International Journal of Molecular Medicine is an international journal devoted to molecular mechanisms of human disease.
International Journal of Oncology is an international journal devoted to oncology research and cancer treatment.
Covers molecular medicine topics such as pharmacology, pathology, genetics, neuroscience, infectious diseases, molecular cardiology, and molecular surgery.
Oncology Reports is an international journal devoted to fundamental and applied research in Oncology.
Experimental and Therapeutic Medicine is an international journal devoted to laboratory and clinical medicine.
Oncology Letters is an international journal devoted to Experimental and Clinical Oncology.
Explores a wide range of biological and medical fields, including pharmacology, genetics, microbiology, neuroscience, and molecular cardiology.
International journal addressing all aspects of oncology research, from tumorigenesis and oncogenes to chemotherapy and metastasis.
Multidisciplinary open-access journal spanning biochemistry, genetics, neuroscience, environmental health, and synthetic biology.
Open-access journal combining biochemistry, pharmacology, immunology, and genetics to advance health through functional nutrition.
Publishes open-access research on using epigenetics to advance understanding and treatment of human disease.
An International Open Access Journal Devoted to General Medicine.
Selenium (Se) is a metalloid showing an intriguing relation with human health, particularly with cancer (1,2) and with other diseases (3,4). The main source of Se exposure is the dietary intake, closely linked to Se content in soil. Conversely, the contribution of other environmental sources is generally negligible, although few studies outlined higher risk of neurologic disease in areas with high levels of Se in drinking water (5–7) and higher risk of cardiovascular hospitalization (8) and hematological malignancies (9) due to higher exposure to Se air levels. The primary dietary sources of Se in the Italian diet is derived from meat, fish, cereals and dairy products (10,11). Nevertheless, an accurate assessment of Se intake based on individual food consumption is very difficult and dietary assessment tools could fail to adequately measure Se intake because foodstuff Se content changes according to the geographic variations of soil Se concentration (10,12) and the capacity of plants to absorb it (13). Furthermore, dietary supplements may contribute substantially to Se intake and body tissue content (14).
Se exposure has been assessed in epidemiologic studies through several biomarkers, including its concentrations in blood cells, serum or plasma, urine, hair and nails (15–19). Toenail Se has been largely investigated as a surrogate of Se intake (20,21) as toenail sample may represent a useful biomarker for long-term Se exposure given the slow growth rate (22) and has the advantage to be easily collected being not invasive (23). Determinants of toenail Se levels have been investigated in some studies (20,24–26), but only a few assessed the influence of specific foodstuffs on toenail Se content (10,27) and as far as we know no such study examined its relation with circulating Se species.
In this study we assessed the levels of toenail Se in a representative sample of Northern Italian population, exploring the influence of demographic characteristics, lifestyles and dietary intake of selected food and of serum Se species, and finally environmental air Se levels.
The methodology for the recruitment of the study population was previously described (18,28). Briefly, following the approval of local Ethics Committee, we recruited a random sample of 50 subjects residing in Modena, using the Stata ‘sample’ routine (Stata 11; Stata Corporation, College Station, TX, USA) out of the list of eligible subjects from each gender- and age-specific subgroup, by accessing the databases of the Modena Municipality General Registry Office. We contacted these subjects in 2011 by phone asking for their participation in the study. Subjects who accepted to participate were invited to the Modena Health Unit to give a venous blood sample in morning fasting state. After the collection of their written consent, the blood sample was collected in a plastic tube (BD 368815 Vacutainer® Plus plastic serum tube with red BD Hemograd™ closure; Becton Dickinson SpA), immediately centrifuged at 1,000 × g for 10 min and serum aliquots of 1 ml were stored at −15°C until use. Moreover, we collected a sample of toenails using the procedure already adopted in previous studies (29–31). To summarize, we asked study subjects to yield a sample of their toenails, after letting them grow for two weeks and avoiding the use of chemical substances such as nail varnish or other specific nail products.
We collected from all study participants general information including smoking habits, education, occupational history and use of dietary supplements. Secondly, we assessed their dietary habits through a semi-quantitative food frequency questionnaire used for the Central-Northern Italian population within the EPIC study (32). This questionnaire assessed the frequency and amount of consumption of 188 food items over the previous year, and allowed the frequency and quantity of consumption of foodstuffs and the related intake of nutrients and contaminants to be calculated using the Italian version of the EPIC-Soft program (EPIC Project, Milan, Italy) (33,34).
We stored the toenail clippings in a PPL tube (inert polypropylene tubes with pressure cap; Incofar S.R.L., Modena, Italy), and before analysis we washed the specimens using a 5% Triton X-100 solution in deionized water (Sigma-Aldricht, Darmstadt, Germany), we sonicated them for 15 min and after this we rinsed and sonicated the samples again for 15 min in deionized water. We dried the nails at 105°C for 3 h and we digested the samples, weighing from 24.8 to 401.0 mg, in the Microwave Laboratory system (Milestone ETHOS-TC, Shelton, CT, USA) using 7 ml of HNO3 69% (nitric acid, 69%; Merck Suprapur™, Darmstadt, Germany), 2 ml of H2O2 30% (hydrogen peroxide, 30%; Merck Perhydrol, Darmstadt, Germany). We finally transferred the cooled samples into a 25 ml flask (polyethylene flask; Incofar S.R.L.) and diluted with Milli-Q water (Millipore, Bedford, MA, USA).
We measured toenail Se content using a Zeeman-effect corrected graphite furnace atomic absorption spectrometer (AAnalyst 600; Perkin-Elmer Inc., Waltham, MA, USA). A transversely-heated graphite atomizer (THGA) graphite tube (Perkin-Elmer Inc., Waltham, MA, USA) with end cap was used at atomization temperature of 1,900̊C, with electrodeless discharge lamp current set at 270 mA, wavelength at 196 nm and a low slit of 2.0 nm. Matrix modifier used was Pd+Mg(NO3)2. In order to overcome matrix interference, we used the standard addition calibration technique, by adding Se standard solutions to a pooled sample of digested toenails. We used two reference materials for quality control in each session, in both cases human hair, GBW 09101 (China National Analysis Center for Iron and Steel, CSRI, China) and CRM 397 (European Community Bureau of Reference, Geel, Belgium).
Se speciation methodology has been describe in details elsewhere (18). To summarize, a 1 ml serum aliquot for each study subject was transported by air courier deep frozen in dry ice to the laboratory of the Research Center for Environmental Health (Research Unit Analytical BioGeoChemistry, Neuherberg, Germany), and kept continuously frozen until use. We slowly thawed samples in a refrigerator at 4̊C, vortexed and subsequently analyzed them. Suprapure grade chemicals were used throughout. Selenite (Se-IV), selenate (Se-VI), selenomethionine (Se-Met), selenocysteine (Se-Cys), thioredoxin reductase (EC 1.8.1.9.)-bound selenium (Se-TrxR), glutathione peroxidase (EC 232-749-6)-bound selenium (Se-GpX), human serum albumin (HSA) and Tris buffer were from Sigma-Aldrich (Deisenhofen, Germany). Working standards of Se species were prepared daily from their stock standard solutions by appropriate dilution with Milli-Q water. Selenoprotein P (SePP) is not commercially available as a standard compound. We prepared SePP from serum using affinity chromatography (AFC), and purified AFC-SePP fraction by a mass-calibrated size exclusion chromatography (SEC) column, where SePP eluted at an RT calculated for 62 kDa. We analyzed total serum Se by graphite furnace atomic absorption spectrometry based on the method of the MAK collection-biomonitoring methods (35).
We determined Se species Se-IV, Se-VI, Se-Met, Se-Cys, Se-TrxR, Se-GpX, SePP and HSA-Se in serum samples using anion exchange chromatography (IEC) coupled with inductively coupled plasma dynamic reaction cell mass spectrometry (ICP-DRC-MS; NexION; Perkin-Elmer Inc., Sciex, Toronto, ON, Canada) according to methodologies previously established for biological matrices (36,37). In general the IEC separation followed Xu et al (38), but was slightly modified as previously described (18).
We connected a Knauer 1100 Smartline inert Series gradient HPLC system (Knauer, Berlin, Germany) to an anion exchange column AG 11 (precolumn, 50×4 mm) + AS 11 (analytical column, 250×2 mm I.D.) both from Thermo Fisher Scientific, Dionex (Idstein, Germany) for species separation. The sample volume was 100 µl. The mobile phases were: eluent A, 10 mM Tris-HAc, pH 8.0 and eluent B, A + 500 mM NH4Ac, pH 8.0. Gradient elution expressed as %-eluent A: 0–3 min, 100%; 3–10 min, 100–60%; 10–23 min, 60–45%; 23–26 min, 45–43%; 26–28 min, 43–0%; 28–52 min, 0% and 52–60 min, 100%. The flow rate was 0.70 ml/min. For internal standardization we mixed the column effluent with 1 µg/l Rh (final concentration, Rh flow rate: 0.1 ml/l) and directed to ICP-MS. The experimental settings chosen for ICP-DRC-MS (NexION; Perkin-Elmer Inc., Sciex) after optimization were: radio frequency power, 1250 W; plasma gas flow, 15 l Ar/min; auxiliary gas flow, 1.05 l Ar/min; nebulizer gas flow, 0.94 l Ar/min; daily optimized, dwell time 300 msec, ions montored: 78 Se, 80 Se, 103 Rh, DRC reaction gas: CH4 reaction at 0.58 ml/min, DRC rejection parameter, q=0.6.
We used the standard addition method for standard-retention-time matched identification of Se species and as QC means in quantification. Species identity was further confirmed using a 2D approach of IEC-capillary electrophoresis (‘Biofocus 3000’ capillary electrophoresis system; BioRad, Munich, Germany) equipped with an uncoated capillary (Chromatographie Service GmbH, Langerwehe, Germany) 120 cm×50 µm ID was used for CE-ICP-DRC-MS analysis as previously described (37). Species identification was regarded as acceptable when the species matched the standard compounds with both chromatography/electrophoretic techniques (match in first and second technique). We performed peak quantification from chromatograms by comparing peak areas with peak area calibration curves using Peakfit™ software (Systat Software Inc., San Jose, CA, USA). The limit of detection for all Se species in serum was 0.02 µg/l. Quality control, inter laboratory analytical comparison and recovery determination of individual Se species have been reported in detail (18).
Percentiles distribution, mean and standard deviation were calculated for Se in toenails. As we found one sample with very high toenail Se content (2.78 µg/g), we considered it as an outlier probably due to contamination of the sample and we removed the subjects from the entire data analyses. Mean comparison t-test was performed according to specific subgroup categories, namely, gender, age (<50 and ≥50 years), BMI (<25 and ≥25), use of Se supplements and smoking habits (never, former and current smokers). Pearsons coefficients along with 95% confidence intervals (CIs) were calculated between Se and continuous variables (namely age, BMI, serum Se species and food intake). Bivariate and multivariate regress models were performed in order to test the influence on toenail Se of serum Se species: i) a crude model; ii) a partial model adjusted for gender, age and storage time; and iii) a fully adjusted model adding Se supplement use.
All foodstuff were grouped according to INN-CA patterns (39) in cereals, meat, fish and seafood, dairy products, sweets, vegetables, legumes, fruits and dry fruits. In order to reduce the influence of measurement errors frequently associated with the use of food frequency questionnaires, by decreasing artificial inter-individual variation introduced by under and over-reporting of food intake, we adjusted the estimates, for total energy intake, using the Willetts residual method (40). Pearsons correlation between toenail Se and residue of dietary intake and estimated dietary Se intake were performed. Between toenail Se and dietary products we performed also three regression models: i) adjusted only for energy intake (crude); ii) partial adjusted for energy intake, gender and age; and iii) fully adjusted, adding use of Se supplement. Sensitivity analyses adding smoking habits (coded as 0, 1 and 2 for never, former and current smokers, respectively) and BMI were tested. Finally, the environmental source of Se through air was tested using levels of particulate matter <10 µm (PM10) estimated with a methodology previously reported for other trace elements [i.e., cadmium (28) and manganese in this issue (41)].
Characteristic of study subjects were described in previous studies (18,28). To summarize, age ranged from 35 to 70 years, and males and females were almost equally represented. Regarding occupational status, six were employed in the engineering industry, half in tertiary sector (mainly workers in the health system, education and business), while ten were retired and two were housewives. Ten subjects reported a current ongoing consumption of dietary supplements containing Se, corresponding to an average Se daily additional intake of 28.6 µg. Twenty-six were never smokers, fifteen were former smokers, all but one for over 10 years, while nine were current smokers. Pack-year mean (SD) values were similar, namely 14.0 (10.2) and 13.9 (9.8) for former and current smokers, respectively. Overall toenail Se mean was 0.96 µg/g, ranged from 0.47 to 1.60 µg/g, with slightly higher levels in females, in normal weight subjects and in those taking supplements containing Se (Table I and Fig. 1). Pearsons coefficients between toenail Se and age showed an inverse correlation as well for BMI with coefficients of −0.169 (95% CI, −0.427 to 0.115; P=0.241) for age and −0.139 (95% CI, −0.500 to −0.262; P=0.017) for BMI, respectively. In smoking habits, former smokers showed higher levels followed by never and current smokers.
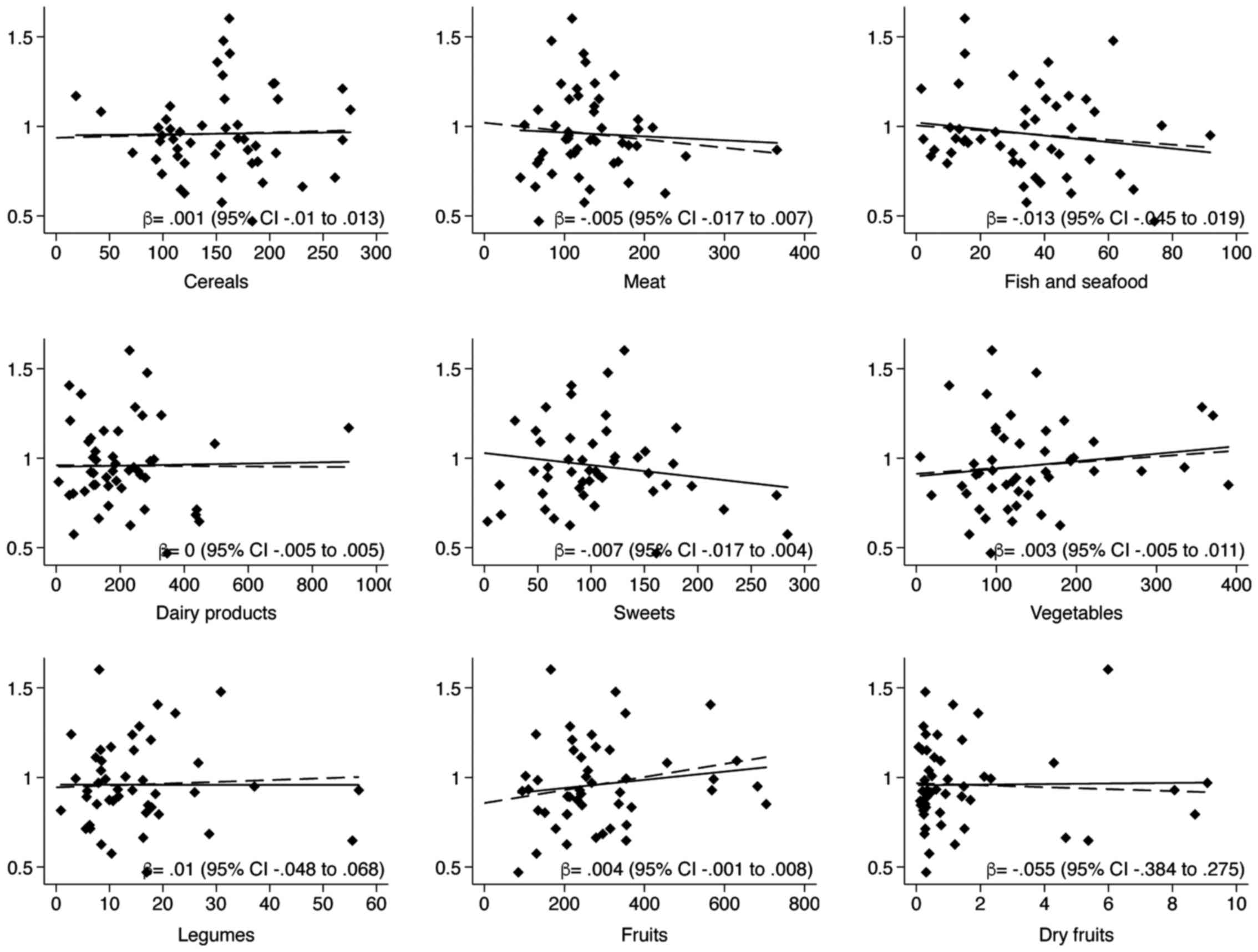
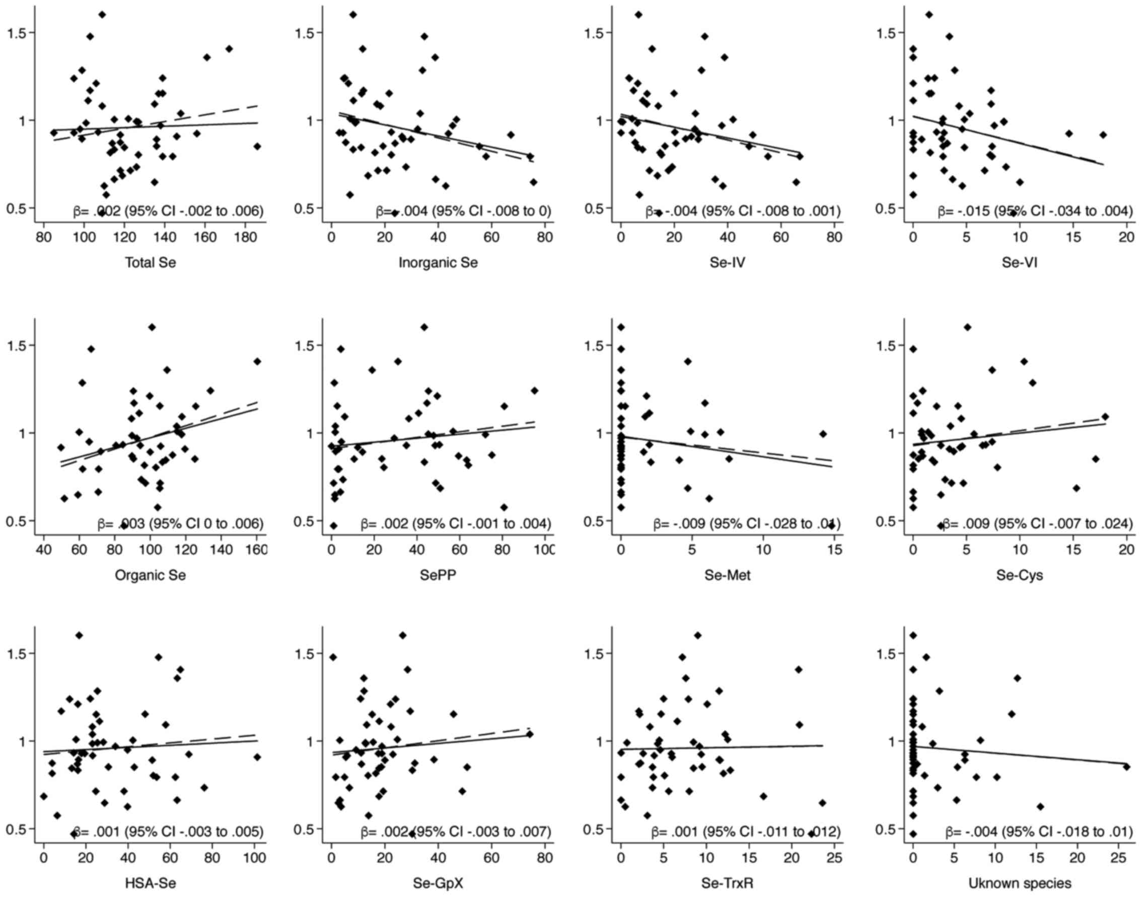
Pearson's correlations between toenail Se and serum levels of total Se and its species (Table II) showed a positive relation with organic Se species, mainly SePP and Se-Cys, while an inverse one with inorganic forms. Results of Se-Met showed opposite results due to high number of value below the detection limit. Linear regression models demonstrated similar results, also adjusting for possible confounders including use of Se supplements (Fig. 2). Alternatively, adding to the presented models smoking habits did not substantially change the estimates (data not shown). Correlations with food items showed a direct relation only with fruits and slightly with vegetables, whilst a negative one with fish and sweets, and finally null for all other foodstuff (Table III). Linear regression models (crude and adjusted for energy intake, age, gender and use of Se supplement) demonstrated similar results (Fig. 3).
Similarly, Pearsons correlation between toenail Se and Se intake estimated using the Epic FFQ showed little relation, a correlation coefficient of −0.164 (95% CI, −0.0426 to 0.123; P=0.260), while linear regression coefficients were −0.002 (95% CI, −0.004 to 0.001; P=0.236), −0.001 (95% CI, −0.004 to 0.001; P=0.264) and −0.001 (95% CI, −0.004 to 0.002; P=0.520) in crude, partial and fully adjusted models, respectively. Toenail Se was not associated with personal exposure to outdoor air PM10, as Pearsons correlation was 0.048 (95% CI, −0.233 to 0.322; P=0.741).
This study provided toenail Se levels in a representative sample of Northern Italian population. Our results are in line with previous findings conducted on healthy subjects as we found higher levels of toenail Se in supplement users (14,20,26,27,42) and in females (26,43,44), although some studies did not show any gender difference (14,45) or conversely pointed out elevated Se exposure in males (27). Similarly, lower Se content was detected in current smokers respect to never and former smokers (20,24–27,44,45), while age demonstrated a slight inverse relation reported in some (24,27) but not in all studies (20,25,26,45). Gender and genetics factors could play a role in influence Se toenail levels. A recent study carried out in different ethnic groups pointed out a positive correlation within Caucasian males but null in females, whilst inverse correlation was found in African females and again null in African males (44), although stratified analysis in our sample yielded similar negative correlation in both genders, with a stronger effect in females (data not shown).
Generally, studies correlating Se content in toenail with other biological indicators are performed comparing only total Se content (14,21,45). We carried out an innovative analysis as we explored the relation between levels of toenail Se with total and individual Se serum species. Our peculiar analysis pointed out a positive relation with most of Se organic forms, mainly Se-PP and Se-Cys, while inverse with the inorganic forms. These results were confirmed after adjusting for possible confounders, including the use of Se supplements (Fig. 2). A possible explanation of the opposite behavior of organic and inorganic Se forms could be related to toenail composition. In fact, human nails are a modification of the skin, thus they are primary made of keratins, a family of proteins with an amino acid composition highly enriched in cysteine, thus they could accumulate Se either by binding to or by replacement of sulfhydryl sulfur (46,47). Interestingly, a recent study of fingernail organic elemental composition found that females had higher levels of sulfur, while sulfur content did not vary with ageing (48).
Correlation of toenail Se and intake of different food expected to be major contributors of Se intake yielded inconclusive results. We found a null correlation with meat, dairy products and cereals, whilst an inverse correlation appeared for fish and seafood intake. A slight positive correlation was found with vegetable and fruit intake, but only the latter was confirmed in the multivariate model adjusted for potential confounders. Even in most human diets, the leading sources of Se are cereals, meats and fish, food intake estimated with frequency questionnaires or composition tables may have limited accuracy and reliability due to the wide variation of Se contents in food depending on geographical area (1,17). About different Se species in food, the main form of Se in foods should be Se-Met which can be synthesized only by plants, while both plants and animals can incorporate Se-Met into proteins as a mimic for the correspondent sulfur-amino acid methionine (49). Studies conducted on edible seafood and canned tuna highlighted a higher fish content of Se-Met (29–70%) and selenite/selenate (12–45%) (50,51). A low fish intake in our sample is unlikely, as the median fish intake in our sample was 35 g/day (IQR, 15.5–47.4 g/day), similarly with those reported for other Italian populations (11,39). Interestingly, a recent in vitro study by using a gastric and intestinal digestion methods, pointed out a low bioavailability of total Se and Se species from fish and seafood (52). Regarding milk and dairy products, the main Se species appear to be both Se-Cys and selenite (53), thus this could have influenced the null results. Finally, fruits and vegetables contain relatively small amounts of Se, with the possible exception of garlic, onion and cabbage (also defined ‘Se accumulator’). An analysis splitting vegetables into Se accumulator and Se non-accumulator did not yielded different estimates (data not shown) (13).
The strengths of our study consists of the correlation toenail Se with the various Se serum species, yielding a switch from evaluation of overall content a trace element to the speciation analysis. The topic is of growing interest in medicine and biology, due to the different, and in some cases, opposite effects that could be carried by different species on target tissues, as already demonstrated for Se itself and other trace elements (18,54–56).
A few limitations of this study must be outlined. First, the retention of organic Se forms in body tissues is consistently higher than that of inorganic compounds (57), and therefore distribution of Se species in human tissues may not necessarily reflect the relative intake of these species through diet and other sources, nor their toxicity and biological effects (58). Moreover, the limited sample size of our study, which was a consequence of the difficulties in recruiting volunteers from the general population, reduced the statistical stability of the point estimates. However, despite this limitation, our study population still seems to represent the general Italian population as far as demographic characteristics and lifestyle factors are concerned (59,60).
In conclusion, our cross-sectional analysis is to our knowledge the first that assessed the relation between Se levels in toenail with serum Se species, detecting an opposite behavior depending on the type of Se forms considered. Furthermore, it is one of the few studies that explored the influence of different food on Se toenail content, showing a null relation with cereals, meat and dairy products, a direct correlation only with fruits and a little with vegetables intake, whilst inverse relation with fish and seafood consumption, although more studies are needed. Finally, air Se exposure assessed through PM10 estimate levels, seemed to barely influence the toenail Se levels.
|
Vinceti M, Dennert G, Crespi CM, Zwahlen M, Brinkman M, Zeegers MP, Horneber M, DAmico R and Del Giovane C: Selenium for preventing cancer. Cochrane Database Syst Rev. 3:CD0051952014. | |
|
Vinceti M and Rothman KJ: More results but no clear conclusion on selenium and cancer. Am J Clin Nutr. 104:245–246. 2016. View Article : Google Scholar : PubMed/NCBI | |
|
Jablonska E and Vinceti M: Selenium and human health: witnessing a copernican revolution? J Environ Sci Health C Environ Carcinog Ecotoxicol Rev. 33:328–368. 2015. View Article : Google Scholar : PubMed/NCBI | |
|
Vinceti M, Burlingame B, Filippini T, Naska A, Bargellini A and Borella P: The epidemiology of selenium and human healthSelenium: Its Molecular Biology and Role in Human Health. Hatfield DL, Schweizer U, Tsuji PA and Gladyshev VN: Springer International Publishing; Cham: pp. 365–376. 2016, View Article : Google Scholar | |
|
Tsongas TA and Ferguson SW: Human health effects of selenium in a rural Colorado drinking water supply. In: Trace Substances in Environmental Health-XIA Symposium. Hemphill DD: University of Missouri; Columbia: pp. 30–35. 1977 | |
|
Valentine JL: Environmental occurrence of selenium in waters and related health significance. Biomed Environ Sci. 10:292–299. 1997.PubMed/NCBI | |
|
Vinceti M, Ballotari P, Steinmaus C, Malagoli C, Luberto F, Malavolti M and Rossi Giorgi P: Long-term mortality patterns in a residential cohort exposed to inorganic selenium in drinking water. Environ Res. 150:348–356. 2016. View Article : Google Scholar : PubMed/NCBI | |
|
Ito K, Mathes R, Ross Z, Nádas A, Thurston G and Matte T: Fine particulate matter constituents associated with cardiovascular hospitalizations and mortality in New York City. Environ Health Perspect. 119:467–473. 2011. View Article : Google Scholar : PubMed/NCBI | |
|
Heck JE, Park AS, Qiu J, Cockburn M and Ritz B: Risk of leukemia in relation to exposure to ambient air toxics in pregnancy and early childhood. Int J Hyg Environ Health. 217:662–668. 2014. View Article : Google Scholar : PubMed/NCBI | |
|
Mariottini E, Capel R and Grasso Bigazzi C: Selenium content in foods. J Prev Med Hyg. 36:55–60. 1995. | |
|
Lombardi-Boccia G, Aguzzi A, Cappelloni M, Di Lullo G and Lucarini M: Total-diet study: dietary intakes of macro elements and trace elements in Italy. Br J Nutr. 90:1117–1121. 2003. View Article : Google Scholar : PubMed/NCBI | |
|
Shacklette HT and Boerngen JG: Element concentrations in soils and other surficial materials of the conterminous United States. U.S. Geological Paper 1270United States Goverment Printing Office. Washington: 1984 | |
|
Terry N, Zayed AM, De Souza MP and Tarun AS: Selenium in higher plants. Annu Rev Plant Physiol Plant Mol Biol. 51:401–432. 2000. View Article : Google Scholar : PubMed/NCBI | |
|
Satia JA, King IB, Morris JS, Stratton K and White E: Toenail and plasma levels as biomarkers of selenium exposure. Ann Epidemiol. 16:53–58. 2006. View Article : Google Scholar : PubMed/NCBI | |
|
Combs GF Jr, Watts JC, Jackson MI, Johnson LK, Zeng H, Scheett AJ, Uthus EO, Schomburg L, Hoeg A, Hoefig CS, et al: Determinants of selenium status in healthy adults. Nutr J. 10:752011. View Article : Google Scholar : PubMed/NCBI | |
|
EFSA Panel on Dietetic Products, Nutrition and Allergies (NDA): Scientific opinion on dietary reference values for selenium. EFSA. 12:1–67. 2014. | |
|
Vinceti M, Crespi CM, Malagoli C, Del Giovane C and Krogh V: Friend or foe? The current epidemiologic evidence on selenium and human cancer risk. J Environ Sci Health C Environ Carcinog Ecotoxicol Rev. 31:305–341. 2013. View Article : Google Scholar : PubMed/NCBI | |
|
Vinceti M, Grill P, Malagoli C, Filippini T, Storani S, Malavolti M and Michalke B: Selenium speciation in human serum and its implications for epidemiologic research: a cross-sectional study. J Trace Elem Med Biol. 31:1–10. 2015. View Article : Google Scholar : PubMed/NCBI | |
|
Skalny AV, Simashkova NV, Klyushnik TP, Grabeklis AR, Radysh IV, Skalnaya MG and Tinkov AA: Analysis of hair trace elements in children with autism spectrum disorders and communication disorders. Biol Trace Elem Res. Oct 26–2016.(Epub ahead of print). View Article : Google Scholar | |
|
Ovaskainen ML, Virtamo J, Alfthan G, Haukka J, Pietinen P, Taylor PR and Huttunen JK: Toenail selenium as an indicator of selenium intake among middle-aged men in an area with low soil selenium. Am J Clin Nutr. 57:662–665. 1993.PubMed/NCBI | |
|
Longnecker MP, Stram DO, Taylor PR, Levander OA, Howe M, Veillon C, McAdam PA, Patterson KY, Holden JM, Morris JS, et al: Use of selenium concentration in whole blood, serum, toenails, or urine as a surrogate measure of selenium intake. Epidemiology. 7:384–390. 1996. View Article : Google Scholar : PubMed/NCBI | |
|
Yaemsiri S, Hou N, Slining MM and He K: Growth rate of human fingernails and toenails in healthy American young adults. J Eur Acad Dermatol Venereol. 24:420–423. 2010. View Article : Google Scholar : PubMed/NCBI | |
|
Krogh V, Pala V, Vinceti M, Berrino F, Ganzi A, Micheli A, Muti P, Vescovi L, Ferrari A, Fortini K, et al: Toenail selenium as biomarker: reproducibility over a one-year period and factors influencing reproducibility. J Trace Elem Med Biol. 17:(Suppl 1). 31–36. 2003.PubMed/NCBI | |
|
Hunter DJ, Morris JS, Chute CG, Kushner E, Colditz GA, Stampfer MJ, Speizer FE and Willett WC: Predictors of selenium concentration in human toenails. Am J Epidemiol. 132:114–122. 1990. View Article : Google Scholar : PubMed/NCBI | |
|
van den Brandt PA, Goldbohm RA, vant Veer P, Bode P, Hermus RJ and Sturmans F: Predictors of toenail selenium levels in men and women. Cancer Epidemiol Biomarkers Prev. 2:107–112. 1993.PubMed/NCBI | |
|
Morris JS, Spate VL and Ngwenyama RA: Determinants of selenium in the toenail biomonitor. J Radioanal Nucl Chem. 269:283–290. 2006. View Article : Google Scholar | |
|
Park K, Rimm E, Siscovick D, Spiegelman D, Morris JS and Mozaffarian D: Demographic and lifestyle factors and selenium levels in men and women in the U.S. Nutr Res Pract. 5:357–364. 2011. View Article : Google Scholar : PubMed/NCBI | |
|
Filippini T, Michalke B, Malagoli C, Grill P, Bottecchi I, Malavolti M, Vescovi L, Sieri S, Krogh V, Cherubini A, et al: Determinants of serum cadmium levels in a Northern Italy community: a cross-sectional study. Environ Res. 150:219–226. 2016. View Article : Google Scholar : PubMed/NCBI | |
|
Bergomi M, Vinceti M, Nacci G, Pietrini V, Brätter P, Alber D, Ferrari A, Vescovi L, Guidetti D, Sola P, et al: Environmental exposure to trace elements and risk of amyotrophic lateral sclerosis: a population-based case-control study. Environ Res. 89:116–123. 2002. View Article : Google Scholar : PubMed/NCBI | |
|
Vinceti M, Bassissi S, Malagoli C, Pellacani G, Alber D, Bergomi M and Seidenari S: Environmental exposure to trace elements and risk of cutaneous melanoma. J Expo Anal Environ Epidemiol. 15:458–462. 2005. View Article : Google Scholar : PubMed/NCBI | |
|
Vinceti M, Venturelli M, Sighinolfi C, Trerotoli P, Bonvicini F, Ferrari A, Bianchi G, Serio G, Bergomi M and Vivoli G: Case-control study of toenail cadmium and prostate cancer risk in Italy. Sci Total Environ. 373:77–81. 2007. View Article : Google Scholar : PubMed/NCBI | |
|
Pala V, Sieri S, Palli D, Salvini S, Berrino F, Bellegotti M, Frasca G, Tumino R, Sacerdote C, Fiorini L, et al: Diet in the Italian EPIC cohorts: presentation of data and methodological issues. Tumori. 89:594–607. 2003.PubMed/NCBI | |
|
Malavolti M, Malagoli C, Fiorentini C, Longo C, Farnetani F, Ricci C, Albertini G, Lanzoni A, Reggiani C, Virgili A, et al: Association between dietary vitamin C and risk of cutaneous melanoma in a population of Northern Italy. Int J Vitam Nutr Res. 83:291–298. 2013. View Article : Google Scholar : PubMed/NCBI | |
|
Malagoli C, Malavolti M, Agnoli C, Crespi CM, Fiorentini C, Farnetani F, Longo C, Ricci C, Albertini G, Lanzoni A, et al: Diet quality and risk of melanoma in an Italian population. J Nutr. 145:1800–1807. 2015. View Article : Google Scholar : PubMed/NCBI | |
|
Heitland P: Selenium in serum. In: The MAK Collection for Occupational Health and SafetyPart IV: Biomonitoring Methods. 13. Wiley-VCH; Germany: pp. 249–263. 2013 | |
|
Michalke B and Berthele A: Contribution to selenium speciation in cerebrospinal fluid samples. J Anal At Spectrom. 26:165–170. 2011. View Article : Google Scholar | |
|
Solovyev N, Berthele A and Michalke B: Selenium speciation in paired serum and cerebrospinal fluid samples. Anal Bioanal Chem. 405:1875–1884. 2013. View Article : Google Scholar : PubMed/NCBI | |
|
Xu M, Yang LM and Wang QQ: Quantification of selenium-tagged proteins in human plasma using species-unspecific isotope dilution ICP-DRC-qMS coupled on-line with anion exchange chromatography. J Anal At Spectrom. 23:1545–1549. 2008. View Article : Google Scholar | |
|
Turrini A, Saba A, Perrone D, Cialfa E and DAmicis A: Food consumption patterns in Italy: the INN-CA study 1994–1996. Eur J Clin Nutr. 55:571–588. 2001. View Article : Google Scholar : PubMed/NCBI | |
|
Willett W: Nutritional epidemiology. 3rd. Oxford University Press; New York: 2013 | |
|
Filippini T, Michalke B, Grill P, Malagoli C, Malavolti M, Vescovi L and Sieri S: Determinants of serum manganese levels in an Italian population. Mol Med Rep. (In press). | |
|
Baskett CK, Spate VL, Mason MM, Nichols TA, Williams A, Dubman IM, Gudino A, Denison J and Morris JS: Long-term selenium status in humans. J Radioanal Nucl Chem. 249:429–435. 2001. View Article : Google Scholar | |
|
Kanabrocki EL, Kanabrocki JA, Greco J, Kaplan E, Oester YT, Brar SS, Gustafson PS, Nelson DM and Moore CE: Instrumental analysis of trace elements in thumbnails of human subjects. Sci Total Environ. 13:131–140. 1979. View Article : Google Scholar : PubMed/NCBI | |
|
Xun P, Bujnowski D, Liu K, Morris JS, Guo Z and He K: Distribution of toenail selenium levels in young adult Caucasians and African Americans in the United States: the CARDIA trace element study. Environ Res. 111:514–519. 2011. View Article : Google Scholar : PubMed/NCBI | |
|
Swanson CA, Longnecker MP, Veillon C, Howe M, Levander OA, Taylor PR, McAdam PA, Brown CC, Stampfer MJ and Willett WC: Selenium intake, age, gender, and smoking in relation to indices of selenium status of adults residing in a seleniferous area. Am J Clin Nutr. 52:858–862. 1990.PubMed/NCBI | |
|
Block RJ: The composition of keratins. The amino acid composition of hair, wool, horn, and other eukeratins. J Biol Chem. 128:181–186. 1939. | |
|
Magos L and Berg GG: SeleniumBiological Monitoring of Toxic Metals. Clarkson TW, Friberg L, Nordberg GF and Sager PR: Plenum Press; New York: pp. 383–405. 1988, View Article : Google Scholar | |
|
Dittmar M, Dindorf W and Banerjee A: Organic elemental composition in fingernail plates varies between sexes and changes with increasing age in healthy humans. Gerontology. 54:100–105. 2008. View Article : Google Scholar : PubMed/NCBI | |
|
Schubert A, Holden JM and Wolf WR: Selenium content of a core group of foods based on a critical evaluation of published analytical data. J Am Diet Assoc. 87:285–299. 1987.PubMed/NCBI | |
|
Cappon CJ and Smith JC: Chemical form and distribution of mercury and selenium in edible seafood. J Anal Toxicol. 6:10–21. 1982. View Article : Google Scholar : PubMed/NCBI | |
|
Cappon CJ and Smith JC: Chemical form and distribution of mercury and selenium in canned tuna. J Appl Toxicol. 2:181–189. 1982. View Article : Google Scholar : PubMed/NCBI | |
|
Moreda-Piñeiro J, Moreda-Piñeiro A, Romarís-Hortas V, Domínguez-González R, Alonso-Rodríguez E, López-Mahía P, Muniategui-Lorenzo S, Prada-Rodríguez D and Barrera Bermejo P: In vitro bioavailability of total selenium and selenium species from seafood. Food Chem. 139:872–877. 2013. View Article : Google Scholar : PubMed/NCBI | |
|
Muñiz-Naveiro O, Domínguez-González R, Bermejo-Barrera A, Bermejo-Barrera P, Cocho JA and Fraga JM: Selenium speciation in cow milk obtained after supplementation with different selenium forms to the cow feed using liquid chromatography coupled with hydride generation-atomic fluorescence spectrometry. Talanta. 71:1587–1593. 2007. View Article : Google Scholar : PubMed/NCBI | |
|
Vinceti M, Solovyev N, Mandrioli J, Crespi CM, Bonvicini F, Arcolin E, Georgoulopoulou E and Michalke B: Cerebrospinal fluid of newly diagnosed amyotrophic lateral sclerosis patients exhibits abnormal levels of selenium species including elevated selenite. Neurotoxicology. 38:25–32. 2013. View Article : Google Scholar : PubMed/NCBI | |
|
Michalke B and Fernsebner K: New insights into manganese toxicity and speciation. J Trace Elem Med Biol. 28:106–116. 2014. View Article : Google Scholar : PubMed/NCBI | |
|
Michalke B: Review about the manganese speciation project related to neurodegeneration: an analytical chemistry approach to increase the knowledge about manganese related parkinsonian symptoms. J Trace Elem Med Biol. 37:50–61. 2016. View Article : Google Scholar : PubMed/NCBI | |
|
Fairweather-Tait SJ, Collings R and Hurst R: Selenium bioavailability: current knowledge and future research requirements. Am J Clin Nutr. 91:1484S–1491S. 2010. View Article : Google Scholar : PubMed/NCBI | |
|
Vinceti M, Maraldi T, Bergomi M and Malagoli C: Risk of chronic low-dose selenium overexposure in humans: insights from epidemiology and biochemistry. Rev Environ Health. 24:231–248. 2009. View Article : Google Scholar : PubMed/NCBI | |
|
Gruppo Tecnico PASSI Emilia-Romagna: Sovrappeso e obesità in Emilia-Romagna: dati del sistema di sorveglianza PASSI (anni 2008–2011). 2012.(In Italian). | |
|
Ferrante G, Minardi V, Possenti V, Quarchioni E, Masocco M, Salmaso S, Braggion M, Campostrini S and Baldissera S: Gruppo Tecnico PASSI: Smoke: prevalence is decreasing, but the gap between socioeconomic categories remains. Epidemiol Prev. 36:3712012.(In Italian). PubMed/NCBI |