Spandidos Publications Logo
  • About
    • About Spandidos
    • Aims and Scopes
    • Abstracting and Indexing
    • Editorial Policies
    • Reprints and Permissions
    • Job Opportunities
    • Terms and Conditions
    • Contact
  • Journals
    • All Journals
    • Oncology Letters
      • Oncology Letters
      • Information for Authors
      • Editorial Policies
      • Editorial Board
      • Aims and Scope
      • Abstracting and Indexing
      • Bibliographic Information
      • Archive
    • International Journal of Oncology
      • International Journal of Oncology
      • Information for Authors
      • Editorial Policies
      • Editorial Board
      • Aims and Scope
      • Abstracting and Indexing
      • Bibliographic Information
      • Archive
    • Molecular and Clinical Oncology
      • Molecular and Clinical Oncology
      • Information for Authors
      • Editorial Policies
      • Editorial Board
      • Aims and Scope
      • Abstracting and Indexing
      • Bibliographic Information
      • Archive
    • Experimental and Therapeutic Medicine
      • Experimental and Therapeutic Medicine
      • Information for Authors
      • Editorial Policies
      • Editorial Board
      • Aims and Scope
      • Abstracting and Indexing
      • Bibliographic Information
      • Archive
    • International Journal of Molecular Medicine
      • International Journal of Molecular Medicine
      • Information for Authors
      • Editorial Policies
      • Editorial Board
      • Aims and Scope
      • Abstracting and Indexing
      • Bibliographic Information
      • Archive
    • Biomedical Reports
      • Biomedical Reports
      • Information for Authors
      • Editorial Policies
      • Editorial Board
      • Aims and Scope
      • Abstracting and Indexing
      • Bibliographic Information
      • Archive
    • Oncology Reports
      • Oncology Reports
      • Information for Authors
      • Editorial Policies
      • Editorial Board
      • Aims and Scope
      • Abstracting and Indexing
      • Bibliographic Information
      • Archive
    • Molecular Medicine Reports
      • Molecular Medicine Reports
      • Information for Authors
      • Editorial Policies
      • Editorial Board
      • Aims and Scope
      • Abstracting and Indexing
      • Bibliographic Information
      • Archive
    • World Academy of Sciences Journal
      • World Academy of Sciences Journal
      • Information for Authors
      • Editorial Policies
      • Editorial Board
      • Aims and Scope
      • Abstracting and Indexing
      • Bibliographic Information
      • Archive
    • International Journal of Functional Nutrition
      • International Journal of Functional Nutrition
      • Information for Authors
      • Editorial Policies
      • Editorial Board
      • Aims and Scope
      • Abstracting and Indexing
      • Bibliographic Information
      • Archive
    • International Journal of Epigenetics
      • International Journal of Epigenetics
      • Information for Authors
      • Editorial Policies
      • Editorial Board
      • Aims and Scope
      • Abstracting and Indexing
      • Bibliographic Information
      • Archive
    • Medicine International
      • Medicine International
      • Information for Authors
      • Editorial Policies
      • Editorial Board
      • Aims and Scope
      • Abstracting and Indexing
      • Bibliographic Information
      • Archive
  • Articles
  • Information
    • Information for Authors
    • Information for Reviewers
    • Information for Librarians
    • Information for Advertisers
    • Conferences
  • Language Editing
Spandidos Publications Logo
  • About
    • About Spandidos
    • Aims and Scopes
    • Abstracting and Indexing
    • Editorial Policies
    • Reprints and Permissions
    • Job Opportunities
    • Terms and Conditions
    • Contact
  • Journals
    • All Journals
    • Biomedical Reports
      • Information for Authors
      • Editorial Policies
      • Editorial Board
      • Aims and Scope
      • Abstracting and Indexing
      • Bibliographic Information
      • Archive
    • Experimental and Therapeutic Medicine
      • Information for Authors
      • Editorial Policies
      • Editorial Board
      • Aims and Scope
      • Abstracting and Indexing
      • Bibliographic Information
      • Archive
    • International Journal of Epigenetics
      • Information for Authors
      • Editorial Policies
      • Editorial Board
      • Aims and Scope
      • Abstracting and Indexing
      • Bibliographic Information
      • Archive
    • International Journal of Functional Nutrition
      • Information for Authors
      • Editorial Policies
      • Editorial Board
      • Aims and Scope
      • Abstracting and Indexing
      • Bibliographic Information
      • Archive
    • International Journal of Molecular Medicine
      • Information for Authors
      • Editorial Policies
      • Editorial Board
      • Aims and Scope
      • Abstracting and Indexing
      • Bibliographic Information
      • Archive
    • International Journal of Oncology
      • Information for Authors
      • Editorial Policies
      • Editorial Board
      • Aims and Scope
      • Abstracting and Indexing
      • Bibliographic Information
      • Archive
    • Medicine International
      • Information for Authors
      • Editorial Policies
      • Editorial Board
      • Aims and Scope
      • Abstracting and Indexing
      • Bibliographic Information
      • Archive
    • Molecular and Clinical Oncology
      • Information for Authors
      • Editorial Policies
      • Editorial Board
      • Aims and Scope
      • Abstracting and Indexing
      • Bibliographic Information
      • Archive
    • Molecular Medicine Reports
      • Information for Authors
      • Editorial Policies
      • Editorial Board
      • Aims and Scope
      • Abstracting and Indexing
      • Bibliographic Information
      • Archive
    • Oncology Letters
      • Information for Authors
      • Editorial Policies
      • Editorial Board
      • Aims and Scope
      • Abstracting and Indexing
      • Bibliographic Information
      • Archive
    • Oncology Reports
      • Information for Authors
      • Editorial Policies
      • Editorial Board
      • Aims and Scope
      • Abstracting and Indexing
      • Bibliographic Information
      • Archive
    • World Academy of Sciences Journal
      • Information for Authors
      • Editorial Policies
      • Editorial Board
      • Aims and Scope
      • Abstracting and Indexing
      • Bibliographic Information
      • Archive
  • Articles
  • Information
    • For Authors
    • For Reviewers
    • For Librarians
    • For Advertisers
    • Conferences
  • Language Editing
Login Register Submit
  • This site uses cookies
  • You can change your cookie settings at any time by following the instructions in our Cookie Policy. To find out more, you may read our Privacy Policy.

    I agree
Search articles by DOI, keyword, author or affiliation
Search
Advanced Search
presentation
Molecular Medicine Reports
Join Editorial Board Propose a Special Issue
Print ISSN: 1791-2997 Online ISSN: 1791-3004
Journal Cover
February-2017 Volume 15 Issue 2

Full Size Image

Sign up for eToc alerts
Recommend to Library

Journals

International Journal of Molecular Medicine

International Journal of Molecular Medicine

International Journal of Molecular Medicine is an international journal devoted to molecular mechanisms of human disease.

International Journal of Oncology

International Journal of Oncology

International Journal of Oncology is an international journal devoted to oncology research and cancer treatment.

Molecular Medicine Reports

Molecular Medicine Reports

Covers molecular medicine topics such as pharmacology, pathology, genetics, neuroscience, infectious diseases, molecular cardiology, and molecular surgery.

Oncology Reports

Oncology Reports

Oncology Reports is an international journal devoted to fundamental and applied research in Oncology.

Experimental and Therapeutic Medicine

Experimental and Therapeutic Medicine

Experimental and Therapeutic Medicine is an international journal devoted to laboratory and clinical medicine.

Oncology Letters

Oncology Letters

Oncology Letters is an international journal devoted to Experimental and Clinical Oncology.

Biomedical Reports

Biomedical Reports

Explores a wide range of biological and medical fields, including pharmacology, genetics, microbiology, neuroscience, and molecular cardiology.

Molecular and Clinical Oncology

Molecular and Clinical Oncology

International journal addressing all aspects of oncology research, from tumorigenesis and oncogenes to chemotherapy and metastasis.

World Academy of Sciences Journal

World Academy of Sciences Journal

Multidisciplinary open-access journal spanning biochemistry, genetics, neuroscience, environmental health, and synthetic biology.

International Journal of Functional Nutrition

International Journal of Functional Nutrition

Open-access journal combining biochemistry, pharmacology, immunology, and genetics to advance health through functional nutrition.

International Journal of Epigenetics

International Journal of Epigenetics

Publishes open-access research on using epigenetics to advance understanding and treatment of human disease.

Medicine International

Medicine International

An International Open Access Journal Devoted to General Medicine.

Journal Cover
February-2017 Volume 15 Issue 2

Full Size Image

Sign up for eToc alerts
Recommend to Library

  • Article
  • Citations
    • Cite This Article
    • Download Citation
    • Create Citation Alert
    • Remove Citation Alert
    • Cited By
  • Similar Articles
    • Related Articles (in Spandidos Publications)
    • Similar Articles (Google Scholar)
    • Similar Articles (PubMed)
  • Download PDF
  • Download XML
  • View XML
Article

TGF-β1 mimics the effect of IL-4 on the glycosylation of IgA1 by downregulating core 1 β1, 3-galactosyltransferase and Cosmc

  • Authors:
    • Jun Xiao
    • Manting Wang
    • Dawei Xiong
    • Ying Wang
    • Qiuyue Li
    • Jing Zhou
    • Qinkai Chen
  • View Affiliations / Copyright

    Affiliations: Department of Nephrology, The First Affiliated Hospital of Nanchang University, Nanchang, Jiangxi 330006, P.R. China, Department of Nephrology, Affiliated Jiujiang Hospital of Nanchang University, Jiujiang, Jiangxi 332000, P.R. China, Institute of Microbiology, Jiangxi Academy of Sciences, Nanchang, Jiangxi 330096, P.R. China
  • Pages: 969-974
    |
    Published online on: December 29, 2016
       https://doi.org/10.3892/mmr.2016.6084
  • Expand metrics +
Metrics: Total Views: 0 (Spandidos Publications: | PMC Statistics: )
Metrics: Total PDF Downloads: 0 (Spandidos Publications: | PMC Statistics: )
Cited By (CrossRef): 0 citations Loading Articles...

This article is mentioned in:



Abstract

The aberrant glycosylation of IgA1 is pivotal in the pathogenesis of IgA nephropathy (IgAN). The aim of the present study was to investigate the effect of transforming growth factor‑β1 (TGF‑β1) on the glycosylation of IgA1 and the associated mechanism. The mRNA levels of core1 β1, 3-galactosyltransferase (C1GalT1) and its molecular chaperone, Cosmc, were analyzed, as was the subsequent O-glycosylation of IgA1, in a human B‑cell line stimulated with TGF‑β1. The IgA1‑positive human B‑cell line was cultured with different concentrations of recombinant human TGF‑β1 (5, 10, 15 and 30 ng/ml). The production and glycosylation of IgA1 were assayed using sandwich ELISA and enzyme‑linked lectin binding assays, respectively, and the mRNA levels of C1GalT1 and Cosmc were quantified using reverse transcription‑quantitative polymerase chain reaction analysis. The results showed that the production of IgA1 was stimulated by low concentrations of TGF‑β1 (5 or 10 ng/ml) and was suppressed by high concentrations (15 or 30 ng/ml). The terminal glycosylation of secreted IgA1 was altered in response to TGF‑β1. TGF‑β1 stimulation significantly decreased the mRNA levels of C1GalT1 and Cosmc. TGF‑β1 may be key in controlling the glycosylation of IgA1, in part via the downregulation of C1GalT1 and Cosmc.

Introduction

IgA nephropathy (IgAN) is the most common primary glomerular disease worldwide and contributes significantly to end-stage renal disease (1). The diagnostic hallmark of IgAN is mesangial deposition of IgA, predominantly polymeric IgA of the IgA1 subclass (pIgA1) (2). IgA1 contains a hinge region in its heavy chain, which serves as the site of attachment for five O-linked glycan chains comprised of N-acetylgalactosamine with a 1, 3-linked galactose, which is sometimes sialylated (3,4). Patients with IgAN exhibit elevated circulating levels of IgA1 linked to O-glycans consisting of galactose-deficient N-acetylgalactosamine (GalNAc) with or without N-acetylneuraminic acid (5). These aberrantly galactosylated IgA1 molecules have an increased tendency to self-aggregate and to form antigen-antibody complexes with IgG antibodies directed against IgA1 hinge epitopes (6,7). In addition, Ig-containing complexes are particularly prone to mesangial trapping. Therefore, the formation of circulating IgA-containing immune complexes may promote mesangial IgA deposition, eventually resulting in glomerular injury (8). There is increasing evidence supporting the involvement of circulating immune complexes containing aberrantly glycosylated IgA1 in the pathogenesis of IgAN. However, the mechanisms underlying the overproduction of abnormal O-glycosylated IgA1 in IgAN remain to be fully elucidated.

The production of abnormal galactosylated IgA1 in patients with IgAN is caused by defective B lymphocytes (9). Core1 β1, 3-galactosyltransferase (C1GalT1) is a key enzyme, which transfers galactose from UDP-galactose to N-acetylgalactosamine residues. The stability of this enzyme is dependent on its interaction with the chaperone, Cosmc (10,11). The decreased expression and activity of C1GalT1, the decreased expression of its dedicated chaperone, Cosmc, and/or the increased expression and activity of a specific sialyltransferase have been demonstrated in the B cells of patients with IgAN (12–14). The production of aberrantly glycosylated IgA1 is likely due to the altered expression of these specific glycosyltransferases in B cells.

The production of IgA in B cells is regulated by T cells (15). Previous investigations have primarily focused on the imbalance of T helper (Th)1/Th2. It has been demonstrated that Th2 cytokines, including IL-4, 5 and 6, promote B cell class switching to IgA, and promote the subsequent proliferation and differentiation of IgA-producing cells (16). In addition, it has been reported that the Th2 cytokines IL-4 and IL-5 alter the N-glycosylation of murine IgA (17). As mice have only one subclass of IgA, which generally lacks O-glycans, Yamada et al (18) used an IgA1-positive human B-cell line (DAKIKI) to observe the effect of Th2 cytokines on the production of IgA1. The results revealed that IL-4 increases the galactose deficiency of secreted IgA1 by downregulating the expression of C1GalT1 and Cosmc. Furthermore, Suzuki et al (19) found that cytokines IL-6 and IL-4 accentuate IgA1 galactose deficiency via modulation of key glycosyltransferases in IgA1-producing cells isolated from patients with IgAN.

TGF-β1 is a key cytokine, which promotes IgA production and is elevated in patients with IgAN. A previous study examining the cytokine expression of peripheral blood monocuclear cells (PBMCs) showed increased levels of TGF-β1 and enhanced Th2 cytokine production in single cells isolated from patients with IgAN (20). In addition, circulating γδ T cells are increased in patients with IgAN and produce higher levels of TGF-β1, which promotes the production of IgA by B cells in culture (21). A previous study of a Chinese patient cohort also suggested that an increase in TGF-β1 in the sera of patients with IgAN was correlated with the levels of IgA, SIgA and galactose-deficient IgA1 (Gd-IgA1), and with pathologic classification (22). Yang et al (23) found that the number of type 3, TGF-β-secreting helper T cells was significantly elevated during the acute stage of Henoch-Schönlein purpura, which has a similar pathogenesis to IgAN. Our preliminary investigation demonstrated a significant increase in the percentages of Th2 and Th3 cells in patients with IgAN, compared with healthy controls, and that these percentages were positively correlated with serum levels of IgA (24). Based on these data, it was hypothesized that the Th3 cytokine, TGF-β1, has a similar role to IL-4 in the pathogenesis of IgAN. The present study aimed to determine the effect of TGF-β1 on the production and under-glycosylation of IgA1, and to explain the mechanisms underlying this effect in DAKIKI cells.

Materials and methods

Cell cultures and experimental protocols

The surface IgA1-positive human B lymphoma cell line, DAKIKI, was purchased from America Type Culture Collection (Manassas, VA, USA) and cultured in RPMI-1640 medium (Gibco; Thermo Fisher Scientific, Inc., Waltham, MA, USA) containing 10% heat-inactivated fetal calf serum (FCS; Gibco; Thermo Fisher Scientific, Inc.), 1 mM sodium pyruvate, 2 mM glutamine, 100 U/ml penicillin and 100 mg/ml streptomycin in a humidified atmosphere at 37°C with 5% CO2. To assess the effect of cytokine stimulation on the production of IgA1, and to analyze the glycosylation and sialylation of IgA1, the cells were cultured in different concentrations (0, 5, 10, 15, 30 ng/ml) of recombinant human TGF-β1 (PeproTech, Inc., Rocky Hill, NJ, USA) at a density of 5×105/ml per well in 24-well culture plates at 37°C for 3 or 7 days. To assess the effect of cytokine stimulation on the mRNA expression of C1GalT1 and Cosmc, the cells were cultured under the same conditions for 12, 24 or 72 h. Previous studies have shown that IL-4 increases the levels of Gd-IgA1 by suppressing the expression of C1GalT1 and its chaperone Cosmc (18,19). Thus, 10 ng/ml of recombinant human IL-4 (PeproTech, Inc.) was used as a positive control in the present study (18). In each experiment, triplicate culture wells were used for each stimulation condition.

Enzyme-linked immunosorbent assay (ELISA) for IgA1

The level of IgA1 in the supernatant of each culture well was determined in duplicate using ELISA, as previously described (25). Briefly, 96-well immunoplates were coated with 5 µg/ml goat anti-human IgA polyclonal antibody (1:200; Southern Biotechnology Associates, Birmingham, AL, USA) and incubated at 4°C overnight. Following three washes with PBS containing 0.05% Tween-20 (TBST), the plates were blocked in PBS containing 1% bovine serum albumin (BSA) (Sigma-Aldrich Shanghai Trading Co., Ltd., Shanghai, China) for 1 h. Following washing with 0.05% PBST, 50 µl of supernatant samples centrifuged at 100 × g for 5 min at 20°C or standard human IgA1 (Merck Millipore, Darmstadt, Germany) was added in duplicate and incubated for 2 h at room temperature, followed by incubation with horseradish peroxidase-conjugated mouse anti-human IgA1 antibody (1:1,000 Southern Biotechnology Associates) for 1 h at 37°C. Color was developed using tetramethylbenzidine solution (BD Biosciences, Franklin Lakes, NJ, USA) and detected using a microplate reader (Spectramax Plus384; Molecular Devices LLC, Sunnyvale, CA, USA) at 450 nm. Standard curves were constructed by serial dilution of an IgA1 standard serum.

Enzyme-linked lectin binding assays for IgA1 glycosylation and sialylation

O-glycosylation of the IgA1 samples was measured by the binding of Vicia villosa lectin (VVL; Vector Laboratories, Ltd. Peterborough, UK), which is specific for terminal GalNAc (26). The sialylation of IgA1 was measured by the binding of peanut agglutinin lectin (PNA; Vector Laboratories, Ltd.), which binds to the core1 disaccharide Gal-GalNAc (27). The procedures used to coat, block and wash the plates were the same as for the measurement of IgA1 concentration. Biotinylated VVL and PNA (5 µg/ml) were added to the reaction wells, which were then incubated for 2 h at 37°C. The plates were washed with 0.05% PBST five times, and lectin binding was detected with avidin-horseradish peroxidase conjugate (Vector Laboratories, Ltd.). The color was developed and measured, as above.

Reverse transcription-quantitative polymerase chain reaction (RT-qPCR) analysis for C1GalT1 and Cosmc mRNA

Total RNA was extracted from the cells using an E.Z.N.A. Total RNA kit II (Omega Bio-Tek, Inc., Norcross, GA, USA). cDNA was synthesized from the total RNA using EasyScript First-Strand cDNA Synthesis SuperMix (TransGen Biotech Co., Ltd., Beijing, China). The resulting cDNAs (1 µg) were amplified by real time qPCR analysis using a StepOne Plus™ Real-Time PCR system (Thermo Fisher Scientific, Inc.). The 20 µl reaction mixture contained: 10 µl SYBR Green PCR Master mix (Applied Biosystems; Thermo Fisher Scientific, Inc.) 0.4 µl forward primer, 0.4 µl reverse primer, 2 µl cDNA template, 0.4 µl passive reference, 6.8 µl ddH2O. The samples were incubated at 94°C for 30 sec, followed by 40 cycles of denaturation for a 5 sec at 94°C, and annealing and extension for 31 sec at 60°C. All samples were examined in triplicate against the human GAPDH reference gene, which was used to normalize the expression data. The primer pairs for C1GalT1, Cosmc and human GAPDH are listed in Table I. The results were analyzed using the 2−ΔΔCq method (28).

Table I.

Primers used for reverse transcription-quantitative polymerase chain reaction analysis.

Table I.

Primers used for reverse transcription-quantitative polymerase chain reaction analysis.

GenePrimer sequenceFragment size (bp)
C1GalT1Forward 5′-AAGGTTGACACCCAGCCTAA-3′226
Reverse 5′-CTTTGACGTGTTTGGCCTTT-3′
CosmcForward 5′-AATGGTTCTGACAATGACTG-3′272
Reverse 5′-GCTGTATTGGATATGTAGTTACT-3′
Human GAPDHForward 5′-CAGGGCTGCTTTTAACTCTGGT-3′203
Reverse 5′-GATTTTTGGAGGGATCTCGCT-3′

[i] C1GalT1, core1 β1, 3-galactosyltransferase.

Statistical analysis

All data are presented as the mean ± standard deviation. Comparisons among groups were evaluated by using one way analysis of variance and least significant difference t-tests. P<0.05 was considered to indicate a statistically significant difference. SPSS software (version, 18.0; SPSS, Inc., Chicago, IL, USA) was used for all calculations.

Results

IgA1 production in DAKIKI cells treated with TGF-1

The concentrations of IgA1 in the supernatants from cells cultured with 5 or 10 ng/ml TGF-β1 were significantly higher, compared with those in the control cells. Culture with 10 ng/ml TGF-β1 had the most marked effect on the production of IgA1, similar to the effect observed with IL-4. By contrast, IgA1 concentrations decreased following treatment with 15 or 30 ng/ml of TGF-β1 (Fig. 1A). These results indicated that low doses of TGF-β1 stimulated the production of IgA1, whereas high doses suppressed the production of IgA1. It was also observed that the concentration of IgA1 increased following prolonged stimulation for 7 days (Fig. 1B).

Figure 1.

Effect of TGF-β1 on the production of IgA1 in DAKIKI cells. (A) Treatment with 5 and 10 ng/ml of TGF-β1 stimulated the production of IgA1 in DAKIKI cells, with 10 ng/ml TGF-β1 having the most marked effect on the production of IgA1, similar to IL-4. Treatment with 15 and 30 ng/ml TGF-β1 inhibited the production of IgA1. (B) Concentration of IgA1 following stimulation with 10 ng/ml TGF-β1 for 7 days was increased, compared with that following stimulation for 3 days. *P<0.05, compared with the control. TGF-β1, transforming growth factor-β1; IL-4, interleukin-4.

Effects of TGF-β1 stimulation on the glycosylation and sialylation of IgA1

The VVL reactivity of IgA1 in each sample was calculated as the optical density (OD) U/µg of IgA1, which indicated the degree of glycosylation. The PNA reactivity of IgA1 was also calculated as OD U/µg of IgA1, which indicated the degree of sialylation. Unlike the dose-dependent effect observed on the secretion of IgA1, TGF-β1 had a more direct effect on the glycosylation of IgA1, wherein each dose stimulated the under-glycosylation of IgA1 (Fig. 2A). Regarding sialylation, the binding of PNA to IgA1 derived from cells stimulated by 30 ng/ml of TGF-β1 was significantly higher, compared with that for IgA1 from cells stimulated by other doses of TGF-β1 or IL-4, or from unstimulated cells (Fig. 2B). No significant differences were found between samples treated for 3 or 7 days.

Figure 2.

Effects of TGF-β1 stimulation on the glycosylation and sialylation of IgA1. (A) Glycosylation of IgA1 was assessed by the binding of VVL lectin per 1 µg IgA1. Lectin binding to GalNAc of IgA1 was significantly higher following TGF-β1 and IL-4 stimulation, compared with in the control. (B) Sialylation of IgA1 was assessed by the binding of PNA lectin per 1 µg IgA1. The binding of PNA to IgA1 in cells stimulated by 30 ng/ml of TGF-β1 was significantly higher, compared with that from control cells. *P<0.05, compared with the control. TGF-β1, transforming growth factor-β1; IL-4, interleukin-4; VVL, Vicia villosa lectin; PNA, peanut agglutinin lectin; GalNAc, galactose-deficient N-acetylgalactosamine; OD, optical density.

Effects of TGF-β1 on the gene expression of C1GalT1

The mRNA expression levels of C1GalT1 in cells incubated with TGF-β1 or IL-4 were significantly lower, compared with those in the negative controls at 12–72 h, indicating that TGF-β1 downregulated the mRNA expression of C1GalT1 at 12, 24 and 72 h in a time-dependent manner (Fig. 3). No significant difference was observed between the stimulation doses.

Figure 3.

Effects of TGF-β1 on the mRNA expression of C1GalT1. Cells were stimulated with 5–30 ng/ml TGF-β1, or with 10 ng/ml IL-4 as a positive control. TGF-β1 downregulated the mRNA expression of C1GalT1 in DAKIKI cells in a time-dependent manner. *P<0.05, compared with the control. TGF-β1, transforming growth factor-β1; IL-4, interleukin-4; C1GalT1, core1 β1, 3-galactosyltransferase.

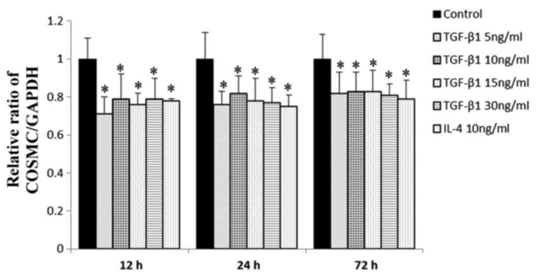
Effects of TGF-β1 on gene expression of Cosmc

The mRNA expression levels of Cosmc, which is the C1GalT1 chaperone, were also examined. Compared with the negative control, the mRNA level of Cosmc was markedly reduced by stimulation with TGF-β1 or IL-4 at each incubation time point (Fig. 4). No significant difference was found between incubation durations or incubation concentrations.

Figure 4.

Effects of TGF-β1 on the mRNA expression of Cosmc. Compared with the negative control, TGF-β1 markedly downregulated the mRNA expression of Cosmc. No significant difference was found between incubation durations or concentrations. *P<0.05, compared with the control. TGF-β1, transforming growth factor-β1; IL-4, interleukin-4.

Discussion

TGF-β1 is a multifunctional cytokine, which affects a variety of biological processes, including extracellular matrix accumulation, embryonic development, tumorigenesis, inflammation, wound healing, differentiation and immunoregulation (29). Extensive clinical and experimental evidence shows that the expression of TGF-β1 is increased in human patients with IgAN, compared with normal control groups (30–33). Although these studies demonstrated that TGF-β1 mediates the progression of IgAN by inducing extracellular matrix accumulation, the effect of TGF-β1 on IgA in the context of IgAN has not been investigated.

TGF-β1 is a known physiological mediator of IgA isotype switching (34,35). In the present study, it was found that low concentrations of TGF-β1 (5 and 10 ng/ml) promoted the production of IgA1 in the DAKIKI human IgA1-producing B cell line. By contrast, high concentrations of TGF-β1 (15 and 30 ng/ml) inhibited the production of IgA1. TGF-β1 inhibits the proliferation, differentiation and activity of various immune cells, including B cells (36). The B cell surface presents receptors for TGF-β1, the stimulation of which leads to the inhibition of B cell proliferation (37). The degree of inhibition of cell proliferation by TGF-β1 depends on the cell type, cytokine concentration and interactions with biologically active substances (38). In the present study, TGF-β1 had an effect on the production of IgA1 in IgA+ B cells, which may be due, in part, to an increase in cell numbers following proliferation. Thus, the inhibited production of IgA1 by high doses of TGF-β1 may have been caused by the suppression of B cell proliferation.

It has been suggested that aberrant glycosylation of IgA1, for example galactose deficiency in the hinge-region of O-linked glycans, is directly involved in the pathogenesis of IgAN (39–41). Lectin binding assays have been extensively used to examine the glycosylation patterns of circulating glycoproteins with O-glycans. In the present study, the degree of glycoslylation and sialylation were assessed by measuring the binding activities of VVL and PNA. Although different concentrations of TGF-β1 induced different levels of IgA1, they had a consistent effect on the glycosylation of IgA1. The results indicated that TGF-β1 promoted the under-glycosylation of IgA1, which may not be accounted for by the overproduction of IgA1. The effect of TGF-β1 on IgA1 sialylation was not confirmed in the present study.

C1GalT1 and its chaperone, Cosmc, are key in protein glycosylation (42). Abnormal expression of C1GalT1 and Cosmc can result in aberrant protein glycosylation. Functional abnormality of C1GALT1, which is responsible for the O-glycosylation of IgA1, has been suggested as a mechanism for the altered O-glycosylation observed in IgAN (43). Cosmc is essential for the folding and stability of C1GalT1 (11). In PBMCs, tonsil tissue and tonsillar B cells of patients with IgAN, the expression levels of C1GalT1 and Cosmc are significantly downregulated (44–46). In addition, the expression level of C1GalT1 in the tonsillar B cells of patients with IgAN is correlated with the estimated glomerular filtration rate, proteinuria and the histological injury score (46). Thus, aberrant IgA1 O-glycosylation in patients with IgAN may be a consequence of reduced expression levels of C1GalT1 and Cosmc in B lymphocytes (26). The results of the present study demonstrated that the mRNA expression levels of C1GalT1 and Cosmc in DAKIKI cells were reduced by TGF-β1 treatment, which may have contributed to the under-glycosylation of IgA1.

In conclusion, the results of the present study showed that certain concentrations of TGF-β1 stimulated the production of IgA1 in DAKIKI cells. In addition, TGF-β1 promoted the under-glycosylation of IgA1 through the downregulation of C1GalT1 and Cosmc. Further investigation is required to clarify the mechanisms by which TGF-β1 downregulates the mRNA levels of C1GalT1 and Cosmc, and whether the same results are observed in other B cell lines. The findings of the present study indicated a novel role for TGF-β1 in IgAN, which may form the basis of IgAN therapies.

Acknowledgements

This study was supported by grants from the Natural Science Foundation of Jiangxi Province for Youth project (grant no. 2010GQY0324) and the Natural Science Foundation of China (grant no. 81160091). The manuscript was edited for language at American Journal Experts (Durham, NC, USA).

References

1 

D'Amico G: Natural history of idiopathic IgA nephropathy and factors predictive of disease outcome. Semin Nephrol. 24:179–196. 2004. View Article : Google Scholar : PubMed/NCBI

2 

Barratt J, Feehally J and Smith AC: Pathogenesis of IgA nephropathy. Semin Nephrol. 24:197–217. 2004. View Article : Google Scholar : PubMed/NCBI

3 

Tarelli E, Smith AC, Hendry BM, Challacombe SJ and Pouria S: Human serum IgA1 is substituted with up to six O-glycans as shown by matrix assisted laser desorption ionisation time-of-flight mass spectrometry. Carbohydr Res. 339:2329–2335. 2004. View Article : Google Scholar : PubMed/NCBI

4 

Renfrow MB, Cooper HJ, Tomana M, Kulhavy R, Hiki Y, Toma K, Emmett MR, Mestecky J, Marshall AG and Novak J: Determination of aberrant O-glycosylation in the IgA1 hinge region by electron capture dissociation Fourier transform-ion cyclotron resonance mass spectrometry. J Biol Chem. 280:19136–19145. 2005. View Article : Google Scholar : PubMed/NCBI

5 

Moldoveanu Z, Wyatt RJ, Lee JY, Tomana M, Julian BA, Mestecky J, Huang WQ, Anreddy SR, Hall S, Hastings MC, et al: Patients with IgA nephropathy have increased serum galactose-deficient IgA1 levels. Kidney Int. 71:1148–1154. 2007. View Article : Google Scholar : PubMed/NCBI

6 

Kokubo T, Hiki Y, Iwase H, Horii A, Tanaka A, Nishikido J, Hotta K and Kobayashi Y: Evidence for involvement of IgA1 hinge glycopeptide in the IgA1-IgA1 interaction in IgA nephropathy. J Am Soc Nephrol. 8:915–919. 1997.PubMed/NCBI

7 

Yan Y, Xu LX, Zhang JJ, Zhang Y and Zhao MH: Self-aggregated deglycosylated IgA1 with or without IgG were associated with the development of IgA nephropathy. Clin Exp Immunol. 144:17–24. 2006. View Article : Google Scholar : PubMed/NCBI

8 

Barratt J, Smith AC and Feehally J: The pathogenic role of IgA1 O-linked glycosylation in the pathogenesis of IgA nephropathy. Nephrology. 12:275–284. 2007. View Article : Google Scholar : PubMed/NCBI

9 

Floege J: The pathogenesis of IgA nephropathy: What is new and how does it change therapeutic approaches? Am J Kidney Dis. 58:992–1004. 2011. View Article : Google Scholar : PubMed/NCBI

10 

Ju T, Brewer K, D'Souza A, Cummings RD and Canfield WM: Cloning and expression of human core 1 beta1,3-galactosyltransferase. J Biol Chem. 277:178–186. 2002. View Article : Google Scholar : PubMed/NCBI

11 

Ju T and Cummings RD: A unique molecular chaperone Cosmc required for activity of the mammalian core 1 beta 3-galactosyltransferase. Proc Natl Acad Sci USA. 99:16613–16618. 2002. View Article : Google Scholar : PubMed/NCBI

12 

Allen AC, Topham PS, Harper SJ and Feehally J: Leucocyte beta 1,3 galactosyltransferase activity in IgA nephropathy. Nephrol Dial Transplant. 12:701–706. 1997. View Article : Google Scholar : PubMed/NCBI

13 

Suzuki H, Moldoveanu Z, Hall S, Brown R, Vu HL, Novak L, Julian BA, Tomana M, Wyatt RJ, Edberg JC, et al: IgA1-secreting cell lines from patients with IgA nephropathy produce aberrantly glycosylated IgA1. J Clin Invest. 118:629–639. 2008.PubMed/NCBI

14 

Takahashi K, Raska M, Horynova M Stuchlova, Hall SD, Poulsen K, Kilian M, Hiki Y, Yuzawa Y, Moldoveanu Z, Julian BA, et al: Enzymatic sialylation of IgA1 O-Glycans: Implications for studies of IgA nephropathy. PLoS One. 9:e990262014. View Article : Google Scholar : PubMed/NCBI

15 

Nagasawa R, Maruyama N, Imasawa T and Mitarai T: Role of T cells in murine IgA nephropathy. Nephrol Dial Transplant. 14 Suppl 1:S12–S13. 1999. View Article : Google Scholar

16 

Lycke N: T cell and cytokine regulation of the IgA response. Chem Immunol. 71:209–234. 1998. View Article : Google Scholar : PubMed/NCBI

17 

Chintalacharuvu SR and Emancipator SN: The glycosylation of IgA produced by murine B cells is altered by Th2 cytokines. J Immunol. 159:2327–2333. 1997.PubMed/NCBI

18 

Yamada K, Kobayashi N, Ikeda T, Suzuki Y, Tsuge T, Horikoshi S, Emancipator SN and Tomino Y: Down-regulation of core 1 beta 1,3-galactosyltransferase and Cosmc by Th2 cytokine alters O-glycosylation of IgA1. Nephrol Dial Transplant. 25:3890–3897. 2010. View Article : Google Scholar : PubMed/NCBI

19 

Suzuki H, Raska M, Yamada K, Moldoveanu Z, Julian BA, Wyatt RJ, Tomino Y, Gharavi AG and Novak J: Cytokines Alter IgA1 O-Glycosylation by Dysregulating C1GalT1 and ST6GalNAc-II Enzymes. J Biol Chem. 289:5330–5339. 2014. View Article : Google Scholar : PubMed/NCBI

20 

Yu HH, Chu KH, Yang YH, Lee JH, Wang LC, Lin YT and Chiang BL: Genetics and Immunopathogenesis of IgA Nephropathy. Clinic Rev Allerg Immunol. 41:198–213. 2011. View Article : Google Scholar

21 

Toyabe S, Harada W and Uchiyama M: Oligoclonally expanding gammadelta T lymphocytes induce IgA switching in IgA nephropathy. Clin Exp Immunol. 124:110–117. 2001. View Article : Google Scholar : PubMed/NCBI

22 

Meng H, Zhang L, E XQ, Ye F, Li H, Han C, Yamakawa M and Jin X: Application of Oxford classification, and overexpression of transforming growth factor-β1 and immunoglobulins in immunoglobulin A nephropathy: Correlation with World Health Organization classification of immunoglobulin A nephropathy in a Chinese patient cohort. Transl Res. 163:8–18. 2014. View Article : Google Scholar : PubMed/NCBI

23 

Yang YH, Huang MT, Lin SC, Lin YT, Tsai MJ and Chiang BL: Increased transfroming growth factor-beta (TGF-beta)-secreting T cells and IgA anti-cardiolipin antibody levels during acute stage of childhood Henoch-Schönlein purpura. Clin Exp Immunol. 122:285–290. 2000. View Article : Google Scholar : PubMed/NCBI

24 

Xiao J, Cao CY, Zhou J and Wang WH: Changes in levels of Th1, Th2 and Th3 cells in peripheral blood in patients with IgA nephropathy and their significance. Prac Clin Med. 13:28–31. 2012.(In Chinese).

25 

Qin W, Zhou Q, Yang LC, Li Z, Su BH, Luo H and Fan JM: Peripheral B lymphocyte beta1, 3-galactosyltransferase and chaperone expression in immunoglobulin A nephropathy. J Intern Med. 258:467–477. 2005. View Article : Google Scholar : PubMed/NCBI

26 

Xie LS, Qin W, Fan JM, Huang J, Xie XS and Li Z: The role of C1GALT1C1 in lipopolysaccharide-induced IgA1 aberrant O-glycosylation in IgA nephropathy. Clin Invest Med. 33:E5–E13. 2010.PubMed/NCBI

27 

De Wolff JF, Dickinson SJ, Smith AC, Molyneux K, Feehally J, Simon A and Barratt J: Abnormal IgD and IgA1 O-glycosylation in hyperimmunoglobulinaemia D and periodic fever syndrome. Clin Exp Med. 9:291–296. 2009. View Article : Google Scholar : PubMed/NCBI

28 

Livak KJ and Schmittgen TD: Analysis of relative gene expression data using real-time quantitative PCR and the 2(−Delta Delta C(T)) Method. Methods. 25:402–408. 2001. View Article : Google Scholar : PubMed/NCBI

29 

Prud'homme GJ and Piccirillo CA: The inhibitory effects of transforming growth factor-beta-1(TGF-beta1) in autoimmune diseases. J Autoimmun. 14:23–42. 2000. View Article : Google Scholar : PubMed/NCBI

30 

Del Prete D, Gambaro G, Lupo A, Anglani F, Brezzi B, Magistroni R, Graziotto R, Furci L, Modena F, Bernich P, et al: Precocious activation of genes of the renin-angiotensin system and the fibrogenic cascade in IgA glomerulonephritis. Kidney Int. 64:149–159. 2003. View Article : Google Scholar : PubMed/NCBI

31 

Leung JC, Chan LY, Tsang AW, Liu EW, Lam MF, Tang SC and Lai KN: Anti-macrophagemigration inhibitory factor reduces transforming growth factor-beta 1 expression in experimental IgA nephropathy. Nephrol Dial Transplant. 19:1976–1985. 2004. View Article : Google Scholar : PubMed/NCBI

32 

Zhong Q, Leung JC, Chan LY, Tsang AW, Chen X and Lai KN: The study of Chinese medicinal herbal formula Shen San Fang in the treatment of experimental IgA nephropathy. Am J Chin Med. 33:613–626. 2005. View Article : Google Scholar : PubMed/NCBI

33 

Chihara Y, Ono H, Ishimitsu T, Ono Y, Ishikawa K, Rakugi H, Ogihara T and Matsuoka H: Roles of TGF-beta 1 and apoptosis in the progression of glomerulosclerosis in human IgA nephropathy. Clin Nephrol. 65:385–392. 2006. View Article : Google Scholar : PubMed/NCBI

34 

Kim PH and Kagnoff MF: Transforming growth factor beta 1 increases IgA isotype switching at the clonal level. J Immunol. 145:3773–3778. 1990.PubMed/NCBI

35 

Cazac BB and Roes J: TGF-beta receptor controls B cell responsiveness and induction of IgA in vivo. Immunity. 13:443–451. 2000. View Article : Google Scholar : PubMed/NCBI

36 

Boratyńska M: Urine excretion of transforming growth factor-beta 1 in chronic allograft nephropathy. Ann Transplant. 4:23–28. 1999.

37 

Ibelgaufts H: Cytokines and Cells Online Pathfinder Encyclopaedia (COPE). http://www.copewithcytokines.de/cope.cgi2007.

38 

Kajdaniuk D, Marek B, Borgiel-Marek H and Kos-Kudła B: Transforming growth factor β1 (TGF-β1) in physiology and pathology. Endokrynol Pol. 64:384–396. 2013. View Article : Google Scholar : PubMed/NCBI

39 

Barratt J and Feehally J: IgA nephropathy. J Am Soc Nephrol. 16:2088–2097. 2005. View Article : Google Scholar : PubMed/NCBI

40 

Coppo R and Amore A: Aberrant glycosylation in IgA nephropathy (IgAN). Kidney Int. 65:1544–1547. 2004. View Article : Google Scholar : PubMed/NCBI

41 

Julian BA and Novak J: IgA nephropathy: An update. Curr Opin Nephrol Hypertens. 13:171–179. 2004. View Article : Google Scholar : PubMed/NCBI

42 

Lai KN: Pathogenesis of IgA nephropathy. Nat Rev Nephrol. 8:275–283. 2012. View Article : Google Scholar : PubMed/NCBI

43 

Ju T, Brewer K, D'Souza A, Cummings RD and Canfield WM: Cloning and expression of human core 1 beta1, 3-galactosyltransferase. J Biol Chem. 277:178–186. 2002. View Article : Google Scholar : PubMed/NCBI

44 

Serino G, Sallustio F, Cox SN, Pesce F and Schena FP: Abnormal miR-148b expression promotes aberrant glycosylation of IgA1 in IgA nephropathy. J Am Soc Nephrol. 23:814–824. 2012. View Article : Google Scholar : PubMed/NCBI

45 

He L, Peng Y, Liu H, Yin W, Chen X, Peng X, Shao J, Liu Y and Liu F: Activation of the interleukin-4/signal transducer and activator of transcription 6 signaling pathway and homeodomain-interacting protein kinase 2 production by tonsillar mononuclear cells in IgA nephropathy. Am J Nephrol. 38:321–332. 2013. View Article : Google Scholar : PubMed/NCBI

46 

Inoue T, Sugiyama H, Hiki Y, Takiue K, Morinaga H, Kitagawa M, Maeshima Y, Fukushima K, Nishizaki K, Akagi H, et al: Differential expression of glycogenes in tonsillar B lymphocytes in association with proteinuria and renal dysfunction in IgA nephropathy. Clin Immunol. 136:447–455. 2010. View Article : Google Scholar : PubMed/NCBI

Related Articles

  • Abstract
  • View
  • Download
  • Twitter
Copy and paste a formatted citation
Spandidos Publications style
Xiao J, Wang M, Xiong D, Wang Y, Li Q, Zhou J and Chen Q: TGF-β1 mimics the effect of IL-4 on the glycosylation of IgA1 by downregulating core 1 β1, 3-galactosyltransferase and Cosmc. Mol Med Rep 15: 969-974, 2017.
APA
Xiao, J., Wang, M., Xiong, D., Wang, Y., Li, Q., Zhou, J., & Chen, Q. (2017). TGF-β1 mimics the effect of IL-4 on the glycosylation of IgA1 by downregulating core 1 β1, 3-galactosyltransferase and Cosmc. Molecular Medicine Reports, 15, 969-974. https://doi.org/10.3892/mmr.2016.6084
MLA
Xiao, J., Wang, M., Xiong, D., Wang, Y., Li, Q., Zhou, J., Chen, Q."TGF-β1 mimics the effect of IL-4 on the glycosylation of IgA1 by downregulating core 1 β1, 3-galactosyltransferase and Cosmc". Molecular Medicine Reports 15.2 (2017): 969-974.
Chicago
Xiao, J., Wang, M., Xiong, D., Wang, Y., Li, Q., Zhou, J., Chen, Q."TGF-β1 mimics the effect of IL-4 on the glycosylation of IgA1 by downregulating core 1 β1, 3-galactosyltransferase and Cosmc". Molecular Medicine Reports 15, no. 2 (2017): 969-974. https://doi.org/10.3892/mmr.2016.6084
Copy and paste a formatted citation
x
Spandidos Publications style
Xiao J, Wang M, Xiong D, Wang Y, Li Q, Zhou J and Chen Q: TGF-β1 mimics the effect of IL-4 on the glycosylation of IgA1 by downregulating core 1 β1, 3-galactosyltransferase and Cosmc. Mol Med Rep 15: 969-974, 2017.
APA
Xiao, J., Wang, M., Xiong, D., Wang, Y., Li, Q., Zhou, J., & Chen, Q. (2017). TGF-β1 mimics the effect of IL-4 on the glycosylation of IgA1 by downregulating core 1 β1, 3-galactosyltransferase and Cosmc. Molecular Medicine Reports, 15, 969-974. https://doi.org/10.3892/mmr.2016.6084
MLA
Xiao, J., Wang, M., Xiong, D., Wang, Y., Li, Q., Zhou, J., Chen, Q."TGF-β1 mimics the effect of IL-4 on the glycosylation of IgA1 by downregulating core 1 β1, 3-galactosyltransferase and Cosmc". Molecular Medicine Reports 15.2 (2017): 969-974.
Chicago
Xiao, J., Wang, M., Xiong, D., Wang, Y., Li, Q., Zhou, J., Chen, Q."TGF-β1 mimics the effect of IL-4 on the glycosylation of IgA1 by downregulating core 1 β1, 3-galactosyltransferase and Cosmc". Molecular Medicine Reports 15, no. 2 (2017): 969-974. https://doi.org/10.3892/mmr.2016.6084
Follow us
  • Twitter
  • LinkedIn
  • Facebook
About
  • Spandidos Publications
  • Careers
  • Cookie Policy
  • Privacy Policy
How can we help?
  • Help
  • Live Chat
  • Contact
  • Email to our Support Team