Spandidos Publications Logo
  • About
    • About Spandidos
    • Aims and Scopes
    • Abstracting and Indexing
    • Editorial Policies
    • Reprints and Permissions
    • Job Opportunities
    • Terms and Conditions
    • Contact
  • Journals
    • All Journals
    • Oncology Letters
      • Oncology Letters
      • Information for Authors
      • Editorial Policies
      • Editorial Board
      • Aims and Scope
      • Abstracting and Indexing
      • Bibliographic Information
      • Archive
    • International Journal of Oncology
      • International Journal of Oncology
      • Information for Authors
      • Editorial Policies
      • Editorial Board
      • Aims and Scope
      • Abstracting and Indexing
      • Bibliographic Information
      • Archive
    • Molecular and Clinical Oncology
      • Molecular and Clinical Oncology
      • Information for Authors
      • Editorial Policies
      • Editorial Board
      • Aims and Scope
      • Abstracting and Indexing
      • Bibliographic Information
      • Archive
    • Experimental and Therapeutic Medicine
      • Experimental and Therapeutic Medicine
      • Information for Authors
      • Editorial Policies
      • Editorial Board
      • Aims and Scope
      • Abstracting and Indexing
      • Bibliographic Information
      • Archive
    • International Journal of Molecular Medicine
      • International Journal of Molecular Medicine
      • Information for Authors
      • Editorial Policies
      • Editorial Board
      • Aims and Scope
      • Abstracting and Indexing
      • Bibliographic Information
      • Archive
    • Biomedical Reports
      • Biomedical Reports
      • Information for Authors
      • Editorial Policies
      • Editorial Board
      • Aims and Scope
      • Abstracting and Indexing
      • Bibliographic Information
      • Archive
    • Oncology Reports
      • Oncology Reports
      • Information for Authors
      • Editorial Policies
      • Editorial Board
      • Aims and Scope
      • Abstracting and Indexing
      • Bibliographic Information
      • Archive
    • Molecular Medicine Reports
      • Molecular Medicine Reports
      • Information for Authors
      • Editorial Policies
      • Editorial Board
      • Aims and Scope
      • Abstracting and Indexing
      • Bibliographic Information
      • Archive
    • World Academy of Sciences Journal
      • World Academy of Sciences Journal
      • Information for Authors
      • Editorial Policies
      • Editorial Board
      • Aims and Scope
      • Abstracting and Indexing
      • Bibliographic Information
      • Archive
    • International Journal of Functional Nutrition
      • International Journal of Functional Nutrition
      • Information for Authors
      • Editorial Policies
      • Editorial Board
      • Aims and Scope
      • Abstracting and Indexing
      • Bibliographic Information
      • Archive
    • International Journal of Epigenetics
      • International Journal of Epigenetics
      • Information for Authors
      • Editorial Policies
      • Editorial Board
      • Aims and Scope
      • Abstracting and Indexing
      • Bibliographic Information
      • Archive
    • Medicine International
      • Medicine International
      • Information for Authors
      • Editorial Policies
      • Editorial Board
      • Aims and Scope
      • Abstracting and Indexing
      • Bibliographic Information
      • Archive
  • Articles
  • Information
    • Information for Authors
    • Information for Reviewers
    • Information for Librarians
    • Information for Advertisers
    • Conferences
  • Language Editing
Spandidos Publications Logo
  • About
    • About Spandidos
    • Aims and Scopes
    • Abstracting and Indexing
    • Editorial Policies
    • Reprints and Permissions
    • Job Opportunities
    • Terms and Conditions
    • Contact
  • Journals
    • All Journals
    • Biomedical Reports
      • Information for Authors
      • Editorial Policies
      • Editorial Board
      • Aims and Scope
      • Abstracting and Indexing
      • Bibliographic Information
      • Archive
    • Experimental and Therapeutic Medicine
      • Information for Authors
      • Editorial Policies
      • Editorial Board
      • Aims and Scope
      • Abstracting and Indexing
      • Bibliographic Information
      • Archive
    • International Journal of Epigenetics
      • Information for Authors
      • Editorial Policies
      • Editorial Board
      • Aims and Scope
      • Abstracting and Indexing
      • Bibliographic Information
      • Archive
    • International Journal of Functional Nutrition
      • Information for Authors
      • Editorial Policies
      • Editorial Board
      • Aims and Scope
      • Abstracting and Indexing
      • Bibliographic Information
      • Archive
    • International Journal of Molecular Medicine
      • Information for Authors
      • Editorial Policies
      • Editorial Board
      • Aims and Scope
      • Abstracting and Indexing
      • Bibliographic Information
      • Archive
    • International Journal of Oncology
      • Information for Authors
      • Editorial Policies
      • Editorial Board
      • Aims and Scope
      • Abstracting and Indexing
      • Bibliographic Information
      • Archive
    • Medicine International
      • Information for Authors
      • Editorial Policies
      • Editorial Board
      • Aims and Scope
      • Abstracting and Indexing
      • Bibliographic Information
      • Archive
    • Molecular and Clinical Oncology
      • Information for Authors
      • Editorial Policies
      • Editorial Board
      • Aims and Scope
      • Abstracting and Indexing
      • Bibliographic Information
      • Archive
    • Molecular Medicine Reports
      • Information for Authors
      • Editorial Policies
      • Editorial Board
      • Aims and Scope
      • Abstracting and Indexing
      • Bibliographic Information
      • Archive
    • Oncology Letters
      • Information for Authors
      • Editorial Policies
      • Editorial Board
      • Aims and Scope
      • Abstracting and Indexing
      • Bibliographic Information
      • Archive
    • Oncology Reports
      • Information for Authors
      • Editorial Policies
      • Editorial Board
      • Aims and Scope
      • Abstracting and Indexing
      • Bibliographic Information
      • Archive
    • World Academy of Sciences Journal
      • Information for Authors
      • Editorial Policies
      • Editorial Board
      • Aims and Scope
      • Abstracting and Indexing
      • Bibliographic Information
      • Archive
  • Articles
  • Information
    • For Authors
    • For Reviewers
    • For Librarians
    • For Advertisers
    • Conferences
  • Language Editing
Login Register Submit
  • This site uses cookies
  • You can change your cookie settings at any time by following the instructions in our Cookie Policy. To find out more, you may read our Privacy Policy.

    I agree
Search articles by DOI, keyword, author or affiliation
Search
Advanced Search
presentation
Molecular Medicine Reports
Join Editorial Board Propose a Special Issue
Print ISSN: 1791-2997 Online ISSN: 1791-3004
Journal Cover
July-2017 Volume 16 Issue 1

Full Size Image

Sign up for eToc alerts
Recommend to Library

Journals

International Journal of Molecular Medicine

International Journal of Molecular Medicine

International Journal of Molecular Medicine is an international journal devoted to molecular mechanisms of human disease.

International Journal of Oncology

International Journal of Oncology

International Journal of Oncology is an international journal devoted to oncology research and cancer treatment.

Molecular Medicine Reports

Molecular Medicine Reports

Covers molecular medicine topics such as pharmacology, pathology, genetics, neuroscience, infectious diseases, molecular cardiology, and molecular surgery.

Oncology Reports

Oncology Reports

Oncology Reports is an international journal devoted to fundamental and applied research in Oncology.

Experimental and Therapeutic Medicine

Experimental and Therapeutic Medicine

Experimental and Therapeutic Medicine is an international journal devoted to laboratory and clinical medicine.

Oncology Letters

Oncology Letters

Oncology Letters is an international journal devoted to Experimental and Clinical Oncology.

Biomedical Reports

Biomedical Reports

Explores a wide range of biological and medical fields, including pharmacology, genetics, microbiology, neuroscience, and molecular cardiology.

Molecular and Clinical Oncology

Molecular and Clinical Oncology

International journal addressing all aspects of oncology research, from tumorigenesis and oncogenes to chemotherapy and metastasis.

World Academy of Sciences Journal

World Academy of Sciences Journal

Multidisciplinary open-access journal spanning biochemistry, genetics, neuroscience, environmental health, and synthetic biology.

International Journal of Functional Nutrition

International Journal of Functional Nutrition

Open-access journal combining biochemistry, pharmacology, immunology, and genetics to advance health through functional nutrition.

International Journal of Epigenetics

International Journal of Epigenetics

Publishes open-access research on using epigenetics to advance understanding and treatment of human disease.

Medicine International

Medicine International

An International Open Access Journal Devoted to General Medicine.

Journal Cover
July-2017 Volume 16 Issue 1

Full Size Image

Sign up for eToc alerts
Recommend to Library

  • Article
  • Citations
    • Cite This Article
    • Download Citation
    • Create Citation Alert
    • Remove Citation Alert
    • Cited By
  • Similar Articles
    • Related Articles (in Spandidos Publications)
    • Similar Articles (Google Scholar)
    • Similar Articles (PubMed)
  • Download PDF
  • Download XML
  • View XML
Article

Genistein and menaquinone-4 treatment-induced alterations in the expression of mRNAs and their products are beneficial to osteoblastic MC3T3-E1 cell functions

  • Authors:
    • Midori Katsuyama
    • Masashi Demura
    • Hironobu Katsuyama
    • Hideji Tanii
    • Kiyofumi Saijoh
  • View Affiliations / Copyright

    Affiliations: Department of Hygiene, Kanazawa University School of Medicine, Kanazawa, Ishikawa 920‑8640, Japan, Department of Public Health, Kawasaki Medical University, Kurashiki, Okayama 701‑0192, Japan
  • Pages: 873-880
    |
    Published online on: May 25, 2017
       https://doi.org/10.3892/mmr.2017.6632
  • Expand metrics +
Metrics: Total Views: 0 (Spandidos Publications: | PMC Statistics: )
Metrics: Total PDF Downloads: 0 (Spandidos Publications: | PMC Statistics: )
Cited By (CrossRef): 0 citations Loading Articles...

This article is mentioned in:


Abstract

The aim of the present study was to determine the molecular basis of the beneficial effects of genistein and/or menaquinone‑4 (MK‑4) on bone quality. Initially, 1 µM genistein was applied to MC3T3‑E1 cells for 24 h and the upregulated mRNAs that were detected by microarray were selected for further examination by reverse transcription‑quantitative‑polymerase chain reaction. Among them, alterations were observed in the level of GATA‑binding protein 6 (GATA6), Notch gene homolog 2 (NOTCH2), Wnt family member 5A (WNT5A), bone γ‑carboxyglutamate protein (BGLAP), chondroadherin (CHAD), dipeptidyl peptidase 4 (DPP4), ectonucleotide pyrophosphatase/phosphodiesterase 2 (ENPP2), alkaline phosphatase (ALP) 3 and ATPase phospholipid‑transporting 11A (ATP11A) in response to treatment with 0.1 µM 17‑β‑estradiol, 1 µM genistein, and/or 1 µM MK‑4. GATA6, NOTCH2 and WNT5A are considered to be associated with osteoclast, but not osteoblast, function; however, increases in osteoblastic mRNAs, including BGLAP and CHAD, were observed in each of the treatment groups at 48 h. Immunocytochemical analysis confirmed an increase in CHAD and DPP4 proteins following the administration of genistein + MK‑4. Furthermore, genistein + MK‑4 led to alterations in cell morphology to spindle or oval shapes, and increased the intensity of ALP staining. Although the level of ALP mRNA was not consistently altered in response to the treatments, a marked increase in ALP activity was observed following 96 h treatment with genistein + MK‑4. Therefore, the simultaneous intake of genistein and MK‑4 appears to be beneficial for the maintenance of bone quality.

Introduction

Bone is a basic component of the musculoskeletal system and is constantly remodeled by the function of osteoblasts and osteoclasts (1–3). This bone remodeling is maintained in men throughout life, whereas following menopause, women exhibit accelerated bone loss due to a decrease in estrogen levels, leading to osteoporosis (4). Osteoporosis is a serious social and health problem in a progressively aging society, and the associated increases in medical expenditure have become a serious problem in developed and developing countries (5). Various epidemiological studies have demonstrated that the intake of various vitamins and phytoestrogens can act to support the enrichment of bone mineral density (BMD) (6). Therefore, utilization of food-based nutrients is considered to be the most economical and simple way to prevent bone loss. For example, genistein, which has a similar structure to estrogen, has been demonstrated to aid in maintaining BMD (6–9). Furthermore, the simultaneous intake of genistein and menaquinone-7 (MK-7), a major form of vitamin K2, is considered to be more effective for the maintenance of BMD (10–12). However, MK-7 is only present in fermented foods. For example, the traditional Japanese food, Nattō, a type of fermented soybean, is considered to be beneficial; however, due to its peculiar smell, its intake is not always common, even in Japan (10), and non-Japanese experience difficulty with its intake.

In addition to the extremely high concentration of MK-7 in Nattō (13), another major form of vitamin K2, menaquinone-4 (MK-4) is found in meat, eggs and dairy foods; however, its concentration is often low (14,15). In addition, the bioavailability of MK-4 is unclear (16).

In the present study, the effects of genistein and/or MK-4 at dietary obtainable concentrations on the level of mRNAs and their protein products in MC3T3-E1 cells derived from neonatal mouse calvaria were evaluated.

Materials and methods

Reagents

Fetal bovine serum (FBS), and phenol red-free Eagle's minimal essential medium, α-modification (α-MEM), were obtained from Thermo Fisher Scientific, Inc. (Osaka, Japan). Genistein, 17-β-estradiol and MK-4 were purchased from Sigma-Aldrich; Merck KGaA (Darmstadt, Germany), and dissolved in ethanol (Nacalai Tesque, Inc., Kyoto, Japan).

MC3T3-E1 cell culture, treatment and RNA preparation

Osteoblastic MC3T3-E1 cells derived from the calvaria of a newborn C57BL/6 mouse were obtained from the Riken Cell Bank (Tokyo, Japan) and used at passages 3–5. The cells were maintained in α-MEM containing 10% (v/v) FBS. All cells were plated at a density of 1×105 cells in 10-cm culture dishes, and incubated at 37°C in a humidified atmosphere containing 5% CO2. When subconfluent, the cells were subcultured into 35-mm dishes at a density of 1×105 cells and then cultured with the media containing 0.1% ethanol (control), 0.1 µM 17-β-estradiol, 1 µM genistein, 1 µM MK-4, 17-β-estradiol + genistein (0.1 µM + 1 µM), 17-β-estradiol + MK-4 (0.1 µM + 1 µM) or genistein + MK-4 (1 µM + 1 µM) for 24, 48 or 96 h. The total RNA was extracted from 24 and 48 h cell cultures using ISOGEN reagent (Nippon Gene Co., Ltd., Tokyo, Japan). All total RNA samples were quality checked by RNA Pico Chips using an Agilent 2100 Bioanalyzer (Agilent Technologies, Inc., Santa Clara, CA, USA), and treated with RNase-free DNase I recombinant (Roche Diagnostics GmbH, Mannheim, Germany) to isolate DNA-free RNA.

Identification of mRNA species upregulated by genistein

From each 24 h culture with or without 1 µM genistein, 1 mg total RNA was obtained. Oligo-dT (Sigma-Aldrich; Merck KGaA) purification was performed as previously described (17). Following this, polyA + RNA was compared using a mouse GE microarray version 2.0 (Agilent Technologies, Inc.). Among the mRNAs that were observed to increase by >3 times following treatment with genistein, 19 mRNAs with known functions (Table I) were subjected to reverse transcription-quantitative polymerase chain reaction (RT-qPCR) in order to confirm the effects of 17-β-estradiol, genistein, MK-4, 17-β-estradiol + MK-4 and genistein + MK-4 at 24 and 48 h.

Table I.

mRNAs with expression increased >3 fold in the microarray assay following 24 h treatment with 1 µM genistein were subjected to reverse transcription-quantitative polymerase chain reaction to validate the expression level change.

Table I.

mRNAs with expression increased >3 fold in the microarray assay following 24 h treatment with 1 µM genistein were subjected to reverse transcription-quantitative polymerase chain reaction to validate the expression level change.

Primer sequence

Accession no.Gene name (genetic symbol)ForwardReverse
NM_007432Alkaline phosphatase 3, intestine, not Mn requiring (ALP3) agaagctgcaataccacaac atttggttgctgttggaact
NM_015804ATPase, class VI, type 11A (ATP11A) gacttgtgggtgtgtcgatg ggaagagaactgggtggaca
NM_007541Bone γ carboxyglutamate protein (BGLAP) gggcagagagagaggacagg acctgtgctgccctaaagc
NM_007557Bone morphogenetic protein 7 (BMP7) atggtggtatcgagggtgga tctcctacccctacaaggcc
NM_013878Calcium binding protein 2 (CABP2) ggacccatcagctccacaaa ccaggagtttgaccgagacc
NM_007689Chondroadherin (CHAD) tggataatgggagggaacg aaatccccgaccaagaggt
NM_010074Dipeptidylpeptidase 4 (DPP4) gttctggggacaggcatc ccagcacatctattcccaca
NM_015744Ectonucleotide pyrophosphatase/phosphodiesterase 2 (ENPP2) gcaggtatgtcttgagggtca ctcgggtgagggacatcg
NM_010258GATA binding protein 6 (GATA6) gcatttttgctgccatctg aaccccgagaacagtgacc
NM_008398Integrin α 7 (ITGA7) cagatcgcatggcactttcg atcctcagcacctctgggat
M21041 Microtubule-associated protein 2 (MAP2) accaggatgccagatttggg accttcctccatcctccctc
NM_144557Myosin VIIA and Rab interacting protein (MYRIP) ttcttcaggaccttggcact agagctgctgctcctaccag
BC059256Notch gene homolog 2 (NOTCH2) agagagcgagggaagatgga gagcacccatacctgacacc
NM_172766Nuclear factor related to κ B binding protein (NFRKB) cccttggagaccctgctaag aaagcctcctggtcccttg
NM_008873Plasminogen activator, urokinase (PLAU) gtgttggcctttcctcggta gtggcagtgtacttggagct
NM_173413RAB8B, member RAS oncogene family (RAB8B), mRNA ccacaggaatgaacgacca gagagcaacgagcatttgtttt
NM_009446Tubulin, α 3 (TUBA3) cgtggtattgctcagcatgc agtttgccatctacccagcc
NM_009521Wingless-related MMTV integration site 3A (WNT3A) ggtgtttctccaccaccatc cgctcagctatgaacaagca
NM_009524Wingless-related MMTV integration site 5A (WNT5A) ccaaacagctgcaacacctc cagaaccagccacttagggg
NM_007431Alkaline phosphatase, liver/bone/kidney (ALPL) ctacgcaccctgttctgagg ggcgtccatgagcagaacta
Quantification of mRNAs using RT-qPCR

From ~40 ng of total RNA, first-strand cDNA was synthesized using ReverTra Ace® reverse transcriptase (Toyobo, Co., Ltd., Osaka, Japan) with 5 pmol oligo-dT primers in a 20 µl reaction mixture, as indicated in the manufacturer's instructions, at 50°C for 1.5 h. RT-qPCR was performed using the Stratagene Mx3000P qPCR System (Agilent Technologies, Inc.). The reaction mixture consisted of a final volume of 20 µl containing 1 µl of cDNA sample, 5 pmol of a set of gene-specific primers designed using Primer-3-Plus (http://primer3plus.com; Table I), and 10 µl of Brilliant III Ultra-Fast SYBR Green QPCR Master Mix (Agilent Technologies, Inc.). The cycling conditions included a denaturing step at 95°C for 2 min, followed by 60 cycles at 95°C for 5 sec and 60°C for 20 sec. The number of cycles of amplification required to reach the threshold (quantification cycle; Cq) were obtained using an amplification plot and the threshold line automatically reported. To determine the number of copies of the targeted mRNAs in the samples, the Cq values of the genes were normalized against that of β-actin using the 2−ΔΔCq method (18). RT-qPCR products were run on 1% agarose gels and were confirmed as a single band.

Immunocytochemistry of chondroadherin (CHAD), dipeptidylpeptidase 4 (DPP4/CD26) and alkaline phosphatase (ALP)

The protein expression levels of CHAD and DPP4 were immunocytochemically examined, with anti-ALP used as an MC3T3-E1 cell marker. The cells were seeded into BD Bio-Coat Collagen IV Cellware plates (Cosmo Bio Co., Ltd., Tokyo, Japan) at a density of 1×105 cells/well, and incubated with 17-β-estradiol, genistein, MK-4, 17-β-estradiol + MK-4 or genistein + MK-4 for 48 or 96 h. The cells were fixed with 4% (w/v) paraformaldehyde in TBS for 30 min at room temperature. Subsequently, the cells were washed three times with 200 µl TBS and incubated in blocking solution containing 1% bovine serum albumin (Sigma-Aldrich; Merck KGaA) and 0.1% Tween-20 in TBS for 1 h at room temperature. Following a further wash with TBS, the fixed cells were incubated overnight at 37°C with a goat polyclonal anti-ALP antibody (5 µg/ml; cat. no. AF2910; R&D Systems, Inc., Minneapolis, MN, USA), rabbit polyclonal anti-CHAD antibody (dilution, 1:500; cat. no. NBP1-87031, Novus Biologicals, LLC, Littleton, CO, USA) and a rabbit polyclonal anti-DPP4 antibody (dilution, 1:500; cat. no. sc-9153, Santa Cruz Biotechnology, Inc., Dallas, TX, USA). The cells in each well were then washed three times with TBS, and incubated with fluorescein isothiocyanate-conjugated anti-goat and tetramethylrhodamine-conjugated anti-rabbit secondary antibodies (dilution, 1:800; cat. nos. T6778 and F7367, respectively; Sigma-Aldrich; Merck KGaA) for 1 h at room temperature. The cells were incubated with DAPI (Cell Signaling Technology, Inc., Danvers, MA, USA) for nuclear staining and were viewed under a BZ-8000 All-in-One Fluorescence Microscope (Keyence Corporation, Osaka, Japan).

Measurement of ALP activity

The activity of ALP was measured in 1×105 MC3T3-E1 cells in 12-well culture plates after 96 h of treatment. The cells were fixed with 4% (w/v) paraformaldehyde in TBS for 30 min at room temperature and washed three times in TBS. The activity of ALP was measured by adding 0.25 mg/ml naphthol AS-BI phosphate (Sigma-Aldrich; Merck KGaA) for 1 h. Following a wash with TBS, ALP activity levels were measured via image capture using a Canon IXY 50S camera (Canon Inc., Tokyo, Japan) and intensity measurement using Adobe Photoshop version-20160113.r.355 ×64 (Adobe Systems, Inc., San Jose, CA, USA).

Statistical analysis

All values are presented as the mean ± standard deviation. In order to compare the differences between the control and treatment groups, all groups were compared using one-way analysis of variance with Tukey's honest significant difference applied as a post hoc test (19). Statistically significant differences are indicated in each table. Analyses were performed using SPSS software (version 19; IBM SPSS, Armonk, NY, USA). P<0.05 was considered to indicate a statistically significant difference.

Results

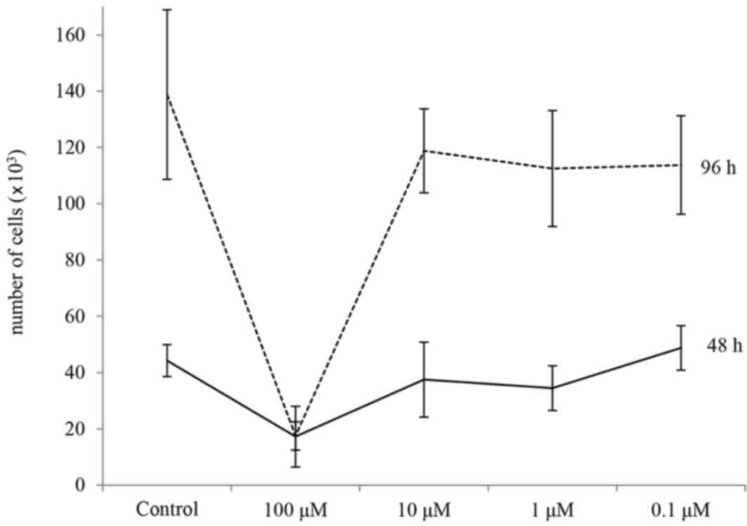
The half-maximal inhibitory concentration of genistein against 17-β-estradiol is reportedly 145 nM for estrogen receptor α and 8.4 nM for estrogen receptor β, and the two receptors are almost completely occupied by genistein at concentrations of 1–10 µM (20). Thus, the effects of 0.1–100 µM of genistein on MC3T3-E1 cell growth were examined (Fig. 1). This revealed that 100 µM genistein inhibited cell growth at 24 and 98 h. Thus, in order to select mRNAs that may be involved in modifying osteoblastic function, mRNAs from cells treated with and without 1 µM of genistein were compared using microarray analysis at 24 h. Among the mRNAs from genistein-treated cells, almost 13,000 spots were revealed to exhibit a >3 fold higher signal compared with mRNAs from cells not treated with genistein. Of these, the mRNAs without any known function were removed, and those potentially affecting osteoblastic function (Table I) were selected and subjected to RT-qPCR in order to confirm their level of expression in cultures treated with 17-β-estradiol, genistein, MK-4, 17-β-estradiol + MK-4 or genistein + MK-4 for 24 or 48 h.

Figure 1.

Proliferation of MC3T3-E1 cells with or without genistein. Values are presented as the mean ± standard deviation.

Among the identified factors, no significant difference was observed for Wnt family member 3A (WNT3A; Table II). At 24 h, all treated groups tended to exhibit increased GATA-binding protein 6 (GATA6) mRNA levels compared with the control; however, these differences were not significant. This effect was also observed at 48 h, and the GATA6 level was significantly increased genistein-treated cells compared with the other treatment groups at 48 h. At 48 h, the levels of NOTCH2 and WNT5A in the genistein treatment groups tended to be higher compared with those of other groups, without statistical significance. NOTCH2 in the MK-4 treatment group was significantly lower than that in the genistein treatment group (P=0.0475).

Table II.

Effects of 17-β-estradiol, genistein and/or MK-4 on mRNA levels of GATA6, NOTCH2 and WNT5A.

Table II.

Effects of 17-β-estradiol, genistein and/or MK-4 on mRNA levels of GATA6, NOTCH2 and WNT5A.

GATA6NOTCH2WNT5A



TreatmentExpression P-valueaExpression P-valueaExpression P-valuea
24 h
  Control0.01±0.010.00180.12±0.140.0490.33±0.460.0489
  17-β-estradiol10.92±6.05 2.45±1.40 3.37±5.10
  Genistein1.53±2.830.00180.54±0.79 0.60±1.11
  MK-43.01±3.080.00660.04±0.100.02811.44±2.15
  17-β-estradiol+MK-412.60±29.74 0.45±0.26 0.27±0.360.0469
  Genistein+MK-411.26±8.15 0.67±0.84 3.06±5.49
48 h
  Control0.75±0.730.00121.64±1.32 2.56±2.38
  17-β-estradiol5.36±6.670.00973.09±4.66 6.94±9.09
  Genistein34.20±27.60 5.58±6.61 13.16±17.21
  MK-44.18±3.350.00580.33±0.380.04753.58±3.29
  17-β-estradiol+MK-43.11±2.380.00372.01±1.24 3.71±3.15
  Genistein+MK-42.14±1.820.00243.06±3.30 5.68±4.38

{ label (or @symbol) needed for fn[@id='tfn1-mmr-16-01-0873'] } Values are presented as the mean ± standard deviation of 5–6 samples and expressed as 10−3x β-actin expression.

a P-value vs. genistein 48 h group (one-way analysis of variance with Tukey's honest significant difference test as a post hoc test). No significant difference in the expression of WNT3A was confirmed among any of the groups. GATA6, GATA binding protein 6; NOTCH2, Notch gene homolog 2; WNT5A, Wnt family member 5A; MK-4, menaquinone-4.

The levels of bone γ-carboxyglutamate (BGLAP) mRNA in all treatment groups, with the exception of genistein at 24 h, were increased compared with the control group, whether significant or not; the increase following genistein treatment at 48 h was statistically significant (Table III). 17-β-estradiol appeared to increase bone morphogenetic protein 7 (BMP7) mRNA at 48 h, although this difference was not significant compared with the 48 h control group. The levels of CHAD and DPP4 in all of the treatment groups at 48 h were higher compared with those of the control; however, a significant difference was observed only in the genistein treatment group. Similarly, the levels of ectonucleotide pyrophosphatase/phosphodiesterase 2 (ENPP2) mRNA tended to be increased following the treatments, however a significant difference was obtained only in the genistein treatment group at 48 h. A significant increase in ATPase phospholipid-transporting 11A (ATP11A) mRNA was observed following treatment with genistein + MK-4 for 48 h compared with the other groups. Differences in the expression levels of the following mRNAs were not observed between the treatment and control groups: Calcium-binding protein 2 (CABP2); nuclear factor related to κB-binding protein (NFRKB); integrin subunit α 7 (ITGA7); microtubule-associated protein 2 (MAP2); plasminogen-activator, urokinase (PLAU); RAB8B, member RAS oncogene family; and tubulin α 3 (TUBA3).

Table III.

Effects of 17-β-estradiol, genistein and/or MK-4 on genes potentially associated with osteoblast function.

Table III.

Effects of 17-β-estradiol, genistein and/or MK-4 on genes potentially associated with osteoblast function.

BGLAPBMP7CHADDPP4ENPP2ALP3ATP11A







TreatmentExpression P-valueaExpression P-valuebExpression P-valueaExpression P-valueaExpression P-valueaExpression P-valueaExpression P-valuec
24 h
  Control6.62±2.500.00210.02±0.020.06230.22±0.200.00370.46±0.370.01471.98±0.360.00660.26±0.170.00010.01±0.01<0.0001
  17-β-71.34±55.19 0.25±0.32 2.98±1.20 9.23±8.42 16.26±11.690.04483.18±2.340.0260.02±0.03<0.0001
  estradiol
  Genistein5.67±3.000.0020.03±0.040.04540.20±0.190.00160.79±0.910.0091.96±0.400.00660.25±0.180.00010.01±0.02<0.0001
  MK-452.57±35.580.03040.30±0.51 2.70±2.410.11677.77±8.330.03859.58±5.620.0192.08±1.950.00280.01±0.02<0.0001
  17-β-84.84±190.21 0.02±0.030.03790.19±0.180.01010.17±0.13 45.99±106.03 0.38±0.310.00010.20±0.420.0003
  estradiol+
  MK-4
  Genistein+78.00±53.11 0.14±0.21 3.15±4.120.041910.28±13.17 25.47±17.67 3.19±2.590.01580.11±0.15<0.0001
  MK-4
48 h
  Control29.56±14.220.00850.17±0.22 0.34±0.580.01182.56±1.250.02237.16±1.700.01371.04±0.620.00050.16±0.160.0001
  17-β-108.22±66.35 0.72±0.86 0.98±0.090.02329.64±12.96 17.18±10.33 3.93±3.320.04450.02±0.02<0.0001
  estradiol
  Genistein243.69±226.79 0.20±0.27 10.80±10.09 56.22±75.94 91.57±72.08 10.84±10.40 0.04±0.07<0.0001
  MK-477.27±38.57 0.25±0.35 1.40±1.390.00453.73±3.990.016919.88±7.95 2.23±1.390.00350.29±0.280.002
  17-β-56.23±26.860.03680.09±0.10 1.64±0.890.01053.83±1.410.028511.99±6.440.02612.26±1.280.00370.20±0.090.0003
  estradiol+
  MK-4
  Genistein+56.21±30.180.03680.09±0.10 1.24±0.640.00376.00±5.570.02724.42±10.26 3.61±2.070.02870.94±0.66
  MK-4

{ label (or @symbol) needed for fn[@id='tfn3-mmr-16-01-0873'] } Values are presented as the mean ± standard deviation of 5–6 samples and expressed as 10-3x β-actin expression.

a P-values vs. genistein 48 h group

b P-value vs. 17-β-estradiol 48 h group

c P-value vs. genistein+MK-4 48 h group (all groups were compared using one-way analysis of variance with Tukey's honest significant difference test as a post hoc test and significant comparisons are presented). No significant difference was confirmed among the groups in the expression of CABP2, ITGA7, MAP2, MYRIP, PLAU, RAB8B and TUBA3. BGLAP, bone γ-carboxyglutamate protein; BMP7, bone morphogenic protein 7; CHAD, chondroadherin; DPP4, pipeptidylpeptidase 4; ENPP2, ectonucleotide pyrophosphatase/phosphodiesterase 2; ALP3, alkaline phosphatase 3, intestine, not Mn requiring; ATP11A, ATPase class VI type 11A; CABP2, calcium binding protein 2; ITGA7, integrin α 7; MAP2, microtubule-associated protein 2; MYRIP, myosin VIIA and Rab interacting protein; PLAU, plasminogen activator urokinase; RAB8B, RAB8B, member RAS oncogene family; TUBA3, tubulin, α 3; MK-4, menaquinone-4.

Alterations in CHAD and DPP4 mRNA levels were similar to each other (Table III). As these encode cell membrane-bound proteins that are suitable for quantitative analysis, the changes in their protein products were examined immunocytochemically (Fig. 2). At 48 h, an effect of 17-β-estradiol on CHAD or DPP4 was not always apparent. Genistein treatment induced the appearance of small fluorescent foci for CHAD and DPP4 along with alterations in cell morphology into oval or spindle-shape following 48 h treatment; such an effect was not always observed following MK-4 treatment. However, treatment with 17-β-estradiol + MK-4 induced the appearance of granular and diffuse CHAD and DPP4 staining, which were also apparent in the genistein + MK-4 group. After 96 h, alterations in the cell shape were marked in the MK-4 treatment cultures, which exhibited high intensities of CHAD and DPP4 staining. The small foci had disappeared, and larger spots along with diffuse staining appeared. These alterations were the most marked in Genistein + MK-4-treated cells.

Figure 2.

Immunocytochemical analysis of CHAD and DPP4 proteins in control cells and cells treated with 17-β-estradiol, genistein, MK-4, 17-β-estradiol + MK-4 or genistein + MK-4 for 48 and 96 h. Left panel, anti-CHAD or anti-DPP4 staining; center panel, anti-ALP staining; and right panel, merge with DAPI staining. Scale bar, 100 µm. MK-4, menaquinone-4; CHAD, chondroadherin; DPP4, pipeptidylpeptidase 4; ALP, alkaline phosphatase.

A significant increase in ALP activity was observed only in the 96 h genistein + MK-4 treatment group compared with the other groups (Table IV). ALP3 mRNA was significantly increased in the 48 h genistein treatment compared with all other treatment and control groups (Table III), whereas alkaline phosphatase liver/bone/kidney mRNA exhibited no differences in expression in any of the treatment groups (data not shown).

Table IV.

ALP activities at 96 h.

Table IV.

ALP activities at 96 h.

TreatmentALP activity P-valuea
Control44367±69920.0029
17β-estradiol48205±85070.0175
Genistein42629±16460.0013
MK-441318±13790.0007
17β-estradiol+MK-443170±22150.0017
Genistein+MK-462844±4095

{ label (or @symbol) needed for fn[@id='tfn7-mmr-16-01-0873'] } ALP activities were determined by photo and their intensity was measures by Photoshop. Thus, values are presented as the mean ± standard deviation of 5–6 samples and expressed by an arbitrary unit from Photoshop.

a P-value vs. genistein + MK-4 group (one-way analysis of variance with Tukey's honest significant difference test as a post hoc test). ALP, alkaline phosphatase; MK-4, menaquinone-4.

Discussion

Among the Japanese population, the daily intake of genistein is reported to be ~12 mg (50 µmol) from 80 g of soy products (21), and people in eastern Japan typically consume 50 g of Nattō each day, supplying 3–5 mg of MK-7 (~6 µmol) simultaneously (22). Pre-menopause, Nattō intake is useful to promote bone formation (11). By contrast, MK-4 is contained in daily foods like meat, eggs and dairy foods, and can be consumed daily, but its concentrations are low at 1–10 nmol/100 g, thus, MK-4 intake is very limited (15). In the present study, in order to elucidate the utility of MK-4, mRNAs that exhibited altered levels in response to genistein treatment were identified initially in MC3T3-E1 cells using a microarray. However, microarrays are not always useful for quantitative analysis. Therefore, to validate the effect of genistein and/or MK-4 on selected mRNAs, in comparison with the effects of 17-β-estradiol, RT-qPCR was also performed.

Although the mRNAs were selected because genistein increased their levels by >3 fold compared with the control at 24 h, this effect could not be confirmed in certain mRNAs. Genistein is a phytoestrogens that exerts similar effects to 17-β-estradiol, although these effects are not always identical. For example, at 48 h, a significant increase in GATA6 mRNA was observed following genistein treatment, but not following 17-β-estradiol treatment. However, the 17-β-estradiol + MK-4 and genistein + MK-4 maintained the expression level of GATA6 at a level consistent with that of the control group. As GATA6 is reported to suppress bone differentiation (23), the administration of estrogenic substances together with MK-4 appears to be beneficial for bone formation.

Osteoclastogenesis and bone resorption are inhibited by NOTCH1 and enhanced by NOTCH2 (24). In mouse embryonic stem cells, recombinant WNT5A has been reported to significantly enhance osteogenic yield, while recombinant WNT3A or other positive regulators of β-catenin decrease the expression of osteogenic markers (25). However, WNT5A is usually considered to promote osteoclast differentiation and prevent adipocyte differentiation (26). Genistein alone (27) and MK-4 alone (28,29) reportedly promote bone formation; however, in the current study, their co-administration appeared to be more beneficial as it allowed the maintenance of NOTCH2 and WNT5A mRNAs at the levels observed in the control cells.

In the current study, genistein and/or MK-4 treatments were shown to increase BGLAP, also known as osteocalcin, indicating that this promoted an osteoblastic phenotype in the MC3T3-E1 cells. In fact, cell morphology was altered following 96 h treatments, also exhibiting a high intensity of ALP. The increase of BMP7 by 17-β-estradiol also indicated beneficial effect of estrogenic stimulation on osteoblastic activity. The background of high activity of ALP by genistein + MK-4 was not always obvious.

Significant increases in the mRNA level of CHAD by MK-4 treatment were not consistently observed within 48 h, whereas strong expression of its protein was clearly visible by immunocytochemistry. CHAD has been reported to reduce preosteoclast motility and bone resorption without affecting osteoblast parameters, including the expression of runt related transcription factor 2 and BGLAP, the activity of ALP and bone formation (30). Therefore, the findings of the current study indicated a beneficial effect on bone formation in response to genistein + MK-4 treatment. However, the expression of DPP4 does not always appear to be beneficial for bone formation (31). Type 2 diabetes is associated with an increased risk of fracture. Incretins (gastric inhibitory polypeptide, glucagon like peptide 1, and 2) have an important role in the regulation of bone turnover and insulin release, and are digested by DPP4 (31). Therefore, DPP4 inhibitors appear to be useful for patients with type 2 diabetes, to ameliorate diabetes and also to prevent bone fracture. DPP4 is potentially induced by genistein and/or MK-4, of which intake is inevitable in healthy people via daily food consumption; however the concentrations obtained from food tend to be low.

ENPP2 encodes a secreted protein (32), which is therefore unsuitable for immunocytochemical analysis and was not assessed in the current study. Acidosis increases the mRNA levels of ENPPs and potentially contributes to decreased mineralization. However, among these ENPP proteins, the level of ENPP2 is not high in osteoblasts (33). ATP11A likely drives the transport of ions, such as calcium, across membranes (34); therefore, its increase by genistein + MK-4 treatment may be beneficial for the maintenance of bone.

In summary, the results of the present study suggest that the administration of genistein and/or MK-4 may be beneficial to maintain and/or improve BMD and bone metabolism. Compared with MK-7, the dietary intake of MK-4 is more common, despite its low concentration in foods. The simultaneous administration of MK-4 and genistein appears to have a substantial beneficial effect; thus, the consumption of beans with meat, eggs and dairy foods is advisable to increase osteoblastic activity.

Acknowledgements

This work was in part supported by the Grant-in-Aid, Ministry of Education, Culture, Sports, Science and Technology, Japan (grant no. C-165904748124).

References

1 

Milgram JW: Adult bone structure. Radiologic and Histrogic Pathology of Nontumorous Diseases of Bone and Joints. 1. Illinoi, USA: Northbrook Publishing Co. Inc.; pp. 1–5. 1990

2 

Czernick B: Morphology of normal bone. Dolfman and Czernick's Bone Tumors. 2nd. Philadelphia, USA: Elsevier; pp. 3–12. 1998

3 

Matsuo K and Irie N: Osteoclast-osteoblast communication. Arch Biochem Biophys. 473:201–209. 2008. View Article : Google Scholar : PubMed/NCBI

4 

Turner RT, Riggs BL and Spelsberg TC: Skeletal effects of estrogen. Endocr Rev. 15:275–300. 1994. View Article : Google Scholar : PubMed/NCBI

5 

Ballane G, Cauley JA, Luckey MM and Fuleihan Gel-H: Secular trends in hip fractures worldwide: Opposing trends East versus West. J Bone Miner Res. 29:1745–1755. 2014. View Article : Google Scholar : PubMed/NCBI

6 

Zaheer K and Akhtar Humayoun MH: An updated review of dietary isoflavones: Nutrition, processing, bioavailability and impacts on human health. Crit Rev Food Sci Nutr. 57:1280–1293. 2017. View Article : Google Scholar : PubMed/NCBI

7 

Hertrampf T, Gruca MJ, Seibel J, Laudenbach U, Fritzemeier KH and Diel P: The bone-protective effect of the phytoestrogen genistein is mediated via ER alpha-dependent mechanisms and strongly enhanced by physical activity. Bone. 40:1529–1535. 2007. View Article : Google Scholar : PubMed/NCBI

8 

Hur HG, Lay JO Jr, Beger RD, Freeman JP and Rafii F: Isolation of human intestinal bacteria metabolizing the natural isoflavone glycosides daidzin and genistin. Arch Microbiol. 174:422–428. 2000. View Article : Google Scholar : PubMed/NCBI

9 

Katsuyama H, Arii M, Hinenoya H, Matsushima M, Fushimi S, Tomita M, Okuyama T, Hidaka K, Watanabe Y, Tamechika Y and Saijoh K: Alterations in bone turnover by isoflavone aglycone supplementation in relation to estrogen receptor α polymorphism. Mol Med Rep. 3:531–535. 2010. View Article : Google Scholar : PubMed/NCBI

10 

Kaneki M, Hodges SJ, Hosoi T, Fujiwara S, Lyons A, Crean SJ, Ishida N, Nakagawa M, Takechi M, Sano Y, et al: Japanese fermented soybean food as the major determinant of the large geographic difference in circulating levels of Vitamin K2: Possible implications for hip-fracture risk. Nutrition. 17:315–321. 2001. View Article : Google Scholar : PubMed/NCBI

11 

Katsuyama H, Ideguchi S, Fukunaga M, Fukunaga T, Saijoh K and Sunami S: Promotion of bone formation by fermented soybean (Natto) intake in premenopausal women. J Nutr Sci Vitaminol (Tokyo). 50:114–120. 2004. View Article : Google Scholar : PubMed/NCBI

12 

Tsangalis D, Wilcox G, Shah NP and Stojanovska L: Bioavailability of isoflavone phytoestrogens in postmenopausal women consuming soya milk fermented with probiotic bifidobacteria. Br J Nutr. 93:867–877. 2005. View Article : Google Scholar : PubMed/NCBI

13 

Schurgers LJ and Vermeer C: Determination of phylloquinone and menaquinones in food. Effect of food matrix on circulating vitamin K concentrations. Haemostasis. 30:298–307. 2000.PubMed/NCBI

14 

Tsukamoto Y, Ichise H, Kakuda H and Yamaguchi M: Intake of fermented soybean (natto) increases circulating vitamin K2 (menaquinone-7) and gamma-carboxylated osteocalcin concentration in normal individuals. J Bone Miner Metab. 18:216–222. 2000. View Article : Google Scholar : PubMed/NCBI

15 

Elder SJ, Haytowitz DB, Howe J, Peterson JW and Booth SL: Vitamin K contents of meat, dairy, and fast food in the U.S. Diet. J Agric Food Chem. 54:463–467. 2006. View Article : Google Scholar : PubMed/NCBI

16 

Sato T, Schurgers LJ and Uenishi K: Comparison of menaquinone-4 and menaquinone-7 bioavailability in healthy women. Nutr J. 11:932012. View Article : Google Scholar : PubMed/NCBI

17 

Davis L, Kuehl M and Battey J: Selection of Poly-A+ RNA on Oligo-dT Cellulose. Basic Methods in Molecular Biology. 2nd. Connecticut, USA: Appleton & Lange; pp. 344–349. 1994

18 

Livak KJ and Schmittgen TD: Analysis of relative gene expression data using real-time quantitative PCR and the 2(−Delta Delta C(T)) method. Methods. 25:402–408. 2001. View Article : Google Scholar : PubMed/NCBI

19 

Dawson-Saunders B and Trapp RG: Comparing three or more means. IN basic and clinical biostatistics Connecticut, USA: Appleton & Lange; pp. 124–141. 1990

20 

Kuiper GG, Lemmen JG, Carlsson B, Corton JC, Safe SH, van der Saag PT, van der Burg B and Gustafsson JK: Interaction of estrogenic chemicals and phytoestrogens with estrogen receptor β. Endocrinology. 139:4252–4263. 1998. View Article : Google Scholar : PubMed/NCBI

21 

Takahashi T, Saito A, Hashimoto S and Sato C: Isoflavone contents of soybean and soy-based foods produced in Hokkaido. Rep Hokkaido Inst Pub Hlth. 52:29–36. 2002.

22 

Standard tables of food composition in Japan, . 7th. Ministry of Education Culture, Sports, Science and Technology. Japan: 2016, (In Japanese).

23 

Bhushan R, Grünhagen J, Becker J, Robinson PN, Ott CE and Knaus P: miR-181a promotes osteoblastic differentiation through repression of TGF-β signaling molecules. Int J Biochem Cell Biol. 45:696–705. 2013. View Article : Google Scholar : PubMed/NCBI

24 

Zanotti S and Canalis E: Notch signaling and the skeleton. Endocr Rev. 37:223–253. 2016. View Article : Google Scholar : PubMed/NCBI

25 

Keller KC, Ding H, Tieu R, Sparks NR, Ehnes DD and Nieden Zur NI: Wnt5a supports osteogenic lineage decisions in embryonic stem cells. Stem Cells Dev. 25:1020–1032. 2016. View Article : Google Scholar : PubMed/NCBI

26 

Kobayashi Y, Uehara S, Udagawa N and Takahashi N: Regulation of bone metabolism by Wnt signals. J Biochem. 159:387–392. 2016. View Article : Google Scholar : PubMed/NCBI

27 

Yamaguchi M: Nutritional factors and bone homeostasis: Synergistic effect with zinc and genistein in osteogenesis. Mol Cell Biochem. 366:201–221. 2012. View Article : Google Scholar : PubMed/NCBI

28 

Katsuyama H, Fushimi S, Yamane K, Watanabe Y, Shimoya K, Okuyama T, Katsuyama M, Saijoh K and Tomita M: Effect of vitamin K2 on the development of stress-induced osteopenia in a growing senescence-accelerated mouse prone 6 strain. Exp Ther Med. 10:843–850. 2015.PubMed/NCBI

29 

Shikano K, Kaneko K, Kawazoe M, Kaburaki M, Hasunuma T and Kawai S: Efficacy of vitamin K2 for glucocorticoid-induced osteoporosis in patients with systemic autoimmune diseases. Intern Med. 55:1997–2003. 2016. View Article : Google Scholar : PubMed/NCBI

30 

Capulli M, Olstad OK, Onnerfjord P, Tillgren V, Muraca M, Gautvik KM, Heinegård D, Rucci N and Teti A: The C-terminal domain of chondroadherin: A new regulator of osteoclast motility counteracting bone loss. J Bone Miner Res. 29:1833–1846. 2014. View Article : Google Scholar : PubMed/NCBI

31 

Meier C, Schwartz AV, Egger A and Lecka-Czernik B: Effects of diabetes drugs on the skeleton. Bone. 82:93–100. 2016. View Article : Google Scholar : PubMed/NCBI

32 

Hausmann J, Kamtekar S, Christodoulou E, Day JE, Wu T, Fulkerson Z, Albers HM, van Meeteren LA, Houben AJ, van Zeijl L, et al: Structural basis for substrate discrimination and integrin binding by autotaxin. Nat Struct Mol Biol. 18:198–204. 2011. View Article : Google Scholar : PubMed/NCBI

33 

Orriss IR, Key ML, Hajjawi MO, Millán JL and Arnett TR: Acidosis is a key regulator of osteoblast ecto-nucleotidase pyrophosphatase/phosphodiesterase 1 (NPP1) expression and activity. J Cell Physiol. 230:3049–3056. 2015. View Article : Google Scholar : PubMed/NCBI

34 

ATP11A ATPase phospholipid transporting 11A. Gene ID: 23250. https://www.ncbi.nlm.nih.gov/gene/23250

Related Articles

  • Abstract
  • View
  • Download
  • Twitter
Copy and paste a formatted citation
Spandidos Publications style
Katsuyama M, Demura M, Katsuyama H, Tanii H and Saijoh K: Genistein and menaquinone-4 treatment-induced alterations in the expression of mRNAs and their products are beneficial to osteoblastic MC3T3-E1 cell functions. Mol Med Rep 16: 873-880, 2017.
APA
Katsuyama, M., Demura, M., Katsuyama, H., Tanii, H., & Saijoh, K. (2017). Genistein and menaquinone-4 treatment-induced alterations in the expression of mRNAs and their products are beneficial to osteoblastic MC3T3-E1 cell functions. Molecular Medicine Reports, 16, 873-880. https://doi.org/10.3892/mmr.2017.6632
MLA
Katsuyama, M., Demura, M., Katsuyama, H., Tanii, H., Saijoh, K."Genistein and menaquinone-4 treatment-induced alterations in the expression of mRNAs and their products are beneficial to osteoblastic MC3T3-E1 cell functions". Molecular Medicine Reports 16.1 (2017): 873-880.
Chicago
Katsuyama, M., Demura, M., Katsuyama, H., Tanii, H., Saijoh, K."Genistein and menaquinone-4 treatment-induced alterations in the expression of mRNAs and their products are beneficial to osteoblastic MC3T3-E1 cell functions". Molecular Medicine Reports 16, no. 1 (2017): 873-880. https://doi.org/10.3892/mmr.2017.6632
Copy and paste a formatted citation
x
Spandidos Publications style
Katsuyama M, Demura M, Katsuyama H, Tanii H and Saijoh K: Genistein and menaquinone-4 treatment-induced alterations in the expression of mRNAs and their products are beneficial to osteoblastic MC3T3-E1 cell functions. Mol Med Rep 16: 873-880, 2017.
APA
Katsuyama, M., Demura, M., Katsuyama, H., Tanii, H., & Saijoh, K. (2017). Genistein and menaquinone-4 treatment-induced alterations in the expression of mRNAs and their products are beneficial to osteoblastic MC3T3-E1 cell functions. Molecular Medicine Reports, 16, 873-880. https://doi.org/10.3892/mmr.2017.6632
MLA
Katsuyama, M., Demura, M., Katsuyama, H., Tanii, H., Saijoh, K."Genistein and menaquinone-4 treatment-induced alterations in the expression of mRNAs and their products are beneficial to osteoblastic MC3T3-E1 cell functions". Molecular Medicine Reports 16.1 (2017): 873-880.
Chicago
Katsuyama, M., Demura, M., Katsuyama, H., Tanii, H., Saijoh, K."Genistein and menaquinone-4 treatment-induced alterations in the expression of mRNAs and their products are beneficial to osteoblastic MC3T3-E1 cell functions". Molecular Medicine Reports 16, no. 1 (2017): 873-880. https://doi.org/10.3892/mmr.2017.6632
Follow us
  • Twitter
  • LinkedIn
  • Facebook
About
  • Spandidos Publications
  • Careers
  • Cookie Policy
  • Privacy Policy
How can we help?
  • Help
  • Live Chat
  • Contact
  • Email to our Support Team