliographic Information
      • Archive
  • Articles
  • Information
    • For Authors
    • For Reviewers
    • For Librarians
    • For Advertisers
    • Conferences
  • Language Editing
Login Register Submit
  • This site uses cookies
  • You can change your cookie settings at any time by following the instructions in our Cookie Policy. To find out more, you may read our Privacy Policy.

    I agree
Search articles by DOI, keyword, author or affiliation
Search
Advanced Search
presentation
Molecular Medicine Reports
Join Editorial Board Propose a Special Issue
Print ISSN: 1791-2997 Online ISSN: 1791-3004
Journal Cover
September-2016 Volume 14 Issue 3

Full Size Image

Sign up for eToc alerts
Recommend to Library

Journals

International Journal of Molecular Medicine

International Journal of Molecular Medicine

International Journal of Molecular Medicine is an international journal devoted to molecular mechanisms of human disease.

International Journal of Oncology

International Journal of Oncology

International Journal of Oncology is an international journal devoted to oncology research and cancer treatment.

Molecular Medicine Reports

Molecular Medicine Reports

Covers molecular medicine topics such as pharmacology, pathology, genetics, neuroscience, infectious diseases, molecular cardiology, and molecular surgery.

Oncology Reports

Oncology Reports

Oncology Reports is an international journal devoted to fundamental and applied research in Oncology.

Experimental and Therapeutic Medicine

Experimental and Therapeutic Medicine

Experimental and Therapeutic Medicine is an international journal devoted to laboratory and clinical medicine.

Oncology Letters

Oncology Letters

Oncology Letters is an international journal devoted to Experimental and Clinical Oncology.

Biomedical Reports

Biomedical Reports

Explores a wide range of biological and medical fields, including pharmacology, genetics, microbiology, neuroscience, and molecular cardiology.

Molecular and Clinical Oncology

Molecular and Clinical Oncology

International journal addressing all aspects of oncology research, from tumorigenesis and oncogenes to chemotherapy and metastasis.

World Academy of Sciences Journal

World Academy of Sciences Journal

Multidisciplinary open-access journal spanning biochemistry, genetics, neuroscience, environmental health, and synthetic biology.

International Journal of Functional Nutrition

International Journal of Functional Nutrition

Open-access journal combining biochemistry, pharmacology, immunology, and genetics to advance health through functional nutrition.

International Journal of Epigenetics

International Journal of Epigenetics

Publishes open-access research on using epigenetics to advance understanding and treatment of human disease.

Medicine International

Medicine International

An International Open Access Journal Devoted to General Medicine.

Journal Cover
September-2016 Volume 14 Issue 3

Full Size Image

Sign up for eToc alerts
Recommend to Library

  • Article
  • Citations
    • Cite This Article
    • Download Citation
    • Create Citation Alert
    • Remove Citation Alert
    • Cited By
  • Similar Articles
    • Related Articles (in Spandidos Publications)
    • Similar Articles (Google Scholar)
    • Similar Articles (PubMed)
  • Download PDF
  • Download XML
  • View XML
Article

Suppression of tumor cell proliferation by quinine via the inhibition of the tumor necrosis factor receptor‑associated factor 6‑AKT interaction

  • Authors:
    • Wenjuan Liu
    • Yonghao Qi
    • Lingyu Liu
    • Yu Tang
    • Jing Wei
    • Lijun Zhou
  • View Affiliations / Copyright

    Affiliations: Department of Molecular and Cellular Pharmacology, School of Pharmaceutical Science and Technology, Tianjin University, Tianjin 300072, P.R. China
  • Pages: 2171-2179
    |
    Published online on: July 11, 2016
       https://doi.org/10.3892/mmr.2016.5492
  • Expand metrics +
Metrics: Total Views: 0 (Spandidos Publications: | PMC Statistics: )
Metrics: Total PDF Downloads: 0 (Spandidos Publications: | PMC Statistics: )
Cited By (CrossRef): 0 citations Loading Articles...

This article is mentioned in:



Abstract

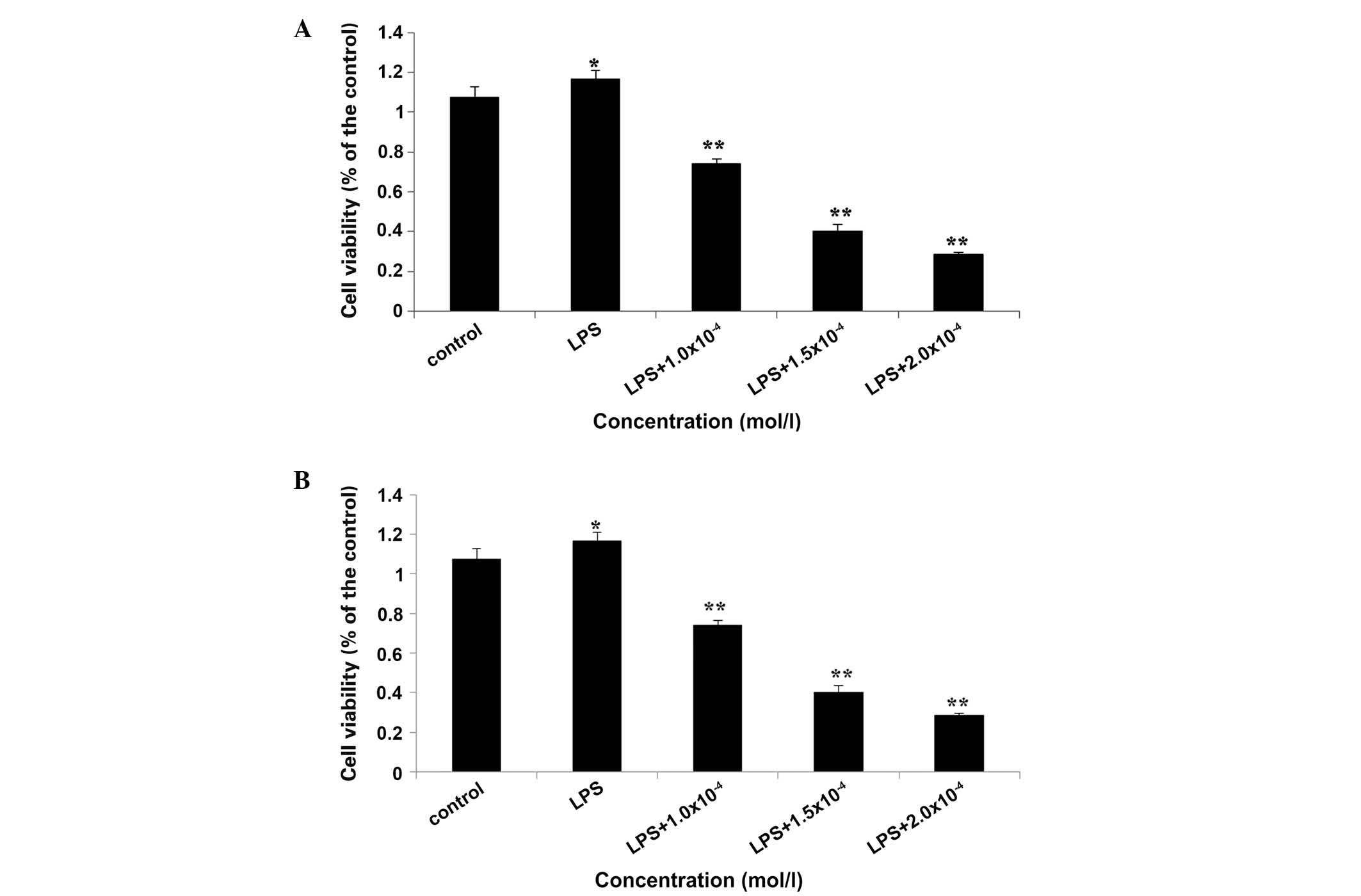
Protein kinase B (AKT), is a pivotal component of pathways associated with cell survival, metabolism, invasion and metastasis. AKT mediates anti‑apoptotic and proliferative signaling in response to essential cytokines. Tumor necrosis factor receptor‑associated factor (TRAF)6, an E3 ubiquitin ligase, has been shown to ubiquitylate, as well as activate AKT. The present study used computational methods to determine the relevant amino acid residues at the binding site of TRAF6 and selected small molecules, which may bind to TRAF6. An ex vivo assay was performed to determine their antitumor activities and the possible mechanism of action. Quinine, a natural alkaloid that is well‑known for its therapeutic treatment of malaria, exhibited a distinct antiproliferative and pro‑apoptotic effect in HeLa and A549 tumor cell lines via the inhibition of the antiapoptotic protein, B‑cell lymphoma (BCL)‑2, and activation of the pro‑apoptotic factor, BCL‑2‑associated X protein. Quinine inhibited the lipopolysaccharide (LPS)‑induced activation of AKT by inhibiting its phosphorylation at Thr‑308 and Ser‑473, and reversing LPS‑induced proliferation. These results suggested that the inhibition of AKT activation via targeting of TRAF6 with quinine may be a viable anticancer therapeutic approach and a successful example of the alternative use of the original therapeutic properties of this well‑known natural product.
View Figures

Figure 1

Figure 2

Figure 3

Figure 4

Figure 5

Figure 6

Figure 7

View References

1 

Bae S, Kim SY, Jung JH, Yoon Y, Cha HJ, Lee H, Kim K, Kim J, An IS, Kim J, et al: Akt is negatively regulated by the MULAN E3 ligase. Cell Res. 22:873–885. 2012. View Article : Google Scholar : PubMed/NCBI

2 

Cai J, Yang J and Jones DP: Mitochondrial control of apoptosis: The role of cytochrome c. Biochim Biophys Acta. 1366:139–149. 1998. View Article : Google Scholar : PubMed/NCBI

3 

Jeong SJ, Pise-Masison CA, Radonovich MF, Park HU and Brady JN: Activated AKT regulates NF-kappaB activation, p53 inhibition and cell survival in HTLV-1-transformed cells. Oncogene. 24:6719–6728. 2005. View Article : Google Scholar : PubMed/NCBI

4 

Yang WL, Wang J, Chan CH, Lee SW, Campos AD, Lamothe B, Hur L, Grabiner BC, Lin X, Darnay BG and Lin HK: The E3 ligase TRAF6 regulates Akt ubiquitination and activation. Science. 325:1134–1138. 2009. View Article : Google Scholar : PubMed/NCBI

5 

Zhong L, Cao F and You Q: Effect of TRAF6 on the biological behavior of human lung adenocarcinoma cell. Tumor Biol. 34:231–239. 2013. View Article : Google Scholar

6 

Deng L, Wang C, Spencer E, Yang L, Braun A, You J, Slaughter C, Pickart C and Chen ZJ: Activation of the IkappaB kinase complex by TRAF6 requires a dimeric ubiquitin-conjugating enzyme complex and a unique polyubiquitin chain. Cell. 103:351–361. 2000. View Article : Google Scholar : PubMed/NCBI

7 

Feng H, Lopez GY, Kim CK, Alvarez A, Duncan CG, Nishikawa R, Nagane M, Su AJ, Auron PE, Hedberg ML, et al: EGFR phosphorylation of DCBLD2 recruits TRAF6 and stimulates AKT-promoted tumorigenesis. J Clin Invest. 124:3741–3756. 2014. View Article : Google Scholar : PubMed/NCBI

8 

Wang DH, Qu WL, Shi LQ and Wei J: Molecular docking and pharmacophore model studies of Rho kinase inhibitors. Mol Simulat. 37:488–494. 2011. View Article : Google Scholar

9 

Pettersen EF, Goddard TD, Huang CC, Couch GS, Greenblatt DM, Meng EC and Ferrin TE: UCSF chimera-A visualization system for exploratory research and analysis. J Comput Chem. 25:1605–1612. 2004. View Article : Google Scholar : PubMed/NCBI

10 

Hartupee J, Liu C, Novotny M, Sun D, Li X and Hamilton TA: IL-17 signaling for mRNA stabilization does not require TNF receptor-associated factor 6. J Immunol. 182:1660–1666. 2009. View Article : Google Scholar : PubMed/NCBI

11 

Elumalai P, Arunkumar R, Benson CS, Sharmila G and Arunakaran J: Nimbolide inhibits IGF-I-mediated PI3K/Akt and MAPK signalling in human breast cancer cell lines (MCF-7 and MDA-MB-231). Cell Biochem Funct. 32:476–484. 2014.PubMed/NCBI

12 

Schnetzke U, Fischer M, Kuhn AK, Spies-Weisshart B, Zirm E, Hochhaus A, Müller JP and Scholl S: The E3 ubiquitin ligase TRAF6 inhibits LPS-induced AKT activation in FLT3-ITD-positive MV4-11 AML cells. J Cancer Res Clin Oncol. 139:605–615. 2013. View Article : Google Scholar

13 

Gills JJ and Dennis PA: The development of phosphatidylinositol ether lipid analogues as inhibitors of the serine/threonine kinase, Akt. Expert Opin Investig Drugs. 13:787–797. 2004. View Article : Google Scholar

14 

Luo J, Manning BD and Cantley LC: Targeting the PI3K-Akt pathway in human cancer: Rationale and promise. Cancer Cell. 4:257–262. 2003. View Article : Google Scholar : PubMed/NCBI

15 

Nishimura M and Naito S: Tissue-specific mRNA expression profiles of human toll-like receptors and related genes. Biol Pharm Bull. 28:886–892. 2005. View Article : Google Scholar : PubMed/NCBI

16 

Mao R, Fan Y, Mou Y, Zhang H, Fu S and Yang J: TAK1 lysine 158 is required for TGF-β-induced TRAF6-mediated Smad-independent IKK/NF-κB and JNK/AP-1 activation. Cell Signal. 23:222–227. 2011. View Article : Google Scholar

17 

Chantzoura E, Prinarakis E, Panagopoulos D, Mosialos G and Spyrou G: Glutaredoxin-1 regulates TRAF6 activation and the IL-1 receptor/TLR4 signalling. Biochem Biophys Res Commun. 403:335–339. 2010. View Article : Google Scholar : PubMed/NCBI

18 

Golbano JM, Lóppez-Aparicio P, Recio MN and Pérez-Albarsanz MA: Finasteride induces apoptosis via Bcl-2, Bcl-xL, Bax and caspase-3 proteins in LNCaP human prostate cancer cell line. Int J Oncol. 32:919–924. 2008.PubMed/NCBI

19 

Alonso-Castro AJ, Ortiz-Sánchez E, García-Regalado A, Ruiz G, Núñez-Martínez JM, González-Sánchez I, Quintanar-Jurado V, Morales-Sánchez E, Dominguez F, López-Toledo G, et al: Kaempferitrin induces apoptosis via intrinsic pathway in HeLa cells and exerts antitumor effects. J Ethnopharmacol. 145:476–489. 2013. View Article : Google Scholar

20 

Xu C, Wu A, Zhu H, Fang H, Xu L, Ye J and Shen J: Melatonin is involved in the apoptosis and necrosis of pancreatic cancer cell line SW-1990 via modulating of Bcl-2/Bax balance. Biomed Pharmacother. 67:133–139. 2013. View Article : Google Scholar

21 

Costa LS, Telles CB, Oliveira RM, Nobre LT, Dantas-Santos N, Camara RB, Costa MS, Almeida-Lima J, Melo-Silveira RF, Albuquerque IR, et al: Heterofucan from Sargassum filipendula induces apoptosis in HeLa Cells. Mar Drugs. 9:603–614. 2011. View Article : Google Scholar : PubMed/NCBI

22 

Hu W and Kavanagh JJ: Anticancer therapy targeting the apoptotic pathway. Lancet Oncol. 4:721–729. 2003. View Article : Google Scholar : PubMed/NCBI

23 

Yang J, Liu X, Bhalla K, Kim CN, Ibrado AM, Cai J, Peng TI, Jones DP and Wang X: Prevention of apoptosis by Bcl-2: Release of cytochrome c from mitochondria blocked. Science. 275:1129–1132. 1997. View Article : Google Scholar : PubMed/NCBI

24 

Kluck RM, Bossy-Wetzel E, Green DR and Newmeyer DD: The release of cytochrome c from mitochondria: A primary site for Bcl-2 regulation of apoptosis. Science. 275:1132–1136. 1997. View Article : Google Scholar : PubMed/NCBI

25 

Zhang L, Xing D and Chen MJ: Bim(L) displacing Bcl-x(L) promotes bax translocation during TNF alpha-induced apoptosis. Apoptosis. 13:950–958. 2008. View Article : Google Scholar : PubMed/NCBI

26 

Gardai SJ, Hildeman DA, Frankel SK, Whitlock BB, Frasch SC, Borregaard N, Marrack P, Bratton DL and Henson PM: Phosphorylation of Bax Ser184 by Akt regulates its activity and apoptosis in neutrophils. J Biol Chem. 279:21085–21095. 2004. View Article : Google Scholar : PubMed/NCBI

27 

Linseman DA, Butts BD, Precht TA, Phelps RA, Le SS, Laessig TA, Bouchard RJ, Florez-McClure ML and Heidenreich KA: Glycogen synthase kinase-3 beta phosphorylates bax and promotes its mitochondrial localization during neuronal apoptosis. J Neurosci. 24:9993–10002. 2004. View Article : Google Scholar : PubMed/NCBI

28 

Zha J, Harada H, Yang E, Jockel J and Korsmeyer SJ: Serine phosphorylation of death agonist BAD in response to survival factor results in binding to 14-3-3 not BCL-XL. Cell. 87:619–628. 1996. View Article : Google Scholar : PubMed/NCBI

29 

Marte BM and Downward J: PKB/Akt: Connecting phosphoinositide 3-kinase to cell survival and beyond. Trends Biochem Sci. 22:355–358. 1997. View Article : Google Scholar : PubMed/NCBI

30 

Datta SR, Brunet A and Greenberg ME: Cellular survival: A play in three Akts. Genes Dev. 13:2905–2927. 1999. View Article : Google Scholar : PubMed/NCBI

31 

Song G, Ouyang G and Bao S: The activation of Akt/PKB signaling pathway and cell survival. J Cell Mol Med. 9:59–71. 2005. View Article : Google Scholar : PubMed/NCBI

32 

Scheid MP and Woodgett JR: Unravelling the activation mechanisms of protein kinase B/Akt. FEBS Lett. 546:108–112. 2003. View Article : Google Scholar : PubMed/NCBI

Related Articles

  • Abstract
  • View
  • Download
  • Twitter
Copy and paste a formatted citation
Spandidos Publications style
Liu W, Qi Y, Liu L, Tang Y, Wei J and Zhou L: Suppression of tumor cell proliferation by quinine via the inhibition of the tumor necrosis factor receptor‑associated factor 6‑AKT interaction. Mol Med Rep 14: 2171-2179, 2016.
APA
Liu, W., Qi, Y., Liu, L., Tang, Y., Wei, J., & Zhou, L. (2016). Suppression of tumor cell proliferation by quinine via the inhibition of the tumor necrosis factor receptor‑associated factor 6‑AKT interaction. Molecular Medicine Reports, 14, 2171-2179. https://doi.org/10.3892/mmr.2016.5492
MLA
Liu, W., Qi, Y., Liu, L., Tang, Y., Wei, J., Zhou, L."Suppression of tumor cell proliferation by quinine via the inhibition of the tumor necrosis factor receptor‑associated factor 6‑AKT interaction". Molecular Medicine Reports 14.3 (2016): 2171-2179.
Chicago
Liu, W., Qi, Y., Liu, L., Tang, Y., Wei, J., Zhou, L."Suppression of tumor cell proliferation by quinine via the inhibition of the tumor necrosis factor receptor‑associated factor 6‑AKT interaction". Molecular Medicine Reports 14, no. 3 (2016): 2171-2179. https://doi.org/10.3892/mmr.2016.5492
Copy and paste a formatted citation
x
Spandidos Publications style
Liu W, Qi Y, Liu L, Tang Y, Wei J and Zhou L: Suppression of tumor cell proliferation by quinine via the inhibition of the tumor necrosis factor receptor‑associated factor 6‑AKT interaction. Mol Med Rep 14: 2171-2179, 2016.
APA
Liu, W., Qi, Y., Liu, L., Tang, Y., Wei, J., & Zhou, L. (2016). Suppression of tumor cell proliferation by quinine via the inhibition of the tumor necrosis factor receptor‑associated factor 6‑AKT interaction. Molecular Medicine Reports, 14, 2171-2179. https://doi.org/10.3892/mmr.2016.5492
MLA
Liu, W., Qi, Y., Liu, L., Tang, Y., Wei, J., Zhou, L."Suppression of tumor cell proliferation by quinine via the inhibition of the tumor necrosis factor receptor‑associated factor 6‑AKT interaction". Molecular Medicine Reports 14.3 (2016): 2171-2179.
Chicago
Liu, W., Qi, Y., Liu, L., Tang, Y., Wei, J., Zhou, L."Suppression of tumor cell proliferation by quinine via the inhibition of the tumor necrosis factor receptor‑associated factor 6‑AKT interaction". Molecular Medicine Reports 14, no. 3 (2016): 2171-2179. https://doi.org/10.3892/mmr.2016.5492
Follow us
  • Twitter
  • LinkedIn
  • Facebook
About
  • Spandidos Publications
  • Careers
  • Cookie Policy
  • Privacy Policy
How can we help?
  • Help
  • Live Chat
  • Contact
  • Email to our Support Team