Spandidos Publications Logo
  • About
    • About Spandidos
    • Aims and Scopes
    • Abstracting and Indexing
    • Editorial Policies
    • Reprints and Permissions
    • Job Opportunities
    • Terms and Conditions
    • Contact
  • Journals
    • All Journals
    • Oncology Letters
      • Oncology Letters
      • Information for Authors
      • Editorial Policies
      • Editorial Board
      • Aims and Scope
      • Abstracting and Indexing
      • Bibliographic Information
      • Archive
    • International Journal of Oncology
      • International Journal of Oncology
      • Information for Authors
      • Editorial Policies
      • Editorial Board
      • Aims and Scope
      • Abstracting and Indexing
      • Bibliographic Information
      • Archive
    • Molecular and Clinical Oncology
      • Molecular and Clinical Oncology
      • Information for Authors
      • Editorial Policies
      • Editorial Board
      • Aims and Scope
      • Abstracting and Indexing
      • Bibliographic Information
      • Archive
    • Experimental and Therapeutic Medicine
      • Experimental and Therapeutic Medicine
      • Information for Authors
      • Editorial Policies
      • Editorial Board
      • Aims and Scope
      • Abstracting and Indexing
      • Bibliographic Information
      • Archive
    • International Journal of Molecular Medicine
      • International Journal of Molecular Medicine
      • Information for Authors
      • Editorial Policies
      • Editorial Board
      • Aims and Scope
      • Abstracting and Indexing
      • Bibliographic Information
      • Archive
    • Biomedical Reports
      • Biomedical Reports
      • Information for Authors
      • Editorial Policies
      • Editorial Board
      • Aims and Scope
      • Abstracting and Indexing
      • Bibliographic Information
      • Archive
    • Oncology Reports
      • Oncology Reports
      • Information for Authors
      • Editorial Policies
      • Editorial Board
      • Aims and Scope
      • Abstracting and Indexing
      • Bibliographic Information
      • Archive
    • Molecular Medicine Reports
      • Molecular Medicine Reports
      • Information for Authors
      • Editorial Policies
      • Editorial Board
      • Aims and Scope
      • Abstracting and Indexing
      • Bibliographic Information
      • Archive
    • World Academy of Sciences Journal
      • World Academy of Sciences Journal
      • Information for Authors
      • Editorial Policies
      • Editorial Board
      • Aims and Scope
      • Abstracting and Indexing
      • Bibliographic Information
      • Archive
    • International Journal of Functional Nutrition
      • International Journal of Functional Nutrition
      • Information for Authors
      • Editorial Policies
      • Editorial Board
      • Aims and Scope
      • Abstracting and Indexing
      • Bibliographic Information
      • Archive
    • International Journal of Epigenetics
      • International Journal of Epigenetics
      • Information for Authors
      • Editorial Policies
      • Editorial Board
      • Aims and Scope
      • Abstracting and Indexing
      • Bibliographic Information
      • Archive
    • Medicine International
      • Medicine International
      • Information for Authors
      • Editorial Policies
      • Editorial Board
      • Aims and Scope
      • Abstracting and Indexing
      • Bibliographic Information
      • Archive
  • Articles
  • Information
    • Information for Authors
    • Information for Reviewers
    • Information for Librarians
    • Information for Advertisers
    • Conferences
  • Language Editing
Spandidos Publications Logo
  • About
    • About Spandidos
    • Aims and Scopes
    • Abstracting and Indexing
    • Editorial Policies
    • Reprints and Permissions
    • Job Opportunities
    • Terms and Conditions
    • Contact
  • Journals
    • All Journals
    • Biomedical Reports
      • Information for Authors
      • Editorial Policies
      • Editorial Board
      • Aims and Scope
      • Abstracting and Indexing
      • Bibliographic Information
      • Archive
    • Experimental and Therapeutic Medicine
      • Information for Authors
      • Editorial Policies
      • Editorial Board
      • Aims and Scope
      • Abstracting and Indexing
      • Bibliographic Information
      • Archive
    • International Journal of Epigenetics
      • Information for Authors
      • Editorial Policies
      • Editorial Board
      • Aims and Scope
      • Abstracting and Indexing
      • Bibliographic Information
      • Archive
    • International Journal of Functional Nutrition
      • Information for Authors
      • Editorial Policies
      • Editorial Board
      • Aims and Scope
      • Abstracting and Indexing
      • Bibliographic Information
      • Archive
    • International Journal of Molecular Medicine
      • Information for Authors
      • Editorial Policies
      • Editorial Board
      • Aims and Scope
      • Abstracting and Indexing
      • Bibliographic Information
      • Archive
    • International Journal of Oncology
      • Information for Authors
      • Editorial Policies
      • Editorial Board
      • Aims and Scope
      • Abstracting and Indexing
      • Bibliographic Information
      • Archive
    • Medicine International
      • Information for Authors
      • Editorial Policies
      • Editorial Board
      • Aims and Scope
      • Abstracting and Indexing
      • Bibliographic Information
      • Archive
    • Molecular and Clinical Oncology
      • Information for Authors
      • Editorial Policies
      • Editorial Board
      • Aims and Scope
      • Abstracting and Indexing
      • Bibliographic Information
      • Archive
    • Molecular Medicine Reports
      • Information for Authors
      • Editorial Policies
      • Editorial Board
      • Aims and Scope
      • Abstracting and Indexing
      • Bibliographic Information
      • Archive
    • Oncology Letters
      • Information for Authors
      • Editorial Policies
      • Editorial Board
      • Aims and Scope
      • Abstracting and Indexing
      • Bibliographic Information
      • Archive
    • Oncology Reports
      • Information for Authors
      • Editorial Policies
      • Editorial Board
      • Aims and Scope
      • Abstracting and Indexing
      • Bibliographic Information
      • Archive
    • World Academy of Sciences Journal
      • Information for Authors
      • Editorial Policies
      • Editorial Board
      • Aims and Scope
      • Abstracting and Indexing
      • Bibliographic Information
      • Archive
  • Articles
  • Information
    • For Authors
    • For Reviewers
    • For Librarians
    • For Advertisers
    • Conferences
  • Language Editing
Login Register Submit
  • This site uses cookies
  • You can change your cookie settings at any time by following the instructions in our Cookie Policy. To find out more, you may read our Privacy Policy.

    I agree
Search articles by DOI, keyword, author or affiliation
Search
Advanced Search
presentation
Molecular Medicine Reports
Join Editorial Board Propose a Special Issue
Print ISSN: 1791-2997 Online ISSN: 1791-3004
Journal Cover
May-2017 Volume 15 Issue 5

Full Size Image

Sign up for eToc alerts
Recommend to Library

Journals

International Journal of Molecular Medicine

International Journal of Molecular Medicine

International Journal of Molecular Medicine is an international journal devoted to molecular mechanisms of human disease.

International Journal of Oncology

International Journal of Oncology

International Journal of Oncology is an international journal devoted to oncology research and cancer treatment.

Molecular Medicine Reports

Molecular Medicine Reports

Covers molecular medicine topics such as pharmacology, pathology, genetics, neuroscience, infectious diseases, molecular cardiology, and molecular surgery.

Oncology Reports

Oncology Reports

Oncology Reports is an international journal devoted to fundamental and applied research in Oncology.

Experimental and Therapeutic Medicine

Experimental and Therapeutic Medicine

Experimental and Therapeutic Medicine is an international journal devoted to laboratory and clinical medicine.

Oncology Letters

Oncology Letters

Oncology Letters is an international journal devoted to Experimental and Clinical Oncology.

Biomedical Reports

Biomedical Reports

Explores a wide range of biological and medical fields, including pharmacology, genetics, microbiology, neuroscience, and molecular cardiology.

Molecular and Clinical Oncology

Molecular and Clinical Oncology

International journal addressing all aspects of oncology research, from tumorigenesis and oncogenes to chemotherapy and metastasis.

World Academy of Sciences Journal

World Academy of Sciences Journal

Multidisciplinary open-access journal spanning biochemistry, genetics, neuroscience, environmental health, and synthetic biology.

International Journal of Functional Nutrition

International Journal of Functional Nutrition

Open-access journal combining biochemistry, pharmacology, immunology, and genetics to advance health through functional nutrition.

International Journal of Epigenetics

International Journal of Epigenetics

Publishes open-access research on using epigenetics to advance understanding and treatment of human disease.

Medicine International

Medicine International

An International Open Access Journal Devoted to General Medicine.

Journal Cover
May-2017 Volume 15 Issue 5

Full Size Image

Sign up for eToc alerts
Recommend to Library

  • Article
  • Citations
    • Cite This Article
    • Download Citation
    • Create Citation Alert
    • Remove Citation Alert
    • Cited By
  • Similar Articles
    • Related Articles (in Spandidos Publications)
    • Similar Articles (Google Scholar)
    • Similar Articles (PubMed)
  • Download PDF
  • Download XML
  • View XML
Article

High glucose promotes the osteogenic differentiation capability of human periodontal ligament fibroblasts

  • Authors:
    • Sujiwan Seubbuk
    • Hathaitip Sritanaudomchai
    • Julalux Kasetsuwan
    • Rudee Surarit
  • View Affiliations / Copyright

    Affiliations: Molecular Medicine Program, Faculty of Science, Mahidol University, Ratchthewi, Bangkok 10400, Thailand, Department of Oral Biology, Faculty of Dentistry, Mahidol University, Ratchthewi, Bangkok 10400, Thailand, Department of Oral Medicine and Periodontology, Faculty of Dentistry, Mahidol University, Ratchthewi, Bangkok 10400, Thailand
  • Pages: 2788-2794
    |
    Published online on: March 16, 2017
       https://doi.org/10.3892/mmr.2017.6333
  • Expand metrics +
Metrics: Total Views: 0 (Spandidos Publications: | PMC Statistics: )
Metrics: Total PDF Downloads: 0 (Spandidos Publications: | PMC Statistics: )
Cited By (CrossRef): 0 citations Loading Articles...

This article is mentioned in:


Abstract

Periodontal ligament fibroblasts (PDLFs) are important cells, which are involved in maintaining tooth integrity. Diabetes has been found to be associated with periodontal disease in a bidirectional manner. The aim of the present study was to investigate the stemness properties of human PDLFs (HPDLFs) in high glucose conditions. HPDLFs were analyzed for their osteogenic differentiation capacity by inducing the cells with osteogenic medium in various glucose concentrations. The gene expression was then examined using reverse transcription‑quantitative polymerase chain reaction analysis, and examinations of alkaline phosphatase activity and nodule formation were performed. The results of the gene expression analysis revealed that high glucose media induced the expression of NANOG, octamer-binding transcription factor 4, (sex determining region Y)‑box 2, cluster of differentiation 166 (CD166), PERIOSTIN and β‑CATENIN following culture of the cells for 3 days. Alkaline phosphatase activity increased following 14 days in the high glucose condition. In addition, higher numbers of calcified nodules were formed on day 28 in the group cultured with high glucose. The results showed that high glucose induced bone formation by elevating the expression of stem cell markers, particularly CD166, and this induction may be regulated through β-CATENIN.

Introduction

A high blood glucose level is characteristic of diabetes mellitus (DM), a disease resulting from abnormal insulin levels or an abnormal response to insulin. Patients with DM are prone to several complications, including periodontitis. A previous longitudinal study showed that the prevalence of periodontitis increased with an odds ratio of 4.23 in diabetic patients (1). Increased alveolar bone loss is also found in diabetic patients with poor glycemic control (2).

The periodontal ligament, a component of periodontal tissue, consists of heterogenous cells and is involved in tissue regeneration. Several studies (3–5) have shown that periodontal ligament fibroblasts (PDLFs) express mesenchymal stem cell markers and can differentiate to become osteoblasts, adipocytes and chondrocytes. Under hyperglycemic conditions, PDLFs can induce apoptosis through the caspase-3 signaling pathway (6,7). In addition, high glucose levels induce the expression of fibronectin receptor (8), which may result in delayed wound healing in diabetic patients with severe periodontitis. However, the stem cell properties of PDLFs in high glucose remain to be fully elucidated. Therefore, the present study aimed to investigate the effect of different glucose conditions on the stemness properties of human PDLFs in order to improve understanding of the biology of these cells in diabetic patients, which may lead to improved dental treatment.

Materials and methods

Cell culture

The HPDLFs were purchased from ScienCell Research Laboratories (Carlsbad, CA, USA). The HPDLFs were routinely cultured in Dulbecco's modified Eagle's medium (DMEM; Thermo Fisher Scientific, Inc., Waltham, MA, USA) supplemented with 10% fetal bovine serum (FBS; Hyclone; GE Healthcare Life Sciences, Logan, UT, USA) and antibiotic/antimycotic solution containing 100 U/ml penicillin G, 100 µg/ml streptomycin and 0.025 µg/ml amphotericin B (Thermo Fisher Scientific, Inc.). The HPDLFs were maintained in a humidified atmosphere at 5% CO2 at 37°C and were subcultured at confluence. The culture medium was replaced every 2–3 days. The HPDLFs used in the present study were those in passages 5–9.

To examine the effect of a high glucose concentration on HPDLFs, the cells were cultured in three types of medium: Normal glucose (NG), high mannitol (HM) and high glucose (HG). The NG medium contained 5.5 mM of D-glucose, simulating the normal blood glucose level in humans. The HG medium contained 25 mM of D-glucose, whereas the HM medium was used as an osmotic pressure control, which contained 5.5 mM of D-glucose and 19.5 mM D-mannitol.

Proliferation assay

A 3-(4,5-dimethylthiazol-2-yl)-2,5-diphenyltetrazolium bromide (MTT) assay, a quantitative colorimetric assay, was used to estimate cell viability and cell proliferation. The principle of the assay is that MTT, a yellow tetrazole, is metabolized by mitochondrial succinate dehydrogenase in living cells to a purple formazan product.

The HPDLFs were seeded in 24-well plates (Costar®; Corning Incorporated, Corning, NY, USA) at a density of 2×104 cells/well in a humidified atmosphere at 5%CO2 at 37°C. Following incubation for 24 h, the time was set as day 0 and the medium was replaced with the three experimental media (NG DMEM, HG DMEM and HM DMEM).

On days 1, 3, 5 and 7, the cells were washed with PBS and incubated with 500 µl of 0.5 mg/ml MTT (Sigma-Aldrich; Merck Millipore, Darmstadt, Germany) for 2 h at 37°C. The cells were rinsed again with PBS. The formazan products were dissolved in 500 µl of dimethyl sulfoxide (Sigma-Aldrich; Merck Millipore) for 30 min at room temperature with agitation. The absorbance at 540 nm was determined using an Epoch™ microplate spectrophotometer (Biotek Instruments, Winooski, VT, USA). All assays were performed in triplicate.

Osteogenic differentiation

To induce osteogenic differentiation, the HPDLFs were seeded in 24-well plates (Costar®; Corning Incorporated) at a density of 5×104 cells/well in a humidified atmosphere at 5%CO2 at 37°C. When the cells reached 90% confluence (day 0), they were induced with 50 µg/ml ascorbic acid (Sigma-Aldrich; Merck Millipore), 10 mM β-glycerophosphate (Sigma-Aldrich; Merck Millipore) and 100 nM dexamethasone (Sigma-Aldrich; Merck Millipore) in each type of DMEM. The medium was replaced every 2–3 days.

Measurement of alkaline phosphatase activity

Following induction of the HPDLFs with osteogenic medium for 7, 14 and 21 days, the cells were analyzed for alkaline phosphatase activity. All groups of HPDLFs were scraped from culture and transferred into microtubes, washed twice with 1X PBS, and lysed with 200 µl lysis buffer containing 1 mM phenylmethanesulfonyl fluoride (Sigma-Aldrich; Merck Millipore) in CelLytic M (Sigma-Aldrich; Merck Millipore) for 15 min at room temperature. The lysed cells were centrifuged at 20,598 × g for 15 min at 4°C. The supernatant was stored at −80°C until use. To measure alkaline phosphatase activity, 50 µl of the sample supernatant was diluted with 50 µl 0.1 M Tris-HCl, followed by the addition of 50 µl 2 mM p-nitrophenol phosphate substrate (Sigma-Aldrich; Merck Millipore) and incubation at 37°C for 30 min. The reaction was terminated by adding 50 µl ice-cold 2 N NaOH. The absorbance was measured at 450 nm. The alkaline phosphatase concentration was calculated from the standard curve of p-nitrophenol (Sigma-Aldrich; Merck Millipore). The alkaline phosphatase activity was calculated in U/nmol p-nitrophenol/mg protein/min. The alkaline phosphatase activity of the induced HPDLFs was then divided by the basal alkaline phosphatase activity to normalize the difference between the passages of cells. All assays were performed in triplicate.

Nodule formation

The induced HPDLFs were evaluated for calcified nodule formation following induction with osteogenic medium for 28 days. All groups of HPDLFs were washed twice with 1X PBS. The cells were fixed with cold absolute methanol at room temperature for 10 min and rinsed twice with distilled deionized water. The calcified nodules were stained with 1% Alizarin Red (pH 4.1–4.3; Sigma-Aldrich; Merck Millipore) at room temperature for 30 min. The excess dye was removed and nodules were rinsed with distilled deionized water until the background became clear. The presence of nodules was observed under an inverted microscope (Nikon Corporation, Tokyo, Japan). All experiments were performed at least three times.

Reverse transcription-quantitative polymerase chain reaction (RT-qPCR) analysis

To analyze gene expression following the induction of HPDLFs with osteogenic medium for 3 days, RNA was extracted using TRIzol® reagent (Invitrogen; Thermo Fisher Scientific, Inc.) according to the manufacturer's protocol. The concentration and purity of RNA was determined from the ratio of optical density (OD)260/OD280 using an Epoch™ microplate spectrophotometer (Biotek Instruments).

Contaminating DNA was removed by DNase I (Fermentas; Thermo Fisher Scientific, Inc.). The prepared RNA was then used as a template for RT to cDNA using iScript selected cDNA synthesis kits (Bio-Rad Laboratories, Inc., Hercules, CA, USA) according to the manufacturer's protocol. Briefly, cDNA was reverse transcribed in iScript reaction mix containing iScript reverse transcriptase together with oligo dT primer, followed by incubation at 42°C for 90 min and 85°C for 5 min.

The subsequent qPCR was performed in a StepOnePlus™ RealTime PCR system (Applied Biosystems; Thermo Fisher Scientific, Inc.) to compare the expression of stem cell marker CD166, periodontal ligament cell marker PERIOSTIN and signaling molecule β-CATENIN between cells treated with different glucose concentrations using the primers shown in Table I (9–15). The 20-µl cocktail contained 10 µl 2X Maxima® SYBR green master mix with ROX (Thermo Fisher Scientific, Inc.) 0.25 µM forward and reverse primers, and 50 ng cDNA. The reactions were initially preheated at 95°C for 10 min followed by 60 cycles of denaturation at 95°C for 30 sec, annealing at the annealing temperature of each primer (Table I) for 30 sec and extension at 72°C for 30 sec. The comparative quantification cycle (16) was further analyzed for gene expression by using β-ACTIN as an internal control.

Table I.

Primers used for reverse transcription-quantitative polymerase chain reaction analysis.

Table I.

Primers used for reverse transcription-quantitative polymerase chain reaction analysis.

Author, yearTarget genePrimer sequenceLength (bp)Annealing temp. (°C)Refs.
Stem cell marker
Cao et alOCT4 (pou5f1)F 5′-TATACACAGGCCGATGTGG-3′39760  (9)
R 5′-GTGCATAGTCGCTGCTTGA-3′
NANOGF 5′-ATGCCTCACACGGAGACTG-3′36960
R 5′-CTGCGTCACACCATTGCTA-3′
Saigusa et alSOX2F 5′-CAAGATGCACAACTCGGAGA-3′9560(10)
R 5′-GCTTAGCCTCGTCGATGAAC-3′
Rada et alSTRO1F 5′-GAAGCTAAAGTGGATTCAGGAGTA-3′21658(11)
R 5′-TAAGCAGGGGACCATTACA-3′
Wang et alCD166F 5′-GAATGTCTCTGCTATAAGTATTCCAG-3′15762(12)
R 5′-GTACAGCCAGTAGACGACACCAGCAAC-3′
Periodontal ligament cell marker
Dobreva et al PERIOSTINF 5′-GAAAGGGAGTAAGCAAGGGAG-3′17958(13)
R 5′-ATAATGTCCAGTCTCCAGGTTG-3′
Signaling molecule
Chen et al β-CATENINF 5′-AATCTTGCCCTTTGTCCCG-3′21460(14)
R 5′-GGTTGTGAACATCCCGAGC-3′
Internal control
Herath et alβ-ACTINF 5′-TTGGCAATGAGCGGTT-3′9360(15)
R 5′-AGTTGAAGGTAGTTTCGTGGAT-3′

[i] OCT4, octamer-binding transcription factor 4; SOX2, (sex determining region Y)-box 2; CD166, cluster of differentiation 166.

Statistical analysis

Cell proliferation, gene expression and alkaline phosphatase activity were first analyzed for data distribution using the Shapiro-Wilk Test and the homogeneity of variance. Differences between groups were analyzed using an independent-samples median test and pairwise comparisons of groups using SPSS software version 18 (SPSS Inc., Chicago, IL, USA). P<0.05 was considered to indicate a statistically significant difference.

Results

Growth of HPDLFs in different glucose conditions

The HPDLFs were cultured in DMEM containing three concentrations of glucose (NG, HM and HG), as described above. The HPDLFs showed higher proliferation rates when grown in the HG medium, compared with cells grown in the NG or HM medium, however the differences were not statistically significant (Fig. 1).

Figure 1.

Proliferation of human periodontal ligament fibroblasts cultured in DMEM containing NG, HM and HG concentrations. No statistically significant differences were found when compared with NG. Data are presented as the mean ± standard error. NG, normal glucose; HM, high mannitol; HG, high glucose.

Stemness gene expression in different glucose conditions

The embryonic stem cell markers (OCT4, NANOG and SOX2) and CD166 mesenchymal stem cell marker were significantly upregulated following 3 days of induction under HG conditions, compared with NG and HM conditions (Fig. 2A-D).

Figure 2.

Expression levels of embryonic and mesenchymal stem cell markers. Expression of embryonic markers (A) OCT4, (B) NANOG and (C) SOX2, and mesenchymal markers (D) STRO1 and (E) CD166 of HPDLFs cultured in osteogenic medium containing NG, HM and HG concentrations for 3 days. Data are presented as the median and range. *P<0.05, compared with NG. OCT4, octamer-binding transcription factor 4; SOX2, (sex-determining region Y)-box 2; CD166, cluster of differentiation 166; NG, normal glucose; HM, high mannitol; HG, high glucose.

Osteogenic differentiation under different glucose conditions

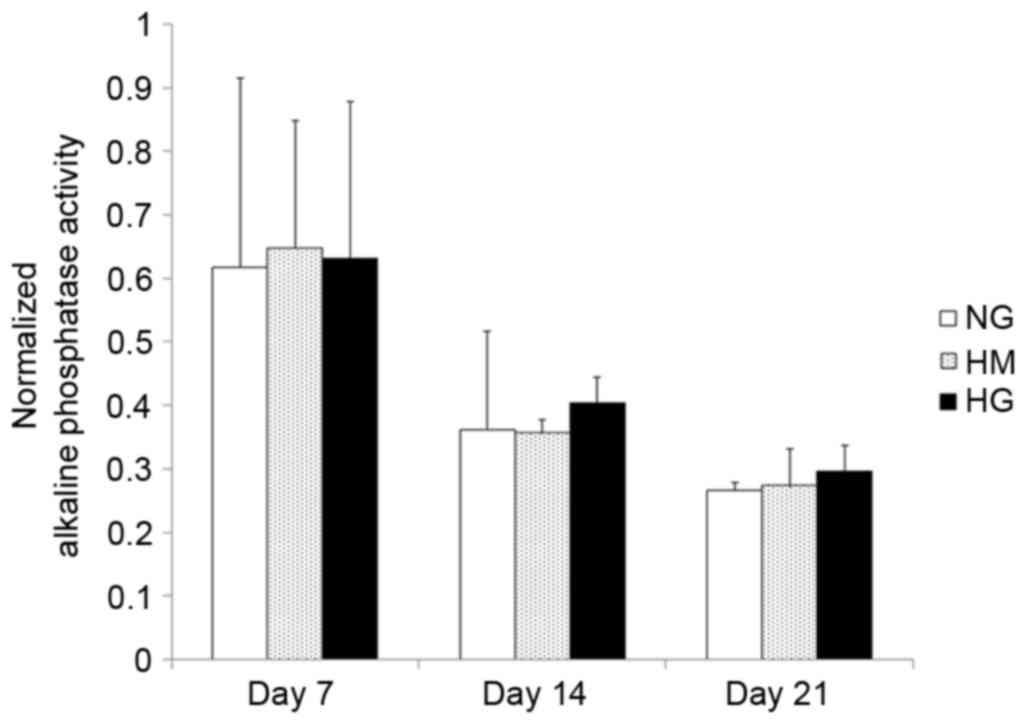
The alkaline phosphatase activity showed that HPDLFs started to differentiate following induction with osteogenic medium for 7 days (Fig. 3). The alkaline phosphatase activities in all groups showed similar patterns, with the highest activities of alkaline phosphatase found on day 7. Subsequently, activity progressively decreased on days 14 and 21, as shown in Fig. 3. However, the alkaline phosphatase activity in the HG medium appeared to decrease more slowly, compared with that in the other groups.

Figure 3.

Alkaline phosphatase activity of human periodontal ligament fibroblasts cultured in osteogenic medium containing normal glucose NG, HM and HG concentration for 7, 14 and 21 days. No statistically significant differences were found when compared with NG. Data are presented as the mean ± standard error. NG, normal glucose; HM, high mannitol; HG, high glucose.

Following the induction of HPDLFs with osteogenic medium for 28 days, higher numbers of calcified nodules were formed in the HG medium, compared with the numbers formed in the NG and HM media, as shown in Fig. 4.

Figure 4.

Calcified nodules stained with 1% Alizarin Red from human periodontal ligament fibroblasts on day 28 of osteogenic induction in normal glucose, high mannitol and high glucose conditions.

Expression of periostin and β-CATENIN

As periostin is a marker of periodontal ligament integrity and β-catenin is a signaling molecule associated with osteogenesis, the expression of PERIOSTIN and β-CATENIN were also examined in the present study. HG induced the HPDLFs to express significantly higher levels of PERIOSTIN, compared with NG and HM (Fig. 5A). Furthermore, the HPDLFs showed significantly higher expression of β-CATENIN in HG (Fig. 5B).

Figure 5.

Relative quantification of Periostin and β-catenin. Relative quantification of (A) Periostin and (B) β-catenin was determined using reverse transcription-quantitative polymerase chain reaction analysis following osteogenesis of human periodontal ligament fibroblasts for 3 days in NG, HM and HG. Data are presented as the median and range. *P<0.05, compared with NG. NG, normal glucose; HM, high mannitol; HG, high glucose.

Discussion

In the oral cavity, the periodontal ligament anchors the tooth in the alveolar bone. It is an important source of stem cells, lying between the alveolar bone and the cementum, which is involved in regeneration by differentiating to replace the destroyed attachment tissue. As HPDLFs are readily obtained from extracted teeth by scraping the periodontal tissue out from the root of extracted teeth, they offer potential as a source of adult stem cells. HPDLFs have been reported to possess mesenchymal stem cell properties, as they can differentiate into osteoblasts, adipocytes, chondrocytes and neurons (3–5). However, their differentiation activities under different glucose conditions remain to be fully elucidated. As the progression of periodontitis destroys periodontal tissue, increased alveolar bone loss has been found in diabetic patients with poor glycemic control (2). The effect of high glucose conditions has been investigated in several cell types, including fibroblasts (6–8). Therefore, the regeneration processes of periodontal ligament tissue may be affected in periodontitis, particularly in patients with poor glycemic control.

In the present study, HPDLFs in the HG medium tended to proliferate more, compared with those in the NG and HM medium, although differences were not statistically significant. The glucose concentrations used in the present study simulated the normal blood glucose levels found in healthy individuals (100 mg/dl) and the high blood glucose level found in diabetic patients (400 mg/dl). The higher proliferation rate in the HG group was not unexpected, as glucose is an energy source for all cells. In addition, the HM group, an osmotic pressure control group, showed the same effect as the NG group. This suggested that the higher growth rate was due to the effect of glucose and not the effect of osmotic pressure. Previous studies on mouse bone mesenchymal stem cells support these findings, which showed that 25 mM glucose-containing medium promoted growth of cells on day 17 (17). These findings suggest that high glucose conditions alone, as found in diabetic patients, may not harm the growth of PDLFs.

When HPDLFs were induced with osteogenic medium for 3 days, the embryonic stem cell markers, OCT4, NANOG and SOX2, were upregulated in the HG condition, similar to the results reported by Madonna et al in 2014 (18). These results showed that HG levels can enhance the expression of embryonic stem cell markers in HPDLFs at early stages of osteogenesis. The mesenchymal stem cell marker, CD166, was also upregulated on day 3. The upregulation of stem cell marker genes may be associated with the potential of cells to differentiate, which correlates with the increased number of calcified nodules formed in this condition at later stages. In addition, Saito et al in 2014 (19) suggested that the expression of CD166 is associated with the capacity of cells to differentiate into osteoblasts/cementoblasts.

Following osteogenic induction for 14 days, the HPDLFs in the HG concentration medium expressed higher levels of alkaline phosphatase activity, compared with those in the NG and HM media. Again, this suggested that the increased alkaline phosphatase activity was due to the metabolic activity of cells, whereas increased osmotic pressure did not affect activity. On day 28, higher numbers of calcified nodules were also formed in the HG condition, compared with those in the NG condition. In 2014, Li and Li (17) also showed that periodontal ligament cells cultured under HG conditions also had higher alkaline phosphatase activities on days 14 and 21, but found that fewer nodules were formed in the HG medium. These differences may be due to the different sources of cells and their ability to express stem cell markers. In the present study, following induction, the cells started to differentiate and form calcified nodules. The HG condition was found to stimulate the formation of calcified nodules, and this may be due to higher metabolic activity producing more ATP and increasing calcium transport into cells, which leads to increased calcium concentration inside cells, followed by calcium deposition.

In terms of the association between diabetes and periodontal disease in bone metabolism (20), diabetic animals show delayed bone healing. Patients with diabetes have been shown to have lower radial bone density, compared with non-diabetic patients (21). By contrast, the results of the present study showed the enhancement of osteogenesis in HPFLFs cultured in HG medium. However, other factors may also require consideration in examining the effect of the diabetic condition on cells. Diabetic animals may not only exhibit hyperglycemia, but may exhibit other conditions, including the production of advanced glycation end products, lipotoxicity from long-chain free fatty acids and immune responses due to the diabetic condition. Consequently, the HG levels alone may not have been sufficient to negatively affect the osteogenic differentiation of HPDLFs in the present study, compared with diabetic animals. Cells under chronic diabetic conditions may have alterations in protein modification, which lead to a different response to hyperglycemia, compared with the response of cells in in vitro HG conditions. Intracellular hyperglycemia initiates intracellular and extracellular advanced glycation end product formation. In addition, several immune cells in the body of animals and humans respond to hyperglycemia. Neutrophils in diabetic patients with moderate and poor diabetic control have been found to release higher levels of superoxide, compared with healthy subjects (22). Thus, it is possible that fibroblasts in vitro may respond differently to HG, compared with in vivo. The cocktail of inflammatory cytokines secreted may also affect in vivo results. An example of this is the increased level of TNF-α in a diabetic mouse model, which induces the apoptosis of mesenchymal stem cells (23).

The findings of the present study have various implications. In terms of clinical implications, the results showed that HG increased all cellular processes, including the proliferation and differentiation of HPDLFs. Therefore, in diabetic patients with periodontitis, once the periodontal pathogen has been removed and inflammation subsides, HPDLFs can differentiate into the osteoblast lineage, which assists in bone regeneration. Intensive periodontal therapy can significantly reduce periodontal indices and HbA1c in diabetic patients with moderate periodontitis (24).

The in vitro results of the present study are also of interest in terms of cell-based experiments as HG caused HPDLFs to differentiate into osteoblasts and form calcified nodules. Accordingly, the glucose level in the medium may be important when examining the process of osteogenesis in cells.

Periostin is a tissue specific protein in periodontal ligaments (25). It is reported to be secreted in adipose tissue and is significantly positively correlated with blood glucose levels in obese rats (Psammomys obesus) with type 2 diabetes mellitus (26). In addition, a study by Horiuchi et al in 1999 (27) suggested that periostin is involved in the recruitment and attachment of osteoblast precursors. The results of the present study showed increased expression of PERIOSTIN in the HG osteogenic medium. This suggested that the cells retained tissue specific origin, and that this protein may be involved in osteogenic differentiation in HG medium.

The results of the present study also showed that β-CATENIN was upregulated in HG medium. As several reports (28–30) have suggested that Wnt/β-catenin is involved in osteogenesis, HG conditions may induce osteoblast differentiation in HPDLFs through the Wnt/β-catenin pathway. However, further studies are required to understand the mechanisms involved.

In terms of tissue regeneration in diabetes and periodontitis, the results of the present study showed that HG increased all cellular processes, including the proliferation and differentiation of HPDLFs. Therefore, in diabetic patients with periodontitis, once the periodontal pathogen has been removed and inflammation subsides, HPDLFs can differentiate into the osteoblast lineage, which will assist bone regeneration. Thus, intensive periodontal therapy can significantly reduce periodontal indices and HbA1c in diabetic patients with moderate periodontitis (24). The results of the present study also suggested that calcification in cell-based transplantation may be performed successfully in diabetic patients. Furthermore, reagents associated with the Wnt/β-catenin pathway may be useful in stem cell therapy to assist in inducing osteogenic differentiation, as suggested by Liu et al in 2015 (31). This may improve the treatment of bone regeneration in the future.

In conclusion, the present study indicated that HG medium (25 mM) was non-toxic to HPDLFs. The HPDLFs responded to HG conditions by increasing the expression of embryonic and mesenchymal stem cell markers, as well as the tissue specific protein, periostin. Calcified nodules were also formed in higher numbers when the cells were induced in osteogenic medium containing HG concentration. This effect may be regulated by β-catenin, which was induced by HG levels. Further investigation of HPDLFs transplantation in animal models is required to confirm these in vitro results. However, these cells are likely to be useful for tissue regeneration in diabetic patients.

Acknowledgements

The present study was supported by the project for Higher Education Research Promotion and National Research University Development, the Office of the Higher Education Commission and the Thailand and Mahidol University Medical Scholar Program.

References

1 

Taylor GW, Burt BA, Becker MP, Genco RJ and Shlossman M: Glycemic control and alveolar bone loss progression in type 2 diabetes. Ann Periodontol. 3:30–39. 1998. View Article : Google Scholar : PubMed/NCBI

2 

Taylor GW, Burt BA, Becker MP, Genco RJ, Shlossman M, Knowler WC and Pettitt DJ: Non-insulin dependent diabetes mellitus and alveolar bone loss progression over 2 years. J Periodontol. 69:76–83. 1998. View Article : Google Scholar : PubMed/NCBI

3 

Kim SS, Kwon DW, Im I, Kim YD, Hwang DS, Holliday LS, Donatelli RE, Son WS and Jun ES: Differentiation and characteristics of undifferentiated mesenchymal stem cells originating from adult premolar periodontal ligaments. Korean J Orthod. 42:307–317. 2012. View Article : Google Scholar : PubMed/NCBI

4 

Park JC, Kim JM, Jung IH, Kim JC, Choi SH, Cho KS and Kim CS: Isolation and characterization of human periodontal ligament (PDL) stem cells (PDLSCs) from the inflamed PDL tissue: In vitro and in vivo evaluations. J Clin Periodontol. 38:721–731. 2011. View Article : Google Scholar : PubMed/NCBI

5 

Nagatomo K, Komaki M, Sekiya I, Sakaguchi Y, Noguchi K, Oda S, Muneta T and Ishikawa I: Stem cell properties of human periodontal ligament cells. J Periodont Res. 41:303–310. 2006. View Article : Google Scholar : PubMed/NCBI

6 

Liu J, Wu Y, Wang B, Yuan X and Fang B: High levels of glucose induced the caspase-3/PARP signaling pathway, leading to apoptosis in human periodontal ligament fibroblasts. Cell Biochem Biophys. 66:229–237. 2013. View Article : Google Scholar : PubMed/NCBI

7 

Liu J, Jiang Y, Mao J, Gu B, Liu H and Fang B: High levels of glucose induces a dose-dependent apoptosis in human periodontal ligament fibroblasts by activating caspase-3 signaling pathway. Appl Biochem Biotechnol. 170:1458–1471. 2013. View Article : Google Scholar : PubMed/NCBI

8 

Nishimura F, Terranova V, Foo H, Kuriharal M, Kuriharal H and Murayama Y: Glucose-mediated alteration of cellular function in human periodontal ligament cells. J Dent Res. 75:1664–1671. 1996. View Article : Google Scholar : PubMed/NCBI

9 

Cao H, Xu W, Qian H, Zhu W, Yan Y, Zhou H, Zhang X and Xu X, Li J, Chen Z and Xu X: Mesenchymal stem cell-like cells derived from human gastric cancer tissues. Cancer Lett. 274:61–71. 2009. View Article : Google Scholar : PubMed/NCBI

10 

Saigusa S, Tanaka K, Toiyama Y, Yokoe T, Okugawa Y, Ioue Y, Miki C and Kusunoki M: Correlation of CD133, OCT4 and SOX2 in rectal cancer and their association with distant recurrence after chemoradiotherapy. Ann Surg Oncol. 16:3488–3498. 2009. View Article : Google Scholar : PubMed/NCBI

11 

Rada T, Reis RL and Gomes ME: Distinct stem cells subpopulations isolated from human adipose tissue exhibit different chondrogenic and osteogenic differentiation potential. Stem Cell Rev. 7:64–76. 2011. View Article : Google Scholar : PubMed/NCBI

12 

Wang J, Gu Z, Ni P, Qiao Y, Chen C, Liu X, Lin J, Chen N and Fan Q: NF-kappaB P50/P65 hetero-dimer mediates differential regulation of CD166/ALCAM expression via interaction with micoRNA-9 after serum deprivation, providing evidence for a novel negative auto-regulatory loop. Nucleic Acids Res. 39:6440–6455. 2011. View Article : Google Scholar : PubMed/NCBI

13 

Dobreva MP, Lhoest L, Pereira PN, Umans L, Camus A, de Chuva Sousa Lopes SM and Zwijsen A: Periostin as a biomarker of the amniotic membrane. Stem Cells Int. 2012:9871852012. View Article : Google Scholar : PubMed/NCBI

14 

Chen X, Hu C, Wang G, Li L, Kong X, Ding Y and Jin Y: Nuclear factor-κB modulates osteogenesis of periodontal ligament stem cells through competition with β-catenin signaling in inflammatory microenvironments. Cell Death Dis. 4:e5102013. View Article : Google Scholar : PubMed/NCBI

15 

Herath TD, Wang Y, Seneviratne CJ, Lu Q, Darveau RP, Wang CY and Jin L: Porphyromonas gingivalis lipopolysaccharide lipid a heterogeneity differentially modulates the expression of IL-6 and IL-8 in human gingival fibroblasts. J Clin Periodontol. 38:694–701. 2011. View Article : Google Scholar : PubMed/NCBI

16 

Livak KJ and Schmittgen TD: Analysis of relative gene expression data using real-time quantitative PCR and the 2(−Delta Delta C(T)) Method. Methods. 25:402–408. 2001. View Article : Google Scholar : PubMed/NCBI

17 

Li M and Li CZ: High glucose improves healing of periodontal wound by inhibiting proliferation and osteogenetic differentiation of human PDL cells. Int Wound J. 13:39–43. 2016. View Article : Google Scholar : PubMed/NCBI

18 

Madonna R, Geng YJ, Shelat H, Ferdinandy P and De Caterina R: High glucose-induced hyperosmolarity impacts proliferation, cytoskeleton remodeling and migration of human induced pluripotent stem cells via aquaporin-1. Biochim Biophys Acta. 1842:2266–2275. 2014. View Article : Google Scholar : PubMed/NCBI

19 

Saito MT, Salmon CR, Amorim BR, Ambrosano GM, Casati MZ, Sallum EA, Nociti FH and Silvério KG: Characterization of highly osteoblast/cementoblast cell clones from a CD105-enriched periodontal ligament progenitor cell population. J Periodontol. 85:e205–e211. 2014. View Article : Google Scholar : PubMed/NCBI

20 

Wu YY, Xiao E and Graves DT: Diabetes mellitus related bone metabolism and periodontal disease. Int J Oral Sci. 7:63–72. 2015. View Article : Google Scholar : PubMed/NCBI

21 

Krakauer JC, McKenna MJ, Buderer NF, Rao DS, Whitehouse FW and Parfitt AM: Bone loss and bone turnover in diabetes. Diabetes. 44:775–782. 1995. View Article : Google Scholar : PubMed/NCBI

22 

Karima M, Kantarci A, Ohira T, Hasturk H, Jones VL, Nam BH, Malabanan A, Trackman PC, Badwey JA and Van Dyke TE: Enhanced superoxide release and elevated protein kinase C activity in neutrophils from diabetic patients: Association with periodontitis. J Leukoc Biol. 78:862–870. 2005. View Article : Google Scholar : PubMed/NCBI

23 

Ko KI, Coimbra LS, Tian C, Alblowi J, Kayal RA, Einhorn TA, Gerstenfeld LC, Pignolo RJ and Graves DT: Diabetes reduces mesenchymal stem cells in fracture healing through a TNFα-mediated mechanism. Diabetologia. 58:633–642. 2015. View Article : Google Scholar : PubMed/NCBI

24 

Calabrese N, D'Aiuto F, Calabrese A, Patel K, Calabrese G and Massi-Benedetti M: Effects of periodontal therapy on glucose management in people with diabetes mellitus. Diabetes Metab. 37:456–459. 2011. View Article : Google Scholar : PubMed/NCBI

25 

Han X and Amar S: Identification of genes differentially expressed in cultured human periodontal ligament fibroblasts vs. human gingival fibroblasts by DNA microarray analysis. J Dent Res. 81:399–405. 2002. View Article : Google Scholar : PubMed/NCBI

26 

Bolton K, Segal D, McMillan J, Sanigorski A, Collier G and Walder K: Identification of secreted proteins associated with obesity and type 2 diabetes in Psammomys obesus. Int J Obes (Lond). 33:1153–1165. 2009. View Article : Google Scholar : PubMed/NCBI

27 

Horiuchi K, Amizuka N, Takeshita S, Takamatsu H, Katsuura M, Ozawa H, Toyama Y, Bonewald LF and Kudo A: Identification and characterization of a novel protein, periostin, with restricted expression to periosteum and periodontal ligament and increased expression by transforming growth factor beta. J Bone Miner Res. 14:1239–1249. 1999. View Article : Google Scholar : PubMed/NCBI

28 

Heo JS, Lee SY and Lee JC: Wnt/β-catenin signaling enhances osteoblastogenic differentiation from human periodontal ligament fibroblasts. Mol Cells. 30:449–454. 2010. View Article : Google Scholar : PubMed/NCBI

29 

Liu N, Shi S, Deng M, Tang L, Zhang G, Liu N, Ding B, Liu W, Liu Y, Shi H, et al: High levels of β-catenin signaling reduce osteogenic differentiation of stem cells in inflammatory microenvironments through inhibition of the noncanonical Wnt pathway. J Bone Miner Res. 26:2082–2095. 2011. View Article : Google Scholar : PubMed/NCBI

30 

Liu W, Konermann A, Guo T, Jäger A, Zhang L and Jin Y: Canonical Wnt signaling differently modulates osteogenic differentiation of mesenchymal stem cells derived from bone marrow and from periodontal ligament under inflammatory conditions. Biochim Biophys Acta. 1840:1125–1134. 2014. View Article : Google Scholar : PubMed/NCBI

31 

Liu Q, Hu CH, Zhou CH, Cui XX, Yang K, Deng C, Xia JJ, Wu Y, Liu LC and Jin Y: DKK1 rescues osteogenic differentiation of mesenchymal stem cells isolated from periodontal ligaments of patients with diabetes mellitus induced periodontitis. Sci Rep. 5:131422015. View Article : Google Scholar : PubMed/NCBI

Related Articles

  • Abstract
  • View
  • Download
  • Twitter
Copy and paste a formatted citation
Spandidos Publications style
Seubbuk S, Sritanaudomchai H, Kasetsuwan J and Surarit R: High glucose promotes the osteogenic differentiation capability of human periodontal ligament fibroblasts. Mol Med Rep 15: 2788-2794, 2017.
APA
Seubbuk, S., Sritanaudomchai, H., Kasetsuwan, J., & Surarit, R. (2017). High glucose promotes the osteogenic differentiation capability of human periodontal ligament fibroblasts. Molecular Medicine Reports, 15, 2788-2794. https://doi.org/10.3892/mmr.2017.6333
MLA
Seubbuk, S., Sritanaudomchai, H., Kasetsuwan, J., Surarit, R."High glucose promotes the osteogenic differentiation capability of human periodontal ligament fibroblasts". Molecular Medicine Reports 15.5 (2017): 2788-2794.
Chicago
Seubbuk, S., Sritanaudomchai, H., Kasetsuwan, J., Surarit, R."High glucose promotes the osteogenic differentiation capability of human periodontal ligament fibroblasts". Molecular Medicine Reports 15, no. 5 (2017): 2788-2794. https://doi.org/10.3892/mmr.2017.6333
Copy and paste a formatted citation
x
Spandidos Publications style
Seubbuk S, Sritanaudomchai H, Kasetsuwan J and Surarit R: High glucose promotes the osteogenic differentiation capability of human periodontal ligament fibroblasts. Mol Med Rep 15: 2788-2794, 2017.
APA
Seubbuk, S., Sritanaudomchai, H., Kasetsuwan, J., & Surarit, R. (2017). High glucose promotes the osteogenic differentiation capability of human periodontal ligament fibroblasts. Molecular Medicine Reports, 15, 2788-2794. https://doi.org/10.3892/mmr.2017.6333
MLA
Seubbuk, S., Sritanaudomchai, H., Kasetsuwan, J., Surarit, R."High glucose promotes the osteogenic differentiation capability of human periodontal ligament fibroblasts". Molecular Medicine Reports 15.5 (2017): 2788-2794.
Chicago
Seubbuk, S., Sritanaudomchai, H., Kasetsuwan, J., Surarit, R."High glucose promotes the osteogenic differentiation capability of human periodontal ligament fibroblasts". Molecular Medicine Reports 15, no. 5 (2017): 2788-2794. https://doi.org/10.3892/mmr.2017.6333
Follow us
  • Twitter
  • LinkedIn
  • Facebook
About
  • Spandidos Publications
  • Careers
  • Cookie Policy
  • Privacy Policy
How can we help?
  • Help
  • Live Chat
  • Contact
  • Email to our Support Team