Spandidos Publications Logo
  • About
    • About Spandidos
    • Aims and Scopes
    • Abstracting and Indexing
    • Editorial Policies
    • Reprints and Permissions
    • Job Opportunities
    • Terms and Conditions
    • Contact
  • Journals
    • All Journals
    • Oncology Letters
      • Oncology Letters
      • Information for Authors
      • Editorial Policies
      • Editorial Board
      • Aims and Scope
      • Abstracting and Indexing
      • Bibliographic Information
      • Archive
    • International Journal of Oncology
      • International Journal of Oncology
      • Information for Authors
      • Editorial Policies
      • Editorial Board
      • Aims and Scope
      • Abstracting and Indexing
      • Bibliographic Information
      • Archive
    • Molecular and Clinical Oncology
      • Molecular and Clinical Oncology
      • Information for Authors
      • Editorial Policies
      • Editorial Board
      • Aims and Scope
      • Abstracting and Indexing
      • Bibliographic Information
      • Archive
    • Experimental and Therapeutic Medicine
      • Experimental and Therapeutic Medicine
      • Information for Authors
      • Editorial Policies
      • Editorial Board
      • Aims and Scope
      • Abstracting and Indexing
      • Bibliographic Information
      • Archive
    • International Journal of Molecular Medicine
      • International Journal of Molecular Medicine
      • Information for Authors
      • Editorial Policies
      • Editorial Board
      • Aims and Scope
      • Abstracting and Indexing
      • Bibliographic Information
      • Archive
    • Biomedical Reports
      • Biomedical Reports
      • Information for Authors
      • Editorial Policies
      • Editorial Board
      • Aims and Scope
      • Abstracting and Indexing
      • Bibliographic Information
      • Archive
    • Oncology Reports
      • Oncology Reports
      • Information for Authors
      • Editorial Policies
      • Editorial Board
      • Aims and Scope
      • Abstracting and Indexing
      • Bibliographic Information
      • Archive
    • Molecular Medicine Reports
      • Molecular Medicine Reports
      • Information for Authors
      • Editorial Policies
      • Editorial Board
      • Aims and Scope
      • Abstracting and Indexing
      • Bibliographic Information
      • Archive
    • World Academy of Sciences Journal
      • World Academy of Sciences Journal
      • Information for Authors
      • Editorial Policies
      • Editorial Board
      • Aims and Scope
      • Abstracting and Indexing
      • Bibliographic Information
      • Archive
    • International Journal of Functional Nutrition
      • International Journal of Functional Nutrition
      • Information for Authors
      • Editorial Policies
      • Editorial Board
      • Aims and Scope
      • Abstracting and Indexing
      • Bibliographic Information
      • Archive
    • International Journal of Epigenetics
      • International Journal of Epigenetics
      • Information for Authors
      • Editorial Policies
      • Editorial Board
      • Aims and Scope
      • Abstracting and Indexing
      • Bibliographic Information
      • Archive
    • Medicine International
      • Medicine International
      • Information for Authors
      • Editorial Policies
      • Editorial Board
      • Aims and Scope
      • Abstracting and Indexing
      • Bibliographic Information
      • Archive
  • Articles
  • Information
    • Information for Authors
    • Information for Reviewers
    • Information for Librarians
    • Information for Advertisers
    • Conferences
  • Language Editing
Spandidos Publications Logo
  • About
    • About Spandidos
    • Aims and Scopes
    • Abstracting and Indexing
    • Editorial Policies
    • Reprints and Permissions
    • Job Opportunities
    • Terms and Conditions
    • Contact
  • Journals
    • All Journals
    • Biomedical Reports
      • Information for Authors
      • Editorial Policies
      • Editorial Board
      • Aims and Scope
      • Abstracting and Indexing
      • Bibliographic Information
      • Archive
    • Experimental and Therapeutic Medicine
      • Information for Authors
      • Editorial Policies
      • Editorial Board
      • Aims and Scope
      • Abstracting and Indexing
      • Bibliographic Information
      • Archive
    • International Journal of Epigenetics
      • Information for Authors
      • Editorial Policies
      • Editorial Board
      • Aims and Scope
      • Abstracting and Indexing
      • Bibliographic Information
      • Archive
    • International Journal of Functional Nutrition
      • Information for Authors
      • Editorial Policies
      • Editorial Board
      • Aims and Scope
      • Abstracting and Indexing
      • Bibliographic Information
      • Archive
    • International Journal of Molecular Medicine
      • Information for Authors
      • Editorial Policies
      • Editorial Board
      • Aims and Scope
      • Abstracting and Indexing
      • Bibliographic Information
      • Archive
    • International Journal of Oncology
      • Information for Authors
      • Editorial Policies
      • Editorial Board
      • Aims and Scope
      • Abstracting and Indexing
      • Bibliographic Information
      • Archive
    • Medicine International
      • Information for Authors
      • Editorial Policies
      • Editorial Board
      • Aims and Scope
      • Abstracting and Indexing
      • Bibliographic Information
      • Archive
    • Molecular and Clinical Oncology
      • Information for Authors
      • Editorial Policies
      • Editorial Board
      • Aims and Scope
      • Abstracting and Indexing
      • Bibliographic Information
      • Archive
    • Molecular Medicine Reports
      • Information for Authors
      • Editorial Policies
      • Editorial Board
      • Aims and Scope
      • Abstracting and Indexing
      • Bibliographic Information
      • Archive
    • Oncology Letters
      • Information for Authors
      • Editorial Policies
      • Editorial Board
      • Aims and Scope
      • Abstracting and Indexing
      • Bibliographic Information
      • Archive
    • Oncology Reports
      • Information for Authors
      • Editorial Policies
      • Editorial Board
      • Aims and Scope
      • Abstracting and Indexing
      • Bibliographic Information
      • Archive
    • World Academy of Sciences Journal
      • Information for Authors
      • Editorial Policies
      • Editorial Board
      • Aims and Scope
      • Abstracting and Indexing
      • Bibliographic Information
      • Archive
  • Articles
  • Information
    • For Authors
    • For Reviewers
    • For Librarians
    • For Advertisers
    • Conferences
  • Language Editing
Login Register Submit
  • This site uses cookies
  • You can change your cookie settings at any time by following the instructions in our Cookie Policy. To find out more, you may read our Privacy Policy.

    I agree
Search articles by DOI, keyword, author or affiliation
Search
Advanced Search
presentation
Molecular Medicine Reports
Join Editorial Board Propose a Special Issue
Print ISSN: 1791-2997 Online ISSN: 1791-3004
Journal Cover
November-2016 Volume 14 Issue 5

Full Size Image

Sign up for eToc alerts
Recommend to Library

Journals

International Journal of Molecular Medicine

International Journal of Molecular Medicine

International Journal of Molecular Medicine is an international journal devoted to molecular mechanisms of human disease.

International Journal of Oncology

International Journal of Oncology

International Journal of Oncology is an international journal devoted to oncology research and cancer treatment.

Molecular Medicine Reports

Molecular Medicine Reports

Covers molecular medicine topics such as pharmacology, pathology, genetics, neuroscience, infectious diseases, molecular cardiology, and molecular surgery.

Oncology Reports

Oncology Reports

Oncology Reports is an international journal devoted to fundamental and applied research in Oncology.

Experimental and Therapeutic Medicine

Experimental and Therapeutic Medicine

Experimental and Therapeutic Medicine is an international journal devoted to laboratory and clinical medicine.

Oncology Letters

Oncology Letters

Oncology Letters is an international journal devoted to Experimental and Clinical Oncology.

Biomedical Reports

Biomedical Reports

Explores a wide range of biological and medical fields, including pharmacology, genetics, microbiology, neuroscience, and molecular cardiology.

Molecular and Clinical Oncology

Molecular and Clinical Oncology

International journal addressing all aspects of oncology research, from tumorigenesis and oncogenes to chemotherapy and metastasis.

World Academy of Sciences Journal

World Academy of Sciences Journal

Multidisciplinary open-access journal spanning biochemistry, genetics, neuroscience, environmental health, and synthetic biology.

International Journal of Functional Nutrition

International Journal of Functional Nutrition

Open-access journal combining biochemistry, pharmacology, immunology, and genetics to advance health through functional nutrition.

International Journal of Epigenetics

International Journal of Epigenetics

Publishes open-access research on using epigenetics to advance understanding and treatment of human disease.

Medicine International

Medicine International

An International Open Access Journal Devoted to General Medicine.

Journal Cover
November-2016 Volume 14 Issue 5

Full Size Image

Sign up for eToc alerts
Recommend to Library

  • Article
  • Citations
    • Cite This Article
    • Download Citation
    • Create Citation Alert
    • Remove Citation Alert
    • Cited By
  • Similar Articles
    • Related Articles (in Spandidos Publications)
    • Similar Articles (Google Scholar)
    • Similar Articles (PubMed)
  • Download PDF
  • Download XML
  • View XML
Article

α-lipoic acid exerts neuroprotective effects on neuronal cells by upregulating the expression of PCNA via the P53 pathway in neurodegenerative conditions

  • Authors:
    • Da‑Wei Li
    • Ying‑Di Wang
    • Shi‑Yao Zhou
    • Wen‑Ping Sun
  • View Affiliations / Copyright

    Affiliations: Department of Neurology, Affiliated Hospital of Beihua University, Jilin, Jilin 132011, P.R. China, Department of Urinary Surgery, Tumor Hospital of Jilin, Changchun, Jilin 130021, P.R. China, Department of Clinical Medicine, Jilin University, Changchun, Jilin 130021, P.R. China
  • Pages: 4360-4366
    |
    Published online on: September 20, 2016
       https://doi.org/10.3892/mmr.2016.5754
  • Expand metrics +
Metrics: Total Views: 0 (Spandidos Publications: | PMC Statistics: )
Metrics: Total PDF Downloads: 0 (Spandidos Publications: | PMC Statistics: )
Cited By (CrossRef): 0 citations Loading Articles...

This article is mentioned in:



Abstract

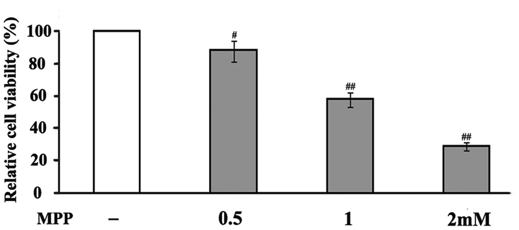
Oxidative stress appears to be a central event responsible for the degeneration of dopaminergic neurons in Parkinson's disease (PD). 1-methyl-4‑phenyl-1,2,3,6-tetrahydropyridine or its toxic metabolite 1‑methyl‑4‑phenylpyridinium (MPP+) are classical widely‑used pharmacological and toxic agents to model PD; they cause the production of reactive oxygen species by inhibiting mitochondrial complex I, leading to DNA oxidative damage and subsequent neuronal death. Previous findings have suggested that proliferating cell nuclear antigen (PCNA), a critical regulatory protein for DNA repair, is involved in dopaminergic neuron damage in the MPP+‑induced PD model. The naturally occurring dithiol compound, α‑lipoic acid (ALA) has been reported to provide neuroprotection in in vitro models of PD. The molecular mechanism by which ALA reduces neuronal death in PD remains to be fully elucidated. The present study aimed to analyze the ability of ALA to protect neuronal PC12 cells from the toxicity induced by MPP+, and the molecular mechanism underlying these actions using MTT and lactate dehydrogenase cytotoxicity assays, Hoechst 33258 staining and western blot analysis. The results demonstrated that ALA efficiently increased the production of PCNA in MPP+‑treated PC12 cells. Accordingly, ALA treatment attenuated MPP+‑induced toxicity in the PC12 cells, and reduced cell apoptosis. The increase in the expression levels of PCNA by ALA in the MPP+‑treated PC12 cells appeared to be mediated by repression of the p53 protein, as the expression of p53 was increased by MPP+‑treatment and reduced by ALA. Taken together, these results indicated that ALA protected dopaminergic neurons against MPP+‑induced neurotoxicity through its ability to upregulate the DNA repair protein, PCNA, via the P53 pathway.
View Figures

Figure 1

Figure 2

Figure 3

Figure 4

Figure 5

View References

1 

de Lau LM and Breteler MM: Epidemiology of Parkinson's disease. Lancet Neurol. 5:525–535. 2006. View Article : Google Scholar : PubMed/NCBI

2 

Alam ZI, Jenner A, Daniel SE, Lees AJ, Cairns N, Marsden CD, Jenner P and Halliwell B: Oxidative DNA damage in the parkinsonian brain: An apparent selective increase in 8-hydroxyguanine levels in substantia nigra. J Neurochem. 69:1196–1203. 1997. View Article : Google Scholar : PubMed/NCBI

3 

Mandir AS, Przedborski S, Jackson-Lewis V, Wang ZQ, Simbulan-Rosenthal CM, Smulson ME, Hoffman BE, Guastella DB, Dawson VL and Dawson TM: Poly (ADP-ribose) polymerase activation mediates 1-methyl-4-phenyl-1, 2,3,6-tetrahydropyridine (MPTP)-induced parkinsonism. Proc Natl Acad Sci USA. 96:5774–5779. 1999. View Article : Google Scholar : PubMed/NCBI

4 

Moldovan GL, Pfander B and Jentsch S: PCNA, the maestro of the replication fork. Cell. 129:665–679. 2007. View Article : Google Scholar : PubMed/NCBI

5 

Mailand N, Gibbs-Seymour I and Bekker-Jensen S: Regulation of PCNA-protein interactions for genome stability. Nat Rev Mol Cell Biol. 14:269–282. 2013. View Article : Google Scholar : PubMed/NCBI

6 

Li DW, Li GR, Zhang BL, Feng JJ and Zhao H: Damage to dopaminergic neurons is mediated by proliferating cell nuclear antigen through the p53 pathway under conditions of oxidative stress in a cell model of Parkinson's disease. Int J Mol Med. 37:429–435. 2016.PubMed/NCBI

7 

Burkovics P, Hajdú I, Szukacsov V, Unk I and Haracska L: Role of PCNA-dependent stimulation of 3′-phosphodiesterase and 3′-5′ exonuclease activities of human Ape2 in repair of oxidative DNA damage. Nucleic Acids Res. 37:4247–4255. 2009. View Article : Google Scholar : PubMed/NCBI

8 

Amoroso A, Concia L, Maggio C, Raynaud C, Bergounioux C, Crespan E, Cella R and Maga G: Oxidative DNA damage bypass in Arabidopsis thaliana requires DNA polymerase λ and proliferating cell nuclear antigen 2. Plant Cell. 23:806–822. 2011. View Article : Google Scholar : PubMed/NCBI

9 

Shay KP, Moreau RF, Smith EJ, Smith AR and Hagen TM: Alpha-lipoic acid as a dietary supplement: Molecular mechanisms and therapeutic potential. Biochim Biophys Acta. 1790:1149–1160. 2009. View Article : Google Scholar : PubMed/NCBI

10 

Wollin SD and Jones PJ: Alpha-lipoic acid and cardiovascular disease. J Nutr. 133:3327–3330. 2003.PubMed/NCBI

11 

McNeilly AM, Davison GW, Murphy MH, Nadeem N, Trinick T, Duly E, Novials A and McEneny J: Effect of α-lipoic acid and exercise training on cardiovascular disease risk in obesity with impaired glucose tolerance. Lipids Health Dis. 10:2172011. View Article : Google Scholar : PubMed/NCBI

12 

Stanković MN, Mladenović D, Ninković M, Ethuričić I, Sobajić S, Jorgačević B, de Luka S, Vukicevic RJ and Radosavljević TS: The effects of α-lipoic acid on liver oxidative stress and free fatty acid composition in methionine-choline deficient diet-induced NAFLD. J Med Food. 17:254–261. 2014. View Article : Google Scholar : PubMed/NCBI

13 

Hatami S, Zavareh S, Salehnia M, Lashkarbolouki T, Ghorbanian MT and Karimi I: Total oxidative status of mouse vitrified pre-antral follicles with pre-treatment of alpha lipoic acid. Iran Biomed J. 18:181–188. 2014.PubMed/NCBI

14 

Showkat A, Bastnagel WR and Hudson JQ: Effect of α-lipoic acid on oxidative stress in end-stage renal disease patients receiving intravenous iron. ISRN Nephrol. 2014:6345152014. View Article : Google Scholar : PubMed/NCBI

15 

Ziegler D, Hanefeld M, Ruhnau KJ, Meissner HP, Lobisch M, Schütte K and Gries FA: Treatment of symptomatic diabetic peripheral neuropathy with the anti-oxidant alpha-lipoic acid. A 3-week multicentre randomized controlled trial (ALADIN Study). Diabetologia. 38:1425–1433. 1995. View Article : Google Scholar : PubMed/NCBI

16 

Ziegler D, Hanefeld M, Ruhnau KJ, Hasche H, Lobisch M, Schütte K, Kerum G and Malessa R: Treatment of symptomatic diabetic polyneuropathy with the antioxidant alpha-lipoic acid: A 7-month multicenter randomized controlled trial (ALADIN III Study). ALADIN III study group. Alpha-lipoic acid in diabetic neuropathy. Diabetes Care. 22:1296–1301. 1999. View Article : Google Scholar : PubMed/NCBI

17 

Sancheti H, Kanamori K, Patil I, Brinton R Diaz, Ross BD and Cadenas E: Reversal of metabolic deficits by lipoic acid in a triple transgenic mouse model of Alzheimer's disease: A 13C NMR study. J Cereb Blood Flow Metab. 34:288–296. 2014. View Article : Google Scholar : PubMed/NCBI

18 

Mansoor S, Gupta N, Luczy-Bachman G, Limb GA, Kuppermann BD and Kenney MC: Protective effects of lipoic acid on chrysene-induced toxicity on Müller cells in vitro. Mol Vis. 19:25–38. 2013.PubMed/NCBI

19 

Li DW, Li GR, Lu Y, Liu ZQ, Chang M, Yao M, Cheng W and Hu LS: α-lipoic acid protects dopaminergic neurons against MPP+-induced apoptosis by attenuating reactive oxygen species formation. Int J Mol Med. 32:108–114. 2013.PubMed/NCBI

20 

Morris GF, Bischoff JR and Mathews MB: Transcriptional activation of the human proliferating-cell nuclear antigen promoter by p53. Proc Natl Acad Sci USA. 93:895–899. 1996. View Article : Google Scholar : PubMed/NCBI

21 

Shivakumar CV, Brown DR, Deb S and Deb SP: Wild-type human p53 transactivates the human proliferating cell nuclear antigen promoter. Mol Cell Biol. 15:6785–6793. 1995. View Article : Google Scholar : PubMed/NCBI

22 

Martin LJ: p53 is abnormally elevated and active in the CNS of patients with amyotrophic lateral sclerosis. Neurobiol Dis. 7:613–622. 2000. View Article : Google Scholar : PubMed/NCBI

23 

Duan W, Zhu X, Ladenheim B, Yu QS, Guo Z, Oyler J, Cutler RG, Cadet JL, Greig NH and Mattson MP: p53 inhibitors preserve dopamine neurons and motor function in experimental parkinsonism. Ann Neurol. 52:597–606. 2002. View Article : Google Scholar : PubMed/NCBI

24 

Forno LS: Neuropathology of Parkinson's disease. J Neuropathol Exp Neurol. 55:259–272. 1996. View Article : Google Scholar : PubMed/NCBI

25 

Dias V, Junn E and Mouradian MM: The role of oxidative stress in Parkinson's disease. J Parkinsons Dis. 3:461–491. 2013.PubMed/NCBI

26 

Montine KS, Quinn JF, Zhang J, Fessel JP, Roberts LJ II, Morrow JD and Montine TJ: Isoprostanes and related products of lipid peroxidation in neurodegenerative diseases. Chem Phys Lipids. 128:117–124. 2004. View Article : Google Scholar : PubMed/NCBI

27 

Sadrzadeh SM and Saffari Y: Iron and brain disorders. Am J Clin Pathol. 121:(Suppl). S64–S70. 2004.PubMed/NCBI

28 

Jomova K and Valko M: Advances in metal-induced oxidative stress and human disease. Toxicology. 283:65–87. 2011. View Article : Google Scholar : PubMed/NCBI

29 

Nagatsu T and Sawada M: Molecular mechanism of the relation of monoamine oxidase B and its inhibitors to Parkinson's disease: Possible implications of glial cells. J Neural Transm Suppl. 53–65. 2006. View Article : Google Scholar : PubMed/NCBI

30 

Núñez MT, Urrutia P, Mena N, Aguirre P, Tapia V and Salazar J: Iron toxicity in neurodegeneration. Biometals. 25:761–776. 2012. View Article : Google Scholar : PubMed/NCBI

31 

Goraca A, Huk-Kolega H, Piechota A, Kleniewska P, Ciejka E and Skibska B: Lipoic acid-biological activity and therapeutic potential. Pharmacol Rep. 63:849–858. 2011. View Article : Google Scholar : PubMed/NCBI

32 

Panigrahi M, Sadguna Y, Shivakumar BR, Kolluri SV, Roy S, Packer L and Ravindranath V: Alpha-Lipoic acid protects against reperfusion injury following cerebral ischemia in rats. Brain Res. 717:184–188. 1996. View Article : Google Scholar : PubMed/NCBI

33 

Arivazhagan P, Shila S, Kumaran S and Panneerselvam C: Effect of DL-alpha-lipoic acid on the status of lipid peroxidation and antioxidant enzymes in various brain regions of aged rats. Exp Gerontol. 37:803–811. 2002. View Article : Google Scholar : PubMed/NCBI

34 

Chipuk JE and Green DR: Dissecting p53-dependent apoptosis. Cell Death Differ. 13:994–1002. 2006. View Article : Google Scholar : PubMed/NCBI

35 

Culmsee C and Mattson MP: p53 in neuronal apoptosis. Biochem Biophys Res Commun. 331:761–777. 2005. View Article : Google Scholar : PubMed/NCBI

36 

Mandir AS, Simbulan-Rosenthal CM, Poitras MF, Lumpkin JR, Dawson VL, Smulson ME and Dawson TM: A novel in vivo post-translational modification of p53 by PARP-1 in MPTP-induced parkinsonism. J Neurochem. 83:186–192. 2002. View Article : Google Scholar : PubMed/NCBI

37 

Nair VD: Activation of p53 signaling initiates apoptotic death in a cellular model of Parkinson's disease. Apoptosis. 11:955–966. 2006. View Article : Google Scholar : PubMed/NCBI

38 

Biswas SC, Ryu E, Park C, Malagelada C and Greene LA: Puma and p53 play required roles in death evoked in a cellular model of Parkinson disease. Neurochem Res. 30:839–845. 2005. View Article : Google Scholar : PubMed/NCBI

39 

Nakaso K, Yoshimoto Y, Yano H, Takeshima T and Nakashima K: p53-mediated mitochondrial dysfunction by proteasome inhibition in dopaminergic SH-SY5Y cells. Neurosci Lett. 354:213–216. 2004. View Article : Google Scholar : PubMed/NCBI

40 

Busse E, Zimmer G, Schopohl B and Kornhuber B: Influence of alpha-lipoic acid on intracellular glutathione in vitro and in vivo. Arzneimittelforschung. 42:829–831. 1992.PubMed/NCBI

41 

Talebi A, Zavareh S, Kashani MH, Lashgarbluki T and Karimi I: The effect of alpha lipoic acid on the developmental competence of mouse isolated preantral follicles. J Assist Reprod Genet. 29:175–183. 2012. View Article : Google Scholar : PubMed/NCBI

42 

Packer L, Witt EH and Tritschler HJ: Alpha-Lipoic acid as a biological antioxidant. Free Radic Biol Med. 19:227–250. 1995. View Article : Google Scholar : PubMed/NCBI

43 

Packer L, Tritschler HJ and Wessel K: Neuroprotection by the metabolic antioxidant alpha-lipoic acid. Free Radic Biol Med. 22:359–378. 1997. View Article : Google Scholar : PubMed/NCBI

Related Articles

  • Abstract
  • View
  • Download
  • Twitter
Copy and paste a formatted citation
Spandidos Publications style
Li DW, Wang YD, Zhou SY and Sun WP: α-lipoic acid exerts neuroprotective effects on neuronal cells by upregulating the expression of PCNA via the P53 pathway in neurodegenerative conditions. Mol Med Rep 14: 4360-4366, 2016.
APA
Li, D., Wang, Y., Zhou, S., & Sun, W. (2016). α-lipoic acid exerts neuroprotective effects on neuronal cells by upregulating the expression of PCNA via the P53 pathway in neurodegenerative conditions. Molecular Medicine Reports, 14, 4360-4366. https://doi.org/10.3892/mmr.2016.5754
MLA
Li, D., Wang, Y., Zhou, S., Sun, W."α-lipoic acid exerts neuroprotective effects on neuronal cells by upregulating the expression of PCNA via the P53 pathway in neurodegenerative conditions". Molecular Medicine Reports 14.5 (2016): 4360-4366.
Chicago
Li, D., Wang, Y., Zhou, S., Sun, W."α-lipoic acid exerts neuroprotective effects on neuronal cells by upregulating the expression of PCNA via the P53 pathway in neurodegenerative conditions". Molecular Medicine Reports 14, no. 5 (2016): 4360-4366. https://doi.org/10.3892/mmr.2016.5754
Copy and paste a formatted citation
x
Spandidos Publications style
Li DW, Wang YD, Zhou SY and Sun WP: α-lipoic acid exerts neuroprotective effects on neuronal cells by upregulating the expression of PCNA via the P53 pathway in neurodegenerative conditions. Mol Med Rep 14: 4360-4366, 2016.
APA
Li, D., Wang, Y., Zhou, S., & Sun, W. (2016). α-lipoic acid exerts neuroprotective effects on neuronal cells by upregulating the expression of PCNA via the P53 pathway in neurodegenerative conditions. Molecular Medicine Reports, 14, 4360-4366. https://doi.org/10.3892/mmr.2016.5754
MLA
Li, D., Wang, Y., Zhou, S., Sun, W."α-lipoic acid exerts neuroprotective effects on neuronal cells by upregulating the expression of PCNA via the P53 pathway in neurodegenerative conditions". Molecular Medicine Reports 14.5 (2016): 4360-4366.
Chicago
Li, D., Wang, Y., Zhou, S., Sun, W."α-lipoic acid exerts neuroprotective effects on neuronal cells by upregulating the expression of PCNA via the P53 pathway in neurodegenerative conditions". Molecular Medicine Reports 14, no. 5 (2016): 4360-4366. https://doi.org/10.3892/mmr.2016.5754
Follow us
  • Twitter
  • LinkedIn
  • Facebook
About
  • Spandidos Publications
  • Careers
  • Cookie Policy
  • Privacy Policy
How can we help?
  • Help
  • Live Chat
  • Contact
  • Email to our Support Team