Spandidos Publications Logo
  • About
    • About Spandidos
    • Aims and Scopes
    • Abstracting and Indexing
    • Editorial Policies
    • Reprints and Permissions
    • Job Opportunities
    • Terms and Conditions
    • Contact
  • Journals
    • All Journals
    • Oncology Letters
      • Oncology Letters
      • Information for Authors
      • Editorial Policies
      • Editorial Board
      • Aims and Scope
      • Abstracting and Indexing
      • Bibliographic Information
      • Archive
    • International Journal of Oncology
      • International Journal of Oncology
      • Information for Authors
      • Editorial Policies
      • Editorial Board
      • Aims and Scope
      • Abstracting and Indexing
      • Bibliographic Information
      • Archive
    • Molecular and Clinical Oncology
      • Molecular and Clinical Oncology
      • Information for Authors
      • Editorial Policies
      • Editorial Board
      • Aims and Scope
      • Abstracting and Indexing
      • Bibliographic Information
      • Archive
    • Experimental and Therapeutic Medicine
      • Experimental and Therapeutic Medicine
      • Information for Authors
      • Editorial Policies
      • Editorial Board
      • Aims and Scope
      • Abstracting and Indexing
      • Bibliographic Information
      • Archive
    • International Journal of Molecular Medicine
      • International Journal of Molecular Medicine
      • Information for Authors
      • Editorial Policies
      • Editorial Board
      • Aims and Scope
      • Abstracting and Indexing
      • Bibliographic Information
      • Archive
    • Biomedical Reports
      • Biomedical Reports
      • Information for Authors
      • Editorial Policies
      • Editorial Board
      • Aims and Scope
      • Abstracting and Indexing
      • Bibliographic Information
      • Archive
    • Oncology Reports
      • Oncology Reports
      • Information for Authors
      • Editorial Policies
      • Editorial Board
      • Aims and Scope
      • Abstracting and Indexing
      • Bibliographic Information
      • Archive
    • Molecular Medicine Reports
      • Molecular Medicine Reports
      • Information for Authors
      • Editorial Policies
      • Editorial Board
      • Aims and Scope
      • Abstracting and Indexing
      • Bibliographic Information
      • Archive
    • World Academy of Sciences Journal
      • World Academy of Sciences Journal
      • Information for Authors
      • Editorial Policies
      • Editorial Board
      • Aims and Scope
      • Abstracting and Indexing
      • Bibliographic Information
      • Archive
    • International Journal of Functional Nutrition
      • International Journal of Functional Nutrition
      • Information for Authors
      • Editorial Policies
      • Editorial Board
      • Aims and Scope
      • Abstracting and Indexing
      • Bibliographic Information
      • Archive
    • International Journal of Epigenetics
      • International Journal of Epigenetics
      • Information for Authors
      • Editorial Policies
      • Editorial Board
      • Aims and Scope
      • Abstracting and Indexing
      • Bibliographic Information
      • Archive
    • Medicine International
      • Medicine International
      • Information for Authors
      • Editorial Policies
      • Editorial Board
      • Aims and Scope
      • Abstracting and Indexing
      • Bibliographic Information
      • Archive
  • Articles
  • Information
    • Information for Authors
    • Information for Reviewers
    • Information for Librarians
    • Information for Advertisers
    • Conferences
  • Language Editing
Spandidos Publications Logo
  • About
    • About Spandidos
    • Aims and Scopes
    • Abstracting and Indexing
    • Editorial Policies
    • Reprints and Permissions
    • Job Opportunities
    • Terms and Conditions
    • Contact
  • Journals
    • All Journals
    • Biomedical Reports
      • Information for Authors
      • Editorial Policies
      • Editorial Board
      • Aims and Scope
      • Abstracting and Indexing
      • Bibliographic Information
      • Archive
    • Experimental and Therapeutic Medicine
      • Information for Authors
      • Editorial Policies
      • Editorial Board
      • Aims and Scope
      • Abstracting and Indexing
      • Bibliographic Information
      • Archive
    • International Journal of Epigenetics
      • Information for Authors
      • Editorial Policies
      • Editorial Board
      • Aims and Scope
      • Abstracting and Indexing
      • Bibliographic Information
      • Archive
    • International Journal of Functional Nutrition
      • Information for Authors
      • Editorial Policies
      • Editorial Board
      • Aims and Scope
      • Abstracting and Indexing
      • Bibliographic Information
      • Archive
    • International Journal of Molecular Medicine
      • Information for Authors
      • Editorial Policies
      • Editorial Board
      • Aims and Scope
      • Abstracting and Indexing
      • Bibliographic Information
      • Archive
    • International Journal of Oncology
      • Information for Authors
      • Editorial Policies
      • Editorial Board
      • Aims and Scope
      • Abstracting and Indexing
      • Bibliographic Information
      • Archive
    • Medicine International
      • Information for Authors
      • Editorial Policies
      • Editorial Board
      • Aims and Scope
      • Abstracting and Indexing
      • Bibliographic Information
      • Archive
    • Molecular and Clinical Oncology
      • Information for Authors
      • Editorial Policies
      • Editorial Board
      • Aims and Scope
      • Abstracting and Indexing
      • Bibliographic Information
      • Archive
    • Molecular Medicine Reports
      • Information for Authors
      • Editorial Policies
      • Editorial Board
      • Aims and Scope
      • Abstracting and Indexing
      • Bibliographic Information
      • Archive
    • Oncology Letters
      • Information for Authors
      • Editorial Policies
      • Editorial Board
      • Aims and Scope
      • Abstracting and Indexing
      • Bibliographic Information
      • Archive
    • Oncology Reports
      • Information for Authors
      • Editorial Policies
      • Editorial Board
      • Aims and Scope
      • Abstracting and Indexing
      • Bibliographic Information
      • Archive
    • World Academy of Sciences Journal
      • Information for Authors
      • Editorial Policies
      • Editorial Board
      • Aims and Scope
      • Abstracting and Indexing
      • Bibliographic Information
      • Archive
  • Articles
  • Information
    • For Authors
    • For Reviewers
    • For Librarians
    • For Advertisers
    • Conferences
  • Language Editing
Login Register Submit
  • This site uses cookies
  • You can change your cookie settings at any time by following the instructions in our Cookie Policy. To find out more, you may read our Privacy Policy.

    I agree
Search articles by DOI, keyword, author or affiliation
Search
Advanced Search
presentation
Molecular Medicine Reports
Join Editorial Board Propose a Special Issue
Print ISSN: 1791-2997 Online ISSN: 1791-3004
Journal Cover
July-2017 Volume 16 Issue 1

Full Size Image

Sign up for eToc alerts
Recommend to Library

Journals

International Journal of Molecular Medicine

International Journal of Molecular Medicine

International Journal of Molecular Medicine is an international journal devoted to molecular mechanisms of human disease.

International Journal of Oncology

International Journal of Oncology

International Journal of Oncology is an international journal devoted to oncology research and cancer treatment.

Molecular Medicine Reports

Molecular Medicine Reports

Covers molecular medicine topics such as pharmacology, pathology, genetics, neuroscience, infectious diseases, molecular cardiology, and molecular surgery.

Oncology Reports

Oncology Reports

Oncology Reports is an international journal devoted to fundamental and applied research in Oncology.

Experimental and Therapeutic Medicine

Experimental and Therapeutic Medicine

Experimental and Therapeutic Medicine is an international journal devoted to laboratory and clinical medicine.

Oncology Letters

Oncology Letters

Oncology Letters is an international journal devoted to Experimental and Clinical Oncology.

Biomedical Reports

Biomedical Reports

Explores a wide range of biological and medical fields, including pharmacology, genetics, microbiology, neuroscience, and molecular cardiology.

Molecular and Clinical Oncology

Molecular and Clinical Oncology

International journal addressing all aspects of oncology research, from tumorigenesis and oncogenes to chemotherapy and metastasis.

World Academy of Sciences Journal

World Academy of Sciences Journal

Multidisciplinary open-access journal spanning biochemistry, genetics, neuroscience, environmental health, and synthetic biology.

International Journal of Functional Nutrition

International Journal of Functional Nutrition

Open-access journal combining biochemistry, pharmacology, immunology, and genetics to advance health through functional nutrition.

International Journal of Epigenetics

International Journal of Epigenetics

Publishes open-access research on using epigenetics to advance understanding and treatment of human disease.

Medicine International

Medicine International

An International Open Access Journal Devoted to General Medicine.

Journal Cover
July-2017 Volume 16 Issue 1

Full Size Image

Sign up for eToc alerts
Recommend to Library

  • Article
  • Citations
    • Cite This Article
    • Download Citation
    • Create Citation Alert
    • Remove Citation Alert
    • Cited By
  • Similar Articles
    • Related Articles (in Spandidos Publications)
    • Similar Articles (Google Scholar)
    • Similar Articles (PubMed)
  • Download PDF
  • Download XML
  • View XML
Article

Overexpression of GLP-1 receptors suppresses proliferation and cytokine release by airway smooth muscle cells of patients with chronic obstructive pulmonary disease via activation of ABCA1

  • Authors:
    • Yan‑Hong Sun
    • Lan He
    • Ming‑Yu Yan
    • Rui‑Qian Zhao
    • Bin Li
    • Feng Wang
    • Ying Yang
    • Hua‑Peng Yu
  • View Affiliations / Copyright

    Affiliations: Department of Respiratory Diseases, Zhujiang Hospital, Southern Medical University, Guangzhou, Guangdong 510282, P.R. China, Department of Respiratory Diseases, Affiliated Hospital of Inner Mongolia Medical University, Hohhot, Inner Mongolia Autonomous Region 010050, P.R. China, Department of Respiratory and Critical Medicine, The Third Affiliated Hospital of Inner Mongolia Medical University, Baotou, Inner Mongolia Autonomous Region 014010, P.R. China, Graduate School, Inner Mongolia Medical University, Hohhot, Inner Mongolia Autonomous Region 010110, P.R. China, Department of Histology and Embryology, Inner Mongolia Medical University, Hohhot, Inner Mongolia Autonomous Region 010110, P.R. China, Department of Physiology, Inner Mongolia Medical University, Hohhot, Inner Mongolia Autonomous Region 010110, P.R. China
  • Pages: 929-936
    |
    Published online on: May 25, 2017
       https://doi.org/10.3892/mmr.2017.6618
  • Expand metrics +
Metrics: Total Views: 0 (Spandidos Publications: | PMC Statistics: )
Metrics: Total PDF Downloads: 0 (Spandidos Publications: | PMC Statistics: )
Cited By (CrossRef): 0 citations Loading Articles...

This article is mentioned in:



Abstract

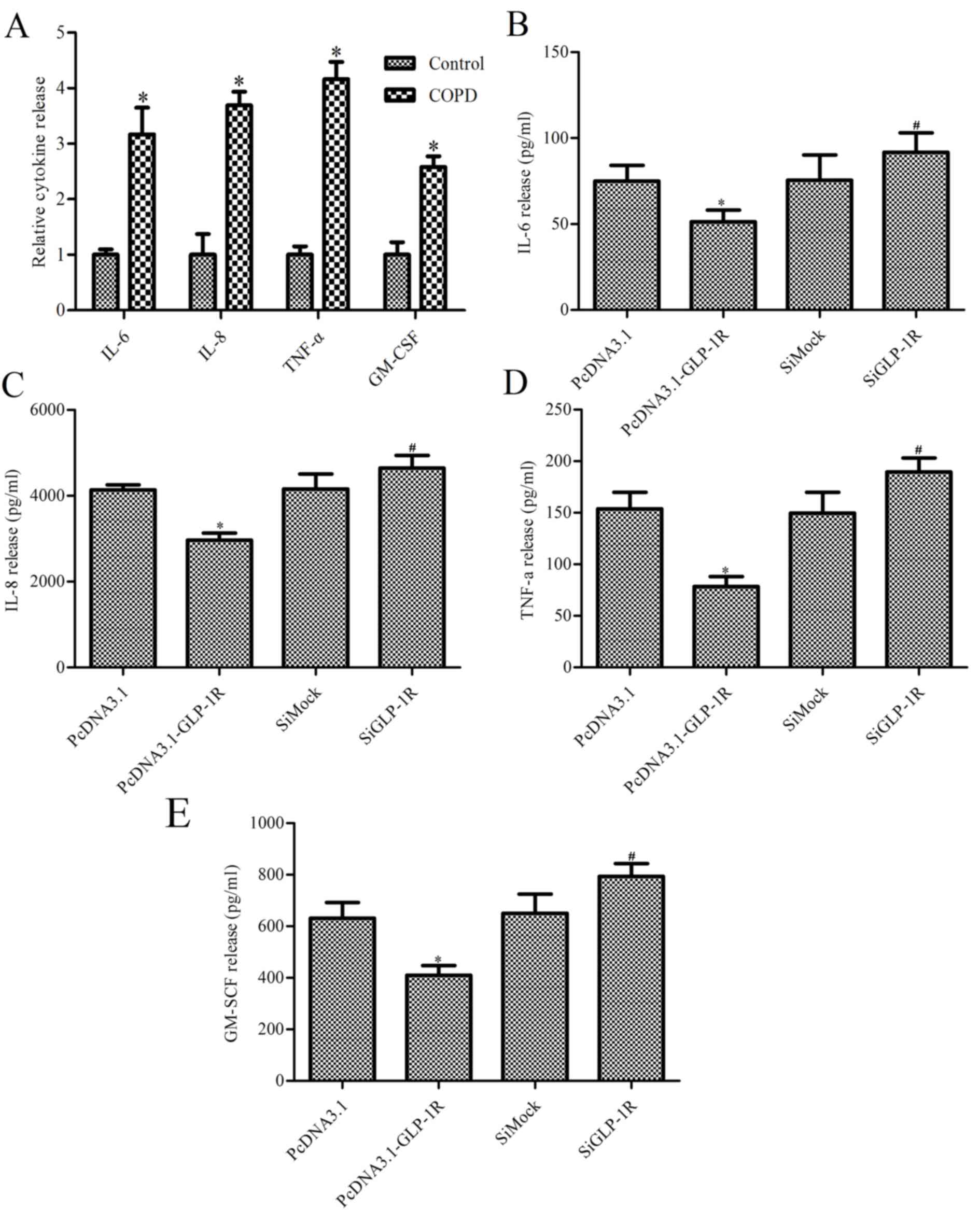
Glucagon-like peptide-1 (GLP‑1) is an important insulin secretagogue that possesses anti‑inflammatory effects. GLP‑1 receptor (GLP‑1R) agonists have been demonstrated to serve a pivotal role in the treatment of obstructive lung diseases, including chronic obstructive pulmonary disease (COPD). However, the specific function and underlying mechanisms of GLP‑1R in COPD remain uncertain. The aim of the present study was to investigate the action and underlying mechanisms of GLP‑1R in airway smooth muscle (ASM) cells from COPD patients. GLP‑1R expression levels were markedly decreased in ASM cells from COPD patients compared with those from healthy controls. ASM cell proliferation and migration, and the levels of the inflammatory cytokines interleukin (IL)‑1β, IL‑4, tumor necrosis factor (TNF)‑α, and granulocyte‑macrophage colony‑stimulating factor (GM‑CSF) were measured. Transfection of pcDNA3.1‑GLP‑1R had inhibitory effects on ASM cell proliferation and migration, whereas GLP‑1R small interfering (si)RNA reversed these effects. Furthermore, the present study demonstrated that GLP‑1R overexpression markedly suppressed IL‑1β, IL‑4, TNF‑α and GM‑CSF levels. GLP‑1R overexpression upregulated the expression levels of adenosine triphosphate‑binding cassette, subfamily A, member 1 (ABCA1) in ASM cells, and the effects of GLP‑1R on cell proliferation and migration, and inflammatory cytokine expression in ASM cells was abolished by siRNA‑mediated silencing of ABCA1. The results of the present study suggested that GLP‑1R contributes to COPD pathology, potentially via an ABCA1‑mediated pathway.
View Figures

Figure 1

Figure 2

Figure 3

Figure 4

Figure 5

View References

1 

Tangedal S, Aanerud M, Persson LJ, Brokstad KA, Bakke PS and Eagan TM: Comparison of inflammatory markers in induced and spontaneous sputum in a cohort of COPD patients. Respir Res. 15:1382014. View Article : Google Scholar : PubMed/NCBI

2 

Niewoehner DE: Clinical practice. Outpatient management of severe COPD. N Engl J Med. 362:1407–1416. 2010. View Article : Google Scholar : PubMed/NCBI

3 

Vogelmeier C, Hederer B, Glaab T, Schmidt H, Rutten-van Mölken MP, Beeh KM, Rabe KF and Fabbri LM: POET-COPD Investigators: Tiotropium versus salmeterol for the prevention of exacerbations of COPD. N Engl J Med. 364:1093–1103. 2011. View Article : Google Scholar : PubMed/NCBI

4 

Kang MJ, Yoon CM, Kim BH, Lee CM, Zhou Y, Sauler M, Homer R, Dhamija A, Boffa D, West AP, et al: Suppression of NLRX1 in chronic obstructive pulmonary disease. J Clin Invest. 125:2458–2462. 2015. View Article : Google Scholar : PubMed/NCBI

5 

Brusasco V, Crimi E and Pellegrino R: Airway inflammation in COPD: Friend or foe? Am J Respir Crit Care Med. 176:425–426. 2007. View Article : Google Scholar : PubMed/NCBI

6 

Ogawa E, Elliott WM, Hughes F, Eichholtz TJ, Hogg JC and Hayashi S: Latent adenoviral infection induces production of growth factors relevant to airway remodeling in COPD. Am J Physiol Lung Cell Mol Physiol. 286:L189–L197. 2004. View Article : Google Scholar : PubMed/NCBI

7 

Michaeloudes C, Wiegman C, Kirkham P, Chung KF and Adcock I: Mitochondrial reactive oxygen species (ROS) mediate proliferation and cytokine release in airway smooth muscle cells of patients with COPD. European Respir J. 44:P38452014.

8 

Chung KF: The role of airway smooth muscle in the pathogenesis of airway wall remodeling in chronic obstructive pulmonary disease. Proc Am Thorac Soc. 2:347–354, 371–372. 2005. View Article : Google Scholar : PubMed/NCBI

9 

Viby NE, Isidor MS, Buggeskov KB, Poulsen SS, Hansen JB and Kissow H: Glucagon-like peptide-1 (GLP-1) reduces mortality and improves lung function in a model of experimental obstructive lung disease in female mice. Endocrinology. 154:4503–4511. 2013. View Article : Google Scholar : PubMed/NCBI

10 

Drucker DJ: Glucagon-like peptides. Diabetes. 47:159–169. 1998. View Article : Google Scholar : PubMed/NCBI

11 

Hou Y, Ernst SA, Heidenreich K and Williams JA: Glucagon-like peptide-1 receptor is present in pancreatic acinar cells and regulates amylase secretion through cyclic AMP. Am J Physiol Gastrointest Liver Physiol. 310:G26–G33. 2016.PubMed/NCBI

12 

Tang-Christensen M, Vrang N and Larsen PJ: Glucagon-like peptide 1(7–36) amide's central inhibition of feeding and peripheral inhibition of drinking are abolished by neonatal monosodium glutamate treatment. Diabetes. 47:530–537. 1998. View Article : Google Scholar : PubMed/NCBI

13 

Nauck MA, Niedereichholz U, Ettler R, Holst JJ, Orskov C, Ritzel R and Schmiegel WH: Glucagon-like peptide 1 inhibition of gastric emptying outweighs its insulinotropic effects in healthy humans. Am J Physiol. 273:E981–E988. 1997.PubMed/NCBI

14 

Noyan-Ashraf MH, Momen MA, Ban K, Sadi AM, Zhou YQ, Riazi AM, Baggio LL, Henkelman RM, Husain M and Drucker DJ: GLP-1R agonist liraglutide activates cytoprotective pathways and improves outcomes after experimental myocardial infarction in mice. Diabetes. 58:975–983. 2009. View Article : Google Scholar : PubMed/NCBI

15 

Ban K, Noyan-Ashraf MH, Hoefer J, Bolz SS, Drucker DJ and Husain M: Cardioprotective and vasodilatory actions of glucagon-like peptide 1 receptor are mediated through both glucagon-like peptide 1 receptor-dependent and -independent pathways. Circulation. 117:2340–2350. 2008. View Article : Google Scholar : PubMed/NCBI

16 

Dillon JS, Tanizawa Y, Wheeler MB, Leng XH, Ligon BB, Rabin DU, Yoo-Warren H, Permutt MA and Boyd AE III: Cloning and functional expression of the human glucagon-like peptide-1 (GLP-1) receptor. Endocrinology. 133:1907–1910. 1993. View Article : Google Scholar : PubMed/NCBI

17 

Bullock BP, Heller RS and Habener JF: Tissue distribution of messenger ribonucleic acid encoding the rat glucagon-like peptide-1 receptor. Endocrinology. 137:2968–2978. 1996. View Article : Google Scholar : PubMed/NCBI

18 

Campos RV, Lee YC and Drucker DJ: Divergent tissue-specific and developmental expression of receptors for glucagon and glucagon-like peptide-1 in the mouse. Endocrinology. 134:2156–2164. 1994. View Article : Google Scholar : PubMed/NCBI

19 

Arakawa M, Mita T, Azuma K, Ebato C, Goto H, Nomiyama T, Fujitani Y, Hirose T, Kawamori R and Watada H: Inhibition of monocyte adhesion to endothelial cells and attenuation of atherosclerotic lesion by a glucagon-like peptide-1 receptor agonist, exendin-4. Diabetes. 59:1030–1037. 2010. View Article : Google Scholar : PubMed/NCBI

20 

Iwai T, Ito S, Tanimitsu K, Udagawa S and Oka J: Glucagon-like peptide-1 inhibits LPS-induced IL-1beta production in cultured rat astrocytes. Neurosci Res. 55:352–360. 2006. View Article : Google Scholar : PubMed/NCBI

21 

Ku HC, Chen WP and Su MJ: GLP-1 signaling preserves cardiac function in endotoxemic Fischer 344 and DPP4-deficient rats. Naunyn-Schmiedeberg's Arch Pharmacol. 382:463–474. 2010. View Article : Google Scholar

22 

Hu YW, Yang JY, Ma X, Chen ZP, Hu YR, Zhao JY, Li SF, Qiu YR, Lu JB, Wang YC, et al: A lincRNA- DYNLRB2-2/GPR119/GLP-1R/ABCA1-dependent signal transduction pathway is essential for the regulation of cholesterol homeostasis. J Lipid Res. 55:681–697. 2014. View Article : Google Scholar : PubMed/NCBI

23 

Langmann T, Klucken J, Reil M, Liebisch G, Luciani MF, Chimini G, Kaminski WE and Schmitz G: Molecular cloning of the human ATP-binding cassette transporter 1 (hABC1): Evidence for sterol-dependent regulation in macrophages. Biochem Biophys Res Commun. 257:29–33. 1999. View Article : Google Scholar : PubMed/NCBI

24 

Bortnick AE, Rothblat GH, Stoudt G, Hoppe KL, Royer LJ, McNeish J and Francone OL: The correlation of ATP-binding cassette 1 mRNA levels with cholesterol efflux from various cell lines. J Biol Chem. 275:28634–28640. 2000. View Article : Google Scholar : PubMed/NCBI

25 

Bates SR, Tao JQ, Collins HL, Francone OL and Rothblat GH: Pulmonary abnormalities due to ABCA1 deficiency in mice. Am J Physiol Lung Cell Mol Physiol. 289:L980–L989. 2005. View Article : Google Scholar : PubMed/NCBI

26 

Dai C, Boris V, Yao X, Meyer K, Karen K, Nugent GJ, Qu X, Yu ZX, Remaley A and Levine SJ: Expression Of Human Abca1 In Mouse Vascular Endothelial Cells Attenuates Ovalbumin-Induced Neutrophilic Airway Inflammation. Am J Respir Crit Care Med. 185:A56372012.

27 

Dai C, Yao X, Vaisman B, Brenner T, Meyer KS, Gao M, Keeran KJ, Nugent GZ, Qu X, Yu ZX, et al: ATP-binding cassette transporter 1 attenuates ovalbumin-induced neutrophilic airway inflammation. Am J Respir Cell Mol Biol. 51:626–636. 2014. View Article : Google Scholar : PubMed/NCBI

28 

Michaeloudes C, Sukkar MB, Khorasani NM, Bhavsar PK and Chung KF: TGF-β regulates Nox4, MnSOD, and catalase expression, and IL-6 release in airway smooth muscle cells. Am J Physiol Lung Cell Mol Physiol. 300:L295–L304. 2011. View Article : Google Scholar : PubMed/NCBI

29 

Sturrock A, Huecksteadt TP, Norman K, Sanders K, Murphy TM, Chitano P, Wilson K, Hoidal JR and Kennedy TP: Nox4 mediates TGF-beta1-induced retinoblastoma protein phosphorylation, proliferation, and hypertrophy in human airway smooth muscle cells. Am J Physiol Lung Cell Mol Physiol. 292:L1543–L1555. 2007. View Article : Google Scholar : PubMed/NCBI

30 

Lin SS, Lai KC, Hsu SC, Yang JS, Kuo CL, Lin JP, Ma YS, Wu CC and Chung JG: Curcumin inhibits the migration and invasion of human A549 lung cancer cells through the inhibition of matrix metalloproteinase-2 and-9 and Vascular Endothelial Growth Factor (VEGF). Cancer Lett. 285:127–133. 2009. View Article : Google Scholar : PubMed/NCBI

31 

Hsu SC, Kuo CL, Lin JP, Lee JH, Lin CC, Su CC, Yang MD and Chung JG: Crude extracts of Euchresta formosana radix inhibit invasion and migration of human hepatocellular carcinoma cells. Anticancer Res. 27:2377–2384. 2007.PubMed/NCBI

32 

Livak KJ and Schmittgen TD: Analysis of relative gene expression data using real-time quantitative PCR and the 2(−Delta Delta C(T)) method. methods. 25:402–408. 2001. View Article : Google Scholar : PubMed/NCBI

33 

Liu Q, Anderson C, Broyde A, Polizzi C, Fernandez R, Baron A and Parkes DG: Glucagon-like peptide-1 and the exenatide analogue AC3174 improve cardiac function, cardiac remodeling, and survival in rats with chronic heart failure. Cardiovasc Diabetol. 9:762010. View Article : Google Scholar : PubMed/NCBI

34 

Lazaar AL and Panettieri RA Jr: Airway smooth muscle as an immunomodulatory cell: A new target for pharmacotherapy? Curr Opin Pharmacol. 1:259–264. 2001. View Article : Google Scholar : PubMed/NCBI

35 

Delvecchio CJ, Bilan P, Nair P and Capone JP: LXR-induced reverse cholesterol transport in human airway smooth muscle is mediated exclusively by ABCA1. Am J Physiol Lung Cell Mol Physiol. 295:L949–L957. 2008. View Article : Google Scholar : PubMed/NCBI

36 

Mostafa AM, Hamdy NM, El-Mesallamy HO and Abdel-Rahman SZ: Glucagon-like peptide 1 (GLP-1)-based therapy upregulate LXR-ABCA1/ABCG1 cascade in adipocytes. Biochem Biophys Res Commun. 468:900–905. 2015. View Article : Google Scholar : PubMed/NCBI

Related Articles

  • Abstract
  • View
  • Download
  • Twitter
Copy and paste a formatted citation
Spandidos Publications style
Sun YH, He L, Yan MY, Zhao RQ, Li B, Wang F, Yang Y and Yu HP: Overexpression of GLP-1 receptors suppresses proliferation and cytokine release by airway smooth muscle cells of patients with chronic obstructive pulmonary disease via activation of ABCA1. Mol Med Rep 16: 929-936, 2017.
APA
Sun, Y., He, L., Yan, M., Zhao, R., Li, B., Wang, F. ... Yu, H. (2017). Overexpression of GLP-1 receptors suppresses proliferation and cytokine release by airway smooth muscle cells of patients with chronic obstructive pulmonary disease via activation of ABCA1. Molecular Medicine Reports, 16, 929-936. https://doi.org/10.3892/mmr.2017.6618
MLA
Sun, Y., He, L., Yan, M., Zhao, R., Li, B., Wang, F., Yang, Y., Yu, H."Overexpression of GLP-1 receptors suppresses proliferation and cytokine release by airway smooth muscle cells of patients with chronic obstructive pulmonary disease via activation of ABCA1". Molecular Medicine Reports 16.1 (2017): 929-936.
Chicago
Sun, Y., He, L., Yan, M., Zhao, R., Li, B., Wang, F., Yang, Y., Yu, H."Overexpression of GLP-1 receptors suppresses proliferation and cytokine release by airway smooth muscle cells of patients with chronic obstructive pulmonary disease via activation of ABCA1". Molecular Medicine Reports 16, no. 1 (2017): 929-936. https://doi.org/10.3892/mmr.2017.6618
Copy and paste a formatted citation
x
Spandidos Publications style
Sun YH, He L, Yan MY, Zhao RQ, Li B, Wang F, Yang Y and Yu HP: Overexpression of GLP-1 receptors suppresses proliferation and cytokine release by airway smooth muscle cells of patients with chronic obstructive pulmonary disease via activation of ABCA1. Mol Med Rep 16: 929-936, 2017.
APA
Sun, Y., He, L., Yan, M., Zhao, R., Li, B., Wang, F. ... Yu, H. (2017). Overexpression of GLP-1 receptors suppresses proliferation and cytokine release by airway smooth muscle cells of patients with chronic obstructive pulmonary disease via activation of ABCA1. Molecular Medicine Reports, 16, 929-936. https://doi.org/10.3892/mmr.2017.6618
MLA
Sun, Y., He, L., Yan, M., Zhao, R., Li, B., Wang, F., Yang, Y., Yu, H."Overexpression of GLP-1 receptors suppresses proliferation and cytokine release by airway smooth muscle cells of patients with chronic obstructive pulmonary disease via activation of ABCA1". Molecular Medicine Reports 16.1 (2017): 929-936.
Chicago
Sun, Y., He, L., Yan, M., Zhao, R., Li, B., Wang, F., Yang, Y., Yu, H."Overexpression of GLP-1 receptors suppresses proliferation and cytokine release by airway smooth muscle cells of patients with chronic obstructive pulmonary disease via activation of ABCA1". Molecular Medicine Reports 16, no. 1 (2017): 929-936. https://doi.org/10.3892/mmr.2017.6618
Follow us
  • Twitter
  • LinkedIn
  • Facebook
About
  • Spandidos Publications
  • Careers
  • Cookie Policy
  • Privacy Policy
How can we help?
  • Help
  • Live Chat
  • Contact
  • Email to our Support Team