Spandidos Publications Logo
  • About
    • About Spandidos
    • Aims and Scopes
    • Abstracting and Indexing
    • Editorial Policies
    • Reprints and Permissions
    • Job Opportunities
    • Terms and Conditions
    • Contact
  • Journals
    • All Journals
    • Oncology Letters
      • Oncology Letters
      • Information for Authors
      • Editorial Policies
      • Editorial Board
      • Aims and Scope
      • Abstracting and Indexing
      • Bibliographic Information
      • Archive
    • International Journal of Oncology
      • International Journal of Oncology
      • Information for Authors
      • Editorial Policies
      • Editorial Board
      • Aims and Scope
      • Abstracting and Indexing
      • Bibliographic Information
      • Archive
    • Molecular and Clinical Oncology
      • Molecular and Clinical Oncology
      • Information for Authors
      • Editorial Policies
      • Editorial Board
      • Aims and Scope
      • Abstracting and Indexing
      • Bibliographic Information
      • Archive
    • Experimental and Therapeutic Medicine
      • Experimental and Therapeutic Medicine
      • Information for Authors
      • Editorial Policies
      • Editorial Board
      • Aims and Scope
      • Abstracting and Indexing
      • Bibliographic Information
      • Archive
    • International Journal of Molecular Medicine
      • International Journal of Molecular Medicine
      • Information for Authors
      • Editorial Policies
      • Editorial Board
      • Aims and Scope
      • Abstracting and Indexing
      • Bibliographic Information
      • Archive
    • Biomedical Reports
      • Biomedical Reports
      • Information for Authors
      • Editorial Policies
      • Editorial Board
      • Aims and Scope
      • Abstracting and Indexing
      • Bibliographic Information
      • Archive
    • Oncology Reports
      • Oncology Reports
      • Information for Authors
      • Editorial Policies
      • Editorial Board
      • Aims and Scope
      • Abstracting and Indexing
      • Bibliographic Information
      • Archive
    • Molecular Medicine Reports
      • Molecular Medicine Reports
      • Information for Authors
      • Editorial Policies
      • Editorial Board
      • Aims and Scope
      • Abstracting and Indexing
      • Bibliographic Information
      • Archive
    • World Academy of Sciences Journal
      • World Academy of Sciences Journal
      • Information for Authors
      • Editorial Policies
      • Editorial Board
      • Aims and Scope
      • Abstracting and Indexing
      • Bibliographic Information
      • Archive
    • International Journal of Functional Nutrition
      • International Journal of Functional Nutrition
      • Information for Authors
      • Editorial Policies
      • Editorial Board
      • Aims and Scope
      • Abstracting and Indexing
      • Bibliographic Information
      • Archive
    • International Journal of Epigenetics
      • International Journal of Epigenetics
      • Information for Authors
      • Editorial Policies
      • Editorial Board
      • Aims and Scope
      • Abstracting and Indexing
      • Bibliographic Information
      • Archive
    • Medicine International
      • Medicine International
      • Information for Authors
      • Editorial Policies
      • Editorial Board
      • Aims and Scope
      • Abstracting and Indexing
      • Bibliographic Information
      • Archive
  • Articles
  • Information
    • Information for Authors
    • Information for Reviewers
    • Information for Librarians
    • Information for Advertisers
    • Conferences
  • Language Editing
Spandidos Publications Logo
  • About
    • About Spandidos
    • Aims and Scopes
    • Abstracting and Indexing
    • Editorial Policies
    • Reprints and Permissions
    • Job Opportunities
    • Terms and Conditions
    • Contact
  • Journals
    • All Journals
    • Biomedical Reports
      • Information for Authors
      • Editorial Policies
      • Editorial Board
      • Aims and Scope
      • Abstracting and Indexing
      • Bibliographic Information
      • Archive
    • Experimental and Therapeutic Medicine
      • Information for Authors
      • Editorial Policies
      • Editorial Board
      • Aims and Scope
      • Abstracting and Indexing
      • Bibliographic Information
      • Archive
    • International Journal of Epigenetics
      • Information for Authors
      • Editorial Policies
      • Editorial Board
      • Aims and Scope
      • Abstracting and Indexing
      • Bibliographic Information
      • Archive
    • International Journal of Functional Nutrition
      • Information for Authors
      • Editorial Policies
      • Editorial Board
      • Aims and Scope
      • Abstracting and Indexing
      • Bibliographic Information
      • Archive
    • International Journal of Molecular Medicine
      • Information for Authors
      • Editorial Policies
      • Editorial Board
      • Aims and Scope
      • Abstracting and Indexing
      • Bibliographic Information
      • Archive
    • International Journal of Oncology
      • Information for Authors
      • Editorial Policies
      • Editorial Board
      • Aims and Scope
      • Abstracting and Indexing
      • Bibliographic Information
      • Archive
    • Medicine International
      • Information for Authors
      • Editorial Policies
      • Editorial Board
      • Aims and Scope
      • Abstracting and Indexing
      • Bibliographic Information
      • Archive
    • Molecular and Clinical Oncology
      • Information for Authors
      • Editorial Policies
      • Editorial Board
      • Aims and Scope
      • Abstracting and Indexing
      • Bibliographic Information
      • Archive
    • Molecular Medicine Reports
      • Information for Authors
      • Editorial Policies
      • Editorial Board
      • Aims and Scope
      • Abstracting and Indexing
      • Bibliographic Information
      • Archive
    • Oncology Letters
      • Information for Authors
      • Editorial Policies
      • Editorial Board
      • Aims and Scope
      • Abstracting and Indexing
      • Bibliographic Information
      • Archive
    • Oncology Reports
      • Information for Authors
      • Editorial Policies
      • Editorial Board
      • Aims and Scope
      • Abstracting and Indexing
      • Bibliographic Information
      • Archive
    • World Academy of Sciences Journal
      • Information for Authors
      • Editorial Policies
      • Editorial Board
      • Aims and Scope
      • Abstracting and Indexing
      • Bibliographic Information
      • Archive
  • Articles
  • Information
    • For Authors
    • For Reviewers
    • For Librarians
    • For Advertisers
    • Conferences
  • Language Editing
Login Register Submit
  • This site uses cookies
  • You can change your cookie settings at any time by following the instructions in our Cookie Policy. To find out more, you may read our Privacy Policy.

    I agree
Search articles by DOI, keyword, author or affiliation
Search
Advanced Search
presentation
Molecular Medicine Reports
Join Editorial Board Propose a Special Issue
Print ISSN: 1791-2997 Online ISSN: 1791-3004
Journal Cover
February-2017 Volume 15 Issue 2

Full Size Image

Sign up for eToc alerts
Recommend to Library

Journals

International Journal of Molecular Medicine

International Journal of Molecular Medicine

International Journal of Molecular Medicine is an international journal devoted to molecular mechanisms of human disease.

International Journal of Oncology

International Journal of Oncology

International Journal of Oncology is an international journal devoted to oncology research and cancer treatment.

Molecular Medicine Reports

Molecular Medicine Reports

Covers molecular medicine topics such as pharmacology, pathology, genetics, neuroscience, infectious diseases, molecular cardiology, and molecular surgery.

Oncology Reports

Oncology Reports

Oncology Reports is an international journal devoted to fundamental and applied research in Oncology.

Experimental and Therapeutic Medicine

Experimental and Therapeutic Medicine

Experimental and Therapeutic Medicine is an international journal devoted to laboratory and clinical medicine.

Oncology Letters

Oncology Letters

Oncology Letters is an international journal devoted to Experimental and Clinical Oncology.

Biomedical Reports

Biomedical Reports

Explores a wide range of biological and medical fields, including pharmacology, genetics, microbiology, neuroscience, and molecular cardiology.

Molecular and Clinical Oncology

Molecular and Clinical Oncology

International journal addressing all aspects of oncology research, from tumorigenesis and oncogenes to chemotherapy and metastasis.

World Academy of Sciences Journal

World Academy of Sciences Journal

Multidisciplinary open-access journal spanning biochemistry, genetics, neuroscience, environmental health, and synthetic biology.

International Journal of Functional Nutrition

International Journal of Functional Nutrition

Open-access journal combining biochemistry, pharmacology, immunology, and genetics to advance health through functional nutrition.

International Journal of Epigenetics

International Journal of Epigenetics

Publishes open-access research on using epigenetics to advance understanding and treatment of human disease.

Medicine International

Medicine International

An International Open Access Journal Devoted to General Medicine.

Journal Cover
February-2017 Volume 15 Issue 2

Full Size Image

Sign up for eToc alerts
Recommend to Library

  • Article
  • Citations
    • Cite This Article
    • Download Citation
    • Create Citation Alert
    • Remove Citation Alert
    • Cited By
  • Similar Articles
    • Related Articles (in Spandidos Publications)
    • Similar Articles (Google Scholar)
    • Similar Articles (PubMed)
  • Download PDF
  • Download XML
  • View XML
Article Open Access

Role of miR-223/paired box 6 signaling in temozolomide chemoresistance in glioblastoma multiforme cells

  • Authors:
    • Quan Cheng
    • Xiaoqiang Ma
    • Hui Cao
    • Zigui Chen
    • Xin Wan
    • Rui Chen
    • Renjun Peng
    • Jun Huang
    • Bing Jiang
  • View Affiliations / Copyright

    Affiliations: Department of Neurosurgery, Xiangya Hospital, Central South University, Changsha, Hunan 410078, P.R. China, Department of Neurosurgery, Traditional Chinese Medical Hospital of Xinjiang Uygur Autonomous Region, Urumqi, Xinjiang 830000, P.R. China, Department of Neurosurgery, The Affiliated Hospital of Hunan Traditional Chinese Medicine University, Changsha, Hunan 410000, P.R. China
    Copyright: © Cheng et al. This is an open access article distributed under the terms of Creative Commons Attribution License.
  • Pages: 597-604
    |
    Published online on: December 27, 2016
       https://doi.org/10.3892/mmr.2016.6078
  • Expand metrics +
Metrics: Total Views: 0 (Spandidos Publications: | PMC Statistics: )
Metrics: Total PDF Downloads: 0 (Spandidos Publications: | PMC Statistics: )
Cited By (CrossRef): 0 citations Loading Articles...

This article is mentioned in:



Abstract

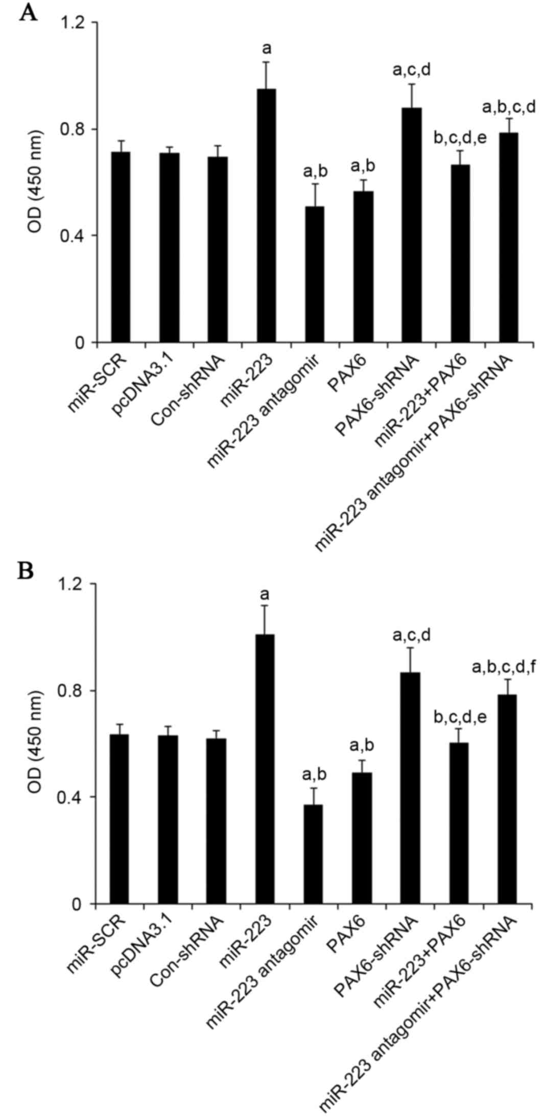
Glioblastoma (GBM) is the predominant and most fatal type of brain tumor in adults. The prognosis of GBM remains poor despite advances in surgery, chemotherapy and radiotherapy. It is common that patients with GBM exhibit innate or acquired resistance to temozolomide (TMZ), a standard chemotherapeutic agent for GBM, and a previous report demonstrated that miRNA‑233 (miR‑223) promotes the growth and invasion of GBM cells by targeting tumor suppressor paired box 6 (PAX6). The present study explored the effect of TMZ on miR‑223/PAX6 signaling in addition to the effect of miR‑223/PAX6 signaling on TMZ chemoresistance in human GBM cells. Luciferase reporter assays confirmed that miR‑223 directly targets PAX6 through binding to its 3'‑untranslated region. TMZ reduced the expression level of miR‑223 in a concentration‑dependent manner in U251 and U118 GBM cells, which led to increased expression of PAX6. miR‑223 and/or PAX6 were overexpressed and knocked down in U251 and U118 cells, and the half maximal inhibitory concentration (IC50) of TMZ and cell proliferation under TMZ treatment were used as measures of TMZ chemoresistance. The results demonstrated that overexpression of miR-223 in GBM cells markedly decreased TMZ-induced inhibition of cell proliferation and increased TMZ IC50, which could be abolished by overexpression of PAX6. On the other hand, knocking down miR‑223 in GBM cells with antagomir significantly enhanced the inhibitory effect of TMZ on GBM cell proliferation and decreased the TMZ IC50, which could be abolished by knockdown of PAX6. In conclusion, the present study demonstrated that TMZ inhibits GBM cell proliferation by inhibiting the expression of miR‑223, which leads to increased expression of tumor suppressor PAX6. Overexpression of miR‑223 increases TMZ chemoresistance, while inhibition of miR‑223 with antagomir markedly decreases TMZ chemoresistance in GBM cells. The present study provided novel insight into the molecular mechanisms underlying the pharmacological effects, in addition to the chemoresistance, of TMZ for GBM.
View Figures

Figure 1

Figure 2

Figure 3

Figure 4

Figure 5

Figure 6

Figure 7

Figure 8

View References

1 

Zhang Z and Lin CC: Taking advantage of neural development to treat glioblastoma. Eur J Neurosci. 40:2859–2866. 2014. View Article : Google Scholar : PubMed/NCBI

2 

Wen PY and Kesari S: Malignant gliomas in adults. N Engl J Med. 359:492–507. 2008. View Article : Google Scholar : PubMed/NCBI

3 

van den Bent MJ, Hegi ME and Stupp R: Recent developments in the use of chemotherapy in brain tumours. Eur J Cancer. 42:582–588. 2006. View Article : Google Scholar : PubMed/NCBI

4 

Giese A, Bjerkvig R, Berens ME and Westphal M: Cost of migration: Invasion of malignant gliomas and implications for treatment. J Clin Oncol. 21:1624–1636. 2003. View Article : Google Scholar : PubMed/NCBI

5 

Zhou YH, Tan F, Hess KR and Yung WK: The expression of PAX6, PTEN, vascular endothelial growth factor, and epidermal growth factor receptor in gliomas: Relationship to tumor grade and survival. Clin Cancer Res. 9:3369–3375. 2003.PubMed/NCBI

6 

Zhou YH, Wu X, Tan F, Shi YX, Glass T, Liu TJ, Wathen K, Hess KR, Gumin J, Lang F and Yung WK: PAX6 suppresses growth of human glioblastoma cells. J Neurooncol. 71:223–229. 2005. View Article : Google Scholar : PubMed/NCBI

7 

Mayes DA, Hu Y, Teng Y, Siegel E, Wu X, Panda K, Tan F, Yung WK and Zhou YH: PAX6 suppresses the invasiveness of glioblastoma cells and the expression of the matrix metalloproteinase-2 gene. Cancer Res. 66:9809–9817. 2006. View Article : Google Scholar : PubMed/NCBI

8 

Huang BS, Luo QZ, Han Y, Li XB, Cao LJ and Wu LX: microRNA-223 promotes the growth and invasion of glioblastoma cells by targeting tumor suppressor PAX6. Oncol Rep. 30:2263–2269. 2013.PubMed/NCBI

9 

Ma R, Jiang T and Kang X: Circulating microRNAs in cancer: Origin, function and application. J Exp Clin Cancer Res. 31:382012. View Article : Google Scholar : PubMed/NCBI

10 

Jones KB, Salah Z, Del Mare S, Galasso M, Gaudio E, Nuovo GJ, Lovat F, LeBlanc K, Palatini J, Randall RL, et al: miRNA signatures associate with pathogenesis and progression of osteosarcoma. Cancer Res. 72:1865–1877. 2012. View Article : Google Scholar : PubMed/NCBI

11 

Hermansen SK and Kristensen BW: MicroRNA biomarkers in glioblastoma. J Neurooncol. 114:13–23. 2013. View Article : Google Scholar : PubMed/NCBI

12 

Shi L, Chen J, Yang J, Pan T, Zhang S and Wang Z: MiR-21 protected human glioblastoma U87MG cells from chemotherapeutic drug temozolomide induced apoptosis by decreasing Bax/Bcl-2 ratio and caspase-3 activity. Brain Res. 1352:255–264. 2010. View Article : Google Scholar : PubMed/NCBI

13 

Zhang S, Wan Y, Pan T, Gu X, Qian C, Sun G, Sun L, Xiang Y, Wang Z and Shi L: MicroRNA-21 inhibitor sensitizes human glioblastoma U251 stem cells to chemotherapeutic drug temozolomide. J Mol Neurosci. 47:346–356. 2012. View Article : Google Scholar : PubMed/NCBI

14 

Wang J, Sai K, Chen FR and Chen ZP: miR-181b modulates glioma cell sensitivity to temozolomide by targeting MEK1. Cancer Chemother Pharmacol. 72:147–158. 2013. View Article : Google Scholar : PubMed/NCBI

15 

Mesti T, Savarin P, Triba MN, Le Moyec L, Ocvirk J, Banissi C and Carpentier AF: Metabolic impact of anti-angiogenic agents on U87 glioma cells. PLoS One. 9:e991982014. View Article : Google Scholar : PubMed/NCBI

16 

Olivares S, Green RM and Henkel AS: Endoplasmic reticulum stress activates the hepatic activator protein 1 complex via mitogen activated protein kinase-dependent signaling pathways. PLoS One. 9:e1038282014. View Article : Google Scholar : PubMed/NCBI

17 

Ding X, Zhang Z, Li S and Wang A: Combretastatin A4 phosphate induces programmed cell death in vascular endothelial cells. Oncol Res. 19:303–309. 2011. View Article : Google Scholar : PubMed/NCBI

18 

Louis DN, Ohgaki H, Wiestler OD, Cavenee WK, Burger PC, Jouvet A, Scheithauer BW and Kleihues P: The 2007 WHO classification of tumours of the central nervous system. Acta Neuropathol. 114:97–109. 2007. View Article : Google Scholar : PubMed/NCBI

19 

Fazi F, Rosa A, Fatica A, Gelmetti V, De Marchis ML, Nervi C and Bozzoni I: A minicircuitry comprised of microRNA-223 and transcription factors NFI-A and C/EBPalpha regulates human granulopoiesis. Cell. 123:819–831. 2005. View Article : Google Scholar : PubMed/NCBI

20 

Stamatopoulos B, Meuleman N, Haibe-Kains B, Saussoy P, Van Den Neste E, Michaux L, Heimann P, Martiat P, Bron D and Lagneaux L: microRNA-29c and microRNA-223 down-regulation has in vivo significance in chronic lymphocytic leukemia and improves disease risk stratification. Blood. 113:5237–5245. 2009. View Article : Google Scholar : PubMed/NCBI

21 

Wong QW, Lung RW, Law PT, Lai PB, Chan KY, To KF and Wong N: MicroRNA-223 is commonly repressed in hepatocellular carcinoma and potentiates expression of Stathmin1. Gastroenterology. 135:257–269. 2008. View Article : Google Scholar : PubMed/NCBI

22 

Nian W, Ao X, Wu Y, Huang Y, Shao J, Chen Z, Chen F and Wang D: miR-223 functions as a potent tumor suppressor of the Lewis lung carcinoma cell line by targeting insulin-like growth factor-1 receptor and cyclin-dependent kinase 2. Oncol Lett. 6:359–366. 2013.PubMed/NCBI

23 

Gottardo F, Liu CG, Ferracin M, Calin GA, Fassan M, Bassi P, Sevignani C, Byrne D, Negrini M, Pagano F, et al: Micro-RNA profiling in kidney and bladder cancers. Urol Oncol. 25:387–392. 2007. View Article : Google Scholar : PubMed/NCBI

24 

Kurashige J, Watanabe M, Iwatsuki M, Kinoshita K, Saito S, Hiyoshi Y, Kamohara H, Baba Y, Mimori K and Baba H: Overexpression of microRNA-223 regulates the ubiquitin ligase FBXW7 in oesophageal squamous cell carcinoma. Br J Cancer. 106:182–188. 2012. View Article : Google Scholar : PubMed/NCBI

25 

Li X, Zhang Y, Zhang H, Liu X, Gong T, Li M, Sun L, Ji G, Shi Y, Han Z, et al: miRNA-223 promotes gastric cancer invasion and metastasis by targeting tumor suppressor EPB41L3. Mol Cancer Res. 9:824–833. 2011. View Article : Google Scholar : PubMed/NCBI

26 

Singh SK, Hawkins C, Clarke ID, Squire JA, Bayani J, Hide T, Henkelman RM, Cusimano MD and Dirks PB: Identification of human brain tumour initiating cells. Nature. 432:396–401. 2004. View Article : Google Scholar : PubMed/NCBI

27 

Yu YH, Zhang L, Wu DS, Zhang Z, Huang FF, Zhang J, Chen XP, Liang DS, Zeng H and Chen FP: MiR-223 regulates human embryonic stem cell differentiation by targeting the IGF-1R/Akt signaling pathway. PLoS One. 8:e787692013. View Article : Google Scholar : PubMed/NCBI

28 

Bhattacharya S, Das A, Mallya K and Ahmad I: Maintenance of retinal stem cells by Abcg2 is regulated by notch signaling. J Cell Sci. 120:2652–2662. 2007. View Article : Google Scholar : PubMed/NCBI

29 

Ma B, Lei X, Guan Y, Mou LS, Yuan YF, Yue H, Lu Y, Xu GT and Qian J: Maintenance of retinal cancer stem cell-like properties through long-term serum-free culture from human retinoblastoma. Oncol Rep. 26:135–143. 2011.PubMed/NCBI

Related Articles

  • Abstract
  • View
  • Download
  • Twitter
Copy and paste a formatted citation
Spandidos Publications style
Cheng Q, Ma X, Cao H, Chen Z, Wan X, Chen R, Peng R, Huang J and Jiang B: Role of miR-223/paired box 6 signaling in temozolomide chemoresistance in glioblastoma multiforme cells. Mol Med Rep 15: 597-604, 2017.
APA
Cheng, Q., Ma, X., Cao, H., Chen, Z., Wan, X., Chen, R. ... Jiang, B. (2017). Role of miR-223/paired box 6 signaling in temozolomide chemoresistance in glioblastoma multiforme cells. Molecular Medicine Reports, 15, 597-604. https://doi.org/10.3892/mmr.2016.6078
MLA
Cheng, Q., Ma, X., Cao, H., Chen, Z., Wan, X., Chen, R., Peng, R., Huang, J., Jiang, B."Role of miR-223/paired box 6 signaling in temozolomide chemoresistance in glioblastoma multiforme cells". Molecular Medicine Reports 15.2 (2017): 597-604.
Chicago
Cheng, Q., Ma, X., Cao, H., Chen, Z., Wan, X., Chen, R., Peng, R., Huang, J., Jiang, B."Role of miR-223/paired box 6 signaling in temozolomide chemoresistance in glioblastoma multiforme cells". Molecular Medicine Reports 15, no. 2 (2017): 597-604. https://doi.org/10.3892/mmr.2016.6078
Copy and paste a formatted citation
x
Spandidos Publications style
Cheng Q, Ma X, Cao H, Chen Z, Wan X, Chen R, Peng R, Huang J and Jiang B: Role of miR-223/paired box 6 signaling in temozolomide chemoresistance in glioblastoma multiforme cells. Mol Med Rep 15: 597-604, 2017.
APA
Cheng, Q., Ma, X., Cao, H., Chen, Z., Wan, X., Chen, R. ... Jiang, B. (2017). Role of miR-223/paired box 6 signaling in temozolomide chemoresistance in glioblastoma multiforme cells. Molecular Medicine Reports, 15, 597-604. https://doi.org/10.3892/mmr.2016.6078
MLA
Cheng, Q., Ma, X., Cao, H., Chen, Z., Wan, X., Chen, R., Peng, R., Huang, J., Jiang, B."Role of miR-223/paired box 6 signaling in temozolomide chemoresistance in glioblastoma multiforme cells". Molecular Medicine Reports 15.2 (2017): 597-604.
Chicago
Cheng, Q., Ma, X., Cao, H., Chen, Z., Wan, X., Chen, R., Peng, R., Huang, J., Jiang, B."Role of miR-223/paired box 6 signaling in temozolomide chemoresistance in glioblastoma multiforme cells". Molecular Medicine Reports 15, no. 2 (2017): 597-604. https://doi.org/10.3892/mmr.2016.6078
Follow us
  • Twitter
  • LinkedIn
  • Facebook
About
  • Spandidos Publications
  • Careers
  • Cookie Policy
  • Privacy Policy
How can we help?
  • Help
  • Live Chat
  • Contact
  • Email to our Support Team